Abstract
Isostatic pressure effects on the elastic and electronic properties of non-doped and Mn4+-doped K2SiF6 (KSF) have been investigated by first-principles calculations within density functional theory (DFT). Bulk modulus was obtained by the Murnaghan’s equation of states (EOS) using the relationship between volume and pressures at pressures between 0 and 40 GPa, and elastic constants were calculated by the stress–strain relationship giving small distortions at each pressure point. The other elastic parameters such as shear modulus, sound velocity and Debye temperature, which can be obtained from the elastic constants, were also estimated. The influence of external isostatic pressure on the electronic properties, such as crystal field strength 10Dq and emission energy of 2E → 4A2 transition (Eem), of KSF:Mn4+ was also studied. The results suggest that 10Dq and Eem linearly increase and decrease, respectively, with increasing pressure.
1. Introduction
Mn4+-doped phosphors as red photon generating systems have been extensively studied over the past decades due to their great promise for use in LED devices [1,2,3,4,5,6,7]. Among a large number of Mn4+ activated red-emitting phosphors, K2SiF6:Mn4+ (KSF:Mn4+) has been developed as generators of red photons in phosphor-converted white LEDs (pc-LEDs). The sharp-line emission of KSF:Mn4+ peaks at about 630 nm, where the human eye sensitivity to red light is still quite high. With minimum emission beyond 650 nm, the emission spectrum of KSF:Mn4+ is suitable for supplying the red photons necessary to produce white light with high efficacy (lumens per watt) and color rendering index (CRI) in pc-LEDs. Given its commercial importance, detailed analyses of the spectroscopic properties, such as absorption and emission spectra, electronic and geometric properties of KSF:Mn4+ were performed [8,9,10] and recently this red phosphor was commercialized [11].
The optical properties of the Mn4+ ions (with the 3d3 electron configuration) are strongly influenced by the composition and crystal structure of the host lattice. In the Tanabe–Sugano diagram for the d3 electron configuration, the “Mn4+-ligand” bonding covalence defines the emission energy of the 2E → 4A2 spin-forbidden transition and the strength of the octahedral crystal field denoted as 10Dq. It was determined by DFT calculations that weak Mn4+–ligand hybridization generally leads to higher Mn4+ emission energies [12]. The hybridization between the Mn4+ ions and ligands is related to the Mn4+–ligand distances. The application of pressure is one of the state parameters that can change the peak energy and 10Dq by reducing the inter-atomic distances. Studies of the Mn4+ optical properties under external pressure have been reported in the archival literature [13,14,15]. The goal of this study was to quantitatively explore by first-principles calculations within density functional theory, the electronic, elastic and optical properties of K2SiF6 in the absence and presence of the activator ion (Mn4+).
2. Computational Method
All the density functional calculations in this paper were performed by the plane-wave basis projector augmented wave package, VASP [16], using the generalized gradient approximation proposed by Perdew, Burke and Ernzerhof (GGA-PBE) [17] to express electron–electron correlation. The space group of KSF is Fm-3m with a lattice constant of 8.134 Å [18], in which the Si4+ ions are surrounded by six F− ions and the local site symmetry is described by the Oh point group. The Mn4+-doped KSF models were constructed by replacing one Si4+ ion by one Mn4+ ion in the unit cell of KSF, which includes 36 atoms corresponding to four formula units. After careful convergence tests with respect to the plane wave cut-off energy, 900 eV was selected for the energy cut-off in all the calculations. The Monkhorst–Pack k-points grid sampling [19] was set as 4 × 4 × 4. The structural parameters of non-doped KSF and KSF:Mn4+ were optimized by allowing relaxations of the lattice constants and internal atomic positions under isostatic external pressures between 0 and 40 GPa by a 5 GPa step.
3. Results and Discussion
The calculated and experimental lattice constants of non-doped KSF and KSF:Mn4+ are summarized in Table 1 together with the calculated Si-F and Mn-F bond lengths. The experimental lattice constant of non-doped KSF, a = 8.134 Å [18], is reproduced well by the current calculations, a = 8.336 Å, within a typical overestimation due to the GGA-PBE functional use. It is noted here that a slight volume expansion occurs after inclusion of the Mn4+ ions into KSF host. The calculated lattice constant of KSF:Mn4+ is 8.357 Å, which is larger than that of KSF 8.336 Å. This expansion can be simply explained by the difference in ionic radii of Si4+ (0.40 Å) and Mn4+ (0.53 Å). The calculated Mn4+–F– bond-length is also larger than the calculated Si4+–F– bond-length by 6.69%, which supports the earlier experimental result of +7.43% [20].
Table 1.
Comparison of lattice constants, a, and bond lengths of Si–F and Mn–F in the non-doped and Mn4+-doped K2SiF6, respectively, between experiments and calculations.
The calculated pressure dependence of the relative volume change V/V0 for non-doped KSF is plotted in Figure 1a, which is fitted to the Murnaghan’s equation of state (EOS) [21] expressed by:
where V and V0 are volumes at pressure P and ambient pressure, respectively, and B and B’ are bulk modulus and its pressure derivative, respectively. This fitting yields that B and B’ are 20.01 GPa and 4.68, respectively. Our results agree well with the earlier study [22] using GGA-PBE, B = 21.79 GPa and B’ = 4.47, although a slight difference appears between these two from a difference in calculating methods, i.e., projector augmented wave and pseudopotential methods in the current and earlier [22] studies, respectively. To the best of our knowledge, no experimental bulk modulus for KSF has been reported yet. For Mn4+-doped KSF, V/V0 is also plotted in Figure 1b, which is also fitted to the Murnaghan’s EOS. The fitting yields B = 19.84 GPa and B’ = 4.68, which implies that inclusion of Mn4+ into KSF leads to a decrease of the bulk modulus.
Figure 1.
Calculated relative volume V/V0 of (a) non-doped and (b) Mn4+-doped K2SiF6 as a function of pressure. Red solid curves denote fitting results to the Murnaghan’s equations of state.
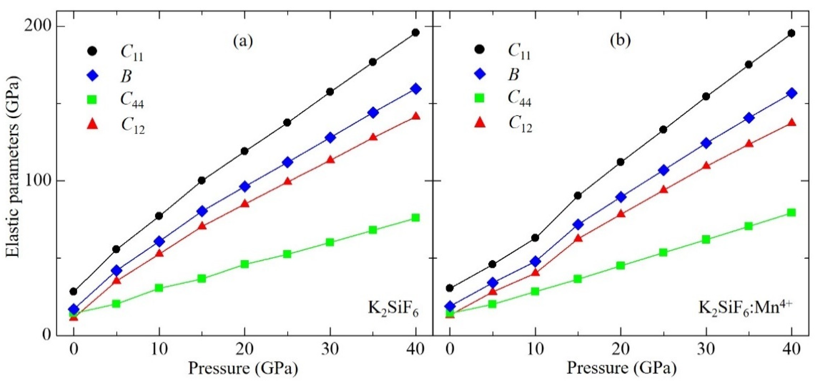
The elastic constants of non-doped and Mn4+-doped KSF were calculated using a stress-strain method [23] implemented in VASP, which are summarized in Table 2 and plotted in Figure 2 as a function of pressure. Here the optimized structure at each pressure was used to calculate the elastic constants. Three irreducible elastic constants for the cubic structure, i.e., C11, C12 and C44, at zero-pressure were reported in the earlier study [22]; the values are 31.90, 9.28 and 15.10 GPa, respectively. Those in the current study show similar values of 28.2, 11.3 and 14.3 GPa for C11, C12 and C44, respectively. The difference between these two studies is derived from the difference in calculating conditions as discussed above for the bulk modulus. The calculated C11 and C12 values for the non-doped KSF are larger than those of KSF:Mn4+ at all pressures calculated in this work. On the other hand, the calculated C44 of non-doped KSF is larger than that of KSF:Mn4+ at zero pressure, the difference between these two becoming smaller as pressure increases, and finally C44 of KSF:Mn4+ becomes larger than that of non-doped KSF between 20 and 25 GPa. It can be noted that all the elastic constants of both non-doped and KSF:Mn4+ increase with increase of pressure, in which C11 and C12 increase more rapidly than C44 as shown in Figure 3.
Table 2.
Pressure dependence of the elastic constants Cij (all in GPa) for the non-doped and Mn4+- doped K2SiF6.
Figure 2.
Calculated elastic constants Cij and bulk moduli B for (a) non-doped and (b) Mn4+-doped K2SiF6 as a function of pressure.

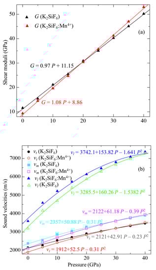
Figure 3.
Calculated (a) shear moduli, (b) sound velocities and (c) Debye temperatures for the non-doped and Mn4+-doped K2SiF6 as a function of pressure.
Using these calculated elastic constants, sound velocities can be obtained. The mean sound velocity vm is expressed [24] in terms of the longitudinal sound velocity vl and the transverse one vt as:
in which vl and vt are calculated [25] by:
Here is the isotropic shear modulus, in which is the Voight’s shear modulus (an upper limit for G), and is the Reuss’s shear modulus (a lower limit for G). Debye temperature, ΘD, is calculated using the following equation [25]:
where h and k are the Planck’s and Boltzmann’s constants, respectively, NA is the Avogadro’s number, ρ is the density, M is the molecular weight, and n denotes the number of atoms per formula unit (here nine for KSF). The calculated shear modulus, G, sound velocities, vm, vt and vl, and Debye temperature, ΘD, as a function of pressure for both non-doped and Mn4+-doped KSF are summarized in Table 3 and plotted in Figure 3a–c for shear moduli, sound velocities, and Debye temperature, respectively. The G, vm, vt, vl and ΘD values for both systems increase with pressure. Inclusion of Mn4+ into KSF leads to a decrease of G, vm, vt, vl and ΘD at zero pressure. Each of the differences in those parameters between non-doped and Mn4+-doped KSF becomes smaller with increase of pressure. Calculated G of KSF:Mn4+ becomes larger than that of non-doped KSF at pressures between 20 and 25 GPa as in the case of C44, while vm, vl and ΘD of KSF:Mn4+ becomes larger than that of the non-doped one between 30 and 35 GPa.
Table 3.
Calculated shear moduli, sound velocities and Debye temperatures for the non-doped and Mn4+-doped K2SiF6.
Calculated electronic densities of states (DOSs) of non-doped and Mn4+-doped KSF at 0 GPa are shown in Figure 4. As illustrated in this figure, new orbitals associated with the Mn4+ 3d orbitals appear in the band gap due to a doping of Mn4+ ion. Current results are consistent with our previous report [26], although the previous one was undertaken with larger super cells expanded by 2 × 1 × 1. The Mn4+ ion in KSF is surrounded by six F− ions in a crystal environment of cubic symmetry. Hence, the 3d ground-state splits into the triply and doubly degenerated t2g and eg orbitals, respectively. The3d states of Mn4+ hybridize with the F− 2p states in both t2g and eg orbitals as shown in Figure 4b. The Mn4+ ion has three 3d electrons, which fully occupy t2g up-spin state.
Figure 4.
Calculated electronic density of states of (a) non-doped and (b) Mn4+-doped K2SiF6.
To discuss the influence of pressure on the electronic structure, calculated DOSs of KSF:Mn4+ are compared among those at different pressures between 0 and 40 GPa, which are shown in Figure 5. The energies of the top of each state originating from 3d orbital of Mn4+ ion, i.e., up-spin and down-spin states of t2g and eg, are plotted in Figure 6. As the top of the occupied band was set to zero in Figure 5, the tops of all t2g up-spin states were located at zero. On the other hand, down-spin t2g states shift to the lower energy side, while up- and down-spin eg states shift to the higher energy side with increasing pressure. Calculated 10Dq, which denotes the crystal field strength and is defined as a difference in energy between up-spin t2g and eg states, at different pressures is summarized in Table 4 and plotted in Figure 7. Calculated 10Dq value at zero pressure of 2.76 eV agrees well with the experimental value of 2.74 eV [27], although our current calculations were carried out by GGA-PBE without the effect of strong electron correlation for Mn 3d electrons. As shown in these tables and figures, 10Dq increases linearly as pressure increases. Least square fitting to the pressure dependence of 10Dq yields 10Dq = 0.00346 P + 2.734. In addition, from a geometrical point of view, 10Dq values are plotted in Figure 8 as a function of bond length between Mn4+ and sounding F− ions. As shown in this figure, a very good linear relation can be found between 10Dq and Mn-F bond length. The least-square fitting result is 10Dq = −6.37 dMn-F + 14.46. This result implies that 10Dq can be estimated by this equation for other Mn4+-doped fluorides, in which the doped Mn4+ ion is located at the Oh symmetry point indicated by six F− ions. This result is consistent with our previous study on A2SiF6 [26], where A = K, Rb and Cs, in which 10Dq decreases with increasing Mn4+−F− bond-length.
Figure 5.
Calculated densities of states (DOSs) of Mn4+-doped K2SiF6 at P = (a) 0, (b) 5, (c) 10, (d) 15, (e) 20, (f) 25, (g) 30, (h) 35 and (i) 40 GPa, respectively.
Figure 6.
Calculated energy levels of the t2g-up, t2g-down, eg-up and eg-down states of Mn4+-doped K2SiF6 as a function of pressure.
Table 4.
Comparison of the experimental and calculated 2E → 4A2 emission transition energy and 10Dq for the Mn4+-doped K2SiF6 at different pressures.
Figure 7.
Calculated emission energy, Eem, and 10Dq for Mn4+-doped K2SiF6 as a function of pressure. The solid lines are the least-square linear fittings.
Figure 8.
Calculated 10Dq parameter and Eem for K2SiF6:Mn4+ as a function of Mn-F bond length.
The red emission from Mn4+ ion is assigned to the transition from the first excited state 2E to the ground state 4A2 of the Mn4+ 3d state. Electron configuration of the 4A2 state of the Mn4+ ion is all three electrons on up-spin t2g while that of 2E is two electrons on up-spin t2g and one on down-spin t2g states. Here, the transition energy from 2E to 4A2, Eem, is calculated by an energy gap between the up-spin and down-spin t2g states within a one electron approximation to avoid complicated calculations considering multielectron effects to obtain total electronic energy difference between the 2E and 4A2 states. The calculated Eem value at zero pressure is 2.74 eV, which is larger than the experimental value of 1.99 eV [9]. This overestimation is derived from the method to obtain Eem. However, the change in Eem can be discussed qualitatively as in our earlier report on KSF:Mn4+ [26]. As the d and f electrons are localized, consideration of a strong electron–electron correlation effect, such as the DFT + U method we have undertaken previously [26], may lead to a better reproduction of Eem than the current calculations with GGA-PBE. In addition, the calculated Eem at zero pressure, i.e., 2.74 eV, is larger than that in the previous study on KSF:Mn4+ [26]. Here, a 1 × 1 × 1 unit cell was used, whereas a 2 × 1 × 1 super cell was employed in our previous study [26], which yield a difference in calculated Eem at zero pressure. Eem as a function of pressure is summarized in Table 4 and plotted in Figure 7. Contrary to the change in 10Dq, Eem decreases almost linearly, Eem = −0.00346 P + 2.734, with increasing pressure. The calculated Eem as a function of Mn4+–F− bond length is also plotted in Figure 8 for KSF:Mn4+. It can be seen that the 2E → 4A2 transition energy has very good linear relation with Mn–F bond length, Eem = 3.11 dMn-F – 2.97.
4. Conclusions
First-principles calculations have been carried out for the non-doped and Mn4+-doped K2SiF6 to study the influence of isostatic pressure on the geometric structure, elastic and electronic properties of K2SiF6:Mn4+ red phosphor. In particular, the pressure effect on the elastic properties such as elastic constants, shear modulus, sound velocity and Debye temperature between non-doped and Mn4+-doped systems was discussed. Pressure dependence of two important electronic parameters, i.e., 10Dq and the emission energy of the 2E → 4A2 transition, of KSF:Mn4+ have been investigated, which yield good linear relationships both between 10Dq and external pressure and between emission energy of 2E → 4A2 and pressure. It can be noted that the current analysis of the pressure effect on 10Dq and emission energy of the 2E → 4A2 transition provided empirical formulae to obtain these values as a function of bond-length between Mn4+ and surrounding F− ions, which can be used for the estimation of these important parameters for other Mn-doped fluorides.
Author Contributions
Conceptualization, T.Y., M.G.B. and M.S.; methodology, M.S. and U.Z.; software, M.S., U.Z. and T.Y.; validation, T.Y., C.-G.M., M.P., M.G.B., W.W.B., W.E.C. and A.M.S.; formal analysis, M.S., U.Z., T.Y., M.G.B., M.P. and C.-G.M.; investigation, M.S., U.Z. and T.Y.; resources, M.G.B.; data curation, M.S., T.Y., C.-G.M. and M.P.; writing—original draft preparation, M.S., T.Y., M.G.B. and A.M.S.; writing—review and editing, T.Y., M.G.B., A.M.S., W.W.B. and W.E.C.; visualization, M.S. and U.Z.; supervision, T.Y., M.G.B. and A.M.S.; project administration, T.Y. and M.G.B.; funding acquisition, T.Y. and M.G.B. All authors have read and agreed to the published version of the manuscript.
Funding
This work was partly carried out at the Joint Research Center for Environmentally Conscious Technologies in Materials Science (project No. 30009, 30012, 31008, 31017, 02018, 02021, 02022, 02115, 02116 and 02117) at ZAIKEN, Waseda University, and supported by JSPS KAKENHI Grant number 20K05065. M.S. and U.Z. thank for support the IICN under the CIS Grant number 21-109 and 21-107, respectively. The authors are grateful to Kholmirzo Kholmurodov for his continuous encouragement and support. M.G.B. appreciates the supports from the Program for the Foreign Experts (Grant No. W2017011) offered by Chongqing University of Posts and Telecommunications and the National Foreign Experts Program for “Belt and Road Initiative” Innovative Talent Exchange (Grant No. DL2021035001L), Estonian Research Council grant PUT PRG111, European Regional Development Fund (TK141), and NCN project 2018/31/B/ST4/00924. C.-G. Ma acknowledges the support of the National Natural Science Foundation of China (Grant No. 52161135110) and China-Poland Intergovernmental Science and Technology Cooperation Program (Grant No. 2020[15]/10). M.S. appreciates the support from 2021 Chongqing Postdoctoral International Exchange Program of China Postdoctoral Science Foundation.
Institutional Review Board Statement
Not applicable.
Informed Consent Statement
Not applicable.
Data Availability Statement
The raw/processed data required to reproduce these findings cannot be shared at this time as the data also form a part of an ongoing study.
Conflicts of Interest
The authors declare no conflict of interest. The funders had no role in the design of the study; in the collection, analyses, or interpretation of data; in the writing of the manuscript, or in the decision to publish the results.
References
- Brik, M.; Srivastava, A. On the optical properties of the Mn4+ ion in solids. J. Lumin. 2013, 133, 69–72. [Google Scholar] [CrossRef]
- Arai, Y.; Adachi, S. Optical properties of Mn4+-activated Na2SnF6 and Cs2SnF6 red phosphors. J. Lumin. 2011, 131, 2652–2660. [Google Scholar] [CrossRef]
- Srivastava, A.; Brik, M. Ab initio and crystal field studies of the Mn4+-doped Ba2LaNbO6 double-perovskite. J. Lumin. 2012, 132, 579–584. [Google Scholar] [CrossRef]
- Nguyen, H.-D.; Liu, R.-S. Narrow-band red-emitting Mn4+-doped hexafluoride phosphors: Synthesis, optoelectronic properties, and applications in white light-emitting diodes. J. Mater. Chem. C 2016, 4, 10759–10775. [Google Scholar] [CrossRef]
- Adachi, S. Photoluminescence properties of Mn4+-activated oxide phosphors for use in white-LED applications: A review. J. Lumin. 2018, 202, 263–281. [Google Scholar] [CrossRef]
- Adachi, S. Crystal-field and Racah parameters of Mn4+ ion in red and deep red-emitting phosphors: Fluoride versus oxide phosphor. J. Lumin. 2020, 218, 116829. [Google Scholar] [CrossRef]
- Senden, T.; Van Dijk-Moes, R.J.A.; Meijerink, A. Quenching of the red Mn4+ luminescence in Mn4+-doped fluoride LED phosphors. Light Sci. Appl. 2018, 7, 8. [Google Scholar] [CrossRef]
- Adachi, S. Photoluminescence spectra and modeling analyses of Mn4+-activated fluoride phosphors: A review. J. Lumin. 2018, 197, 119–130. [Google Scholar] [CrossRef]
- Arai, T.; Adachi, S. Excited States of 3d33 Electrons in K22SiF66:Mn4+4+ Red Phosphor Studied by Photoluminescence Excitation Spectroscopy. Jpn. J. Appl. Phys. 2011, 50, 092401. [Google Scholar] [CrossRef]
- Sijbom, H.F.; Joos, J.; Martin, L.; Eeckhout, K.V.D.; Poelman, D.; Smet, P. Luminescent Behavior of the K2SiF6:Mn4+ Red Phosphor at High Fluxes and at the Microscopic Level. ECS J. Solid State Sci. Technol. 2015, 5, R3040–R3048. [Google Scholar] [CrossRef] [Green Version]
- Setlur, A.A.; Radkov, E.V.; Henderson, C.S.; Her, J.-H.; Srivastava, A.M.; Karkada, N.; Kishore, M.S.; Kumar, N.P.; Aesram, D.; Deshpande, A.; et al. Energy-Efficient, High-Color-Rendering LED Lamps Using Oxyfluoride and Fluoride Phosphors. Chem. Mater. 2010, 22, 4076–4082. [Google Scholar] [CrossRef]
- Du, M.H. Chemical trends of Mn4+ emission in solids. J. Mater. Chem. C 2014, 2, 2475–2481. [Google Scholar] [CrossRef]
- Wang, Y.; Wen, T.; Tang, L.; Yang, L.; Yang, W.; Zhao, Y. Impact of hydrostatic pressure on the crystal structure and photoluminescence properties of Mn4+-doped BaTiF6 red phosphor. Dalton Trans. 2015, 44, 7578–7585. [Google Scholar] [CrossRef] [PubMed]
- Zhang, N.; Tsai, Y.-T.; Fang, M.-H.; Ma, C.-G.; Lazarowska, A.; Mahlik, S.; Grinberg, M.; Chiang, C.-Y.; Zhou, W.; Lin, J.G.; et al. Aluminate Red Phosphor in Light-Emitting Diodes: Theoretical Calculations, Charge Varieties, and High-Pressure Luminescence Analysis. ACS Appl. Mater. Interfaces 2017, 9, 23995–24004. [Google Scholar] [CrossRef] [Green Version]
- Lazarowska, A.; Mahlik, S.; Grinberg, M.; Lin, C.C.; Liu, R.-S. Pressure effect on the zero-phonon line emission of Mn4+ in K2SiF6. J. Chem. Phys. 2015, 143, 134704. [Google Scholar] [CrossRef]
- Kresse, G.; Furthmüller, J. Efficiency of ab-initio total energy calculations for metals and semiconductors using a plane-wave basis set. Comput. Mater. Sci. 1996, 6, 15–50. [Google Scholar] [CrossRef]
- Perdew, J.P.; Burke, K.; Wang, Y. Generalized gradient approximation for the exchange-correlation hole of a many-electron system. Phys. Rev. B 2014, 54, 16533–16539. [Google Scholar] [CrossRef] [Green Version]
- Loehlin, J.H. Redetermination of the Structure of Potassium Hexafluorosilicate, K2SiF6. Acta Cryst. C 1984, 40, 570. [Google Scholar] [CrossRef] [Green Version]
- Monkhorst, H.J.; Pack, J.D. Special points for Brillouin-zone integrations. Phys. Rev. B 1976, 13, 5188. [Google Scholar] [CrossRef]
- Novita, M.; Honma, T.; Hong, B.; Ohishi, A.; Ogasawara, K. Study of multiplet structures of Mn4+ activated in fluoride crystals. J. Lumin. 2016, 169, 594–600. [Google Scholar] [CrossRef]
- Murnaghan, F.D. The Compressibility of Media under Extreme Pressures. Proc. Natl. Acad. Sci. USA 1944, 30, 244–247. [Google Scholar] [CrossRef] [Green Version]
- Brik, M.G.; Srivastava, A.M. Ab Initio Studies of the Structural, Electronic, and Optical Properties of K2SiF6 Single Crystals at Ambient and Elevated Hydrostatic Pressure. J. Electrochem. Soc. 2012, 159, J212–J216. [Google Scholar] [CrossRef]
- Nielsen, O.H.; Martin, R.M. First-Principles Calculation of Stress. Phys. Rev. Lett. 1983, 50, 697–700. [Google Scholar] [CrossRef]
- Poirier, J.; Brown, J.M. Introduction to the Physics of the Earth’s Deep Interior. Phys. Today 1992, 45, 66–67. [Google Scholar] [CrossRef]
- Anderson, O.L. A simplified method for calculating the debye temperature from elastic constants. J. Phys. Chem. Solids 1963, 24, 909–917. [Google Scholar] [CrossRef]
- Subhoni, M.; Zafari, U.; Srivastava, A.M.; Beers, W.W.; Cohen, W.; Brik, M.G.; Yamamoto, T. First-principles investigations of geometrical and electronic structures of Mn4+ doped A2SiF6 (A = K, Rb, Cs) red phosphors. Opt. Mater. 2021, 115, 110986. [Google Scholar] [CrossRef]
- Paulusz, A.G. Efficient Mn(IV) Emission in Fluorine Coordination. J. Electrochem. Soc. 1973, 120, 942. [Google Scholar] [CrossRef]
Publisher’s Note: MDPI stays neutral with regard to jurisdictional claims in published maps and institutional affiliations. |
© 2022 by the authors. Licensee MDPI, Basel, Switzerland. This article is an open access article distributed under the terms and conditions of the Creative Commons Attribution (CC BY) license (https://creativecommons.org/licenses/by/4.0/).








