Conversion of Short and Medium Chain Fatty Acids into Novel Polyhydroxyalkanoates Copolymers by Aeromonas sp. AC_01
Abstract
:1. Introduction
2. Materials and Methods
2.1. Microorganism
2.2. Culture Conditions for PHA Biosynthesis
2.3. Bacterial Growth and PHA Quantification
2.4. Determination of Monomeric Composition by Gas Chromatography/Mass Spectrometry Analysis
2.5. PHAs Spectroscopic Studies
2.6. Analysis of PHAs Thermal Properties
2.7. Statistical Analysis
3. Results and Discussion
3.1. Biomass Concentration and PHAs Production Using Individual Synthetic SMCFAs
3.2. Cell Dry Weight Concentration and PHA Production Using a Mixture of Acetic and Butyric Acid
3.3. Growth and PHA Production Using a SMCFAsextracted-Rich Stream and SMCFAssynthetic-Rich Stream
3.4. GC-MS Analysis
3.5. PHAs Spectroscopic Analysis
3.6. PHAs Thermal Properties
4. Conclusions
Supplementary Materials
Author Contributions
Funding
Institutional Review Board Statement
Informed Consent Statement
Data Availability Statement
Conflicts of Interest
References
- Muhammadi; Shabina; Afzal, M.; Hameed, S. Bacterial polyhydroxyalkanoates-eco-friendly next generation plastic: Production, biocompatibility, biodegradation, physical properties and applications. Green Chem. Lett. Rev. 2015, 8, 56–77. [Google Scholar] [CrossRef] [Green Version]
- Tan, G.-Y.A.; Chen, C.-L.; Li, L.; Ge, L.; Wang, L.; Razaad, I.M.N.; Li, Y.; Zhao, L.; Mo, Y.; Wang, J.-Y. Start a Research on Biopolymer Polyhydroxyalkanoate (PHA): A Review. Polymers 2014, 6, 706–754. [Google Scholar] [CrossRef] [Green Version]
- Li, Z.; Yang, J.; Loh, X.J. Polyhydroxyalkanoates: Opening doors for a sustainable future. NPG Asia Mater. 2016, 8, e265. [Google Scholar] [CrossRef]
- Al Battashi, H.; Al-Kindi, S.; Gupta, V.K.; Sivakumar, N. Polyhydroxyalkanoate (PHA) Production Using Volatile Fatty Acids Derived from the Anaerobic Digestion of Waste Paper. J. Polym. Environ. 2021, 29, 250–259. [Google Scholar] [CrossRef]
- Park, S.J.; Kim, T.W.; Kim, M.K.; Lee, S.Y.; Lim, S.-C. Advanced bacterial polyhydroxyalkanoates: Towards a versatile and sustainable platform for unnatural tailor-made polyesters. Biotechnol. Adv. 2012, 30, 1196–1206. [Google Scholar] [CrossRef]
- Martinez, G.A.; Bertin, L.; Scoma, A.; Rebecchi, S.; Braunegg, G.; Fava, F. Production of polyhydroxyalkanoates from dephenolised and fermented olive mill wastewaters by employing a pure culture of Cupriavidus necator. Biochem. Eng. J. 2015, 97, 92–100. [Google Scholar] [CrossRef]
- Lad, B.C.; Coleman, S.M.; Alper, H.S. Microbial valorization of underutilized and nonconventional waste streams. J. Ind. Microbiol. Biotechnol. 2022, 49, kuab056. [Google Scholar] [CrossRef]
- Ddiba, D.; Andersson, K.; Rosemarin, A.; Schulte-Herbrüggen, H.; Dickin, S. The circular economy potential of urban organic waste streams in low- and middle-income countries. Environ. Dev. Sustain. 2022, 24, 1116–1144. [Google Scholar] [CrossRef]
- Duber, A.; Jaroszynski, L.; Zagrodnik, R.; Chwialkowska, J.; Juzwa, W.; Ciesielski, S.; Oleskowicz-Popiel, P. Exploiting the real wastewater potential for resource recovery—n-caproate production from acid whey. Green Chem. 2018, 20, 3790–3803. [Google Scholar] [CrossRef]
- Erickson, B.E. Acid whey: Is the waste product an untapped goldmine? Chem. Eng. News 2017, 95, 26–30. [Google Scholar] [CrossRef]
- Nayak, J.; Pal, P. Transforming Waste Cheese-Whey into Acetic Acid through a Continuous Membrane-Integrated Hybrid Process. Ind. Eng. Chem. Res. 2013, 52, 2977–2984. [Google Scholar] [CrossRef]
- Wei, D.; Liu, X.; Yang, S.-T. Butyric acid production from sugarcane bagasse hydrolysate by Clostridium tyrobutyricum immobilized in a fibrous-bed bioreactor. Bioresour. Technol. 2013, 129, 553–560. [Google Scholar] [CrossRef] [PubMed]
- Aremu, M.O.; Ishola, M.M.; Taherzadeh, M.J. Polyhydroxyalkanoates (PHAs) Production from Volatile Fatty Acids (VFAs) from Organic Wastes by Pseudomonas oleovorans. Fermentation 2021, 7, 287. [Google Scholar] [CrossRef]
- Munir, S.; Jamil, N. Polyhydroxyalkanoates (PHA) production in bacterial co-culture using glucose and volatile fatty acids as carbon source. J. Basic. Microbiol. 2018, 58, 247–254. [Google Scholar] [CrossRef] [PubMed]
- Chakraborty, P.; Gibbons, W.; Muthukumarappan, K. Conversion of volatile fatty acids into polyhydroxyalkanoate by Ralstonia eutropha. J. Appl. Microbiol. 2009, 106, 1996–2005. [Google Scholar] [CrossRef]
- Yun, J.H.; Sawant, S.S.; Kim, B.S. Production of polyhydroxyalkanoates by Ralstonia eutropha from volatile fatty acids. Korean J. Chem. Eng. 2013, 30, 2223–2227. [Google Scholar] [CrossRef]
- Ferre-Guell, A.; Winterburn, J. Increased production of polyhydroxyalkanoates with controllable composition and consistent material properties by fed-batch fermentation. Biochem. Eng. J. 2019, 141, 35–42. [Google Scholar] [CrossRef]
- Reddy, M.V.; Nikhil, G.; Mohan, S.V.; Swamy, Y.; Sarma, P. Pseudomonas otitidis as a potential biocatalyst for polyhydroxyalkanoates (PHA) synthesis using synthetic wastewater and acidogenic effluents. Bioresour. Technol. 2012, 123, 471–479. [Google Scholar] [CrossRef]
- Cerrone, F.; Choudhari, S.K.; Davis, R.; Cysneiros, D.; O’Flaherty, V.; Duane, G.; Casey, E.; Guzik, M.W.; Kenny, S.T.; Babu, R.P.; et al. Medium chain length polyhydroxyalkanoate (mcl-PHA) production from volatile fatty acids derived from the anaerobic digestion of grass. Appl. Microbiol. Biotechnol. 2013, 98, 611–620. [Google Scholar] [CrossRef]
- Vu, D.H.; Wainaina, S.; Taherzadeh, M.J.; Åkesson, D.; Ferreira, J.A. Production of polyhydroxyalkanoates (PHAs) by Bacillus megaterium using food waste acidogenic fermentation-derived volatile fatty acids. Bioengineered 2021, 12, 2480–2498. [Google Scholar] [CrossRef]
- Anburajan, P.; Kumar, A.N.; Sabapathy, P.C.; Kim, G.-B.; Cayetano, R.D.; Yoon, J.-J.; Kumar, G.; Kim, S.-H. Polyhydroxy butyrate production by Acinetobacter junii BP25, Aeromonas hydrophila ATCC 7966, and their co-culture using a feast and famine strategy. Bioresour. Technol. 2019, 293, 122062. [Google Scholar] [CrossRef] [PubMed]
- Możejko-Ciesielska, J.; Pokój, T. Exploring nutrient limitation for polyhydroxyalkanoates synthesis by newly isolated strains of Aeromonas sp. using biodiesel-derived glycerol as a substrate. PeerJ 2018, 6, e5838. [Google Scholar] [CrossRef] [PubMed] [Green Version]
- Możejko-Ciesielska, J.; Marciniak, P.; Szacherska, K. Polyhydroxyalkanoates Synthesized by Aeromonas Species: Trends and Challenges. Polymers 2019, 11, 1328. [Google Scholar] [CrossRef] [PubMed] [Green Version]
- Fei, Q.; Chang, H.N.; Shang, L.; Choi, J.-D.; Kim, N.; Kang, J. The effect of volatile fatty acids as a sole carbon source on lipid accumulation by Cryptococcus albidus for biodiesel production. Bioresour. Technol. 2011, 102, 2695–2701. [Google Scholar] [CrossRef] [PubMed]
- Zhang, H.-F.; Ma, L.; Wang, Z.-H.; Chen, G.-Q. Biosynthesis and characterization of 3-hydroxyalkanoate terpolyesters with adjustable properties by Aeromonas hydrophila. Biotechnol. Bioeng. 2009, 104, 582–589. [Google Scholar] [CrossRef] [PubMed]
- Philip, P.; Kern, D.; Goldmanns, J.; Seiler, F.; Schulte, A.; Habicher, T.; Büchs, J. Parallel substrate supply and pH stabilization for optimal screening of E. coli with the membrane-based fed-batch shake flask. Microb. Cell Fact. 2018, 17, 69. [Google Scholar] [CrossRef]
- Gao, R.; Li, Z.; Zhou, X.; Cheng, S.; Zheng, L. Oleaginous yeast Yarrowia lipolytica culture with synthetic and food waste-derived volatile fatty acids for lipid production. Biotechnol. Biofuels 2017, 10, 247. [Google Scholar] [CrossRef]
- Shi, L.-L.; Da, Y.-Y.; Zheng, W.-T.; Chen, G.-Q.; Li, Z.-J. Production of polyhydroxyalkanoate from acetate by metabolically engineered Aeromonas hydrophilia. J. Biosci. Bioeng. 2020, 130, 290–294. [Google Scholar] [CrossRef]
- Du, G.; Si, Y.; Yu, J. Inhibitory effect of medium-chain-length fatty acids on synthesis of polyhydroxyalkanoates from volatile fatty acids by Ralstonia eutropha. Biotechnol. Lett. 2001, 23, 1613–1617. [Google Scholar] [CrossRef]
- Gonzalez, M.P.; Winterburn, J. Enhanced biosynthesis of polyhydroxyalkanoates by continuous feeding of volatile fatty acids in Haloferax mediterranei. Biochem. Eng. J. 2022, 179, 108307. [Google Scholar] [CrossRef]
- Obruca, S.; Marova, I.; Staňková, M.; Mravcova, L.; Svoboda, Z. Effect of ethanol and hydrogen peroxide on poly(3-hydroxybutyrate) biosynthetic pathway in Cupriavidus necator H16. World J. Microbiol. Biotechnol. 2010, 26, 1261–1267. [Google Scholar] [CrossRef] [PubMed]
- Li, D.; Yin, F.; Ma, X. Towards biodegradable polyhydroxyalkanoate production from wood waste: Using volatile fatty acids as conversion medium. Bioresour. Technol. 2020, 299, 122629. [Google Scholar] [CrossRef] [PubMed]
- Hong, K.; Sun, S.; Tian, W.; Chen, G.Q.; Huang, W. A rapid method for detecting bacterial polyhydroxyalkanoates in intact cells by Fourier transform infrared spectroscopy. Appl. Microbiol. Biotechnol. 1999, 51, 523–526. [Google Scholar] [CrossRef]
- Pradhan, S.; Dikshit, P.K.; Moholkar, V.S. Production, Characterization, and Applications of Biodegradable Polymer: Polyhydroxyalkanoates. In Advances in Sustainable Polymers. Materials Horizons: From Nature to Nanomaterials, 3rd ed.; Katiyar, V., Kumar, A., Mulchandani, N., Eds.; Springer: Singapore, 2020; pp. 51–94. [Google Scholar] [CrossRef]
- Biron, M. Renewable Plastics Derived from Natural Polymers. In Industrial Applications of Renewable Plastics, 1st ed.; Elsevier: Amsterdam, The Netherlands, 2016; pp. 115–154. [Google Scholar] [CrossRef]
- Czerniecka-Kubicka, A.; Frącz, W.; Jasiorski, M.; Błażejewski, W.; Pilch-Pitera, B.; Pyda, M.; Zarzyka, I. Thermal properties of poly(3-hydroxybutyrate) modified by nanoclay. J. Therm. Anal. Calorim. 2016, 128, 1513–1526. [Google Scholar] [CrossRef]
- Feldmann, M. The effects of the injection moulding temperature on the mechanical properties and morphology of polypropylene man-made cellulose fibre composites. Compos. Part A Appl. Sci. Manuf. 2016, 87, 146–152. [Google Scholar] [CrossRef]
- Frone, A.; Nicolae, C.; Eremia, M.; Tofan, V.; Ghiurea, M.; Chiulan, I.; Radu, E.; Damian, C.; Panaitescu, D. Low Molecular Weight and Polymeric Modifiers as Toughening Agents in Poly(3-Hydroxybutyrate) Films. Polymers 2020, 12, 2446. [Google Scholar] [CrossRef] [PubMed]






| Components | [g/L] | [%] |
|---|---|---|
| Acetic acid | 2.85 | 10.61 |
| Butyric acid | 9.86 | 36.70 |
| Valeric acid | 0.16 | 0.60 |
| Caproic acid | 3.05 | 11.35 |
| Lactic acid | 9.31 | 34.65 |
| Ethanol | 1.64 | 6.10 |
| Medium | Substrate | Substrate Concentration [g/L] | Biomass [g/L] | PHA [% of CDM] | pH Value | |||||||
|---|---|---|---|---|---|---|---|---|---|---|---|---|
| 24 h | 48 h | 72 h | 24 h | 48 h | 72 h | 24 h | 48 h | 72 h | ||||
| Non-limited MSM | ![]() | Acetic acid | 1 | 0.61 ± 0.07 | 0.55 ± 0.14 | 1.48 ± 0.08 | 4.76 ± 0.05 | 1.11 ± 0.12 | 1.79 ± 0.10 | 7.66 ± 0.00 | 7.52 ± 0.01 | 7.75 ± 0.01 |
| 2 | 0.85 ± 0.04 | 1.87 ± 0.09 | 1.73 ± 0.16 | 4.95 ± 0.05 | 1.27 ± 0.07 | 1.80 ± 0.24 | 7.54 ± 0.01 | 7.42 ± 0.00 | 7.74 ± 0.00 | |||
| 3 | 0.51 ± 0.04 | 1.89 ± 0.24 | 1.99 ± 0.07 | 7.60 ± 0.84 | 1.41 ± 0.02 | 1.94 ± 0.39 | 7.43 ± 0.00 | 7.31 ± 0.01 | 7.68 ± 0.01 | |||
| Butyric acid | 1 | 0.39 ± 0.04 | 0.67 ± 0.004 | 1.56 ± 0.07 | 14.90 ± 1.07 | 9.51 ± 0.63 | 2.53 ± 0.09 | 6.65 ± 0.01 | 6.68 ± 0.01 | 6.93 ± 0.01 | ||
| 2 | 0.37 ± 0.08 | 0.27 ± 0.03 | 1.09 ± 0.09 | 13.68 ± 0.44 | 17.25 ± 0.82 | 5.02 ± 0.44 | 6.56 ± 0.01 | 6.52 ± 0.01 | 6.86 ± 0.01 | |||
| 3 | 0.18 ± 0.04 | 0.25 ± 0.03 | 0.54 ± 0.13 | 13.15 ± 0.75 | 13.48 ± 0.34 | 13.04 ± 1.76 | 6.44 ± 0.01 | 6.51 ± 0.01 | 6.81 ± 0.01 | |||
| Valeric acid | 1 | 0.39 ± 0.01 | 0.79 ± 0.11 | 0.91 ± 0.05 | 8.57 ± 0.42 | 3.51 ± 0.37 | 4.81 ± 0.61 | 6.65 ± 0.02 | 6.47 ± 0.01 | 6.83 ± 0.02 | ||
| 2 | 0.24 ± 0.03 | 0.30 ± 0.09 | 0.39 ± 0.03 | 10.08 ± 1.24 | 5.58 ± 0.82 | 8.20 ± 0.10 | 6.56 ± 0.01 | 6.34 ± 0.04 | 6.65 ± 0.04 | |||
| 3 | 0.24 ± 0.04 | 0.29 ± 0.00 | 0.45 ± 0.03 | 10.07 ± 1.01 | 3.09 ± 1.06 | 7.24 ± 0.30 | 6.41 ± 0.01 | 6.32 ± 0.02 | 6.45 ± 0.02 | |||
| Caproic acid | 1 | 0.15 ± 0.02 | 0.53 ± 0.02 | 0.94 ± 0.07 | 23.87 ± 2.90 | 6.79 ± 0.69 | 5.59 ± 1.08 | 6.53 ± 0.10 | 6.48 ± 0.08 | 6.57 ± 0.08 | ||
| 2 | 0.15 ± 0.02 | 0.37 ± 0.06 | 0.30 ± 0.03 | 23.36 ± 1.63 | 4.83 ± 0.24 | 10.70 ± 0.61 | 6.54 ± 0.02 | 6.36 ± 0.08 | 6.51 ± 0.16 | |||
| 3 | 0.04 ± 0.01 | 0.28 ± 0.05 | 0.26 ± 0.06 | 28.17 ± 0.56 | 5.90 ± 0.46 | 6.10 ± 0.76 | 6.44 ± 0.04 | 6.23 ± 0.03 | 6.44 ± 0.15 | |||
| N-limited MSM | ![]() | Acetic acid | 1 | 0.37 ± 0.02 | 0.46 ± 0.06 | 0.82 ± 0.07 | 5.86 ± 1.22 | 15.35 ± 0.43 | 7.10 ± 0.68 | 7.65 ± 0.01 | 7.55 ± 0.01 | 7.56 ± 0.01 |
| 2 | 0.42 ± 0.02 | 0.82 ± 0.04 | 1.63 ± 0.21 | 5.66 ± 0.55 | 8.73 ± 0.51 | 3.45 ± 0.01 | 7.59 ± 0.01 | 7.46 ± 0.05 | 7.52 ± 0.01 | |||
| 3 | 0.48 ± 0.04 | 0.99 ± 0.12 | 1.63 ± 0.25 | 6.63 ± 0.76 | 5.74 ± 0.06 | 3.37 ± 0.72 | 7.48 ± 0.01 | 7.43 ± 0.01 | 7.45 ± 0.02 | |||
| Butyric acid | 1 | 0.24 ± 0.01 | 0.46 ± 0.10 | 0.56 ± 0.02 | 14.23 ± 1.88 | 17.93 ± 0.73 | 7.54 ± 1.06 | 6.65 ± 0.00 | 6.52 ± 0.01 | 6.67 ± 0.01 | ||
| 2 | 0.24 ± 0.01 | 0.27 ± 0.03 | 1.00 ± 0.06 | 14.93 ± 1.65 | 17.67 ± 1.00 | 8.23 ± 0.01 | 6.65 ± 0.01 | 6.51 ± 0.01 | 6.72 ± 0.01 | |||
| 3 | 0.13 ± 0.01 | 0.19 ± 0.03 | 0.18 ± 0.01 | 18.56 ± 0.54 | 13.19 ± 0.98 | 17.91 ± 0.16 | 6.64 ± 0.02 | 6.52 ± 0.01 | 6.67 ± 0.01 | |||
| Valeric acid | 1 | 0.42 ± 0.06 | 0.60 ± 0.10 | 0.67 ± 0.13 | 11.01 ± 0.54 | 4.80 ± 0.89 | 3.47 ± 0.23 | 6.73 ± 0.01 | 6.52 ± 0.02 | 6.76 ± 0.11 | ||
| 2 | 0.26 ± 0.08 | 0.28 ± 0.01 | 0.85 ± 0.02 | 13.94 ± 2.04 | 8.80 ± 0.57 | 12.38 ± 0.16 | 6.65 ± 0.04 | 6.53 ± 0.03 | 6.83 ± 0.03 | |||
| 3 | 0.19 ± 0.05 | 0.29 ± 0.01 | 0.31 ± 0.03 | 12.97 ± 0.94 | 10.34 ± 0.48 | 12.52 ± 0.16 | 6.62 ± 0.02 | 6.53 ± 0.03 | 6.75 ± 0.03 | |||
| Caproic acid | 1 | 0.22 ± 0.05 | 0.57 ± 0.04 | 0.70 ± 0.01 | 16.83 ± 0.24 | 9.38 ± 0.86 | 4.59 ± 0.36 | 6.72 ± 0.03 | 6.62 ± 0.14 | 6.91 ± 0.03 | ||
| 2 | 0.10 ± 0.01 | 0.17 ± 0.04 | 0.20 ± 0.01 | 9.21 ± 0.36 | 19.84 ± 0.28 | 18.31 ± 0.81 | 6.70 ± 0.02 | 6.52 ± 0.02 | 6.80 ± 0.04 | |||
| 3 | 0.13 ± 0.00 | 0.15 ± 0.02 | 0.18 ± 0.03 | 9.61 ± 0.36 | 20.38 ± 0.92 | 13.36 ± 0.61 | 6.63 ± 0.01 | 6.41 ± 0.02 | 6.75 ± 0.03 | |||
| Carbon Source | Substrate Concentration [g/L; % *] | PHA Composition [mol%] | |||
|---|---|---|---|---|---|
| 3HB | 3HV | 3HtriD | 3HTD | ||
| Non-limited MSM | |||||
| Acetic acid | 1 | nd | nd | nd | 100.0 ± 0.0 |
| 2 | nd | nd | nd | 100.0 ± 0.0 | |
| 3 | nd | nd | nd | 100.0 ± 0.0 | |
| Butyric acid | 1 | 83.4 ± 0.9 | nd | nd | 16.6 ± 0.9 |
| 2 | 95.6 ± 0.3 | nd | nd | 4.4 ± 0.3 | |
| 3 | 93.3 ± 0.6 | nd | nd | 6.7 ± 0.6 | |
| Valeric acid | 1 | 32.9 ± 0.3 | 35.1 ± 0.4 | 23.7 ± 0.1 | 8.3 ± 0.6 |
| 2 | 4.6 ± 0.1 | 88.6 ± 0.0 | 5.1 ± 0.1 | 1.6 ± 0.0 | |
| 3 | 6.2 ± 0.2 | 87.1 ± 0.0 | 2.9 ± 0.2 | 3.9 ± 0.0 | |
| Caproic acid | 1 | 89.6 ± 0.2 | 5.2 ± 0.1 | nd | 5.2 ± 0.1 |
| 2 | 92.2 ± 0.5 | 3.5 ± 0.1 | nd | 4.3 ± 0.4 | |
| 3 | 92.2 ± 0.4 | 3.5 ± 0.4 | nd | 4.3 ± 0.0 | |
| Acetic acid:Butyric acid | 0.4:1.6 | 92.0 ± 0.0 | nd | nd | 8.0 ± 0.0 |
| 0.8:1.2 | 80.8 ± 0.5 | nd | nd | 19.3 ± 0.5 | |
| 1.2:0.8 | 77.1 ± 0.0 | nd | nd | 22.9 ± 0.0 | |
| 1.6:0.4 | 77.1 ± 0.7 | nd | nd | 22.9 ± 0.7 | |
| SMCFAssynthetic-rich stream | 10 * | 74.5 ± 0.5 | nd | nd | 25.5 ± 0.5 |
| 20 * | 95.5 ± 0.1 | nd | nd | 4.5 ± 0.1 | |
| 30 * | 94.7 ± 0.1 | 0.9 ± 0.0 | nd | 4.4 ± 0.1 | |
| SMCFAsextracted-rich stream | 10 * | 95.6 ± 0.0 | nd | nd | 4.4 ± 0.0 |
| 20 * | 100.0 ± 0.0 | nd | nd | nd | |
| 30 * | 71.7 ± 3.1 | nd | nd | 28.3 ± 3.1 | |
| N-limited MSM | |||||
| Acetic acid | 1 | 48.9 ± 0.7 | nd | nd | 51.1 ± 0.7 |
| 2 | nd | nd | nd | 100.0 ± 0.0 | |
| 3 | nd | nd | nd | 100.0 ± 0.0 | |
| Butyric acid | 1 | 92.2 ± 0.2 | nd | nd | 7.8 ± 0.2 |
| 2 | 94.6 ± 0.1 | nd | nd | 5.4 ± 0.1 | |
| 3 | 93.6 ± 0.2 | nd | nd | 6.4 ± 0.2 | |
| Valeric acid | 1 | 7.8 ± 0.1 | 73.4 ± 0.1 | 13.8 ± 0.1 | 5.1 ± 0.0 |
| 2 | 4.9 ± 0.0 | 83.9 ± 0.0 | 8.5 ± 0.0 | 2.6 ± 0.0 | |
| 3 | 2.8 ± 0.1 | 92.9 ± 0.1 | 2.8 ± 0.1 | 1.6 ± 0.0 | |
| Caproic acid | 1 | 80.7 ± 0.2 | nd | nd | 19.3 ± 0.2 |
| 2 | 82.3 ± 0.1 | 13.4 ± 0.1 | nd | 4.3 ± 0.0 | |
| 3 | 78.7 ± 0.0 | 18.1 ± 0.0 | nd | 3.2 ± 0.0 | |
| Acetic acid:Butyric acid | 0.4:1.6 | 92.7 ± 0.2 | nd | nd | 7.3 ± 0.2 |
| 0.8:1.2 | 86.1 ± 0.0 | nd | nd | 13.9 ± 0.0 | |
| 1.2:0.8 | 77.8 ± 0.3 | nd | nd | 22.2 ± 0.4 | |
| 1.6:0.4 | 65.4 ± 0.5 | nd | nd | 34.6 ± 0.5 | |
| SMCFAssynthetic-rich stream | 10 * | 88.4 ± 0.1 | nd | nd | 11.6 ± 0.1 |
| 20 * | 94.9 ± 0.2 | 0.6 ± 0.0 | nd | 4.5 ± 0.2 | |
| 30 * | 90.6 ± 0.0 | 5.5 ± 0.0 | nd | 3.9 ± 0.1 | |
| SMCFAsextracted-rich stream | 10 * | 90.4 ± 0.2 | 2.5 ± 0.1 | nd | 7.1 ± 0.1 |
| 20 * | 90.3 ± 2.0 | nd | nd | 9.7 ± 2.0 | |
| 30 * | 100.0 ± 0.0 | nd | nd | nd | |
| Wavenumber [cm−1] | Assignment |
|---|---|
| ~3300 | -OH, terminal |
| ~2976 | CH3, asymmetrical stretching |
| ~2928 | CH2, C-H asymmetrical stretching |
| ~2852 | CH3, C-H symmetrical stretching |
| ~1723 | C=O, stretching |
| ~1658 | C-O, stretching |
| ~1539 | N-O asymmetrical stretching |
| ~1455 | CH3, C-H asymmetrical scissoring |
| ~1380 | CH3, C-H symmetrical scissoring |
| ~1279 | C-O-C, asymmetrical stretching |
| ~1229 | C-O-C, asymmetrical stretching |
| ~1183 | C-O, asymmetrical stretching |
| ~1133 | C-O-C |
| ~1101 | C-O-C |
| ~1057 | C-O, asymmetrical stretching |
| ~980 | C-C, stretching |
| ~900 | CH2, rocking |
| ~825 | CH3, rocking |
| Substrate and Culture Condition | PHA Composition | DSC | TGA | |||||
|---|---|---|---|---|---|---|---|---|
| Tg [°C] | Tcc [°C] | ΔHcc [W/g] | Tm [°C] | ΔHm [W/g] | T5% [°C] | Tons [°C] | ||
| Butyric acid, non-limited MSM | P(84.1% HB-co-15.9% HTD) | −0.3 | 39.1 | 19.1 | 165.5 | 44.4 | 155.8 | 269.8 |
| Butyric acid, N-limited MSM | P(92.1% HB-co-7.9% HTD) | 2.6 | 37.7 | 23.7 | 172.2 | 41.1 | 226.6 | 267.5 |
| Valeric acid, non-limited MSM | P(4.7%HB-co-88.6% HV-co-5.1% HtriD-co-1.6% HTD) | −18.7 | 58.3 | 28.1 | 104.4 | 34.6 | 182.5 | 266.6 |
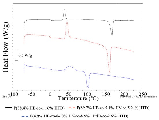
| Valeric acid, N-limited MSM | P(4.9% HB-co-84.0% HV-co-8.5% HtriD-co-2.6% HTD) | −22.7 | 52.8 | 26.9 | 103.4 | 33.0 | 183.1 | 261.3 |
| Caproic acid, non-limited MSM | P(89.7% HB-co-5.1% HV-co-5.2% HTD) | 1.8 | 46.4 | 43.9 | 161.0 | 56.4 | 174.8 | 272.3 |
| Caproic acid, N-limited MSM | P(80.8% HB-co-19.2% HTD) | 0.7 | 40.8 | 11 | 161.9 | 27.4 | 183.5 | 265.5 |
| Acetic acid:Butyric acid, non-limited MSM | P(92.0% HB-co-8.0% HTD) | 2.6 | 41.0 | 26.9 | 172.8 | 78.1 | 183.8 | 271.5 |
| Acetic acid:Butyric acid, N-limited MSM | P(93.0% HB-co-7.0% HTD) | 1.7 | 51.7 | 39.8 | 166.9 | 57.7 | 181.4 | 267.4 |
| 20% SMCFAssynthetic-rich stream, non-limited MSM | P(95.5% HB-co-4.5% HTD) | 3.3 | 47.3 | 13.5 | 167.3 | 61.7 | 225.2 | 269.7 |
| 20% SMCFAssynthetic-rich stream, N-limited MSM | P(94.7% HB-co-0.6% HV-co-4.7% HTD) | 2.9 | 42.2 | 5.6 | 168.2 | 55.1 | 243.6 | 267.7 |
| 10% SMCFAssynthetic-rich stream, N-limited MSM | P(88.4% HB-co-11.6% HTD) | 2.6 | 39.2 | 15.7 | 167.8 | 32.8 | 215.7 | 266.4 |
| 30% SMCFAssynthetic-rich stream, N-limited MSM | P(90.6% HB-co-5.5% HV-co-3.9% HTD) | 2.0 | 46.7 | 14.4 | 156.6 | 29.0 | 235.7 | 266.2 |
| 10% SMCFAsextracted-rich stream, non-limited MSM | P(95.6% HB-co-4.4% HTD) | 0.2 | 65.4 | 16.3 | 151.0 | 21.9 | 168.1 | 261.4 |
| 10% SMCFAsextracted-rich stream, N-limited MSM | P(90.6% HB-co-2.4% HV-co-7.0% HTD) | 2.7 | 53.4 | 40.2 | 155.9 | 56.2 | 174.2 | 262.3 |
Publisher’s Note: MDPI stays neutral with regard to jurisdictional claims in published maps and institutional affiliations. |
© 2022 by the authors. Licensee MDPI, Basel, Switzerland. This article is an open access article distributed under the terms and conditions of the Creative Commons Attribution (CC BY) license (https://creativecommons.org/licenses/by/4.0/).
Share and Cite
Szacherska, K.; Moraczewski, K.; Czaplicki, S.; Oleskowicz-Popiel, P.; Mozejko-Ciesielska, J. Conversion of Short and Medium Chain Fatty Acids into Novel Polyhydroxyalkanoates Copolymers by Aeromonas sp. AC_01. Materials 2022, 15, 4482. https://doi.org/10.3390/ma15134482
Szacherska K, Moraczewski K, Czaplicki S, Oleskowicz-Popiel P, Mozejko-Ciesielska J. Conversion of Short and Medium Chain Fatty Acids into Novel Polyhydroxyalkanoates Copolymers by Aeromonas sp. AC_01. Materials. 2022; 15(13):4482. https://doi.org/10.3390/ma15134482
Chicago/Turabian StyleSzacherska, Karolina, Krzysztof Moraczewski, Sylwester Czaplicki, Piotr Oleskowicz-Popiel, and Justyna Mozejko-Ciesielska. 2022. "Conversion of Short and Medium Chain Fatty Acids into Novel Polyhydroxyalkanoates Copolymers by Aeromonas sp. AC_01" Materials 15, no. 13: 4482. https://doi.org/10.3390/ma15134482
APA StyleSzacherska, K., Moraczewski, K., Czaplicki, S., Oleskowicz-Popiel, P., & Mozejko-Ciesielska, J. (2022). Conversion of Short and Medium Chain Fatty Acids into Novel Polyhydroxyalkanoates Copolymers by Aeromonas sp. AC_01. Materials, 15(13), 4482. https://doi.org/10.3390/ma15134482


