Abstract
Originally, the new catalyst Bi2SmSbO7 was synthesized by the hydrothermal synthesis method or by the solid-phase sintering method at a lofty temperature. A solvothermal method was utilized to prepare a Bi2SmSbO7/ZnBiYO4 heterojunction photocatalyst (BZHP). The crystal structure of Bi2SmSbO7 belonged to the pyrochlore structure and face-centered cubic crystal system by the space group of Fd3m. The cell parameter a was equivalent to 10.835(1) Å (Bi2SmSbO7). With Bi2SmSbO7/ZnBiYO4 heterojunction (BZH) as the photocatalyst, the removal rate (RR) of direct orange (DO) and the total organic carbon were 99.10% and 96.21% after visible light irradiation of 160 min (VLI-160M). The kinetic constant k toward DO concentration and visible light irradiation time (VLI) with BZH as photocatalyst reached 2.167 min−1. The kinetic constant k, which was concerned with total organic carbon, reached 0.047 min−1. The kinetic curve that came from DO degradation with BZH as a catalyst under VLI conformed to the second-order reaction kinetics. After VLI-160M, the photocatalytic degradation (PD) removal percentage of DO with BZH as the photocatalyst was 1.200 times, 1.268 times or 3.019 times that with Bi2SmSbO7 as the photocatalyst, ZnBiYO4 as the photocatalyst or with nitrogen-doped titanium dioxide as the photocatalyst. The photocatalytic activity (PA) was as following: BZH > Bi2SmSbO7 > ZnBiYO4 > nitrogen-doped titanium dioxide. After VLI-160M for three cycles of experiments with BZH as the photocatalyst, the RR of DO reached 98.03%, 96.73% and 95.43%, respectively, which meant that BZHP possessed high stability. By using the experiment of adding a trapping agent, the oxidative purifying capability for degradation of direct orange, which was in gradual depressed order, was as following: hydroxyl radical > superoxide anion > holes. Finally, the possible degradation pathway and degradation mechanism of DO were discussed systematically. A new high active heterojunction catalyst BZHP, which could efficiently remove toxic organic pollutants such as DO from dye wastewater after VLI, was obtained. Our research was meant to improve the photocatalytic property of the single photocatalyst.
1. Introduction
Due to high chroma, high chemical oxygen demand and complex composition, dye pollutants from the textile and photographic industries are becoming a serious environmental problem [1,2,3,4,5,6]. Direct orange S (C33H22N6Na2O9S2) was one of the most common pollutants found in wastewater [7,8], it was mainly used for dyeing textiles, leather and paper. Among various dyes, direct orange (DO) dye was very hard to degrade, however, DO was frequently used as a standard dyestuff pollutant for evaluating the activity of a photocatalyst under UV-light shining [8,9,10,11,12,13,14]. Therefore, the effective degradation of direct orange was a problem to be solved.
The conventional processing methods that we used to degrade those dye contaminates were bio-degradation, electrochemistry, adsorption and flocculation-precipitation [15,16,17,18,19,20,21,22]. However, because of the shortcomings and limitations of each method, the conventional methods of treating wastewater cannot achieve the maximum degradation effect [23]. Since 1972, photocatalytic reaction was firstly found, the photocatalysis technology had been booming due to the strong market demand [24], and is widely used in sewage treatment [25,26]. Photocatalysts could produce oxidation groups under light irradiation via absorbing sunlight as the energy source, decompose organic pollutants to generate oxidative free radicals [25,26,27,28,29], and finally effectively remove organic pollutants. Therefore, photocatalysis technology was scientifically attractive because of its high efficiency, energy-saving and pollution-free characteristics [28,29].
Metal oxides [30,31,32,33,34,35,36,37,38,39,40,41] and metal sulfides [38,39,40,41,42,43,44,45], such as TiO2 and ZnO, were the most common types of semiconductor photocatalysts. However, the long-term development of TiO2 in the market will be limited, because of the wide band gap, meaning that TiO2 can only absorb UV-light (occupying 5% of the solar energy), and for this reason it cannot make reasonable use of optical energy [46]. A report on the Ni-doped InTaO4 (the chemical formula can be summarized as ABO4) compound in 2001 showed that the ABO4 compound had great potential for photocatalytic preparation of hydrogen under visible light irradiation (VLI) [47]. Fortunately, in recent years, A2B2O7 compounds as photocatalysts [48,49] have also been reported to be able to degrade pollutants in wastewater. In 2011, for the sake of removing the rhodamine B in wastewater, Luan et al. synthesized and used nano-catalysts Y2InSbO7 and Y2GdSbO7 for the first time, and studied their structure and photocatalytic properties [48]. Luan et al. prepared Cd2BiSbO7 and Gd2YSbO7 photocatalysts and studied the structure and catalytic performance of a single catalyst. Based on their report, these two catalysts achieved complete removal of rhodamine B, indicating that they were very good visible light-responsive catalysts [49]. As we all know, small improvements in the construction configuration of quasi-conductor catalysts might facilitate the disassociation of photo-generated current carriers, thereby improving photocatalytic activities [50,51,52,53,54,55,56]. There are many effective methods [50,51,52,53,54,55,56,57,58,59,60,61,62,63] which could improve the activity of photocatalysts, such as ions doping, the construction of heterojunctions and photosensitization.
Many methods [50,51,52,53,54,55,56,57,58,59,60,61,62,63] have been proven to be effective, such as ion doping methods, the construction of heterojunctions and photosensitization. Among all the methods mentioned above, the design of composite materials was a promising study sphere of photocatalysts. The composite photocatalyst concentrated the role of a single photocatalyst so that the composite system [50,51,52,53,54,55,56,57,58,59,60,61,62,63] had a higher efficiency of light utilization, photocatalytic performance and chemical stability. As we had reported in the previous work [64], Gd2YbSbO7 acted as a photocatalyst, crystallized in a pyrochlore-type structure, therefore, changing its structure seemed to be a possible method for realizing the improvement of the PA. According to all the analysis results which were listed above, we could assume that Gd3+ in Gd2YbSbO7 was replaced by Bi3+, and the replacement of Yb3+ by Sm3+ might increase the carrier concentration. Consequently, the electrical transportation and photophysical properties showed an obvious change and improvement in the novel Bi2SmSbO7 compound, which might possess advanced photocatalytic performance. In addition, the construction of heterojunctions has been proven to be an effective way to enhance the photocatalytic efficiency [65,66,67,68,69,70,71,72,73,74,75,76,77,78,79,80,81,82]. Sun et al. realized that the degradation of ciprofloxacin on BiVO4-Bi2WO6 nano-heterojunction photocatalyst was driven by visible light. In their report, the nanometer heterogenous junction photocatalyst (BiVO4-Bi2WO6) exhibited improved photocatalytic degradation (PD) activity for degrading ciprofloxacin under VLI [65]. Yang et al. prepared the g-C3N4@BiOCl visible light-responsive photocatalyst with a hollow flower-like structure through a self-assembly strategy. Due to the excellent charge separation ability under VLI, the heterojunction photocatalyst degradation of rhodamine B exhibited much higher photocatalytic activity (PA) than g-C3N4 and BiOCl [66]. Analyzing the above results, it was known that constructing a heterojunction photocatalyst could not only cause an obvious improvement in the reduction-oxidation property of the catalyst [67] but also improve the reactionary activity. Therefore, a Bi2SmSbO7/ZnBiYO4 heterogenous junction photocatalyst was also synthesized, and the performance of this heterojunction photocatalyst in DO degradation was worth looking forward to.
In the article, an X-ray diffractometer (XRD), scan electronic microscope-energetic disperse spectrum (SEM-EDS) and X-ray phoelectron spectrometer (XPS) were utilized for analyzing the structural properties of pure phase ZnBiYO4 and single phase Bi2SmSbO7. The removal rate (RR) of DO under VLI with pure phase Bi2SmSbO7 as a catalyst, ZnBiYO4 as a catalyst, N-doped TiO2 (N-dT) as a catalyst or with Bi2SmSbO7/ZnBiYO4 heterojunction (BZH) as a photocatalyst was detected. Because the energy band width of ZnBiYO4 was 1.953 eV, which was easily lower than the energy of incident visible light under VLI, it was easy to generate photo-generated electrons and photo-generated holes which were separated efficiently and could not easily be recombined. Therefore, ZnBiYO4 was a visible light responsible catalyst with high photocatalytic activity. Meanwhile, the conduction band potential of ZnBiYO4 was −0.682 eV, which was more negative than −0.33 eV, therefore, the photo-generated electrons on the conduction band of ZnBiYO4 were more likely to interact with dissolved oxygen in water to generate superoxide anion. The superoxide anion had a strong oxidizing effect and could directly oxidize direct orange. The valence band (VB) electric potential of Bi2SmSbO7 was 2.539 eV, which was more nonnegative than 2.38 eV. Therefore, holes within the VB of Bi2SmSbO7 might oxidize hydroxyl and water into hydroxyl radicals for degrading DO in water. Hydroxyl radicals had a strong oxidizing effect; therefore, the pollutant DO in water could be directly and efficiently oxidized by hydroxyl radicals. At the same time, the energy band width of Bi2SmSbO7 was 2.42 eV, thus Bi2SmSbO7 was also a visible light responsible catalyst with high photocatalytic activity. Both Bi2SmSbO7 and ZnBiYO4 could generate photo-generated electrons and photo-generated holes which were not easily recombined under VLI, and had high photocatalytic activity, thus Bi2SmSbO7 and ZnBiYO4 could build a perfect heterojunction together. In this study, our purpose was to prepare novel heterojunction catalysts which could remove DO from pharmaceutic wastewater under VLI. For the first time, a new type of A2B2O7 compound Bi2SmSbO7 nano catalyst was successfully synthetized and the Bi2SmSbO7/ZnBiYO4 heterojunction photocatalyst (BZHP) was proposed for removing DO in dye wastewater more efficiently.
2. Result and Discussion
2.1. XRD Analysis
The structural property of Bi2SmSbO7 was confirmed by XRD experiment, and the corresponding results, which were obtained by the Materials Studio program based on the Rietveld analysis method, are shown in Figure 1a. According to the refinement results, Bi2SmSbO7 was a pure phase, simultaneously, the cell parameter a was equivalent to 10.835(1) Å. Based on the truing result, the observed and the calculated intensities showed a highly consistent pattern, which proved that Bi2SmSbO7 was a cubical syngony with a space group of Fd3m, and in the refinement model, O atoms were included. Table 1 shows the atomic coordinates and structural parameters of Bi2SmSbO7. Figure 1b shows the atomic structure of Bi2SmSbO7. It could be concluded from Figure 1a that Bi2SmSbO7 crystallized into a pyrochlore-type structure. The full profile structure refinement results of Bi2SmSbO7 produced unweighted R factors, RP = 22.09%, and the space group was Fd3m.
Figure 1.
(a) XRD and corresponding Rietveld truing of Bi2SmSbO7 (red dotted line represents experimentative XRD datum of Bi2SmSbO7; blue solid line represents simulative XRD data of Bi2SmSbO7; black solid line is the disparity between experimentative XRD datum of Bi2SmSbO7 and analogous XRD datum of Bi2SmSbO7; green perpendicular is the observed reflective locality); (b) Atomy construction of Bi2SmSbO7. (Rubious atomy: O, dark purple atomy: Bi, light purpure atomy: Sm or Sb.).
Table 1.
Crystallinenature parameters of Bi2SmSbO7.
It was obvious that the variation sign of the crystalloid structure of the A2B2O7 compounds was interrelated with the x coordinate of the O (1) atom, when the longness of the A-O (1) bonds was equivalent to the longness of the A-O (2) bonds, and the coordinate was 0.375 [83]. Therefore, if the x value was gained, the information about the distortion of the octahedra (MO6 (M = Sm3+ and Sb5+)) could be confirmed [83]. Based on the x value, which was 0.375, the distortion of the MO6 octahedra could be confirmed to exist in the crystalloid structure of Bi2SmSbO7 [83]. For the purpose of preventing recombination of the photoinduced electrons and photoinduced holes, electric charge disjunction was required for PD of direct orange under VLI. According to the reports of Kohno [84] and Nakagawa [85], the localized torsional deformation of the MO6 octahedron would have helped in inhibiting the electric charge reconfiguration and above-mentioned important factors would, in the end, have contributed to the enhancement of the PA. Based on their theoretical basis, it was easy to conjecture that the torsional deformation of the MO6 octahedron in the crystalline nature of Bi2SmSbO7 could also be considered to be useful for enhancing the PA. Bi2SmSbO7 contained a tridimensional network configuration of corner-sharing SmO6 and SbO6 octahedrons. Each Bi3+ ion was connected to two MO6 octahedron to form a chain. There were two lengths of Bi-O bonds, three fourths were 2.687 Å (Bi-O (1)) and the rest were 2.273 Å (Bi-O (2)). The six M-O (1) (M = Sm3+ and Sb5+) bond lengths were 1.978 Å and the M-Bi (M = Sm3+ and Sb5+) bond lengths were 4.353 Å. The M-O-M (M = Sm3+ and Sb5+) bond angles were 139.624° in the crystalline nature of Bi2SmSbO7. The Bi-M-Bi (M = Sm3+ and Sb5+) bond angles were 131.743° in the crystalline nature of Bi2SmSbO7. The Bi-M-O (M = Sm3+ and Sb5+) bond angles were 135.505° in the crystalline nature of Bi2SmSbO7. Many previous reports showed that the luminescent properties were related to the bond angle, which was on the verge of 180°. The locomotivity of the photogenerated electrons and photogenerated holes was enhanced [83] and the PA was improved because the electrons and holes could easily get to the reaction sites of the catalyst surface [83].
Moreover, the Sb–O–Sb bond angle of Bi2SmSbO7 was larger, which resulted in an increase in the PA of Bi2SmSbO7. In accordance with the above analysis, the effect of degrading direct orange under VLI with Bi2SmSbO7 as the catalyst was mainly due to the crystalline nature and electronic crystalline nature.
Figure 2 shows the X-ray diffraction pattern of ZnBiYO4. We have labeled the individual diffractive peaks in Figure 2. The structure of ZnBiYO4 was tested by X-ray diffraction technology. We used the Materials Studio program for analyzing the collected data, and further information about the structure was obtained using the Rietveld analysis method. The conclusion could be made that ZnBiYO4 was single phase and the structure cell parameter of ZnBiYO4 could be equivalent to a = b = 11.176(5) Å and c = 10.014(3) Å. Based on the refinement result, we proved that the crystal formation of ZnBiYO4 went with a quadrigonal spinelle crystalline nature and space group I41/A. The band gap of ZnBiYO4 was equivalent to 1.953 eV.
Figure 2.
The XRD spectrum of ZnBiYO4.
Figure 3 reveals the XRD spectrum of the Bi2SmSbO7/ZnBiYO4 heterojunction photocatalyst. It could be seen from Figure 3 that the pure single-crystal photocatalyst Bi2SmSbO7 and single phase photocatalyst ZnBiYO4 existed. Each diffraction peak of Bi2SmSbO7 and each diffraction peak of ZnBiYO4 were successfully marked, and other impurities were not found in Figure 3.
Figure 3.
The X-ray diffraction spectrum of Bi2SmSbO7/ZnBiYO4 heterojunction.
2.2. Diffused Reflection Spectrum
The absorbing spectra of the Bi2SmSbO7 sample are listed in Figure 4a,b. The absorption edge of this new photocatalyst Bi2SmSbO7 was at 458 nm which could be found within the seeable light range. The bandgap energy (BGE) of the crystal quasi-conductor was calculated by the Kubelka–Munk function (1) (known as the re-emission function) [86,87].
Figure 4.
(a) The diffused reflection spectrum of Bi2SmSbO7; (b) Correlative diagram of (αhν)1/2 and hν for Bi2SmSbO7.
In this function, S represented the scattered factor, Rd represented the diffuse reflectance, and α was absorbance index of radiation.
The absorption which was in the region of the energy band edging of the crystal quasi-conductor followed the equality as (2) [88,89]:
In this equation, A represents the proportional constant, α represents absorption coefficient, Eg represents band gap and ν represents light frequency, and n determined the transition property of the quasi-conductor.
Following the above procedures, the values of Eg for Bi2SmSbO7 could be estimated as 2.42 eV. The estimated merical number of n could be equivalent to about 2, which indirectly allowed the optical transition of Bi2SmSbO7.
Figure 5a,b show the UV-Vis diffuse reflectance spectra of ZnBiYO4. According to the above procedures and Figure 5a,b, the merical number of Eg for ZnBiYO4 could be estimated as 1.95 eV. The estimated merical number of n was approximately 2, which indirectly allowed the photic transition of ZnBiYO4.
Figure 5.
(a) The diffused reflection spectrum of ZnBiYO4; (b) Correlative diagram of (αhν)1/2 and hν for ZnBiYO4.
Figure 6a,b show the UV-Vis diffuse reflectance spectra of BZH. In accordance with the above procedures and Figure 6a,b, the numerical value of Eg for BZH was calculated to be 2.15 eV. The estimated merical number of n was equivalent to approximately 2, which indirectly allowed the photic transition of BZH.
Figure 6.
(a) The diffused reflection spectrum of Bi2SmSbO7/ZnBiYO4 heterojunction; (b) Correlative diagram of (αhν)1/2 and hν for Bi2SmSbO7/ZnBiYO4 heterojunction.
According to Formula (2), we obtained the following formula (αhν)1/2 = hν − Eg, and (αhν)1/2 was regarded as the y coordinate and hν was regarded as the x coordinate. According to Figure 6b, the intersection with the x axis should be the value of Eg = 2.15 eV when y = 0. The BGE of Bi2SmSbO7 was 2.42 eV; the BGE of ZnBiYO4 was 1.95 eV; the BGE of BZH was 2.15 eV; the BGE of Bi3O5I2 could be equivalent to 2.02 eV [90]; and the BGE of zinc oxide, which was doped with cobalt, could be equivalent to 2.39 eV [91]. Every BGE of the above five compounds was lower than 2.43 eV, meaning that all the compounds would not only show responsive characteristics under VLI, but also possess tremendous potential to exhibit lofty photocatalytic activity.
2.3. Performance Representation of Bi2SmSbO7/ZnBiYO4 Heterojunction Photocatalyst
So as to obtain the valence states and the surface chemical compositions of each element of Bi2SmSbO7/ZnBiYO4, the XPS was accomplished. Figure 7 shows the XPS comprehensive spectrogram of Bi2SmSbO7/ZnBiYO4. Figure 8 represents the XPS spectrogram of O2−, Bi3+, Sm3+, Zn2+, Y3+ and Sb5+, which are derived from Bi2SmSbO7/ZnBiYO4. Based on the XPS full spectrum, which was shown in Figure 7, the synthesized Bi2SmSbO7/ZnBiYO4 included the elements of Bi, Sm, Zn, Y, Sb and O. According to XPS analysis results, which was displayed in Figure 7 and Figure 8, the chemical valence of Bi, Sm, Zn, Bi, Y, Sb or O ion was equivalent to +3, +3, +2, +3, +3, +5 or −2. According to the results of the above analytical tests, the formulae for Bi2SmSbO7 and ZnBiYO4 could be determined. It can be seen from Figure 8 that various elemental peaks with specific binding energies were obtained. In Figure 8, the O1s peak of the O element is located at 529.90 eV. The position of the Bi5d3/2 and Bi5d5/2 peaks were fitted (located at 28.45 eV and 26.05 eV). The position of the Sm3d5/2 peak was at 1082.99 eV and the Sb4d3/2 peak was located at 35.20 eV. The position of Zn2p1/2 or Zn2p3/2 peaks were at 1041.72 eV and 1021.45 eV. The position of the Y3p3/2 peak of the Y element was at 301.05 eV. In short, Figure 7 and Figure 8 showed the existence of zinc (Zn2p), samarium (Sm3d), antimony (Sb4d), bismuth (Bi4f and Bi5d), Yttrium (Y3p) and oxygen (O1s) within the synthetical catalysts. The results of the superficial element characterization showed that the medial atomistic percentage of Bi:Sm:Sb:Zn:Y:O was equivalent to 940:262:285:384:402:7727. The atomistic proportion of Bi:Sm:Sb or Zn:Bi:Y in the catalyst of BZHP was equivalent to 2.09:1.00:1.09 and 1.00:1.02:1.05, respectively. The reason for the high oxygen value might be owing to the large amount of O which was sorbed on the superficies of Bi2SmSbO7/ZnBiYO4. Obviously, it showed that there were no other phases in the XPS peak of Bi2SmSbO7/ZnBiYO4 because neither shoulder nor expansion was observed.
Figure 7.
XPS survey spectrum of the Bi2SmSbO7/ZnBiYO4 heterojunction photocatalyst.

Figure 8.
(a) XPS of O2− which derived from BZHP; (b) XPS of Zn2+ which came from BZHP; (c) XPS of Bi3+ (Bi5d) which came from BZHP; (d) XPS of Sm3+ which came from BZHP; (e) XPS of Y3+ which came from BZHP; (f) XPS of Sb5+ which came from BZHP; (g) XPS of Bi3+ (Bi4f) which was obtained from BZHP.
Figure 9 shows the SEM image of BZHP. Figure 10 shows the EDS elemental mapping of BZHP. Figure 11 shows the EDS spectra of BZHP. The results of Figure 9 and Figure 10 showed that the large dodecahedron structure belonged to Bi2SmSbO7, and the uniformly dispersed spherical flocculent small particles belonged to ZnBiYO4. Small particles of ZnBiYO4 were closely surrounded and loaded on the surface of large particles of Bi2SmSbO7. As could be seen from Figure 9 and Figure 10, the particles of Bi2SmSbO7 were surrounded by the smaller particles of ZnBiYO4 and all these particles were tightly bound together, which was a strong proof of the successful preparation of BZHP. Bi2SmSbO7 possessed a rhombic dodecahedron-like morphology. It was common sense that the distinct surface energy of crystallite facets controlled the structural growth of the photocatalyst. Previously, researchers have discovered that the Ag3PO4 (110) surface possessed a higher superficial energy when compared with the (111) surface, therefore, the crystal structure aggregated along the (110) direction, resulting in the formation of a rhombic dodecahedron-like morphology of silver phosphate [92,93]. It could be concluded that the reason why Bi2SmSbO7 possessed a diamond-shaped dodecahedron morphology might be illuminated in the above analysis. ZnBiYO4 possessed a regular spherical morphology and a uniform particle distribution (Figure 9). The particle size of Bi2SmSbO7 was approximately 2600 nm, while the particle size of ZnBiYO4 was approximately 1000 nm.
Figure 9.
SEM photograph of Bi2SmSbO7/ZnBiYO4 heterojunction photocatalyst.
Figure 10.
EDS elementary mapping of Bi2SmSbO7/ZnBiYO4 heterojunction catalyst (Bi, Sm, Sb, O from Bi2SmSbO7 and Zn, Bi, Y, O from ZnBiYO4).
Figure 11.
EDS spectrum of Bi2SmSbO7/ZnBiYO4 heterojunction photocatalyst.
The results of the SEM-EDS analysis are shown in Figure 9, Figure 10 and Figure 11, and other impurities were not found in the BZHP compound. Similarly, the unmingled phase of Bi2SmSbO7 had a good agreement with the results of the XRD analysis, which is represented in Figure 1a. From Figure 10 and Figure 11, it can be concluded that BZHP contained bismuth element, samarium element, antimony element, zinc element, yttrium element and oxygen element. The previous results had a good agreement with the XPS results of BZHP. According to the EDS spectrum of BZHP (Figure 11), the atomic ratio of Bi:Sm:Sb:Zn:Y:O was 1213:414:418:405:389:7161, which was also consistent with XPS results of BZHP. The atomic ratio of Bi2SmSbO7:ZnBiYO4 was close to 1000:973. Based on the above results, we could conclude that BZHP owned high purity under the preparation conditions which were used in this work.
2.4. Photocatalytic Activity
Figure 12 shows the concentration variance bights of DO during PD of DO with BZH as catalyst or with Bi2SmSbO7, ZnBiYO4 and N-dT as catalyst under VLI. It could be found from Figure 12 that the concentration of DO within dye wastewater gradually decreased with increasing visible light irradiation time when Bi2SmSbO7/ZnBiYO4 heterojunction or Bi2SmSbO7 or ZnBiYO4 or N-dT was utilized as a catalyst for degrading DO. In all the contrast experiments, the VLI time was set to be 160 min. The results which were obtained from Figure 12 showed that after VLI-160M, with BZH as the catalyst, the RR value of DO in dye wastewater achieved 99.10%, the reactive rate was equivalent to 3.097 × 10−9 mol·L−1·s−1, and the photon efficiency (PE) was equivalent to 0.0651%. With Bi2SmSbO7 as the photocatalyst or with ZnBiYO4 as the photocatalyst, the RR decreased. When Bi2SmSbO7, ZnBiYO4 or N-dT were utilized as the photocatalyst, the RR of DO achieved 82.57%, 78.13% or 32.83%, the rate of reaction was equivalent to 2.58 × 10−9 mol·L−1·s−1, 2.44 × 10−9 mol·L−1·s−1 or 1.03 × 10−9 mol·L−1·s−1, and the PE was equivalent to 0.0542%, 0.0513% or 0.0216%, respectively. Therefore, it was obvious that the photodegradation efficiency of DO was the highest when using BZHP. By calculating the contrast experimental results, the RR of DO by using BZH was 1.200 or 1.268 or 3.019 times higher than that with Bi2SmSbO7 as the catalyst, ZnBiYO4 as the catalyst or with N-dT as the catalyst. Using Bi2SmSbO7 as the photocatalyst or BZHP as the photocatalyst, respectively, the concentration of nulvalent Sb or Sb5+ in the aqueous solution before photocatalytic degradation of direct orange was zero. After VLI-160M for PD of DO, the content of nulvalent Sb or Sb5+ in the aqueous solution was also zero. Regarding the specific surface area, the specific surface area of Bi2SmSbO7 was 4.15 m2/g, the specific surface area of ZnBiYO4 was 4.06 m2/g, and the specific surface area of BZHP was 4.12 m2/g. All of our photocatalytic reactions (Figure 12) were realized by the photocatalysts which were prepared by the hydrothermal synthesis method; thus, it would not cause a difference in photocatalytic activity.
Figure 12.
Concentration variation curves of DO during PD of DO with Bi2SmSbO7/ZnBiYO4 heterojunction as catalyst or with Bi2SmSbO7, ZnBiYO4, N-doped TiO2 as catalyst under VLI.
Figure 13 shows the concentration changing curved line of total organic carbon (TOC) during PD of DO in dye wastewater with BZH or with Bi2SmSbO7 or with ZnBiYO4 or with N-dT as catalyst under VLI. The concentration of DO gradually decreased with increasing VLI time. As could be found from Figure 13, the RR of TOC within dye wastewater reached 96.21%, 73.54%, 68.71% and 25.78%, respectively, after VLI-160M when BZHP, Bi2SmSbO7, ZnBiYO4 and N-dT were used for degrading DO. In summary, based on all the above results, it was easy to conclude that the RR of TOC during removing DO when using BZHP was higher than that when Bi2SmSbO7, ZnBiYO4 or N-dT were used, which meant that BZHP owned the maximal mineralization percentage ratio compared with the other three photocatalysts.
Figure 13.
Concentration changing curved line of TOC during PD of DO in dye wastewater with Bi2SmSbO7/ZnBiYO4 heterojunction or with Bi2SmSbO7or with ZnBiYO4 or with N-doped TiO2 as catalyst under VLI.
Figure 14 presents the concentration variation curves of DO during PD with Bi2SmSbO7/ZnBiYO4 heterojunction as the photocatalyst under VLI for three cycle degradation (TCD) tests. Figure 14 shows that the RR of DO reached 98.03%, 96.73% or 95.43%, respectively, after VLI-160M with Bi2SmSbO7/ZnBiYO4 heterojunction as catalyst by finishing 3 cycle experiments for removing DO. Figure 15 reveals the concentration changing curved line of TOC during PD of DO with BZH as the photocatalyst under VLI for TCD tests. We could observe from Figure 15 that the RR of TOC was 94.98%, 93.51% or 92.19%, respectively, after VLI-160M with BZH as the photocatalyst. The experimental results, which were obtained from Figure 14 and Figure 15, showed that the BZHP had high stability.
Figure 14.
Concentration variation curves of DO during PD of DO in dye wastewater with Bi2SmSbO7/ZnBiYO4 heterojunction as photocatalyst under VLI for three cycle degradation tests.
Figure 15.
Concentration changing curved line of TOC during PD of DO in dye wastewater with Bi2SmSbO7/ZnBiYO4 heterojunction as photocatalyst under VLI for 3 cyclical degradation experiments.
Figure 16 exhibits the second-order kinetic curves for the PD of DO with BZH, Bi2SmSbO7, ZnBiYO4 or N-dT as catalysts under VLI. According to Figure 16, the dynamic constant k, which was obtained from the kinetic plot toward DO concentration and VLI time with BZH, Bi2SmSbO7, ZnBiYO4 or N-dT as catalyst, reached 2.167 or 0.495 or 0.395 or 0.089 min−1, respectively. The dynamic constant k, which derived from the kinetic plot toward TOC concentration, was 0.047 or 0.010 or 0.009 or 0.002 min−1 with BZH, Bi2SmSbO7, ZnBiYO4 or N-dT as photocatalysts. The fact that the merical number of KTOC for removing DO was lower than the merical number of KC for removing DO, even though they were using the same catalyst, indicated that the photodegradation intermediate products probably appeared during the PD of DO under VLI. At the same time, the degradation of DO by BZHP showed higher mineralization efficiency compared with the other three photocatalysts.

Figure 16.
(a) Observed second-order dynamic curves for the PD of DO with Bi2SmSbO7/ZnBiYO4 heterojunction or with Bi2SmSbO7 or with ZnBiYO4 or with N-dT as catalyst under VLI; (b) Achieved second-order kinetic plots for TOC during PD of DO with BZH or with Bi2SmSbO7 or with ZnBiYO4 or with N-dT as catalyst under VLI.
Figure 17 displays the observed second-order kinetic plots for the PD of DO with BZH as the photocatalyst under VLI for TCD tests. According to the results in Figure 17, the dynamic constant k, which was obtained from the kinetic plot towards the DO concentration and VLI time with BZH as the photocatalyst for TCD tests, was equivalent to 1.415 or 0.849 or 0.558 min−1. Figure 18 shows the achieved second-order dynamic curves for TOC during the PD of DO with BZH as catalyst under VLI for TCD tests. It could be found from Figure 18 that the kinetic constant k, which came from a dynamic curve towards the TOC concentration and VLI time with BZH as the photocatalyst for TCD tests, achieved 0.031 min−1 or 0.022 min−1 or 0.014 min−1. The results of Figure 16, Figure 17 and Figure 18 exhibited that the PD of DO with BZH as the photocatalyst under VLI coincided to the second-order reaction kinetics.
Figure 17.
Achieved second-order dynamic curves for the PD of DO with Bi2SmSbO7/ZnBiYO4 heterojunction as the photocatalyst under VLI for three cycle degradation tests.
Figure 18.
Observed second-order kinetic plots for TOC during the PD of DO with Bi2SmSbO7/ZnBiYO4 heterojunction as the photocatalyst under VLI for 3 cyclical degradation experiments.
A conclusion could be summarized from Figure 17 and Figure 18 that the RR of DO decreased by 3.67% with BZH as the photocatalyst under VLI after TCD tests and the RR of TOC decreased by 4.02%. In the above three cycle experiments, there was no significant difference in degradation efficiency, and the photocatalyst structure of BZHP was stable.
Figure 19 exhibits the relation curves among ethylenediamine tetraacetic acid (EDTA), isopropanol (IPA) or benzoquinone (BQ) and RR of DO with BZH as the catalyst under VLI. At the beginning of the photo-catalysis experiment, different free radical scavengers were added to the DO solution to capture the active species during the degradation process of DO. Isopropanol (IPA) that we used to capture hydroxyl radicals (•OH), benzoquinone (BQ) that we utilized to capture superoxide anions (•O2−), and ethylenediaminetetraacetic acid (EDTA) that we used to capture holes (h+). The starting IPA concentration, BQ concentration or EDTA concentration was equivalent to 0.15 mmol L−1, and the added amount of IPA or BQ or EDTA was equivalent to 1 mL. Based on Figure 19, when the IPA, BQ or EDTA was put into the DO solution, the RR of DO decreased by 67.13%, 49.87% or 27.80%, respectively, compared with the standard RR of DO. Therefore, the conclusion could be drawn that in the process of DO degradation, •OH, h+ and •O2− were all active free radicals, and •OH played a leading role when using BZH as the photocatalyst to degrade DO under VLI. By using the experiment of adding a capture agent, it was found that the hydroxyl radical possessed the maximum oxidizing removal capability for eliminating DO in dye wastewater compared with superoxide anion or holes. The oxidizing removal capability for degradation DO was as follows: hydroxyl radical > superoxide anion > holes.
Figure 19.
(a) RR of DO by using three trapping agents with BZH as the catalyst under VLI. (b) The relation curves among ethylenediamine tetraacetic acid (EDTA), isopropanol (IPA) or benzoquinone (BQ) and RR of DO with BZH as the catalyst under VLI.
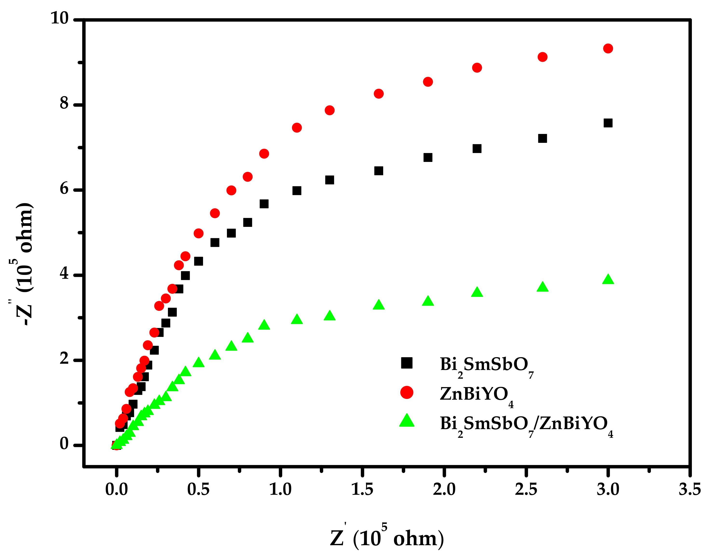
The Nyquist impedance plot measurement was an important test that was always used for characterization of the migrating course of photoinduced electrons and photoinduced holes at the solid/electrolyte separating surface of the photocatalysts. The smaller arc radius meant that the transportation efficiency of the photocatalysts was high. Figure 20 shows the corresponding Nyquist impedance plots of the prepared BZHP or Bi2SmSbO7 photocatalyst or ZnBiYO4 photocatalyst. It was distinct, according to Figure 20, that the diameter of the arc radius was in the order ZnBiYO4 > Bi2SmSbO7 > BZHP, as the above results indicated that BZHP exhibited a more efficient separation of photogenerated electron and photogenerated hole and faster interfacial charge migration ability.
Figure 20.
Nyquist impedance plots of Bi2SmSbO7/ZnBiYO4 heterojunction photocatalyst or Bi2SmSbO7 photocatalyst or ZnBiYO4 photocatalyst.
2.5. Probable Degradation Mechanism Analysis
The probable PD mechanism of DO with BZH as photocatalyst under VLI is exhibited in Figure 21. The potentials of the conductance band (CB) or valence bond band (VB) for quasi-conductors were estimated using the following Formulas (3) and (4) [94]:
Figure 21.
Possible PD mechanism of DO with Bi2SmSbO7/ZnBiYO4 heterojunction as photocatalyst under VLI.
In the above two equations, Eg was the bandgap of the quasi-conductor, X was the electronegativity of the quasi-conductor and Ee was the free electronic energy on the hydrogen scale (Ee = 4.5 eV). The VB electric potential or the CB electric potential for Bi2SmSbO7 (determined by Formulas (3) and (4)) was equivalent to 2.539 eV or 0.123 eV, respectively. In addition, for ZnBiYO4, the VB electric potential and the CB electric potential were calculated to be 1.271 eV and −0.682 eV, respectively. It could be found that both Bi2SmSbO7 and ZnBiYO4 could assimilate seeable light and constitutionally generated electron–hole pairs when the BZHP was irradiated by VLI. Since the redox potential position of the CB of ZnBiYO4 (−0.682 eV) was more negative than that of Bi2SmSbO7 (0.123 eV), the photoinduced electrons on the CB of ZnBiYO4 could transform to the CB of Bi2SmSbO7. In addition, the redox potential position of the VB of Bi2SmSbO7 (2.539 eV) was more positive than that of ZnBiYO4 (1.271 eV), the photoinduced holes on the VB of Bi2SmSbO7 could transfer to the VB of ZnBiYO4. Hence, using BZHP, which consists of Bi2SmSbO7 and ZnBiYO4, would obviously diminish the reunion rate of photo-induced electrons and photo-induced holes. Moreover, the inner resistance would also decrease, and the lifespan of photoinduced electrons, photo-induced holes and the interfacial charge transfer would be enhanced [95]. As a result, more •OH or •O2− (oxidative radicals) could be manufactured, helping to raise the removal efficiency of DO. In Figure 21, the CB potential of ZnBiYO4 was −0.682 eV and the potential of O2/•O2− was −0.33 V, and more subtractive potential meant that the electrons within the CB of ZnBiYO4 could absorb oxygen to produce •O2− which could degrade DO. The value of the VB electric potential of Bi2SmSbO7 was (2.539 eV) larger than that of OH−/•OH (2.38 V), revealing that the holes in the VB of Bi2SmSbO7 could oxidize H2O or OH− into •OH for degrading DO, which was shown as path 2. Lastly, as shown in path 3, the photoinduced holes in the VB of Bi2SmSbO7 or ZnBiYO4 could straightly oxidize and remove DO owing to its strong oxidation capability. To sum up, the high efficiency of electron–hole separation was the reason that BZHP could promote DO degradation.
For the purpose of studying the degradation mechanism of DO, the intermediate products were also detected using the LC-MS method during the degradation process of DO. The intermediate products which were obtained during the PD of DO were identified as phenyldiazene (m/z = 106), naphtahlene (m/z = 127), aniline (m/z = 93), hydroquinone (m/z = 112), 1,2,6-trihydroxy-3-naphthalene sulfonate (m/z = 257), phenol (m/z = 94), oxalid acid (m/z = 90), C11H10O5N2S (m/z = 282), C11H9O5NS (m/z = 266) and 8-aminonaphthol (m/z = 152). Based on the detected intermediates, we could extrapolate the degradation pathway of DO, as shown in Figure 22. It could be found from Figure 22 that oxidation reaction and hydroxylation reaction were realized during PD process of DO. Ultimately, DO was converted into small molecular organic compounds and finally united with other organic active groups to convert into carbon dioxide and water.
Figure 22.
Suggested PD pathway scheme for DO under VLI with Bi2SmSbO7/ZnBiYO4 heterojunction as catalyst.
3. Experimental Section
3.1. Materials and Reagents
The analytical grades were ethylenediaminetetraacetic acid (EDTA, 99.5%), isopropyl alcohol (IPA, purity ≧ 99.7%) and P-benzoquinone (BQ, purity ≧ 98.0%). The purchased anhydrous ethanol (purity ≧ 99.5%) conformed to the specifications of the American Chemical Society. The gas chromatography grade was DO (chemical formula: C33H22N6Na2O9S2, purity ≧ 98%). In this work, ultra-pure water (18.25 MU cm) was utilized.
3.2. Preparation Method of Bi2SmSbO7
The new photocatalyst Bi2SmSbO7 was synthesized via a high-temperature solid-phase sintering method at a temperature of 1090 °C. High purity Bi2O3 (99.99%), Sm2O3 (99.99%) and Sb2O5 (99.99%) were used for raw materials. Because all the raw materials were of high purity, it was unnecessary to do the further purification test. Due to the high volatility of Bi2O3 at high temperatures, we finally decided to increase the amount of Bi2O3 to 120% after 5 experiments. Before the experiment, all the above powders (n(Bi2O3):n(Sm2O3):n(Sb2O5) = 2.4:1:1) were dried for 4 h at 200 °C. The Bi2SmSbO7 was prepared by mixing the precursors stoichiometrically, then pressing them into small columns and putting them in an alumina crucible. After calcination in an electric furnace for 2 h at 400 °C, the raw materials and small columns were taken out. We ground the mixture and then put them in the electric stove. Finally, it was calcined separately in an electric furnace at 1090 °C for 35 h.
The 0.30 mol/L Bi (NO3)3·5H2O, 0.15 mol/L Sm(NO3)3·6H2O and 0.15 mol/L SbCl5 were blended and kept stirring for 20 h. The above solution was transferred to an autoclave lined with polytetrafluoroethylene and heated at 200 °C for 15 h. Afterwards, the achieved powder was calcined in a tubular stove at 8 °C/min under N2 for 10 h at 800 °C. Finally, Bi2SmSbO7 powder was also obtained by the hydrothermal synthesis method.
3.3. Preparation Method of ZnBiYO4
Preparation of the ZnBiYO4 catalyst was realized by high-temperature solid-phase sintering method. ZnO, Bi2O3 and Y2O3 were all raw materials with a purity as high as 99.99%. Due to the high volatility of Bi2O3 at high temperatures, we finally decided to increase the amount of Bi2O3 to 120% after 5 experiments. In order to decrease the particle size of the fully-mixed materials (n(ZnO): n(Bi2O3): n(Y2O3) = 2.4:1:1), a ball mill method was used for making the final particle size to 1–2 µm. Before the synthesis of the target products, all the powder compounds were dried at 200 °C for 4 h. These powders were pressed into discs and put into an alumina crucible in an electric stove (KSL1700X, Hefei Kejing Materials Technology Co., Ltd., Hefei, China) and heated at 750 °C for 6 h. The powder was heated again in the same electric furnace at 1000 °C for 35 h after the pressing and crushing procedures. Lastly, after complete grinding, pure ZnBiYO4 catalyst was obtained.
The 0.15 mol/L Zn(NO3)2·6H2O, 0.15 mol/L Bi (NO3)3·5H2O and 0.15 mol/L Y(NO3)3·6H2O were mixed and kept stirring for 20 h. The above solution was transferred to an autoclave lined with polytetrafluoroethylene and heated for 15 h at 200 °C. Then, the resultant powder was calcined in a tubular stove at a rate of 8 °C per min under N2 protection at 780 °C for 10 h. Finally, ZnBiYO4 powder was also obtained by hydrothermal synthesis method.
3.4. Synthesis of N-Doped TiO2
The nitrogen-doped titanium dioxide (NT) catalyst used tetrabutyl titanate as the precursor, ethanol as the solvent, and was prepared by the sol-gel method. The operation steps were as follows: the first step was to mix 17 mL of tetrabutyl titanate with 40 mL of absolute ethanol to form solution A; 40 mL of absolute ethanol, 10 mL of glacial acetic acid and 5 mL of double distilled water were mixed to make solution B. Under stirring conditions, solution A was mixed dropwise into the solution to form a transparent colloidal suspension (TCS). In the second step, under magnetic stirring conditions, ammonia water with an N/Ti ratio of 8 mol% was mixed with the obtained TCS for 1 h. In the third step, a xerogel was formed after aging for two days. The dry gel was ground into powder and calcined for 2 h at 500 °C. In the final step, we ground the powder in the agate mortar and sieved it through a vibrating screen to acquire NT powder.
3.5. Synthesis of Bi2SmSbO7/ZnBiYO4 Heterojunction Photocatalyst
The maximum calcination temperature of ZnBiYO4 which was prepared by the solid-state sintering method was 1000 °C and the heat retaining time was 35 h. The maximum calcination temperature of Bi2SmSbO7, which was prepared by the solid-state sintering method was 1090 °C and the heat retaining time, was 35 h. The highest calcination temperature of ZnBiYO4 which was prepared by the hydrothermal synthesis method was 780 °C, and the heat retaining time was 10 h. The maximum calcination temperature of Bi2SmSbO7, which was prepared by hydrothermal synthesis method, was 800 °C and the heat retaining time was 10 h. On the one hand, the higher the maximum calcination temperature was, the greater the power energy consumption was, which would reduce and consume the service life of the furnace instrument. On the other hand, the longer heat retaining time and the higher maximum sintering temperature would cause the larger particle size of ZnBiYO4 or Bi2SmSbO7. As a result, the specific surface area of ZnBiYO4 or Bi2SmSbO7 would be reduced and the photocatalytic activity of ZnBiYO4 or Bi2SmSbO7 would be correspondingly decreased. In order to improve the photocatalytic activity, reduce energy consumption and improve the instrument life of high-temperature calciner, we used the hydrothermal synthesis method to prepare ZnBiYO4 and Bi2SmSbO7 in the process of preparing heterojunction.
First, solution Bi (NO3)3·5H2O (0.30 mol/L), solution Sm(NO3)3·6H2O (0.15 mol/L) and solution SbCl5 (0.15 mol/L) were mixed and kept stirring for 20 h. The above solution was transferred to an autoclave lined with polytetrafluoroethylene and heated at 200 °C for 15 h. Afterwards, the achieved powder was calcined at 800℃ for 10 h in a tubular stove at a rate of 8 °C per minute under N2 protecting. Bi2SmSbO7 powder was obtained by hydrothermal synthesis method. Secondly, solution Zn(NO3)2·6H2O (0.15 mol/L), solution Bi (NO3)3·5H2O (0.15 mol/L) and solution Y(NO3)3·6H2O (0.15 mol/L) were mixed and kept stirring for 20 h. The above solution was transferred into an autoclave lined with polytetrafluoroethylene and heated at 200 °C for 15 h. Then, the achieved powder was calcined at 780 °C for 10 h in a tubular stove at a rate of 8 °C per minute under N2 protecting. ZnBiYO4 powder was obtained by hydrothermal synthesis method. The individual photocatalysts, such as ZnBiYO4 or Bi2SmSbO7, were prepared by hydrothermal synthesis method.
In this text, a new catalyst BZHP was synthesized by solvothermal method. BZHP was prepared by mixing 890 mg Bi2SmSbO7 and 30 wt.% (610 mg) ZnBiYO4 in 300 mL of octanol (C8H18O) and the above mixture was dispersed in an ultrasonic bath for 1 h. Then, under vigorous stirring conditions, the mixture was heated to reflux at 140 °C for 2 h to improve the adhesion of ZnBiYO4 on the surface of Bi2SmSbO7 nanoparticles and BZHP was formed. First, the catalyst was naturally cooled to room temperature, then the products were collected by centrifugation method and washed with a hexane / ethanol mixture. After the powder was purified, the powder was dried in a 60 °C vacuum oven for 6 h and laid in a desiccator for later use. Finally, BZHP was prepared successfully.
3.6. Characterizations
The structure of the samples was analyzed using a powder XRD test (Cu Kɑ radiation, λ = 1.54184 Å, preset time of 0.3 s step−1, step length of 0.02°). A scanning electron microscope (SEM) was used to characterize the morphology and microstructure of the prepared samples and the elementary composition, which was derived from above prepared samples, was obtained by energy dispersive spectroscopy (EDS). The diffuse reflectance spectra of the above prepared samples were obtained by UV-Vis spectrophotometer (UV-Vis DRS, UV-3600). Valence analysis and chemical composition of surface for the catalysts were realized by X-ray photoelectron spectrograph (XPS) with an Al-kα X-ray source.
3.7. Photoelectrochemical Experiments
The electrochemical impedance spectroscopy experiment was performed by the CHI660D electrochemical station with standard 3 electrodes. In this system, the working electrode, counter electrode and reference electrode are prepared catalyst, platinum plate and commercial Ag/AgCl electrode, respectively. An aqueous solution of Na2SO4 (0.5 mol/L) was used as the electrolyte, and a 500 W xenon lamp with an ultraviolet cut-off filter was used as the visible light lamp for photochemical measurement. The working electrode was prepared by the following method: Dissolved 0.03 g of the sample and 0.01 g of chitosan in 0.45 mL of dimethylformamide, and to form a uniform suspension after ultrasonic treatment for 1 h. Subsequently, they were dropped on indium tin oxide (ITO) conductive glass with a size of 1 cm × 2 cm. Finally, we dried the working electrode at 80 °C, which lasted for 10 min.
3.8. Experimental Setup and Procedure
The temperature of the experimental reaction system was 20 °C (reactive vessel, XPA-7, Xujiang Electromechanical Plant, Nanjing, China), which was regulated by circulating cooling water. The simulated daylight illumination consists of a 500 W xenon lamp and a 420 nm cut-off filter. There were 12 same quartz tubes (40 mL). The dosage of Bi2SmSbO7 or ZnBiYO4 or BZHP was equivalent to 0.75 g/L. Moreover, the concentration of DO was equivalent to 0.03 mmol/L. The DO concentration was the residuary concentration of actual dye wastewater after biodegradation, and the content of DO was equivalent to 1.2 mmol/L. During the reaction, 3 mL of suspension was withdrawn termly. Subsequently, the filtration was realized for removing the catalyst. Ultimately, the residuary concentration of DO in solution was defined by the UV-Vis spectrophotometer (Shimadzu, UV-2450, Shimadzu Corporation Co., Ltd., Chengdu, China). The absorption wavelength (detecting wavelength) of DO was 665 nm. The absorbance standard curve of DO at different concentrations was accomplished under ultraviolet light irradiation in the range of 220 nm–320 nm with an ultraviolet-visible spectrophotometer. The relationship between the concentration of DO and the absorbance value at 665 nm should be calculated. The absorbance of DO in the solution was measured at the absorption wavelength of 665 nm, the calibration curve of DO was drawn and a linear regression method was used for the quantification of DO. Before VLI, the suspension containing photocatalyst and DO was magnetically stirred in the dark for 45 min to establish adsorption/desorption equilibrium among photocatalyst, DO and O2. During the VLI, the suspension was agitated at 500 rpm.
Experimental data of mineralization of DO in reaction solution were meteraged. In order to examine the TOC concentration during the process of PD of DO, potassium phthalate (KHC8H4O4) or anhydrous sodium carbonate was used as a standardized agent. Potassium phthalate standard solutions with carbon concentration (0–100 mg/L) were prepared for calibration purpose. Each time, we used 6 samples (45 mL) to measure TOC concentration.
Liquid chromatography-mass spectrometry was used to identify and measure DO, and its intermediate degradation products. Then, the 20 μL solution which was acquired after the photocatalytic reactivity was automatically injected. The flow rate was 0.2 mL/min, which was a mobile phase containing 60% methanol and 40% ultrapure water. Electrospray ionization interface (27 °C, 19.00 V), spray voltage of 5000 V, and constant sheath gas flow rate were MS conditions. Spectra were acquired in the m/z range from 50 to 600 in negative ion scan mode.
In order to measure the photon intensity of incident light, the filter, which was 7 centimeters in length and 5 cm in width, was chosen to be irradiated by incident single-wavelength visible light of 420 nm. According to the formula of υ = c/λ and hv, which represented the energy of a photon, Avogadro constant NA, Planck constant h, photonic frequency υ, incident light wavelength λ and light velocity c were used to obtain the mole number of the total photons or the reactive photons which passed through the total area of above filter per unit time. The length between the xenon lamp and the light reactor was adjusted. As a result, the incident photon flux on the photoreactor was changed.
We estimated the photon efficiency according to the following Formula (5):
In this formula, ϕ presented the photonic efficiency (%), R presented the degradation rate of DO (mol L−1 s−1), and Io presented the incident photon flux (Einstein L−1 s−1). The incident photon flux Io was measured by a radiometer under VLI. (Io = 4.76 × 10−6 Einstein L−1 s−1.)
4. Conclusions
For the first time, the Bi2SmSbO7 compound was successfully synthesized by two methods: the hydrothermal synthesis method and solid state method with high temperature. BZHP was proposed and synthesized with the solvothermal method for degrading DO in dye wastewater. The photophysical properties of the single phase Bi2SmSbO7 and BZH were investigated. In interpreting the results, the following conclusions could be easily obtained. Bi2SmSbO7 compound was a pure phase which crystallized in a pyrochlore structure that belonged to a cubic crystal system with the space group Fd3m. The lattice parameter a = 10.835(1) Å, and the BGE of Bi2SmSbO7 was 2.42 eV. BZHP was certified to be an efficient photocatalyst for remedying DO in the dye wastewater, after VLI-160M, the RR of DO was as high as 99.10%, and the RR of TOC was 96.21%. BZH showed the best performance in removing DO, the RR with BZH as the catalyst was equivalent to 1.200 or 1.268 or 3.019 times higher than the RR with Bi2SmSbO7 as the catalyst, ZnBiYO4 as the catalyst or with N-dT as the catalyst. Therefore, the study with BZH as the catalyst provided a new idea for the treatment of dye wastewater that contained DO and it could also promote the property improvement of the photocatalyst in the future.
Author Contributions
Conceptualization, J.L.; data curation, J.L., B.M., Z.W. and B.N.; formal analysis, J.L., B.M., Y.Y. and B.N.; investigation, J.L., B.M. and B.N.; methodology, J.L., B.M., W.L. and B.N.; resources, J.L.; software, J.L., G.Y. and W.L.; visualization, J.L., Y.Y. and G.Y.; writing—original draft preparation, J.L., B.M., Z.W., Y.Y. and B.N.; writing—review and editing, J.L.; validation, J.L., B.M., Z.W., W.L. and G.Y. All authors have read and agreed to the published version of the manuscript.
Funding
This study was supported by the Project Funded by the Scientific and Technical Innovation Leading Personnel and Team Foundation for Middle-aged and Young Scientist of Science and Technology Bureau of Jilin Province of China (Grant No. 20200301033RQ), by the Free Exploring Key Item of Natural Science Foundation of Science and Technology Bureau of Jilin Province of China (Grant No. YDZJ202101ZYTS161), by the Industrial Technology Research and Development Fund of Jilin Province Capital Development Fund on Budget in 2021 of Jilin Province Development and Reform Commission of China (Grant No. 2021C037-1), by the Innovational and Enterprising Talents of Department of Human Resource and Social Security of Jilin Province of China (Grant No. 2020033), by Natural Science Foundation of Changchun Normal University (Grant No. [2019]13), by the Scientific Research Initiating Foundation for Advanced Doctor of Changchun Normal University.
Acknowledgments
This study was supported by the Scientific and Technical Innovation Leading Personnel and Team Foundation for Middle-aged and Young Scientist of Science and Technology Bureau of Jilin Province of China (Grant No. 20200301033RQ), by the Free Exploring Key Item of Natural Science Foundation of Science and Technology Bureau of Jilin Province of China (Grant No. YDZJ202101ZYTS161), by the Industrial Technology Research and Development Fund of Jilin Province Capital Development Fund on Budget in 2021 of Jilin Province Development and Reform Commission of China (Grant No. 2021C037-1), by the Innovational and Enterprising Talents of Department of Human Resource and Social Security of Jilin Province of China (Grant No. 2020033), by Natural Science Foundation of Changchun Normal University (Grant No. [2019]13), by the Scientific Research Initiating Foundation for Advanced Doctor of Changchun Normal University.
Conflicts of Interest
The authors declare no conflict of interest.
References
- Meng, Z.L.; Zhang, Y.H.; Zhang, Z.L.; Zhang, Q.; Chu, P.K.; Komarneni, S.; Lv, F.Z. Anomalous but massive removal of two organic dye pollutants simultaneously. J. Hazard. Mater. 2016, 318, 54–60. [Google Scholar] [CrossRef] [PubMed]
- Rathi, B.S.; Kumar, P.S.; Vo, D.V.N. Critical review on hazardous pollutants in water environment: Occurrence, monitoring, fate, removal technologies and risk assessment. Sci. Total Environ. 2021, 797, 149134. [Google Scholar] [CrossRef] [PubMed]
- Shen, Z.Z.; Shen, H.Z. Ultrasound enhancement of the reduction of the Basic Green dye in wastewater by cast iron. J. Environ. Sci. 2006, 18, 1–3. [Google Scholar]
- Qamar, M.; Saquib, M.; Muneer, M. Photocatalytic degradation of two selected dye derivatives, chromotrope 2B and amido black 10B, in aqueous suspensions of titanium dioxide. Dye. Pigment. 2005, 65, 1–9. [Google Scholar] [CrossRef]
- Jeevanantham, S.; Saravanan, A.; Hemavathy, R.V.; Kumar, P.S.; Yaashikaa, P.R.; Yuvaraj, D. Removal of toxic pollutants from water environment by phytoremediation: A survey on application and future prospects. Environ. Technol. Inno. 2019, 13, 264–276. [Google Scholar] [CrossRef]
- Parvathi, V.P.; Parimaladevi, R.; Sathe, V.; Mahalingam, U. Graphene boosted silver nanoparticles as surface enhanced Raman spectroscopic sensors and photocatalysts for removal of standard and industrial dye contaminants. Sensor. Actuat. B-Chem. 2019, 281, 679–688. [Google Scholar]
- Kasten, F.H. Cytochemical studies with acridine orange and the influence of dye contaminants in the staining of nucleic acids. Int. Rev. Cytol. 1967, 21, 141–202. [Google Scholar]
- Zhao, S.G.; Yang, F.; Kong, F.; Li, B.F.; Xue, Z.L.; Wang, T. Decolorization of azo-type dye Direct Orange S catalyzed by laccase /mediator system. Chin. J. Environ. Eng. 2016, 10, 3912–3918. [Google Scholar]
- He, G.L.; Zhang, Y.T. BPNN simulating photocatalytic degradation of direct orange S. Comput. Appl. Chem. 2008, 25, 1359–1364. [Google Scholar]
- Zhong, J.B.; Li, J.Z.; Zeng, F.C. Photocatalytic Decolorization of Direct Orange S Solution by Phospho-tungstic Acid. J. Sichuan Nor. Univ. 2013, 36, 618–621. [Google Scholar]
- Yao, P.; Xing, T.L.; Chen, G.Q. Biosynthesis of Eucommia ulmoides silver nanoparticles and application thereof in reductive catalytic degradation of Direct Orange 26. J. Text. Res. 2018, 39, 104–110. [Google Scholar]
- Safa, Y.; Bhatti, H.N.; Bhatti, I.A.; Asgher, M. Removal of direct red-31 and direct orange-26 by low cost rice husk: Influence of immobilisation and pretreatments. Can. J. Chem. Eng. 2011, 89, 1554–1565. [Google Scholar] [CrossRef]
- Karthikeyeni, S.; Vijayakumar, T.S.; Vasanth, S.; Ganesh, A.; Vignesh, V.; Akalya, J.; Thirumurugan, R.; Subramanian, P. Decolourisation of Direct Orange S dye by ultra sonication using iron oxide nanoparticles. J. Exp. Nanosci. 2015, 10, 199–208. [Google Scholar] [CrossRef]
- Jadhav, J.P.; Phugare, S.S.; Dhanve, R.S.; Jadhav, S.B. Rapid biodegradation and decolorization of Direct Orange 39 (Orange TGLL) by an isolated bacterium Pseudomonas aeruginosa strain BCH. Biodegradation 2010, 21, 453–463. [Google Scholar] [CrossRef]
- Wolf, J.H.; Korf, J. 4-bromomethyl-7-methoxycoumarin and analogs as derivatization agents for high-performance liquid-chromatography determinations—A Review. J. Pharmaceut. Biomed. 1992, 10, 99–107. [Google Scholar] [CrossRef]
- Rasheed, T.; Nabeel, F.; Bilal, M.; Iqbal, H.M.N. Biogenic synthesis and characterization of cobalt oxide nanoparticles for catalytic reduction of direct yellow-142 and methyl orange dyes. Biocaral. Agr. Biotechnol. 2019, 19, 101154. [Google Scholar] [CrossRef]
- Vasudevan, S.; Oturan, M.A. Electrochemistry: As cause and cure in water pollution-an overview. Environ. Chem. Lett. 2014, 12, 97–108. [Google Scholar] [CrossRef]
- Vecitis, C.D.; Gao, G.D.; Liu, H. Electrochemical Carbon Nanotube Filter for Adsorption, Desorption, and Oxidation of Aqueous Dyes and Anions. J. Phys. Chem. 2011, 115, 3621–3629. [Google Scholar] [CrossRef]
- Bao, N.; Li, Y.; Yu, X.H.; Niu, J.J.; Wu, G.L.; Xu, X.H. Removal of anionic azo dye from aqueous solution via an adsorption-photosensitized regeneration process on a TiO2 surface. Environ. Sci. Pollut. Res. 2013, 20, 897–906. [Google Scholar] [CrossRef]
- Srivastava, R.K.; Huang, S.S.; Dong, M.Z. Asphaltene deposition during CO2 flooding. Spe Prod. Facil. 1999, 14, 235–245. [Google Scholar] [CrossRef]
- Abejon, A.; Garea, A.; Irabien, A. Arsenic removal from drinking water by reverse osmosis: Minimization of costs and energy consumption. Sep. Purif. Technol. 2015, 144, 46–53. [Google Scholar] [CrossRef]
- Bofill-Mas, S.; Rusinol, M. Recent trends on methods for the concentration of viruses from water samples. Curr. Opin. Environ. Sci. Health 2020, 16, 7–13. [Google Scholar] [CrossRef]
- Luan, J.F.; Shen, Y.; Li, Y.Y.; Paz, Y. The Structural, Photocatalytic Property Characterization and Enhanced Photocatalytic Activities of Novel Photocatalysts Bi2GaSbO7 and Bi2InSbO7 during Visible Light Irradiation. Materials 2016, 9, 801. [Google Scholar] [CrossRef] [Green Version]
- Fujishima, A.; Honda, K. Electrochemical photolysis of water at a semiconductor electrode. Nature 1972, 238, 37–38. [Google Scholar] [CrossRef]
- He, J.Y.; Jia, Q.M.; Wu, S.S.; Lv, H.T.; Shan, S.Y. Application of photocatalysis in wastewater treatment. New Chem. Mater. 2014, 42, 230–232. [Google Scholar]
- Ren, G.M.; Han, H.T.; Wang, Y.X.; Liu, S.T.; Zhao, J.Y.; Meng, X.C.; Li, Z.Z. Recent Advances of Photocatalytic Application in Water Treatment: A Review. Nanomaterials 2021, 11, 1804. [Google Scholar] [CrossRef]
- Bora, T.; Dutta, J. Applications of Nanotechnology in Wastewater Treatment-A Review. J. Nanosci. Nanotechno. 2014, 14, 613–626. [Google Scholar] [CrossRef]
- Xu, B.T.; Ahmed, M.B.; Zhou, J.L.; Altaee, A.; Wu, M.H.; Xu, G. Photocatalytic removal of perfluoroalkyl substances from water and wastewater: Mechanism, kinetics and controlling factors. Chemosphere 2017, 189, 717–729. [Google Scholar] [CrossRef]
- Akpotu, S.O.; Oseghe, E.O.; Ayanda, O.S.; Skelton, A.A.; Msagati, T.A.M.; Ofomaja, A.E. Photocatalysis and biodegradation of pharmaceuticals in wastewater: Effect of abiotic and biotic factors. Clean Technol. Environ. 2019, 21, 1701–1721. [Google Scholar] [CrossRef]
- Xu, J.; Wan, Y.P.; Huang, Y.L.; Wang, Y.R.; Qin, L.; Seo, H.J. Layered oxide semiconductor In2Fe2CuO7: Optical properties and visible-light responsive photocatalytic abilities. Mater. Lett. 2016, 179, 175–178. [Google Scholar] [CrossRef]
- Bu, Y.Y.; Chen, Z.Y.; Sun, C.J. Highly effificient Z-Scheme Ag3PO4/Ag/WO3 -x photocatalyst for its enhanced photocatalytic performance. Appl. Catal. B 2015, 179, 363–371. [Google Scholar] [CrossRef]
- Zhao, B.; Wang, M.; Lin, L.; Zeng, Q.Q.; He, D.N. Synthesis of parallel squared nanosheet-assembled Bi2WO6 microstructures under alkalescent hydrothermal treatment. Ceram. Int. 2014, 40, 5831–5835. [Google Scholar] [CrossRef]
- Alemi, A.A.; Kashfifi, R.; Shabani, B. Preparation and characterization of novel Ln (Gd3+, Ho3+ and Yb3+)-doped Bi2MoO6 with Aurivillius layered structures and photocatalytic activities under visible light irradiation. J. Mol. Catal. A Chem. 2014, 392, 290–298. [Google Scholar] [CrossRef]
- Nazim, S.; Kousar, T.; Shahid, M.; Khan, M.A.; Nasar, G.; Sher, M.; Warsi, M.F. New graphene-CoxZn1 -xFe2O4 nano-heterostructures: Magnetically separable visible lightphotocatalytic materials. Ceram. Int. 2016, 42, 7647–7654. [Google Scholar] [CrossRef]
- Ghaffar, I.; Warsi, M.F.; Shahid, M.; Shakir, I. Unprecedented photocatalytic activity of carbon coated/MoO3 core-shell nanoheterostructurs under visible light irradiation. Phys. E Low-Dimens. Syst. Nanostruct. 2016, 79, 1–7. [Google Scholar] [CrossRef]
- Kiransan, M.; Khataee, A.; Karaca, S.; Sheydaei, M. Artifificial neural network modeling of photocatalytic removal of a disperse dye using synthesized of ZnO nanoparticles on montmorillonite. Spectrochim. Acta A 2015, 140, 465–473. [Google Scholar] [CrossRef]
- Khataee, A.; Karimi, A.; Arefifi-Oskoui, S.; Soltani, R.D.C.; Hanifehpour, Y.; Soltani, B.; Joo, S.W. Sonochemical synthesis of Pr-doped ZnO nanoparticles for sonocatalytic degradation of Acid Red 17. Ultrason. Sonochem. 2015, 22, 371–381. [Google Scholar] [CrossRef]
- Yi, X.; Li, J.L. Synthesis and optical property of NaTaO3 nanofifibers prepared by electrospinning. J. Sol-Gel Sci. Technol. 2010, 53, 480–484. [Google Scholar] [CrossRef]
- Yang, J.X.; Akbarzadeh, J.; Maurer, C.; Peterlik, H.; Schubert, U. Sol-gel synthesis of ZnTiO3 using a single-source precursor based on p-carboxybenzaldehyde oxime as a linker. J. Mater. Chem. 2012, 22, 24034–24041. [Google Scholar] [CrossRef]
- Suresh, R.; Giribabu, K.; Manigandan, R.; Munusamy, S.; Kumar, S.P.; Muthamizh, S.; Stephen, A.; Narayanan, V. Doping of Co into V2O5 nanoparticles enhances of methylene blue. J. Alloy. Compd. 2014, 598, 151–160. [Google Scholar] [CrossRef]
- Ge, L.; Zhang, X.H. Synthesis of novel visible light driven BiVO4 photocatalysts via microemulsion process and its photocatalytic performance. J. Inorg. Mater. 2009, 24, 453–456. [Google Scholar] [CrossRef]
- Han, Q.F.; Chen, L.; Wang, M.J.; Yang, X.J.; Lu, L.D.; Wang, X. Low-temperature synthesis of uniform Sb2S3 nanorods and its visible-light-driven photocatalytic activities. Mater. Sci. Eng. B 2010, 166, 118–121. [Google Scholar] [CrossRef]
- Yi, X.F.; Zheng, J.S.; Zhao, Y.B. Hydrothermal synthesis of CdS nanorods in NaOH solution. Chem. J. Chin. Univ. 2012, 33, 2597–2603. [Google Scholar]
- Yang, S.X.; Yue, Q.; Wu, F.M.; Huo, N.J.; Chen, Z.H.; Yang, J.H.; Li, J.B. Synthesis of the nanostructured Cd4GeS6 photocatalysts and their visible-light-driven photocatalytic degradation property. J. Alloy. Compd. 2014, 597, 91–94. [Google Scholar] [CrossRef]
- Wu, W.M.; Lin, R.; Shen, L.J.; Liang, R.W.; Yuan, R.S.; Wu, L. Visible-light-induced photocatalytic hydrogenation of 4-nitroaniline over In2S3 photocatalyst in water. Catal. Commun. 2013, 40, 1–4. [Google Scholar] [CrossRef]
- Anandan, S.; Rao, T.N.; Gopalan, R.; Ikuma, Y. Fabrication of visible-light-driven N-doped ordered mesoporous TiO2 photocatalysts and their photocatalytic applications. J. Nanosci. Nanotechnol. 2014, 14, 3181–3186. [Google Scholar] [CrossRef]
- Zou, Z.G.; Ye, J.H.; Arakawa, H. Photocatalytic behavior of a new series of In0.8M0.2TaO4 (M = Ni, Cu, Fe) photocatalysts in aqueous solutions. Catal. Lett. 2001, 75, 209–213. [Google Scholar] [CrossRef]
- Luan, J.F.; Li, M.; Ma, K.; Li, Y.M.; Zou, Z.G. Photocatalytic activity of novel Y2InSbO7 and Y2GdSbO7 nanocatalysts for degradation of environmental pollutant rhodamine B under visible light irradiation. Chem. Eng. J. 2011, 167, 162–171. [Google Scholar] [CrossRef]
- Luan, J.F.; Ma, K.; Pan, B.C.; Li, Y.M.; Wu, X.S.; Zou, Z.G. Synthesis and catalytic activity of new Gd2BiSbO7 and Gd2YSbO7 nanocatalysts. J. Mol. Catal. A-Chem. 2010, 321, 1–9. [Google Scholar] [CrossRef]
- Eder, D.; Motta, M.; Windle, A.H. Iron-doped Pt-TiO2 nanotubes for photo-catalytic water splitting. Nanotechnology 2009, 20, 055602. [Google Scholar] [CrossRef]
- Biswas, S.K.; Baeg, J.O. Enhanced photoactivity of visible light responsive W incorporated FeVO4 photoanode for solar water splitting. Int. J. Hydrog. Energy 2013, 38, 14451–14457. [Google Scholar] [CrossRef]
- Xu, X.L.; Song, W. Synthesis and photocatalytic activity of heterojunction ZnFe2O4-BiVO4. Mater. Technol. 2017, 32, 472–479. [Google Scholar] [CrossRef]
- Zong, X.; Yan, H.J.; Wu, G.P.; Ma, G.J.; Wen, F.Y.; Wang, L.; Li, C. Enhancement of photocatalytic H2 evolution on CdS by loading MOS2 as cocatalyst under visible light irradiation. J. Am. Chem. Soc. 2008, 130, 7176–7177. [Google Scholar] [CrossRef]
- Zong, X.; Han, J.F.; Ma, G.J.; Yan, H.J.; Wu, G.P.; Li, C. Photocatalytic H2 evolution on CdS loaded with WS2 as cocatalyst under visible light irradiation. J. Phys. Chem. C 2011, 115, 12202–12208. [Google Scholar] [CrossRef]
- Chen, X.F.; Zhang, J.; Huo, Y.N.; Li, H.X. Preparation and visible light catalytic activity of three-dimensional ordered macroporous CdS/TiO2 fifilms. Chin. J. Catal. 2013, 34, 949–955. [Google Scholar] [CrossRef]
- Pirhashemi, M.; Habibi-Yangjeh, A. Photosensitization of ZnO by AgBr and Ag2CO3: Nanocomposites with tandem n-n heterojunctions and highly enhanced visible-light photocatalytic activity. J. Colloid Interface Sci. 2016, 474, 103–113. [Google Scholar] [CrossRef]
- Cao, J.; Xu, B.Y.; Lin, H.L.; Luo, B.D.; Chen, S.F. Novel Bi2S3 -sensitized BiOCl with highly visible light photocatalytic activity for the removal of rhodamine B. Catal. Commun. 2012, 26, 204–208. [Google Scholar] [CrossRef]
- Lu, H.J.; Xu, L.L.; Wei, B.; Zhang, M.Y.; Gao, H.; Sun, W.J. Enhanced photosensitization process induced by the p-n junction of Bi2O2CO3/BiOCl heterojunctions on the degradation of rhodamine B. Appl. Surf. Sci. 2014, 303, 360–366. [Google Scholar] [CrossRef]
- Biswas, S.; Sundstrom, V.; De, S. Facile synthesis of luminescent TiO2 nanorods using an anionic surfactant: Their photosensitization and photocatalytic effificiency. Mater. Chem. Phys. 2014, 147, 761–771. [Google Scholar] [CrossRef]
- Han, C.C.; Ge, L.; Chen, C.F.; Li, Y.J.; Xiao, X.L.; Zhang, Y.N.; Guo, L.L. Novel visible light induced Co3O4 -g-C3N4 heterojunction photocatalysts for effificient degradation of methyl orange. Appl. Catal. B Environ. 2014, 147, 546–553. [Google Scholar] [CrossRef]
- Xie, T.P.; Liu, C.L.; Xu, L.J.; Yang, J.; Zhou, W. Novel heterojunction Bi2O3/SrFe12O19 magnetic photocatalyst with highly enhanced photocatalytic activity. J. Phys. Chem. C 2013, 117, 24601–24610. [Google Scholar] [CrossRef]
- Dai, K.; Lv, J.L.; Lu, L.H.; Liang, C.H.; Geng, L.; Zhu, G.P. A facile fabrication of plasmonic g-C3N4/Ag2WO4/Ag ternary heterojunction visible-light photocatalyst. Mater. Chem. Phys. 2016, 177, 529–537. [Google Scholar] [CrossRef]
- Wang, X.F.; Hu, H.M.; Chen, S.H.; Zhang, K.H.; Zhang, J.; Zou, W.S.; Wang, R.X. One-step fabrication of BiOCl/CuS heterojunction photocatalysts with enhanced visible-light responsive activity. Mater. Chem. Phys. 2015, 158, 67–73. [Google Scholar] [CrossRef]
- Luan, J.F.; Wang, S.; Ma, K.; Li, Y.M.; Pan, B.C. Structural Property and Catalytic Activity of New In2YbSbO7 and Gd2YbSbO7 Nanocatalysts under Visible Light Irradiation. J. Phys. Chem. C. 2010, 114, 9398–9407. [Google Scholar] [CrossRef]
- Sun, S.F.; Wu, Y.F.; Zhang, X.; Zhang, Z.J.; Yan, Y.; Guan, W.S. Enhanced visible-light-driven photocatalytic degradation performance of cip on BiVO4-Bi2WO6 nano-heterojunction photocatalysts. Nona 2014, 9, 1450015. [Google Scholar] [CrossRef]
- Yang, B.Y.; Li, H.; Shang, N.Z.; Feng, C.; Gao, S.T.; Wang, C. Visible-Light Responsive Photocatalyst g-C3N4@BiOCl with Hollow Flower-like Structure: Preparation and Photocatalytic Performance. Chin. J. Inorg. Chem. 2017, 33, 396–404. [Google Scholar]
- Nguyen, T.B.; Doong, R.A. Heterostructured ZnFe2O4/TiO2 nanocomposites with a highly recyclable visible-light-response for bisphenol A degradation. RSC Adv. 2017, 7, 50006–50016. [Google Scholar] [CrossRef] [Green Version]
- Simsek, E.B.; Kilic, B.; Asgin, M.; Akan, A. Graphene oxide based heterojunction TiO2-ZnO catalysts with outstanding photocatalytic performance for bisphenol-A, ibuprofen and flurbiprofen. J. Ind. Eng. Chem. 2018, 59, 115–126. [Google Scholar] [CrossRef]
- Zhang, C.J.; Li, N.J.; Chen, D.Y.; Xu, Q.F.; Li, H.; He, J.H.; Lu, J.M. The ultrasonic-induced-piezoelectric enhanced photocatalytic performance of ZnO/CdS nanofibers for degradation of bisphenol A. J. Alloy. Compd. 2021, 885, 160987. [Google Scholar] [CrossRef]
- Luo, Y.D.; Wei, X.Q.; Gao, B.; Zou, W.X.; Zheng, Y.L.; Yang, Y.C.; Zhang, Y.; Tong, Q.; Dong, L. Synergistic adsorption-photocatalysis processes of graphitic carbon nitrate (g-C3N4) for contaminant removal: Kinetics, models, and mechanisms. Chem. Eng. J. 2019, 375, 122019. [Google Scholar] [CrossRef]
- Vo, T.S.; Vo, T.T.B.C.; Suk, J.W.; Kim, K. Recycling performance of graphene oxide-chitosan hybrid hydrogels for removal of cationic and anionic dyes. Nano Converg. 2020, 7, 4. [Google Scholar] [CrossRef] [Green Version]
- Zyoud, A.H.; Saleh, F.; Helal, M.H.; Shawahna, R.; Hilal, H.S. Anthocyanin-Sensitized TiO2 Nanoparticles for Phenazopyridine Photodegradation under Solar Simulated Light. J. Nanomater. 2018, 2018, 2789616. [Google Scholar] [CrossRef] [Green Version]
- Kohantorabi, M.; Moussavi, G.; Oulego, P.; Giannakis, S. Heterogeneous catalytic ozonation and peroxone-mediated removal of Acetaminophen using natural and modified hematite-rich soil, as efficient and environmentally friendly catalysts. Appl. Catal. B-Environ. 2022, 301, 120786. [Google Scholar] [CrossRef]
- Rostami, R.; Moussavi, G.; Darbari, S.; Jafari, A.J. Non-thermal plasma by positive corona glow discharge using nano-structured Cu/CuO coated electrodes for benzene removal from air flow; removal enhancement and energy efficiency improvement. Sep. Purif. Technol. 2021, 275, 119156. [Google Scholar] [CrossRef]
- Kohantorabi, M.; Moussavi, G.; Mohammadi, S.; Oulego, P.; Giannakis, S. Photocatalytic activation of peroxymonosulfate (PMS) by novel mesoporous Ag/ZnO@NiFe2O4 nanorods, inducing radical-mediated acetaminophen degradation under UVA irradiation. Chemosphere 2021, 277, 130271. [Google Scholar] [CrossRef]
- Kohantorabi, M.; Moussavi, G.; Oulego, P.; Giannakis, S. Radical-based degradation of sulfamethoxazole via UVA/PMS-assisted photocatalysis, driven by magnetically separable Fe3O4@CeO2@BiOI nanospheres. Sep. Purif. Technol. 2021, 267, 118665. [Google Scholar] [CrossRef]
- Khavar, A.H.C.; Moussavi, G.; Mahjoub, A.R.; Satari, M.; Abdolmaleki, P. Synthesis and visible-light photocatalytic activity of In, S-TiO2@rGO nanocomposite for degradation and detoxification of pesticide atrazine in water. Chem. Eng. J. 2018, 345, 300–311. [Google Scholar] [CrossRef]
- Namini, A.S.; Delbari, S.A.; Mousavi, M.; Ghasemi, J.B. Synthesis and characterization of novel ZnO/NiCr2O4 nanocomposite for water purification by degradation of tetracycline and phenol under visible light irradiation. Mater. Res. Bull. 2021, 139, 111247. [Google Scholar] [CrossRef]
- Nguyen, V.H.; Mousavi, M.; Ghasemi, J.B.; Delbari, S.A.; Le, Q.V.; Asl, M.S.; Shokouhimehr, M.; Mohammadi, M.; Azizian-Kalandaragh, Y.; Namini, A.S. Synthesis, characterization, and photocatalytic performance of Ag/AgFeO2 decorated on g-C3N4-nanosheet under the visible light irradiation. J. Taiwan Inst. Chem. Eng. 2020, 115, 279–292. [Google Scholar] [CrossRef]
- Nguyen, V.H.; Mousavi, M.; Ghasemi, J.B.; Delbari, S.A.; Le, Q.V.; Namini, A.S.; Asl, M.S.; Shokouhimehr, M.; Azizian-Kalandaragh, Y.; Mohammadi, M. Z-scheme g-C3N4 nanosheet/MgBi2O6 systems with the visible light response for impressive photocatalytic organic contaminants degradation. J. Photoch. Photobio. A. 2021, 406, 113023. [Google Scholar] [CrossRef]
- Nguyen, V.H.; Mousavi, M.; Ghasemi, J.B.; Le, Q.V.; Delbari, S.A.; Asl, M.S.; Shokouhimehr, M.; Mohammadi, M.; Azizian-Kalandaragh, Y.; Namini, A.S. In situ preparation of g-C3N4 nanosheet/FeOCl: Achievement and promoted photocatalytic nitrogen fixation activity. J. Colloid. Interf. Sci. 2021, 587, 538–549. [Google Scholar] [CrossRef]
- Nguyen, V.H.; Mousavi, M.; Ghasemi, J.B.; Le, Q.V.; Delbari, S.A.; Namini, A.S.; Asl, M.S.; Shokouhimehr, M.; Jang, H.W.; Mohammadi, M. 8g-C3N4 nanosheet adorned with Ag3BiO3 as a perovskite: An effective photocatalyst for efficient visible-light photocatalytic processes. Mater. Sci. Semicon. Proc. 2021, 125, 105651. [Google Scholar] [CrossRef]
- Wang, J.H.; Zou, Z.G.; Ye, J.H. Synthesis, Structure and Photocatalytic Property of a New Hydrogen Evolving Photocatalyst Bi2InTaO7. Mater. Sci. Forum. 2003, 423–425, 485–490. [Google Scholar] [CrossRef]
- Kohno, M.; Ogura, S.; Sato, K.; Inoue, Y. Properties of photocatalysts with tunnel structures: Formation of a surface lattice O− radical by the UV irradiation of BaTi4O9 with a pentagonal-prism tunnel structure. Chem. Phys. Lett. 1997, 267, 72–76. [Google Scholar] [CrossRef]
- Kudo, A.; Kato, H.; Nakagawa, S. Water Splitting into H2 and O2 on New Sr2M2O7 (M = Nb and Ta) Photocatalysts with Layered Perovskite Structures: Factors Affecting the Photocatalytic Activity. J. Phys. Chem. B 2000, 104, 571–575. [Google Scholar] [CrossRef]
- Nowak, M.; Kauch, B.; Szperlich, P. Determination of energy band gap of nanocrystalline SbSI. Rev. Sci. Instrum. 2009, 80, 046107. [Google Scholar] [CrossRef]
- Zhou, F.; Kang, K.; Maxisch, T.; Ceder, G.; Morgan, D. The electronic structure and band gap of LiFePO4 and LiMnPO4. Solid State Commun. 2004, 132, 181–186. [Google Scholar] [CrossRef] [Green Version]
- Tauc, J.; Grigorov, R.; Vancu, A. Optical properties and electronic structure of amorphous germanium. Phys. Status Solidi 1966, 15, 627–637. [Google Scholar] [CrossRef]
- Butler, M.A. Photoelectrolysis with YFeO3 electrodes. J. Appl. Phys. 1977, 48, 1914–1920. [Google Scholar] [CrossRef]
- Cui, B.Y.; Cui, H.T.; Li, Z.R.; Dong, H.Y.; Li, X.; Zhao, L.F.; Wang, J.W. Novel Bi3O5I2 hollow microsphere and its enhanced photocatalytic activity. Catalysts 2019, 9, 709. [Google Scholar] [CrossRef] [Green Version]
- Vallejo, W.; Cantillo, A.; Salazar, B.; Diaz-Uribe, C.; Ramos, W.; Romero, E.; Hurtado, M. Comparative study of ZnO thin films doped with transition metals (Cu and Co) for methylene blue photodegradation under visible irradiation. Catalysts 2020, 10, 528. [Google Scholar] [CrossRef]
- Deonikar, V.G.; Patil, S.S.; Tamboli, M.S.; Ambekar, J.D.; Kulkarni, M.V.; Panmand, R.P.; Umarji, G.G.; Shinde, M.D.; Rane, S.B.; Munirathnam, N.R.; et al. Growth study of hierarchical Ag3PO4/LaCO3OH heterostructures. Phys. Chem. Chem. Phys. 2017, 19, 20541–20550. [Google Scholar] [CrossRef] [PubMed]
- Patil, S.S.; Tamboli, M.S.; Deonikar, V.G.; Umarji, G.G.; Ambekar, J.D.; Kulkarni, M.V.; Kolekar, S.S.; Kale, B.B.; Patil, D.R. Magnetically separable Ag3PO4/NiFe2O4 composites with enhanced photocatalytic activity. Dalton Trans. 2015, 44, 20426–20434. [Google Scholar] [CrossRef] [PubMed]
- Jiang, L.B.; Yuan, X.Z.; Zeng, G.M.; Liang, J.; Chen, X.H.; Yu, H.B.; Wang, H.; Wu, Z.B.; Zhang, J.; Xiong, T. In-situ synthesis of direct solid-state dual Z-scheme WO3/g-C3N4/Bi2O3 photocatalyst for the degradation of refractory pollutant. Appl. Catal. B 2018, 227, 376–385. [Google Scholar] [CrossRef]
- Cao, W.; Jiang, C.Y.; Chen, C.; Zhou, H.F.; Wang, Y.P. A novel Z-scheme CdS/Bi4O5Br2 heterostructure with mechanism analysis: Enhanced photocatalytic performance. J. Alloys Compd. 2021, 861, 158554. [Google Scholar] [CrossRef]
Publisher’s Note: MDPI stays neutral with regard to jurisdictional claims in published maps and institutional affiliations. |
© 2022 by the authors. Licensee MDPI, Basel, Switzerland. This article is an open access article distributed under the terms and conditions of the Creative Commons Attribution (CC BY) license (https://creativecommons.org/licenses/by/4.0/).























