Significant Enhancement of Piezoelectric Response in AlN by Yb Addition
Abstract
1. Introduction
2. Computational Methods
3. Results and Discussion
3.1. Evaluation of Mixing Enthalpies
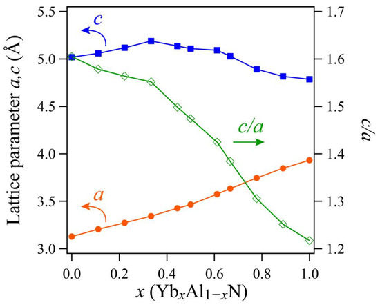
3.2. Evaluation of Lattice Parameters
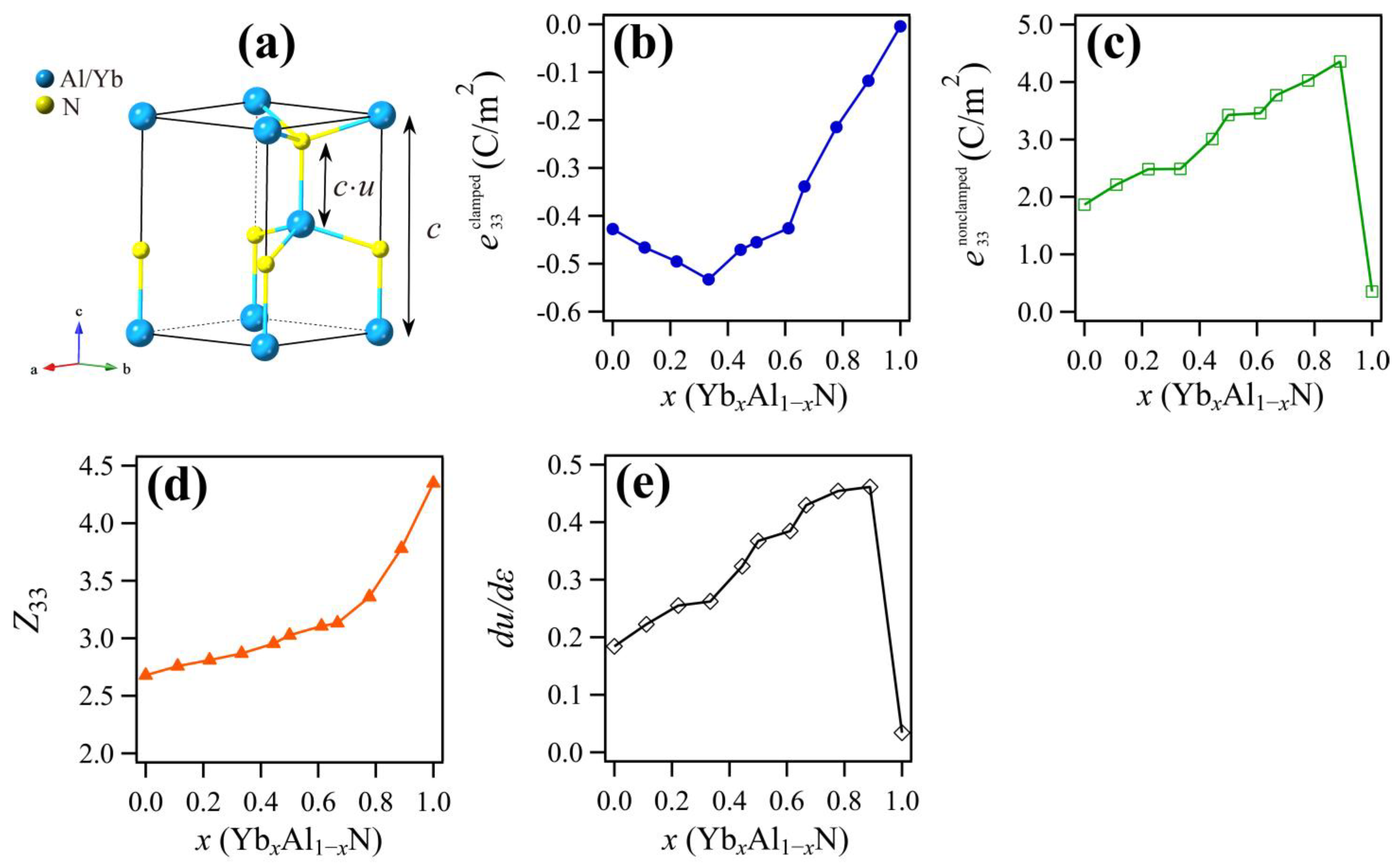
3.3. Evaluation of Piezoelectric Constants
3.4. Evaluation of the Electromechanical Coupling Constant
4. Conclusions
Author Contributions
Funding
Institutional Review Board Statement
Informed Consent Statement
Data Availability Statement
Acknowledgments
Conflicts of Interest
References
- Akiyama, M.; Kamohara, T.; Kano, K.; Teshigahara, A.; Takeuchi, Y.; Kawahara, N. Enhancement of Piezoelectric Response in Scandium Aluminum Nitride Alloy Thin Films Prepared by Dual Reactive Cosputtering. Adv. Mater. 2009, 21, 593–596. [Google Scholar] [CrossRef] [PubMed]
- Uehara, M.; Shigemoto, H.; Fujio, Y.; Nagase, T.; Aida, Y.; Umeda, K.; Akiyama, M. Giant increase in piezoelectric coefficient of AlN by Mg-Nb simultaneous addition and multiple chemical states of Nb. Appl. Phys. Lett. 2017, 111, 112901. [Google Scholar] [CrossRef]
- Anggraini, S.A.; Uehara, M.; Yamada, H.; Akiyama, M. Mg and Ti codoping effect on the piezoelectric response of aluminum nitride thin films. Scr. Mater. 2019, 159, 9–12. [Google Scholar] [CrossRef]
- Tasnadi, F.; Alling, B.; Hoglund, C.; Wingqvist, G.; Birch, J.; Hultman, L.; Abrikosov, I.A. Origin of the Anomalous Piezoelectric Response in Wurtzite ScxAl1-xN Alloys. Phys. Rev. Lett. 2010, 104, 137601. [Google Scholar] [CrossRef] [PubMed]
- Manna, S.; Brennecka, G.L.; Stevanovic, V.; Ciobanu, C.V. Tuning the piezoelectric and mechanical properties of the AlN system via alloying with YN and BN. J. Appl. Phys. 2017, 122, 105101. [Google Scholar] [CrossRef]
- Manna, S.; Talley, K.R.; Gorai, P.; Mangum, J.; Zakutayev, A.; Brennecka, G.L.; Stevanovic, V.; Ciobanu, C.V. Enhanced Piezoelectric Response of AlN via CrN Alloying. Phys. Rev. Appl. 2018, 9, 034026. [Google Scholar] [CrossRef]
- Tholander, C.; Tasnadi, F.; Abrikosov, I.A.; Hultman, L.; Birch, J.; Alling, B. Large piezoelectric response of quarternary wurtzite nitride alloys and its physical origin from first principles. Phys. Rev. B 2015, 92, 174119. [Google Scholar] [CrossRef]
- Yokoyama, T.; Iwazaki, Y.; Onda, Y.; Nishihara, T.; Sasajima, Y.; Ueda, M. Effect of Mg and Zr Co-Doping on Piezoelectric AlN Thin Films for Bulk Acoustic Wave Resonators. IEEE Trans. Ultrason. Ferroelectr. Freq. Control 2014, 61, 1322–1328. [Google Scholar] [CrossRef]
- Iwazaki, Y.; Yokoyama, T.; Nishihara, T.; Ueda, M. Highly enhanced piezoelectric property of co-doped AlN. Appl. Phys. Express 2015, 8, 061501. [Google Scholar] [CrossRef]
- Yokoyama, T.; Iwazaki, Y.; Nishihara, T.; Tsutsumi, J. Dopant concentration dependence of electromechanical coupling coefficients of co-doped AlN thin films for BAW devices. In Proceedings of the 2016 IEEE International Ultrasonics Symposium (IUS), Tours, France, 18–21 September 2016. [Google Scholar]
- Talley, K.R.; Millican, S.L.; Mangum, J.; Siol, S.; Musgrave, C.B.; Gorman, B.; Holder, A.M.; Zakutayev, A.; Brennecka, G.L. Implications of heterostructural alloying for enhanced piezoelectric performance of (Al,Sc)N. Phys. Rev. Mater. 2018, 2, 063802. [Google Scholar] [CrossRef]
- Fei, C.L.; Liu, X.L.; Zhu, B.P.; Li, D.; Yang, X.F.; Yang, Y.T.; Zhou, Q.F. AlN piezoelectric thin films for energy harvesting and acoustic devices. Nano Energy 2018, 51, 146–161. [Google Scholar] [CrossRef]
- Liu, Y.; Cai, Y.; Zhang, Y.; Tovstopyat, A.; Liu, S.; Sun, C.L. Materials, Design, and Characteristics of Bulk Acoustic Wave Resonator: A Review. Micromachines 2020, 11, 630. [Google Scholar] [CrossRef] [PubMed]
- Fichtner, S.; Wolff, N.; Lofink, F.; Kienle, L.; Wagner, B. AlScN: A III-V semiconductor based ferroelectric. J. Appl. Phys. 2019, 125, 114103. [Google Scholar] [CrossRef]
- Yanagitani, T.; Jia, J.J. ScAlN polarization inverted resonators and enhancement of kt2 in new YbAlN materials for BAW devices. In Proceedings of the 2019 IEEE International Ultrasonics Symposium (IUS), Glasgow, UK, 6–9 October 2019; pp. 894–899. [Google Scholar] [CrossRef]
- Moram, M.A.; Zhang, S. ScGaN and ScAlN: Emerging nitride materials. J. Mater. Chem. A 2014, 2, 6042–6050. [Google Scholar] [CrossRef]
- Momida, H.; Oguchi, T. Effects of lattice parameters on piezoelectric constants in wurtzite materials: A theoretical study using first-principles and statistical-learning methods. Appl. Phys. Express 2018, 11, 041201. [Google Scholar] [CrossRef]
- Zunger, A.; Wei, S.H.; Ferreira, L.G.; Bernard, J.E. Special Quasirandom Structures. Phys. Rev. Lett. 1990, 65, 353–356. [Google Scholar] [CrossRef]
- van de Walle, A. Multicomponent multisublattice alloys, nonconfigurational entropy and other additions to the Alloy Theoretic Automated Toolkit. Calphad J. 2009, 33, 266–278. [Google Scholar] [CrossRef]
- Kresse, G.; Furthmuller, J. Efficiency of ab-initio total energy calculations for metals and semiconductors using a plane-wave basis set. Comput. Mater. Sci. 1996, 6, 15–50. [Google Scholar] [CrossRef]
- Kresse, G.; Furthmuller, J. Efficient iterative schemes for ab initio total-energy calculations using a plane-wave basis set. Phys. Rev. B 1996, 54, 11169–11186. [Google Scholar] [CrossRef]
- Perdew, J.P.; Burke, K.; Ernzerhof, M. Generalized gradient approximation made simple. Phys. Rev. Lett. 1996, 77, 3865–3868. [Google Scholar] [CrossRef]
- Kresse, G.; Joubert, D. From ultrasoft pseudopotentials to the projector augmented-wave method. Phys. Rev. B 1999, 59, 1758–1775. [Google Scholar] [CrossRef]
- Blochl, P.E. Projector Augmented-Wave Method. Phys. Rev. B 1994, 50, 17953–17979. [Google Scholar] [CrossRef] [PubMed]
- Monkhorst, H.J.; Pack, J.D. Special Points for Brillouin-Zone Integrations. Phys. Rev. B 1976, 13, 5188–5192. [Google Scholar] [CrossRef]
- Larson, P.; Lambrecht, W.R.L.; Chantis, A.; van Schilfgaarde, M. Electronic structure of rare-earth nitrides using the LSDA plus U approach: Importance of allowing 4f orbitals to break the cubic crystal symmetry. Phys. Rev. B 2007, 75. [Google Scholar] [CrossRef]
- Kingsmith, R.D.; Vanderbilt, D. Theory of Polarization of Crystalline Solids. Phys. Rev. B 1993, 47, 1651–1654. [Google Scholar] [CrossRef]
- Vanderbilt, D.; Kingsmith, R.D. Electric Polarization as a Bulk Quantity and Its Relation to Surface-Charge. Phys. Rev. B 1993, 48, 4442–4455. [Google Scholar] [CrossRef] [PubMed]
- Resta, R. Macroscopic Polarization in Crystalline Dielectrics—The Geometric Phase Approach. Rev. Mod. Phys. 1994, 66, 899–915. [Google Scholar] [CrossRef]
- Li, D.X.; Oyamada, A.; Hashi, K.; Haga, Y.; Matsumura, T.; Shida, H.; Suzuki, T.; Kasuya, T.; Donni, A.; Hulliger, F. Study of Physical-Properties of YB-Monopnictides. J. Magn. Magn. Mater. 1995, 140, 1169–1170. [Google Scholar] [CrossRef]
- Watt, J.P.; Peselnick, L. Clarification of the Hashin-Shtrikman Bounds on the Effective Elastic-Moduli of Polycrystals with Hexagonal, Trigonal, and Tetragonal Symmetries. J. Appl. Phys. 1980, 51, 1525–1531. [Google Scholar] [CrossRef]
- Wang, J.; Zhao, M.; Jin, S.F.; Li, D.D.; Yang, J.W.; Hu, W.J.; Wang, W.J. Debye temperature of wurtzite AIN determined by X-ray powder diffraction. Powder Differ. 2014, 29, 352–355. [Google Scholar] [CrossRef]
- Jain, A.; Ong, S.P.; Hautier, G.; Chen, W.; Richards, W.D.; Dacek, S.; Cholia, S.; Gunter, D.; Skinner, D.; Ceder, G.; et al. Commentary: The Materials Project: A materials genome approach to accelerating materials innovation. APL Mater. 2013, 1, 011002. [Google Scholar] [CrossRef]
- Petousis, I.; Mrdjenovich, D.; Ballouz, E.; Liu, M.; Winston, D.; Chen, W.; Graf, T.; Schladt, T.D.; Persson, K.A.; Prinz, F.B. High-throughput screening of inorganic compounds for the discovery of novel dielectric and optical materials. Sci. Data 2017, 4, 160134. [Google Scholar] [CrossRef] [PubMed]
- Hoglund, C.; Birch, J.; Alling, B.; Bareno, J.; Czigany, Z.; Persson, P.O.A.; Wingqvist, G.; Zukauskaite, A.; Hultman, L. Wurtzite structure Sc1-xAlxN solid solution films grown by reactive magnetron sputter epitaxy: Structural characterization and first-principles calculations. J. Appl. Phys. 2010, 107, 123515. [Google Scholar] [CrossRef]
- Hoglund, C.; Bareno, J.; Birch, J.; Alling, B.; Czigany, Z.; Hultman, L. Cubic Sc1-xAlxN solid solution thin films deposited by reactive magnetron sputter epitaxy onto ScN(111). J. Appl. Phys. 2009, 105, 113517. [Google Scholar] [CrossRef]






| Concentration: x | Elastic Stiffness Constant (GPa) | ||||
|---|---|---|---|---|---|
| C11 | C12 | C13 | C33 | C44 | |
| 0.000 | 377.6 | 128.4 | 97.9 | 358.5 | 124.3 |
| 0.111 | 324.1 | 131.4 | 111.7 | 288.0 | 92.2 |
| 0.222 | 289.0 | 129.3 | 110.6 | 243.3 | 77.0 |
| 0.333 | 256.5 | 122.0 | 116.7 | 214.8 | 68.5 |
| 0.444 | 233.7 | 134.3 | 120.6 | 173.1 | 49.3 |
| 0.500 | 231.5 | 134.2 | 110.5 | 146.1 | 41.7 |
| 0.611 | 206.7 | 120.6 | 117.9 | 136.0 | 33.5 |
| 0.667 | 199.5 | 131.9 | 118.4 | 116.7 | 31.5 |
| 0.778 | 202.3 | 140.8 | 101.3 | 165.2 | 30.1 |
| 0.889 | 201.3 | 149.5 | 89.0 | 233.7 | 24.1 |
| 1.000 | 197.9 | 151.7 | 72.5 | 321.1 | 23.2 |
Publisher’s Note: MDPI stays neutral with regard to jurisdictional claims in published maps and institutional affiliations. |
© 2021 by the authors. Licensee MDPI, Basel, Switzerland. This article is an open access article distributed under the terms and conditions of the Creative Commons Attribution (CC BY) license (http://creativecommons.org/licenses/by/4.0/).
Share and Cite
Hirata, K.; Mori, Y.; Yamada, H.; Uehara, M.; Anggraini, S.A.; Akiyama, M. Significant Enhancement of Piezoelectric Response in AlN by Yb Addition. Materials 2021, 14, 309. https://doi.org/10.3390/ma14020309
Hirata K, Mori Y, Yamada H, Uehara M, Anggraini SA, Akiyama M. Significant Enhancement of Piezoelectric Response in AlN by Yb Addition. Materials. 2021; 14(2):309. https://doi.org/10.3390/ma14020309
Chicago/Turabian StyleHirata, Kenji, Yuto Mori, Hiroshi Yamada, Masato Uehara, Sri Ayu Anggraini, and Morito Akiyama. 2021. "Significant Enhancement of Piezoelectric Response in AlN by Yb Addition" Materials 14, no. 2: 309. https://doi.org/10.3390/ma14020309
APA StyleHirata, K., Mori, Y., Yamada, H., Uehara, M., Anggraini, S. A., & Akiyama, M. (2021). Significant Enhancement of Piezoelectric Response in AlN by Yb Addition. Materials, 14(2), 309. https://doi.org/10.3390/ma14020309

