Sign in to use this feature.

Years

Between: -

Subjects

remove_circle_outline
remove_circle_outline
remove_circle_outline
remove_circle_outline
remove_circle_outline
remove_circle_outline
remove_circle_outline
remove_circle_outline
remove_circle_outline

Journals

remove_circle_outline
remove_circle_outline
remove_circle_outline
remove_circle_outline
remove_circle_outline
remove_circle_outline
remove_circle_outline
remove_circle_outline
remove_circle_outline
remove_circle_outline
remove_circle_outline
remove_circle_outline
remove_circle_outline
remove_circle_outline
remove_circle_outline
remove_circle_outline

Article Types

Countries / Regions

remove_circle_outline
remove_circle_outline
remove_circle_outline
remove_circle_outline
remove_circle_outline
remove_circle_outline

Search Results (2,208)

Search Parameters:
Keywords = first-principles calculation

Order results
Result details
Results per page
Select all
Export citation of selected articles as:
19 pages, 11465 KB  
Article
Single-Electron Transistor Based on Quantum Dots in Twisted Graphene/Hexagonal Boron Nitride Bilayer Heterostructure
by Xinyu Wang, Liang Deng, Fuhao Wang, Shengqiang Ding, Fuan Wang, Jiarui Chen, Haolin Lu, Guankui Long and Zhongkai Huang
Molecules 2026, 31(5), 828; https://doi.org/10.3390/molecules31050828 - 1 Mar 2026
Viewed by 175
Abstract
Twisted graphene/hexagonal boron nitride (TG/hBN) bilayers, with their tunable moiré potential and atomically clean interfaces, offer an ideal platform for high-performance single-electron transistors (SET). Combining quantum transport simulations with first-principles calculations, we systematically investigate how stackings (AA, AB, BA), twist angles, quantum dot [...] Read more.
Twisted graphene/hexagonal boron nitride (TG/hBN) bilayers, with their tunable moiré potential and atomically clean interfaces, offer an ideal platform for high-performance single-electron transistors (SET). Combining quantum transport simulations with first-principles calculations, we systematically investigate how stackings (AA, AB, BA), twist angles, quantum dot sizes, and gate-island coupling jointly modulate SET performance. Our central finding reveals a clear hierarchy: quantum dot size and stacking configuration dominate charge stability and transport, while twist angle introduces precise control of charge state. All stackings exhibit sharp, symmetric Coulomb blockade peaks, confirming stable single-electron tunneling, and gate coupling remains highly linear across parameters. Strikingly, only AA-stacked devices show a systematic twist-angle-dependent shift in conductance peaks, a direct signature of its perfect atomic registry and extreme angular sensitivity. This work establishes an idealized “size-, stacking-, and twist-angle modulation” design principle and theoretical roadmap based on TG/hBN, providing fundamental insights for future experimental exploration of tunable, low-noise quantum-electronic devices from twisted 2D heterostructures. Full article
Show Figures

Graphical abstract

18 pages, 1164 KB  
Article
A Predictive Model and Comparative Analysis of Laser-Induced Phase Transition Thresholds for Four Key Engineering Alloys
by Lyubomir Lazov, Lyubomir Linkov, Nikolay Angelov, Edmunds Sprudzs and Arturs Abolins
Materials 2026, 19(5), 927; https://doi.org/10.3390/ma19050927 (registering DOI) - 28 Feb 2026
Viewed by 66
Abstract
Laser-based manufacturing processes—including marking, hardening, cutting, and welding—demand the precise selection of processing parameters, as the resulting surface state is critically dependent on the delivered power density and beam–material interaction time. This study presents a unified predictive framework for estimating the critical surface [...] Read more.
Laser-based manufacturing processes—including marking, hardening, cutting, and welding—demand the precise selection of processing parameters, as the resulting surface state is critically dependent on the delivered power density and beam–material interaction time. This study presents a unified predictive framework for estimating the critical surface power density thresholds for melting qscm and evaporation qscv as functions of scanning speed v for the following four technologically important metallic materials: titanium, C26000 brass, SS304 stainless steel, and 42CrMo4 alloy steel. The principal novelty of this work is twofold. First, it provides the first directly comparative analysis of these four materials under identical, standardized laser conditions (λ = 1064 nm, d = 40 μm, constant absorptivity A = 0.4), eliminating the confounding effects of variable beam geometries and optical assumptions that hinder cross-study comparisons. Second, it translates fundamental thermophysical principles into a practical engineering tool, such as a validated spreadsheet calculator that outputs material-specific threshold curves in real time, enabling rapid, physics-based parameter estimation without recourse to complex numerical simulations. The computed threshold curves exhibit a consistent non-linear increase with scanning speed for all materials, governed by the inverse relationship between interaction time and required power density. The following clear material hierarchy emerges: C26000 brass exhibits the highest thresholds (e.g., qscm = 0.94 × 1010 W/m2, qscv = 10.74 × 1010 W/m2 at v = 100 mm/s) due to its high thermal conductivity, while titanium shows the lowest (qscm = 0.19 × 1010 W/m2, qscv = 0.48 × 1010 W/m2 at v = 100 mm/s) as a consequence of strong heat confinement. SS304 and 42CrMo4 occupy intermediate positions, with 42CrMo4 demonstrating notably higher evaporation resistance than SS304 despite similar melting thresholds. The resulting dual-threshold framework delineates three distinct process regimes—sub-melting heating, melting-dominant processing, and evaporation—providing a quantitative basis for parameter selection in applications ranging from surface hardening to micromachining. By bridging the gap between theoretical material science and applied manufacturing, this work offers a robust, first-order reference for process design and establishes a methodological template for future comparative studies of laser–material interactions. Full article
(This article belongs to the Section Materials Physics)
Show Figures

Graphical abstract

17 pages, 1883 KB  
Review
Research Progress on the Application of FPMD in Molten Salt Electrolysis
by Yilin Wang, Yanhong Jia, Benlin Yao, Yiqun Xiao and Hui He
Processes 2026, 14(5), 782; https://doi.org/10.3390/pr14050782 - 27 Feb 2026
Viewed by 135
Abstract
The pyrometallurgical reprocessing of spent fuel developed by the United States is currently one of the most promising nuclear fuel reprocessing methods. The electroreduction, electrolytic refining, and electrodeposition processes involve electrochemical research in high-temperature molten chloride systems. In recent years, much progress has [...] Read more.
The pyrometallurgical reprocessing of spent fuel developed by the United States is currently one of the most promising nuclear fuel reprocessing methods. The electroreduction, electrolytic refining, and electrodeposition processes involve electrochemical research in high-temperature molten chloride systems. In recent years, much progress has been made in simulating and studying molten-salt systems from a microscopic perspective using the first-principles molecular dynamics (FPMD) simulation technique. Using this method for simulation calculations is more conducive to analyzing the microscopic action mechanism and microscopic mechanism in the system from the atomic level and explaining the internal reasons for various electrochemical behaviors and phenomena. This opens up a new path for the study of molten-salt electrochemical systems. However, there are still a few systematic reviews of simulating work in first-principles computation. Therefore, this work summarizes the theoretical calculation work on molten-salt electrochemical systems of recent years, focusing on the research progress in computational aspects such as coordination properties, physical properties, and electrode behavior, which has good guiding value for the application of FPMD in molten-salt electrochemistry. Full article
(This article belongs to the Topic Advances in Separation Engineering)
Show Figures

Figure 1

11 pages, 2705 KB  
Article
First-Principles Insights into Recently Synthesized α′–B8H4 Hydrogenated Borophene: A Stable Semiconducting Monolayer for UV Photodetection and Optoelectronic Applications
by Bohayra Mortazavi, Masoud Shahrokhi, Fazel Shojaei and Xiaoying Zhuang
Materials 2026, 19(5), 907; https://doi.org/10.3390/ma19050907 (registering DOI) - 27 Feb 2026
Viewed by 199
Abstract
While diverse previously fabricated pristine and hydrogenated borophene lattices have been characterized predominantly by their metallic nature, a recent experimental breakthrough has introduced α′–B8H4, a semiconducting hydrogenated borophene phase, opening new avenues for boron-based nanoelectronics. Spurred by this breakthrough, [...] Read more.
While diverse previously fabricated pristine and hydrogenated borophene lattices have been characterized predominantly by their metallic nature, a recent experimental breakthrough has introduced α′–B8H4, a semiconducting hydrogenated borophene phase, opening new avenues for boron-based nanoelectronics. Spurred by this breakthrough, herein we utilize a comprehensive first-principles framework to investigate the critical properties of α′–B8H4 monolayer. Stability analyses confirm the considerable dynamical and thermal robustness of the α′–B8H4 monolayer. Calculations using hybrid functionals show that suspended single-layer α′–B8H4 exhibits an indirect semiconducting behavior, with band gaps of 2.06 eV and 2.45 eV predicted by HSE06 and PBE0, respectively. Optical response calculations reveal strong in-plane absorbance in the UV region, with the first notable peak at ~3.65 eV and the main peak occurring between 4.20 and 4.45 eV, both of which are clearly within the ultraviolet range. Mechanical analysis reveals that α′–B8H4 exhibits decent in-plane strength (>10 N/m), while phononic transport calculations yield a moderately low room-temperature lattice thermal conductivity of ~20 W/m·K, both displaying slight anisotropic behavior. These results provide a comprehensive first-principles characterization of the α′–B8H4 monolayer, highlighting the rare emergence of semiconducting behavior in borophene derivatives and underscoring its potential for UV optoelectronics and nanoscale device applications. Full article
(This article belongs to the Special Issue Electronic Structure of Novel Semiconducting Materials)
Show Figures

Figure 1

13 pages, 1459 KB  
Article
Exploring the Physical Properties of Cr2ZrP Full Heusler Alloy: A First Principles Study
by Wei Zheng, Chunmei Li, Yan Gao, Wenjiang Feng and Chuang Wu
Materials 2026, 19(5), 882; https://doi.org/10.3390/ma19050882 - 27 Feb 2026
Viewed by 96
Abstract
As a new full Heusler compound, the Cr2ZrP alloy has attracted significant attention due to its potential applications in spintronics. In this paper, the electronic, magnetic, and mechanical properties of the Cr2ZrP alloy were systematically studied using first-principles calculations. [...] Read more.
As a new full Heusler compound, the Cr2ZrP alloy has attracted significant attention due to its potential applications in spintronics. In this paper, the electronic, magnetic, and mechanical properties of the Cr2ZrP alloy were systematically studied using first-principles calculations. The results show that the alloy is a half-metallic ferromagnet with high stability: it exhibits majority-spin-channel semiconductor behavior and minority-spin-channel metallic behavior at the Fermi level, with 100% spin polarization. The total magnetic moment is 3.00 μB, which is consistent with the Slater-Pauling behavior of half-metallic ferromagnets. When the lattice parameter changes by ±5%, the total magnetic moment and 100% spin polarization remain robust, demonstrating excellent mechanical magnetic coupling stability. The mechanical property analysis further revealed that Cr2ZrP meets the mechanical stability criterion of the cubic system and has a high bulk modulus (~172.8 GPa) and a high Debye temperature (~377 K). At the same time, its Pugh ratio (B/G ≈ 2.96) and Poisson ratio (ν ≈ 0.35) showed that the material had good ductility. The three-dimensional surface plot of Young’s modulus confirmed the obvious anisotropy of mechanical properties. This study theoretically confirmed that the Cr2ZrP alloy exhibits ideal half-metallic properties, robust magnetic order, good mechanical stability, and ductility, making it a promising candidate for future spintronic devices. Full article
Show Figures

Figure 1

13 pages, 1812 KB  
Article
Origin of Large Second-Harmonic Generation in Nonpolar Molybdenum Tellurite Compounds
by Zhian Li, Xiyue Cheng, Qian Xu, Xiu Wang, Guoliang Liu and Shuiquan Deng
Molecules 2026, 31(5), 787; https://doi.org/10.3390/molecules31050787 - 26 Feb 2026
Viewed by 188
Abstract
Molybdenum tellurite compounds have attracted increasing interest as promising nonlinear optical (NLO) materials, yet their microscopic second-harmonic generation (SHG) mechanisms remain unclear. In this work, the electronic structures and SHG responses of ATeMoO6 (ATM, A = Mg, Cd, Zn) are systematically investigated [...] Read more.
Molybdenum tellurite compounds have attracted increasing interest as promising nonlinear optical (NLO) materials, yet their microscopic second-harmonic generation (SHG) mechanisms remain unclear. In this work, the electronic structures and SHG responses of ATeMoO6 (ATM, A = Mg, Cd, Zn) are systematically investigated using first-principles calculations combined with atom response theory. The results show that the SHG responses are mainly governed by the occupied nonbonding O 2p states and the unoccupied Mo 4d and Te 5p states. Our atom response theory analysis reveals that a strong synergistic effect between stereochemically active lone pairs (SCALPs) on Te atoms and nonbonding O 2p states critically enhances the SHG response in ZnTM and MgTM. In contrast, the relative weaker Te SCALPs in CdTM fail to provide a comparable contribution, leading to its lower SHG performance. The structure group analysis reveals that MoO4 units dominate the SHG response, while TeO4 units provide secondary contributions. Moreover, group dipole moments are found to be insufficient to explain the SHG behavior. These findings provide microscopic insights into SHG origins and offer guidance for NLO material design. Full article
(This article belongs to the Section Inorganic Chemistry)
Show Figures

Graphical abstract

30 pages, 2996 KB  
Article
The State and Development Directions of Polish Waste-to-Energy Plants in Improving R1-Based Energy Recovery Performance
by Marian Banaś, Tadeusz Pająk, Wojciech Wróbel and Józef Ciuła
Energies 2026, 19(5), 1143; https://doi.org/10.3390/en19051143 - 25 Feb 2026
Viewed by 250
Abstract
The paper presents an analysis of the status and development trends of Polish Waste-to-Energy (WtE) installations in the context of improving the level of energy recovery measured by the R1 indicator of the Waste Framework Directive (R1 is a regulatory indicator of the [...] Read more.
The paper presents an analysis of the status and development trends of Polish Waste-to-Energy (WtE) installations in the context of improving the level of energy recovery measured by the R1 indicator of the Waste Framework Directive (R1 is a regulatory indicator of the R1/D10 classification, not the thermodynamic efficiency of the installation). Based on the standardised annual operating energy balances of six mature municipal waste incineration plants from 2020 to 2024 and partial data for 2025, electricity and heat production, auxiliary media consumption and waste fuel parameters were compared, and R1 was calculated in the Ep, Ef, Ew and Ei systems. The R1 values were then compared with heat collection conditions and modernisation implementations (integration with the heating network, exhaust gas condensation, advanced control/predictive algorithms), treating the ‘before/after’ comparisons as an observational assessment, without inferring strict causality. The average R1 for the facilities studied in 2020–2024 was 0.864, with the highest values recorded for installations in Kraków (R1 = 1.123 in 2024). The results indicate that a high and growing R1 is primarily associated with cogeneration and stable heat management in district heating systems, and that upgrades aimed at additional heat recovery and process stabilisation can further support this trend, in line with the ‘energy efficiency first’ principle. A novelty of the study is the standardised, long-term benchmarking of full-scale data for six installations using a uniform R1 methodology. Full article
(This article belongs to the Collection Energy Efficiency and Environmental Issues)
Show Figures

Figure 1

21 pages, 4561 KB  
Article
Study of the Microstructure and Properties of CoCrFeNiMnx High-Entropy Alloys
by Zhengpeng Zhang, Shichen Yan, Jiankang Huang, Tianxiang Zhao, Chen Dong, Abdul Bari, Jiaojiao Xie, Xiaoquan Yu and Yingwei Chen
Metals 2026, 16(3), 250; https://doi.org/10.3390/met16030250 - 25 Feb 2026
Viewed by 155
Abstract
High-entropy alloys (HEAs) provide a broad compositional space for tuning phase stability and surface durability. CoCrFeNiMnx (x = 0.5, 1.0, 1.5, and 2.0) alloys were fabricated by vacuum arc melting and characterized by X-ray diffraction (XRD), optical microscopy (OM), scanning electron microscopy [...] Read more.
High-entropy alloys (HEAs) provide a broad compositional space for tuning phase stability and surface durability. CoCrFeNiMnx (x = 0.5, 1.0, 1.5, and 2.0) alloys were fabricated by vacuum arc melting and characterized by X-ray diffraction (XRD), optical microscopy (OM), scanning electron microscopy with energy-dispersive spectroscopy (SEM/EDS), microhardness testing, electrochemical testing in 3.5 wt.% NaCl, and X-ray photoelectron spectroscopy (XPS). Density functional theory (DFT) calculations and first-principles molecular dynamics were further employed to analyze the Mn-dependent electronic structure and oxygen–metal bonding. The XRD results indicate a transition from a single FCC solid solution at x ≤ 1.0 to an FCC + BCC constitution at x ≥ 1.5. With increasing Mn, microstructures evolve from coarse dendrites toward higher fractions of equiaxed grains. Hardness decreases from 163.6 HV (x = 0.5) to 125.1 HV (x = 1.0) and then increases to 162.6 HV (x = 2.0), indicating competing solid-solution and phase/segregation effects. Electrochemical measurements show enhanced corrosion resistance with Mn addition; the x = 2.0 alloy exhibits the lowest fitted corrosion current density (icorr = 0.3482 × 10−6 μA·cm−2) and the most stable passivation response. XPS reveals passive films dominated by Fe2O3 together with Mn3+ oxides, whose synergistic formation promotes a denser barrier layer. DFT predicts a monotonic decrease in Fermi level and a narrowed conduction band range as Mn increases, consistent with reduced electron transfer activity during anodic dissolution. Interfacial simulations show that O preferentially bonds with Cr and Mn, while Ni–O bonds have the lowest estimated rupture barrier, rationalizing a tendency toward localized corrosion at Ni-associated sites. Full article
Show Figures

Figure 1

11 pages, 5872 KB  
Article
Measurements of Electronic Band Structure in CeCoGe3 by Angle-Resolved Photoemission Spectroscopy
by Robert Prater, Mingkun Chen, Matthew Staab, Sudheer Sreedhar, Journey Byland, Zihao Shen, Sergey Y. Savrasov, Valentin Taufour, Vsevolod Ivanov and Inna Vishik
Condens. Matter 2026, 11(1), 8; https://doi.org/10.3390/condmat11010008 - 25 Feb 2026
Viewed by 121
Abstract
In this paper, we present a comprehensive study of the electronic structure of CeCoGe3 throughout the entire Brillouin zone in the non-magnetic regime using angle-resolved photoemission spectroscopy (ARPES). The electronic structure agrees in large part with first principles calculations, including predicted topological [...] Read more.
In this paper, we present a comprehensive study of the electronic structure of CeCoGe3 throughout the entire Brillouin zone in the non-magnetic regime using angle-resolved photoemission spectroscopy (ARPES). The electronic structure agrees in large part with first principles calculations, including predicted topological nodal lines. Two new features in the band structure are also observed, namely a surface state and folded bands, the latter of which is argued to originate from a unit cell reconstruction. Full article
Show Figures

Figure 1

10 pages, 1096 KB  
Article
The Modulation of Magnetic Properties in 1T-ZrS2 Monolayer via Nonmetal Doping and Strain Engineering
by Shengwu Yuan, Xiaoli Tong, Lei Li, Xianpei Ren, Xingyi Tan, Qiang Li and Hui Xiang
Symmetry 2026, 18(3), 395; https://doi.org/10.3390/sym18030395 - 24 Feb 2026
Viewed by 182
Abstract
Two-dimensional magnetic materials with weak spin-orbit coupling would endow them with great potential for applications in low-power spintronic logic devices. In this work, the stability and magnetism of nonmetal (N, O, F, P) doped 1T-ZrS2 monolayers is systematically studied by using first [...] Read more.
Two-dimensional magnetic materials with weak spin-orbit coupling would endow them with great potential for applications in low-power spintronic logic devices. In this work, the stability and magnetism of nonmetal (N, O, F, P) doped 1T-ZrS2 monolayers is systematically studied by using first principles calculations based on density functional theory. Pristine ZrS2 monolayer is a nonmagnetic semiconductor with an indirect band gap of 1.15 eV. Among the configurations of nonmetal-atom adsorption, substitutional doping, and vacancy defects, fluorine adsorption on the ZrS2 monolayer is regarded as an optimal doping strategy. At the concentration of 11.11% in F-adsorbed ZrS2, the spontaneous magnetization of F-adsorbed ZrS2 monolayer occurs at the ground state with the stable magnetic states; the magnetic moments are about 0.674 μB, which mainly originates from the hybridization between the p-orbitals of S atoms and F atoms (0.315 μB) and d-orbitals of Zr atoms (0.323 μB). Moreover, the F-adsorbed ZrS2 monolayer under 0–4% strain delivers consistently low spin polarization energy with stable p-d hybridization, offering their promising potential for their practical applications in low-power spintronic devices. Full article
(This article belongs to the Section Engineering and Materials)
Show Figures

Figure 1

33 pages, 4905 KB  
Article
Managing Residual Methane from Abandoned Coal Mines in Urban Areas: A Post-Mining Risk Case Study from Lupeni, Romania
by Ladislau Radermacher, Andrei Burlacu and Cristian Radeanu
Processes 2026, 14(4), 696; https://doi.org/10.3390/pr14040696 - 19 Feb 2026
Viewed by 260
Abstract
Methane emissions from abandoned coal mining operations represent a persistent environmental and safety challenge in post-mining regions undergoing urban redevelopment. As urban infrastructure expands over former underground workings, the uncontrolled migration of mine gas can compromise public safety, exacerbate greenhouse gas emissions, and [...] Read more.
Methane emissions from abandoned coal mining operations represent a persistent environmental and safety challenge in post-mining regions undergoing urban redevelopment. As urban infrastructure expands over former underground workings, the uncontrolled migration of mine gas can compromise public safety, exacerbate greenhouse gas emissions, and undermine sustainable development goals. This study investigates the origin of methane emissions detected in an urban area of the municipality of Lupeni, Romania, following the commissioning of a new natural gas distribution pipeline installed within a historically mined perimeter. The emissions had not been previously reported and were unexpectedly discovered during technical inspections conducted after the gas network installation, highlighting the absence of historical data on gas presence in this area. This is the first documented case of an accidental discovery of methane emissions in an urban perimeter overlying historical coal mine workings in Romania, granting this study a pioneering status, both scientifically and in terms of urban risk management. The findings emphasize that administrative mine closure does not equate to risk closure, as latent methane emissions may reactivate during urban transformations (e.g., excavations, utility upgrades, drainage changes). To ensure a scientifically sound and sustainable risk assessment, an integrated diagnostic framework was applied, combining chronological field monitoring with chromatographic gas composition analysis. This methodology enabled precise attribution of the methane source to abandoned underground mine workings, excluding the public gas network as a contributor. Based on this diagnosis, a controlled drainage and methane recovery system was implemented, resulting in the elimination of detectable concentrations at all monitoring points by February 2025. The captured methane was redirected for local energy use, transforming an environmental liability into a usable resource. This intervention supports circular economy principles and aligns with EU climate and energy transition goals. The proposed methodological framework provides a replicable model for identifying and managing residual mine gas in post-industrial urban environments. Although emission fluxes were not quantified, concentration-based screening enabled risk diagnosis, prioritization, and targeted intervention. These findings are relevant to EU Regulation (2024/1785) on methane emission reduction, emphasizing the need to include post-mining methane (AMM) in urban planning and environmental monitoring strategies. Limitations of the study include the absence of baseline data and the inability to calculate total methane flux. However, the results support immediate and practical risk mitigation and highlight the need for future work focused on long-term monitoring and emission quantification. This case provides critical insights for other post-mining cities in Central and Eastern Europe facing similar challenges at the intersection of legacy coal infrastructure and modern urban development. This study is designed as a concentration-based diagnostic and risk-oriented case study and does not aim to quantify methane emission fluxes. Full article
Show Figures

Figure 1

27 pages, 4165 KB  
Article
A Novel Multi-Point Depletion Model for Molten Salt Reactors
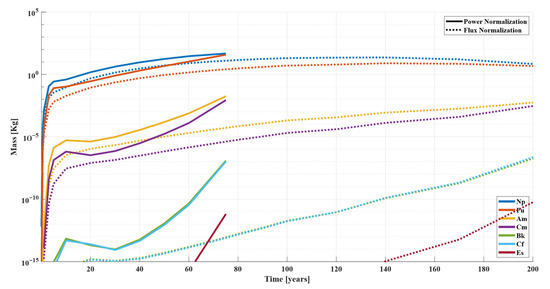
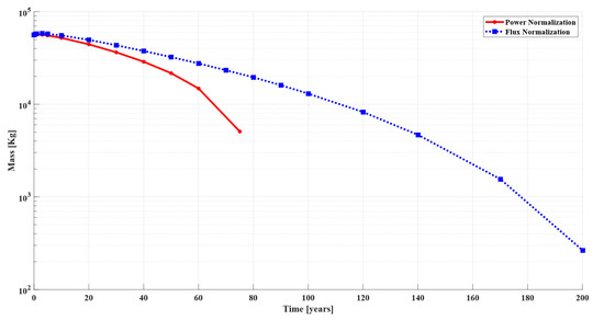
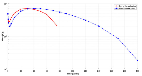
by Mohamed H. Elhareef and Zeyun Wu
J. Nucl. Eng. 2026, 7(1), 17; https://doi.org/10.3390/jne7010017 - 18 Feb 2026
Viewed by 368
Abstract
Molten Salt Reactors (MSRs) offer significant advantages over conventional reactors but introduce unique modeling challenges due to their circulating liquid fuel and strong coupling among nuclear, chemical, and fluid transport processes. These challenges are amplified in depletion calculations, where MSR specific phenomena such [...] Read more.
Molten Salt Reactors (MSRs) offer significant advantages over conventional reactors but introduce unique modeling challenges due to their circulating liquid fuel and strong coupling among nuclear, chemical, and fluid transport processes. These challenges are amplified in depletion calculations, where MSR specific phenomena such as online refueling, off-gas removal, material redistribution, and other flow driven processes must be accurately represented. This work presents a novel multi-point depletion model that efficiently and accurately predicts isotopic evolution in MSRs by explicitly accounting for these characteristics. The mathematical formulation is derived from first principles and is computationally implemented in the open-source depletion code ONIX using neutronics solutions from open-source transport code OpenMC. The new model represents the entire primary loop by dividing it into interconnected depletion zones and tracks nuclide transport, irradiation, and removal mechanisms through a system of coupled ordinary differential equations. This approach enables parallel computation and improves performance over traditional sequential depletion methods. Validation of the developed model against Molten Salt Reactor Experiment data shows good agreement for salt-seeking isotopes and those without noble gas precursors, while discrepancies for other nuclides suggest underestimation of the corresponding removal rates. The depletion model was further applied to a reference Molten Salt Fast Reactor design to assess a new reprocessing scheme intended to expedite the achievement of equilibrium operation. Full article
Show Figures

Figure 1

18 pages, 4197 KB  
Article
First-Principles Investigation of Ag Doping Effects on Phase Stability and Mechanical Properties in Rare-Earth Magnesium Alloy Mg24(Gd,Y)5
by Jiachun Yuan, Dengjun Wu, Jiamin Li, Juan Hou and Hao Wang
Materials 2026, 19(4), 797; https://doi.org/10.3390/ma19040797 - 18 Feb 2026
Viewed by 221
Abstract
The limited ductility of the VW63K rare-earth magnesium alloy fabricated via cold metal transfer wire arc additive manufacturing (CMT-WAAM) was targeted in this work. An integrated approach that combines first-principles calculations with experimental characterization was employed to achieve this goal. This approach was [...] Read more.
The limited ductility of the VW63K rare-earth magnesium alloy fabricated via cold metal transfer wire arc additive manufacturing (CMT-WAAM) was targeted in this work. An integrated approach that combines first-principles calculations with experimental characterization was employed to achieve this goal. This approach was used to systematically investigate how Ag doping alters the microstructure and mechanical properties of the alloy. First-principles calculations performed on the primary precipitate phase Mg24(Gd,Y)5 demonstrated that Ag atoms preferentially occupy the Mg lattice sites and form pronounced orbital hybridization with neighboring rare-earth atoms. These interactions were found to enhance critical mechanical parameters, including the Cauchy pressure, B/G ratio, and Poisson’s ratio, which are indicative of enhanced ductility and toughness of the phase. Experimental results indicate that the fracture strain of the VW63K-Ag alloy was increased from approximately 4% to above 12% following Ag doping. This resulted in a significant improvement in ductility. The ultimate tensile strength (UTS) underwent only a moderate reduction. Using a closed-loop approach integrating theoretical prediction and experimental validation, the microstructural modification and strengthening mechanisms of Ag in the VW63K alloy fabricated via CMT-WAAM were clarified. These findings offer a theoretical foundation and experimental evidence for compositional design and optimizing additive manufacturing (AM) processes for rare-earth magnesium alloys. Full article
Show Figures

Graphical abstract

10 pages, 2219 KB  
Article
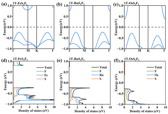
Electronic and Magnetic Properties of Fluorinated Transition Metal Dichalcogenide 1T-MX2F2 (X = S, Se, Te) Monolayers
by Lixia Zheng, Chenzhi Liu, Yunfei Gao, Aolin Li, Haiming Duan and Fangping Ouyang
Nanomaterials 2026, 16(4), 256; https://doi.org/10.3390/nano16040256 - 15 Feb 2026
Viewed by 213
Abstract
Two-dimensional transition metal dichalcogenides (TMDCs) have attracted worldwide attention due to their rich physical and chemical properties. How to regulate their electronic structures to meet different application requirements is a crucial issue. In this work, based on first-principle calculations, we demonstrate that surface [...] Read more.
Two-dimensional transition metal dichalcogenides (TMDCs) have attracted worldwide attention due to their rich physical and chemical properties. How to regulate their electronic structures to meet different application requirements is a crucial issue. In this work, based on first-principle calculations, we demonstrate that surface fluorination can be a powerful method for tailoring the electronic and magnetic properties of TMDC monolayers. The fluorinated T-MX2F2 (X = S, Se, Te) monolayers cover semiconductors, half-metals, semimetals, and half-semimetals. In particular, monolayer T-CrS2F2 is a half-semimetal, and the spin–orbit coupling effect changes it to a quantum anomalous Hall insulator. Monolayer T-HfS2F2 is a non-magnetic semimetal, and monolayer T-CoS2F2 is a half-metal. These findings not only suggest that fluorination can dramatically alter the electronic properties of two-dimensional TMDCs but also provide a new research platform for developing nanoelectronic devices. Full article
(This article belongs to the Special Issue Theoretical Calculations and Simulations of Low-Dimensional Materials)
Show Figures

Graphical abstract

21 pages, 4289 KB  
Article
Effect of Si, Mn, V and B on the Electrical Resistivity of 8030 Aluminum Rods
by Qingping Yang and Huixin Jin
Metals 2026, 16(2), 216; https://doi.org/10.3390/met16020216 - 13 Feb 2026
Viewed by 252
Abstract
The non-renewable nature of traditional fossil fuels, along with the environmental and health hazards posed by their emissions, underscores the urgent need to reduce transmission losses in power grids. This study employs single-variable experiments, first-principles calculations, and thermodynamic calculations. The results show that, [...] Read more.
The non-renewable nature of traditional fossil fuels, along with the environmental and health hazards posed by their emissions, underscores the urgent need to reduce transmission losses in power grids. This study employs single-variable experiments, first-principles calculations, and thermodynamic calculations. The results show that, although the mass fraction and increment of Si are greater than those of Mn and V, the increase in electrical resistivity of 8030 aluminum rods caused by Si is only slightly higher than that caused by Mn and V. In contrast, trace additions of Mn and V significantly increase electrical resistivity, with respective increments of about 0.353 ± 0.011 nΩ·m/0.01 wt.% (Mn) and 0.373 ± 0.009 nΩ·m/0.01 wt.% (V). Si has a weaker effect on electrical resistivity, with an increment of approximately 0.052 ± 0.001 nΩ·m/0.01 wt.% (Si), and the increase in electrical resistivity diminishes as the Si mass fraction increases. The study also shows that at 700 °C for 30 min, a stable, high-density VB2 phase forms. With an average density more than twice that of the melt, VB2 settles at the bottom of the melt and effectively removes V. These findings are significant for producing 8030 aluminum rods with lower electrical resistivity. Full article
Show Figures

Figure 1

Back to TopTop