Optically Active TiO2:Er Thin Films Deposited by Magnetron Sputtering
Abstract
:1. Introduction
2. Materials and Methods
3. Results and Discussion
4. Conclusions and Perspectives
- Contain a high amount of Er (14 at.%);
- Are amorphous to a large extent, but precipitation of the secondary phase of Er2TiO7 cannot be excluded;
- Are smooth with the grain size much smaller than that of undoped TiO2;
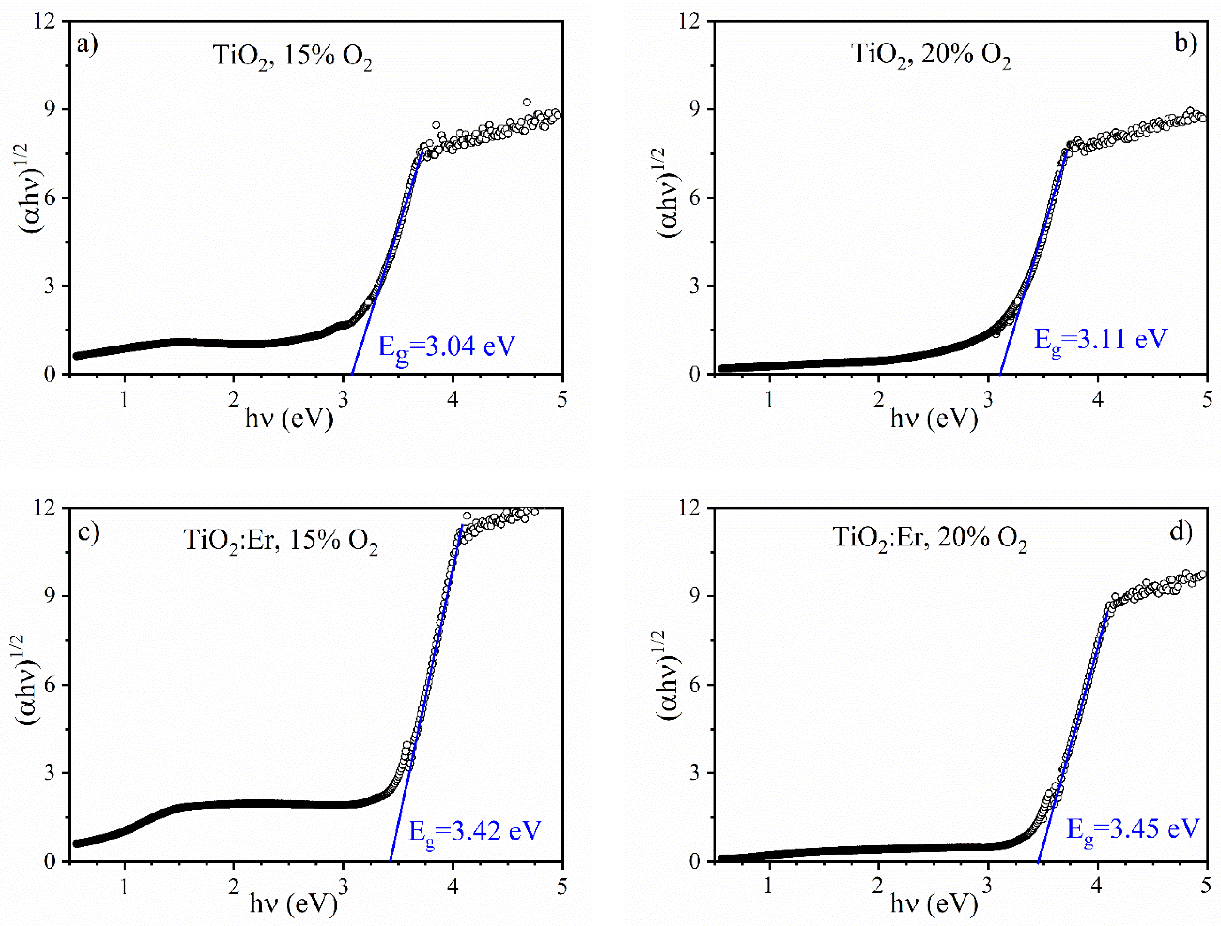
- Have the band gap energy much larger (0.4 eV blue shift) than that of undoped TiO2;
- Exhibit up-conversion upon illumination at 980 nm;
- Exhibit photoluminescence in the VIS and NIR range of the light spectrum upon excitation at 488 nm.
Supplementary Materials
Author Contributions
Funding
Institutional Review Board Statement
Informed Consent Statement
Data Availability Statement
Acknowledgments
Conflicts of Interest
References
- Zhang, F. Photon Upconversion Nanomaterials; Lockwood, D.J., Ed.; Nanostructure Science and Technology; Springer: Berlin/Heidelberg, Germany, 2015; ISBN 978-3-662-45596-8. [Google Scholar]
- Yang, R. (Ed.) Principles and Applications of Up-Converting Phosphor Technology; Springer: Singapore, 2019; ISBN 978-981-32-9278-9. [Google Scholar]
- Jayaraj, M.K. (Ed.) Nanostructured Metal Oxides and Devices; Materials Horizons: From Nature to Nanomaterials; Springer: Singapore, 2020; ISBN 978-981-15-3313-6. [Google Scholar]
- Gao, Y.; Shi, C.; Feng, J.; Zhao, G.; Yu, H.; Bi, Y.; Ding, F.; Sun, Y.; Xu, Z. Synergistic effect of upconversion and plasmons in NaYF4:Yb3+, Er3+, Tm3+@TiO2-Ag composites for MO photodegradation. RSC Adv. 2017, 7, 54555–54561. [Google Scholar] [CrossRef] [Green Version]
- Duan, C.; Liang, L.; Li, L.; Zhang, R.; Xu, Z.P. Recent progress in upconversion luminescence nanomaterials for biomedical applications. J. Mater. Chem. B 2018, 6, 192–209. [Google Scholar] [CrossRef]
- Dawson, P.; Romanowski, M. Designing ultraviolet upconversion for photochemistry. J. Lumin. 2020, 222, 117143. [Google Scholar] [CrossRef]
- Jarosz-Duda, A.; O’Callaghan, P.; Kuncewicz, J.; Łabuz, P.; Macyk, W. Enhanced UV Light Emission by Core-Shell Upconverting Particles Powering up TiO2 Photocatalysis in Near-Infrared Light. Catalysts 2020, 10, 232. [Google Scholar] [CrossRef] [Green Version]
- Yasaka, P.; Kaewkhao, J. Luminescence from lanthanides-doped glasses and applications: A review. In Proceedings of the 2015 4th International Conference on Instrumentation, Communications, Information Technology, and Biomedical Engineering (ICICI-BME), Bandung, Indonesia, 2–3 November 2015; pp. 4–15. [Google Scholar]
- Hu, S.; Qin, X.; Liu, X.; Zhou, G.; Lu, C.; Wang, S.; Xu, Z. Fabrication and luminescent properties of highly transparent Er3Al5O12 ceramics. Opt. Mater. 2017, 71, 86–89. [Google Scholar] [CrossRef]
- Wehrspohn, R.B.; Rau, U.; Gombert, A. (Eds.) Photon Management in Solar Cells; Wiley-VCH Verlag GmbH & Co. KGaA: Weinheim, Germany, 2015; ISBN 9783527665662. [Google Scholar]
- Tian, Q.; Yao, W.; Wu, W.; Jiang, C. NIR light-activated upconversion semiconductor photocatalysts. Nanoscale Horiz. 2019, 4, 10–25. [Google Scholar] [CrossRef]
- Johannsen, S.R.; Roesgaard, S.; Julsgaard, B.; Ferreira, R.A.S.; Chevallier, J.; Balling, P.; Ram, S.K.; Larsen, A.N. Influence of TiO2 host crystallinity on Er3+ light emission. Opt. Mater. Express 2016, 6, 1664–1678. [Google Scholar] [CrossRef] [Green Version]
- Khan, M.A.; Idriss, H. Advances in plasmon-enhanced upconversion luminescence phenomena and their possible effect on light harvesting for energy applications. Wiley Interdiscip. Rev. Energy Environ. 2017, 6, e254. [Google Scholar] [CrossRef]
- Wang, Y.; Zu, M.; Zhou, X.; Lin, H.; Peng, F.; Zhang, S. Designing efficient TiO2-based photoelectrocatalysis systems for chemical engineering and sensing. Chem. Eng. J. 2020, 381. [Google Scholar] [CrossRef]
- Eidsvåg, H.; Bentouba, S.; Vajeeston, P.; Yohi, S.; Velauthapillai, D. TiO2 as a Photocatalyst for Water Splitting—An Experimental and Theoretical Review. Molecules 2021, 26, 1687. [Google Scholar] [CrossRef]
- Fujishima, A.; Honda, K. Electrochemical Photolysis of Water at a Semiconductor Electrode. Nature 1972, 238, 37–38. [Google Scholar] [CrossRef] [PubMed]
- Radecka, M.; Kusior, A.; Trenczek-Zając, A.; Zakrzewska, K. Oxide Nanomaterials for Photoelectrochemical Hydrogen Energy Sources. In Advances in Inorganic Chemistry; Eldik, R., van Macyk, W., Eds.; Academic Press: Cambridge, MA, USA, 2018; Volume 72, pp. 145–183. ISBN 9780128150771. [Google Scholar]
- Stanley, C.; Mojiri, A.; Rosengarten, G. Spectral light management for solar energy conversion systems. Nanophotonics 2016, 5, 161–179. [Google Scholar] [CrossRef]
- Strümpel, C.; McCann, M.; Beaucarne, G.; Arkhipov, V.; Slaoui, A.; Švrček, V.; del Cañizo, C.; Tobias, I. Modifying the solar spectrum to enhance silicon solar cell efficiency—An overview of available materials. Sol. Energy Mater. Sol. Cells 2007, 91, 238–249. [Google Scholar] [CrossRef]
- Mao, X.; Yan, B.; Wang, J.; Shen, J. Up-conversion fluorescence characteristics and mechanism of Er3+-doped TiO2 thin films. Vacuum 2014, 102, 38–42. [Google Scholar] [CrossRef]
- Zhang, J.; Wang, X.; Zheng, W.-T.; Kong, X.-G.; Sun, Y.-J.; Wang, X. Structure and luminescence properties of TiO2:Er3+ nanocrystals annealed at different temperatures. Mater. Lett. 2007, 61, 1658–1661. [Google Scholar] [CrossRef]
- Salhi, R.; Deschanvres, J.-L. Efficient green and red up-conversion emissions in Er/Yb co-doped TiO2 nanopowders prepared by hydrothermal-assisted sol-gel process. J. Lumin. 2016, 176, 250–259. [Google Scholar] [CrossRef]
- Ðorđević, V.; Milićević, B.; Dramićanin, M.D. Rare earth-doped anatase TiO2 nanoparticles. In Titanium Dioxide; Janus, M., Ed.; IntechOpen: London, UK, 2017; ISBN 978-953-51-3414-5. [Google Scholar]
- Kiisk, V.; Akulitš, K.; Kodu, M.; Avarmaa, T.; Mändar, H.; Kozlova, J.; Eltermann, M.; Puust, L.; Jaaniso, R. Oxygen-Sensitive Photoluminescence of Rare Earth Ions in TiO2 Thin Films. J. Phys. Chem. C 2019, 123, 17908–17914. [Google Scholar] [CrossRef]
- Obregón, S.; Colón, G. Evidence of upconversion luminescence contribution to the improved photoactivity of erbium doped TiO2 systems. Chem. Commun. 2012, 48, 7865. [Google Scholar] [CrossRef] [Green Version]
- Kočí, K.; Reli, M.; Edelmannová, M.; Troppová, I.; Drobná, H.; Rokicińska, A.; Kuśtrowski, P.; Dvoranová, D.; Čapek, L. Photocatalytic hydrogen production from methanol over Nd/TiO2. J. Photochem. Photobiol. A Chem. 2018, 366, 55–64. [Google Scholar] [CrossRef]
- Mazierski, P.; Mikolajczyk, A.; Grzyb, T.; Caicedo, P.N.A.; Wei, Z.; Kowalska, E.; Pinto, H.P.; Zaleska-Medynska, A.; Nadolna, J. On the excitation mechanism of visible responsible Er-TiO2 system proved by experimental and theoretical investigations for boosting photocatalytic activity. Appl. Surf. Sci. 2020, 527, 146815. [Google Scholar] [CrossRef]
- Zakrzewska, K.; Kollbek, K.; Sikora, M.; Kapusta, C.; Szlachetko, J.; Sitarz, M.; Ziabka, M.; Radecka, M. Importance of the electronic structure of modified TiO2 in the photoelectrochemical processes of hydrogen generation. Int. J. Hydrogen Energy 2015, 40, 815–824. [Google Scholar] [CrossRef]
- Pérez, J.A.B.; Courel, M.; Valderrama, R.C.; Hernández, I.; Pal, M.; Delgado, F.P.; Mathews, N.R. Structural, optical, and photoluminescence properties of erbium doped TiO2 films. Vacuum 2019, 169, 108873. [Google Scholar] [CrossRef]
- Kot, A.; Dorosz, D.; Radecka, M.; Zakrzewska, K. Improved photon management in a photoelectrochemical cell with Nd-modified TiO2 thin film photoanode. Int. J. Hydrogen Energy 2021, 46, 12082–12094. [Google Scholar] [CrossRef]
- Gorni, G.; Velázquez, J.; Mosa, J.; Mather, G.; Serrano, A.; Vila, M.; Castro, G.; Bravo, D.; Balda, R.; Fernández, J.; et al. Transparent Sol-Gel Oxyfluoride Glass-Ceramics with High Crystalline Fraction and Study of RE Incorporation. Nanomaterials 2019, 9, 530. [Google Scholar] [CrossRef] [PubMed] [Green Version]
- Ishii, M.; Komuro, S.; Morikawa, T. Study on atomic coordination around Er doped into anatase– and rutile– TiO2: Er–O clustering dependent on the host crystal phase. J. Appl. Phys. 2003, 94, 3823–3827. [Google Scholar] [CrossRef]
- Yang, J.; Hu, Y.; Jin, C.; Zhuge, L.; Wu, X. Structural and optical properties of Er-doped TiO2 thin films prepared by dual-frequency magnetron co-sputtering. Thin Solid Films 2017, 637, 9–13. [Google Scholar] [CrossRef]
- Wagner, A.D.; Naumkin, A.V.; Kraut-Vass, A.; Allison, J.W.; Powell, C.J.; Rumble, J.R.J. NIST Standard Reference Database 20. Available online: http://srdata.nist.gov/xps/ (accessed on 8 April 2021).
- Uwamino, Y.; Ishizuka, T.; Yamatera, H. X-ray photoelectron spectroscopy of rare-earth compounds. J. Electron Spectros. Relat. Phenomena 1984, 34, 67–78. [Google Scholar] [CrossRef]
- Born, M.; Wolf, E. Principles of Optics; Electromagnetic Theory of Propagation, Interference, and Diffraction of Light, 5th ed.; Pergamon Press: Oxford, UK, 1975; ISBN 0-08-018018-3. [Google Scholar]
- Stenzel, O. Das Dünnschichtspektrum; Akademie Verlag: Berlin, Germany, 1996; ISBN 978-3527400966. [Google Scholar]
- Macleod, H.A. Thin-Film Optical Filters; Adam Hilder Ltd.: London, UK, 1969. [Google Scholar]
- Szczyrbowski, J.; Czapla, A. On the determination of optical constants of films. J. Phys. D Appl. Phys. 1979, 12, 1737–1751. [Google Scholar] [CrossRef]
- Grant, F.A. Properties of Rutile (Titanium Dioxide). Rev. Mod. Phys. 1959, 31, 646–674. [Google Scholar] [CrossRef]
- Breckenridge, R.G.; Hosler, W.R. Electrical Properties of Titanium Dioxide Semiconductors. Phys. Rev. 1953, 91, 793–802. [Google Scholar] [CrossRef]
- Landolt, H.; Börnstein, R. Numerical Data and Functional Relationships in Science and Technology, Volume 17 Semiconductors; Madelung, O., Ed.; Springer: Berlin/Heidelberg, Germany; New York, NY, USA; Tokyo, Japan, 1983. [Google Scholar]
- Sandeep, K. Ionic conduction properties of nanocrystalline Er2Ti2O7 functional material. Semicond. Phys. Quantum Electron. Optoelectron. 2020, 23, 52–59. [Google Scholar] [CrossRef]
- Aarts, L.; van der Ende, B.M.; Meijerink, A. Downconversion for solar cells in NaYF4:Er,Yb. J. Appl. Phys. 2009, 106, 023522. [Google Scholar] [CrossRef] [Green Version]
- Ivanova, S.; Pellé, F. Strong 1.53 μm to NIR-VIS-UV upconversion in Er-doped fluoride glass for high-efficiency solar cells. J. Opt. Soc. Am. B 2009, 26, 1930. [Google Scholar] [CrossRef]
- Abdullah, S.A.; Sahdan, M.Z.; Nafarizal, N.; Saim, H.; Bakri, A.S.; Cik Rohaida, C.H.; Adriyanto, F.; Sari, Y. Photoluminescence study of trap-state defect on TiO2 thin films at different substrate temperature via RF magnetron sputtering. J. Phys. Conf. Ser. 2018, 995, 012067. [Google Scholar] [CrossRef]
- Tariq, F.; Rehman, N.; Akhtar, N.; George, R.E.; Khan, Y.; Rahman, S. Room temperature photoluminescence in plasma treated rutile TiO2 (110) single crystals. Vacuum 2020, 171. [Google Scholar] [CrossRef]
- Choudhury, B.; Choudhury, A. Oxygen defect dependent variation of band gap, Urbach energy and luminescence property of anatase, anatase–rutile mixed phase and of rutile phases of TiO2 nanoparticles. Phys. E Low Dimens. Syst. Nanostruct. 2014, 56, 364–371. [Google Scholar] [CrossRef]
- Mi, Y.; Weng, Y. Band Alignment and Controllable Electron Migration between Rutile and Anatase TiO2. Sci. Rep. 2015, 5, 11482. [Google Scholar] [CrossRef] [Green Version]
- Zhang, W.; Yang, S.; Li, J.; Gao, W.; Deng, Y.; Dong, W.; Zhao, C.; Lu, G. Visible-to-ultraviolet Upconvertion: Energy transfer, material matrix, and synthesis strategies. Appl. Catal. B Environ. 2017, 206, 89–103. [Google Scholar] [CrossRef]
- Yu, Y.; Chen, G.; Zhou, Y.; Han, Z. Recent advances in rare-earth elements modification of inorganic semiconductor-based photocatalysts for efficient solar energy conversion: A review. J. Rare Earths 2015, 33, 453–462. [Google Scholar] [CrossRef]
- Mazierski, P.; Mikolajczyk, A.; Bajorowicz, B.; Malankowska, A.; Zaleska-Medynska, A.; Nadolna, J. The role of lanthanides in TiO2-based photocatalysis: A review. Appl. Catal. B Environ. 2018, 233, 301–317. [Google Scholar] [CrossRef]
- Obregón, S.; Kubacka, A.; Fernández-García, M.; Colón, G. High-performance Er3+-TiO2 system: Dual up-conversion and electronic role of the lanthanide. J. Catal. 2013, 299, 298–306. [Google Scholar] [CrossRef]












| Sample | Target | O2 Content in Ar + O2 | Thickness 1 (nm) | Deposition Rate (nm/min) |
|---|---|---|---|---|
| TiO2, 15% O2 | Ti | 15% | 640 | 12.8 |
| TiO2, 20% O2 | Ti | 20% | 610 | 12.2 |
| TiO2:Er, 15% O2 | Ti/Er (90/10 at%) | 15% | 550 | 11.0 |
| TiO2:Er, 20% O2 | Ti/Er (90/10 at%) | 20% | 480 | 9.6 |
| Total flow rate 40 sccm; substrate temperature 350 °C; base pressure 10−7–10−8 mbar; sputtering pressure 6.3 × 10−3 mbar; sputtering power 200 W | ||||
Publisher’s Note: MDPI stays neutral with regard to jurisdictional claims in published maps and institutional affiliations. |
© 2021 by the authors. Licensee MDPI, Basel, Switzerland. This article is an open access article distributed under the terms and conditions of the Creative Commons Attribution (CC BY) license (https://creativecommons.org/licenses/by/4.0/).
Share and Cite
Kot, A.; Radecka, M.; Dorosz, D.; Zakrzewska, K. Optically Active TiO2:Er Thin Films Deposited by Magnetron Sputtering. Materials 2021, 14, 4085. https://doi.org/10.3390/ma14154085
Kot A, Radecka M, Dorosz D, Zakrzewska K. Optically Active TiO2:Er Thin Films Deposited by Magnetron Sputtering. Materials. 2021; 14(15):4085. https://doi.org/10.3390/ma14154085
Chicago/Turabian StyleKot, Anna, Marta Radecka, Dominik Dorosz, and Katarzyna Zakrzewska. 2021. "Optically Active TiO2:Er Thin Films Deposited by Magnetron Sputtering" Materials 14, no. 15: 4085. https://doi.org/10.3390/ma14154085
APA StyleKot, A., Radecka, M., Dorosz, D., & Zakrzewska, K. (2021). Optically Active TiO2:Er Thin Films Deposited by Magnetron Sputtering. Materials, 14(15), 4085. https://doi.org/10.3390/ma14154085

