Effect of Polyacrylonitrile Precursor Orientation on the Structures and Properties of Thermally Stabilized Carbon Fiber
Abstract
1. Introduction
2. Materials and Methods
2.1. Raw Materials and Sample Preparation
2.2. WARD Tests
2.3. C-NMR Tests
2.4. DSC Tests
2.5. Tensile Properties
3. Results and Discussion
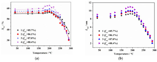
3.1. Effect of Orientation Structure of PAN Fiber on the Aggregation Structure during the Thermal Stabilization Reaction
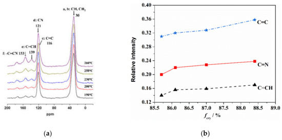
3.2. Effect of Orientation Structure of PAN Fiber on the Characteristic Structure during the Thermal Stabilization
3.3. Effect of Orientation Structure of PAN Fiber on the Exothermic Behavior during the Thermal Stabilization
3.4. Effect of Orientation Structure of PAN Fiber on Stress–Strain during the Thermal Stabilization
4. Conclusions
- The orientation structure of PAN fiber has an obvious effect on the aggregation structure during thermal stabilization. When the heat treatment temperature was lower than 200 °C, the crystallinity and crystallite size of the PAN fibers with a higher orientation degree increased significantly. When the heat treatment temperature was higher than 200 °C, the crystallinity and crystallite size of the fibers decreased sharply. In addition, the crystalline structure was completely deconstructed for heat treatment at 250 °C.
- For fibers with a higher orientation, the inter-chain cyclization and dehydrogenation structure were more ordered after heat treatment, which helped to promote the further cross-linking of molecular chains and form a larger area of aromatic lamellar structures. Furthermore, the enthalpy (ΔH) of the reaction was observed to increase obviously.
- The yield strength and initial modulus of the fibers with a higher orientation degree increased due to the formation of more aromatic structures, a larger aromatic ring area and better structures after thermal stabilization. In addition, the elongation at break of the fibers with a higher orientation degree was also relatively larger.
- In the actual preparation process, in order to control the morphology of the PAN fiber, the tension drawing process is usually used in the process of thermal stabilization. Follow-up work will focus on the effect of tension drawing on the fiber orientation structure and thermal stabilization reaction in the process of thermal stabilization. It will further explore the effect of the thermal stabilization drafting behavior on the structure and mechanical properties of carbon fiber, and reveal the influence mechanism of stretching on the structure and properties of PAN carbon fiber during thermal stabilization processes.
Author Contributions
Funding
Institutional Review Board Statement
Informed Consent Statement
Data Availability Statement
Conflicts of Interest
References
- Cao, J.; Zhao, W.; Gao, S. Properties and Structure of In Situ Transformed PAN-Based Carbon Fibers. Materials 2018, 11, 1017. [Google Scholar] [CrossRef] [PubMed]
- Li, C.; Xian, G. Experimental investigation of the microstructures and tensile properties of polyacrylonitrile-based carbon fibers exposed to elevated temperatures in air. J. Eng. Fibers Fabr. 2019, 14, 1–11. [Google Scholar] [CrossRef]
- Yang, J.; Liu, Y.; Liu, J.; Shen, Z.; Liang, J.; Wang, X. Rapid and Continuous Preparation of Polyacrylonitrile-Based Carbon Fibers with Electron-Beam Irradiation Pretreatment. Materials 2018, 11, 1270. [Google Scholar] [CrossRef] [PubMed]
- Nunna, S.; Maghe, M.; Rana, R. Time Dependent Structure and Property Evolution in Fibres during Continuous Carbon Fibre Manufacturing. Materials 2019, 12, 1069. [Google Scholar] [CrossRef]
- Watt, W.; Johnson, W. Mechanism of oxidisation of polyacrylonitrile fibres. Nature 1975, 257, 210–212. [Google Scholar] [CrossRef]
- Xiao, S.; Wang, B.; Zhao, C.; Xu, L.; Chen, B. Influence of oxygen on the stabilization reaction of polyacrylonitrile fibers. J. Appl. Polym. Sci. 2013, 127, 2332–2338. [Google Scholar] [CrossRef]
- Xiao, S.; Cao, W.; Wang, B.; Xu, L.; Chen, B. Mechanism and kinetice of oxidation during the thermal stabilization of polyacrylonitrile fibers. J. Appl. Polym. Sci. 2013, 127, 3198–3203. [Google Scholar] [CrossRef]
- Liu, Y.; Xue, Y.; Ji, H.; Liu, J. Kinetics of the cyclization and isomerization reactions in polyacrylonitrile based carbon fiber precursors during thermal-oxidative stabilization. J. Appl. Polym. Sci. 2020, 137, 1–10. [Google Scholar] [CrossRef]
- Usami, T.; Itoh, T.; Ohtani, H.; Tsuge, S. Structural study of polyacrylonitrile fibers during oxidative thermal degradation by pyrolysis-gas chromatography, solid-state 13C-NMR, and fourier transform infrared spectroscopy. Macromolecules 1990, 23, 2460–2465. [Google Scholar] [CrossRef]
- Hideto, K.; Kohji, T. Mechanism and kinetics of stabilization reactions of polyacrylonitrile and related copolymers III. Comparision among the various types of copolymers as viewed from isothermal DSC thermograms and FT-IR spectral changes. Polym. J. 1997, 29, 557–562. [Google Scholar]
- Takahagi, T.; Shimada, I.; Fukuhara, M.; Morita, K.; Ishitani, A. XPS studies on the chemical structure of the stabilized polyacrylonitrile fiber in the carbon fiber production process. J. Polym. Sci. Part A Polym. Chem. 1986, 24, 3101–3107. [Google Scholar] [CrossRef]
- Peebles, L.H., Jr.; Brandrup, J. A chemical means of distinguishing between conjugated and conjugated bonds. Die Makromol. Chem. 2003, 98, 189–203. [Google Scholar] [CrossRef]
- Kakida, H.; Tashird, K. Mechanism and Kinetics of stabilization reaction of polyacrylonitrile and related copolymer IV. Effects of atmosphere on isothermal DSC thermograms and FT-IR spectral changes during stabilization reaction of acrylonitrlie/methacrylic acid copolymer. Polym. J. 1998, 30, 463–469. [Google Scholar] [CrossRef]
- Sun, T.; Hou, Y.; Wang, H. Mass DSC/TG and IR ascertained structure and color change of polyacrylonitrile fibers in air/nitrogen during thermal stabilization. J. Appl. Polym. Sci. 2010, 118, 462–468. [Google Scholar] [CrossRef]
- Liu, H.; Li, C.; Konh, L. Relationship between preoxidized PAN fiber structure and hest treatment temperature. China Synth. Fiber Ind. 2009, 32, 5–8. [Google Scholar]
- Zhang, X. Preoxidized Structure Regulation of PAN Fiber and the Influence on High Temperature Theraml Cracking and Restructuring Behavior; Beijing University of Chemical Technology: Beijing, China, 2015. [Google Scholar]
- Chang, S. Thermal analysis of acrylonitrile copolymers containing methylacrylate. J. Appl. Polym. Sci. 1994, 54, 405–407. [Google Scholar] [CrossRef]
- Ju, A.; Liu, Z.; Luom, M.; Xu, H.; Ge, M. Molecular design and pre-oxidation mechanism of acrylonitrile copolymer used as carbon fiber precursor. J. Polym. Res. 2013, 20, 1–17. [Google Scholar] [CrossRef]
- Kalashnik, A.T.; Serkov, A.T. Mechanisms of transformation of acrylic fibers during thermooxidative stabilization. Fibre Chem. 2000, 32, 356–364. [Google Scholar] [CrossRef]
- Qin, X.; Lu, Y.; Xiao, H.; Zhao, W. Effect of heating and stretching polyacrylonitrile precursor fibers in steam on the properties of stabilized fibers and carbon fibers. Polym. Eng. Sci. 2012, 53, 827–832. [Google Scholar] [CrossRef]
- Ko, T.H.; Lin, C.H.; Ting, H.Y. Structural changes and molecular motion of polyacrylonitrile fibers during pyrolysis. J. Appl. Polym. Sci. 1989, 37, 553–566. [Google Scholar] [CrossRef]
- Zhao, C. The Research of Dimensional Effect on the Thermal Reaction Proceading of PAN Fiber; Beijing University of Chemical Technology: Beijing, China, 2012. [Google Scholar]
- Liu, Y.; Xu, L.; Zhang, J. Relationship between molecular orientation degree and structure and properties of PAN. China Synth. Fiber Ind. 2005, 28, 5–8. [Google Scholar]
- Liu, J.; Yang, W. Changes of the order structure of polyacrylonitrile fibers during thermal stabilization. Chin. J. Mater. Res. 2007, 21, 487–490. [Google Scholar]
- Sarvaranta, L. Shrinkage of short PP and PAN fibers under hot-stage microscope. J. Appl. Polym. Sci. 1995, 56, 1085–1091. [Google Scholar] [CrossRef]
- Wang, B.; Xiao, S.; Cao, W.; Shi, X.; Xu, L. Evolution of aggregation structure of polyacrylonitrile fibers in the cyclization reaction. J. Appl. Polym. Sci. 2012, 125, 3545–3551. [Google Scholar] [CrossRef]
- Yuan, J. Correlation between Aggregation Structure and Preoxidation Process of PAN Fiber; Beijing University of Chemical Technology: Beijing, China, 2013. [Google Scholar]
- Wang, B.; Zhao, C.; Xiao, S.; Zhang, J.; Xu, L. Effect of aggregation structure on the thermal shrinkage of polyacrylonitrile fibers duringheating treatment process. J. Appl. Polym. Sci. 2012, 124, 3413–3418. [Google Scholar] [CrossRef]
- Zhao, H.S.; Jiang, J.D.; Wu, D.C. Polymer Physics; Textile Industry Press: Beijing, China, 1982. [Google Scholar]
- Hu, X.C.; Shao, H.L.; Liang, Y.J.; Zhang, Y.; Wang, Y. Effect of spin speed on the pet fiber properties and structure in heat tube process. Chin. Acad. J. Elec. Pub. Hou. 1991, 3, 2. [Google Scholar]
- Zhou, G. Polymer X-ray Diffraction; China University of Science and Technology Press: Beijing, China, 1989; pp. 173–175. [Google Scholar]
- Yu, M.J.; Wang, C.G.; Bai, Y.J.; Wang, Y.X.; Wang, Q.F.; Liu, H.Z. Combined effect of processing parameters on thermal stabilization of PAN fibers. Polym. Bull. 2006, 57, 525–533. [Google Scholar] [CrossRef]
- Jing, M.; Wang, C.G.; Bai, Y.J.; Zhu, B.; Wang, Y.X. Effect of temperatures in the rearmost stabilization zone on structure and properties of PAN-based oxidized fibers. Polym. Bull. 2007, 58, 541–551. [Google Scholar] [CrossRef]






| Sample Number | Fsum (%) | Fcry (%) | Famo (%) |
|---|---|---|---|
| 1 | |||
| 2 | |||
| 3 | |||
| 4 |
| Sample Number | Fcry /% | Tonset /°C | Tp /°C | ΔH /J/g |
|---|---|---|---|---|
| 1 | 85.7 | 197.3 | 275.3 | 2061 |
| 2 | 86.1 | 199.5 | 276.7 | 2089 |
| 3 | 87.0 | 200.0 | 278.5 | 2308 |
| 4 | 88.4 | 203.3 | 281.4 | 2603 |
| Heat Treatment Temperature (°C) | Yield Strength (MPa) | Tensile Modulus (GPa) | Elongation at Break (%) |
|---|---|---|---|
| Precursor | 125 | 14.3 | 7.40 |
| 190 | 160 | 20.6 | 7.25 |
| 200 | 173 | 22.7 | 6.70 |
| 230 | 144 | 20.8 | 7.15 |
| 250 | 140 | 19.3 | 7.95 |
| 260 | 125 | 17.7 | 8.70 |
| Sample | fcry (%) | Yield Strength (MPa) | Tensile Modulus (GPa) | Elongation at Break (%) | Tensile Strength (MPa) |
|---|---|---|---|---|---|
| 1 | |||||
| 2 | |||||
| 3 | |||||
| 4 |
Publisher’s Note: MDPI stays neutral with regard to jurisdictional claims in published maps and institutional affiliations. |
© 2021 by the authors. Licensee MDPI, Basel, Switzerland. This article is an open access article distributed under the terms and conditions of the Creative Commons Attribution (CC BY) license (https://creativecommons.org/licenses/by/4.0/).
Share and Cite
Wang, B.; Li, C.; Cao, W. Effect of Polyacrylonitrile Precursor Orientation on the Structures and Properties of Thermally Stabilized Carbon Fiber. Materials 2021, 14, 3237. https://doi.org/10.3390/ma14123237
Wang B, Li C, Cao W. Effect of Polyacrylonitrile Precursor Orientation on the Structures and Properties of Thermally Stabilized Carbon Fiber. Materials. 2021; 14(12):3237. https://doi.org/10.3390/ma14123237
Chicago/Turabian StyleWang, Bin, Chenggao Li, and Weiyu Cao. 2021. "Effect of Polyacrylonitrile Precursor Orientation on the Structures and Properties of Thermally Stabilized Carbon Fiber" Materials 14, no. 12: 3237. https://doi.org/10.3390/ma14123237
APA StyleWang, B., Li, C., & Cao, W. (2021). Effect of Polyacrylonitrile Precursor Orientation on the Structures and Properties of Thermally Stabilized Carbon Fiber. Materials, 14(12), 3237. https://doi.org/10.3390/ma14123237

