Fuel Cell Electrode Characterization Using Neutron Scattering
Abstract
1. Introduction
2. Materials and Methods
2.1. Materials
2.2. Neutron Scattering
2.3. Transmission Electron Microscopy
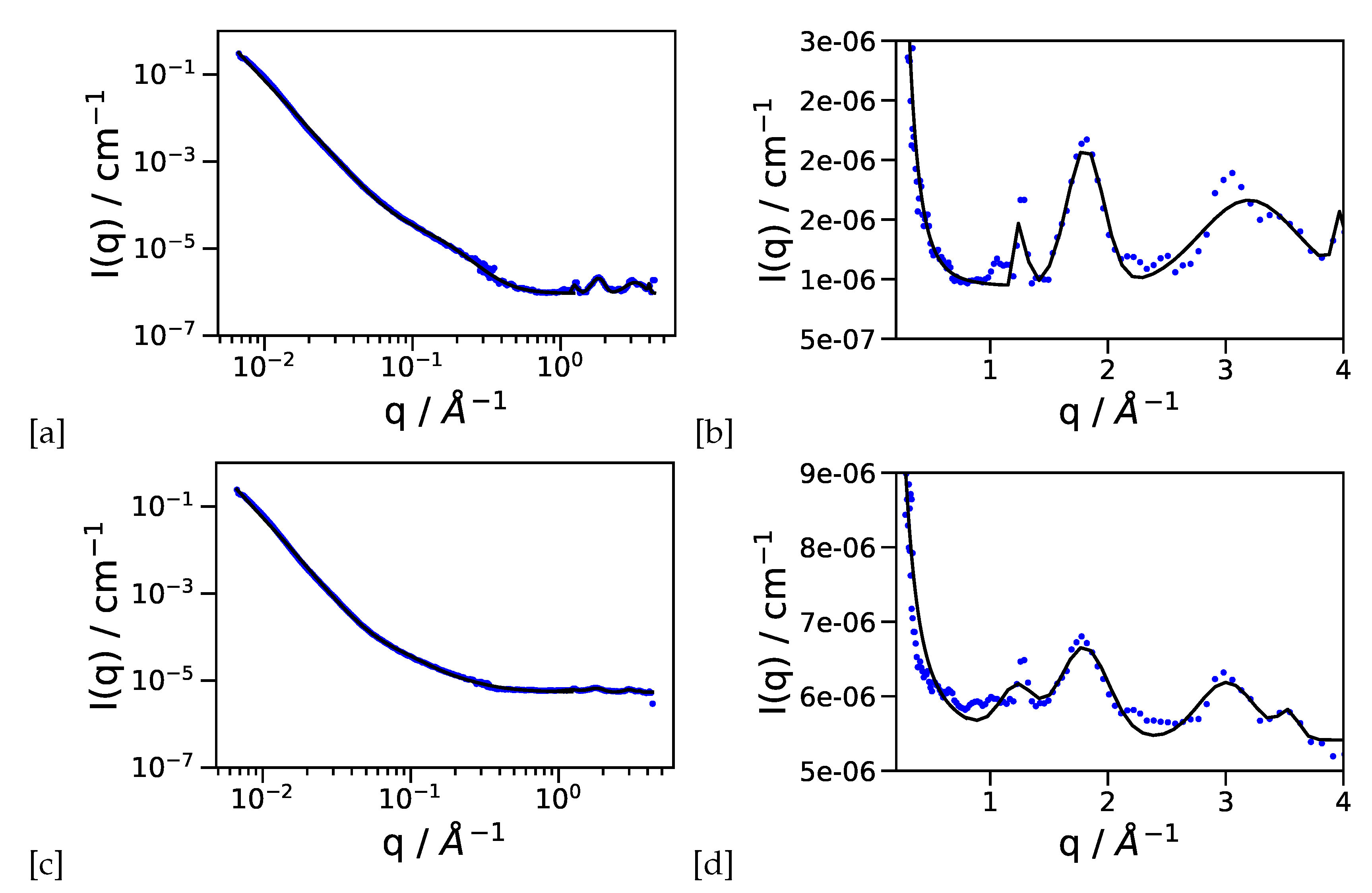
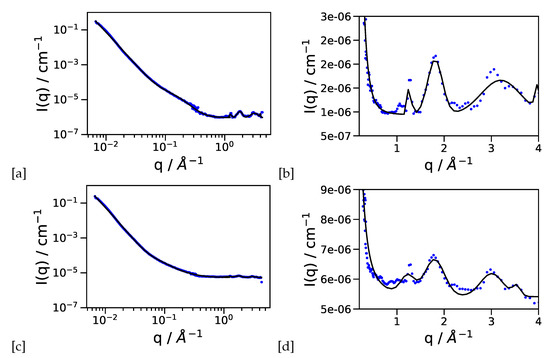
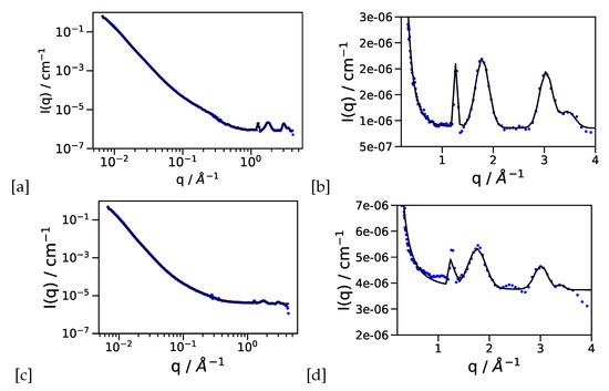
2.4. SANS Data Evaluation
3. Results
4. Discussion
5. Conclusions
Author Contributions
Funding
Conflicts of Interest
Abbreviations
| HT-PEFC | High Temperature Polymer Electrolyte Fuel Cell |
| PA | Phosphoric Acid |
| SLD | Scattering Length Density |
| TEM | Transmission Electron Microscopy |
| SANS | Small Angle Neutron Scattering |
| WANS | Wide Angle Neutron Scattering |
References
- Carrette, L.; Friedrich, K.; Stimming, U. Fuel cells–fundamentals and applications. Fuel Cells 2001, 1, 5–39. [Google Scholar] [CrossRef]
- Kreuer, K.D. Fuel Cells: Selected Entries from the Encyclopedia of Sustainability Science and Technology; Springer Science & Business Media: Berlin/Heidelberg, Germany, 2012. [Google Scholar]
- Page, K.A.; Rowe, B.W. An overview of polymer electrolyte membranes for fuel cell applications. In Polymers for Energy Storage and Delivery: Polyelectrolytes for Batteries and Fuel Cells; American Chemical Society: Washington, DC, USA, 2012; Volume 1096, pp. 147–164. [Google Scholar]
- Liang, H.; Su, H.; Pollet, B.G.; Linkov, V.; Pasupathi, S. Membrane electrode assembly with enhanced platinum utilization for high temperature proton exchange membrane fuel cell prepared by catalyst coating membrane method. J. Power Sources 2014, 266, 107–113. [Google Scholar] [CrossRef]
- Smolinka, T.; Heinen, M.; Chen, Y.; Jusys, Z.; Lehnert, W.; Behm, R. CO2 reduction on Pt electrocatalysts and its impact on H2 oxidation in CO2 containing fuel cell feed gas–A combined in situ infrared spectroscopy, mass spectrometry and fuel cell performance study. Electrochim. Acta 2005, 50, 5189–5199. [Google Scholar] [CrossRef]
- Liu, S.; Rasinski, M.; Lin, Y.; Wippermann, K.; Everwand, A.; Lehnert, W. Effects of constant load operations on platinum bands formation and cathode degradation in high-temperature polymer electrolyte fuel cells. Electrochim. Acta 2018, 289, 354–362. [Google Scholar] [CrossRef]
- Arlt, T.; Lüke, W.; Kardjilov, N.; Banhart, J.; Lehnert, W.; Manke, I. Monitoring the hydrogen distribution in poly (2,5-benzimidazole)-based (ABPBI) membranes in operating high-temperature polymer electrolyte fuel cells by using HD contrast neutron imaging. J. Power Sources 2015, 299, 125–129. [Google Scholar] [CrossRef]
- Maier, W.; Arlt, T.; Wannek, C.; Manke, I.; Riesemeier, H.; Krüger, P.; Scholta, J.; Lehnert, W.; Banhart, J.; Stolten, D. In-situ synchrotron X-ray radiography on high temperature polymer electrolyte fuel cells. Electrochem. Commun. 2010, 12, 1436–1438. [Google Scholar] [CrossRef]
- Kearley, G.J.; Peterson, V.K. Neutron Applications in Materials for Energy; Springer: Berlin/Heidelberg, Germany, 2015. [Google Scholar]
- Babcock, E.; Szekely, N.; Konovalova, A.; Lin, Y.; Appavou, M.S.; Mangiapia, G.; Revay, Z.; Stieghorst, C.; Holderer, O.; Henkensmeier, D.; et al. Using neutron methods SANS and PGAA to study evolution of structure and composition of Alkali-doped Polybenzimidazole membranes. J. Membr. Sci. 2019, 577, 12–19. [Google Scholar] [CrossRef]
- Ivanova, O.; Lüke, W.; Majerus, A.; Krutyeva, M.; Szekely, N.; Pyckhout-Hintzen, W.; Appavou, M.S.; Monkenbusch, M.; Zorn, R.; Lehnert, W.; et al. Influence of morphology on physical properties of poly (2,5-benzimidazole) membranes. J. Membr. Sci. 2017, 533, 342–350. [Google Scholar] [CrossRef]
- Manke, I.; Hartnig, C.; Grünerbel, M.; Kaczerowski, J.; Lehnert, W.; Kardjilov, N.; Hilger, A.; Banhart, J.; Treimer, W.; Strobl, M. Quasi–in situ neutron tomography on polymer electrolyte membrane fuel cell stacks. Appl. Phys. Lett. 2007, 90, 184101. [Google Scholar] [CrossRef]
- Hoeh, M.A.; Arlt, T.; Kardjilov, N.; Manke, I.; Banhart, J.; Fritz, D.L.; Ehlert, J.; Lüke, W.; Lehnert, W. In-operando neutron radiography studies of polymer electrolyte membrane water electrolyzers. ECS Trans. 2015, 69, 1135–1140. [Google Scholar] [CrossRef]
- Hopfenmüller, B.; Zorn, R.; Holderer, O.; Ivanova, O.; Lehnert, W.; Lüke, W.; Ehlers, G.; Jalarvo, N.; Schneider, G.J.; Monkenbusch, M.; et al. Fractal diffusion in high temperature polymer electrolyte fuel cell membranes. J. Chem. Phys. 2018, 148, 204906. [Google Scholar] [CrossRef] [PubMed]
- Khaneft, M.; Shuai, L.; Lin, Y.; Janßen, H.; Lüke, W.; Zorn, R.; Ivanova, O.; Radulescu, A.; Holderer, O.; Lehnert, W. Proton dynamics of phosphoric acid in HT-PEFCs: Towards “operando” experiments. AIP Conf. Proc. 2018, 1969, 030003. [Google Scholar]
- Appel, M.; Borisov, G.; Holderer, O.; Appavou, M.S.; Zorn, R.; Lehnert, W.; Richter, D. Proton diffusion in the catalytic layer for high temperature polymer electrolyte fuel cells. RSC Adv. 2019, 9, 37768–37777. [Google Scholar] [CrossRef]
- Wannek, C.; Lehnert, W.; Mergel, J. Membrane electrode assemblies for high-temperature polymer electrolyte fuel cells based on poly (2,5-benzimidazole) membranes with phosphoric acid impregnation via the catalyst layers. J. Power Sources 2009, 192, 258–266. [Google Scholar] [CrossRef]
- Carmo, M.; Keeley, G.P.; Holtz, D.; Grube, T.; Robinius, M.; Müller, M.; Stolten, D. PEM water electrolysis: Innovative approaches towards catalyst separation, recovery and recycling. Int. J. Hydrogen Energy 2019, 44. [Google Scholar] [CrossRef]
- Khaneft, M.; Holderer, O.; Ivanova, O.; Lüke, W.; Kentzinger, E.; Appavou, M.; Zorn, R.; Lehnert, W. Structure and Proton Dynamics in Catalytic Layer of HT-PEFC. Fuel Cells 2016, 16, 406–413. [Google Scholar] [CrossRef]
- Ishigaki, T.; Hoshikawa, A.; Yonemura, M.; Morishima, T.; Kamiyama, T.; Oishi, R.; Aizawa, K.; Sakuma, T.; Tomota, Y.; Arai, M.; et al. IBARAKI materials design diffractometer (iMATERIA)—Versatile neutron diffractometer at J-PARC. Nucl. Instruments Methods Phys. Res. Sect. A Accel. Spectrometers Detect. Assoc. Equip. 2009, 600, 189–191. [Google Scholar] [CrossRef]
- Koizumi, S.; Yohei, N. A Variety of Small-angle Neutron Scattering Instruments Available in Tokyo Area, Japan—Complimentary Use of Accelerator and Reactor. JPS Conf. Proc. 2019, 25, 011004. [Google Scholar]
- Thust, A.; Barthel, J.; Tillmann, K. FEI Titan 80-300 TEM. J. Large-Scale Res. Facil. JLSRF 2016, 2, 41. [Google Scholar] [CrossRef]
- Hammouda, B. Analysis of the Beaucage model. J. Appl. Crystallogr. 2010, 43, 1474–1478. [Google Scholar] [CrossRef]
- Beaucage, G. Approximations leading to a unified exponential/power-law approach to small-angle scattering. J. Appl. Crystallogr. 1995, 28, 717–728. [Google Scholar] [CrossRef]
- Holderer, O.; Khaneft, M.; Lin, Y.; Liu, S.; Feoktystov, A.; Kruteva, M.; Zorn, R.; Lehnert, W. Nanostructure of HT-PEFC Electrodes Investigated with Scattering Methods. ECS Trans. 2017, 80, 19–25. [Google Scholar] [CrossRef]
- Holderer, O.; Ivanova, O.; Khaneft, M.; Hopfenmüller, B.; Lüke, W.; Majerus, A.; Appavou, M.S.; Szekely, N.; Krutyeva, M.; Kentzinger, E.; et al. Local Structure and Proton Transport in HT-PEFCs Measured with Neutron Scattering. ECS Trans. 2015, 69, 337–343. [Google Scholar] [CrossRef]
- Kaserer, S.; Caldwell, K.M.; Ramaker, D.E.; Roth, C. Analyzing the influence of H3PO4 as catalyst poison in high temperature PEM fuel cells using in-operando X-ray absorption spectroscopy. J. Phys. Chem. C 2013, 117, 6210–6217. [Google Scholar] [CrossRef]
- Rudi, S.; Cui, C.; Gan, L.; Strasser, P. Comparative study of the electrocatalytically active surface areas (ECSAs) of Pt alloy nanoparticles evaluated by H upd and CO-stripping voltammetry. Electrocatalysis 2014, 5, 408–418. [Google Scholar] [CrossRef]
- Cui, C.; Gan, L.; Heggen, M.; Rudi, S.; Strasser, P. Compositional segregation in shaped Pt alloy nanoparticles and their structural behaviour during electrocatalysis. Nat. Mater. 2013, 12, 765–771. [Google Scholar] [CrossRef]
- Gan, L.; Heggen, M.; Rudi, S.; Strasser, P. Core–shell compositional fine structures of dealloyed Pt x Ni1–x nanoparticles and their impact on oxygen reduction catalysis. Nano Lett. 2012, 12, 5423–5430. [Google Scholar] [CrossRef]
- Carter, R.; Gu, W.; Brady, B.; Yu, P.; Subramanian, K.; Gasteiger, H. Electrode degradation mechanisms studies by current distribution measurements. In Handbook of Fuel Cells; John Wiley & Sons, Inc.: Hoboken, NJ, USA, 2010. [Google Scholar]
- Carter, R.N.; Brady, B.K.; Subramanian, K.; Tighe, T.; Gasteiger, H.A. Spatially resolved electrode diagnostic technique for fuel cell applications. ECS Trans. 2007, 11, 423. [Google Scholar]
- Noda, Y.; Kumada, T.; Hashimoto, T.; Koizumi, S. Inhomogeneous dynamic nuclear polarization of protons in a lamella-forming diblock copolymer investigated by a small-angle neutron scattering method. J. Appl. Crystallogr. 2011, 44, 503–513. [Google Scholar] [CrossRef]
- Noda, Y.; Koizumi, S.; Masui, T.; Mashita, R.; Kishimoto, H.; Yamaguchi, D.; Kumada, T.; Takata, S.I.; Ohishi, K.; Suzuki, J.I. Contrast variation by dynamic nuclear polarization and time-of-flight small-angle neutron scattering. I. Application to industrial multi-component nanocomposites. J. Appl. Crystallogr. 2016, 49, 2036–2045. [Google Scholar] [CrossRef] [PubMed]



| Parameter | Pure Electrode 20% | PA Loaded Electrode 20% | Pure Electrode 60% | PA Loaded Electrode 60% |
|---|---|---|---|---|
| G (cm) | 7.334 × 10 | 4.060 × 10 | 9.197 × 10 | 1.684 × 10 |
| G (cm) | 2.442 | 1.392 | 1.902 | 1.121 |
| bgr (cm) | 2.331 × 10 | 9.733 × 10 | 2.664 × 10 | 1.620 × 10 |
| R (Å) | 9.945 | 2.908 × 10 | 1.101 × 10 | 1.663 × 10 |
| R (Å) | 4.915 × 10 | 4.537 × 10 | 5.670 × 10 | 5.027× 10 |
| P | 3.634 | 2.052 | 4.029 | 2.403 |
| P | 3.847 | 4.054 | 3.79 | 3.972 |
| Parameter | Pure Electrode 20% | PA Loaded Electrode 20% | Pure Electrode 60% | PA Loaded Electrode 60% |
|---|---|---|---|---|
| A (cm) | 1.259 × 10 | 1.431 × 10 | 7.926 × 10 | 6.270 × 10 |
| q (Å) | 1.271 | 1.272 | 1.270 | 1.226 |
| (Å) | 2.969 × 10 | 3.758 × 10 | 3.386 × 10 | 1.439 × 10 |
| A (cm) | 1.344 × 10 | 1.505 × 10 | 1.161 × 10 | 1.213 × 10 |
| q (Å) | 1.784 | 1.760 | 1.807 | 1.797 |
| (Å) | 1.308 × 10 | 1.675 × 10 | 1.557 × 10 | 2.075 × 10 |
| A (cm) | 1.086 × 10 | 9.214 × 10 | 7.273 × 10 | 7.673× 10 |
| q (Å) | 3.034 | 3.010 | 3.198 | 3.007 |
| (Å) | 1.272 × 10 | 1.285 × 10 | 4.155 × 10 | 2.372 × 10 |
| A (cm) | 3.201 × 10 | 1.923 × 10 | 5.341 × 10 | 3.405 × 10 |
| q (Å) | 3.459 | 3.406 | 3.985 | 3.535 |
| (Å) | 1.387 × 10 | −6.162 × 10 | 5.440 × 10 | 8.120 × 10 |
© 2020 by the authors. Licensee MDPI, Basel, Switzerland. This article is an open access article distributed under the terms and conditions of the Creative Commons Attribution (CC BY) license (http://creativecommons.org/licenses/by/4.0/).
Share and Cite
Holderer, O.; Carmo, M.; Shviro, M.; Lehnert, W.; Noda, Y.; Koizumi, S.; Appavou, M.-S.; Appel, M.; Frielinghaus, H. Fuel Cell Electrode Characterization Using Neutron Scattering. Materials 2020, 13, 1474. https://doi.org/10.3390/ma13061474
Holderer O, Carmo M, Shviro M, Lehnert W, Noda Y, Koizumi S, Appavou M-S, Appel M, Frielinghaus H. Fuel Cell Electrode Characterization Using Neutron Scattering. Materials. 2020; 13(6):1474. https://doi.org/10.3390/ma13061474
Chicago/Turabian StyleHolderer, Olaf, Marcelo Carmo, Meital Shviro, Werner Lehnert, Yohei Noda, Satoshi Koizumi, Marie-Sousai Appavou, Marina Appel, and Henrich Frielinghaus. 2020. "Fuel Cell Electrode Characterization Using Neutron Scattering" Materials 13, no. 6: 1474. https://doi.org/10.3390/ma13061474
APA StyleHolderer, O., Carmo, M., Shviro, M., Lehnert, W., Noda, Y., Koizumi, S., Appavou, M.-S., Appel, M., & Frielinghaus, H. (2020). Fuel Cell Electrode Characterization Using Neutron Scattering. Materials, 13(6), 1474. https://doi.org/10.3390/ma13061474

