Effective Parameters for 1D Photonic Crystals with Isotropic and Anisotropic Magnetic Inclusions: Coherent Wave Homogenization Theory
Abstract
1. Introduction
2. Mathematical Formulation: Homogenization Theory of Coherent Wave
2.1. Finite Fourier Transform
2.2. 1D Photonic Crystals
3. Implementation and Results
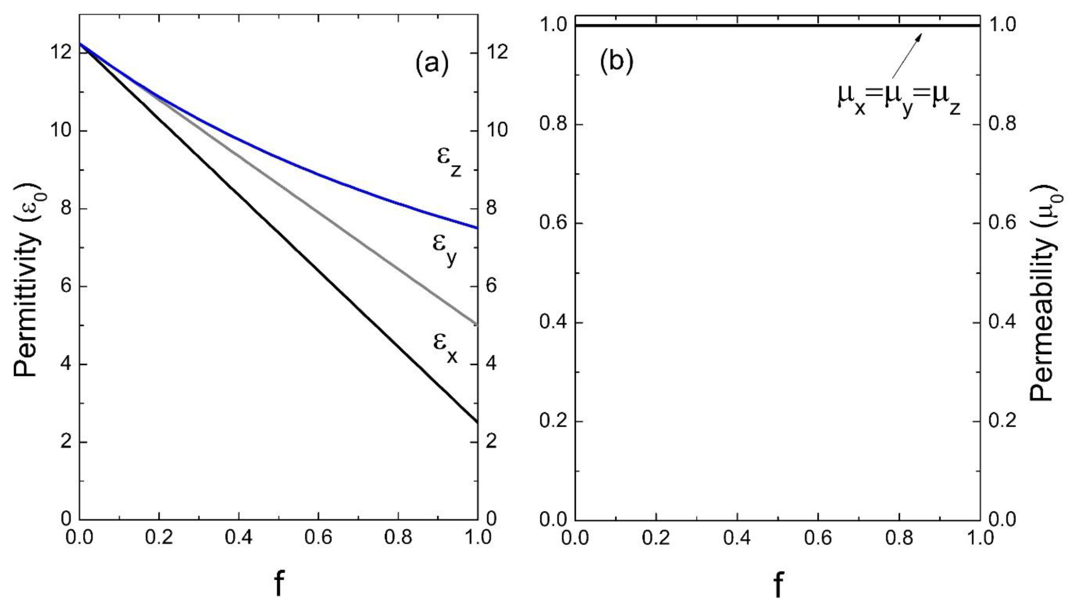
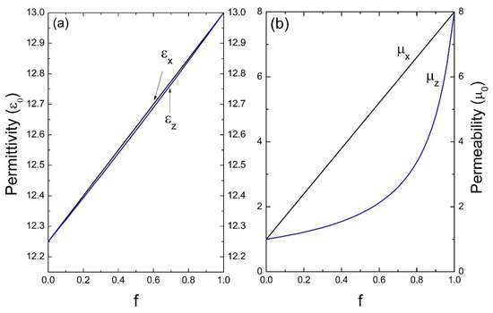
3.1. 1D Photonic Crystals with Isotropic Inclusion
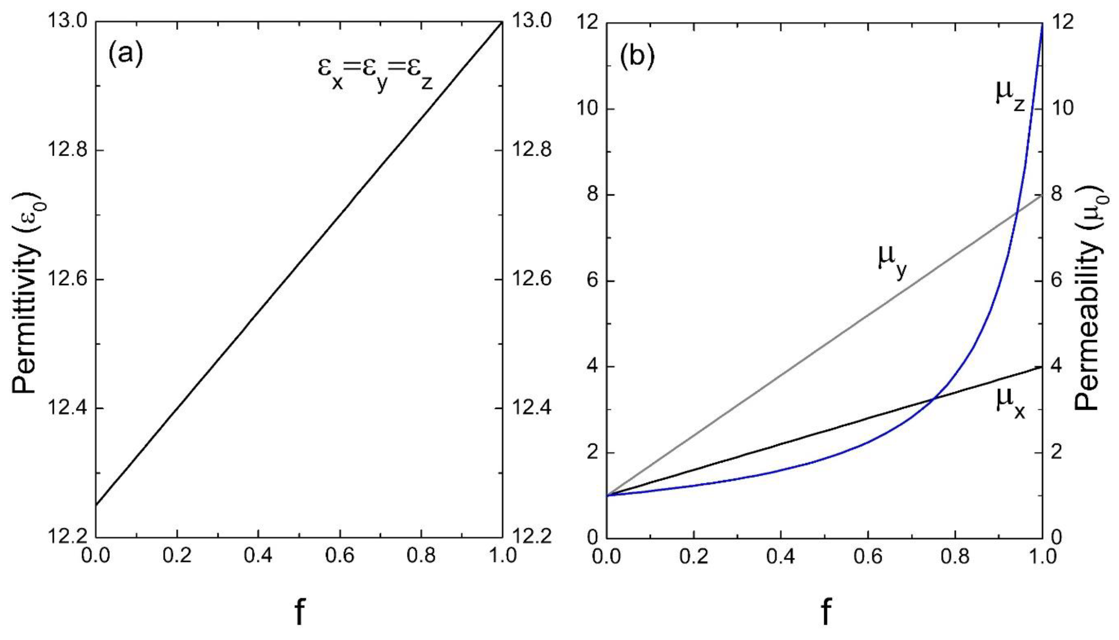
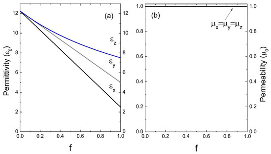
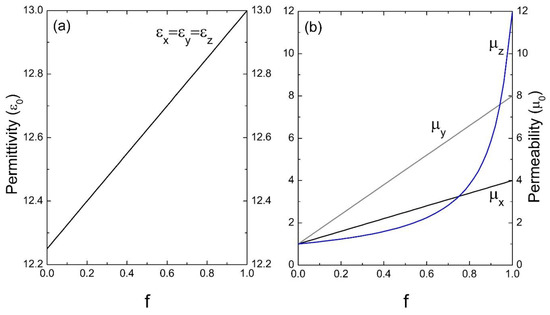
3.2. 1D Photonic Crystals with Anisotropic Inclusion
4. Conclusions
Author Contributions
Funding
Acknowledgments
Conflicts of Interest
References
- Royer, F.; Varghese, B.; Gamet, E.; Neveu, S.; Jourlin, Y.; Jamon, D. Enhancement of Both Faraday and Kerr Effects with an All-Dielectric Grating Based on a Magneto-Optical Nanocomposite Material. ACS Omega 2020, 5, 2886–2892. [Google Scholar] [CrossRef] [PubMed]
- Staude, I.; Schilling, J. Metamaterial-inspired silicon nanophotonics. Nat. Photon. 2017, 11, 274–284. [Google Scholar] [CrossRef]
- Wang, L.; Li, Q. Stimuli-Directing Self-Organized 3D Liquid-Crystalline Nanostructures: From Materials Design to Photonic Applications. Adv. Funct. Mater. 2016, 26, 10–28. [Google Scholar] [CrossRef]
- Halevi, P.; Krokhin, A.; Arriaga, J. Photonic Crystal Optics and Homogenization of 2D Periodic Composites. Phys. Rev. Lett. 1999, 82, 719–726. [Google Scholar] [CrossRef]
- Krokhin, A.A.; Reyes, E. Homogenization of magnetodielectric photonic crystals. Phys. Rev. Lett. 2004, 93, 023904. [Google Scholar] [CrossRef] [PubMed]
- Silveirinha, M.G. Nonlocal homogenization model for a periodic array of ϵ-negative rods. Phys. Rev. E 2006, 73, 046612. [Google Scholar] [CrossRef] [PubMed]
- Smith, D.R.; Pendry, J.B. Homogenization of metamaterials by field averaging (invited paper). J. Opt. Soc. Am. B 2006, 23, 391–403. [Google Scholar] [CrossRef]
- Ouchetto, O.; Qiu, C.W.; Zouhdi, S.; Li, L.W.; Razek, A. Homogenization of 3-D periodic bianisotropic metamaterials. IEEE Trans. Microw. Theory Tech. 2006, 54, 3893–3898. [Google Scholar] [CrossRef]
- Reyes-Ayona, E.; Halevi, P. Mean field theory of metallo-dielectric photonic crystals with magnetic components: The long-wavelength limit. Proc. SPIE 2007, 6638, 1–7. [Google Scholar]
- Reyes-Avendaño, J.A.; Algredo-Badillo, U.; Halevi, P.; Pérez-Rodríguez, F. From photonic crystals to metamaterials: The bianisotropic response. New J. Phys. 2011, 13, 1–33. [Google Scholar] [CrossRef]
- Ciattoni, M.A.; Rizza, C. Nonlocal homogenization theory in metamaterials: Effective electromagnetic spatial dispersion and artificial chirality. Phys. Rev. B 2015, 91, 184207. [Google Scholar] [CrossRef]
- Krokhin, A.A.; Arriaga, J.; Gumen, L.N.; Drachev, V.P. High-frequency homogenization for layered hyperbolic metamaterials. Phys. Rev. B 2016, 93, 075418. [Google Scholar] [CrossRef]
- Maxim, A.; Gorlach, T.; Voytova, A.; Lapine, M.; Yuri, S.; Kivshar, P.; Belov, A. Nonlocal homogenization for nonlinear metamaterials. Phys. Rev. B 2016, 93, 165125. [Google Scholar]
- Konovalenko, A.; Pérez-Rodríguez, F. Nonlocal response of tunable photonic metamaterials with semiconductor inclusions. J. Opt. Soc. Am. B 2017, 34, 2031–2040. [Google Scholar] [CrossRef]
- Rytov, S.M. Electromagnetic properties of a finely stratified medium. Sov. Phys. JETP 1956, 2, 466–475. [Google Scholar]








© 2020 by the authors. Licensee MDPI, Basel, Switzerland. This article is an open access article distributed under the terms and conditions of the Creative Commons Attribution (CC BY) license (http://creativecommons.org/licenses/by/4.0/).
Share and Cite
Méndez, J.F.; Reyes, A.C.P.; Moreno, M.M.; Morales-Sánchez, A.; Minquiz, G.M.; Lázaro, R.C.A.; Leal, H.V.; García, F.C. Effective Parameters for 1D Photonic Crystals with Isotropic and Anisotropic Magnetic Inclusions: Coherent Wave Homogenization Theory. Materials 2020, 13, 1475. https://doi.org/10.3390/ma13061475
Méndez JF, Reyes ACP, Moreno MM, Morales-Sánchez A, Minquiz GM, Lázaro RCA, Leal HV, García FC. Effective Parameters for 1D Photonic Crystals with Isotropic and Anisotropic Magnetic Inclusions: Coherent Wave Homogenization Theory. Materials. 2020; 13(6):1475. https://doi.org/10.3390/ma13061475
Chicago/Turabian StyleMéndez, J. Flores, A. C. Piñón Reyes, M. Moreno Moreno, A. Morales-Sánchez, Gustavo M. Minquiz, R. C. Ambrosio Lázaro, H. Vázquez Leal, and F. Candia García. 2020. "Effective Parameters for 1D Photonic Crystals with Isotropic and Anisotropic Magnetic Inclusions: Coherent Wave Homogenization Theory" Materials 13, no. 6: 1475. https://doi.org/10.3390/ma13061475
APA StyleMéndez, J. F., Reyes, A. C. P., Moreno, M. M., Morales-Sánchez, A., Minquiz, G. M., Lázaro, R. C. A., Leal, H. V., & García, F. C. (2020). Effective Parameters for 1D Photonic Crystals with Isotropic and Anisotropic Magnetic Inclusions: Coherent Wave Homogenization Theory. Materials, 13(6), 1475. https://doi.org/10.3390/ma13061475

