Abstract
Three direct semiconductor materials and one indirect semiconductor material, Pm−3n XN (X = B, Al, Ga, In), are investigated in our work, employing density functional theory (DFT), where the structural properties, stability, elastic properties, elastic anisotropy properties and electronic properties are included. The shear modulus G and bulk modulus B of Pm−3n BN are 290 GPa and 244 GPa, respectively, which are slightly less than the values of B and G for c-BN and Pnma BN, while they are larger than those of C64 in the I41/amd phase. The shear modulus of Pm−3n BN is the greatest, and the shear modulus of C64 in the I41/amd phase is the smallest. The Debye temperatures of BN, AlN, GaN and InN are 1571, 793, 515 and 242 K, respectively, using the elastic modulus formula. AlN has the largest anisotropy in the Young’s modulus, shear modulus, and Poisson‘s ratio; BN has the smallest elastic anisotropy in G; and InN has the smallest elastic anisotropy in the Poisson’s ratio. Pm−3n BN, AlN, GaN and InN have the smallest elastic anisotropy along the (111) direction, and the elastic anisotropy of the E in the (100) (010) (001) planes and in the (011) (101) (110) planes is the same. The shear modulus and Poisson’s ratio of BN, AlN, GaN and InN in the Pm−3n phase in the (001), (010), (100), (111), (101), (110), and (011) planes are the same. In addition, AlN, GaN and InN all have direct band-gaps and can be used as a semiconductor within the HSE06 hybrid functional.
1. Introduction
In the 1950s, Germanium was used in low-voltage, low-frequency, medium power transistors and photodetectors in the bright stage. However, there were large short plates in the high-temperature and -radiation resistance of germanium semiconductor devices, so, in the 1960s, germanium gave up its dominant position to silicon. Silicon diffusely serves as a semiconductor material in industry and is mainly used in data computing and other fields. With the increasing demands of science and technology, the defects in the slow transmission speed and single function of silicon have been exposed, so compound semiconductor materials have emerged as required. Third-generation semiconductor materials have many ascendancies, such as a broad band gap, large thermal conductivity, great electron saturation rate, huge breakdown electric field, and a strong ability to resist radiation, so they have a wide range of applications in some blue, green, and violet light-emitting diodes and semiconductor lasers. GaN has a faster speed and higher breakdown voltage compared to silicon. Compared with silicon devices, GaN is more advanced in power conversion efficiency and power density. AlN is an ideal substrate material for advanced high-power light-emitting devices (LEDs, LDs), UV probes and high-power high-frequency electronic equipments. Si and compound semiconductors are two complementary materials. Some of the performance advantages of the compounds make up for the shortcomings of Si crystals, while the production process of Si crystals has obvious irreplaceable advantages, and both of them have certain limitations in the field of application. Therefore, in the application of semiconductors, compatibility means are often used to make the two compatible and utilize their respective advantages. Because of this, more and more attention has been paid to research on new structures and the physical properties of the compounds [1,2,3,4,5,6,7,8,9,10,11,12,13].
Lately, a growing number of studies have been conducted in the field of novel semiconductor materials, such as III-V nitride compound [1,2,3,4,5,6,7,8,9], other III-V compound materials [13,14,15,16,17,18,19,20], carbon-based [14,15,16,17,18,19,20,21], and silicon-based [22,23,24,25,26,27,28]. The structural properties, electronic properties, mechanical attributes, and stableness of the BN polymorph in the Pnma structure were investigated, utilizing first-principles calculations by the Cambridge Serial Total Energy Package (CASTEP) plane-wave code, which was studied by Ma et al [1]. They also discovered that Pnma-BN has larger band gap (7.18 eV) than other BN polymorphs, and it has an indirect band gap with the HSE06 function [29]. Fan et al. [3] reported the physical properties of AlN, GaN, and InN in the Pnma phase. Different from Pnma-BN, all the AlN, GaN, and InN materials in the Pnma pase have direct band gaps, and Pnma-AlN, Pnma-GaN, and Pnma-InN are the latent binary semiconductor materials for the production of UV detectors, violet photodiodes and infrared detectors, respectively. Compared with the previous materials (AlGaAs, GaAsP, AlGaN, AlGaN and other ternary semiconductor alloys, or AlGaInP quaternary semiconductor alloy), they do not require doping [3]. Liu et al [5] proposed four new AlN polymorphs, named Pbam-AlN, Pbca-AlN, Pmn21-AlN and Cmcm-AlN, and Yang et al [6,7] studied the physical properties of six new AlN polymorphs, Pmn21-AlN, Cmcm-AlN, Pbca-AlN, Pbam-AlN, bct-AlN (space group: P42/mnm), and h-AlN (space group: P63/mmc). All the AlN polymorphs, Pmn21-AlN, Pbam-AlN, Pbca-AlN, Cmcm-AlN, P42/mnm-AlN, are direct band gap semiconductor materials, and their band gaps are 3.63 (Cmcm-AlN), 3.89 (Pmn21-AlN), 3.86 (Pbca-AlN), 3.93 (Pbam-AlN), and 5.85 eV (P42/mnm-AlN), with Perdew–Burke–Ernzerhof (PBE) functionality and PBE0 functionality, respectively.
In view of the physical properties of the whole III-V nitrides of adamantine phase studied by density functional theory [1,2,3], the band structure of AlN, Gan and InN is direct band gap, which has great potential application in the photoelectric industry or dye-sensitive solar cells [3]. So, according to density functional theory [30,31], the III-V nitride compounds, BN, AlN, GaN, InN in the Pm−3n phase are first proposed in our paper. The physical attributes of Pm−3n XN (X = B, Al, Ga, In) semiconductor materials are estimated and discussed, and the stability of Pm−3n XN (X = B, Al, Ga, In) is also investigated in this work. Additionally, their dynamic and mechanical stability are proven by phonon spectra, elastic constants and related enthalpies.
2. Theoretical Methods
Physical property predictions and structural geometric optimization calculations utilize DFT with ultrasoft pseudopotentials [32] under the Cambridge Sequential Total Energy Package (CASTEP) [33] code in Materials Studio. The exchange correlation potentials are used with the Perdew–Burke–Ernzerhof (PBE) functional of the generalized gradient approximation (GGA) [34], and the Broyden–Fletcher–Goldfarb–Shanno (BFGS) [35] minimization scheme adopts the geometric optimization of the Pm−3n XN (X = B, Al, Ga, In). A fairly high k-point separation (less than or ~ 0.025 Å−1 × 2π) is applied to Pm−3n XN, 10 × 10 × 10, 8 × 8 × 8, 8 × 8 × 8, and 6 × 6 × 6 of the conventional cell for Pm−3n XN. Additionally, the plane-wave cutoff energy of 420 eV is adopted for structural optimizations and property predictions for Pm−3n XN (X = B, Al, Ga, In). The Heyd–Scuseria–Ernzerhof (HSE06) hybrid functional [29] was applied to the estimation of the electronic band structures. Finally, all the phonon spectra of Pm−3n XN adopt the density functional perturbation theory (DFPT) approach [36].
3. Results and Discussion
3.1. Structural Properties
The crystal textures of Pm−3n XN (X = B, Al, Ga, In) are illustrated in Figure 1a. Here, red spheres represent nitrogen atoms, blue spheres represent group IIIB elements, and we mainly refer to boron atoms, aluminium atoms, gallium atoms and indium atoms in this work. Figure 1a shows that the quaternary ring structure composed of two nitrogen atoms and two atoms of the group IIIB elements is connected with four vertical quaternary rings. The quaternary ring structure is a square with nitrogen and boron (or aluminium, gallium or indium) atoms at the top of the square. In the conventional cell of Pm−3n XN, there is a 24-atom cage structure composed of nitrogen atoms and atoms of the group IIIB elements. As both c-BN and Pm−3n XN belong to the cubic crystal system, the crystal structure of Pm−3n XN has high symmetry, so the stacking mode of the atoms along the (010) and (100) sides is exactly the same. The related results are plotted in Figure 1b,c. The lattice constants of Pm−3n XN are presented in Table 1. It can be seen that the lattice constants increase from Pm−3n BN to Pm−3n InN. In addition, the lattice constants of c-BN obtained by the GGA method are very close to experimental data, which proves that the lattice constants of Pm−3n XN obtained in this work are also credible.
Figure 1.
The crystalline structures of Pm−3n XN (X = B, Al, Ga, In) (a), along the (010) direction (b) and the (100) direction (c).
Table 1.
The lattice constants (Å), volumes of the conventional cell (Å3), elastic parameters (GPa), B, G, E (GPa) and Poisson’s ratio v of Pm−3n XN and c-BN.
3.2. Stability
Stability ploys an extremely significant role in physical performance. The phonon spectra of Pm−3n XN are plotted in Figure 2a–d. There is no frequency under the zero line, which proves that Pm−3n XN is dynamically stable. In addition, its mechanical stability is also studied. The highest calculated phonon frequency of the B-N bond-stretching schema in Pm−3n BN is ~38 THz, which is very close to that of diamond (40 THz), showing that the B-N bond in Pm−3n BN is relatively strong. The elastic parameters are estimated through the strain stress method, as shown in Table 1. The three necessary and sufficient Born stability criteria for cubic symmetry are taken as: C11 − C12 > 0, C11 + 2C12 > 0, and C44 > 0. From Table 1, all the values for C11, C12 and C44 of Pm−3n XN satisfy the three stability standards for cubic symmetry, which proves that Pm−3n XN is mechanically stable. Finally, the related enthalpies of Pm−3n XN are presented in Figure 2e–g. The enthalpy of XN of the wurtzite structure is set to 0. Although the enthalpy of Pm−3n BN is larger than that of Pnma BN [16], it is lower than that of rocksalt-BN and NiAs-BN [19]. For AlN, the enthalpy of the Pm−3n phase (0.177 eV/molecule) is slightly greater than that of Pbca AlN (0.172 eV/molecule) [20], while it is smaller than that of Pnma AlN (0.231 eV/molecule) [16]. Similar to Pm−3n AlN, the enthalpies of Pm−3n GaN (0.263 eV/molecule) and Pm−3n InN (0.226 eV/molecule) are also slightly smaller than those of the Pnma phase (Pnma GaN: 0.271 eV/molecule; Pnma InN: 0.237 eV/molecule).

Figure 2.
The phonon spectra of BN (a), AlN (b), GaN (c), InN (d) in the Pm−3n phase, and related enthalpies of BN (e), AlN (f), GaN and InN (g).
3.3. Mechanical and Anisotropy Properties
One can see that the values of C11, C12, C44, B, G, E of the group III-B elements decrease as they change from boron to indium atoms. The C11, C12, C44, B, G, E of Pm−3n XN are presented in Figure 3. Although the value of B for Pm−3n BN is slightly less than that of c-BN and Pnma BN, it is larger than that of C64 in the I41/amd phase. For the shear modulus of Pnma BN [16], and C64 in the I41/amd phase [39], the shear modulus of Pm−3n BN is the largest, and the shear modulus of C64 in the I41/amd phase is the smallest. The E and v of Pm−3n XN are given by: E = 9BG/(3B + G) and v = (3B − 2G)/[2(3B + G)] [40,41]. The value of B describes the fracture opposition of the material, while the value of G describes the plastic deformation opposition of the material, and E can be used to describe the tensile elasticity. Therefore, the ratio of B and G is a significant indicator to evaluate the brittleness or ductility of crystals. In accordance with Pugh [42], a higher B/G of a solid (more than 1.75) indicates improved ductility, whereas a lower B/G (less than 1.75) generally indicates brittleness. In addition, the value of v is in line with the B/G, which touches on the ductility of the material; usually, the v value is large (v > 0.26) [43]. The values of B/G and v for Pm−3n XN are plotted in Figure 3c. From Figure 3c, Pm−3n BN is the most brittle, and Pm−3n InN is the most ductile. Pm−3n GaN is in between the brittleness and ductility of Pm−3n BN and Pm−3n InN, but tends to be brittle.
Figure 3.
The elastic parameters (a) and B, G and E (b) of Pm−3n XN and B/G and v of Pm−3n XN (c).
Knowledge of ΘD is a powerful tool to reflect the bonding force between atoms. The value of ΘD of different materials is different, and a large melting point indicates that the bond strength of the material is strong, then the Debye temperature increases as the Young’s modulus increases. The Debye temperature can be estimated by the elastic moduli formula. The formula are expressed as [44,45] vp = [(B + 4G/3)/ρ]1/2, vs = (G/ρ)1/2, and vm = [(2/v+ 1/v)/3]−1/3, where ΘD = (h/kB)[3n/(4π)(NAρ/M)]1/3vm, B and G typifie the bulk modulus and shear modulus of AlN, GaN and InN, n typifies the number of atoms in the molecule, M typifies the molecular weight, ρ typifies the crystal density, h typifies Planck’s constant, kB represents Boltzmann’s constant, and NA represents Avogadro’s number. The crystal density, vs, vp and vm and Debye temperature of XN in the Pm−3n, Pnma and F-43m phases are shown in Table 2. For BN in the Pm−3n and Pnma phases, the Debye temperatures are close, while that of BN in the Pm−3n phase is a little bit larger than that of BN in the Pnma phase. Comparing the Young’s modulus, as shown in Table 1, Pm−3n BN is a little bit higher than that of BN in Pnma BN (543 GPa) [16]. For AlN, GaN and InN in the Pm−3n, Pnma and F−43m phases, there is no doubt that the Debye temperature of XN in the F−43m phase is the highest, which means that its Young’s modulus is also the largest, the bond strength between the atoms is the largest, that of graphite is the second greatest, and that of cubic diamond is the lowest.
Table 2.
The vs, vp, vm (m/s), and ΘD (K) of XN in the Pm−3n, Pnma and F−43m phases.
Mechanical anisotropy is often used to measure in which direction the maximum and minimum values exist. The three-dimensional (3D) graph can show this property intuitively, so the 3D maps of the E for BN, AlN, GaN, and InN in the Pm−3n phase are shown in Figure 4. If the mechanical properties of a material show isotropy in 3D space, the 3D silhouette maps of its mechanical properties are a regular sphere. If the shape is not a sphere, the mechanical properties of the material are anisotropic. At the same time, the less the shape of the 3D graph looks like a sphere, the greater the anisotropy [46]. Therefore, from the three-dimensional contour plots in Figure 4, it can be clearly seen that the mechanical anisotropy of the E of AlN is the largest. Similar to other materials [47,48,49,50], the Ymax/Ymin ratio (where Y is E, G and v) is used to quantify the anisotropy of various elastic moduli in this work. The maximum values and the minimum values of the E for XN in the Pm−3n phase are illustrated in Figure 5a, respectively. For Figure 5a, the blue and orange colours represent the Emax and Emin, respectively. As shown in Figure 3b, the Emax and Emin of boron nitride in the Pm−3n phase are still the largest, while that of indium nitride in the Pm−3n phase is the lowest. The value of Emax/Emin for Pm−3n BN is shown in Figure 5d, and the blue, orange and grey colours represent the Emax/Emin ratio, Gmax/Gmin ratio, and vmax/vmin ratios, respectively. It can be concluded from Figure 5d that the E of Pm−3n AlN has the largest anisotropy, as shown in Figure 4. Interestingly, in the Pnma phase, the anisotropy of the E of AlN is also the greatest [18], while the anisotropy of the E of BN in the Pm−3n phase is also the smallest, and the smallest anisotropy of the E in the Pnma phase is InN.

Figure 4.
The three-dimensional contour plots of the Young’s modulus for BN (a), AlN (b), GaN (c), and InN (d) in the Pm−3n phase.

Figure 5.
The maximum and the minimum values of the Young’s modulus (a), shear modulus (b), Poisson’s ratio (c), and the Xmax/Xmin (d) for XN in the Pm−3n phase.
To better and more easily comprehend the anisotropy of E, and the distribution of E on the major planes of XN in the Pm−3n phase, such as the (001), (010), (100), (101), (110), (111), and (011) planes, the related Emax and Emin of the major planes are listed in Table 3. From Table 3 and Figure 5a, all the maximum values of E for XN in the Pm−3n phase appeared in the (001), (010), (100), (101), (110), and (011) planes, while the minimum values of E of XN in the Pm−3n phase appeared in the (101), (110), and (011) planes. For the (111) plane, both the maximum values and minimum values of E of XN in the Pm−3n phase do not appear in the (111) plane, the Emax and Emin for XN in the Pm−3n phase in the (111) plane are the same, and the Emax and Emin are the highest and the lowest values in all directions, which are shown in Figure 5a, so the values of E of XN in the Pm−3n phase in the (111) planes are isotropic. Compared with BN in the Pnma phase, the anisotropy of E along the (001), (010), (100), and (111) directions of BN in the Pm−3n phase is also significantly smaller than that in the Pnma phase. In addition, for the anisotropy of E in the (001), (010), and (100) planes of AlN, GaN and InN in the Pm−3n and Pnma phases, the anisotropy of E of the Pnma phase is almost the largest, except for the anisotropy of E along the (100) direction of AlN in the Pm−3n phase, which is 1.79, and is slightly larger than that of the Pnma phase (1.77 [18]).
Table 3.
The Emax and Emin (GPa) and Xmax/Xmin in the primary planes for XN in the Pm−3n phase.
According to Hooke’s law and the ELAM software package [51], we know that E can be expressed in two kinds of space angles, while the G and v need three kinds of space angle. The specific details are described in references [51,52,53]. Therefore, the three-dimensional contour maps of the G and v are divided into 3D silhouette maps of the maximum values and minimum values. The 3D silhouette maps of the Gmax, Gmin vmax and vmin for BN, AlN, GaN, and InN in the Pm−3n phase are plotted in Figure 6a–d and Figure 7a–d, respectively. Here, the dashed purple external and the solid purple external typify the Gmax and Gmin, respectively, and the dashed orange external and the solid orange external typify the vmax and vmin, respectively. The Gmax, Gmin vmax and vmin and the Xmax/Xmin ratio for XN in the Pm−3n phase are plotted in Figure 5b–d. The blue colours typify the Gmax and vmax, and the orange colours typify the Gmin and vmin in Figure 5b–c, respectively. The blue, orange and grey colours represent the Emax/Emin ratio, Gmax/Gmin ratio and vmax/vmin ratio in Figure 5d, respectively. From Figure 6 and Figure 7, it can be seen that the G and v of XN in the Pm−3n phase exhibit elastic anisotropy, and from Figure 5b–d, AlN in the Pm−3n phase has the greatest elastic anisotropy in G and v, BN in the Pm−3n phase has the lowest elastic anisotropy in the shear modulus, and Pm−3n InN has the smallest elastic anisotropy in the Poisson’s ratio. The distribution of G and v in the (001), (010), (100), (101), (110), (111), and (011) planes of XN in the Pm−3n phase are also listed in Table 3. Different from the Young’s modulus, all the Gmax, Gmin vmax and vmin of XN in the Pm−3n phase appeared in the (001), (010), (100), (101), (110), (111), and (011) planes. In other words, the anisotropy of G and v of these seven main planes is the same. In addition, for BN in the Pm−3n and Pnma phases, both the elastic anisotropy in G and v in all directions of the Pm−3n phase are smaller than that of the Pnma phase. Furthermore, both the elastic anisotropy in G and v along the (001), (010), (100), and (011) directions of the Pm−3n phase are weaker than that of the Pnma phase [16,18]. Especially for v, the vmax/vmin of the Pm−3n phase is only 3.22, while the vmax/vmin ratio of the Pnma phase is 4.945, and the maximum value is in the (100) plane, which is as high as 14.431. The anisotropy of G and v of the Pm−3n phase is obviously smaller than that of the Pnma phase.
Figure 6.
The 3D silhouette maps of the G for BN (a), AlN (b), GaN (c), and InN (d) in the Pm−3n phase.
Figure 7.
The 3D silhouette maps of the v for BN (a), AlN (b), GaN (c), and InN (d) in the Pm−3n phase.
3.4. Electronic Properties
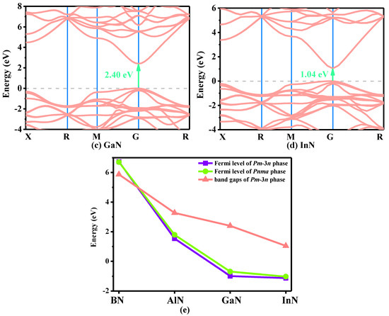
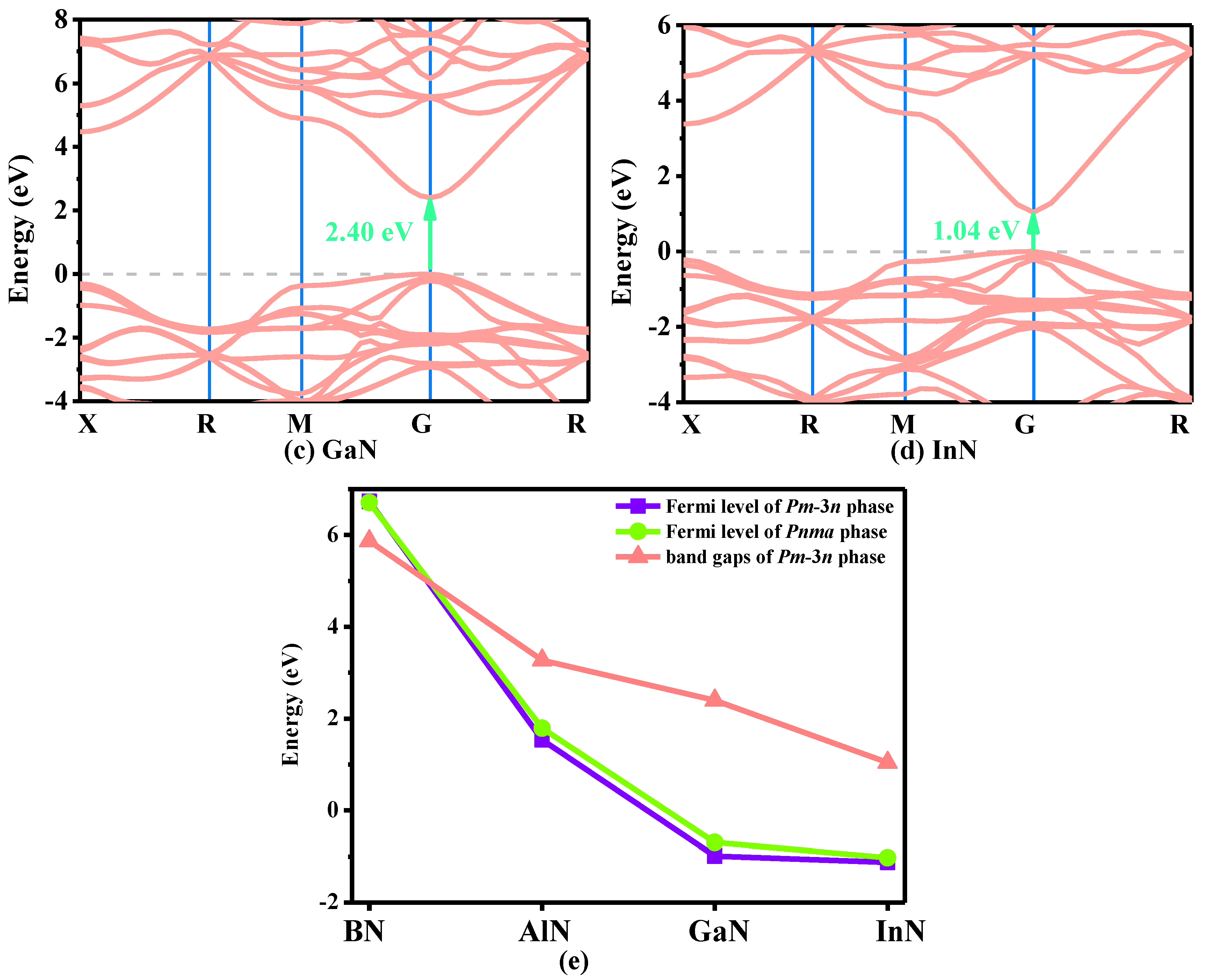
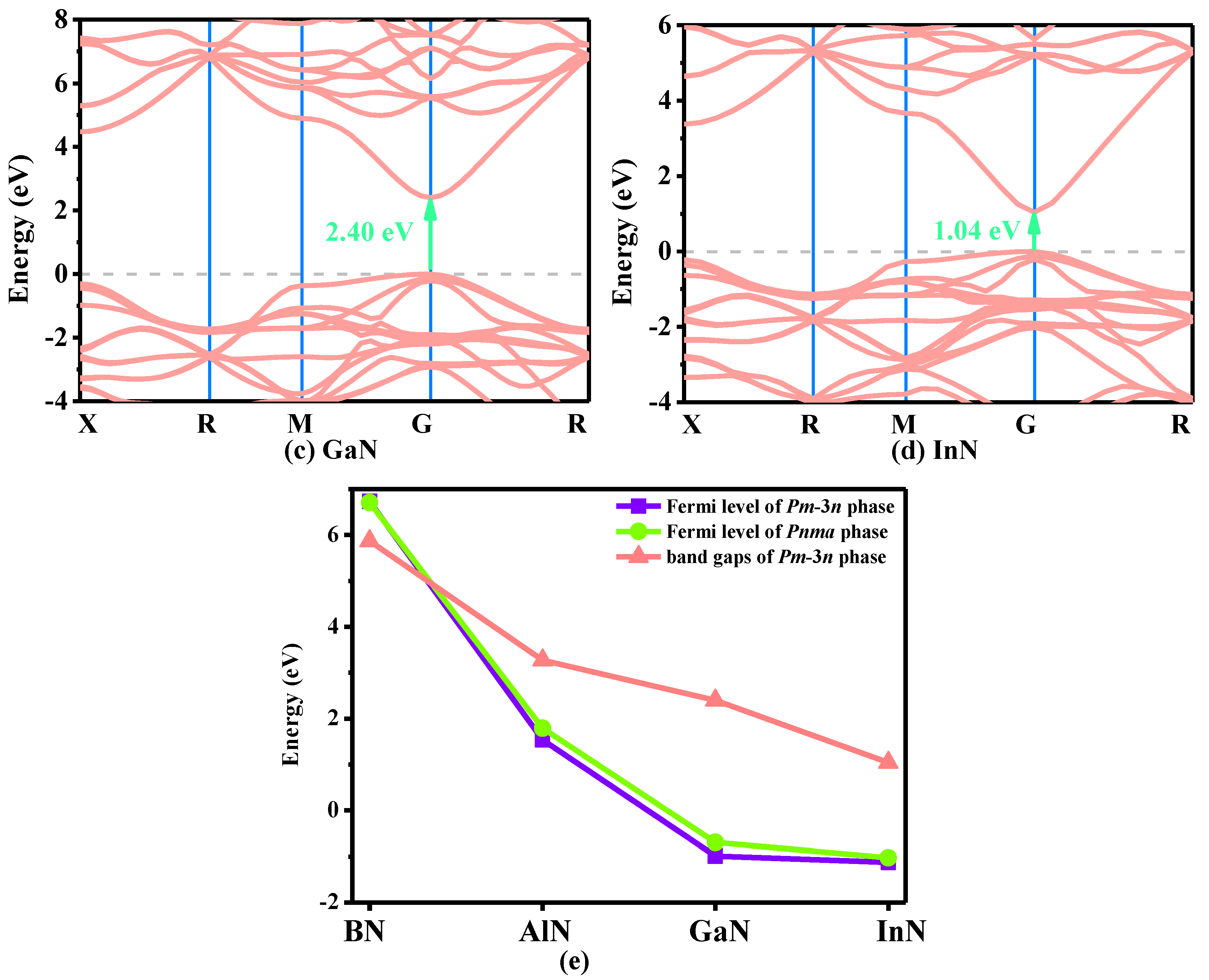
The electronic band structures of XN in the Pm-3n phase within the HSE06 function are illustrated in Figure 8a–d. The coordinates of the high symmetry points in the whole Brillouin zone for XN in the Pm−3n phase are X (0.500, 0.000, 0.000) → R (0.500, 0.500, 0.500) → M (0.500, 0.500, 0.000) → R (0.500, 0.500, 0.500). From Figure 8a–d, AlN, GaN, InN and BN can all be used as a semiconductor material, while AlN, GaN, InN are a direct band gap, and BN is an indirect and broad band gap. Compared with the Pnma phase, the band gap of BN in the Pm−3n phase is slightly less than that of the Pnma phase (7.18 eV within the HSE06 hybrid functional) [29]. For AlN, GaN and InN in the Pm−3n phase and Pnma phase with a direct band gap, the band gaps of the same compound in different phases are different. The band gaps of BN, AlN and GaN in the Pm−3n phase are slightly less than those of BN, AlN and GaN in the Pnma phase [16,18], while the band gap of InN in the Pm−3n phase is 1.04 eV, which is slightly larger than that of the Pnma phase [18]. In addition, the Fermi levels of XN in the Pm−3n and Pnma phases are also estimated in our paper. The related data of XN in the Pm−3n and Pnma phases are shown in Figure 8e. The Fermi levels of XN in the Pm−3n and Pnma phases decrease in turn; the difference is that the reduction degrees of the Pm−3n phase and Pnma phase are different. The Fermi level of XN in the Pm−3n phase decreases by 7.86 eV, and the reduction degree of XN in the Pnma phase is smaller than that of the Pm−3n phase.

Figure 8.
The electronic band structures for BN (a), AlN (b), GaN (c), and InN (d), in the Pm−3n phase, and Fermi level of Pm−3n and Pnma phases (e).
4. Conclusions
According to DFT, the structural properties, stability, elastic properties, elastic anisotropy properties and electronic performances of BN, AlN, GaN and InN in the Pm−3n phase are estimated in our paper. The lattice parameters of InN in the Pm−3n phase increase by 40.54% compared to those of BN in the Pm−3n phase, and this increase is larger than that of the lattice parameter a of InN in the Pnma phase to BN in the Pnma phase (a: 38.59%). This increase is slightly lower than that of lattice parameters b and c of InN in the Pnma phase to BN in the Pnma phase (b: 42.87% and c: 41.26%). Pm−3n BN is the most brittle, and Pm−3n InN is the most ductile. Pm−3n GaN is between the brittleness and ductility of Pm−3n BN and Pm−3n InN but tends to be brittle. The calculated Debye temperature of XN in Pm−3n phase follows the order InN < GaN < AlN < BN. By showing the three-dimensional contour plots and the Ymax/Ymin ratio (where Y is shear modulus G, Young’s modulus E, and Poisson’s ratio v), the anisotropy of E, G, and v of the Pm−3n phase is obviously lower than that of the Pnma phase. The electronic band structures of XN in Pm−3n phase show that AlN, GaN and InN are semiconductor materials with direct band gaps within the HSE06 hybrid functional, while BN in the Pm−3n phase is an indirect and wide semiconductor material. Compared with III-V nitrides compounds in Pnma phase, the band adjustable range in Pm−3n phase (1.04–5.87 eV) is slightly smaller than Pnma phase (0.66–7.18 eV). It is likely to have a good adhibition in the electronic manufacturing industry such as LEDs, UV detectors, infrared detectors and visible light detectors. Compared with the previous materials (GaAsP, AlGaN, AlGaAs, AlGaN and other ternary semiconductor alloys, or AlGaInP quaternary semiconductor alloy), they save the trouble of making ternary or quaternary semiconductors in semiconductor technology.
Author Contributions
Software, Y.Z., and Q.Z.; investigation, Q.F., Y.Z. and Q.Z.; writing—original draft preparation, Q.F. and Q.Z.; project administration, Q.Y. Fan; funding acquisition, Y.Y. and Q.F. All authors have read and agreed to the published version of the manuscript.
Funding
This work were supported by the National Natural Science Foundation of China (No. 61804120), China Postdoctoral Science Foundation (No. 2019TQ0243, No. 2019M663646), Young Talent fund of University Association for Science and Technology in Shaanxi, China (No. 20190110), and Key Research and Development Plan of Shaanxi Province, China (Grant No. 2017ZDXM-GY-001).
Conflicts of Interest
The authors declare no conflicts of interest.
References
- Ma, Z.Y.; Han, Z.; Liu, X.H.; Yu, X.H.; Wang, D.Y.; Tian, Y. Pnma-BN: Another Boron Nitride Polymorph with Interesting Physical Properties. Nanomaterials 2017, 7, 3. [Google Scholar] [CrossRef]
- Fan, Q.Y.; Chai, C.C.; Wei, Q.; Yang, J.H.; Zhou, P.K.; Zhang, D.Y.; Yang, Y.T. A New Phase of GaN. J. Chem. 2016, 2016, 8612892. [Google Scholar] [CrossRef]
- Fan, Q.Y.; Zhang, W.Z.; Yun, S.N.; Xu, J.; Song, Y.X. III-Nitride Polymorphs: XN (X = Al, Ga, In) in the Pnma Phase. Chem. Eur. J. 2018, 24, 17280. [Google Scholar] [CrossRef] [PubMed]
- Louhibi-Fasla, S.; Achour, H.; Kefif, K.; Ghalem, Y. First-principles study of high-pressure phases of AlN. Phys. Procedia 2014, 55, 324. [Google Scholar] [CrossRef]
- Liu, C.; Hu, M.; Luo, K.; Cui, L.; Yu, D.; Zhao, Z.S.; He, J.L. Novel high-pressure phases of AlN: A first-principles study. Comput. Mater. Sci. 2016, 117, 496. [Google Scholar] [CrossRef]
- Yang, R.K.; Zhu, C.S.; Wei, Q.; Du, Z. A first-principles study of the properties of four predicted novel phases of AlN. J. Phys. Chem. Solids 2017, 104, 68. [Google Scholar] [CrossRef]
- Yang, R.K.; Zhu, C.S.; Wei, Q.; Du, Z. Phase stability, mechanical and optoelectronic properties of two novel phases of AlN. Mod. Phys. Lett. B 2017, 31, 1750201. [Google Scholar] [CrossRef]
- Zhang, X.; Gui, W.H.; Zeng, Q.F.; Chen, Q.C. Vibrational and dielectric properties of AlN: A first-principles study. Ceram. Int. 2016, 42, 18828. [Google Scholar] [CrossRef]
- Fan, Q.Y.; Chai, C.C.; Wei, Q.; Zhou, P.K.; Zhang, J.Q.; Yang, Y.T. Thermodynamic, elastic, elastic anisotropy and minimum thermal conductivity of β-GaN under high temperature. Chin. J. Phys. 2017, 55, 400. [Google Scholar] [CrossRef]
- Xu, L.F.; Bu, W. Mechanical and thermodynamic properties of AlX (X = N, P, As) compounds. Int. J. Mod. Phys. B 2017, 31, 1750167. [Google Scholar] [CrossRef]
- Yang, R.K.; Zhu, C.S.; Wei, Q.; Zhang, D.Y. First-principles study on phases of AlP. Solid State Commun. 2017, 267, 23. [Google Scholar] [CrossRef]
- Liu, C.; Ma, M.D.; Yuan, X.H.; Sun, H.; Ying, P.; Xu, B.; Zhao, Z.S.; He, J.L. Metastable phases, phase transformation and properties of AlAs based on first-principle study. Comput. Mater. Sci. 2017, 128, 337. [Google Scholar] [CrossRef]
- Yang, R.K.; Ma, Y.C.; Wei, Q.; Zhang, D.Y. A first-principles investigation of the properties of two predicted novel structures of Sn3P4. Chin. J. Phys. 2018, 56, 886. [Google Scholar] [CrossRef]
- Li, X.Z.; Xing, M.J. Prediction of a novel carbon allotrope from first-principle calculations: A potential superhard material in monoclinic symmetry. Mater. Chem. Phys. 2020, 242, 122480. [Google Scholar] [CrossRef]
- Wang, J.T.; Chen, C.; Mizusekid, H.; Kawazoe, Y. New carbon allotropes in sp + sp3 bonding networks consisting of C8 cubes. Phys. Chem. Chem. Phys. 2018, 20, 7962. [Google Scholar] [CrossRef]
- Zhang, W.; Chai, C.C.; Fan, Q.Y.; Song, Y.X.; Yang, Y.T. PBCF-graphene: A 2D sp2 hybridized honeycomb carbon allotrope with a direct band gap. ChemNanoMat 2020, 6, 139. [Google Scholar] [CrossRef]
- Xing, M.; Li, B.; Yu, Z.; Chen, Q. C2/m-carbon: Structural, mechanical, and electronic properties. J. Mater. Sci. 2015, 50, 7104. [Google Scholar] [CrossRef]
- Zhang, W.; Chai, C.C.; Fan, Q.Y.; Song, Y.X.; Yang, Y.T. Two novel superhard carbon allotropes with honeycomb structures. J. Appl. Phys. 2019, 126, 145704. [Google Scholar] [CrossRef]
- Fan, Q.Y.; Wang, H.; Song, Y.X.; Zhang, W.; Yun, S.N. Five carbon allotropes from Squaroglitter structures. Comput. Mater. Sci. 2020, 178, 109634. [Google Scholar] [CrossRef]
- Cheng, Y.; Melnik, R.; Kawazoe, Y.; Wen, B. Three Dimensional Metallic Carbon from Distorting sp3-Bond. Cryst. Growth. Des. 2016, 16, 1360. [Google Scholar] [CrossRef]
- Xing, M.; Li, B.; Yu, Z.; Chen, Q. A Reinvestigation of a superhard tetragonal sp3 carbon allotrope. Materials 2016, 9, 484. [Google Scholar] [CrossRef] [PubMed]
- Fan, Q.Y.; Chai, C.C.; Wei, Q.; Yang, Y.T. Two novel silicon phases with direct band gaps. Phys. Chem. Chem. Phys. 2016, 18, 12905. [Google Scholar] [CrossRef] [PubMed]
- Bai, C.G.; Chai, C.C.; Fan, Q.Y.; Liu, Y.Q.; Yang, Y.T. A Novel Silicon Allotrope in the Monoclinic Phase. Materials 2017, 10, 441. [Google Scholar]
- Fan, Q.Y.; Niu, R.; Zhang, W.Z.; Zhang, W.; Ding, Y.C.; Yun, S.N. t-Si64: A Novel Silicon Allotrope. ChemPhysChem 2019, 20, 128. [Google Scholar] [CrossRef] [PubMed]
- He, C.Y.; Shi, X.Z.; Clark, S.J.; Li, J.; Pickard, C.J.; Ouyang, T.; Zhang, C.X.; Tang, C.; Zhong, J.X. Complex Low Energy Tetrahedral Polymorphs of Group IV Elements from First Principles. Phys. Rev. Lett. 2018, 121, 175701. [Google Scholar] [CrossRef]
- Fan, Q.Y.; Chai, C.C.; Wei, Q.; Zhou, P.K.; Zhang, J.Q.; Yang, Y.T. Si96: A New Silicon Allotrope with Interesting Physical Properties. Materials 2016, 9, 284. [Google Scholar] [CrossRef]
- Fan, Q.Y.; Zhang, W.; Song, Y.; Zhang, W.; Yun, S. P63/mmc-Ge and their Si-Ge alloys with a mouldable direct band gap. Semicond. Sci. Technol. 2020. [Google Scholar] [CrossRef]
- Fan, Q.Y.; Yang, R.L.; Zhang, W.; Yun, S.N. Elastic anisotropy and thermal conductivity of silicon allotropes. Results Phys. 2019, 15, 102580. [Google Scholar] [CrossRef]
- Heyd, J.; Scuseria, G.E.; Ernzerhof, M.J. Hybrid functionals based on a screened Coulomb potential. J. Chem. Phys. 2003, 118, 8207–8215. [Google Scholar] [CrossRef]
- Hohenberg, P.; Kohn, W. Semiclassical origin of density functionals. Phys. Rev. 1964, 136, 864. [Google Scholar] [CrossRef]
- Kohn, W.; Sham, L.J. Self-consistent equations including exchange and correlation effects. Phys. Rev. 1965, 140, 1133. [Google Scholar] [CrossRef]
- Vanderbilt, D. Soft self-consistent pseudopotentials in a generalized eigenvalue formalism. Phys. Rev. B 1990, 41, 7892. [Google Scholar] [CrossRef] [PubMed]
- Clark, S.J.; Segall, M.D.; Pickard, C.J.; Hasnip, P.J.; Probert, M.I.J.; Refson, K.; Payne, M.C. First principles methods using CASTEP. Z. Kristallogr. 2005, 220, 567–570. [Google Scholar] [CrossRef]
- Perdew, J.P.; Burke, K.; Ernzerhof, M. Generalized gradient approximation made simple. Phys. Rev. Lett. 1996, 77, 3865. [Google Scholar] [CrossRef]
- Pfrommer, B.G.; Côté, M.; Louie, S.G.; Cohen, M.L. Relaxation of crystals with the quasi-newton method. J. Comput. Phys. 1997, 131, 233–240. [Google Scholar] [CrossRef]
- Baroni, S.; de Gironcoli, S.; dal Corso, A.; Giannozzi, P. Phonons and related crystal properties from density-functional perturbation theory. Rev. Mod. Phys. 2001, 73, 515. [Google Scholar] [CrossRef]
- Petrescu, M.I. Boron nitride theoretical hardness compared to carbon polymorphs. Diam. Relat. Mater. 2004, 13, 1848. [Google Scholar] [CrossRef]
- Grimsditch, M.; Zouboulis, E.S.; Polian, A. Elastic constants of boron nitride. J. Appl. Phys. 1994, 76, 832. [Google Scholar] [CrossRef]
- Wei, Q.; Zhang, Q.; Yan, H.Y.; Zhang, M.G. A new superhard carbon allotrope: Tetragonal C64. J. Mater. Sci. 2017, 52, 2385–2391. [Google Scholar] [CrossRef]
- Hill, R. The elastic behaviour of a crystalline aggregate. Proc. Phys. Soc. Lond. Sect. A 1952, 65, 349. [Google Scholar] [CrossRef]
- Fan, Q.Y.; Chai, C.C.; Wei, Q.; Yang, Y.T. Two Novel C3N4 Phases: Structural, Mechanical and Electronic Properties. Materials 2016, 9, 427. [Google Scholar] [CrossRef]
- Pugh, S.F. XCII. Relations between the elastic moduli and the plastic properties of polycrystalline pure metals. Lond. Edinb. Dublin Philos. Mag. J. Sci. 1954, 45, 823. [Google Scholar] [CrossRef]
- Lewandowski, J.J.; Wang, W.H.; Greer, A.L. Intrinsic plasticity or brittleness of metallic glasses. Philos. Mag. Lett. 2005, 85, 77. [Google Scholar] [CrossRef]
- Anderson, O.L. A simplified method for calculating the debye temperature from elastic constants. J. Phys. Chem. Solids 1963, 24, 909–917. [Google Scholar] [CrossRef]
- Panda, K.B.; Ravi, K.S. Determination of elastic constants of titanium diboride (TiB2) from first principles using FLAPW implementation of the density functional theory. Comput. Mater. Sci. 2006, 35, 134–150. [Google Scholar] [CrossRef]
- Hu, W.C.; Liu, Y.; Li, D.J.; Zeng, X.Q.; Xu, C.S. First-principles study of structural and electronic properties of C14-type Laves phase Al2Zr and Al2Hf. Comput. Mater. Sci. 2014, 83, 27–34. [Google Scholar] [CrossRef]
- Qiao, L.P.; Jin, Z. Two B-C-O Compounds: Structural, Mechanical Anisotropy and Electronic Properties under Pressure. Materials 2017, 10, 1413. [Google Scholar] [CrossRef]
- Fan, Q.Y.; Duan, Z.X.; Song, Y.X.; Zhang, W.; Zhang, Q.D.; Yun, S.N. Electronic, Mechanical and Elastic Anisotropy Properties of X-Diamondyne (X = Si, Ge). Materials 2019, 12, 3589. [Google Scholar] [CrossRef]
- Ma, Z.Y.; Wang, P.; Yan, F.; Shi, C.L.; Tian, Y. Physical properties of B4N4-I and B4N4-II: First-principles study. Chin. Phys. B 2019, 28, 036101. [Google Scholar] [CrossRef]
- Fan, Q.; Chai, C.; Wei, Q.; Zhou, P.; Yang, Y. Two novel Ge phases and their Si-Ge alloys with excellent electronic and optical properties. Mater. Des. 2017, 132, 539–551. [Google Scholar] [CrossRef]
- Marmier, A.; Lethbridge, Z.A.D.; Walton, R.I.; Smith, C.W.; Parker, S.C.; Evans, K.E. Elam: A computer program for the analysis and representation of anisotropic elastic properties. Comput. Phys. Commun. 2010, 181, 2102–2115. [Google Scholar] [CrossRef]
- Fan, Q.Y.; Wei, Q.; Chai, C.C.; Yan, H.Y.; Zhang, M.G.; Lin, Z.Z.; Zhang, Z.X.; Zhang, J.Q.; Zhang, D.Y. Structural, mechanical, and electronic properties of P3m1-BCN. J. Phys. Chem. Solids 2015, 79, 89–96. [Google Scholar] [CrossRef]
- Fan, Q.Y.; Chai, C.C.; Wei, Q.; Wong, K.Q.; Liu, Y.Q.; Yang, Y.T. Theoretical investigations of group IV alloys in the Lonsdaleite phase. J. Mater. Sci. 2018, 53, 2785–2801. [Google Scholar] [CrossRef]
© 2020 by the authors. Licensee MDPI, Basel, Switzerland. This article is an open access article distributed under the terms and conditions of the Creative Commons Attribution (CC BY) license (http://creativecommons.org/licenses/by/4.0/).











