Study on Wear and Fatigue Performance of Two Types of High-Speed Railway Wheel Materials at Different Ambient Temperatures
Abstract
1. Introduction
2. Materials and Methods
3. Results
3.1. Wear Loss
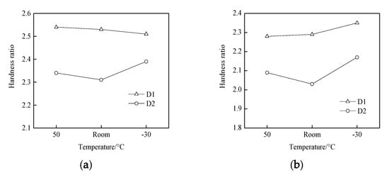
3.2. Hardness and Plastic Deformation
3.3. Surface Damage
3.4. Subsurface Damage
4. Discussion
5. Conclusion
Author Contributions
Funding
Conflicts of Interest
References
- Feng, B.R.; Wang, Y.Q.; Shi, Y.J. Experimental study on fracture toughness KIC of rails steel under low temperature conditions. J. China Railw. Soc. 2008, 30, 83–87. [Google Scholar]
- Ma, L.; He, C.G.; Zhao, X.J.; Wang, W.J.; Guo, J.; Liu, Q.Y. Simulation experiment for rolling wear of wheel/rail materials under low temperature environment. Tribology 2016, 36, 92–97. [Google Scholar]
- Hao, Y.H.; Xing, Y.M.; Yang, S.T. Erosion-wear behavior of steel structure coating subject to sandstorm. Tribology 2010, 30, 26–31. [Google Scholar]
- Molatefi, H.; Firouzabadi, Z. Analyzing the interaction between wheel profile S1002 and Iran rail profiles to investigate wheel–rail wear and wheelset behavior. J. Transp. Eng. 2011, 2, 363–374. [Google Scholar]
- Soleimani, H.; Moavenian, M. Tribological Aspects of wheel-rail contact: A review of wear mechanisms and effective factors on rolling contact fatigue. Urban Rail Transit 2017, 3, 227–237. [Google Scholar] [CrossRef]
- Zheng, J.; Luo, J.; Mo, J.; Peng, J.; Jin, X. Fretting wear behaviors of a railway axle steel. Tribol. Int. 2010, 43, 906–911. [Google Scholar] [CrossRef]
- Waterhouse, R. Fretting wear. Wear 1984, 100, 107–118. [Google Scholar] [CrossRef]
- Matsumoto, A.; Sato, Y.; Ono, H.; Wang, Y.; Yamamoto, M.; Tanimoto, M.; Oka, Y. Creep force characteristics between rail and when on scaled model. Wear 2002, 253, 199–203. [Google Scholar] [CrossRef]
- Wang, Y.Q.; Zhou, H.; Shi, Y.J.; Feng, B.R. Mechanical properties and fracture toughness of rail steels and thermite welds at low temperature. Int. J. Miner. Metall. Mater. 2012, 19, 409–420. [Google Scholar] [CrossRef]
- Zhou, Y.; Wang, Y.Q.; Dai, G.X.; Shi, Y.J.; Chen, H. Status on low temperature fatigue behavior of steel structure. Low Temp. Archit. Technol. 2013, 7, 5–9. [Google Scholar]
- Feng, B.R.; Wang, Y.Q.; Shi, Y.J.; Wu, Y.M. Analysis on fracture accidents and its influencing factors for steel tracks in China. Low Temp. Archit. Technol. 2005, 27, 97. [Google Scholar]
- Terashita, Y.; Tatsumi, M. Analysis of damaged rail weld. Q. Rep. RTRI 2003, 44, 59–64. [Google Scholar] [CrossRef]
- Shank, M.E. A critical survey of brittle fracture in carbon plate steel structures, other than ships. Fract. Mech. 1953, 4, 17–51. [Google Scholar]
- Lu, B.; Zheng, Z. Predicting fatigue crack growth rates and thresholds at low temperatures. Mater. Sci. Eng. A 1991, A148, 179–188. [Google Scholar]
- Moody, N.R.; Gerberich, W.W. Fatigue crack propagation in iron and two iron binary alloys at low temperatures. Mater. Sci. Eng. 1979, 41, 271–280. [Google Scholar] [CrossRef]
- Stephens, R.I.; Chung, J.H.; Glinka, G. Low temperature fatigue behavior of steels—A review. SAE Tech. Pap. 1979, 88, 1892–1904. [Google Scholar]
- Tobler, R.L.; Cheng, Y.W. Midrange fatigue crack growth data correlations for structural alloys at room and cryogenic temperatures. In Fatigue at Low Temperatures; Stephens, R.I., Ed.; ASTM International: Philadelphia, PA, USA, 1985. [Google Scholar]
- Walters, C.L. The effect of low temperatures on the fatigue of high-strength structural grade steels. Procedia Mater. Sci. 2014, 3, 209–214. [Google Scholar] [CrossRef]
- Oku, T.; Sato, S.; Fujimura, T. The detection of embrittlement in steels by means of hardness measurements. Nucl. Struct. Eng. 1965, 2, 282–292. [Google Scholar] [CrossRef]
- Wada, T.; Fukuda, K. Effect of rolling in low temperature austenite region on strength, ductility and toughness of rail steels. J. Iron Steel Inst. Jpn. 1987, 73, 1162–1169. [Google Scholar] [CrossRef][Green Version]
- Parshin, V.A.; Rejkhart, V.A. Increase of low temperature rail service reliability. Steel Transl. 1993, 6, 55–58. [Google Scholar]
- Lebedev, V.I.; Tsarev, V.F.; Mogil’nyj, V.V.; Kozyrev, N.; Gavrilov, V.V. Experience of railroad rail production intended for service at low temperatures. Steel Transl. 1997, 12, 26–27. [Google Scholar]
- Yur’ev, A.B.; Godik, L.A.; Kozyrev, N.A.; Korneva, L.V.; Tokarev, A.V. Using Nitrovan alloy in the production of low-temperature rail steel. Steel Transl. 2008, 38, 756–758. [Google Scholar] [CrossRef]
- Moskovic, R. Modelling of fracture toughness data in the ductile to brittle transition temperature region by statistical analysis. Eng. Fract. Mech. 2002, 69, 511–530. [Google Scholar] [CrossRef]
- ASCE. Committee on fatigue and fracture reliability of the committee on structure safety and reliability of the structural division, Fatigue reliability 1–4. J. Struct. Eng. ASCE 1982, 108, 3–88. [Google Scholar]
- Wang, Y.Q.; Zhou, H.; Xi, W.; Shi, Y. Experimental study on mechanical properties of thermit joints of rail steels at low temperature. Trans. China Weld. Inst. 2010, 31, 13–18. [Google Scholar]
- Zhang, Z.M.; Li, Y.D.; Niu, Y.J.; Liu, X.X.; Zhang, G.C.; Zhang, L.Q. Variation of fracture toughness of metallic materials with temperature. Mech. Eng. 2010, 32, 43–48. [Google Scholar]
- Lyu, Y.Z.; Bergseth, E.; Olofsson, U. Open system tribology and influence of weather condition. Sci. Rep. 2016, 6, 32455. [Google Scholar] [CrossRef]
- Zhu, Y.; Lyu, Y.; Olofsson, U. Mapping the friction between railway wheels and rails focusing on environmental conditions. Wear 2015, 324–325, 122–128. [Google Scholar] [CrossRef]
- Zuo, Y.; Zhou, S.T.; Li, Z.D.; Pan, T.; Xiang, J.Z.; Yong, Q.L. Effect of V and Si on microstructure and mechanical properties of medium-carbon pearlitic steels for wheel. Chin. J. Mater. Res. 2016, 30, 401–408. [Google Scholar]

















| Roller | C | Si | Mn | P | S | Cr | Al | V |
|---|---|---|---|---|---|---|---|---|
| D1 wheel | 0.52 | 0.26 | 0.73 | 0.0060 | <0.002 | 0.25 | 0.023 | ≤0.005 |
| D2 wheel | 0.54 | 0.68 | 0.70 | 0.0047 | 0.0013 | 0.055 | 0.011 | 0.07 |
| Rail | 0.65~0.75 | 0.1~0.5 | 0.8~1.3 | ≤0.025 | ≤0.025 | - | - | - |
© 2020 by the authors. Licensee MDPI, Basel, Switzerland. This article is an open access article distributed under the terms and conditions of the Creative Commons Attribution (CC BY) license (http://creativecommons.org/licenses/by/4.0/).
Share and Cite
MA, L.; WANG, W.; GUO, J.; LIU, Q. Study on Wear and Fatigue Performance of Two Types of High-Speed Railway Wheel Materials at Different Ambient Temperatures. Materials 2020, 13, 1152. https://doi.org/10.3390/ma13051152
MA L, WANG W, GUO J, LIU Q. Study on Wear and Fatigue Performance of Two Types of High-Speed Railway Wheel Materials at Different Ambient Temperatures. Materials. 2020; 13(5):1152. https://doi.org/10.3390/ma13051152
Chicago/Turabian StyleMA, Lei, Wenjian WANG, Jun GUO, and Qiyue LIU. 2020. "Study on Wear and Fatigue Performance of Two Types of High-Speed Railway Wheel Materials at Different Ambient Temperatures" Materials 13, no. 5: 1152. https://doi.org/10.3390/ma13051152
APA StyleMA, L., WANG, W., GUO, J., & LIU, Q. (2020). Study on Wear and Fatigue Performance of Two Types of High-Speed Railway Wheel Materials at Different Ambient Temperatures. Materials, 13(5), 1152. https://doi.org/10.3390/ma13051152

