Experimental Study of an Enhanced Phase Change Material of Paraffin/Expanded Graphite/Nano-Metal Particles for a Personal Cooling System
Abstract
1. Introduction
2. Materials and Methods
2.1. Experimental Materials and Instruments
2.2. Preparation of PA/EG/Nano-Metal Composite PCMs
2.3. Adsorption Experiments
2.4. Performance Characterization of Composite PCM
2.5. Thermal Storage Experiment of Composite PCM
2.6. Thermal Cycle Experiment of Composite PCM
2.7. Volume Expansion Test of Composite PCM
3. Results
3.1. Optimized Proportion of EG
3.2. Effects of Spacing on System Thermal Performance
3.3. DSC (differential scanning calorimeter) Analysis
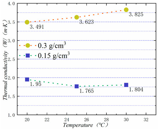
3.4. Thermal Conductivity
3.5. Heat Storage Analysis
3.6. Determination of Package Density
3.7. Thermal Stability Analysis
4. Conclusions
- 1
- When the proportion of EG is 11%, almost no leakage of molten PA occurs. The reticular structure of EG can effectively suppress the agglomeration of nano-metal Cu and Al, which makes it evenly distributed and well compounded in the PA-EG-based composite PCM.
- 2
- A screening of the different nano-metal particles and different mass fractions added reveals that PA-EG (11%)-Cu (1.9%) is the best-performing cooling PCM. As this composite PCM substantially improves the thermal conductivity, its phase change enthalpy decreases very little, and the phase change temperature satisfies the most suitable temperature range of the human body. Thus, it can be well applied in cooling clothes.
- 3
- The comparison of heat storage analysis between screened PA-EG-Cu and PA-EG indicates that the heat storage speed of the composite PCM with the addition of nano-metal Cu particles is accelerated and the heat storage capacity is strengthened. The thermal stability of PA-EG-Cu is analyzed, and its mass loss tends toward a stable state in the later stage. Thus, it has a high life in the application process.
Author Contributions
Funding
Conflicts of Interest
References
- Wen, Y.; Chan, A.P.C. Optimizing work–rest schedule for construction rebar workers in hot and humid environment. Build. Environ. 2013, 61, 104–113. [Google Scholar]
- Tian, Z.; Zhu, N.; Zheng, G.; Wei, H. Experimental study on physiological and psychological effects of heat acclimatization in extreme hot environments. Build. Environ. 2011, 46, 2033–2041. [Google Scholar] [CrossRef]
- Lu, S.; Zhua, N. Experimental research on physiological index at the heat tolerance limits in China. Build. Environ. 2007, 42, 4016–4021. [Google Scholar] [CrossRef]
- Shvartz, E. Efficiency and effectiveness of different water cooled suits—A review. Aerosp. Med. 1972, 43, 488–491. [Google Scholar] [PubMed]
- Johnson, J.K. Evaluation of Four Portable Cooling Vests for Workers Wearing Gas Extraction Coveralls in Hot Environments. Master’s Thesis, University of South Florida, Tampa, FL, USA, 6 March 2013. [Google Scholar]
- Gao, C.; Kuklane, K.; Holmér, I. Cooling vests with phase change materials: The effects of melting temperature on heat strain alleviation in an extremely hot environment. Eur. J. Appl. Physiol. 2011, 111, 1207–1216. [Google Scholar] [CrossRef]
- Flouris, A.D.; Cheung, S.S. Design and Control Optimization of Microclimate Liquid Cooling Systems Underneath Protective Clothing. Ann. Biomed. Eng. 2006, 34, 359–372. [Google Scholar] [CrossRef] [PubMed]
- Nunneley, S.A. Water cooled garments: A review. Space Life Sci. 1971, 2, 335–360. [Google Scholar] [CrossRef]
- Hunter, I.; Hopkins, J.T.; Casa, D.J. Warming up with an ice vest: Core body temperature before and after cross-country racing. J. Athl. Train. 2005, 41, 371–374. [Google Scholar]
- Chan, A.P.C.; Yi, W.; Wong, F.K.W. Evaluating the effectiveness and practicality of a cooling vest across four industries in Hong Kong. Facilities 2014, 34, 511–534. [Google Scholar] [CrossRef]
- Chan, A.P.C.; Yang, Y.; Wong, D.P.; Lam, E.W.M.; Li, Y. Factors affecting horticultural and cleaning workers’ preference on cooling vests. Build. Environ. 2013, 66, 181–189. [Google Scholar] [CrossRef]
- Chan, A.P.C.; Yang, Y.; Yam, M.C.H.; Lam, E.W.M.; Hu, J.Y. Factors affecting airport apron workers’ preference on cooling vests. Perform. Enhanc. Heal. 2016, 5, 17–23. [Google Scholar] [CrossRef]
- Chan, A.P.C.; Yang, Y.; Song, W.; Wong, D.P. Hybrid cooling vest for cooling between exercise bouts in the heat: Effects and practical considerations. Therm. Biol. 2016, 63, 1–9. [Google Scholar] [CrossRef] [PubMed]
- Chan, A.P.C.; Zhang, Y.; Wang, F.; Wong, F.F.K.; Chan, D.W.M. A field study of the effectiveness and practicality of a novel hybrid personal cooling vest worn during rest in Hong Kong construction industry. J. Therm. Biol. 2017, 21–27. [Google Scholar] [CrossRef] [PubMed]
- Kaygusuz, K.; Sari, A. Thermal Energy Storage System Using a Technical Grade Paraffin Wax as Latent Heat Energy Storage Material. Energy Sources 2005, 27, 1535–1546. [Google Scholar] [CrossRef]
- Mikhaylov, A.A.; Medvedev, A.G.; Grishanov, D.A.; Sladkevich, S.; Xu, Z.J.; Sakharov, K.; Prikhodchenko, P.V.; Lev, O. Doubly Coated, Organic–Inorganic Paraffin Phase Change Materials: Zinc Oxide Coating of Hermetically Encapsulated Paraffins. Adv. Mater. Interfaces 2019, 6, 1900368. [Google Scholar] [CrossRef]
- Lee, H.-S.; Park, J.-H.; Yim, J.-H.; Seo, H.-J.; Son, T.-W. Preparation and Properties of Shape-Stabilized Phase Change Materials from UHMWPE and Paraffin Wax for Latent Heat Storage. Polymer Korea 2015, 39, 23–32. [Google Scholar] [CrossRef][Green Version]
- Ghassemiparvin, B.; Ghalichechian, N. Reconfigurable Millimeter-Wave Antennas Using Paraffin Phase Change Materials. EUCAP 2016, 2164–3342. [Google Scholar] [CrossRef]
- Xu, B.; Wang, B.; Zhang, C.; Zhou, J. Synthesis and light-heat conversion performance of hybrid particles decorated MWCNTs/paraffin phase change materials. Thermochim. Acta 2017, 652, 77–84. [Google Scholar] [CrossRef]
- Elgafy, A.; Lafdi, K. Effect of carbon nanofiber additives on thermal behavior of phase change materials. Carbon 2005, 43, 3067–3074. [Google Scholar] [CrossRef]
- Wang, J.; Xie, H.; Xin, Z.; Li, Y.; Chen, L. Enhancing thermal conductivity of palmitic acid based phase change materials with carbon nanotubes as fillers. Sol. Energy 2010, 84, 339–344. [Google Scholar] [CrossRef]
- Wang, J.; Xie, H.; Xin, Z. Thermal properties of paraffin based composites containing multi-walled carbon nanotubes. Thermochim. Acta 2009, 488, 39–42. [Google Scholar] [CrossRef]
- Tian, Y.; Zhao, C.Y. A numerical investigation of heat transfer in phase change materials (PCMs) embedded in porous metals. Energy 2011, 36, 5539–5546. [Google Scholar] [CrossRef]
- Peng, C.; Gao, X.; Wang, Y.; Xu, T.; Fang, Y.; Zhang, Z.Z. Metal foam embedded in SEBS/paraffin/HDPE form-stable PCMs for thermal energy storage. Sol. Energy Mater. Sol. Cells 2016, 149, 60–65. [Google Scholar]
- Li, Y.; Li, J.; Deng, Y.; Guan, W.; Wang, X.; Qian, T. Preparation of paraffin/porous TiO2 foams with enhanced thermal conductivity as PCM, by covering the TiO2 surface with a carbon layer. Appl. Energy 2016, 171, 37–45. [Google Scholar] [CrossRef]
- Philip, D.M., Jr.; Alam, T.; Kamal, R.; Goswami, D.Y.; Stefanakos, E. Nitrate salts doped with CuO nanoparticles for thermal energy storage with improved heat transfer. Appl. Energy 2016, 165, 225–233. [Google Scholar]
- Wu, S.; Zhu, D.; Zhang, X.; Huang, J. Preparation and Melting/Freezing Characteristics of Cu/Paraffin Nanofluid as Phase-Change Material (PCM). Energy Fuel. 2010, 24, 1894–1898. [Google Scholar] [CrossRef]
- Agyenim, F.; Eames, P.; Smyth, M. A comparison of heat transfer enhancement in a medium temperature thermal energy storage heat exchanger using fins. Sol. Energy 2009, 83, 1509–1520. [Google Scholar] [CrossRef]
- Gharebaghi, M.; Sezai, I. Enhancement of Heat Transfer in Latent Heat Storage Modules with Internal Fins. Numer. Heat Transf. 2008, 53, 749–765. [Google Scholar] [CrossRef]
- Shatikian, V.; Ziskind, G.; Letan, R. Numerical investigation of a PCM-based heat sink with internal fins. Int. J. Heat Mass Transf. 2005, 48, 3689–3706. [Google Scholar] [CrossRef]
- Lafdi, K.; Mesalhy, O.; Elgafy, A. Graphite foams infiltrated with phase change materials as alternative materials for space and terrestrial thermal energy storage applications. Carbon 2008, 46, 159–168. [Google Scholar] [CrossRef]
- Zhong, Y.; Guo, Q.; Li, S.; Shi, J.; Liu, L. Heat transfer enhancement of paraffin wax using graphite foam for thermal energy storage. Sol. Energy Mater. Sol. Cells 2010, 94, 1011–1014. [Google Scholar] [CrossRef]
- Py, X.; Olives, R.; Mauran, S. Paraffin/porous-graphite-matrix composite as a high and constant power thermal storage material. Int. J. Heat Mass Transf. 2001, 44, 2727–2737. [Google Scholar] [CrossRef]
- Sar, A.; Karaipekli, A. Thermal conductivity and latent heat thermal energy storage characteristics of paraffin/expanded graphite composite as phase change material. Appl. Therm. Eng. 2007, 27, 1271–1277. [Google Scholar] [CrossRef]
- Sari, A.; Karaipekli, A.; Kaygusuz, K. Fatty Acid/Expanded Graphite Composites as Phase Change Material for Latent Heat Thermal Energy Storage. Energy Sources 2008, 30, 464–474. [Google Scholar] [CrossRef]
- Zhong, Y.; Li, S.; Wei, X.; Liu, Z.; Guo, Q.; Shi, J.; Liu, L. Heat transfer enhancement of paraffin wax using compressed expanded natural graphite for thermal energy storage. Carbon 2010, 48, 300–304. [Google Scholar] [CrossRef]
- Xia, L.; Zhang, P.; Wang, R.Z. Preparation and thermal characterization of expanded graphite/paraffin composite phase change material. Carbon 2010, 48, 2538–2548. [Google Scholar] [CrossRef]
- Wang, W.; Yang, X.; Fang, Y.; Ding, J.; Yan, J. Preparation and thermal properties of polyethylene glycol/expanded graphite blends for energy storage. Appl. Energy 2009, 86, 1479–1483. [Google Scholar] [CrossRef]
- Sar, A.; Karaipekli, A. Preparation, thermal properties and thermal reliability of palmitic acid/expanded graphite composite as form-stable PCM for thermal energy storage. Sol. Energy Mater. Sol. Cells 2009, 93, 571–576. [Google Scholar] [CrossRef]
- Zhang, Z.; Fang, X. Study on paraffin/expanded graphite composite phase change thermal energy storage material. Energy Convers. Manag. 2006, 47, 303–310. [Google Scholar] [CrossRef]
- Alrashdan, A.; Mayyas, A.T.; Al-Hallaj, S. Thermo-mechanical behaviors of the expanded graphite-phase change material matrix used for thermal management of Li-ion battery packs. J. Mater. Process. Technol. 2010, 210, 174–179. [Google Scholar] [CrossRef]
- Mazman, M.; Cabeza, L.F.; Mehling, H.; Miquel, N.; Evliya, H.; Paksoy, H.O. Utilization of phase change materials in solar domestic hot water systems. Renew. Energy 2009, 34, 1639–1643. [Google Scholar] [CrossRef]





















| Name | Molecular Formula | Melting Temperature (°C) | Latent Heat (J/g) |
|---|---|---|---|
| N-octadecane | C18H38 | 28.2 | 242.67 |
| N-eicosane | C20H42 | 36.6 | 246.86 |
| Samples | Composition (wt %) | Samples | Composition (wt %) |
|---|---|---|---|
| PCM1 | PA | PCM12 | PA–EG11-Al3 |
| PCM2 | PA–EG11 | PCM13 | PA–EG11-Fe0.7 |
| PCM3 | PA–EG11-Cu0.7 | PCM14 | PA–EG11-Fe1.1 |
| PCM4 | PA–EG11-Cu1.1 | PCM15 | PA–EG11-Fe1.5 |
| PCM5 | PA–EG1-+Cu1.5 | PCM16 | PA–EG11-Fe1.9 |
| PCM6 | PA–EG11-Cu1.9 | PCM17 | PA–EG11-Fe3 |
| PCM7 | PA–EG11-Cu3 | PCM18 | PA–EG11-Ni0.7 |
| PCM8 | PA–EG11-Al0.7 | PCM19 | PA–EG11-Ni1.1 |
| PCM9 | PA–EG11-Al1.1 | PCM20 | PA–EG11-Ni1.5 |
| PCM10 | PA–EG11-Al1.5 | PCM21 | PA–EG11-Ni1.9 |
| PCM11 | PA–EG11-Al1.9 | PCM22 | PA–EG11-Ni3 |
| Experiment No. | Density (g/cm3) | Bottom Diameter (mm) | Height (mm) | Volume (cm3) |
|---|---|---|---|---|
| 1 | 0.15 | 10 | 10 | 0.785 |
| 2 | 0.3 | 10 | 10 | 0.785 |
| 3 | 0.4 | 10 | 10 | 0.785 |
| 4 | 0.6 | 10 | 10 | 0.785 |
| 5 | 0.7 | 10.32 | 10.12 | 0.846 |
| 6 | 0.8 | 10.96 | 10.64 | 1.003 |
| 7 | 0.9 | 12.37 | 10.87 | 1.306 |
© 2020 by the authors. Licensee MDPI, Basel, Switzerland. This article is an open access article distributed under the terms and conditions of the Creative Commons Attribution (CC BY) license (http://creativecommons.org/licenses/by/4.0/).
Share and Cite
Ma, C.; Zhang, Y.; Chen, X.; Song, X.; Tang, K. Experimental Study of an Enhanced Phase Change Material of Paraffin/Expanded Graphite/Nano-Metal Particles for a Personal Cooling System. Materials 2020, 13, 980. https://doi.org/10.3390/ma13040980
Ma C, Zhang Y, Chen X, Song X, Tang K. Experimental Study of an Enhanced Phase Change Material of Paraffin/Expanded Graphite/Nano-Metal Particles for a Personal Cooling System. Materials. 2020; 13(4):980. https://doi.org/10.3390/ma13040980
Chicago/Turabian StyleMa, Chuyuan, Ying Zhang, Xianfeng Chen, Xiande Song, and Kaixuan Tang. 2020. "Experimental Study of an Enhanced Phase Change Material of Paraffin/Expanded Graphite/Nano-Metal Particles for a Personal Cooling System" Materials 13, no. 4: 980. https://doi.org/10.3390/ma13040980
APA StyleMa, C., Zhang, Y., Chen, X., Song, X., & Tang, K. (2020). Experimental Study of an Enhanced Phase Change Material of Paraffin/Expanded Graphite/Nano-Metal Particles for a Personal Cooling System. Materials, 13(4), 980. https://doi.org/10.3390/ma13040980

