Abstract
With the premise of ensuring workability on a fresh mixture, the volume stability of hardened self-compacting steel fiber reinforced concrete (SFRC) becomes an issue due to the content of cementitious materials increased with the volume fraction of steel fiber. By using the expansive agent to reduce the shrinkage deformation of self-compacting SFRC, the strength reduction of hardened self-compacting SFRC is another issue. To solve these issues, this paper performed an experimental investigation on the workability, shrinkage, and mechanical properties of self-compacting SFRC compared to the self-compacting concrete (SCC) with or without an expansive agent. The calcium-sulfoaluminate expansive agent with content optimized to be 10% mass of binders and the steel fiber with a varying volume fraction from 0.4% to 1.2% were selected as the main parameters. The mix proportion of self-compacting SFRC with expansive agent was designed by the direct absolute volume method, of which the steel fibers are considered to be the distributed coarse aggregates. Results showed that rational high filling and passing ability of fresh self-compacting SFRC was ensured by increasing the binder to coarse-aggregate ratio and the sand ratio in the mix proportions; the autogenous and drying shrinkages of hardened self-compacting SFRC reduced by 22.2% to 3.2% and by 18.5% to 7.3% compared to those of the SCC without expansive agent at a curing age of 180 d, although the expansion effect of expansive agent decreased with the increasing volume fraction of steel fiber; the mechanical properties, including the compressive strength, the splitting tensile strength, and the modulus of elasticity increased with the incorporation of an expansive agent and steel fibers, which met the design requirements.
1. Introduction
To overcome the casting difficulty of concrete in structural members and joints with complex shapes and dense reinforcements, and to reduce the environmental pollution of vibration noise, a high-performance self-compacting steel fiber reinforced concrete (SFRC) becomes more and more applicable in engineering structures [1,2,3,4]. Self-compacting SFRC not only realizes the self-compacting performance with high passing and filling workability without segregation and bleeding, but also overcomes the brittleness of self-compacting concrete (SCC) by using steel fibers [5,6,7].
Based on literatures reported, many previous works sacrificed the workability of SCC to inhibit the shrinkage by using the constant mix proportion of base materials without adjusting with the increase of volume fraction of steel fiber. Aslani and Nejadi [8] reported that the drying shrinkage of SCC was reduced by 9.3% at 364 d by directly admixing hooked-end steel fiber (circular section, lf = 60 mm, df = 0.75 mm) with volume fraction vf = 0.38%, but the diameter of J-ring flow was decreased by 11.5%. Corinaldesi and Moriconi [9] reported that by admixing the hooked-end steel fiber (circular section, lf = 30 mm, df = 0.7 mm) with volume fraction vf = 0.64%, the drying shrinkage of SCC decreased about 37.5%, while the time T50 of slump-flow to diameter of 50 cm and the elapsed time to gain the final configuration increased respectively by 50% and 30%. Grabois et al. [10] studied the self-compacting lightweight concrete which prepared with coarse and fine lightweight aggregates by adding hooked-end steel fiber (circular section, lf = 35 mm, df = 0.55 mm) with volume fraction vf = 0.5%, and the drying shrinkage decreased about 7%, but the V-funnel flow time increased by 30 s. Meng and Khayat [11] investigated the effect of hybrid fibers on properties of ultra high-performance concrete, of which the straight steel fiber (circular section, lf = 13 mm, df = 0.2 mm) and the hooked-end steel fiber (circular section, lf = 30 mm, df = 0.5 mm) were used. Results showed that the autogenous shrinkage reduced by 30% with the increase of vf from 2% to 5%, but the V-funnel time increased by 61.5%. Bensaci et al. [12] found that although the drying shrinkage of self-compacting SFRC reduced by 33% with the vf increased from 0% to 1%, the workability became bad with an increase of the T50 by 81.4%. Therefore, these studies did not take into account the shrinkage performance of hardened self-compacting SFRC with the premise of ensuring workability on a fresh mixture. This produces the hidden issue in casting and molding quality of self-compacting SFRC. One of the risks is the strength reduction of self-compacting SFRC. In the study of Bensaci et al. [12], the cubic compressive strength decreased by 9.36% with the vf having increased from 0% to 1.5%. Grabois et al. [10] also found that the V-funnel flow time of self-compacting lightweight concrete increased 30 s by using steel fiber with a volume fraction of vf = 0.5%, and the cylindrical compressive strength decreased by 14.3%. Khaloo et al. [13] reported that with the increasing vf from 0% to 2% of hooked-end steel fiber (rectangular section, lf = 20.4 mm), the slump-flow reduced from 800 mm to 640 mm, while the cylindrical compressive strength reduced by 18.6%.
In order to improve the workability of self-compacting SFRC, the mix proportion should be adjusted. El-Dieb and Reda [14] studied the effect of fiber factor (the product of the aspect ratio with the volume fraction) and cementitious material content on properties of fresh mixture. Results indicated that with the maximum fiber factor of 50, 90, and 100, the cement content of mixtures should increase to 350 kg/m3, 400 kg/m3 and 500 kg/m3, respectively. By keeping a constant thickness of mortar wrapped on the fibers and coarse-aggregates, Khayat et al. [15,16] produced the self-compacting SFRC with high filling and passing ability and sufficient stability, of which the cementitious materials was 475 kg/m3, and the dosage of coarse-aggregate was reduced 8.8% with the vf = 0.5%. Ding et al. [17,18] proposed a method to get a result of indirect reduction of the coarse-aggregate content by regarding steel fibers as coarse-aggregates, of which the binders’ content and sand ratio were increased with the volume fraction of steel fiber. However, with the premise of ensuring the workability of a fresh mixture by adjusting mix proportion, the hardened self-compacting SFRC faces a problem of great shrinkage compared with SCC due to the content of cementitious materials increased with the volume fraction of steel fiber [16,17,18,19,20]. An experimental study exhibited that to keep the diameter of slump-flow at 600 mm for the self-compacting SFRC with the vf of hooked-end steel fiber (circular section, lf = 30 mm, df = 0.5 mm) increased from 0% to 1.4%, the binders content was increased by 16.3% and the dosage of coarse-aggregate was reduced by 35%. In this condition, the autogenous and drying shrinkages respectively increased by 19.8% and 53% [21].
In general, the contradictory changes of workability and shrinkage of self-compacting SFRC are difficult to harmonize by only adjusting the contents of base materials of SCC with steel fibers. The greater shrinkage of self-compacting SFRC is needed to be controlled by a means of adding an expansive agent [22,23]. Su et al. [24] reported that the drying shrinkage of ultra high-performance concrete was reduced 29.5% by using a calcium–magnesium composite expansive agent. Choi et al. [25] found that the shrinkage of alkali activated material mortar was reduced by 23.1% due to admixing calcium-sulfoaluminate expansive agent. However, this also raises another problem of the reduction of compressive strength of SCC. He et al. [26] pointed out that when the dosage of calcium-aluminate expansive agent was less than 9%, the cubic compressive strength of SCC decreased by 9.6%. Li et al. [27] found that the cubic compressive strength of SCC decreased by 11.5% by adding a calcium-sulfoaluminate and calcium-oxide composite expansive agent. This mainly comes down to the transversal deformation with the unconfined expansion of SCC specimens. Therefore, the presence of steel fibers in SCC could confine the expansion [28,29], the expansion rate abated 81.5% of self-compacting SFRC with steel fiber (circular section, lf = 35 mm, df = 0.55 mm) of vf = 0.75% compared to that of SCC under the standard curing condition at (20 ± 2) °C temperature and RH ≥ 95%, while a slight decrease of the expansion rate at about 0.07% of self-compacting SFRC with the vf = 0.25–0.75% was produced under the sealed cure and top-surface exposure curing conditions. uAfroughsabet et al. [30] presented that the conventional SFRC with K-type expansive cement was improved by 28.4% of cylindrical compressive strength and 39.2% of splitting tensile strength with the vf = 1.0% hooked-end steel fibers, while the expansion was fully cancelled due to the inhibition effect of fibers. Geng et al. [31] also reported that to ensure the workability of a fresh mixture by increasing 7% binder and reducing 8.8% coarse-aggregate, the drying shrinkage of conventional SFRC with the vf = 0.8% increased by 22.2%, which could not be removed by adding expansive agent. This means that a coordination exists between the dosage of expansive agent and the content of steel fiber to get the balance of expansion and shrinkage for self-compacting SFRC.
Based on the above analyses, the workability, shrinkage, and strength of self-compacting SFRC are complexly affected by the proportion of base materials of SCC, the content of steel fiber, and the addition of expansive agent. For engineering application, the study should be done on the premise of a rational workability of self-compacting SFRC with different volume fraction of steel fiber, and then the effect of considered parameters on basic mechanical properties and shrinkage of self-compacting SFRC should be verified to satisfy the design requirements. According to this technical route, this paper investigates the workability, mechanical properties, and shrinkage of self-compacting SFRC with calcium-sulfoaluminate expansive agent. The optimal dosage of the expansive agent was firstly determined, and the volume fraction of steel fiber was selected as the main parameter. The mix proportion of self-compacting SFRC was designed with the absolute volume method, of which steel fibers are considered as the distributed coarse aggregates. Results are discussed combined with the influencing mechanisms of studied properties.
2. Experimental Works
2.1. Raw Materials
Ordinary Portland cement in strength grade of 42.5, fly ash of class-II and limestone powder were used as binder. The chemical compositions are presented in Table 1, of which LOI is the loss on ignition. The physical and mechanical properties are presented in Table 2 and Table 3. Their properties met the relevant specifications of China codes GB 175, GB/T 1596 and GB/T 35164 [32,33,34].
Table 1.
Chemical compositions of binder materials.
Table 2.
Physical and mechanical properties of ordinary silicate cement.
Table 3.
Physical and mechanical performances of fly ash and limestone powder.
The fine aggregate was manufactured sand with a fineness modulus of 2.9 and the density of 2689 kg/m3. The coarse aggregate was crushed limestone with a maximum particle size of 16 mm and density of 2766 kg/m3. The water absorption of fine and coarse aggregates was 2.0% and 1.18% respectively, which were considered to adjust the water dosage of the mixture. The grading curves of fine and coarse aggregates presented in Figure 1 met the specifications of China codes GB/T 14684 and GB/T 14685 [35,36]. The steel fiber has hook-ends with the circular section as exhibited in Figure 2, the length lf = 29.8 mm and the diameter df = 0.5 mm, the aspect ratio lf/df = 60, the tensile strength was 1150 MPa.
Figure 1.
Grading of fine and coarse aggregates.
Figure 2.
Type and size of steel fiber.
The calcium-sulfoaluminate expansive agent was used, the properties met the requirement of China code GB 23439 [37]. The optimal dosage of expansive agent was 10% mass of binder materials on the analysis of experimental results about the compressive strength and restrained expansion rate of cement mortar. Polycarboxylate superplasticizer with the water-reducing ratio up to 25% and the solid content of 21% was also used. Both of them were produced by Jiangsu Sobute New Materials Co. Ltd. of China (Nanjing, China). The mixing water was tap-water.
2.2. Mix Proportions
In this study, the main parameter was the volume fraction of steel fiber vf = 0.4%, 0.8% and 1.2%. The strength grade of concrete was 40 MPa, and the target cubic compressive strength was 46.6 MPa. Based on previous studies [17,18,19], the water-to-binder ratio w/b = 0.31, the fly ash and limestone powder were added to the replacement of binder materials by mass of 10% and 20%, respectively. The mix proportions were determined by using the absolute volume method, results are shown in Table 4, of which the binder to coarse-aggregate ratio and sand ratio increased with the vf, while the dosage of coarse aggregate decreased. The SCC trial was used as a reference without expansive agent, the SF0 was the SCC with expansive agent, the SF4, SF8, and SF12 were self-compacting SFRC with expansive agent and vf = 0.4%, 0.8% and 1.2% respectively.
Table 4.
Mix proportion of SCC and self-compacting SFRC.
2.3. Test Methods of Workability
The slump-flow and J-ring tests by the method of reversal slump cone for the workability of fresh SCC and self-compacting SFRC were conducted in accordance with EFNARC [38], ASTM C1611/C1611M-09 [39] and China codes JGJ/T 283 [40] and CECS 13 [41]. The indexes of the diameter of slump-flow (D), the time of slump-flow to diameter of 50cm (T50), and the difference of diameter between slump-flow and J-ring flow (D-DJ) were selected to evaluate the filling and passing ability of fresh mixture. The initial target values are shown in Table 5.
Table 5.
Workability of self-compacting SFRC.
2.4. Tests for Shrinkage Properties
The deformation of autogenous shrinkage was measured by using the dial indicator with accuracy of 0.001 mm. The cylindrical specimens of Φ150 mm × 450 mm, two of them as a trial, were casted with special steel formwork. After casting and until demolding, the surfaces of specimens were covered by a waterproof plastic film to prevent the evaporation of water. All specimens were demolded after 24 h, and then sealed with polyester film and PVC sleeve immediately. As presented in Figure 3, the embedded parts were fixed in the reserved grooves on both sides of specimens with epoxy resin, the gauge copper rods and dial indicators were installed, and then the initial readings were measured. All specimens were tested in a chamber with constant temperature of (20 ± 2) °C and relative humidity RH = (60 ± 5)%. Autogenous shrinkage was calculated by Equation (1):
where, εas,t is the autogenous shrinkage (με) of specimen at t (d) age which computed initially at the specimen moved into the chamber; εt is the reading of dial indicator at t (d) age; ε0 is the initial reading of dial indicator; Lb is the distance between two embedded parts, Lb = 250 mm in this test.
Figure 3.
Sketch of specimens and measuring device for autogenous shrinkage deformation. 1—Cylinder specimen; 2—Dial indicator; 3—Gauge copper rod; 4—Embedded parts.
The drying shrinkage was measured in accordance with the China code JG/T 472 [42]. The prism specimens of 100 mm × 100 mm × 515 mm were used, three of them were tested as a trial. As displayed in Figure 4, the copper probes were embedded in ends of the mold before casting. After casting and until demolding, the surface of specimens was covered by a waterproof plastic film to prevent the evaporation of water. All specimens were demolded after 24 h and cured in a standard curing room with temperature of (20 ± 2) °C and RH of 95% for 2 days, and then moved into a chamber with constant temperature of (20 ± 2) °C and RH of (60 ± 5)%, while the initial length of specimen was measured immediately. The length of specimen was measured by using outside micrometer with accuracy of 0.001 mm. Drying shrinkage was calculated by Equation (2):
where, εds,t represents the drying shrinkage deformation (με) of specimen at t (d) age which computed initially at the specimen moved into the chamber; Lt is the length of specimen at t (d) age; L0 is the initial length of specimen; L0 = 515 mm; b is the embedded depth of copper probe, b = 22.5 mm in this test.
Figure 4.
Measuring of drying shrinkage for self-compacting SFRC.
2.5. Tests for Mechanical Properties
Test methods of mechanical properties of self-compacting SFRC were in accordance with China code JG/T 472 [42], ASTM C39 [43] and BS EN 12390-3-2009 [44]. For each mixture of self-compacting SFRC, six cubic specimens with dimensions of 150 mm and six cylinders with dimensions of Φ150 mm × 300 mm were made. Three of the cubic specimens as a trial were tested respectively for the cubic compressive strength and the splitting tensile strength. Three of the cylinders as a trial were respectively tested for the axial compressive strength and the modulus of elasticity. All specimens were demolded after 24 h and cured in a standard curing room with temperature of (20 ± 2) °C and RH of 95% for 28d before testing.
3. Results and Discussion
3.1. Workability of Fresh Self-Compacting SFRC
Test results are exhibited in Table 5 and displayed in Figure 5. Generally, the workability of self-compacting SFRC characterized by the diameter of slump-flow (D), the time of slump-flow to a diameter of 50 cm (T50), and the difference of diameter between slump-flow and J-ring flow (D-DJ) met the requirement of target values. Moreover, no segregation and bleeding were observed with the increase of sand ratio, and the high filling and passing ability of self-compacting SFRC was ensured by increasing the binder to coarse-aggregate ratio and the sand ratio. Comparing the values between SF0 and SCC, a slight influence of expansive agent can be seen to have existed on the workability of SCC. With the vf increased from 0.4% to 1.2%, the DJ decreased by 2.9% and the T50 increased by 16.4%, while the D-DJ increased from 20 mm to 30 mm, indicating that the viscosity increased and the passing ability decreased by the presence of steel fibers; however, the slump-flow did not vary obviously due to the increase of binder to coarse-aggregate ratio. According to EFNARC [38], the slump-flow of self-compacting SFRC can be classified as SF2-class (660–750 mm). According to China code JGJ/T 283 [40], the workability of self-compacting SFRC met the PA1-level with D-DJ lower than 50 mm.
Figure 5.
Variations of workability indexes with vf: (a) Diameter of slump-flow and J-ring flow; (b) T50.
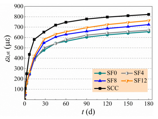
3.2. Autogenous Shrinkage of Hardened Self-Compacting SFRC
The test results of autogenous shrinkage of specimens are exhibited in Table 6 and Figure 6, and the growth of expansive deformation is displayed in Figure 7, of which the negative and positive values of Y-axis are the expansive and shrinkage deformation, respectively. In general, the autogenous shrinkage grew rapidly within the first month and then developed slowly and tended to be steady [11,20,45]. The SCC had a highest autogenous shrinkage due to no expansive agent admixed, and the SF0 had a lowest autogenous shrinkage due to the free development of expansive deformation. With the increase of the vf from 0.4% to 1.2%, the autogenous shrinkage of self-compacting SFRC compared with SCC at 180 d reduced by 22.2% to 3.2%. The change of autogenous shrinkage of self-compacting SFRC with a varying vf is controlled by the complex effect of steel fibers. On the one hand, the rigid skeleton support of steel fibers reduces the autogenous shrinkage of self-compacting SFRC. On the other hand, the bridging effect of steel fibers confines the expansion of self-compacting SFRC. In this study, the autogenous shrinkage of self-compacting SFRC increased due to the weakness of aggregate skeleton with the increase of binder to coarse-aggregate ratio and sand ratio, while the expansion of self-compacting SFRC changed slightly with a constant dosage of expansive agent. Therefore, with the increase of the vf from 0.4% to 1.2%, the expansion rate of self-compacting SFRC reduced 58.2% at the early 3 d, and the expansive time of SF12 was shorted as about half of SF4. Similar results were reported in literatures [28,29,30]. This led to the higher autogenous shrinkage before 90 d, and the autogenous shrinkage at 28 d of SF12 was about twice that of SF4. With the increase of curing age, however, the autogenous shrinkage of self-compacting SFRC decreased by the bridging effect of steel fibers strengthened with the increase of vf. In this study, the autogenous shrinkage of SF4 and SF8 still grew obviously after 90 d, but the autogenous shrinkage of SF12 tended to be steady, which led to the autogenous shrinkage of self-compacting SFRC decreasing with the increased vf from 0.4% to 1.2% after 90 d.
Table 6.
Autogenous shrinkage of SCC and self-compacting SFRC.
Figure 6.
Autogenous shrinkage of tested specimens.
Figure 7.
Changes of expansive deformation with the vf.
3.3. Drying Shrinkage of Hardened Self-Compacting SFRC
The test results of drying shrinkage of specimens are exhibited in Table 7 and Figure 8. After the commencement of drying, the shrinkage rate developed rapidly and more than 50% of shrinkage happened within the first month [8–10,12,45]. The drying shrinkage at 180 d of SF0 decreased 20.3% compared with SCC due to the compensation effect of expansive agent. With the increase of the vf from 0.4% to 1.2%, the drying shrinkage at 180 d of self-compacting SFRC compared with SCC reduced by 18.5% to 7.3% due to the increase of inhibition effect of steel fibers. Meanwhile, the drying shrinkage of SF12 with the comparison of SF0 was increased by 16.3%. The change of drying shrinkage of self-compacting SFRC with a varying vf was also influenced by the complex effect of binder materials and steel fibers. The increased binder to coarse-aggregate ratio and sand ratio had negative effects on the reduction of drying shrinkage of self-compacting SFRC due to the weakness of aggregate skeleton and the inevitable loss of free water from macro and micro pores of concrete. Oppositely, the steel fibers provided a rigid skeleton support to reduce the drying shrinkage of self-compacting SFRC. Generally, with the aid of expansive agent, the self-compacting SFRC had a reduced drying shrinkage than SCC, and an increased drying shrinkage with the volume fraction of steel fiber.
Table 7.
Drying shrinkage of SCC and self-compacting SFRC.
Figure 8.
Drying shrinkage of tested specimens.
3.4. Compressive Strength
The test results of cubic compressive strength (fcu) and axial compressive strength (fc) of specimens are shown in Figure 9. All reached the target cubic compressive strength of 46.6 MPa. Due to the unconfined transversal expansion of specimens with the addition of expansive agent, the fcu and fc of SF0 compared with SCC decreased by 10.5% and 2.7%. This is similar as it was reported the expansive agent has more influence on cubic compressive strength than axial compressive strength of SCC [26,27]. With the increase of the vf from 0.4% to 1.2%, the fcu and fc of self-compacting SFRC increased by 3.2% and 9.1%. This attributes to the inhibition effect of steel fiber on the unconfined transversal expansion of specimens; the cubic specimens were less inhibited than the cylinder specimens due to the different height of specimens. Differing from that the compressive strength of self-compacting SFRC reduced with the increase of the vf reported [10,12,13,19], the compressive strength of self-compacting SFRC in this study trends to be increased with the incorporation of expansive agent and steel fibers.
Figure 9.
Compressive strength of tested specimens.
3.5. Splitting Tensile Strength
The test results of splitting tensile strength (ft) of specimens are shown in Table 8. The splitting tensile strength of SF0 compared with SCC had a slight reduction of 3.5%, while the splitting tensile strength of self-compacting SFRC was improved obviously [17,19]. With the increase of the vf from 0.4% to 1.2%, the ft increased by 59.8%. This may be attributed to the self-prestress effect. The cementitious matrix expansion confined by steel fibers leads a reciprocal interfacial stress between fibers and matrix, which induces an internal uniform compressive prestress of matrix, and improves the chemical bond between steel fibers and cementitious matrix [30,46].
Table 8.
Tested and calculated values of the splitting tensile strength of specimens.
By using Equation (3) in China code JGT 472 [42], the tested values (ft) and calculated values (ft,c) are compared in Table 8. The mean value of ft/ft,c was 0.948, with a dispersion coefficient of 0.071. This indicates that the Equation (3) can be used to predict the splitting tensile strength of self-compacting SFRC with expansive agent.
where, ft is splitting tensile strength of SCC; λf is the fiber factor, i.e., the product of vf and lf/df.
3.6. Modulus of Elasticity
Test results of the modulus of elasticity (Ec) of specimens are presented in Table 9. The value of SF0 was 10.3% lower than that of SCC. Due to the inhabitation of steel fibers to transverse deformation of self-compacting SFRC under axial compression, the modulus of elasticity increased with the vf. In this study, with the increase of the vf from 0.4% to 1.2%, the Ec increased by 17.0%. With Equation (4) used for conventional concrete [47], the predicted values Ec,c of the modulus of elasticity of self-compacting SFRC are presented in Table 9. The mean ratio of Ec/Ec,c is 1.125, with a dispersion coefficient of 0.056. A conservative predicted modulus of elasticity of self-compacting SFRC with expansive agent is given out by Equation (4).
Table 9.
Tested and calculated values of the modulus of elasticity of specimens.
4. Conclusions
With the premise of ensured workability of a fresh mixture, this paper studied the effect of calcium-sulfoaluminate expansive agent on shrinkage and mechanical properties of hardened self-compacting SFRC with a varying volume fraction of steel fiber. Based on the test results, conclusions can be drawn as follows:
- (1)
- The mix proportion of self-compacting SFRC with expansive agent can be designed by the direct absolute volume method, of which the steel fibers are considered as the distributed coarse aggregates. The rational workability of high filling and passing ability without segregation and bleeding of fresh self-compacting SFRC can be ensured by increasing the binder to coarse-aggregate ratio and the sand ratio in the mix proportions. With the increment of 0.4% volume fraction of steel fiber, the sand ratio increased by 0.01 and the binder to coarse-aggregate ratio increased by 0.10. The optimal content of calcium-sulfoaluminate expansive agent was 10% mass of binders.
- (2)
- The autogenous shrinkage of self-compacting SFRC increased before 90 d and decreased after 90 d with the increase of volume fraction of steel fiber. With the incorporation of an expansive agent of 10% mass of binders and the steel fiber changed with the volume fraction from 0.4% to 1.2%, the autogenous shrinkage of self-compacting SFRC reduced by 22.2% to 3.2% at curing age of 180 d.
- (3)
- The drying shrinkage of self-compacting SFRC reduced by 18.5% to 7.3% with the incorporation of expansive agent of 10% mass of binders and the steel fiber changed with the volume fraction from 0.4% to 1.2%. The expansion of cementitious matrix was reduced with the increase of volume fraction of steel fiber. This leads an increased drying shrinkage of self-compacting SFRC with the increase of volume fraction of steel fiber.
- (4)
- The mechanical properties of self-compacting SFRC were improved with the incorporation of expansive agent and steel fiber. With the increase of a volume fraction of steel fiber from 0.4% to 1.2%, the cubic compressive strength, axial compressive strength and modulus of elasticity of self-compacting SFRC increased by 3.2%, 9.1% and 17.0%, respectively. At the same time, the splitting tensile strength of self-compacting SFRC was increased significantly by 59.8%.
Author Contributions
Methodology, S.Z., C.L. and F.L.; Investigation, P.S., C.L. and M.F.; Writing—Original Draft Preparation, P.S. and C.L.; Writing—Review & Editing, Funding Acquisition, S.Z. and F.L. All authors have read and agreed to the published version of the manuscript.
Funding
This research was funded by [State Key Research and Development Plan, China] grant number [2017YFC0703904], [Innovative Sci-Tech Team of Eco-building Material and Structural Engineering of Henan Province, China] grant number [YKRZ-6-066] and [the Key Scientific and Technological Research Project of University in Henan, China] grant number [17A560025, 19A560001].
Conflicts of Interest
The authors declare no conflict of interest.
References
- Athiyamaan, V.; Ganesh, G.M. Statistical and detailed analysis on fiber reinforced self-compacting concrete containing admixtures—A state of art of review. IOP Conf. Ser. Mater. Sci. Eng. 2017, 263, 032037. [Google Scholar] [CrossRef]
- Liu, H.K.; Ding, Y.N. Experimental study on performance of steel fiber reinforced self-compacting concrete (SCC) tunnel lining. J. Build. Mater. 2011, 14, 10–13. [Google Scholar]
- Ding, Q.J.; Liu, R.J.; Mou, T.M.; Song, X.B. Investigation on toughness of steel fiber reinforced self-compacting micro-expansion concrete filled steel tube. J. Southeast Univ. 2010, 40, 10–14. [Google Scholar]
- Liu, S.M.; Ding, X.X.; Li, X.K.; Liu, Y.J.; Zhao, S.B. Behavior of rectangular-sectional steel tubular columns filled with high-strength steel fiber-reinforced concrete in axial compression. Materials 2019, 12, 2716. [Google Scholar] [CrossRef] [PubMed]
- Zhao, M.L.; Li, J.; David, L. Effects of flowability on SFRC fiber distribution and properties. Mag. Concr. Res. 2017, 69, 1043–1054. [Google Scholar] [CrossRef]
- Zhao, M.S.; Zhang, B.X.; Shang, P.S.; Fu, Y.; Zhang, X.Y.; Zhao, S.B. Complete stress-strain curve of self-compacting steel fiber-reinforced expanded-shale lightweight concrete under uniaxial compression. Materials 2019, 12, 2979. [Google Scholar] [CrossRef]
- Ding, X.X.; Li, C.Y.; Li, Y.Z.; Song, C.; Zhao, S.B. Experimental and numerical study on stress-strain behavior of self-compacting SFRC under uniaxial compression. Constr. Build. Mater. 2018, 185, 30–38. [Google Scholar] [CrossRef]
- Aslani, F.; Nejadi, S. Creep and shrinkage of self-compacting concrete with and without fibers. J. Adv. Concr. Tec. 2013, 11, 251–265. [Google Scholar] [CrossRef]
- Corinaldesi, V.; Moriconi, G. Characterization of self-compacting concretes prepared with different fibers and mineral additions. Cem. Concr. Compos. 2011, 33, 596–601. [Google Scholar] [CrossRef]
- Grabois, T.M.; Cordeiro, G.C.; Toledo, F.; Romildo, D. Fresh and hardened-state properties of self-compacting lightweight concrete reinforced with steel fibers. Constr. Build. Mater. 2016, 104, 284–292. [Google Scholar] [CrossRef]
- Meng, W.; Khayat, K.H. Effect of hybrid fibers on fresh properties, mechanical properties, and autogenous shrinkage of cost-effective UHPC. J. Mater. Civ. Eng. 2018, 30, 04018030. [Google Scholar] [CrossRef]
- Bensaci, H.; Kenai, S.; Menadi, B. The influence of recycled steel fibers on self-compacting concrete performance. IOP Conf. Ser. Mater. Sci. Eng. 2018, 431, 102008. [Google Scholar]
- Khaloo, A.; Molaei, R.E.; Payam, H.; Hamidreza, T. Mechanical performance of self-compacting concrete reinforced with steel fibers. Constr. Build. Mater. 2014, 51, 179–186. [Google Scholar] [CrossRef]
- El-Dieb, A.S.; Reda, T.M.M. Flow characteristics and acceptance criteria of fiber-reinforced self-compacted concrete (FR-SCC). Constr. Build. Mater. 2012, 27, 585–596. [Google Scholar] [CrossRef]
- Abdelrazik, A.T.; Khayat, K.H. Effect of fiber characteristics on fresh properties of fiber-reinforced concrete with adapted rheology. Constr. Build. Mater. 2020, 230, 1–4. [Google Scholar] [CrossRef]
- Khayat, K.H.; Kassimi, F.; Ghoddousi, P. Mixture design and testing of fiber reinforced self–consolidating concrete. ACI Mater. J. 2014, 111, 143–152. [Google Scholar]
- Ding, X.X.; Zhao, M.L.; Zhou, S.Y.; Fu, Y.; Li, C.Y. Statistical analysis and preliminary study on the mix proportion design of self-compacting steel fiber reinforced concrete. Materials 2019, 12, 637. [Google Scholar] [CrossRef]
- Zhao, M.L.; Ding, X.X.; Li, J.; David, L. Numerical analysis of mix proportion of self-compacting concrete compared to ordinary concrete. Key Eng. Mater. 2018, 789, 69–75. [Google Scholar] [CrossRef]
- Ding, X.X.; Li, C.Y.; Han, B.; Lu, Y.Z.; Zhao, S.B. Effects of different deformed steel-fibers on preparation and fundamental properties of self-compacting SFRC. Constr. Build. Mater. 2018, 168, 471–481. [Google Scholar] [CrossRef]
- Wu, L.M.; Farzadnia, N.; Shi, C.J.; Zhang, Z.H.; Wang, H. Autogenous shrinkage of high performance concrete: A review. Constr. Build. Mater. 2017, 149, 62–75. [Google Scholar] [CrossRef]
- Fan, Y.J. Experimental Study on Shrinkage and Creep of Self Compacting Steel Fiber Reinforced Concrete. Master’s Thesis, North China University of Water Resources and Electric Power, Zhengzhou, China, 2017. [Google Scholar]
- Mihammed, S.M.; Masahiro, S.; Ryoichi, S. Influence of a combination of expansive and shrinkage-reducing admixture on autogenous deformation and self-stress of silica fume high performance concrete. Constr. Build. Mater. 2010, 25, 239–250. [Google Scholar]
- Miguel, O.; António, B.R.; Fernando, G.B. Combined effect of expansive and shrinkage reducing admixtures to control autogenous shrinkage in self-compacting concrete. Constr. Build. Mater. 2014, 52, 267–275. [Google Scholar]
- Su, A.; Qin, L.; Zhang, S.; Li, Z. Effects of shrinkage reducing agent and expansive admixture on the volume deformation of ultrahigh performance. Adv. Mater. Eng. 2017, 5, 1–7. [Google Scholar]
- Choi, S.; Ryu, G.S.; Koh, K.T.; An, G.H.; Kim, H.Y. Experimental study on the shrinkage behavior and mechanical properties of AAM mortar mixed with CSA expansive additive. Materials 2019, 12, 3312. [Google Scholar] [CrossRef] [PubMed]
- He, Y.S.; Song, M.F.; Zhan, M.Z. Influences of expansion admixture on performance of self-compacting concrete. J. Chang’an Univ. Nat. Sci. Ed. 2003, 6, 19–22. [Google Scholar]
- Li, B.; Xu, L.H.; Gu, Y.S.; Jia, L.L. Investigation on Influence of HCSA expansive agent dosage on performance of high-strength self-compacting concrete. Eng. J. Wuhan Univ. 2017, 50, 90–96. [Google Scholar]
- Cao, Q.; Cheng, Y.L.; Cao, M.L.; Gao, Q.Q. Workability, strength and shrinkage of fiber reinforced expansive self-consolidating concrete. Constr. Build. Mater. 2017, 131, 178–185. [Google Scholar] [CrossRef]
- Cao, Q.; Gao, Q.Q.; Wang, R.B.; Lin, Z.B. Effect of fibers and expansive agent on shrinkage of self-consolidating concrete under two curing schemes. J. Mater. Civ. Eng. 2019, 31. [Google Scholar] [CrossRef]
- Afroughsabeta, V.; Geng, G.Q.; Lin, A.; Biolzi, L.; Ostertag, C.P.; Monteiro, P.J.M. The influence of expansive cement on the mechanical, physical, and microstructural properties of hybrid-fiber-reinforced concrete. Cem. Concr. Compos. 2019, 96, 21–32. [Google Scholar] [CrossRef]
- Geng, F.; Qian, C.X.; Fan, J.P. Effect of fiber and expansive agent on shrinkage performance of concrete. China Concr. Cem. Prod. 2003, 5, 33–35. [Google Scholar]
- General Administration of Quality Supervision, Inspection and Quarantine of the People’s Republic of China. Common Portland Cement; GB 175-2007; China Standard Press: Beijing, China, 2007. [Google Scholar]
- General Administration of Quality Supervision, Inspection and Quarantine of the People’s Republic of China. Fly Ash Used for Cement and Concrete; GB/T 1596-2017; China Standard Press: Beijing, China, 2017. [Google Scholar]
- General Administration of Quality Supervision, Inspection and Quarantine of the People’s Republic of China. Limestone Powder Used for Cement, Mortar, and Concrete; GB/T 35164-2017; China Standard Press: Beijing, China, 2017. [Google Scholar]
- General Administration of Quality Supervision, Inspection and Quarantine of the People’s Republic of China. Sand for Construction; GB/T 14684-2011; China Standard Press: Beijing, China, 2011. [Google Scholar]
- General Administration of Quality Supervision, Inspection and Quarantine of the People’s Republic of China. Pebble and Crushed Stone for Construction; GB/T 14685-2011; China Standard Press: Beijing, China, 2011. [Google Scholar]
- General Administration of Quality Supervision, Inspection and Quarantine of the People’s Republic of China. Expansive Agents for Concrete; GB 23439-2009; China Standard Press: Beijing, China, 2009. [Google Scholar]
- Specification and Guidelines for Self-Compacting Concrete. Available online: http://www.efnarc.org/pdf/SandGforSCC.PDF (accessed on 30 December 2019).
- American Society for Testing and Materials. Standard Test Method for Slump Flow of Self-Consolidating Concrete; ASTM C1611/C1611M-09; ASTM International: West Conshohocken, PA, USA, 2009. [Google Scholar]
- Ministry of Housing and Urban-Rural Construction of the People’s Republic of China. Technical Specification for Application of Self-Compacting Concrete; JGJ/T 283-2012; China Building Industry Press: Beijing, China, 2002. [Google Scholar]
- Ministry of Housing and Urban-Rural Construction of the People’s Republic of China. Standard Test Methods for Fiber Reinforced Concrete; CECS 13: 2009; China Standard Press: Beijing, China, 2009. [Google Scholar]
- Ministry of Housing and Urban-Rural Construction of the People’s Republic of China. Steel Fiber Reinforced Concrete; JG/T 472-2015; China Standard Press: Beijing, China, 2015. [Google Scholar]
- American Society for Testing and Materials. Standard Test Method for Compressive Strength of Cylindrical Concrete Specimens; ASTM C 39/C 39M-03; ASTM International: West Conshohocken, PA, USA, 2003. [Google Scholar]
- British Standard. Testing Hardened Concrete-Compressive Strength of Test Specimens; BS EN 12390-3-2009; European Committee for Standardization, Management Centre: Brussel, Belgium, 2009. [Google Scholar]
- Zhao, S.B.; Li, C.Y.; Zhao, M.S.; Zhang, X.Y. Experimental study on autogenous and drying shrinkage of lightweight-aggregate concrete reinforced by steel fibers. Adv. Mater. Sci. Eng. 2016, 2016, 1–9. [Google Scholar] [CrossRef]
- He, H.A.; Dong, W.; Wu, Z.M. Study on long-term expansive deformation of self-stressing concrete with combined restrictions of steel fibers and steel bar. Key Eng. Mater. 2011, 452, 533–536. [Google Scholar] [CrossRef]
- Ministry of Housing and Urban-Rural Construction of the People’s Republic of China. Code for Design of Concrete Structures; GB/T 50010-2010; China Building Industry Press: Beijing, China, 2010. [Google Scholar]
© 2020 by the authors. Licensee MDPI, Basel, Switzerland. This article is an open access article distributed under the terms and conditions of the Creative Commons Attribution (CC BY) license (http://creativecommons.org/licenses/by/4.0/).








