Study on the Dissolution Mechanism of Cellulose by ChCl-Based Deep Eutectic Solvents
Abstract
1. Introduction
2. Materials and Methods
2.1. Materials and Equipment
2.2. Experimental Method
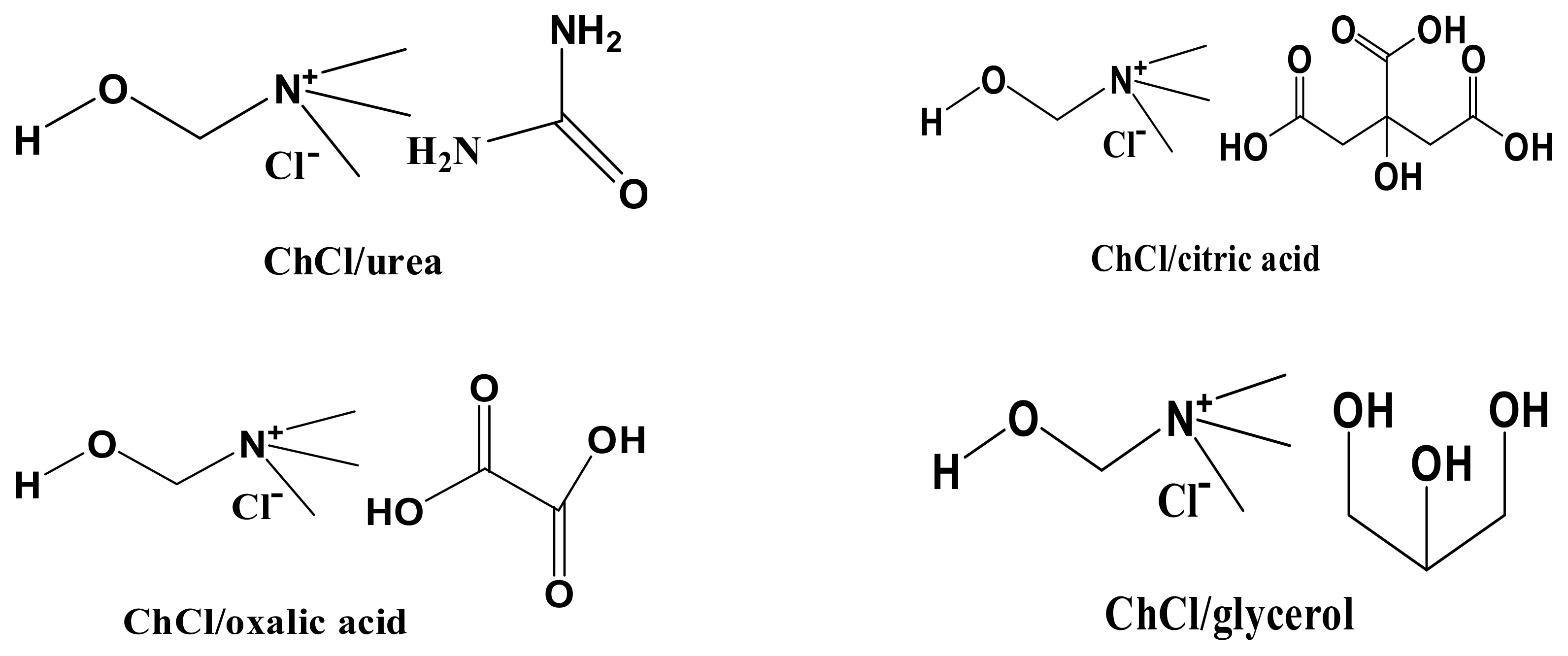
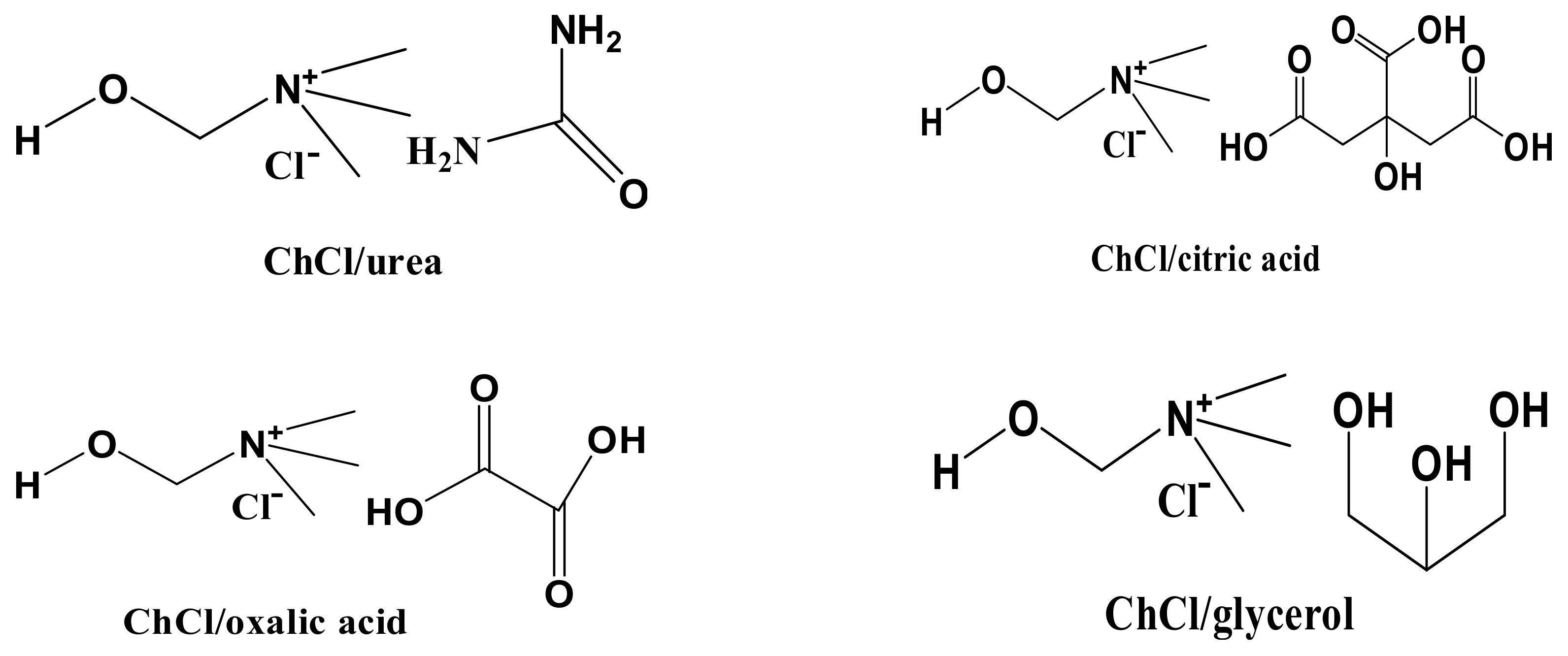
2.2.1. Synthesis of ChCl-DES’s
2.2.2. Physical Properties
2.2.3. Dissolution of Cellulose
2.2.4. Performance Testing
3. Results and Discussion
3.1. Physical Properties of DESs and the Solubility of Cellulose
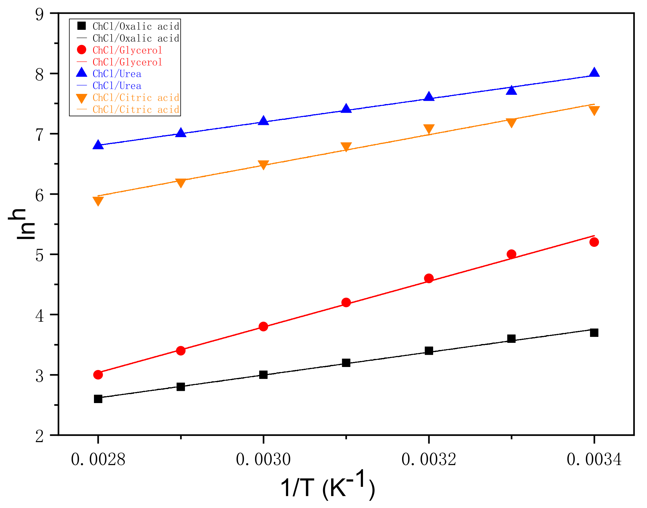
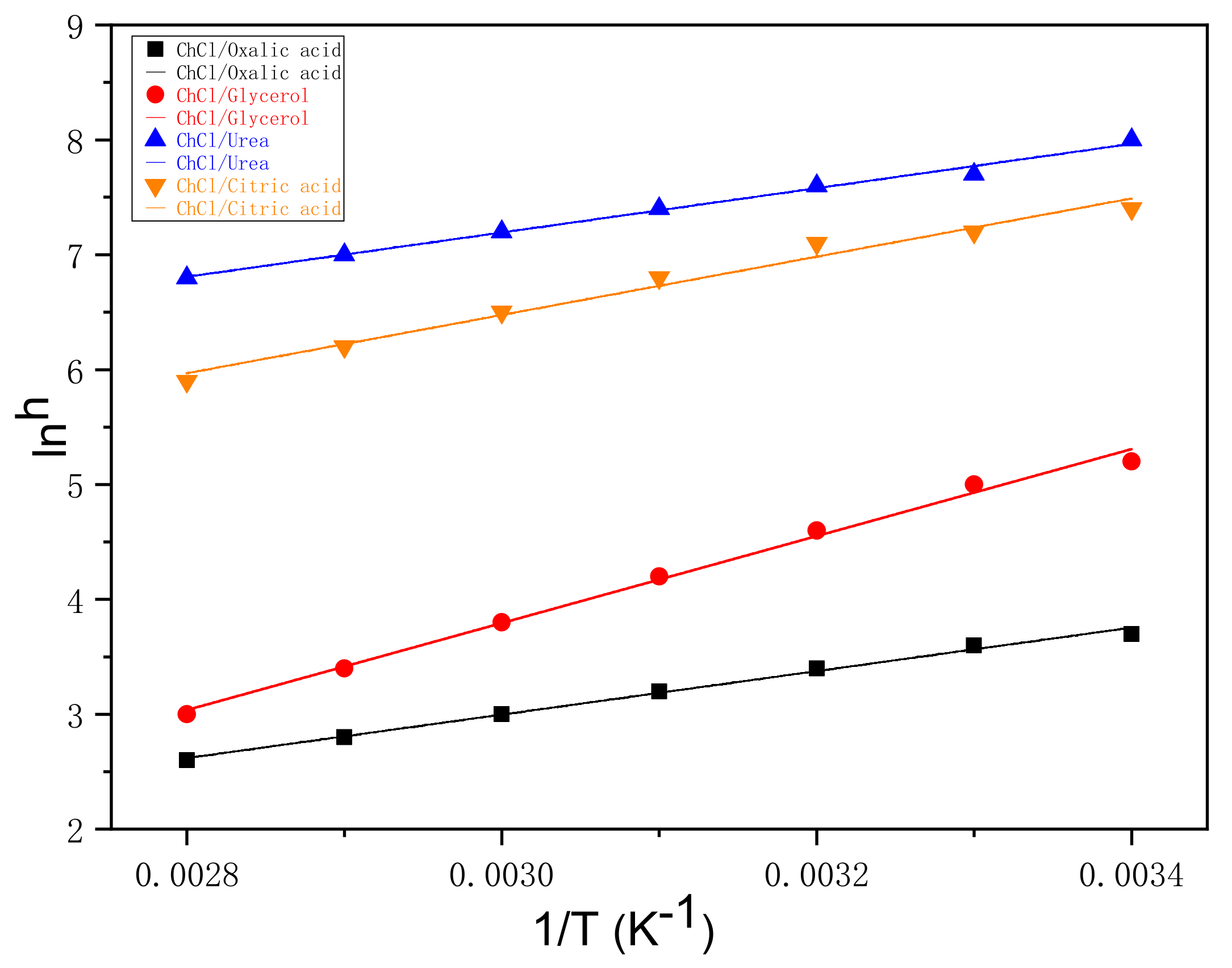
3.2. Effect of Temperature on the Viscosity of DESs
3.3. Effect of Temperature on the Electrical Conductivity of DESs
3.4. Effect of Temperature on Cellulose Dissolution
3.5. Observation of SEM during Cellulose Dissolution
3.6. Determination of Regenerated Cellulose by XRD
3.7. Infrared Spectral Analysis
3.8. Dissolution Mechanism of Cellulose in DESs
4. Conclusions
- (1)
- A low viscosity corresponded to a high conductivity and a high temperature corresponded to a strong ability of the solvent to dissolve cellulose.
- (2)
- The four kinds of DESs were able to dissolve cellulose to varying degrees and the oxalic acid/ChCl DES exerted the best dissolution effects.
- (3)
- Thus, the proposed DES is a ChCl-based solvent, which forms new hydrogen bonds with the hydroxyl groups in the cellulose through an oxygen atom in the hydroxyl group and a nitrogen atom in the amino group. Moreover, after the deep eutectic system formed internal hydrogen bonds, a large number of remaining ions could form hydrogen bonds with the hydroxyl groups of the cellulose, resulting in the strong dissolution of the cellulose. Although cellulose and regenerated cellulose exhibited similar structures, the crystalline form of the cellulose changed from type I to type II.
Author Contributions
Funding
Conflicts of Interest
References
- Edgar, K.J.; Buchanan, C.M.; Debenham, J.S.; Rundquist, P.A.; Seiler, B.D.; Shelton, M.C.; Tindall, D. Advances in cellulose ester performance and application. Prog. Polym. Sci. 2001, 26, 1605–1688. [Google Scholar] [CrossRef]
- Werpy, T.A.; Holladay, J.E.; Whit, J.F. Top Value Added Chemicals from Biomass: I. Results of Screening for Potential Candidates from Sugars and Synthesis Gas, 1st ed.; Department of Energy, Pacific Northwest National Laboratory: Richland, WA, USA, 2004; pp. 3–20. [Google Scholar]
- Bozell, J.; Petersen, G.R. Technology development for the production of biobased products from biorefinery carbohydrates—The U.S. Department of Energy’s ‘Top 10’ revisited. Green Chem. 2010, 12, 539–554. [Google Scholar] [CrossRef]
- Lindman, B.; Karlstr, M.G.; Stigsson, L. On the mechanism of dissolution of cellulose. J. Mol. Liq. 2010, 156, 76–81. [Google Scholar] [CrossRef]
- Lin, L.Z.; Yamaguchi, L. Dissolution of cellulose in the mixed solvent of [bmim]Cl-DMAc and its;application. RSC Adv. 2013, 3, 14379–14384. [Google Scholar] [CrossRef]
- Zhang, H.; Zhao, N.; Liu, L. Research progress of dissolution behavior and mechanism of cellulose in ionic liquids. Chem. Res. 2010, 21, 96–99. [Google Scholar]
- Zhang, H.; Li, S.; Song, X.; Li, P.; Li, J. Preparation of 5-(Hydroxymethyl)furfural by the catalytic degradation of cellulose in an ionic liquid/organic biphasic system. BioResources 2016, 11, 5190–5203. [Google Scholar] [CrossRef]
- Deetlefs, M.; Seddon, K.R. Assessing the greenness of some typical laboratory ionic liquid preparations. Green Chem. 2010, 12, 17–30. [Google Scholar] [CrossRef]
- Abbott, A.P.; Capper, G.; Davies, D.L.; Rasheed, R.K.; Tambyrajah, V. Novel solvent properties of choline chloride/urea mixtures. Chem. Commun. 2003, 1, 70–71. [Google Scholar] [CrossRef]
- Xing, Y.Y.; Zhang, J.; Zhang, H. A Method for Pyrolytic Cellulose Raw Materials by a Eutectic Solvent. China Patent No. CN104178527A, 9 July 2014. [Google Scholar]
- Liu, H.; Zhou, E.; Zhang, X.; Zhang, X. Study of deep eutectic solvents prepared from solid organic compounds and their application on dissolution for cellulose. Mater. Rev. 2013, 27, 95–98. [Google Scholar]
- Ren, H.; Chen, C.; Wang, Q.; Guo, S. The properties of choline chloride-based deep eutectic solvents and their performance in the dissolution of cellulose. BioResources 2016, 11, 5435–5451. [Google Scholar] [CrossRef]
- Hou, X.D.; Feng, G.J.; Ye, M. Significantly enhanced enzymatic hydrolysis of rice straw via a high-performance two-stage deep eutectic solvents synergistic pretreatment. Bioresour. Technol. 2017, 238, 139–146. [Google Scholar] [CrossRef] [PubMed]
- Chen, Z.; Wan, C. Ultrafast Fractionation of Lignocellulosic Biomass by Microwave-assisted Deep Eutectic Solvent Pretreatment. Bioresour. Technol. 2017, 25, 55–62. [Google Scholar] [CrossRef] [PubMed]
- Liu, F.; Audemar, M.; Cartigny, D. Selectivity enhancement in the aqueous acid-catalyzed conversion of glucose to 5-hydroxymethylfurfural induced by choline chloride. Green Chem. 2013, 15, 3205. [Google Scholar] [CrossRef]
- Matsumiya, H.; Hara, T. Conversion of glucose into 5-hydroxymethylfurfural with boric acid in molten mixtures of choline salts and carboxylic acids. Biomass Bioenergy 2015, 72, 227–232. [Google Scholar] [CrossRef]
- Sticklen, M.B. Retraction: Plant genetic engineering for biofuel production: Towards affordable cellulosic ethanol. Nat. Rev. Genet. 2010, 9, 433. [Google Scholar] [CrossRef] [PubMed]
- Liu, B.; Zhang, Z.H.; Zhao, Z.B. Microwave-assisted catalytic conversion of cellulose into 5-hydroxymethylfurfural in ionic liquid. Chem. Eng. J. 2013, 215, 517–521. [Google Scholar] [CrossRef]
- Zhou, L.L.; He, Y.M.; Liang, R.J. One-step degradation of cellulose to 5-hydroxymethylfurfural in ionic liquid under mild conditions. Carbohydr. Polym. 2015, 117, 694–700. [Google Scholar] [CrossRef]
- Ren, H.; Girisuta, B.; Zhou, Y. Selective and recyclable depolymerization of cellulose to levulinic acid catalyzed by acidic ionic liquid. Carbohydr. Polym. 2015, 117, 569–576. [Google Scholar] [CrossRef]
- Khan, A.S.; Man, Z.; Bustam, M.A. Efficient Conversion of Lignocellulosic Biomass to Levulinic Acid Using Acidic Ionic Liquids. Carbohydr. Polym. 2017, 181, 208–214. [Google Scholar] [CrossRef]
- Sun, Z.; Zhao, D.; Li, F.; Shan, H. Oxidative Desulfurization of Thiophene by Coordinated Ionic Liquid [3(C2H5)4NCl·(NH2)2CO] as Phase-Transfer Catalyst, 2nd ed.; International Conference on Bioinformatics and Biomedical Engineering: Shanghai, China, 2008; pp. 3827–3830. [Google Scholar]
- Li, J.; Wang, C.; Yang, Z. Production and separation of phenols from biomass-derived bio-petroleum. J. Anal. Appl. Pyrol. 2010, 89, 218–224. [Google Scholar] [CrossRef]
- Bobrov, V.B.; Trigger, S.A. Theory of frequency dispersion of the conductivity of a system of charged particles: II. Calculating the long-wavelength limit of longitudinal and transverse conductivities. Phys. A Stat. Mech. Appl. 1988, 151, 495–508. [Google Scholar] [CrossRef]
- Bandrés, I.; Montaño, D.F.; Gascón, I.; Cea, P.; Lafuente, C. Study of the conductivity behavior of pyridinium-based ionic liquids. Electrochim. Acta 2010, 55, 2252–2257. [Google Scholar] [CrossRef]
- Pu, L.; Liu, J. Study on the dissolution of cellulose in low eutectic solvent. Pap. Pap. Mak. 2017, 36, 27–31. [Google Scholar]
- Oh, S.Y.; Yoo, D.I.; Shin, Y.; Kim, H.C.; Kim, H.Y.; Chung, Y.S.; Park, W.H.; Youk, J.H. Crystalline structure analysis of cellulose treated with sodium hydroxide and carbon dioxide by means of X-ray diffraction and FTIR spectroscopy. Carbohydr. Res. 2005, 340, 2376–2391. [Google Scholar] [CrossRef]
- Laitinen, O.; Terhi, T.S.; Monika, O. Hydrophobic, Superabsorbing Aerogels from Choline Chloride-Based Deep Eutectic Solvent Pretreated and Silylated Cellulose Nanofibrils for Selective Oil Removal. ACS Appl. Mater. Interfaces 2017, 9, 25029–25037. [Google Scholar] [CrossRef]
- Francisco, M.; Van den Bruinhorst, M.S.A.; Kroon, M.C. Low-transition-temperature mixtures (LTTMs): A new generation of designer solvents. Angew. Chem. Int. Ed. 2013, 52, 3074–3085. [Google Scholar] [CrossRef]
- Phillips, D.M.; Drummy, L.F.; Conrady, D.G.; Fox, P.M.; Naik, R.R.; Stone, M.O.; Trulove, P.C.; De Long, H.C.; Mantz, R.A. Dissolution and regeneration of Bombyx mori silk fibroin using ionic liquids. J. Am. Chem. Soc. 2004, 126, 14350–14351. [Google Scholar] [CrossRef]
- Swatloski, R.P. Dissolution of cellulose with ionic liquids. J. Am. Chem. Soc. 2002, 124, 4974–4975. [Google Scholar] [CrossRef]
- Moulthrop, J.S.; Swatloski, R.P.; Moyna, G.; Rogers, R.D. High-resolution 13C NMR studies of cellulose and cellulose oligomers in ionic liquid solutions. Chem. Commun. 2005, 12, 1557–1559. [Google Scholar] [CrossRef]








| DESs | Molar Ratio | Synthesis Temperature (°C) | HBA Melting Point (°C) | HBD Melting Point (°C) | DESs Melting Point (°C) | Water Content (%) | Dissolution Rate at 100 °C (%) | Dissolution Time/h |
|---|---|---|---|---|---|---|---|---|
| Urea/ChCl | 1:2 | 80 | 302 | 131 | 12 | 0.43 | 1.03 | 3 |
| Citric acid/ChCl | 1:2 | 80 | 302 | 153 | 37.8 | 2.65 | 1.94 | 2 |
| Oxalic acid/ChCl | 1:2 | 50 | 302 | 101 | 30 | 20 | 2.54 | 1.5 |
| Glycerol/ChCl | 1:2 | 35 | 302 | 18.6 | −36.5 | 1.43 | 0.6 | 12 |
| Dissolution Temperature (°C) | 60 | 70 | 80 | 90 | 100 |
|---|---|---|---|---|---|
| Solubility (%) | 0.50 | 0.64 | 0.82 | 1.96 | 2.54 |
© 2020 by the authors. Licensee MDPI, Basel, Switzerland. This article is an open access article distributed under the terms and conditions of the Creative Commons Attribution (CC BY) license (http://creativecommons.org/licenses/by/4.0/).
Share and Cite
Zhang, H.; Lang, J.; Lan, P.; Yang, H.; Lu, J.; Wang, Z. Study on the Dissolution Mechanism of Cellulose by ChCl-Based Deep Eutectic Solvents. Materials 2020, 13, 278. https://doi.org/10.3390/ma13020278
Zhang H, Lang J, Lan P, Yang H, Lu J, Wang Z. Study on the Dissolution Mechanism of Cellulose by ChCl-Based Deep Eutectic Solvents. Materials. 2020; 13(2):278. https://doi.org/10.3390/ma13020278
Chicago/Turabian StyleZhang, Heng, Jinyan Lang, Ping Lan, Hongyan Yang, Junliang Lu, and Zhe Wang. 2020. "Study on the Dissolution Mechanism of Cellulose by ChCl-Based Deep Eutectic Solvents" Materials 13, no. 2: 278. https://doi.org/10.3390/ma13020278
APA StyleZhang, H., Lang, J., Lan, P., Yang, H., Lu, J., & Wang, Z. (2020). Study on the Dissolution Mechanism of Cellulose by ChCl-Based Deep Eutectic Solvents. Materials, 13(2), 278. https://doi.org/10.3390/ma13020278

