Micro-Structure of Hot Mix Asphalt Containing the 35/50 Bitumen Viewed in Terms of Excess Moisture in the Underlying Course of Pavement
Abstract
1. Introduction
2. Test Section
2.1. Materials and Testing Program
2.1.1. Properties of the Bitumen
2.1.2. Properties of the Asphalt Used on the Test Section
- section I—two static passes,
- section II—four static passes plus two vibratory passes,
- section III—six static passes plus four vibratory passes,
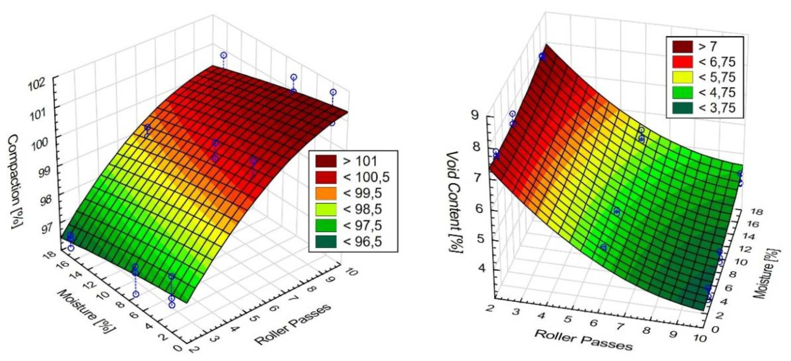
2.2. Results and Discussion
3. Laboratory Testing
3.1. Materials and Test Procedures
3.2. Results and Discussion
4. Final Conclusions
- The 35/50 bitumen is classified in the group of relatively hard binders requiring high application temperatures. A rapid increase of the viscosity of bitumen resulting from contact with water can considerably hamper the process of compaction of mixtures that contain this bitumen.
- The results of the tests carried out on the entire cores show that the amount of effort applied by the compactor and the time frame of the process have a decisive bearing on obtaining the desired compaction. The number of passes should be specific to the type of mixture, its temperature and, last but foremost, the compacted layer thickness. The excessive amount of effort leads to over-compaction, especially in the center of the layer, which in some cases can decrease its resistance to permanent deformations.
- An insufficient number of passes, in turn, will result in an increased air void content through the entire thickness of the layer, the most in the subsurface portion, resulting in a decreased fatigue life or weather resistance in the case of the wearing course. The example of the lack of density can be section I in which the samples had a free space above 7% in the entire cross-section (with a layer thickness 4 and 8 cm).
- While the excess moisture in the underlying layer plays some role, the variation of the air void content in the asphalt layer in the areas of the highest moisture content (zones “a” and “c”) determined on the entire specimens (prior to slicing) are small, i.e., maximum 1%. The variation of the results and the actual distribution of pores in the mixture became apparent in the sliced specimens. It is evident that high amounts of moisture inhibit obtaining the desired air void content in the mixture, in particular at the bottom of the layer. An increased porosity was noted within 1–2 cm from the bottom face of the layer where the air-void content reaching 7–12% was noted. This affects the parameters relevant to the fatigue performance of the mixture in the zone subjected to the highest tensile stress levels.
- An increase of the air void content causes a decrease of the value of complex modulus E*. In researches with the free space increase by of 3.7% average, the decrease of complex module was almost 7%. As a consequence, higher tensile strains due to traffic loading can be expected at the bottom of the pavement structure due to a smaller stress distribution area.
- An increased air void content in the mixture considerably reduces the value of the limit strain ε. A decrease by 22 μm/m from 120 to 98 μm/m was noted for the analyzed mixture.
- An increase of the tensile strains at the bottom of inadequately compacted asphalt layers in combination with impaired fatigue performance parameters will reduce the fatigue life of the entire road pavement. This will cause premature fatigue cracking, initiated at the bottom of asphalt layers.
- An increased air void content at the bottom of an asphalt layer caused by the presence of moisture in the underlying layer will considerably decrease the fatigue life of the entire pavement. This effect will be noticeable even if the layer as a whole simultaneously satisfies both the applied criteria, i.e., degree of compaction and the air void content.
Author Contributions
Funding
Conflicts of Interest
References
- Saedi, H. Assessment of compaction temperatures on hot mix asphalt (HMA) properties. Eng. Technol. 2012, 62, 197–201. [Google Scholar]
- Kassem, E.; Scullion, T.; Masad, E.; Chowdhury, A. Comprehensive evaluation of compaction of asphalt pavements and a practical approach for density predictions. J. Transp. Res. Board 2012, 2268, 98–107. [Google Scholar] [CrossRef]
- Kök, B.V.; Yilmaz, M.; Alataş, T. Evaluation of the mechanical properties of field- and laboratory-compacted hot-mix asphalt. J. Mater. Civ. Eng. 2014, 26, 04014064. [Google Scholar] [CrossRef]
- Mieczkowski, P.; Budziński, B. The influence of water on the heat loss of hot mix asphalt. Appl. Sci. 2019, 9, 1747. [Google Scholar] [CrossRef]
- Lienhard, J.H.; Lienhard, J.H. A Heat Transfer Textbook, 3rd ed.; Phlogiston Press: Cambridge, MA, USA, 2008; ISBN 978-0-9713835-3-1. [Google Scholar]
- Hashim, W.; Noor, M.N.M.; Shaffie, E.; Rahman, Z.A.; Arshad, A.K. Cooling time of porous asphalt pavement affecting compaction process due to various raining condition. IOP Conf. Ser. Earth Environ. Sci. 2018, 140, 012070. [Google Scholar] [CrossRef]
- Ismail, S.; Hassan, N.A.; Yaacob, H.; Warid, M.N.M.; Mashros, N.; Mohamed, A.; Hassan, S.A.; Azahar, N.M. Effect of rainfall on the compaction of dense-graded hot mix asphalt. IOP Conf. Ser. Mater. Sci. Eng. 2019, 527, 012046. [Google Scholar] [CrossRef]
- Judycki, J.; Jaskula, P.; Pszczola, M.; Alenowicz, J.; Dołżycki, B.; Jaczewski, M.; Rys, D.; Stiness, M. Katalog Typowych Konstrukcji Nawierzchni Podatnych i Półsztywnych [Catalogue of Typical Flexible and Semi-Rigid Pavement Constructions]; Politechnika Gdańska: Gdańsk, Poland, 2014. [Google Scholar]
- Ma, T.; Zhang, Y.; Wang, H.; Huang, X.; Zhao, Y. Influences by air voids on the low-temperature cracking property of dense-graded asphalt concrete based on micromechanical modeling. Adv. Mater. Sci. Eng. 2016, 2016, 1–10. [Google Scholar] [CrossRef]
- Ren, J.; Sun, L. Characterizing air void effect on fracture of asphalt concrete at low-temperature using discrete element method. Eng. Fract. Mech. 2017, 170, 23–43. [Google Scholar] [CrossRef]
- Hu, J.; Liu, P.; Wang, D.; Oeser, M.; Tan, Y. Investigation on fatigue damage of asphalt mixture with different air-voids using microstructural analysis. Constr. Build. Mater. 2016, 125, 936–945. [Google Scholar] [CrossRef]
- Androjić, I. Aging of hot mix asphalt. Građevinar 2016, 68, 477–483. [Google Scholar] [CrossRef]
- Hu, J.; Wu, S.; Liu, Q.; García Hernández, M.; Zeng, W.; Nie, S.; Wan, J.; Zhang, D.; Li, Y. The effect of ultraviolet radiation on bitumen aging depth. Materials 2018, 11, 747. [Google Scholar] [CrossRef] [PubMed]
- Harvey, J.T.; Tsai, B.-W. Effects of asphalt content and air void content on mix fatigue and stiffness. Transp. Res. Rec. 1996, 1543, 38–45. [Google Scholar] [CrossRef]
- Judycki, J. Sczepność między warstwami asfaltowymi nawierzchni. Drogownictwo 2003, 9, 275–279. [Google Scholar]
- Shola, G.A.; Page, G.C.; Mussalman, J.A.; Upshaw, P.B.; Moseley, H.L. Preliminary investigation of a test method to evaluate bond strength of bituminous tack coats. J. Assoc. Asph. Paving Technol. 2004, 73, 771–806. [Google Scholar]
- Jaskuła, P. Interlayer Bonding of Asphalt Layers in Multilayer Structures of Road Pavements; Wydawnictwo Politechniki Gdańskiej: Gdańsk, Poland, 2018; ISBN 978-83-7348-744-4. [Google Scholar]
- West, R.; Zhang, J.; Moore, J. Evaluation of Bond Strength between Pavement Layers. NCAT Report 05-08; National Center for Asphalt Technology: Auburn, AL, USA, 2005. [Google Scholar]
- Radziszewski, P.; Kowalski, K.J. Quality assessment of bituminous binders based on the viscoelastic properties: Polish experience. J. Civ. Eng. Manag. 2014, 20, 111–120. [Google Scholar] [CrossRef]
- EN 12607-1:2014-12 Bitumen and Bituminous Binders—Determination of the Resistance to Hardening under Influence of Heat And Air—Part 1 Rtfot Method; CEN: Brussels, Belgium, 2014.
- EN 1426:2015-08 Bitumen and Bituminous Binders—Determination of Needle Penetration; CEN: Brussels, Belgium, 2015.
- EN 1427:2015-08 Bitumen and Bituminous Binders—Determination of the Softening Point—Ring and Ball Method; CEN: Brussels, Belgium, 2015.
- EN 12593:2015-08 Bitumen and Bituminous Binders—Determination of the Fraass Breaking Point; CEN: Brussels, Belgium, 2015.
- EN 12591:2010 Bitumen and Bituminous Binders—Specifications for Paving Grade Bitumens; CEN: Brussels, Belgium, 2010.
- PN-EN 14023:2011/Ap2:2020-02 Bitumen and Bituminous Binders—Specification Framework for Polymer Modified Bitumens; PKN: Warsaw, Poland, 2020.
- EN 13302:2018-06 Bitumen and Bituminous Binders—Determination of Dynamic Viscosity of Bituminous Binder Using a Rotating Spindle Apparatus; CEN: Brussels, Belgium, 2018.
- WT-2 2014—Część I Mieszanki Mineralno-Asfaltowe, Wymagania Techniczne; Generalna Dyrekcja Dróg Krajowych i Autostrad: Warsaw, Poland, 2014.
- EN 12697-6:2012 Bituminous Mixtures. Test Methods for Hot Mix Asphalt. Determination of Bulk Density of Bituminous Specimens; CEN: Brussels, Belgium, 2012.
- PN-EN 12697-8:2019-01 Bituminous Mixtures. Test Methods. Determination of Void Characteristics of Bituminous Specimens; CEN: Brussels, Belgium, 2019.
- Walubita, L.; Jamison, B.; Alvarez, A.; Hu, X.; Mushota, C. Air void characterisation of HMA gyratory laboratory-moulded samples and field cores using X-ray computed tomography (X-ray CT). J. S. Afr. Inst. Civ. Eng. 2012, 54, 22–30. [Google Scholar]
- Thyagarajan, S.; Tashman, L.; Masad, E.; Bayomy, F. The heterogeneity and mechanical response of hot mix asphalt laboratory specimens. Int. J. Pavement Eng. 2010, 11, 107–121. [Google Scholar] [CrossRef]
- EN 12697-26:2018-08 Bituminous Mixtures. Test Methods. Stiffness; CEN: Brussels, Belgium, 2018.
- EN 12697-24:2018-08 Bituminous Mixtures. Test Methods. Resistance to Fatigue; CEN: Brussels, Belgium, 2018.














| Type of Test | Standard | Test Value | |
|---|---|---|---|
| Before RTFOT | After RTFOT | ||
| Penetration (P) (25 °C, 100 g, 5 s), [× 0.1 mm] | EN 1426:2015-08 [21] | 46.2 ± 1.1 | 46.2 ± 0.6 |
| Softening point (TR&B) (5 °C/min), [°C] | EN 1427:2015-08 [22] | 55.9 ± 0.3 | 59.2 ± 0.4 |
| Fraass breaking point (TFraass), [°C] | EN 12593:2015-08 [23] | −11.9 ± 1.7 | −9.4 ± 0.9 |
| Penetration index (Ip), [−] | EN 12591:2010 (Annex A) [24] | −0.018 | −0.259 |
| Plasticity range (PR), [°C] | PN-EN 14023:2011/Ap2:2020-02, National Annex NA [25] | 67.8 | 68.6 |
| Materials | Bulk Specific Gravity [g/cm3] | Composition of | |
|---|---|---|---|
| Mineral Mixture (MM) | Asphalt Mixture (AM) | ||
| Coarse agg. # 11/16 (granodiorite) | 2.727 | 24.0 | 22.9 |
| Coarse agg. # 8/11 (granodiorite) | 2.751 | 20.0 | 19.1 |
| Coarse agg. # 5/8 (granodiorite) | 2.745 | 16.0 | 15.3 |
| Coarse agg. # 2/5 (granodiorite) | 2.745 | 12.0 | 11.4 |
| Crushed fine agg. # 0/2 (granodiorite) | 2.745 | 24.0 | 22.9 |
| Filler agg. (limestone) | 2.747 | 4.0 | 3.8 |
| Bitumen 35/50 | 1.030 | – | 4.6 |
| Adhesive additives (by weight of binder) | – | – | 0.3 |
| Property | Requirements According to WT-2 2014 | Value | |
|---|---|---|---|
| Maximum density of HMA, EN 12697-5, method A in water [Mg/m3] | – | 2.511 | |
| Bulk specific gravity of HMA EN 12697-6, method B [Mg/m3] | – | 2.419 | |
| Air Void Content V, EN 12697-8 [%] | 4.0–7.0 | 5.17 | |
| Rutting resistance, EN 12697-22, 60 °C, 10,000 cycles | WTSAIR [mm/103 cycles] | ≤0.10 | 0.06 |
| PRDAIR [%] | ≤5.0 | 4.7 | |
| Stiffness, EN 12697-26, 4PB-PR, 10 °C, 10 Hz [MPa] | – | 16,290 | |
| Resistance to fatigue, EN 12697-24, 4PB-PR, 10 °C, 10 Hz, ε = 115 μm [106 cycles] | – | 1.23 | |
| Coefficient | Result | p |
|---|---|---|
| b1 | 8.725 | 0.0000 |
| b2 | −0.0185 | 0.0000 |
| b3 | −0.0972 | 0.0000 |
© 2020 by the authors. Licensee MDPI, Basel, Switzerland. This article is an open access article distributed under the terms and conditions of the Creative Commons Attribution (CC BY) license (http://creativecommons.org/licenses/by/4.0/).
Share and Cite
Mieczkowski, P.; Budziński, B.; Jurczak, R. Micro-Structure of Hot Mix Asphalt Containing the 35/50 Bitumen Viewed in Terms of Excess Moisture in the Underlying Course of Pavement. Materials 2020, 13, 2230. https://doi.org/10.3390/ma13102230
Mieczkowski P, Budziński B, Jurczak R. Micro-Structure of Hot Mix Asphalt Containing the 35/50 Bitumen Viewed in Terms of Excess Moisture in the Underlying Course of Pavement. Materials. 2020; 13(10):2230. https://doi.org/10.3390/ma13102230
Chicago/Turabian StyleMieczkowski, Paweł, Bartosz Budziński, and Robert Jurczak. 2020. "Micro-Structure of Hot Mix Asphalt Containing the 35/50 Bitumen Viewed in Terms of Excess Moisture in the Underlying Course of Pavement" Materials 13, no. 10: 2230. https://doi.org/10.3390/ma13102230
APA StyleMieczkowski, P., Budziński, B., & Jurczak, R. (2020). Micro-Structure of Hot Mix Asphalt Containing the 35/50 Bitumen Viewed in Terms of Excess Moisture in the Underlying Course of Pavement. Materials, 13(10), 2230. https://doi.org/10.3390/ma13102230

