Aging-Resistant Behavior and Room Temperature Electron Spin Resonance of Nd3+ in Singly and Doubly Doped BaTiO3 Ceramics Associated with Preservation History
Abstract
1. Introduction
2. Methods
2.1. Materials
2.2. Characterization
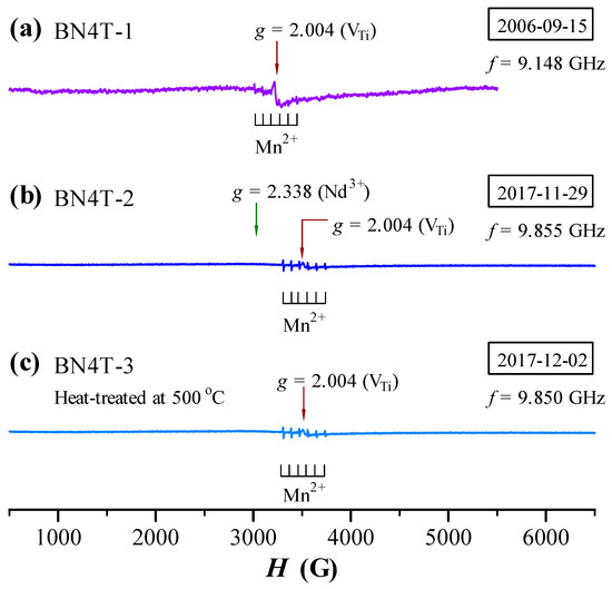
3. Results
4. Discussion
4.1. Probable Origin and Simulation of Nd3+ ESR in BN4T at RT
4.2. Probable Origin and Simulation of Nd3+ ESR in BN4TC5 at RT
4.3. Rhombohedral Distortions Detected by Raman Scattering and Photoluminescence
4.4. Controversy over Probable Origin of Nd3+ ESR in BN4T and BN4TC5
4.5. Aging-Resistant Behavior of BN4TC5
5. Conclusions
Author Contributions
Funding
Acknowledgments
Conflicts of Interest
References
- Shaikh, A.S.; Vest, R.W. Defect structure and dielectric properties of Nd2O3-modified BaTiO3. J. Am. Ceram. Soc. 1986, 69, 689–694. [Google Scholar] [CrossRef]
- Kutty, T.R.N.; Murugaraj, P. Phase relations and dielectric behavior of BaTiO3 ceramics heavily substituted with neodymium. J. Mater. Sci. 1987, 22, 3652–6664. [Google Scholar] [CrossRef]
- Yao, Z.; Liu, H.; Liu, Y.; Wu, Z.; Shen, Z.; Liu, Y.; Cao, M. Structure and dielectric behavior of Nd-doped BaTiO3 perovskites. Mater. Chem. Phys. 2008, 109, 475–481. [Google Scholar] [CrossRef]
- Babu, R.; Kandan, R.; Jena, H.; Kutty, K.V.G.; Nagarajan, K. Calorimetric investigations on cubic BaTiO3 and Ba0.9Nd0.1TiO3 systems. J. Alloys Compd. 2010, 506, 565–568. [Google Scholar] [CrossRef]
- Hirose, N.; Skakle, J.M.S.; West, A.R. Doping mechanism and permittivity correlations in Nd-doped BaTiO3. J. Electronceram. 1999, 3, 233–238. [Google Scholar] [CrossRef]
- Li, W.; Zhou, D.; He, B.; Li, F.; Pang, L.; Lu, S. Structure and dielectric properties of Nd(Zn1/2Ti1/2)O3–BaTiO3 ceramics for energy storage applications. J. Alloys Compd. 2016, 685, 418–422. [Google Scholar] [CrossRef]
- Wei, M.; Zhang, J.; Wu, K.; Chen, H.; Yang, C. Effect of BiMO3 (M = Al, In, Y, Sm, Nd, and La) doping on the dielectric properties of BaTiO3 ceramics. Ceram. Int. 2017, 43, 9593–9599. [Google Scholar] [CrossRef]
- Lu, D.; Guan, D.; Li, H. Multiplicity of photoluminescence in Raman spectroscopy and defect chemistry of (Ba1−xRx)(Ti1−xHox)O3 (R = La, Pr, Nd, Sm) dielectric ceramics. Ceram. Int. 2018, 44, 1483–1492. [Google Scholar] [CrossRef]
- Lu, D.; Zhang, L.; Sun, X. Defect chemistry of a high-k ‘Y5V’ (Ba0.95Eu0.05) TiO3 ceramic. Ceram. Int. 2013, 39, 6369–6377. [Google Scholar] [CrossRef]
- Lu, D. Self-adjustable site occupations between Ba-site Tb3+ and Ti-site Tb4+ ions in terbium-doped barium titanate ceramics. Solid State Ionics 2015, 276, 98–106. [Google Scholar] [CrossRef]
- Lu, D.; Peng, Y.; Yu, X.; Sun, X. Dielectric properties and defect chemistry of La and Tb co-doped BaTiO3 ceramics. J. Alloys Compd. 2016, 681, 128–138. [Google Scholar] [CrossRef]
- Lu, D.; Cui, S.; Liu, Q.; Sun, X. Dielectric properties and defect chemistry of barium titanate ceramics co-doped R and Dy ions (R = Eu, Gd, Tb). Ceram. Int. 2016, 42, 14364–14373. [Google Scholar] [CrossRef]
- Lu, D.; Sun, X.; Liu, B.; Zhang, J.; Ogata, T. Structural and dielectric properties, electron paramagnetic resonance, and defect chemistry of Pr-doped BaTiO3 ceramics. J. Alloys Compd. 2014, 615, 25–34. [Google Scholar] [CrossRef]
- Lu, D.; Cheng, W.; Sun, X.; Liu, Q.; Li, D.; Li, Z. Abnormal Raman spectra in Er-doped BaTiO3 ceramics. J. Raman. Spectrosc. 2014, 45, 963–970. [Google Scholar] [CrossRef]
- Alkathy, M.S.; James Raju, K.C. Onset of multiferroicity in nickel and lithium co-substituted barium titanate ceramics. J. Magn. Magn. Mater. 2018, 452, 40–47. [Google Scholar] [CrossRef]
- Possenriede, E.; Schirmer, O.F.; Godefroy, G. ESR of Nd3+ in BaTiO3. Phys. Stat. Sol. B 1990, 108, 908–917. [Google Scholar] [CrossRef]
- Eremina, R.; Gavrilova, T.; Yatsyk, I.; Fazlizhanov, I.; Likerov, R.; Shustov, V.; Zavartsev, Y.; Zagumennyi, A.; Kutovoi, S. Investigations of Y2SiO5:Nd143 by ESR method. J. Magn. Magn. Mater. 2017, 440, 13–14. [Google Scholar] [CrossRef]
- Lu, D.; Zheng, Y. A high-permittivity and low-loss (Ba1–xNdx)(Ti1–y–x/4Cey)O3 ceramic. Mater. Lett. 2018, 223, 25–28. [Google Scholar] [CrossRef]
- Genenko, Y.A.; Glaum, J.; Hoffmann, M.J.; Albe, K. Mechanisms of aging and fatigue in ferroelectrics. Mater. Sci. Eng. B 2015, 192, 52–82. [Google Scholar] [CrossRef]
- Fan, Z.; Tan, X. In-situ TEM study of the aging micromechanisms in a BaTiO3-based lead-free piezoelectric ceramic. J. Eur. Ceram. Soc. 2018, 38, 3472–3477. [Google Scholar] [CrossRef]
- Zhao, X.; Chen, W.; Zhang, L.; Zhong, L. The effect of the bipolar field on the aging behavior and the associated properties of the Mn-doped BaTiO3 ceramics. J. Alloys Compd. 2015, 618, 441–445. [Google Scholar] [CrossRef]
- Kolodiazhnyi, T.; Petric, A. Analysis of point defects in polycrystalline BaTiO3 by electron paramagnetic resonance. J. Phys. Chem. Solids 2003, 64, 953–960. [Google Scholar] [CrossRef]
- Dunbar, T.D.; Warren, W.L.; Tuttle, B.A.; Randall, C.A.; Tsur, T. Electron paramagnetic resonance investigations of lanthanide-doped barium titanate: Dopant site occupancy. J. Phys. Chem. B 2004, 108, 908–917. [Google Scholar] [CrossRef]
- Lu, D.; Cui, S. Defects characterisation of Dy-doped BaTiO3 ceramics via electron paramagnetic resonance. J. Eur. Ceram. Soc. 2014, 34, 2217–2227. [Google Scholar] [CrossRef]
- Badalyan, A.G.; Baranov, P.G.; Chramtsov, V.A.; Barta, C.; Rosa, J. EPR of Nd3+ ions in PbCl2 single crystals. Solid State Commun. 1986, 58, 877–879. [Google Scholar] [CrossRef]
- Malovichko, G.; Grachev, V.; Okulov, S.; Kokanyan, E.; Henecker, F.; Hofstaetter, A.; Schirmer, O. EPR of Nd3+ in congruent and nearly stoichiometric lithium niobate. Phys. Stat. Sol. 2006, 243, 409–415. [Google Scholar] [CrossRef]
- Prokhorov, A.D.; Prokhorov, A.A.; Chernysh, L.F.; Aleshkevich, P.; Dyakonov, V.; Szymczak, H. ESR of Nd3+ and Er3+ ions in aluminum borates YAl3(BO3)4 and EuAl3(BO3)4. J. Magn. Magn. Mater. 2013, 326, 162–165. [Google Scholar] [CrossRef]
- Falin, M.L.; Zaripov, M.M.; Latypov, V.A. EPR of Nd3+ ions in the common position in a cubic single crystal KZnF3. Appl. Magn. Reson. 2016, 47, 471–477. [Google Scholar] [CrossRef]
- Asatryan, G.R.; Rosa, J. ESR of Er3+, Nd3+, and Ce3+ ions in YAlO3 single crystals. Phys. Solid State 2002, 44, 864–869. [Google Scholar] [CrossRef]
- Atherton, N.M. Principles of Electron Spin Resonance; Ellis Horwood: Totnes, UK, 1993. [Google Scholar]
- Shannon, R.D. Revised effective ionic radii and systematic studies of interatomic distances in halides and chalcogenides. Acta Crystallogr. Sect. A 1976, 32, 751–767. [Google Scholar] [CrossRef]
- Chen, A.; Zhi, Y.; Zhi, J.; Vilarinho, P.M.; Baptista, J.L. Synthesis and characterization of Ba(Ti1−xCex)O3 ceramics. J. Eur. Ceram. Soc. 1997, 17, 1217–1221. [Google Scholar] [CrossRef]
- Hayashi, H.; Nakamura, T.; Ebina, T. In-situ Raman spectroscopy of BaTiO3 particles for tetragonal–cubic transformation. J. Phys. Chem. Solids 2013, 74, 957–962. [Google Scholar] [CrossRef]
- Lin, Y.T.; Ou, S.F.; Lin, M.H.; Song, Y.R. Effect of MgO addition on the microstructure and dielectric properties of BaTiO3 ceramics. Ceram. Int. 2018, 44, 3531–3535. [Google Scholar]
- Liu, Q.; Liu, J.; Lu, D.; Zheng, W. Colossal dielectric behavior and relaxation in Nd-doped BaTiO3 at low temperature. Ceram. Int. 2018, 44, 7251–7258. [Google Scholar] [CrossRef]
- Guo, Y.; Li, M.; Tian, Y.; Xu, R.; Hu, L.; Zhang, J. Enhenced 2.7 μm emission and energy transfer mechanism of Nd3+/Er3+ co-doped sodium tellurite glasses. J. Appl. Phys. 2011, 110, 013512. [Google Scholar]
- Zhou, D.; Ren, Y.; Xu, J.; Shi, Y.; Jiang, G.; Zhao, Z. Fine grained Nd3+:Lu2O3 transparent ceramic with enhanced photoluminescence. J. Eur. Ceram. Soc. 2014, 34, 2035–2039. [Google Scholar] [CrossRef]
- Kolesnikov, I.E.; Mamonova, D.V.; Lähderanta, E.; Kolesnikov, E.Y.; Kurochkin, A.V.; Mikhailov, M.D. Synthesis and characterization of Y2O3:Nd3+ nanocrystalline powders and ceramics. Opt. Mater. 2018, 75, 680–685. [Google Scholar] [CrossRef]
- Müller, H.D.; Ennen, H.; Schneider, J.; Axmann, A. Photoluminescence of neodymium-implanted gallium phosphide and gallium arsenide. J. Appl. Phys. 1986, 59, 2210–2212. [Google Scholar] [CrossRef]
- Hinatsu, Y.; Edelstein, N. Electron paramagnetic resonance spectrum of Pr4+ in BaCeO3. J. Solid State Chem. 1994, 112, 53–57. [Google Scholar] [CrossRef]
- Lu, D.; Toda, M.; Sugano, M. High-permittivity double rare-earth-doped barium titanate ceramics with diffuse phase transition. J. Am. Ceram. Soc. 2006, 89, 3112–3123. [Google Scholar] [CrossRef]
- Lu, D.; Sun, X.; Toda, M. A novel high-k ‘Y5V’ barium titanate ceramics co-doped with lanthanum and cerium. J. Phys. Chem. Solids 2007, 68, 650–664. [Google Scholar] [CrossRef]






| Symbol | Date of Preparation | Date of ESR | Preservation History |
|---|---|---|---|
| BN4T-1 | 9 September 2006 | 15 September 2006 | Ceramic powder in a desiccator |
| BN4T-2 | 9 September 2006 | 29 November 2017 | Ceramic powder in a desiccator |
| BN4T-3 | 9 September 2006 | 2 December 2017 | Ceramic powder was heat treated at 500 °C for 2 h |
| BN4TC5-1 | 10 October 2006 | 27 November 2006 | Ceramic powder in a desiccator |
| BN4TC5-2 | 10 October 2006 | 27 November 2017 | Ceramic powder in a desiccator |
| BN4TC5-3 | 10 October 2006 | 23 August 2018 | Ceramic powder was heat treated at 500 °C for 2 h |
© 2019 by the authors. Licensee MDPI, Basel, Switzerland. This article is an open access article distributed under the terms and conditions of the Creative Commons Attribution (CC BY) license (http://creativecommons.org/licenses/by/4.0/).
Share and Cite
Lu, D.; Ji, L.; Liu, J. Aging-Resistant Behavior and Room Temperature Electron Spin Resonance of Nd3+ in Singly and Doubly Doped BaTiO3 Ceramics Associated with Preservation History. Materials 2019, 12, 451. https://doi.org/10.3390/ma12030451
Lu D, Ji L, Liu J. Aging-Resistant Behavior and Room Temperature Electron Spin Resonance of Nd3+ in Singly and Doubly Doped BaTiO3 Ceramics Associated with Preservation History. Materials. 2019; 12(3):451. https://doi.org/10.3390/ma12030451
Chicago/Turabian StyleLu, Dayong, Lv Ji, and Junwei Liu. 2019. "Aging-Resistant Behavior and Room Temperature Electron Spin Resonance of Nd3+ in Singly and Doubly Doped BaTiO3 Ceramics Associated with Preservation History" Materials 12, no. 3: 451. https://doi.org/10.3390/ma12030451
APA StyleLu, D., Ji, L., & Liu, J. (2019). Aging-Resistant Behavior and Room Temperature Electron Spin Resonance of Nd3+ in Singly and Doubly Doped BaTiO3 Ceramics Associated with Preservation History. Materials, 12(3), 451. https://doi.org/10.3390/ma12030451

