Mannich Base as Corrosion Inhibitors for N80 Steel in a CO2 Saturated Solution Containing 3 wt % NaCl
Abstract
1. Introduction
2. Experiment
2.1. Main Experimental Materials and Instruments
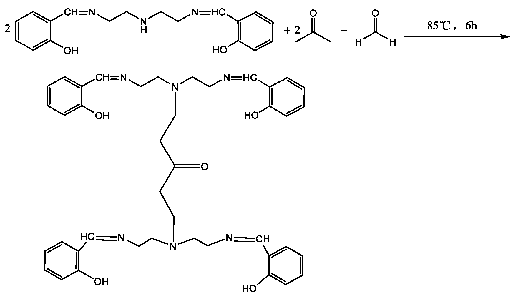
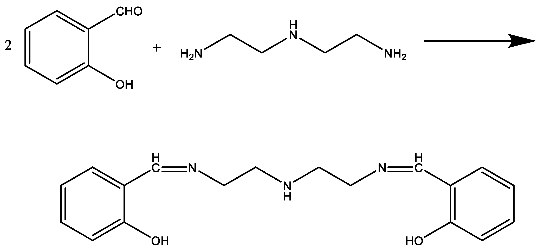
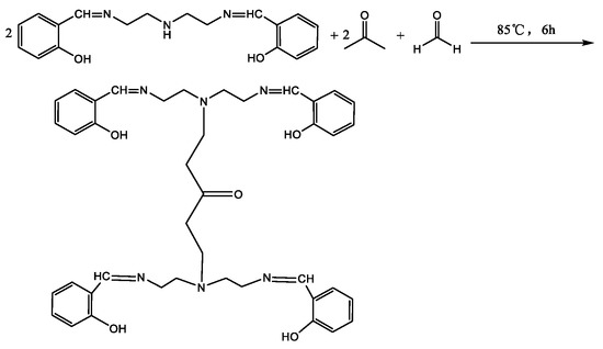
2.2. Synthesis of Corrosion Inhibitor
2.3. Weight Loss Measurements
2.4. Electrochemical Measurements
2.5. AFM Analysis
3. Results and Discussion
3.1. IR Characterisation Results
3.2. Optimization of MB-2 Synthesis Conditions
3.3. 1H NMR Analysis
3.4. Concentration Effect of MBT on Corrosion Inhibition
3.5. Temperature Effect of MBT on Corrosion Inhibition
3.6. Discussion on Corrosion Inhibition Mechanism
3.6.1. Polarization Curve Data Analysis
3.6.2. Electrochemical Impedance Spectroscopy Data Analysis
3.7. MBT Adsorption Mode
3.8. Corrosion Inhibition Surface Morphology Analysis
4. Conclusions
Author Contributions
Funding
Acknowledgments
Conflicts of Interest
References
- Liu, Z.; Cheng, Y.; Wang, Y.; Wang, L.; Li, W. Experimental investigation of CO2 injection into coal seam reservoir at in-situ stress conditions for enhanced coalbed methane recovery. Fuel 2019, 236, 709–716. [Google Scholar] [CrossRef]
- Franco, C.A.; Zabala, R.; Cortés, F.B. Nanotechnology applied to the enhancement of oil and gas productivity and recovery of Colombian fields. J. Pet. Sci. Eng. 2017, 157, 39–55. [Google Scholar] [CrossRef]
- Abelev, E.; Sellberg, J.; Ramanarayanan, T.A.; Bernasek, S.L. Effect of H2S on Fe corrosion in CO2-saturated brine. J. Mater. Sci. 2009, 44, 6167–6181. [Google Scholar] [CrossRef]
- Tang, M.; Li, J.; Ye, Z.; Kou, Z.; Fu, L. A Novel Eco-Friendly Scale and Corrosion Inhibitor Modified by β-Cyclodextrin. Aust. J. Chem. 2017, 70, 933–942. [Google Scholar] [CrossRef]
- Liu, H.; Schonberger, K.D.; Peng, C.Y.; Ferguson, J.F.; Desormeaux, E.; Meyerhofer, P.; Luckenbach, H.; Korshin, G.V. Effects of blending of desalinated and conventionally treated surface water on iron corrosion and its release from corroding surfaces and pre-existing scales. Water Res. 2013, 47, 3817–3826. [Google Scholar] [CrossRef] [PubMed]
- Molnár, V.; Fedorko, G.; Krešák, J.; Peterka, P.; Fabianová, J. The influence of corrosion on the life of steel ropes and prediction of their decommissioning. Eng. Fail. Anal. 2017, 74, 119–132. [Google Scholar] [CrossRef]
- Al-Amiery, A.A.; Kassim, F.A.; Kadhum, A.A.; Mohamad, A.B. Synthesis and characterization of a novel eco-friendly corrosion inhibition for mild steel in 1 M hydrochloric acid. Sci. Rep. 2016, 6, 19890. [Google Scholar] [CrossRef] [PubMed]
- Zhang, K.; Xu, B.; Yang, W.; Yin, X.; Liu, Y.; Chen, Y. Halogen-substituted imidazoline derivatives as corrosion inhibitors for mild steel in hydrochloric acid solution. Corros. Sci. 2015, 90, 284–295. [Google Scholar] [CrossRef]
- Pillay, C.; Lin, J. The impact of additional nitrates in mild steel corrosion in a seawater/sediment system. Corros. Sci. 2014, 80, 416–426. [Google Scholar] [CrossRef]
- Hamani, H.; Douadi, T.; Daoud, D.; Al-Noaimi, M.; Rikkouh, R.A.; Chafaa, S. 1-(4-Nitrophenylo-imino)-1-(phenylhydrazono)-propan-2-one as corrosion inhibitor for mild steel in 1 M HCl solution: Weight loss, electrochemical, thermodynamic and quantum chemical studies. J. Electroanal. Chem. 2017, 801, 425–438. [Google Scholar] [CrossRef]
- Vimalanandan, A.; Lv, L.P.; Tran, T.H.; Landfester, K.; Crespy, D.; Rohwerder, M. Redox-responsive self-healing for corrosion protection. Adv. Mater. 2013, 25, 6980–6984. [Google Scholar] [CrossRef] [PubMed]
- Li, J.; Tang, M.; Ye, Z.; Chen, L.; Zhou, Y. Scale formation and control in oil and gas fields: A review. J. Dispers. Sci. Technol. 2017, 38, 661–670. [Google Scholar] [CrossRef]
- Camargo, J.A.; Alonso, Á. Ecological and toxicological effects of inorganic nitrogen pollution in aquatic ecosystems: A global assessment. Environ. Int. 2006, 32, 831. [Google Scholar] [CrossRef] [PubMed]
- Paustovskaya, V.V. Some results of a research in the problem “inhibitors of metal corrosion. Toxicology and industrial hygiene”. Prot. Met. 2000, 36, 89–93. [Google Scholar] [CrossRef]
- Nishida, I.; Shimada, Y.; Saito, T.; Okaue, Y.; Yokoyama, T. Effect of aluminum on the deposition of silica scales in cooling water systems. J. Colloid Interface Sci. 2009, 335, 18. [Google Scholar] [CrossRef] [PubMed]
- SY/T 5273–2000, The Oil Industry Standard of the People’s Republic of China; Petroleum Industry Press: Beijing, China, 2000.
- Zhang, H.H.; Gao, K.; Yan, L.; Pang, X. Inhibition of the corrosion of X70 and Q235 steel in CO2-saturated brine by imidazoline-based inhibitor. J. Electroanal. Chem. 2017, 791, 83–94. [Google Scholar] [CrossRef]
- Fu, L.; Yi, F.; Zeng, B.; Hu, C.; Li, J. Study of Synthesis and Corrosion Inhibition of Novel Mannich and Schiff Bases on Carbon Steel in Acid Solution. Russ. J. Appl. Chem. 2018, 91, 499–509. [Google Scholar] [CrossRef]
- Li, X.; Deng, S.; Xie, X. Inhibition effect of tetradecylpyridinium bromide on the corrosion of cold rolled steel in 7.0M H3PO4. Arab. J. Chem. 2014, 84, S3715–S3724. [Google Scholar]
- Xiang, Y.G.; Qiao, K.Q.; Cui, Y.S. Corrosion Inhibition of Eggplant Leaf Extract for Carbon Steel in Hydrochloric Acid Medium. Corros. Prot. 2016, 37, 122–127. [Google Scholar]
- Meng, Y.; Ning, W.; Xu, B.; Yang, W.; Zhang, K.; Chen, Y.; Li, L.; Liu, X.; Zheng, J.; Zhang, Y. Inhibition of mild steel corrosion in hydrochloric acid using two novel pyridine Schiff base derivatives: A comparative study of experimental and theoretical results. RSC Adv. 2017, 7, 43014–43029. [Google Scholar] [CrossRef]
- Bentiss, F.; Lebrini, M.; Lagrenée, M. Thermodynamic characterization of metal dissolution and inhibitor adsorption processes in mild steel/2,5-bis(-thienyl)-1,3,4-thiadiazoles/hydrochloric acid system. Corros. Sci. 2005, 47, 2915–2931. [Google Scholar] [CrossRef]
- Feng, L.; Yang, H.; Wang, F. Experimental and theoretical studies for corrosion inhibition of carbon steel by imidazoline derivative in 5% NaCl saturated Ca(OH)2, solution. Electrochim. Acta 2011, 58, 427–436. [Google Scholar] [CrossRef]













| Level | A n(MB-2):n(HCHO):n(CH3COCH3) | B Temperature/°C | C Time (h) |
|---|---|---|---|
| 1 | 1:1:1 | 70 | 4 |
| 2 | 1.5:1.5:1 | 75 | 5 |
| 3 | 2:2:1 | 80 | 6 |
| 4 | 2.5:2.5:1 | 85 | 7 |
| NO. | A | B | C | Corrosion Rate (mm/a) |
|---|---|---|---|---|
| 1 | 1 | 1 | 1 | 0.180 |
| 2 | 1 | 2 | 2 | 0.143 |
| 3 | 1 | 3 | 3 | 0.076 |
| 4 | 1 | 4 | 4 | 0.059 |
| 5 | 2 | 1 | 2 | 0.135 |
| 6 | 2 | 2 | 1 | 0.139 |
| 7 | 2 | 3 | 4 | 0.068 |
| 8 | 2 | 4 | 3 | 0.056 |
| 9 | 3 | 1 | 3 | 0.098 |
| 10 | 3 | 2 | 4 | 0.073 |
| 11 | 3 | 3 | 1 | 0.102 |
| 12 | 3 | 4 | 2 | 0.067 |
| 13 | 4 | 1 | 4 | 0.120 |
| 14 | 4 | 2 | 3 | 0.084 |
| 15 | 4 | 3 | 2 | 0.079 |
| 16 | 4 | 4 | 1 | 0.106 |
| I | 289.2 | 259.8 | 303.2 | |
| II | 296.7 | 302.9 | 301.0 | |
| III | 341.0 | 338.7 | 307.8 | |
| IV | 308.6 | 334.2 | 322.7 | |
| K1 | 0.115 | 0.133 | 0.132 | |
| K2 | 0.100 | 0.110 | 0.106 | |
| K3 | 0.085 | 0.081 | 0.079 | |
| K4 | 0.097 | 0.072 | 0.080 | |
| R | 0.03 | 0.061 | 0.053 | |
| Effect order | B > C > A | |||
| Optimal level | A3 | B4 | C3 | |
| Inhibitor | Conc. (mg·L−1) | Ecorr (V) | Icorr (μA·cm−2) | Ba (mV·dec−1) | Bc (mV·dec−1) | η (%) |
|---|---|---|---|---|---|---|
| MBT | 0 | −0.725 | 60.99 | 10.21 | 5.11 | - |
| 50 | −0.727 | 26.10 | 9.86 | 5.98 | 57.2 | |
| 100 | −0.737 | 12.62 | 5.59 | 7.58 | 79.3 | |
| 200 | −0.775 | 10.06 | 12.06 | 7.23 | 83.5 | |
| 300 | −0.755 | 7.99 | 9.74 | 8.07 | 86.9 |
| Inhibitor | Conc. (mg/L) | Rs Ω·cm2 | Cdl μF·cm−2 | Rct Ω·cm2 | CPE | Rt (Ω) | η% | |
|---|---|---|---|---|---|---|---|---|
| Y0 μS·cm−2·sn | n | |||||||
| MBT | 0 | 1.579 | 6.02 | 136.7 | 15.33 | 0.82 | 13.57 | - |
| 50 | 4.507 | 13.96 | 255 | 8.83 | 0.69 | 23.56 | 46.4 | |
| 100 | 1.758 | 7.90 | 871.7 | 54.22 | 0.73 | 58.71 | 84.3 | |
| 200 | 1.571 | 12.13 | 941.2 | 53.71 | 0.67 | 37.77 | 85.5 | |
| 300 | 1.867 | 18.82 | 1020 | 10.92 | 0.61 | 42.47 | 86.6 | |
| MBT (mg/L) + CM | Ra (nm) | Rq (nm) | Rmax (nm) |
|---|---|---|---|
| 0 + 0 | 13.1 | 17.3 | 165.0 |
| 0 + CM | 113.0 | 155.0 | 2050.0 |
| 50 + CM | 93.0 | 119.0 | 873.0 |
| 100 + CM | 58.1 | 73.2 | 597.0 |
| 200 + CM | 24.4 | 33.2 | 369.0 |
| 300 + CM | 15.9 | 21.6 | 192.0 |
© 2019 by the authors. Licensee MDPI, Basel, Switzerland. This article is an open access article distributed under the terms and conditions of the Creative Commons Attribution (CC BY) license (http://creativecommons.org/licenses/by/4.0/).
Share and Cite
Tang, M.; Li, J.; Li, Z.; Fu, L.; Zeng, B.; Lv, J. Mannich Base as Corrosion Inhibitors for N80 Steel in a CO2 Saturated Solution Containing 3 wt % NaCl. Materials 2019, 12, 449. https://doi.org/10.3390/ma12030449
Tang M, Li J, Li Z, Fu L, Zeng B, Lv J. Mannich Base as Corrosion Inhibitors for N80 Steel in a CO2 Saturated Solution Containing 3 wt % NaCl. Materials. 2019; 12(3):449. https://doi.org/10.3390/ma12030449
Chicago/Turabian StyleTang, Mingjin, Jianbo Li, Zhida Li, Luoping Fu, Bo Zeng, and Jie Lv. 2019. "Mannich Base as Corrosion Inhibitors for N80 Steel in a CO2 Saturated Solution Containing 3 wt % NaCl" Materials 12, no. 3: 449. https://doi.org/10.3390/ma12030449
APA StyleTang, M., Li, J., Li, Z., Fu, L., Zeng, B., & Lv, J. (2019). Mannich Base as Corrosion Inhibitors for N80 Steel in a CO2 Saturated Solution Containing 3 wt % NaCl. Materials, 12(3), 449. https://doi.org/10.3390/ma12030449
