Current Characteristics Estimation of Si PV Modules Based on Artificial Neural Network Modeling
Abstract
1. Introduction
2. Experimental Device
3. Construction of the Model
3.1. Step 1, Obtain Actual I-V Curves
3.2. Step 2, Select the Appropriate Training Set
3.3. Step 3, Generation of the I-V Curve
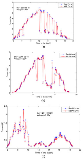
4. Analysis of the MLP Prediction Results
5. Conclusions
Author Contributions
Funding
Conflicts of Interest
References
- Ram, J.P.; Manghani, H.; Pillai, D.S.; Babu, T.S.; Miyatake, M.; Rajasekar, N. Analysis on solar PV emulators: Areview. Renew. Sustain. Energy Rev. 2018, 81, 149–160. [Google Scholar] [CrossRef]
- Caamaño, E.; Lorenzo, E.; Zilles, R. Quality control of wide collections of PV modules: Lessons learned from the IES experience. Prog. Photovolt. Res. Appl. 1999, 7, 137–149. [Google Scholar] [CrossRef]
- Easwarakhantan, T.; Bottin, J.; Bouhouch, I.; Boutrit, C. Nonlinear minimization algorithm for determining the solar cell parameters with microcomputers. Int. J. Sol. Energy 1986, 4, 1–12. [Google Scholar] [CrossRef]
- Khan, F.; Singh, S.N.; Husain, M. Determination of diode parameters of a silicon solar cell from variation of slopes of the I–V curve at open circuit and short circuit conditions with the intensity of illumination. Semicond. Sci. Technol. 2010, 25, 015002. [Google Scholar] [CrossRef]
- Chaibi, Y.; Allouhi, A.; Malvoni, M.; Salhi, M.; Saadani, R. Solar irradiance and temperature influence on the photovoltaic cell equivalent-circuitmodels. Sol. Energy 2019, 188, 1102–1110. [Google Scholar] [CrossRef]
- Garrido-Alzar, C.L. Algorithm for extraction of solar cell parameters from I–V curve using double exponential model. Renew. Energy 1997, 10, 125–128. [Google Scholar] [CrossRef]
- Kaminski, A.; Marchand, J.J.; Laugier, A. I–V methods to extract junction parameters with special emphasis on low series resistance. Solid-State Electron. 1999, 43, 741–745. [Google Scholar] [CrossRef]
- Tivanov, M.; Patryn, A.; Drozdov, N.; Fedotov, A.; Mazanik, A. Determination of solar cell parameters from its current–voltage and spectral characteristics. Sol. Energy Mater. Sol. Cells 2005, 87, 457–465. [Google Scholar] [CrossRef]
- Celik, A.N.; Acikgoz, N. Modelling and experimental verification of the operating current of mono-crystalline photovoltaic modules using four- and five-parameter models. Appl. Energy 2007, 84, 1–15. [Google Scholar] [CrossRef]
- Haouari-Merbah, M.; Belhamel, M.; Tobías, I.; Ruiz, J.M. Extraction and analysis of solar cell parameters from the illuminated current–voltage curve. Sol. Energy Mater. Sol. Cells 2005, 87, 225–233. [Google Scholar] [CrossRef]
- Cuce, E.; Cuce, P.M.; Karakas, I.H.; Bali, T. An accurate model for photovoltaic (PV) modules to determine electrical characteristics and thermodynamic performance parameters. Energy Convers. Manag. 2017, 146, 205–216. [Google Scholar] [CrossRef]
- Stutenbaeumer, U.; Mesfin, B. Equivalent model of monocrystalline, polycrystalline and amorphous silicon solar cells. Renew. Energy 1999, 18, 501–512. [Google Scholar] [CrossRef]
- Zhang, C.; Zhang, J.; Hao, Y.; Lin, Z.; Zhu, C. A simple and efficient solar cell parameter extraction method from a single current-voltage curve. J. Appl. Phys. 2011, 110, 064504. [Google Scholar] [CrossRef]
- Hontoria, L.; Aguilera, J.; Almonacid, F.; Nofuentes, G.; Zufiria, P. Artificial neural networks applied in PV systems and solar radiation. In Artificial Intelligence in Energy and Renewable Energy Systems; Nova Science Publishers, Inc.: Commack, NY, USA, 2006. [Google Scholar]
- Hontoria, L.; Aguilera, J.; Zufiria, P. Generation of hourly irradiation synthetic series using the neural network multilayer perceptron. Sol. Energy 2002, 72, 441–446. [Google Scholar] [CrossRef]
- Mellit, A.; Benghanem, M.; Kalogirou, S.A. An adaptive wavelet-network model for forecasting daily total solar-radiation. Appl. Energy 2006, 83, 705–722. [Google Scholar] [CrossRef]
- Veerachary, M.; Senjyu, T.; Uezato, K. Neural-network-based maximum-power-point tracking of coupled-inductor interleaved-boost-converter-supplied PV system using fuzzy controller. IEEE Trans. Ind. Electron. 2003, 50, 749–758. [Google Scholar] [CrossRef]
- Bouarroudj, N.; Boukhetala, D.; Feliu-Batlle, V.; Boudjema, F.; Benlahbib, B.; Batoun, B. Maximum power point tracker based on fuzzy adaptive radial basis function neural network for PV-system. Energies 2019, 12, 2827. [Google Scholar] [CrossRef]
- Faria, J.; Pombo, J.; Calado, M.d.R.; Mariano, S. Power management control strategy based on artificial neural networks for stand alone PV applications with a Hybrid energy storage system. Energies 2019, 12, 902. [Google Scholar] [CrossRef]
- Mittal, M.; Bora, B.; Saxena, S.; Gaur, A.M. Performance prediction of PV module using electrical equivalent model and artificial neural network. Sol. Energy 2018, 176, 104–117. [Google Scholar] [CrossRef]
- Durisch, W.; Tille, D.; Wörz, A.; Plapp, W. Characterisation of photovoltaic generators. Appl. Energy 2000, 65, 273–284. [Google Scholar] [CrossRef]
- Marion, B.; Anderberg, A.; Deline, C.; del Cueto, J.; Muller, M.; Perrin, G.; Rodriguez, J.; Rummel, S.; Silverman, T.J.; Vignola, F.; et al. New data set for validating PV module performance models. In Proceedings of the 2014 IEEE 40th Photovoltaic Specialist Conference (PVSC), Denver, CO, USA, 8–13 June 2014; pp. 1362–1366. [Google Scholar]
- Hush, D.R.; Horne, B.G. Progress in supervised neural networks. IEEE Signal Process. Mag. 1993, 10, 8–39. [Google Scholar] [CrossRef]
- Cybenko, G. Approximation by superpositions of a sigmoidal function. Math. Control Signals Syst. 1989, 2, 303–314. [Google Scholar] [CrossRef]
- Rotermund, D.; Pawelzik, K.R. Back-propagation learning in deep spike-by-spike networks. Front. Comput. Neurosci. 2019, 13, 1–13. [Google Scholar] [CrossRef] [PubMed]
- Alejo, R.; Monroy-de-Jesus, J.; Ambriz-Polo, J.C.; Pacheco-Sanchez, J.H. An improved dynamic sampling back-propagation algorithm based on mean square error to face the multi-class imbalance problem. Neural Comput. Appl. 2017, 28, 2843–2857. [Google Scholar] [CrossRef]
- Ansari, H.R.; Zarei, M.J.; Sabbaghi, S.; Keshavarz, P. A new comprehensive model for relative viscosity of various nanofluids using feed-forward back-propagation MLP neural networks. Int. Commun. Heat Mass Transf. 2018, 91, 158–164. [Google Scholar] [CrossRef]
- Paulin, B.J.; Praynlin, E. Solar photovoltaic output power forecasting using back propagation neural network. ICTACT J. Soft Comput. 2016, 6, 1144–1152. [Google Scholar]
- Zerdoumi, Z.; Chikouche, D.; Benatia, D. Multilayer perceptron based equalizer with an improved back propagation algorithm for nonlinear channels. Int. J. Mob. Comput. Multimed. Commun. 2016, 7, 16–31. [Google Scholar] [CrossRef]
- Curry, B.; Morgan, P.H. Model selection in neural networks: some difficulties. Eur. J. Oper. Res. 2006, 170, 567–577. [Google Scholar] [CrossRef]
- Almonacid, F.; Fernández, E.F.; Rodrigo, P.; Pérez-Higueras, P.J.; Rus-Casas, C. Estimating the maximum power of a high concentrator photovoltaic (HCPV) module using an artificial neural network. Energy 2013, 53, 165–172. [Google Scholar] [CrossRef]
- Malvoni, M.; de Giorgi, M.G.; Congedo, P.M. Forecasting of PV power generation using weather input data-preprocessing techniques. Energy Procedia 2017, 126, 651–658. [Google Scholar] [CrossRef]








| G (W/m2) | Tc (°C) | G (W/m2) | Tc (°C) | G (W/m2) | Tc (°C) | G (W/m2) | Tc (°C) |
|---|---|---|---|---|---|---|---|
| 100.3 | 12.9 | 102.1 | 20.0 | 109.8 | 25.0 | 104.0 | 33.0 |
| 346.7 | 12.9 | 352.0 | 20.0 | 349.9 | 25.0 | 324.7 | 33.0 |
| 608.5 | 12.7 | 604.0 | 20.0 | 601.9 | 25.0 | 601.1 | 32.3 |
| 873.3 | 12.9 | 847.9 | 20.1 | 847.4 | 25.0 | 845.7 | 34.4 |
| 1105.0 | 12.5 | 1052.3 | 20.0 | 1088.2 | 25.0 | 1097.2 | 34.6 |
| xSi12922 | |||||
|---|---|---|---|---|---|
| G (W/m2) | Tc (°C) | MSE (%) | MBE (%) | Best linear fit: A = βT + α | R2(%) |
| 207.9 | 21.6 | 0.14357 | −0.0081567 | A = (0.95983)T + (0.044092) | 99.3498 |
| 491.7 | 15.5 | 0.33843 | 0.036869 | A = (1.06340)T + (0.168920) | 99.8593 |
| 922.9 | 23.8 | 0.36043 | 0.0094 | A = (0.97613)T + (0.120550) | 99.8593 |
| 639.1 | 25.0 | 0.33031 | 0.035184 | A = (1.01750)T + (−0.09513) | 99.9086 |
| 384.7 | 18.3 | 1.59730 | −0.29256 | A = (1.00290)T + (0.253630) | 99.5170 |
| 1059.6 | 30.3 | 0.48341 | −0.025697 | A = (0.97268)T + (0.087804) | 99.8283 |
| 443.7 | 24.3 | 0.34652 | −2.4395 | A = (1.05980)T + (−0.15873) | 99.9102 |
| 895.6 | 28.3 | 0.24494 | 0.17058 | A = (1.01460)T + (0.033725) | 99.9439 |
| 380.3 | 25.7 | 0.54364 | 0.0438 | A = (0.86450)T + (0.164720) | 99.4472 |
| 565.2 | 22.3 | 0.80404 | 0.03101 | A = (0.94354)T + (0.022098) | 99.8563 |
| 768.6 | 31.6 | 0.83609 | 0.0305 | A = (1.07590)T + (0.123480) | 99.9921 |
| 922.9 | 31.8 | 0.88071 | 0.0541 | A = (0.92050)T + (0.386470) | 99.9315 |
| 930.2 | 33.2 | 0.75781 | 0.1589 | A = (1.05340)T + (0.313870) | 99.9730 |
| 483.9 | 16.0 | 0.15812 | 0.0076 | A = (0.97426)T + (0.041104) | 99.8693 |
| 1066.7 | 35.0 | 1.79780 | 0.1181 | A = (0.86818)T + (0.743890) | 99.9504 |
| 650.1 | 30.0 | 1.81190 | 0.03271 | A = (1.50320)T + (1.44840) | 99.6288 |
| 951.5 | 25.0 | 0.76103 | 0.03312 | A = (1.07101)T + (0.37733) | 99.9840 |
| 1000.8 | 32.5 | 0.59843 | 0.0929 | A = (0.96008)T + (0.23463) | 99.9368 |
| 525.2 | 33.0 | 2.72460 | 0.00837 | A = (0.63929)T + (0.95310) | 99.2597 |
| 950.5 | 35.0 | 1.46910 | 0.12831 | A = (0.89510)T + (0.50351) | 99.6683 |
| G (W/m2) | Tc (°C) | ANN MSE (%) | Khan MSE (%) |
|---|---|---|---|
| 425.5 | 38.2 | 0.43587 | 3.38521 |
| 1032.6 | 47.1 | 0.35621 | 1.82391 |
| 281.4 | 34.7 | 0.57120 | 5.93176 |
| 106.4 | 24.8 | 0.19348 | 9.12813 |
© 2019 by the authors. Licensee MDPI, Basel, Switzerland. This article is an open access article distributed under the terms and conditions of the Creative Commons Attribution (CC BY) license (http://creativecommons.org/licenses/by/4.0/).
Share and Cite
Xu, X.; Zhang, X.; Huang, Z.; Xie, S.; Gu, W.; Wang, X.; Zhang, L.; Zhang, Z. Current Characteristics Estimation of Si PV Modules Based on Artificial Neural Network Modeling. Materials 2019, 12, 3037. https://doi.org/10.3390/ma12183037
Xu X, Zhang X, Huang Z, Xie S, Gu W, Wang X, Zhang L, Zhang Z. Current Characteristics Estimation of Si PV Modules Based on Artificial Neural Network Modeling. Materials. 2019; 12(18):3037. https://doi.org/10.3390/ma12183037
Chicago/Turabian StyleXu, Xiaobo, Xiaocheng Zhang, Zhaowu Huang, Shaoyou Xie, Wenping Gu, Xiaoyan Wang, Lin Zhang, and Zan Zhang. 2019. "Current Characteristics Estimation of Si PV Modules Based on Artificial Neural Network Modeling" Materials 12, no. 18: 3037. https://doi.org/10.3390/ma12183037
APA StyleXu, X., Zhang, X., Huang, Z., Xie, S., Gu, W., Wang, X., Zhang, L., & Zhang, Z. (2019). Current Characteristics Estimation of Si PV Modules Based on Artificial Neural Network Modeling. Materials, 12(18), 3037. https://doi.org/10.3390/ma12183037

