Experimental Investigations on the Pull-Out Behavior of Tire Strips Reinforced Sands
Abstract
:1. Introduction
2. Laboratory Pull-Out Tests
2.1. Test Apparatus
2.2. Materials
2.3. Test Methods
3. Experimental Results and Discussions
3.1. Pull-Out Load-Displacement Relationship
3.2. Reinforcement Index
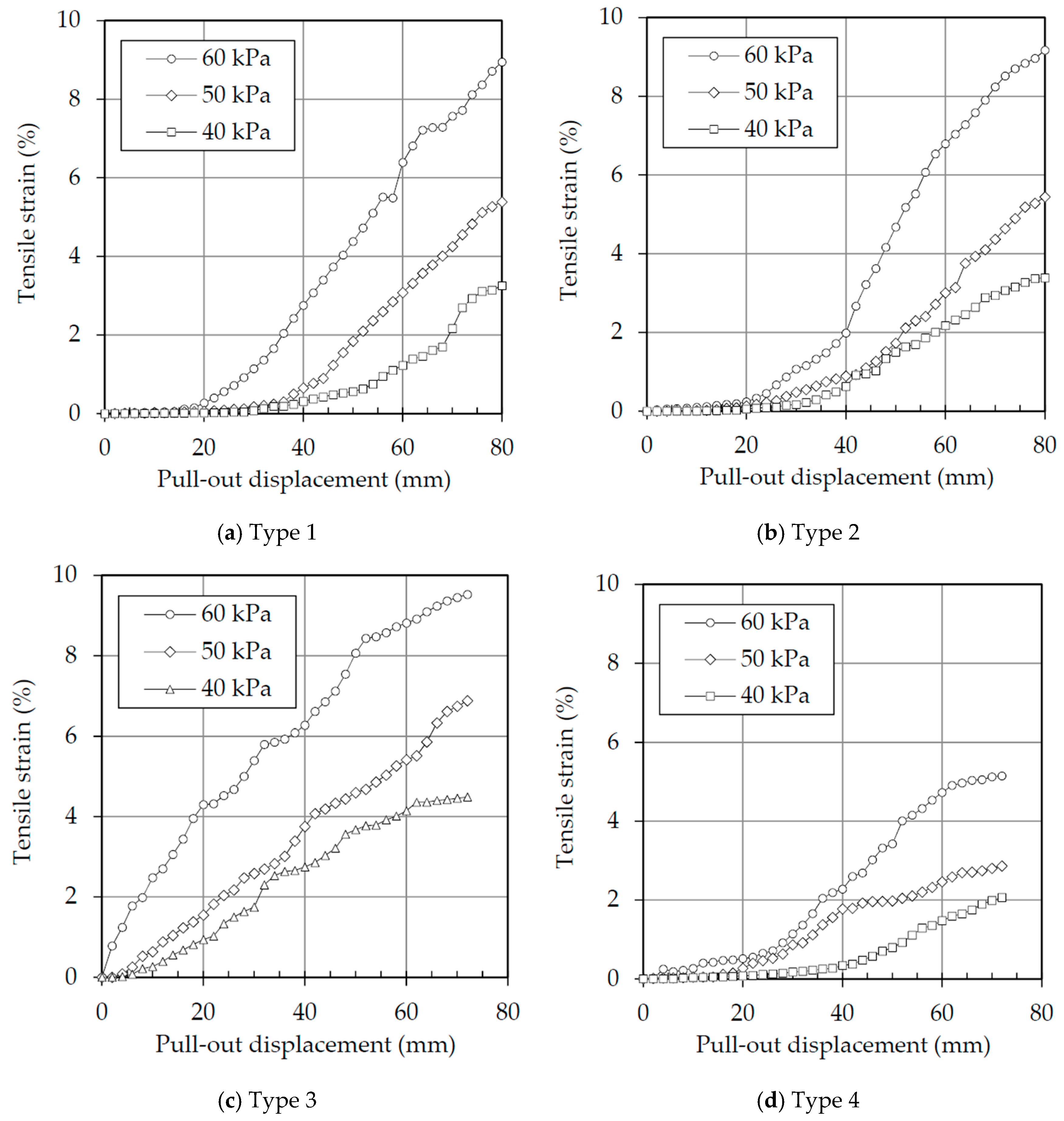
3.3. Tensile Strain
3.4. Frictional Resistance and Relative Displacement
4. Conclusions
- The pull-out loads mobilized by the tire strips are two times higher than the pull-out loads mobilized by the uniaxial and biaxial geogrids, under the same testing conditions. However, the stiffness of the geogrid-sand system is larger than the stiffness of the tire strips-sand system.
- Tire strips reinforced sand fails by progressive failure, where each portion of the strip is mobilizing different strengths from the soil. At the point of failure, however, the strains mobilized on the tire strips were much lower than the strains measured when carrying out direct tensile tests on similar specimens.
- The interface strength properties that were calculated yielded values far higher than the strength properties of the sand. This indicates that the shearing interface being mobilized must be on the sand and away from the contact interface between sand and tire. Hence, more fundamental research is needed in order to understand how the rubber mobilizes larger strengths, and how to determine those properties.
Acknowledgments
Author Contributions
Conflicts of Interest
References
- European Tire & Rubber Manufacters Association (ETRMA). Annual Report, Statistics Edition 2011. Available online: http://www.etrma.org/uploads/Modules/Documentsmanager/20120612-etrma-statistics-2011.pdf (assessed on 15 March 2016).
- Berrueco, C.; Esperanza, E.; Mastral, F.J.; Ceamanos, J.; Garcia-Bacaicoa, P. Pyrolysis of waste tires in an atmospheric static-bed batch reactor: Analysis of the gases obtained. J. Anal. Appl. Pyrolysis 2005, 74, 245–253. [Google Scholar] [CrossRef]
- Garga, V.K.; O’Shaughnessy, V. Tire-reinforced earth fill. Part 1: Construction of a test fill, performance and retaining wall design. Can. Geotech. J. 2000, 7, 75–96. [Google Scholar] [CrossRef]
- Moghaddas Tafreshi, S.N.; Khalaj, O.; Dawson, A.R. Repeated loading of soil containing granulated rubber and multiple geocell layers. Geotext. Geomembr. 2014, 42, 25–38. [Google Scholar] [CrossRef]
- Rubber Manufacturer Association (RMA). Scrap Tire Markets in the United States, 9th Biennial Report. 2009. Available online: http://www.genan.eu/Files/Filer/pdf/Scrap_Tire_Markets_In_The_Unites_States.pdf (accessed on 14 August 2014).
- Yoon, Y.W.; Cheon, S.H.; Kang, D.S. Bearing capacity and settlement of tire-reinforced sands. Geotext. Geomembr. 2004, 22, 439–453. [Google Scholar] [CrossRef]
- Kamarudin, S.; Le Gac, P.-Y.; Marco, Y.; Muhr, A.H. Formation of crust on natural rubber after ageing. In Proceedings of the 7th European Conference on Constitutive Models for Rubber,ECCMR, Dublin, Ireland, 20–23 September 2011; pp. 197–202. [Google Scholar] [CrossRef]
- Santos, A.P.S.; Consoli, N.C.; Budet, B. The mechanics of fibre-reinforced soil. Geotechnique 2010, 60, 791–799. [Google Scholar] [CrossRef]
- Shahrokhabadi, S.; Nazeryzadeh, N. Efficacy of resinous polypropylene (PP) fibers on strength behavior of reinforced soils. Adv. Mater. Res. 2013, 787, 75–80. [Google Scholar] [CrossRef]
- Madhusudhan, B.N.; Baudet, B.A.; Ferreira, P.M.V.; Sammonds, P. Performance of fiber reinforcement in completely decomposed granite. J. Geotech. Geoenviron. Eng. 2016, 143, 04017038. [Google Scholar] [CrossRef]
- Suat, A.; Seracettin, A.; Ekrem, K. Modification of clayey soils using scrap tire rubber and synthetic fibers. Appl. Clay Sci. 2007, 38, 23–32. [Google Scholar]
- Humphrey, D.N. Tire derived aggregates as lightweight fill for embankments and retaining walls. In Proceedings of the International Workshop on Scrap Tire Derived Geomaterials, Yokosuka, Japan, 22–24 March 2007; Hazarika, H., Yasuhara, K., Eds.; Taylor and Francis: AK Leiden, The Netherlands, 2008; pp. 59–81. [Google Scholar]
- Kim, Y.T.; Kang, H.S. Engineering characteristics of rubber-added lightweight soil as a flowable backfill material. J. Mater. Civ. Eng. 2011, 23, 1289–1294. [Google Scholar] [CrossRef]
- O’Shaughnessy, V.; Garga, V.K. Tire-reinforced earth fill. Part 1: Pull-out behavior and reinforced slope design. Can. Geotech. J. 2000, 37, 97–116. [Google Scholar] [CrossRef]
- Senetakis, K.; Anastasiadis, A.; Pitilakis, K. Dynamic properties of dry sand/rubber (SRM) and ravel/rubber (GRM) mixtures in a wide range of shearing strain amplitudes. Soil Dyn. Earthq. Eng. 2012, 33, 38–53. [Google Scholar] [CrossRef]
- Tanchaisawat, T.; Bergado, D.T.; Voottipruex, P.; Shehzad, K. Interaction between geogrid reinforcement and tire chip-sand lightweight backfill. Geotext. Geomembr. 2010, 28, 119–127. [Google Scholar] [CrossRef]
- Edincliler, A.; Baykal, G.; Saygili, A. Influence of different processing techniques on the mechanical properties of used tires in embankment construction. Waste Manag. 2010, 30, 1073–1080. [Google Scholar] [CrossRef] [PubMed]
- Li, L.H.; Xiao, H.L.; Ferreira, P.; Cui, X. Study of a small scale tire-reinforcement embankment. Geotext. Geomembr. 2016, 44, 201–208. [Google Scholar] [CrossRef]
- Li, L.H.; Chen, H.; Xiao, H.L.; Sun, L.; Liu, Y. Geotechnical properties of soil mixed with waste tire granules and cement. J. Yangtze River Sci. Res. Inst. 2013, 30, 58–61. (In Chinese) [Google Scholar]
- Li, L.H.; Xiao, H.L.; Zheng, J.J.; Chen, L.; Sun, M.J.; Sun, L. The model test of waste tire reinforced slope. Eng. Mech. 2015, 32, 79–85. (In Chinese) [Google Scholar] [CrossRef]
- Kim, K.S.; Yoon, Y.W.; Yoon, G.L. Pull-out behavior of cell-type tires in reinforced soil structures. KSCE J. Civ. Eng. 2011, 15, 1209–1217. [Google Scholar] [CrossRef]
- Yoon, Y.W.; Heo, S.B.; Kim, K.S. Geotechnical performance of waste tires for soil reinforcement from chamber tests. Geotext. Geomembr. 2008, 26, 100–107. [Google Scholar] [CrossRef]
- Khedkar, M.S.; Mandal, J.N. Pull-out behavior of cellular reinforcements. Geotext. Geomembr. 2009, 27, 267–271. [Google Scholar] [CrossRef]
- Ochiai, H.; Otani, J.; Hayashic, S.; Hirai, T. The pull-out resistance of geogrids in reinforced soil. Geotext. Geomembr. 1996, 14, 19–42. [Google Scholar] [CrossRef]
- Sobhi, S.; Wu, J.T.H. An interface pull-out formula for extensible sheet reinforcement. Geosynth. Int. 1996, 3, 565–581. [Google Scholar] [CrossRef]
- Palmeira, E.M.; Milligan, G.W.E. Scale and other factors affecting the results of pull-out tests of grids buried in sand. Geotechnique 1989, 39, 511–524. [Google Scholar] [CrossRef]
- Sugimoto, M.; Alagiyawanna, A.M.N.; Kadoguchi, K. Influence of rigid and flexible face on geogrid pull-out tests. Geotext. Geomembr. 2001, 19, 257–277. [Google Scholar] [CrossRef]









| Parameter | Value |
|---|---|
| Effective size, D10 (mm) | 0.25 |
| Uniformity coefficient, Cu | 1.92 |
| Coefficient of curvature, Cc | 1.40 |
| Maximum dry density, ρmax (g/cm3) | 1.65 |
| Minimum dry density, ρmin (g/cm3) | 1.33 |
| Maximum void ratio, emax | 0.99 |
| Minimum void ratio, emin | 0.61 |
| Properties | Uniaxial Geogrid | Biaxial Geogrid |
|---|---|---|
| Longitudinal tensile yield strength per meter (kN/m) | 50.6 | 25.17 |
| Transverse tensile yield strength per meter (kN/m) | - | 25.2 |
| Longitudinal elongation at yield (%) | 15.0 | 10.5 |
| Transverse elongation at yield (%) | - | 10.3 |
| Geometric size (mm × mm) | 420 × 15 (each strip of geogrid) | 40 × 35 (grid size) |
| Length (mm) | 420 | 420 |
| Tensile modulus under 2% strain levels (kN/m) | 13.9 | 9.8 |
| Tensile modulus under 5% strain levels (kN/m) | 24.7 | 19.4 |
| Properties | Type 1 | Type 2 | Type 3 | Type 4 |
|---|---|---|---|---|
| Longitudinal tensile yield strength of per meter (kN/m) | 58.0 | 54.0 | 44.0 | 68.6 |
| Longitudinal elongation at yield (%) | 75.8 | 85.9 | 78.5 | 64.2 |
| Size (mm × mm) | 420 × 30 | 420 × 30 | 420 × 30 | 420 × 30 |
| Tensile modulus under 2% strain levels (kN/m) | 39.8 | 37.4 | 20.9 | 45.8 |
| Tensile modulus under 5% strain levels (kN/m) | 83.7 | 82.5 | 43.6 | 89.7 |
| Reinforcing Material | Interface Friction Angle φ (degree) | Cohesion c (kPa) |
|---|---|---|
| Uniaxial geogrid | 21.4 | 7.1 |
| Biaxial geogrid | 27.6 | 9.5 |
| Type 1 tire | 52.7 | 23.9 |
| Type 2 tire | 52.5 | 22.0 |
| Type 3 tire | 49.7 | 10.7 |
| Type 4 tire | 52.9 | 33.9 |
© 2017 by the authors. Licensee MDPI, Basel, Switzerland. This article is an open access article distributed under the terms and conditions of the Creative Commons Attribution (CC BY) license (http://creativecommons.org/licenses/by/4.0/).
Share and Cite
Li, L.-H.; Chen, Y.-J.; Ferreira, P.M.V.; Liu, Y.; Xiao, H.-L. Experimental Investigations on the Pull-Out Behavior of Tire Strips Reinforced Sands. Materials 2017, 10, 707. https://doi.org/10.3390/ma10070707
Li L-H, Chen Y-J, Ferreira PMV, Liu Y, Xiao H-L. Experimental Investigations on the Pull-Out Behavior of Tire Strips Reinforced Sands. Materials. 2017; 10(7):707. https://doi.org/10.3390/ma10070707
Chicago/Turabian StyleLi, Li-Hua, Yan-Jun Chen, Pedro Miguel Vaz Ferreira, Yong Liu, and Heng-Lin Xiao. 2017. "Experimental Investigations on the Pull-Out Behavior of Tire Strips Reinforced Sands" Materials 10, no. 7: 707. https://doi.org/10.3390/ma10070707
APA StyleLi, L.-H., Chen, Y.-J., Ferreira, P. M. V., Liu, Y., & Xiao, H.-L. (2017). Experimental Investigations on the Pull-Out Behavior of Tire Strips Reinforced Sands. Materials, 10(7), 707. https://doi.org/10.3390/ma10070707

