Robust Control of an Electrical Drive with a Flexible Joint Using PI Controllers Based on Torsional Torque Derivative Feedback
Abstract
1. Introduction
- Development of Three Robust Control Structures: all proposed structures are based on PI controllers expanded with two additional feedbacks. The design of the proposed control structures is independent of the working machine or load parameters.
- Structure 1: Integrates feedback from both the first and second derivative of the torsional torque to the electromagnetic torque node.
- Structure 2: Incorporates feedback from the first derivative of the torsional torque to the speed node, along with feedback from the torsional torque derivative to the electromagnetic torque node.
- Structure 3: Utilizes feedback from the first derivative of the torsional torque, including a time delay to the speed node, and feedback from the torsional torque derivative to the electromagnetic torque node.
- Design of a Higher-Order Integral Disturbance Observer (IDO): the observer is developed to estimate torsional torque derivatives with minimal phase lag and reduced noise amplification. The design includes stability and robustness analysis for different bandwidth frequencies.
- Optimization of Controller Parameters: a bio-inspired optimization algorithm is employed to determine the optimal gain coefficients for the PI controller and the additional feedback loops.
- Stability Analysis and Comparative Evaluation: a detailed stability analysis and performance comparison of the proposed control structures are conducted to assess their effectiveness and robustness.
2. Mathematical Modeling of the Two-Mass System
3. Proposed Control Structure
3.1. Structure 1
3.2. Structure 2 and 3
3.2.1. Structure 2
3.2.2. Structure 3
3.3. Observer Design
Stability Analysis of the Proposed Observer
3.4. Optimized Control Structure
3.4.1. Birch-Inspired Optimization Algorithm (BiOA)
| Algorithm 1: BiOA Pseudocode |
|
3.4.2. Stability Analysis of the Optimized Control Structure
4. Results
4.1. Simulation Results
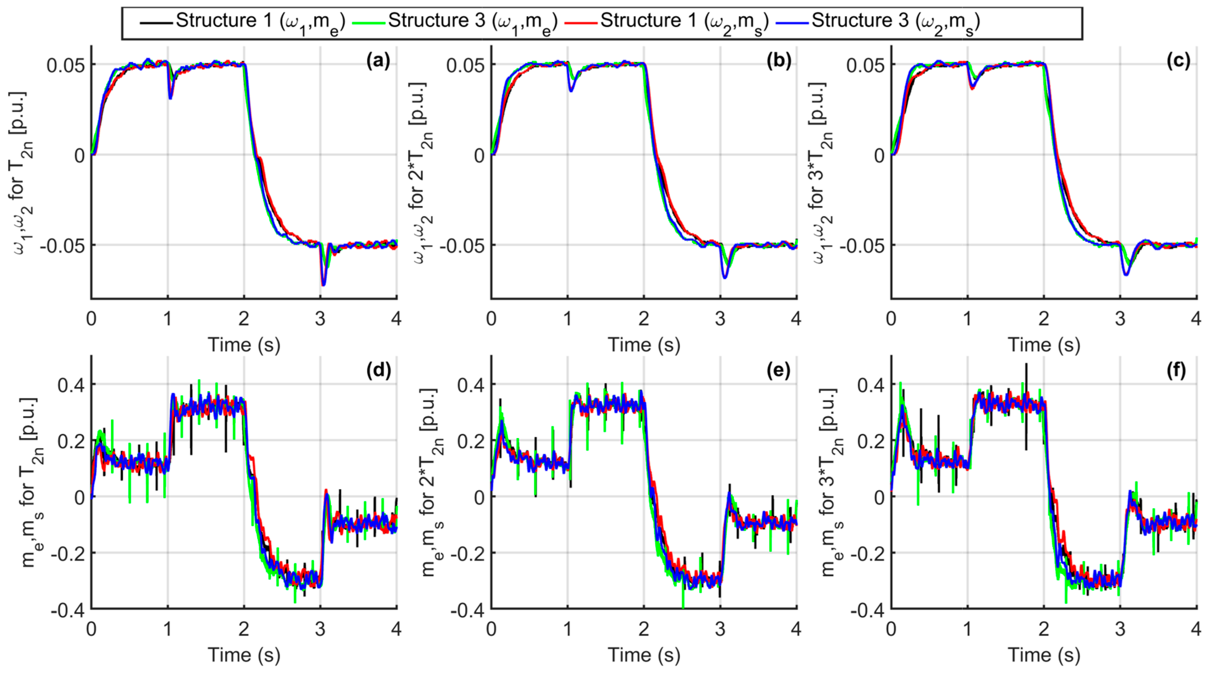
4.2. Experimental Results
- Structure 3 is effective for 25% to 50% of the rated speed.
- Structure 1 is effective for 25% to near-full-rated (100%) of the rated speed.
5. Conclusions
Author Contributions
Funding
Data Availability Statement
Acknowledgments
Conflicts of Interest
Abbreviations and Symbols Used in the Paper
| BiOA | Britch-inspired Optimization Algorithm |
| DOB | Disturbance OBserver |
| IDO | Integral Disturbance Observer |
| ITAE | Time Integral Absolute Error |
| RMSE | Root Mean Square Error |
| me | motor torque |
| ms | shaft torque |
| mL | load torque |
| T1 | mechanical time constant of the motor |
| T2 | mechanical time constant of the load |
| Tc | mechanical time constants of the shaft |
| ωr | reference speed |
| ω1 | reference speed |
| ω2 | reference speed |
References
- Szabat, K.; Orlowska-Kowalska, T. Vibration suppression in a two-mass drive system using PI speed controller and additional feedbacks—Comparative study. IEEE Trans. Ind. Electron. 2007, 54, 1193–1206. [Google Scholar] [CrossRef]
- Brock, S.; Łuczak, D.; Nowopolski, K.; Pajchrowski, T.; Zawirski, K. Two Approaches to Speed Control for Multi-Mass System with Variable Mechanical Parameters. IEEE Trans. Ind. Electron. 2017, 64, 3338–3347. [Google Scholar] [CrossRef]
- Kabziński, J.; Mosiołek, P. Integrated, Multi-Approach, Adaptive Control of Two-Mass Drive with Nonlinear Damping and Stiffness. Energies 2021, 14, 5475. [Google Scholar] [CrossRef]
- Ke, C.; Wu, A.; Bing, C. Mechanical parameter identification of two-mass drive system based on variable forgetting factor recursive least squares method. Trans. Inst. Meas. Control 2019, 41, 494–503. [Google Scholar] [CrossRef]
- Chen, Y.; Yang, M.; Long, J.; Hu, K.; Xu, D.; Blaabjerg, F. Analysis of oscillation frequency deviation in elastic coupling digital drive system and robust notch filter strategy. IEEE Trans. Ind. Electron. 2018, 66, 90–101. [Google Scholar] [CrossRef]
- Wang, C.; Liu, F.; Xu, J.; Pan, J. An SMC-based accurate and robust load speed control method for elastic servo system. IEEE Trans. Ind. Electron. 2023, 71, 2300–2308. [Google Scholar] [CrossRef]
- Shang, D.; Li, X.; Yin, M.; Li, F. Vibration suppression method based on PI fuzzy controller containing disturbance observe for dual-flexible manipulator with an axially translating arm. Int. J. Control. Autom. Syst. 2022, 20, 1682–1694. [Google Scholar] [CrossRef]
- Derugo, P.; Kahsay, A.H.; Szabat, K.; Shikata, K.; Katsura, S. A Novel PI-Based Control Structure with Additional Feedback from Torsional Torque and Its Derivative for Damping Torsional Vibrations. Energies 2024, 17, 4786. [Google Scholar] [CrossRef]
- Wang, Y.; Qin, X.; Huang, S.; Deng, S. Design and analysis of a multi-stage torsional stiffness dual mass flywheel based on vibration control. Appl. Acoust. 2016, 104, 172–181. [Google Scholar] [CrossRef]
- Yang, H.; Wang, Z.; Zhang, T.; Du, F. A review on vibration analysis and control of machine tool feed drive systems. Int. J. Adv. Manuf. Technol. 2020, 107, 503–525. [Google Scholar] [CrossRef]
- Chantal, U.M.; Lu, H.; Liu, Q.; Jiang, T.; Hu, M.; Gaspard, G. Analysis of dual-driven feed system vibration characteristics based on CNC machine tools: A systematic review. Symmetry 2023, 15, 2012. [Google Scholar] [CrossRef]
- Liu, X.; Qi, Y.; Tang, Y.; Guan, Y.; Wang, P.; Blaabjerg, F. Unified active damping control algorithm of inverter for LCL resonance and mechanical torsional vibration suppression. IEEE Trans. Ind. Electron. 2021, 69, 6611–6623. [Google Scholar] [CrossRef]
- Kaminski, M.; Malarczyk, M. Hardware implementation of neural shaft torque estimator using low-cost microcontroller board. In Proceedings of the 2021 25th International Conference on Methods and Models in Automation and Robotics (MMAR), Międzyzdroje, Poland, 23–26 August 2021; pp. 372–377. [Google Scholar]
- Saarakkala, S.E.; Hinkkanen, M. State-space speed control of two-mass mechanical systems: Analytical tuning and experimental evaluation. IEEE Trans. Ind. Appl. 2014, 50, 3428–3437. [Google Scholar] [CrossRef]
- Li, W.; Hori, Y. Vibration suppression using single neuron-based PI fuzzy controller and fractional-order disturbance observer. IEEE Trans. Ind. Electron. 2007, 54, 117–126. [Google Scholar] [CrossRef]
- Chang, H.; Lu, S.; Huang, G.; Zheng, S.; Song, B. An extended active resonance suppression scheme based on a dual-layer network for high-performance double-inertia drive system. IEEE Trans. Power Electron. 2023, 38, 13717–13729. [Google Scholar] [CrossRef]
- Bang, J.S.; Shim, H.; Park, S.K.; Seo, J.H. Robust tracking and vibration suppression for a two-inertia system by combining backstepping approach with disturbance observer. IEEE Trans. Ind. Electron. 2009, 57, 3197–3206. [Google Scholar] [CrossRef]
- Padron, J.; Kawai, Y.; Yokokura, Y.; Ohishi, K.; Miyazaki, T. A Method for Gear Impact Suppression in Torsion Torque Control of Two-Inertia Systems with Backlash. In Proceedings of the 2021 IEEE 30th International Symposium on Industrial Electronics (ISIE), Kyoto, Japan, 20–23 June 2021; pp. 1–6. [Google Scholar]
- Niu, Z.; Huang, W.; Zhu, S.; Jia, B.; Zhu, Q.; Lu, X. Controller design and shaft torque vibration suppression for servomechanism with elasticity. IEEE Trans. Ind. Appl. 2024, 60, 8833–8844. [Google Scholar] [CrossRef]
- Yang, M.; Zheng, W.; Yang, K.; Xu, D. Suppression of mechanical resonance using torque disturbance observer for two-inertia system with backlash. In Proceedings of the 2015 9th International Conference on Power Electronics and ECCE Asia (ICPE-ECCE Asia), Seoul, Republic of Korea, 1–5 June 2015; pp. 1860–1866. [Google Scholar]
- Sugiura, K.; Hori, Y. Vibration suppression in 2-and 3-mass system based on the feedback of imperfect derivative of the estimated torsional torque. IEEE Trans. Ind. Electron. 2002, 43, 56–64. [Google Scholar] [CrossRef]
- Li, S.; Liu, Z. Adaptive speed control for permanent-magnet synchronous motor system with variations of load inertia. IEEE Trans. Ind. Electron. 2009, 56, 3050–3059. [Google Scholar] [CrossRef]
- Wang, C.; Liu, J.; Xin, L.; Li, G.; Pan, J. Design of full-order state observer for two-mass joint servo system based on the fixed gain filter. IEEE Trans. Power Electron. 2022, 37, 10466–10475. [Google Scholar] [CrossRef]
- Wang, C.; Yang, M.; Zheng, W.; Long, J.; Xu, D. Vibration suppression with shaft torque limitation using explicit MPC-PI switching control in elastic drive systems. IEEE Trans. Ind. Electron. 2015, 62, 6855–6867. [Google Scholar] [CrossRef]
- Zhang, Z.; Wollherr, D. Disturbance Estimation for High-Degree-of-Freedom Systems Using Sliding Mode Observer. arXiv 2023, arXiv:2303.04008. [Google Scholar]
- Huang, H.; Yu, C.; Sun, Z.; Zhang, Y.; Zhao, Z. Sliding mode control strategy based on disturbance observer for permanent magnet in-wheel motor. Sci. Rep. 2024, 14, 16151. [Google Scholar] [CrossRef]
- Stanislawski, R.; Tapamo, J.-R.; Kaminski, M. Virtual Signal Calculation Using Radial Neural Model Applied in a State Controller of a Two-Mass System. Energies 2023, 16, 5629. [Google Scholar] [CrossRef]
- Shang, D.; Li, X.; Yin, M.; Li, F. Dynamic modeling and control for dual-flexible servo system considering two-dimensional deformation based on neural network compensation. Mech. Mach. Theory 2022, 175, 104954. [Google Scholar] [CrossRef]
- Kaczmarczyk, G.; Stanislawski, R.; Kaminski, M. Deep-Learning Techniques Applied for State-Variables Estimation of Two-Mass System. Energies 2025, 18, 19961073. [Google Scholar] [CrossRef]
- Kamiński, M. Neural estimators of two-mass system optimized using the Levenberg-Marquardt training and genetic algorithm. In Proceedings of the 2016 21st International Conference on Methods and Models in Automation and Robotics (MMAR), Miedzyzdroje, Poland, 29 August–1 September 2016; pp. 559–564. [Google Scholar]
- Kaczmarczyk, G.; Stanislawski, R.; Szrek, J.; Kaminski, M. Adaptive Sliding Mode Control Based on a Radial Neural Model Applied for an Electric Drive with an Elastic Shaft. Energies 2024, 17, 833. [Google Scholar] [CrossRef]
- Mahapatra, S.; Shrivastava, A.; Sahoo, B.; Mohanty, A.R. Estimation of torque variation due to torsional vibration in a rotating system using a kalman filter-based approach. J. Vib. Eng. Technol. 2023, 11, 1939–1950. [Google Scholar] [CrossRef]
- Szabat, K.; Wróbel, K.; Katsura, S. Application of multilayer Kalman filter to a flexible drive system. IEEJ J. Ind. Appl. 2022, 11, 483–493. [Google Scholar] [CrossRef]
- Kahsay, A.H.; Derugo, P.; Szabat, K.; Katsura, S. Design of Disturbance Observer-Based Robust Speed Control for Elastic-Coupled Drives. Energies 2025, 18, 1914. [Google Scholar] [CrossRef]
- Malarczyk, M.; Katsura, S.; Kaminski, M.; Szabat, K. A Novel Meta-Heuristic Algorithm Based on Birch Succession in the Optimization of an Electric Drive with a Flexible Shaft. Energies 2024, 17, 4104. [Google Scholar] [CrossRef]


















| Run | Structure 1 | Structure 3 | |||||||
|---|---|---|---|---|---|---|---|---|---|
| kp | ki | k1 | k4 | kp | ki | k1 | k7 | td | |
| 1 | 30 | 157.4336 | 0.1997 | −0.0019 | 30 | 190.8425 | 0.1692 | 7.0 × 10−5 | 0.203 |
| 2 | 30 | 157.3425 | 0.1970 | −0.0017 | 30 | 191.8986 | 0.1509 | 0.0002 | 0.202 |
| 3 | 30 | 157.4828 | 0.2004 | −0.0020 | 30 | 230.5964 | −0.5 | 0.0047 | 0.203 |
| 4 | 30 | 157.1256 | 0.1944 | −0.0015 | 30 | 232.0167 | −0.5 | 0.0047 | 0.203 |
| 5 | 30 | 155.1082 | 0.1748 | 0.00057 | 30 | 199.5612 | −0.0145 | 0.0015 | 0.203 |
| 6 | 30 | 156.4431 | 0.1848 | −0.0004 | 30 | 232.4546 | −0.4999 | 0.0048 | 0.203 |
| 7 | 30 | 155.8559 | 0.1794 | 0.0001 | 30 | 212.0125 | −0.2125 | 0.0028 | 0.203 |
| 8 | 30 | 157.2145 | 0.1950 | −0.0016 | 30 | 215.9078 | −0.3 | 0.0034 | 0.203 |
| 9 | 30 | 157.2482 | 0.1946 | −0.0017 | 30 | 218.7638 | −0.3 | 0.0034 | 0.203 |
| 10 | 30 | 157.1494 | 0.1950 | −0.0015 | 30 | 191.1666 | 0.2 | −0.0001 | 0.08 |
| 11 | 30 | 157.23 | 0.1949 | −0.0016 | 30 | 211.5261 | −0.2 | 0.0028 | 0.203 |
| 12 | 30 | 156.3799 | 0.1818 | −0.0004 | 30 | 197.7319 | 0.0643 | 0.001 | 0.203 |
| Parameters | Nominal Value |
|---|---|
| Hardware-in-Loop test software | dSPACE1103 |
| dSPACE processor | 7 kHz |
| Power of motor (Pm) | 500 W |
| Power of load machine (PL) | 500 W |
| Motor time constant (T1) | 0.203 s |
| Load time constant (T2) | 0.285 s |
| Shaft time constant (Tc) | 0.0026 s |
| Shaft length (ls) | 600 mm |
| Shaft diameter (Φs) | 5 mm |
| Sampling frequency (fs) | 2 kHz |
Disclaimer/Publisher’s Note: The statements, opinions and data contained in all publications are solely those of the individual author(s) and contributor(s) and not of MDPI and/or the editor(s). MDPI and/or the editor(s) disclaim responsibility for any injury to people or property resulting from any ideas, methods, instructions or products referred to in the content. |
© 2025 by the authors. Licensee MDPI, Basel, Switzerland. This article is an open access article distributed under the terms and conditions of the Creative Commons Attribution (CC BY) license.
Share and Cite
Kahsay, A.H.; Derugo, P.; Shikata, K.; Katsura, S.; Szabat, K. Robust Control of an Electrical Drive with a Flexible Joint Using PI Controllers Based on Torsional Torque Derivative Feedback. Energies 2026, 19, 32. https://doi.org/10.3390/en19010032
Kahsay AH, Derugo P, Shikata K, Katsura S, Szabat K. Robust Control of an Electrical Drive with a Flexible Joint Using PI Controllers Based on Torsional Torque Derivative Feedback. Energies. 2026; 19(1):32. https://doi.org/10.3390/en19010032
Chicago/Turabian StyleKahsay, Amanuel Haftu, Piotr Derugo, Kosuke Shikata, Seiichiro Katsura, and Krzysztof Szabat. 2026. "Robust Control of an Electrical Drive with a Flexible Joint Using PI Controllers Based on Torsional Torque Derivative Feedback" Energies 19, no. 1: 32. https://doi.org/10.3390/en19010032
APA StyleKahsay, A. H., Derugo, P., Shikata, K., Katsura, S., & Szabat, K. (2026). Robust Control of an Electrical Drive with a Flexible Joint Using PI Controllers Based on Torsional Torque Derivative Feedback. Energies, 19(1), 32. https://doi.org/10.3390/en19010032

