Abstract
In this paper, a numerical study of two-phase flow instability in parallel rectangular channels is presented. Using the homogeneous flow model, marginal stability boundaries (MSBs) are derived in the parameter space defined by the phase change number (Npch) and subcooling number (Nsub) under various operating conditions. Comparison with experimental data shows that the model predicts stability trends with a deviation of ±12.5%. The study reveals that, under constant mass flux conditions, stability decreases as the equivalent diameter (De) of the channels increases. Additionally, the exit area ratio of the two parallel tubes has minimal effect on the MSB, indicating that exit geometry does not significantly influence system stability. However, an increase in the inlet area ratio, from 0.1 to 1, reduces system stability, suggesting that larger inlet areas relative to tube cross-sectional areas may lead to greater flow disturbances, thereby decreasing stability. Moreover, increasing the length of the tubes enhances system stability, which may be attributed to the extended development length allowing for dissipation of flow disturbances. The study further demonstrates that higher flow rates, between 0.15 kg/s and 0.25 kg/s, enhance stability, while increasing the outlet flow resistance coefficient reduces stability. Conversely, increasing the inlet flow resistance coefficient improves stability. At system pressures of 3 MPa, 6 MPa, and 9 MPa, it is observed that higher pressures shift the boundary of complete vaporization (Xe = 1) to the left on the Npch and Nsub graph, reducing the region susceptible to instability. The study also employs Fast Fourier Transform (FFT) analysis to identify peak frequencies across different parameter ranges. By examining the stability map and frequency spectra, the study provides deeper insights into two-phase flow instabilities in parallel channels.
1. Introduction
Energy is an indispensable driving force for the development of modern society. With the rapid development of science and technology and increasingly severe environmental problems, people’s demand for efficient energy conversion and utilization is growing exponentially [1,2,3]. To ensure safe and reliable power generation even under extreme conditions, advanced nuclear reactor concepts are gradually being developed. For compact nuclear reactor cores, through the optimization of fuel arrangement, coolant channel design, and material selection, their volume and weight have been significantly reduced while maintaining or enhancing power density. Two-phase flow instability in rectangular channels composed of plate fuel assemblies in the reactor core becomes an important factor affecting reactor safety [4]. The effect of hydrodynamic instabilities, such as density wave oscillation, poses a threat to the system. Flow instabilities would lead to boiling crises, causing mechanical or thermal stress, which compromises the integrity and performance of the system [5,6,7]. Thus, it is necessary to understand the onset of two-phase flow instabilities in order to prevent such an occurrence.
In parallel channel systems, shared boundary conditions facilitate interactions between channels, making flow instabilities more likely. It is well-established that a positive correlation between system pressure drop and flow rate can induce density wave oscillations in these channels. Typically, disturbances in a channel reduce the inlet velocity, thereby decreasing the pressure drop [8]. However, as the fluid progresses, the inlet velocity eventually recovers due to the sustained pressure differential between the channels. This recovery reduces the fluid’s residence time and pressure drop, leading to cyclic oscillatory behavior. Meanwhile, adjacent channels exhibit opposite responses due to shared boundary conditions, resulting in oscillating mass flow patterns across the system, though the overall mass flow remains constant. The influence of various parameters, such as system pressure, mass flow rate, and the configuration of inlets and outlets, has been thoroughly studied through both experimental and theoretical research [9]. Building on these insights, numerical models have been developed to predict the occurrence of density wave oscillations [10].
To address the complexity of two-phase flow instability in parallel channels, advanced nonlinear numerical methods are crucial. Time-domain models are particularly effective for capturing the subtle nuances of such instabilities. For example, the zero-dimensional analytical model developed by Munoz-Cobo et al. [11] integrates conservation equations within the computational domain. Furthermore, Lee et al. [12] and Guo et al. [13] have developed more complex and precise one-dimensional analytical methods, which enhance stability analyses across multiple parallel channel systems. Based on this, Liu et al. [14] used a time-domain model to explore the effects of different disturbances, system pressures, and inlet subcooling degrees on the density wave oscillation (DWO) of supercritical flow in a parallel multi-channel system. The study found that as the system pressure increases, the DWO weakens, and as the inlet subcooling degree increases, the DWO intensifies. These models often rely on numerical techniques such as finite difference, finite volume, or finite element methods. Collectively, these advancements provide a robust framework for predicting and mitigating flow instabilities in engineering applications.
While there is extensive research on two-phase flow instability in tubular channels, studies on rectangular narrow channels remain relatively limited. Xia et al. [15] studied boiling instability in a parallel narrow channel system. The results show that an increase in system pressure leads to a decrease in the inter-phase density ratio and stabilizes the system. Lu et al. [16] conducted time-domain analysis on density wave oscillations in two parallel rectangular channels with cross-sectional dimensions of 25 mm × 2 mm and a heated length of 1000 mm. Their results showed that variations in mass flow rate, inlet throttling, and system pressure significantly affect heat flux density and outlet quality, while comparisons of the marginal stability boundaries (MSBs) between rectangular and circular channels yielded consistent findings. Qian et al. [17] concluded that increasing system pressure and inlet resistance enhances system stability, whereas increasing outlet resistance decreases it. Similarly, Xia G.L. et al. [18] investigated flow instabilities in rectangular channels using the RELAP5 code, finding that low power, low flow ratios, and asymmetric inlet throttling are more likely to induce instability. Further advancing this research, Van Oevelen et al. [19] proposed a generalized eigenvalue method for solving two-phase flow instability in multi-channel systems, revealing that inlet subcooling has the most significant impact on instability. Wang et al. [20] developed a two-phase flow instability code based on control volume integration to investigate flow instabilities in rectangular parallel channels. Their results indicated that increasing system pressure mitigates flow instability, while “swinging” conditions exacerbate it. Finally, Qian et al. [21] created a density wave oscillation model to analyze flow instability under motion conditions, demonstrating that resonance effects exacerbate instability when the frequency of the heave motion matches that of the density wave oscillation. The above-mentioned studies emphasize that system pressure, mass flow rate, and inlet subcooling are key factors affecting flow instability in typical parallel channels. However, details regarding channel length, inlet–outlet area ratio, and inlet equivalent diameter are rarely mentioned.
In this study, the instability of two-phase flow in parallel rectangular channels is analyzed theoretically using both time-domain and frequency-domain techniques. Numerical simulations are employed to investigate the influence of various parameters, including the length of the heated section, the inlet and outlet area ratios, inlet and outlet resistance coefficients, system pressure, flow rate, and inlet equivalent diameter. The system’s stability is evaluated by observing the marginal stability boundary on the stability map, which highlights the conditions under which the system transitions from stable to unstable behavior.
2. Model
For this study, a theoretical model comprising two parallel rectangular channels is employed, as illustrated in Figure 1. A small perturbation of 1% is introduced at the inlet of one of the channels to assess the system’s stability. The objective is to investigate the effects of various parameters on two-phase flow instability within the parallel channels. The parameters considered include the channels’ equivalent diameter, inlet and outlet area ratios, channel length, inlet and outlet resistance coefficients, system pressure, and flow rate. The following assumptions are made in this analysis:
Figure 1.
Three-dimensional schematic diagram of the theoretical system configuration.
- (1)
- Flow within the system maintains uniformity throughout.
- (2)
- Fluid entering the channels is in a subcooled state.
- (3)
- The two-phase mixture within the system is at thermodynamic equilibrium.
- (4)
- Effects of subcooled boiling are disregarded, focusing on bulk boiling. (This assumption is reasonable because (i) a high inlet subcooling degree makes the subcooled boiling region account for a very small proportion of the channel length; (ii) some studies have pointed out that when the system operating pressure is lower than 0.2 MPa, the coupling effect of subcooled boiling and flashing induces instability, but the influence of subcooled boiling at high pressure is minimal [22]; (iii) in a study on flow stability, the effect of subcooled boiling contributes little to the overall pressure drop and flow behavior [23], so it can be ignored.)
- (5)
- Heat flux is uniformly distributed axially in the channels.
2.1. Theoretical Model
The one-dimensional conservation equations and state equations for both the single-phase and two-phase regions are presented as follows.
The mass conservation equation is as follows:
The momentum conservation equation is as follows:
The energy conservation equation is as follows:
where the coefficient represents the friction pressure drop coefficient, is the loss coefficient, is utilized to model point effects where an instantaneous change occurs in the system, h is specific enthalpy (kJ/kg), De is equivalent diameter (m), corresponds to the linear heating power (W/m), and A is the cross-sectional area (m2).
The state equation is as follows:
The single-phase friction pressure drop coefficient is as Table 1.
Table 1.
Relationship of the friction coefficient in the single-phase region.
The two-phase friction pressure drop coefficient equation is as follows:
The two-phase multiplier coefficient is given as follows:
where represents the density of the fluid, is the density of the vapor (kg/m3), is the dynamic viscosity of the fluid, and is the dynamic viscosity of the vapor (Pa·s).
The frictional pressure drop is influenced by the equivalent diameter, as seen as follows in the Darcy–Weisbach equation:
The influence of inlet resistance parameters on pressure drop can be expressed as follows:
The relationship between the inlet resistance coefficient, pressure drop, and velocity can be expressed as follows:
The influence of outlet resistance parameters on pressure drop can be expressed as follows:
The phase of periodic oscillations is identified as the critical onset of instability. This periodic behavior indicates that the system is on the verge of entering a state of unstable flow, characterized by increasing amplitude or frequency of oscillations across the twin channels. These observations are key to determining the critical values of the phase change number (Npch) and the subcooling number (Nsub) during the onset of instability, which are essential for constructing the stability map of the system. This methodological framework, originally proposed by Ishii and Zuber [26], forms the foundation for stability analysis in two-phase flow systems.
Npch is calculated by quantifying the ratio of power input to the latent heat of vaporization, offering insights into the extent of phase transition induced by the heat input. Conversely, Nsub measures the degree of fluid subcooling at the inlet of the heater, thereby establishing a benchmark for the initial thermal state of the system. Specifically, Npch is defined as the ratio of the heat addition rate to the product of the mass flow rate, latent heat of vaporization, and the cross-sectional area of the channel, as follows:
Similarly, Nsub is calculated by comparing the enthalpy difference between the fluid at saturation and the inlet temperature, normalized by the latent heat of vaporization and adjusted for the specific volumes of the fluid and vapor, as follows:
2.2. Numerical Model
In this research, the convection components of the conservation equations are discretized employing a first-order upwind differential scheme. In convection-dominated flows, physical quantities such as fluid velocity and temperature are mainly affected by upstream conditions. Therefore, the upwind scheme bases the flux calculation on the control volume interface on the values of upstream nodes rather than symmetric or central difference to ensure computational stability and optimization efficiency [27]. To further enhance numerical handling, the study incorporates a semi-implicit finite difference approach alongside a staggered grid methodology. The semi-implicit finite difference approach implicitly treats rigid terms such as pressure and viscosity in the governing equation to avoid the stability limitations of the display scheme, and explicitly solves the flow term and some source terms to maintain computational efficiency. This hybrid method strikes a balance between stability and computational cost and is particularly critical for capturing transient two-phase flow oscillations [28]. Notably, the staggered grid configuration arranges the momentum control volumes on the borders of adjacent control volumes, which helps improve the integration of dynamic interactions and ensures better momentum conservation.
Spatial discretization processes are depicted in Figure 2, which illustrates the flow through a rectangular channel with a uniform cross-sectional area. Within this framework, scalar variables such as pressure, enthalpy, and density are assessed at the control volume centers. In contrast, velocity vectors are strategically located at the boundary interfaces between neighboring control volumes.
Figure 2.
Three-dimensional schematic diagram of difference equation discretization.
This spatial arrangement aids in the precise calculation of flow dynamics, as evidenced by the derivation of differential equations at node i, leading to Equations (15) and (16) based on initial formulations from Equations (4) and (5). Equations (15) and (16) are as follows:
Equation (15) incorporates the temporal derivatives of enthalpy and pressure, and , evaluated at the node for the timestep. The terms and represent the rates of change in enthalpy and pressure, respectively, facilitating the study of fluid properties’ evolution over time. Spatial fluxes, represented by , are calculated to express the mass flow across the control volumes’ boundaries. These terms account for the convective transport of mass, driven by density and velocity gradients across the spatial divisions defined by the grid.
Equation (16) extends these concepts into the energy domain, incorporating the spatial and temporal gradients of enthalpy, moderated by the flow’s thermodynamic properties, to calculate the energy conservation within the fluid. The inclusion of as a source term quantifies the heat per unit area added or removed from the system, integrating the effects of external heat transfer into the numerical equation.
The difference of momentum conservation equation at junction can be expressed as follows:
where the density of mixture is equal to the density of upward flow. Equations (15) and (16) can be rewritten in the following form:
where:
In this study, Equations (17) and (18) are strategically deployed at every nodal point within parallel channels and across two channels to streamline computational processes. These equations enable the direct resolution of the differential equations associated with parallel channels and layering, thereby obviating the necessity to compute flow distribution variations across disparate channels. The methodology involves dividing each channel into number of nodes, each contributing to equations. Collectively, these form a tridiagonal matrix that can be efficiently solved by employing the chasing method, also referred to as the Thomas algorithm. This solution strategy yields the pressure values at each node for the subsequent time .
3. Model Validation
The numerical model developed in this study has been validated through a comparative analysis with the experimental findings reported by Lu et al. [16]. They conducted a comprehensive investigation into density wave oscillations within two parallel rectangular channels, each with a cross-sectional area of 25 mm by 2 mm and a heating length of 1000 mm. The parameters used in their experimental setup covered system pressures from 1 MPa to 10 MPa, mass flux from 200 kg/m2 s to 800 kg/m2 s, and inlet subcooling temperatures from 10 °C to 50 °C. The experimental results from Lu et al. highlight a positive correlation between the increase in mass flow rate, pressure, and inlet subcooling, and the enhancement of flow stability. Moreover, it was revealed by their observations that an increase in mass flow rate or a decrease in inlet subcooling has a tendency to reduce the oscillation period of density waves. In contrast, pressure variations seem to have a minimal impact on the duration of these waves. Notably, Lu et al. employed dimensionless numbers, specifically the subcooling number (Nsub) and the phase change number (Npch), to facilitate a comparison between data derived from rectangular channels and circular tubes. This comparison demonstrated a consistent relationship between the behavior in these differing geometries, lending credence to the applicability and accuracy of the numerical model presented in this thesis.
Under the system parameters outlined in Table 2, the numerical model presented in this study demonstrates strong concordance with the experimental data of Lu et al., exhibiting a deviation within ±12.5%. In this model, the two-phase flow is assumed to be a homogeneous mixture, without considering the slip effect between the gas–liquid phases. The first-order upwind scheme of the numerical method may reduce prediction accuracy. Additionally, calibration errors of the instruments during the experiments by Lu et al. may also lead to the generation of this error. However, the value of this error is within a reasonable range. As illustrated in Figure 3, the model effectively and conservatively predicts instability phenomena in parallel rectangular channels, substantiating its accuracy and reliability through thorough validation.
Table 2.
System parameters used for validation.
Figure 3.
Comparison of numerical predictions with experimental data from Lu et al. [16].
4. Results and Discussion
4.1. The Influence of Channel Length
The length of channels in heat exchange systems plays a crucial role in the design and optimization of various engineering applications, including heat exchangers and nuclear reactors. Understanding the impact of channel length on two-phase flow instability is essential for ensuring system stability and efficiency. In this section, the influence of channel length on two-phase flow instability is examined through both time-based and frequency-based analysis methods. The parameters considered in this section of the study are detailed in Table 3.
Table 3.
Parameters used for the numerical study of channel length.
To investigate the effect of channel length on two-phase flow instability, dimensionless numbers Npch and Nsub were evaluated over a range of channel lengths and inlet subcooling temperatures. These values were used to generate a comprehensive stability map, shown in Figure 4, which visually represents the stability variations at different channel lengths and subcooling conditions. The results indicate that systems with channel lengths of 1 m exhibit a larger stable region compared to those with lengths between 1.5 m and 3 m. Within this range, the stable region gradually expands. Notably, the system with a channel length of 3.5 m shows the largest stable area among the six marginal stability boundary (MSB) lines. The enhanced stability associated with longer channel lengths can be ascribed to the interaction between flow dynamics and the thermodynamic properties of the fluid. Longer channels exhibit greater fluid inertia, which enhances stability by dampening oscillations. However, as the channel length increases, more complex interactions arise between pressure waves and flow, potentially decreasing stability in the initial stages. This balance between inertia and damping effects is described by the momentum conservation equation, which encapsulates the dynamic behavior of the flow in relation to channel length. The inertia term in the equation, , accounts for the change in momentum over time. In longer channels, the increased mass leads to higher inertia, dampening perturbations and stabilizing the flow. Furthermore, stability is influenced by the efficiency of heat transfer and the rate of phase change. Longer channels provide more surface area for heat transfer, which can stabilize the flow by reducing thermal gradients. The energy conservation equation reflects the balance of heat transfer and phase change. The enthalpy change term, , and the pressure change term, , represent how density changes with enthalpy and pressure. Longer channels ensure more uniform heat distribution, reducing pressure fluctuations and enhancing stability. Lastly, longer channels can distribute flow and pressure drops more evenly, contributing to overall stability. The matrix components represent the contributions of enthalpy and pressure changes to density variations.
Figure 4.
Stability map for twin parallel rectangular channels with various lengths.
Figure 5 presents the Fast Fourier Transform (FFT) analysis for various channel lengths, depicting the amplitude of oscillations as a function of frequency. This analysis was performed at the onset of divergent oscillations, with a subcooling number of 3.49112. The data reveal significant variations in both oscillation frequencies and amplitudes across different channel lengths, all within the same time frame. The system with 1.0 m channel lengths exhibits the highest peak frequency at 0.39546 Hz. As the channel length increases, the peak frequency decreases, with the system at 3.5 m showing the lowest peak frequency of 0.16475 Hz. This inverse relationship between oscillation frequency and channel length can be explained by the physical constraints of the channels. Specifically, the frequency is inversely proportional to the channel length. With a constant flow rate maintained across all six systems, fluid particles in longer channels take more time to traverse the entire length, leading to a reduction in oscillation frequency. This relationship is governed by principles of wave propagation and resonance. Longer channels are capable of accommodating longer wavelengths because of the greater distance provided for oscillations. Additionally, wave speed is determined by the square root of the bulk modulus of elasticity of the fluid divided by its density, further influencing the oscillation dynamics in longer channels.
Figure 5.
FFT analysis of channel length variations.
4.2. The Influence of Channel Equivalent Diameter
The equivalent diameter, De, of channels in heat exchange systems is a factor in their design and optimization. Understanding the impact of channel equivalent diameter on two-phase flow instability is essential for ensuring system stability and efficiency. This section examines the numerical results of equivalent diameter on two-phase flow instability using both time-based and frequency-based analysis methods. The parameters considered in this section of the study are detailed in Table 4.
Table 4.
Parameters used for the numerical study of channel equivalent diameter.
Figure 6 presents the stability map for six systems, illustrating the relationship between equivalent diameter and system stability. The system with an equivalent diameter of 0.02 m demonstrates the largest stable region. As the equivalent diameter increases, the marginal stability boundary (MSB) shifts leftward, indicating a reduction in system stability. However, the leftward shift in the MSB for systems with equivalent diameters ranging from 0.04 m to 0.12 m is minimal. The increase in equivalent diameter influences the mass flow rate, which, in turn, enhances heat transfer and phase change dynamics. Heat transfer is directly proportional to mass flow rate, meaning that an increased flow rate facilitates more efficient heat exchange and phase transitions. This, however, can result in larger thermal gradients, which destabilize the system by causing localized hotspots and uneven temperature distributions. These gradients, particularly in the presence of high heat input, can lead to rapid fluctuations in pressure and temperature within the channel, increasing the likelihood of oscillations and instability. While an increase in equivalent diameter typically reduces the frictional pressure drop, theoretically contributing to a more stable system, the results in Figure 6 suggest otherwise. It seems that the destabilizing impacts stemming from enhanced heat transfer and phase change dynamics surpass the stabilizing effect brought about by the reduced pressure drop. Additionally, Figure 7 displays the Fast Fourier Transform (FFT) analysis performed at the onset of divergent oscillations with a subcooling number of 8.13467. This analysis highlights a reduction in oscillation frequency as the equivalent diameter increases, further supporting the correlation between channel geometry and flow stability.
Figure 6.
Stability map for twin parallel rectangular channels with various equivalent diameters.
Figure 7.
FFT analysis of channel equivalent diameter variations.
4.3. The Effect of Inlet Area Ratio
The inlet area ratio refers to differing inlet sizes between the two channels, with one channel constant and the other varied. This analysis focuses on an explanation of the effect of various inlet area ratios, ranging from 0.1 to 1.6, as detailed in Table 5.
Table 5.
Parameters used for the numerical study of inlet area ratios.
Figure 8 illustrates the effect of the inlet area ratio on system stability. As the inlet area ratio increases, the stability of the system decreases. Specifically, a higher inlet area ratio leads to reduced stability. The inlet area ratio significantly impacts the distribution of mass flow between the two channels. For systems with a higher inlet area ratio (e.g., 1.6), Channel 1, having a larger cross-sectional area, experiences a higher mass flow rate compared to Channel 2. This higher flow rate results in lower fluid velocity in Channel 1, reducing the subcooling effect due to decreased residence time, which, in turn, diminishes heat transfer efficiency. The reduced subcooling makes the fluid in Channel 1 more susceptible to boiling, thereby destabilizing the two-phase flow system. Additionally, the increased mass flow rate in Channel 1 elevates the phase change number (Npch), further contributing to instability. Conversely, Channel 2, with a smaller cross-sectional area, has a lower mass flow rate, leading to higher fluid velocity and greater subcooling. This results in a lower phase change number, thereby reducing instability. The difference in mass flow rates between the two channels disturbs the equilibrium of the system. This disturbance leads to non-uniform phase transition rates and further exacerbates system instability. With a lower inlet area ratio (e.g., 0.1), Channel 1 has a smaller cross-sectional area, resulting in a lower mass flow rate and higher velocity. This higher velocity enhances the fluid’s subcooling, making it less prone to boiling and thereby increasing system stability. The decreased phase change number (Npch) also contributes to enhanced stability, as it indicates less extensive phase change relative to the heat input.
Figure 8.
Stability map for twin parallel rectangular channels with various inlet area ratios.
Figure 9 presents the results of Fast Fourier Transform (FFT) analysis during the onset of divergent oscillation when the subcooling number (Nsub) is 10.736. The figure illustrates a decrease in peak frequency with an increasing inlet area ratio. The impact of the inlet area ratio is closely linked to the cross-sectional area of the channel, which, in turn, influences the velocity of the fluid entering the channel. Higher inlet area ratios create imbalances in mass flow rates, intensify phase transitions, and increase the phase change number (Npch), all of which contribute to instability. Conversely, lower inlet area ratios foster a more balanced flow, reduce phase transition intensity, and lower the phase change number, resulting in a more stable system.
Figure 9.
FFT analysis of channel inlet area ratio variations.
4.4. The Effect of the Inlet Resistance Coefficient
Under the system parameters shown in Table 6, this section looks at the effect of the inlet resistance coefficient on the stability of the system.
Table 6.
Parameters used for the numerical study of the inlet resistance coefficient.
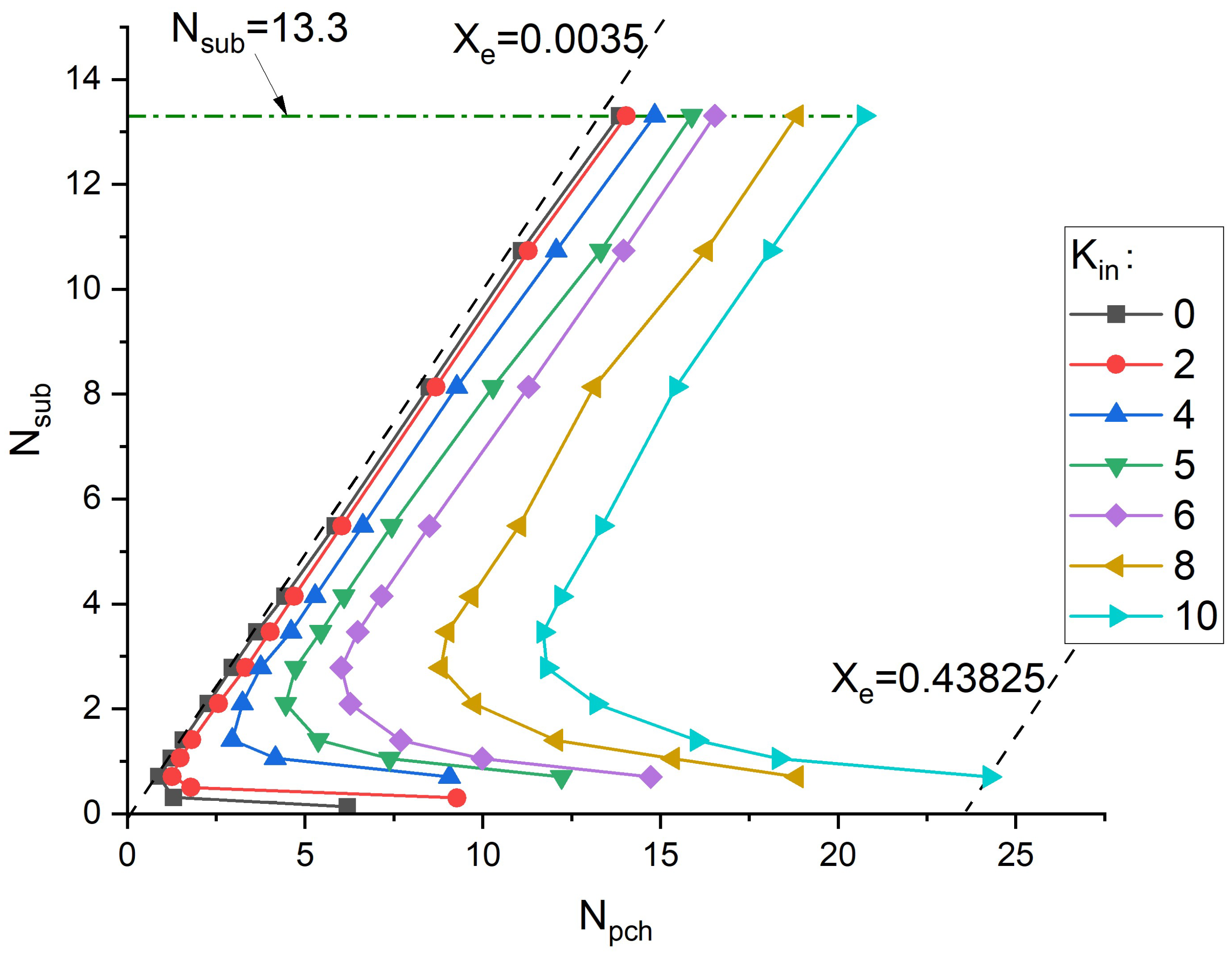
Figure 10 demonstrates an increase in system stability with a rise in the inlet resistance coefficient, Kin. This effect can be explained through principles of fluid dynamics and two-phase flow instability. In the system, the mass flow rate is distributed between two parallel rectangular channels. Flow distribution is influenced by the pressure drop across each channel, with the inlet resistance coefficient playing a crucial role in this distribution. The total pressure drop in each channel consists of the inlet pressure drop, the pressure drop along the channel, and the outlet pressure drop. An increase in the inlet resistance coefficient leads to a higher inlet pressure drop. For a given pressure difference between the plenum and the downstream point, this increased pressure drop requires a reduction in inlet velocity to satisfy the Bernoulli equation and the energy conservation principle. Consequently, a higher inlet resistance coefficient results in a lower flow velocity at the inlet. This reduction in velocity decreases the Reynolds number, promoting a more laminar and stable flow and thus damping fluctuations within the channels.
Figure 10.
Stability map for twin parallel rectangular channels with various inlet resistance coefficients.
Figure 11 illustrates the frequency of divergent oscillations when the subcooling number is 13.3. The graph shows that the frequency of oscillations increases with a higher inlet resistance coefficient. This increase can be attributed to the greater pressure drop at the inlet, which enhances the driving forces for oscillations and alters the wave propagation characteristics within the system.
Figure 11.
FFT analysis of channel inlet resistance coefficient variations.
4.5. The Effect of the Outlet Resistance Coefficient
This section looks at the effects of the outlet resistance coefficient, Kout, on the stability of the system. The system parameters used in this section are shown in Table 7.
Table 7.
Parameters used for the numerical study of the outlet resistance coefficient.
In contrast to the inlet resistance coefficient, an increase in the outlet resistance coefficient reduces system stability. As illustrated in Figure 12, a reduction in the stable region is more pronounced at lower subcooling numbers. Higher outlet resistance coefficients increase the pressure drop at the channel outlet, leading to higher back pressure. This back pressure generates fluctuations in flow rate and pressure within the channels, potentially destabilizing the flow. Additionally, increased outlet resistance can result in greater energy dissipation and flow reversal, further contributing to instability.
Figure 12.
Stability map for twin parallel rectangular channels with various outlet resistance coefficients.
The frequency of oscillations in rectangular channel systems is also affected by the outlet resistance coefficient. As shown in Figure 13, when the subcooling number is 10.735, higher outlet resistance corresponds to lower frequencies of divergent oscillations. This indicates that increased outlet resistance reduces the frequency of system oscillations.
Figure 13.
FFT analysis of channel outlet resistance coefficient variations.
4.6. The Effect of Flow Rate
Table 8 shows the system parameters used to study the effects of total mass flow rates on the system.
Table 8.
Parameters used for the numerical study of the effects of flow rates.
An increase in mass flow rate across both channels leads to greater system stability, as shown in Figure 14. Correspondingly, Figure 15 reveals that the frequency of oscillations rises with an increasing mass flow rate. Higher mass flow rates result in elevated velocities, which, in turn, increase the Reynolds number. A higher Reynolds number signifies that inertial forces dominate over viscous forces. Although a high Reynolds number often suggests more turbulent flow, this turbulence can enhance mixing and promote a more uniform temperature distribution, thereby reducing localized instabilities. Additionally, a higher Reynolds number results in an increased Nusselt number, which improves the heat transfer coefficient. This enhanced heat transfer leads to more uniform temperature distributions, further reducing thermal gradients that could contribute to system instability.
Figure 14.
Stability map for twin parallel rectangular channels with various flow rates.
Figure 15.
FFT analysis of flow rate variations.
4.7. The Effect of Pressure
This section looks into the effects of pressure on the stability of the system, with system parameters shown in Table 9. At higher pressures, the latent heat of vaporization, , decreases because the liquid and vapor phases become closer in terms of enthalpy. To maintain a similar Nsub, the enthalpy difference between the fluid at saturation and the fluid at the inlet, , must increase. This results in a higher required subcooling temperature at the inlet for higher pressure systems.
Table 9.
Parameters used for the numerical study of the effects of pressure.
As illustrated in Figure 16 and Figure 17, increasing system pressure has a minimal direct effect on the marginal stability boundary (MSB) line. However, it indirectly enhances system stability by reducing the instability region. Figure 18 demonstrates that the frequency of oscillations shows only a slight increase when the subcooling number (Nsub) is 10.74. The reduction in the instability region can be attributed to the leftward shift of the Xe (exit quality) line. Higher pressures increase the density of the liquid phase and improve the heat transfer coefficient for nucleate boiling, resulting in more efficient and stable heat transfer. As pressure rises, the density of the liquid phase increases, thereby enhancing the efficiency of heat transfer from the surface to the fluid. Additionally, the boiling point of the fluid rises with increased pressure, which decreases the specific enthalpy of vaporization. This shift affects the Xe line, leading to a reduction in the instability region for systems operating at higher pressures.
Figure 16.
Stability map for twin parallel rectangular channels with various pressures.
Figure 17.
Three-dimensional stability map for twin parallel rectangular channels with various pressures.
Figure 18.
FFT analysis of pressure variations.
5. Conclusions
In conclusion, this study utilized theoretical and numerical modeling to investigate two-phase flow instability in twin parallel rectangular channels, focusing on the impact of various system parameters on flow stability. The key findings of the study are as follows:
- (1)
- Channel length: Variations in channel length significantly impact two-phase flow instability. Longer channels enhance system stability by increasing fluid inertia, thereby dampening oscillations. The extended length also provides a larger surface area for heat transfer, reducing thermal gradients. Consequently, longer channels exhibit a larger stable region, demonstrating improved stability in two-phase flow systems.
- (2)
- Equivalent diameter: Systems with smaller equivalent diameters show larger stable regions on the stability map. As the diameter increases, the stability region shifts leftward, indicating reduced stability.
- (3)
- Inlet area ratio: The inlet area ratio between channels significantly influences system stability by affecting mass flow distribution. An imbalance in mass flow rates between channels is produced by differences in inlet areas. Higher inlet area ratios reduce stability, while lower inlet area ratios promote stability.
- (4)
- Inlet resistance coefficient: An increase in the inlet resistance coefficient improves system stability. Greater inlet resistance induces a higher pressure drop, reducing flow velocity and consequently lowering the Reynolds number. This leads to a more laminar and stable flow at the channel inlet.
- (5)
- Outlet resistance coefficient: An increase in the outlet resistance coefficient reduces system stability. Higher outlet resistance results in a greater pressure drop at the outlet, causing back pressure fluctuations and increased energy dissipation, which destabilizes the flow. Additionally, elevated outlet resistance may cause flow reversal, further exacerbating instability.
- (6)
- Mass flow rate: Variations in total mass flow rate significantly impact system stability. Higher mass flow rates increase the Reynolds number, which may indicate a more turbulent flow. This turbulence enhances phase mixing, leading to a more uniform temperature profile and a reduction in localized instabilities. A higher Reynolds number also increases the Nusselt number, improving the heat transfer coefficient. Enhanced heat transfer results in more uniform temperature distributions, thereby reducing thermal gradients that can cause instabilities.
- (7)
- System pressure: Increased system pressure enhances stability by reducing the instability region. While pressure does not directly affect the marginal stability boundary (MSB), its increase indirectly improves stability by altering flow dynamics.
This comprehensive analysis highlights the critical role of system parameters in managing two-phase flow instability and provides valuable insights with respect to nuclear reactor core design and other engineering applications. In the future, the interaction between nuclear heating and two-phase flow can be further investigated by integrating neutron transport models with thermal–hydraulic codes [29], allowing for multi-physics field modeling to be explored.
Author Contributions
Conceptualization, S.T. and Z.M.; methodology, S.T.; software, C.W. and Z.M.; validation, C.F.L. and C.W.; formal analysis, M.Y.; investigation, Q.R.; resources, Q.L.; data curation, L.Z. (Longxiang Zhu); writing—original draft preparation, S.T.; writing—review and editing, S.T.; visualization, L.Z. (Luteng Zhang); supervision, W.S.; project administration, L.P.; funding acquisition, S.T. and Q.R. All authors have read and agreed to the published version of the manuscript.
Funding
This research was funded by [National Natural Science Foundation of China] 12105273 and [Natural Science Foundation of Chongqing, China] 2023NSCQ-BHX0189.
Data Availability Statement
The data presented in this study are available on request from the corresponding author.
Conflicts of Interest
The authors declare no conflict of interest.
Nomenclature
| Abbreviations and acronyms | Variables and parameters | ||
| DWO | Density wave oscillation | A | cross-sectional area (m2) |
| FFT | Fast Fourier Transform | De | equivalent diameter (m) |
| MSB | Marginal stability boundary | G | system’s mass flux (kg/m2·s) |
| hfg | latent heat of vaporization (kJ/kg) | ||
| Non-dimensional numbers | Vfg | difference in specific volume of saturated liquid and vapor (m3/kg) | |
| Npch | Phase change number | VfS | specific volume of saturated liquid (m3/kg) |
| Nsub | Subcooling number | Kin | inlet resistance coefficient |
| Kout | outlet resistance coefficient | ||
| Subscripts | L | channel length (m) | |
| in | Inlet parameter | P | system pressure (MPa) |
| out | Outlet parameter | Xe | exit quality |
| f | Liquid phase | ||
| g | Vapor phase | ||
References
- Licht, G.; Hofstetter, K.; Licht, S. Separation of molten electrolyte from the graphene nanocarbon product subsequent to electrolytic CO2 capture. DeCarbon 2024, 4, 100044. [Google Scholar] [CrossRef]
- Li, P.; Huang, Y.; Xia, A.; Zhu, X.; Zhu, X.; Liao, Q. Bio-decarbonization by microalgae: A comprehensive analysis of CO2 transport in photo-bioreactor. DeCarbon 2023, 2, 100016. [Google Scholar] [CrossRef]
- Ding, D.; Wu, X.Y. Evaluating the economic and carbon emission reduction potential of fuel cell electric vehicle-to-grid. DeCarbon 2025, 7, 100096. [Google Scholar] [CrossRef]
- Li, C.; Fang, X.; Dai, Q. Two-phase flow boiling instabilities: A review. Ann. Nucl. Energy 2022, 173, 109099. [Google Scholar] [CrossRef]
- Ruspini, L.C.; Marcel, C.P.; Clausse, A. Two-phase flow instabilities: A review. Int. J. Heat Mass Transf. 2014, 71, 521–548. [Google Scholar] [CrossRef]
- Wang, B.; Hu, Y.; He, Y.; Rodionov, N.; Zhu, J. Dynamic instabilities of flow boiling in micro-channels: A review. Appl. Therm. Eng. 2022, 214, 118773. [Google Scholar] [CrossRef]
- Abdellatif, H.H.; Ambrosini, W.; Arcilesi, D.; Bhowmik, P.K.; Sabharwall, P. Flow Instabilities in boiling channels and their suppression methodologies—A review. Nucl. Eng. Des. 2024, 421, 113114. [Google Scholar] [CrossRef]
- Zhang, P.; Jia, H.W. Evolution of flow patterns and the associated heat and mass transfer characteristics during flow boiling in mini-/micro-channels. Chem. Eng. J. 2016, 306, 978–991. [Google Scholar] [CrossRef]
- Tadrist, L. Review on two-phase flow instabilities in narrow spaces. Int. J. Heat Fluid Flow 2007, 28, 54–62. [Google Scholar] [CrossRef]
- Shi, S.; Hibiki, T.; Ishii, M. Startup instability in natural circulation driven nuclear reactors. Prog. Nucl. Energy 2016, 90, 140–150. [Google Scholar] [CrossRef]
- Munoz-Cobo, J.L.; Podowski, M.Z.; Chiva, S. Parallel channel instabilities in boiling water reactor systems: Boundary conditions for out of phase oscillations. Ann. Nucl. Energy 2002, 27, 1345–1371. [Google Scholar] [CrossRef]
- Lee, J.D.; Pan, C. Dynamic of multiple parallel boiling channel systems with forced flows. Nucl. Eng. Des. 1999, 192, 31–44. [Google Scholar] [CrossRef]
- Guo, Y.; Qiu, S.Z.; Su, G.H.; Jia, D.N. The influence of ocean conditions on two-phase flow instability in a parallel multi-channel system. Ann. Nucl. Eng. 2008, 35, 1598–1605. [Google Scholar]
- Liu, J.; Li, H.; Zhang, Q.; Kong, X.; Lei, X. Numerical study on the density wave oscillation of supercritical water in parallel multichannel system. Nucl. Eng. Des. 2019, 342, 10–19. [Google Scholar] [CrossRef]
- Xia, G.; Peng, M.; Guo, Y. Research of two-phase flow instability in parallel narrow multi-channel system. Ann. Nucl. Energy 2012, 48, 1–16. [Google Scholar] [CrossRef]
- Lu, X.; Wu, Y.; Zhou, L.; Tian, W.; Su, G.; Qiu, S.; Zhang, H. Theoretical investigations on two-phase flow instability in parallel channels under axial non-uniform heating. Ann. Nucl. Energy 2014, 63, 75–82. [Google Scholar] [CrossRef]
- Qian, L.; Ding, S.; Qiu, S. Research on two-phase flow instability in parallel rectangular channels. Ann. Nucl. Energy 2014, 65, 47–59. [Google Scholar] [CrossRef]
- Xia, G.; Su, G.; Peng, M. Analysis of flow distribution instability in parallel thin rectangular multi-channel system. Nucl. Eng. Des. 2016, 305, 604–611. [Google Scholar] [CrossRef]
- Van Oevelen, T.; Weibel, J.A.; Garimella, S.V. Predicting two-phase flow distribution and stability in systems with many parallel heated channels. Int. J. Heat Mass Transf. 2017, 107, 557–571. [Google Scholar] [CrossRef]
- Wang, X.; Tian, W.; Huang, S.; Chen, R.; Zhang, D.; Qiu, S.; Su, G.H. Theoretical investigation of two-phase flow instability between parallel channels of natural circulation in rolling motion. Nucl. Eng. Des. 2019, 343, 257–268. [Google Scholar] [CrossRef]
- Qian, L.; Deng, J.; Li, Z.; Chen, W.; Yu, H.; Sun, Y. Theoretical research on two-phase flow instability in parallel channels under periodic heaving motion condition. Ann. Nucl. Energy 2021, 157, 108263. [Google Scholar] [CrossRef]
- Zhou, M.; Wang, J.; Gao, Y. Study on Two-Phase Flow Instabilities Induced by Subcooled Boiling in Natural Circulation System under Lower Pressure. Nucl. Eng. Des. 2015, 295, 45–60. [Google Scholar]
- Delhaye, J.M.; Giot, M.; Riethmuller, M.L. Thermo-Hydraulics of Two-Phase Systems for Industrial Design and Nuclear Engineering; Hemisphere Publishing: London, UK; McGraw-Hill: Columbus, OH, USA, 1981. [Google Scholar]
- Darcy, H. Experimental Research on the Movement of Water in Pipes; Imperial Printing: Campbell, CA, USA, 1857. [Google Scholar]
- Blasius, H. Boundary Layers in Liquids with Small Friction; BG Teubner: Stuttgart, Germany, 1907. [Google Scholar]
- Ishii, M.; Zuber, N. Thermally induced flow instabilities in two phase mixtures. In Proceedings of the International Heat Transfer Conference 4, Paris, France, 31 August–5 September 1970; Begel House Inc.: Danbury, CT, USA, 1970; p. 26. [Google Scholar]
- Gao, F.; Yuan, Y.; Du, N. An upwind finite volume element method for nonlinear convection diffusion problem. Am. J. Comput. Math. 2011, 1, 264. [Google Scholar] [CrossRef]
- Patankar, S. Numerical Heat Transfer and Fluid Flow; CRC Press: Boca Raton, FL, USA, 2018. [Google Scholar]
- Oettingen, M. The Application of Radiochemical Measurements of PWR Spent Fuel for the Validation of Burnup Codes. Energies 2022, 15, 3041. [Google Scholar] [CrossRef]
Disclaimer/Publisher’s Note: The statements, opinions and data contained in all publications are solely those of the individual author(s) and contributor(s) and not of MDPI and/or the editor(s). MDPI and/or the editor(s) disclaim responsibility for any injury to people or property resulting from any ideas, methods, instructions or products referred to in the content. |
© 2025 by the authors. Licensee MDPI, Basel, Switzerland. This article is an open access article distributed under the terms and conditions of the Creative Commons Attribution (CC BY) license (https://creativecommons.org/licenses/by/4.0/).

















