Abstract
This paper analyzes errors in the estimation of induction-motor-equivalent circuit parameters using an improved combined two-stage Particle Swarm Optimization (PSO) method. The proposed method accounts for variations in rotor parameters based on both linear and square root speed approximations, as well as two different approaches for the stator and rotor leakage reactance ratios. The first approach assumes that the starting rotor leakage reactance is equal to the stator leakage reactance, while the second considers them as distinct. Improvement of the algorithm consists of increasing the accuracy of the approximations of parameter changes on the rotor. Thanks to more accurate determination of the initial rotor parameters, both approximations provide better results in parameter estimation. The analysis involved sixteen induction motors with four different power ratings and four different pole numbers. The analysis aimed to assess the impact of these approximations and assumptions on equivalent circuit parameter estimation errors. The estimated torque-speed characteristics closely matched the manufacturer’s reference data, including starting, maximum, and full-load torques. The deviation of the estimated torque-speed characteristics from the reference characteristics, within a defined speed range, is defined as the mean absolute percentage error. Based on the obtained results, the mean absolute percentage error is complex and depends on rotor parameter speed approximations, stator and rotor leakage reactance ratios, and the full power of the induction motor.
1. Introduction
Induction motors are a cornerstone of industrial and commercial applications due to their robustness, simplicity, and efficiency. They are widely used across various industries, from manufacturing and transportation to powering devices such as pumps, conveyors, and compressors. Their ability to handle varying loads and compatibility with modern control systems makes them essential components of modern automation. Since controller performance depends on the accuracy of motor parameters used by the control algorithm, it is crucial to determine the equivalent circuit parameters precisely [1,2]. Various methods were proposed for estimating the steady-state-equivalent circuit parameters of induction motors using different optimization techniques. The goal was to improve accuracy by minimizing the error between estimated parameters and manufacturer data. Different methods were applied, including the following: improved moth flame optimization (IMFO) [3], improved particle swarm optimization (IPSO) [4], a two-stage optimization approach based on the Engineering Method [5], an artificial bee colony algorithm (ABC) [6], an iterative method using nameplate data [7], an immune algorithm (IA) [8], a PSO-based approach [9], a charged system search algorithm (CSS), and differential evolution algorithm (DEA) [10]. These optimization techniques estimate parameters by solving nonlinear equations and validate the results by comparing them with manufacturer data, classical methods, or other optimization techniques. Each approach aimed to enhance computational efficiency and accuracy, leveraging optimization strategies such as swarm intelligence, evolutionary algorithms, and iterative refinement to achieve more reliable parameter estimates.
In addition to equivalent circuit parameter estimation, metaheuristic optimization methods are widely used in motor design. These methods are applied in areas such as the design optimization of permanent magnet synchronous motor [11] and the optimization of the geometric parameters of induction motors to achieve high efficiency [12].
To reduce the number of unknown parameters and computation time in estimating induction-motor-equivalent circuit parameters, single-cage models often assume that the stator and rotor leakage reactances are equal. Alternatively, a constant ratio based on NEMA motor design categories can be applied [13,14,15,16,17]. In double-cage models, parameter estimation is simplified by assuming that the stator leakage reactance equals the starting rotor leakage reactance [18,19,20,21].
The assumption of equal stator and rotor leakage reactances is valid for wound rotor induction motors due to the symmetry in the three-phase stator and rotor winding. Based on this symmetry, identifying the parameters of the series branch of the induction-motor-equivalent circuit through a short circuit test is analogous to the short circuit test of three-phase transformers. However, in squirrel cage induction motors, where the rotor has a fundamentally different design, such as in short circuit cages with deep bars or double-cage rotors, this symmetry is absent. Moreover, users typically lack data on the geometry of the rotor and stator slots, which significantly influence the leakage reactances, even when the motor’s catalog data are available.
In [22], it was noted that during transient processes, such as starting an induction motor by direct connection to the grid or during load changes, the ratio of stator-to-rotor leakage reactances is not constant. Therefore, using constant parameters in the machine model results in inaccurate dynamic performance predictions. As a solution, a direct method was proposed to estimate and separate the stator and rotor leakage reactance parameters under both normal operating conditions and when the core is deeply saturated. The method uses a two-dimensional time-stepping finite element method (FEM) with a coupled circuit.
In [23], a straightforward, non-iterative method was introduced to estimate the equivalent circuit parameters of an induction motor using manufacturer data. This method treats the starting rotor leakage reactance and the stator leakage reactance as distinct and was applied to data from nearly 3000 motors. The dataset covered IEC and NEMA standards, voltages from 220 to 575 V, frequencies of 50 and 60 Hz, 1 to 4 pole pairs, and power ratings from 0.12 to 675 kW.
The study in [23] also highlighted the skin effect in double-cage motors during direct grid start-up. At start-up, current primarily flows through the upper cage, which has a smaller cross-sectional area, increasing the starting rotor resistance and torque. The upper cage slots in the rotor are much smaller than the stator slots, resulting in a longer leakage flux path around them. Consequently, the stator and rotor leakage reactances differ significantly at start-up, leading to distinct values for the starting rotor leakage reactance and stator leakage reactance. The variation in rotor parameters due to the skin effect in deep bars or double squirrel-cage rotors was modeled and presented as a function of slip. The additional importance of considering the influence of rotor geometry on motor performance was highlighted in [24], where the effect of rotor bar designs on motor performance was studied using the FEM.
These considerations led the authors of this paper to assume that the starting rotor leakage reactance and the stator leakage reactance are different during the estimation of equivalent circuit parameters and to analyze the resulting estimation errors. The analyses include comparisons of starting, maximum, and full-load torque values, torque-speed characteristics, and mean absolute percentage errors. These comparisons are based on two approaches: one assuming equal starting rotor and stator leakage reactances and the other treating them as distinct.
2. Theoretical Basis
In the previous paper by the authors [25], a combined method for estimating the equivalent circuit parameters of cage induction motors using the two-stage PSO was presented. In the first stage of optimization, the electrical parameters of the motor for nominal operating mode were estimated (Rs-stator resistance, Rr-rotor resistance, Xs-stator leakage reactance, Xr-rotor leakage reactance, RFe-core loss resistance and Xm-magnetization reactance), while in the second stage, the rotor parameters at motor start-up were estimated (Rr_st-starting rotor resistance and Xr_st-starting rotor leakage reactance). To simplify the estimation procedure, it was assumed that the starting rotor leakage reactance is equal to the stator leakage reactance (Xr_st = Xs).
The first objective function has the following form [25]:
where
More details about the first objective function (OF1), including expressions and constraints, can be found in [25].
Modification of the Algorithm for Cage-Induction-Motor-Equivalent Circuit Parameter Estimation
To evaluate the error resulting from the assumption (Xr_st = Xs), the electrical parameters of induction motors with different rated powers and pole numbers were estimated using the two previously mentioned approaches. For the first approach (Xr_st = Xs), the two-stage PSO algorithm from [25] was employed. To implement the second approach (Xr_st ≠ Xs), the algorithm described in [25] was modified to account for the increased number of unknown electrical parameters. Since the assumption (Xr_st ≠ Xs) in the second approach does not affect the estimation procedure of electrical parameters for nominal operating mode, their estimation procedure remains the same as in [25] (i.e., no changes will be made to the objective function OF1).
However, introducing a new unknown electrical parameter in the second stage of optimization (the starting rotor leakage reactance Xr_st) requires an extension of the objective function OF2 from [25].
In the objective function OF2, the starting rotor resistance Rr_st and starting rotor leakage reactance Xr_st are obtained by minimizing the deviation between the manufacturer and calculated values for starting torque and starting power factor. The objective function OF2 is expressed as follows:
where
The starting power factor can be calculated using the following expression:
Meanwhile the apparent, active, and reactive powers at motor start-up are obtained using the following expressions:
where is the stator phase voltage and is the stator current as a function of speed.
The starting stator and rotor currents were obtained based on the following expressions:
where the starting equivalent impedance is represented by the following equation that can be written based on the induction motor equivalent circuit:
The following constraints are applied in the second stage of the optimization:
The motor’s torque-speed characteristics were obtained using the following expression [16,25]:
where is the equivalent impedance representing the parallel connection of the magnetizing branch and the rotor branch in the function of speed, given by the following expressions [25]:
The variables Rr(n) and Xr(n) represent approximations of the changes in rotor resistance and rotor leakage reactance as functions of speed. These approximations are used to obtain part of the motor’s torque-speed characteristic, ranging from the starting torque point to the maximum torque point. Depending on the motor power [25], they can be modeled as either a square root function or a linear function of speed. Approximations of the change in rotor parameters as a function of the square root of the speed are as follows [25,26]:
Approximations of the change in rotor parameters as a linear function of speed are as follows [25,27]:
According to [25], square root approximation is recommended for motors with a power of up to 15 kW, while linear approximation is preferred for motors exceeding this power.
3. Reference Curves and Standards
Sixteen ABB induction motors were considered, and their manufacturer’s data are provided in Table 1. Motors with different power ratings (2.2 kW, 5.5 kW, 55 kW, and 90 kW) were selected, and for each power rating, four motors with different pole numbers (2, 4, 6, and 8) were chosen. The first criterion for motor selection was to avoid motors with the same power ratings as those used in the authors’ previous work [25]. The second criterion was to include both low-power motors, for which the square root approximation of rotor parameter variations is used, and medium-power motors, for which the linear approximation is applied. The third criterion was to include motors with 2, 4, 6, and 8 poles to cover the full range of motors commonly used in the industry. The induction motor data from Table 1 were used as input parameters in the PSO algorithm for the identification of equivalent circuit parameters.
Table 1.
Motors’ manufacturers data [28].
The torque-speed characteristics presented in Figure 1 and Figure 2 were not obtained using the equations for the induction motor’s torque-speed characteristics. These curves were derived graphically by plotting numerical data on motor torque and speed at 42 points, extracted from the MotSize 7.1.1 software [28]. The data for one motor were retrieved in the form of a table with two columns and 42 rows. The first column represents the motor speed, while the second column contains the motor torque. The curves in Figure 1 and Figure 2 were plotted based on the original numerical data, over which the authors had no influence in determining the torque values. In this study, the authors considered these curves as reference characteristics, experimentally determined by the motor manufacturer.
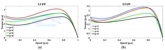
Figure 1.
Comparison of the torque-speed characteristics of induction motors with different pole numbers (2, 4, 6, and 8): (a) rated power 2.2 kW; (b) rated power 5.5 kW.
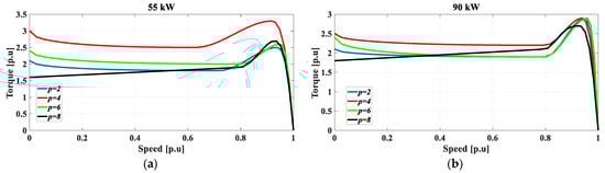
Figure 2.
Comparison of the torque-speed characteristics of induction motors with different pole numbers (2, 4, 6, and 8): (a) rated power 55 kW; (b) rated power 90 kW.
A graphical comparison was performed for motors with the same rated power but different pole numbers. The results of this comparison are presented in Figure 1 and Figure 2, showing that the torque-speed characteristics of motors with power ratings of 2.2 kW and 5.5 kW are similar. Similarly, the 55 kW and 90 kW induction motors also exhibit comparable torque-speed characteristics. According to the NEMA MG-1-2009 standard [29,30,31], there are four classes of torque-speed characteristics depending on motor construction (rotor design), as shown in Figure 3. The same standard defines the stator and rotor leakage reactance ratios for different motor designs, as given in Table 2.
Figure 3.
Classification of torque-speed characteristics according to the NEMA MG-1-2009 standard [32].
Table 2.
Ratio of stator to rotor leakage reactance in the steady state based on the NEMA class of torque-speed characteristics [29].
By comparing the shapes of the characteristics in Figure 1 and Figure 2 with those in Figure 3, it can be observed that the characteristics of the 2.2 kW and 5.5 kW motors correspond to Classes A and B. In contrast, the characteristic shapes of the 55 kW and 90 kW motors align with Class C. As noted in references [32,33], motors with characteristics corresponding to class A are typically designed with a single cage rotor, while class B motors are designed with deep-bar or double-cage rotors. Class C motors are usually built with a double-cage rotor.
4. Results
The combined two-stage PSO method was developed in Matlab R2017b and run on a PC with an AMD Ryzen 7 3700U processor and 12 GB of RAM. The control parameters of the algorithm were set as follows: cognitive and social acceleration coefficients c1 and c2 were both set to 2; the maximum and minimum inertia weights wmax and wmin were set to 0.9 and 0.4, respectively. The population size and the maximum number of iterations were set to 100 [25]. This method combines Particle Swarm Optimization (PSO) with rotor parameter approximations as a function of speed, considering the skin effect. While these approximations are not directly used in the parameter estimation algorithm, they help determine the motor’s torque-speed characteristics. To achieve this, a two-stage optimization process was used: in the first stage, the equivalent circuit parameters were estimated at the nominal operating mode, while in the second stage, rotor parameters at motor start-up were determined. These parameters were obtained by minimizing the error between the calculated values and the manufacturer data.
In the subsequent research process, the equivalent circuit parameters for sixteen induction motors were first estimated under the assumption Xr_st = Xs (approach 1). The parameters were then re-estimated for the same sixteen motors using the assumption Xr_st ≠ Xs (approach 2). This resulted in new values for the electrical parameters of the rotor at motor start-up, while the equivalent circuit parameters for the nominal operating mode remained unchanged. Based on these equivalent circuit parameters, the torque-speed characteristics of the motors, as shown in Figure 4, Figure 5, Figure 6 and Figure 7, were obtained.

Figure 4.
Comparison of the torque-speed characteristics for 2.2 kW induction motors with different pole numbers, obtained using approaches 1 and 2 with the square root and linear approximation: (a) 2 poles; (b) 4 poles; (c) 6 poles; (d) 8 poles.
Figure 5.
Comparison of the torque-speed characteristics for 5.5 kW induction motors with different pole numbers, obtained using approaches 1 and 2 with the square root and linear approximation: (a) 2 poles; (b) 4 poles; (c) 6 poles; (d) 8 poles.

Figure 6.
Comparison of the torque-speed characteristics for 55 kW induction motors with different pole numbers, obtained using approaches 1 and 2 with the square root and linear approximation: (a) 2 poles; (b) 4 poles; (c) 6 poles; (d) 8 poles.
Figure 7.
Comparison of the torque-speed characteristics for 90 kW induction motors with different pole numbers, obtained using approaches 1 and 2 with the square root and linear approximation: (a) 2 poles; (b) 4 poles; (c) 6 poles; (d) 8 poles.
Figure 4 compares the torque-speed characteristics of induction motors with a rated power of 2.2 kW (p = 1, 2, 3, 4) obtained using the first and second approaches with the square root and linear approximations against the reference torque-speed characteristic.
The dashed black line represents the characteristics obtained using the first approach with the square root approximation. The solid blue line represents the characteristics obtained using the second approach with the square root approximation. The dashed pink line represents the characteristics obtained using the first approach with the linear approximation. The solid green line represents the characteristics obtained using the second approach with the linear approximation. The reference characteristic provided by the manufacturer is shown using circle symbols.
In Figure 4, Figure 5, Figure 6 and Figure 7, ‘SRA’ denotes square root approximation, while ‘LA’ denotes linear approximation.
From Figure 4, it can be seen that, in all cases, the torque-speed characteristics obtained using the first approach with the square root approximation closely align with those obtained using the second approach with the square root approximation. They also deviate from the reference characteristic in the same manner. Similarly, characteristics obtained using the first approach with the linear approximation closely aligned with those obtained using the second approach with the linear approximation. However, the characteristics obtained using the linear approximation deviate more from the reference characteristic compared to those obtained using the square root approximation.
Figure 5 compares the torque-speed characteristics of induction motors with a rated power of 5.5 kW (p = 1, 2, 3, 4) obtained using the first and second approaches with the square root and linear approximations against the reference torque-speed characteristic. Similarly to the 2.2 kW motors, the torque-speed characteristics obtained using the first approach with the square root approximation align closely with those obtained using the second approach with the square root approximation. Additionally, the characteristics obtained using the first approach with the linear approximation align closely with those obtained using the second approach with the linear approximation. As with the 2.2 kW motor, the characteristics obtained using the linear approximation deviate more from the reference characteristic than those obtained using the square root approximation.
Figure 6 compares the torque-speed characteristics of induction motors with a rated power of 55 kW (p = 1, 2, 3, 4) obtained using the first and second approaches with the square root and linear approximations against the reference characteristic. The results show that the torque-speed characteristics obtained using the first approach with the square root approximation deviate from those obtained using the second approach with the square root approximation. Similarly, the characteristics obtained using the first approach with the linear approximation deviate from those obtained using the second approach with the linear approximation. Among these, the characteristics obtained using the second approach with the linear approximation show the best alignment with the reference characteristic.
Figure 7 compares the torque-speed characteristics of induction motors with a rated power of 90 kW (p = 1, 2, 3, 4) obtained using the first and second approaches with the square root and linear approximations against the reference torque-speed characteristic. Similarly to the 55 kW motor, the characteristics obtained using the first approach deviate from those obtained using the second approach. The closest alignment with the reference characteristic is achieved using the second approach with the linear approximation.
5. Discussion
The influence of approach 1 (Xr_st = Xs) and approach 2 (Xr_st ≠ Xs) on the estimation of equivalent circuit parameters is analyzed by comparing the errors in the estimated motor torque values at three key points: starting torque, maximum torque, and full-load torque. These errors represent the relative deviation between the obtained torque values, based on the estimated equivalent circuit parameters from Table 3 and the catalog values from Table 1. Table 3 presents the estimated equivalent circuit parameters for the motor’s nominal operating mode and the rotor electrical parameters at motor start-up for the two approaches considered.
Table 3.
Estimated values of the induction-motor-equivalent circuit parameters.
Table 4 presents the estimated values of starting torque, maximum torque, and full-load torque, along with their relative errors. The relative errors in Table 4 are defined as follows: e1 represents the relative error in the starting torque, e2 represents the relative error in the maximum torque, and e3 represents the relative error in the full-load torque.
Table 4.
Estimated values for starting, maximum, and full-load torques, along with their errors.
Table 4 indicates that the obtained values for the motor’s starting, maximum, and full-load torques closely align with the manufacturer values. The last bold column presents the difference between the starting torque error obtained using the first approach and that obtained using the second approach (e1−e4). This difference is positive for all motors, indicating that the error e4 is consistently smaller than the error e1. This demonstrates that the second approach provides more accurate starting torque values compared to the first approach.
Since the assumption Xr_st = Xs does not affect the estimation of the motor’s electrical parameters for nominal operating mode in the first stage of optimization, the values of the maximum and full-load torque remain unchanged. As a result, the errors obtained by applying the second approach will be the same as those from the first approach.
The errors resulting from different approximations of rotor parameter variations are evaluated by comparing the motor’s torque-speed characteristics derived from both the SRA and LA, as well as the equivalent circuit parameters obtained using approaches 1 and 2. These errors, expressed as the mean absolute percentage errors, include both the errors in estimating electrical parameters using approaches 1 and 2 and the errors arising from approximating rotor parameter variations with speed.
According to [25], the mean absolute percentage error is determined based on the torque values obtained at different speeds. The number of operating points in the motor’s torque-speed characteristics, as provided by the induction motor manufacturer, is 41 [28]. The mean absolute percentage error is calculated using the following expression [25]:
where N is the number of working points (41 points, for which the induction motor manufacturer gives torque values at the corresponding speeds [28]); xi is the exact torque value at the i-th point, provided by the induction motor manufacturer [28]; and yi is the obtained torque value at the i-th point.
The obtained values of the mean absolute percentage errors for the 16 motors considered are presented in Table 5. The errors e5 to e8 have the following meanings:
Table 5.
Obtained values of the mean absolute percentage errors.
e5—the mean absolute percentage error of the estimated characteristic obtained by applying the first approach (Xr_st = Xs), and the square root approximation of the change in rotor parameters as a function of speed;
e6—the mean absolute percentage error of the estimated characteristic obtained by applying the first approach (Xr_st = Xs), and the linear approximation of the change in rotor parameters as a function of speed;
e7—the mean absolute percentage error of the estimated characteristic obtained by applying the second approach (Xr_st ≠ Xs), and the square root approximation of the change in rotor parameters as a function of speed;
e8—the mean absolute percentage error of the estimated characteristic obtained by applying the second approach (Xr_st ≠ Xs) and the linear approximation of the change in rotor parameters as a function of speed.
Based on the results, for the 2.2 kW and 5.5 kW motors, the error e7 is the smallest, indicating that the torque-speed characteristics derived using the second approach and the SRA best match the reference characteristics. For the 55 kW and 90 kW motors, the error e8 is the smallest, showing that the second approach with the LA yields the best match to the reference torque-speed characteristics.
When approach 1 was used, the average execution time of the algorithm was about 0.285 s. However, with approach 2, the average computation time increased to about 1.39 s. This increase is due to the introduction of an additional unknown variable (Xr_st), which requires expanding the objective function to include an equation related to the motor’s starting power factor. Consequently, the optimization process becomes more complex, slowing the algorithm’s convergence and increasing the time needed to find the optimal solution.
To better demonstrate the influence of approaches 1 and 2 on estimating equivalent circuit parameters for motors with different rated powers, mean absolute percentage errors e5 to e8 are presented graphically in Figure 8 and Figure 9.
Figure 8.
Comparison of mean absolute percentage errors for induction motors with different pole numbers (2, 4, 6, and 8): (a) rated power 2.2 kW; (b) rated power 5.5 kW.
Figure 9.
Comparison of mean absolute percentage errors for induction motors with different pole numbers (2, 4, 6, and 8): (a) rated power 55 kW; (b) rated power 90 kW.
For 2.2 kW motors, the differences between mean absolute percentage errors e5 and e7, as well as e6 and e8, are small. For 5.5 kW motors, these differences are also minor but show an increasing trend as the number of poles increases. Notably, the errors e6 and e8 obtained using LA are significantly larger than the errors e5 and e7 obtained using the SRA. For motors with powers of 55 kW and 90 kW, the deviations between errors e5 and e7, as well as e6 and e8, are greater compared to those for 2.2 kW and 5.5 kW motors. Additionally, for 55 kW and 90 kW motors, errors e5 and e7 calculated using the SRA are significantly higher than errors e6 and e8 obtained using the LA.
This indicates that for motors with power ratings of 2.2 kW and 5.5 kW, the torque-speed characteristics obtained using the SRA align more closely with the reference torque-speed characteristics. Additionally, the second approach provides a slight improvement in the obtained torque-speed characteristics compared to the first approach. For motors with power ratings of 55 kW and 90 kW, the torque-speed characteristics derived from the LA show better alignment with the reference torque-speed characteristics. Similarly, the second approach achieves an improvement in the torque-speed characteristics compared to the first approach.
The error differences (e5−e7) and (e6−e8) shown in Figure 10 and Figure 11 represent the algebraic differences between the mean absolute percentage errors e5 and e7, as well as e6 and e8. The results indicate that the sign of the error difference (e5−e7) is always positive (e5−e7 > 0), meaning that error e5 is consistently greater than error e7 (e5 > e7).
Figure 10.
Difference in mean absolute percentage errors e5−e7 and e6−e8 for induction motors with different pole numbers (2, 4, 6, and 8): (a) rated power 2.2 kW; (b) rated power 5.5 kW.
Figure 11.
Difference in mean absolute percentage errors e5−e7 and e6−e8 for induction motors with different pole numbers (2, 4, 6, and 8): (a) rated power 55 kW; (b) rated power 90 kW.
For motors with power ratings of 2.2 kW and 5.5 kW, the sign of the error difference (e6−e8) is positive only for motors with 4 poles, while for motors with 2, 6, and 8 poles, this sign is negative. For motors with power ratings of 55 kW and 90 kW, the sign of the error difference (e6−e8) is consistently positive, indicating that error e6 is always greater than error e8.
Applying the first approach with the SRA to 2.2 kW motors (p = 2, 4, 6, 8) increases the difference in mean absolute percentage errors e5−e7, ranging from 0.02 to 0.17. When using the first approach and LA for a 2.2 kW motor with four poles, the difference in mean absolute percentage errors e6−e8 increases by 0.38. However, for 2.2 kW motors with 2, 6, and 8 poles, the first approach with the LA reduces the difference in mean absolute percentage errors e6−e8, ranging from −0.01 to −0.18.
For 5.5 kW motors, applying the first approach with the SRA increases the difference in mean absolute percentage errors e5−e7, ranging from 0.11 to 0.76. Using the first approach with LA for a 5.5 kW motor with 4 poles increases the difference in mean absolute percentage errors e6−e8 by 0.04. In contrast, for 5.5 kW motors with 2, 6, and 8 poles, this approach reduces the difference in mean absolute percentage errors e6−e8, ranging from −0.36 to −0.59.
Applying the first approach with the SRA to 55 kW and 90 kW motors increases the difference in mean percentage absolute errors e5−e7, ranging from 2.66 to 3.48 for the 55 kW motor and from 2.31 to 6.7 for the 90 kW motor. Similarly, applying the first approach with the LA increases the difference in mean absolute percentage errors e6−e8, ranging from 1.11 to 2.08 for the 55 kW motor and from 1.27 to 2.05 for the 90 kW motor.
6. Case Study for Low Power VSD
The two-stage PSO algorithm, utilizing the second approach for estimating the equivalent circuit parameters of squirrel cage induction motors, was validated on a 2.2 kW Siemens induction motor. This experiment was conducted in the Laboratory for Electrical Drives at the Faculty of Electronic Engineering, University of Niš, as shown in Figure 12a. Motor nameplate data were used to estimate its equivalent circuit parameters using the two-stage PSO algorithm and the second approach. Additionally, the same motor was applied for parameter identification using a Danfoss FC302 frequency converter through an Automatic Motor Adaptation (AMA) test. Nameplate of Danfoss FC302 frequency converter is given in Figure 12b. The Automatic Motor Adaptation (AMA) algorithm is designed to automatically determine the electrical parameters of a motor while it remains at a standstill, offering a practical and efficient solution for parameter estimation [34,35]. The motor’s manufacturer data are provided in Table 6.
Figure 12.
(a) Experimental setup. (b) Nameplate of Danfoss Fc30 frequency converter.
Table 6.
Catalog data for the Siemens 2.2 kW motor.
Using only the first approach and the square root approximation, the authors of this paper verified the two-stage PSO algorithm on the identical laboratory setting. The findings of their validation are shown in [36].
The obtained values of the equivalent circuit parameters are given in Table 7. Error e9 represents the percentage deviation of the electrical parameters obtained using the two-stage PSO algorithm and the second approach from those identified by the AMA test. As presented in Table 7, the stator resistance, rotor leakage reactance, and magnetizing reactance values obtained using the two-stage PSO algorithm and the second approach show slight deviations from the AMA test results, all below 5%. The deviations for rotor resistance and stator leakage reactance are slightly higher, at 6.12% and 9.86%, respectively. The largest deviation is observed in the core loss resistance, reaching up to 46.19%.
Table 7.
The obtained equivalent circuit parameters for the 2.2 kW Siemens induction motor.
Figure 13 shows the motor’s torque-speed characteristics obtained using electrical parameters identified by the two-stage PSO algorithm (approach 2) and the Danfoss converter through the AMA test. The solid blue line represents the characteristic based on parameters from the two-stage PSO algorithm (approach 2) and the square root approximation. The dashed black line represents the characteristic based on parameters from the AMA test. Both characteristics were calculated using Expression 16. To obtain the torque-speed characteristic based on AMA test parameters, the rotor parameters were assumed to be fixed over the entire speed range. This assumption was made because the AMA test does not provide rotor parameter values at motor start and during the acceleration.
Figure 13.
Comparison of the torque-speed characteristics obtained by using the two-stage PSO algorithm (approach 2) and the AMA test for a 2.2 kW Siemens induction motor: (a) absolute units; (b) per unit (p.u.).
In the speed range from 500 r/min to synchronous speed (1500 r/min), the characteristic based on the two-stage PSO algorithm (approach 2) parameters closely matches the characteristic from the AMA test parameters. However, within the speed range of 0 to 500 r/min, slight differences are observed between these two characteristics. A possible reason for these differences lies in the methods used to identify the equivalent circuit parameters of the induction motor. The AMA test, which falls under the category of offline methods for parameter identification, employs a specific algorithm to test the motor under a blocked rotor. The AMA test does not consider any changes in the rotor’s electrical parameters during motor start-up. The two-stage PSO algorithm, on the other hand, is a metaheuristic method that uses linear and square root approximations to take into account changes in the rotor’s electrical parameters as the motor starts up. Table 8 shows the starting, maximum, and full-load torques of the motor obtained through the AMA test and the two-stage PSO algorithm utilizing the second approach. The error e10 represents the difference between the values obtained using the two methods. The torque values obtained with the two-stage PSO algorithm (approach 2) are close to those from the AMA test. The full-load torque values nearly match, with a small deviation of 0.68%. The deviations for the starting and maximum torques are slightly larger, at 6.57% and 5.75%, respectively.
Table 8.
Obtained values for starting, maximum, and full-load torque for the 2.2 kW Siemens induction motor.
This experimental verification of the proposed parameter estimation algorithm has confirmed its effective application to the 2.2 kW, 4-pole motor.
Experimental verification results of the PSO algorithm obtained through the AMA test on a 2.2 kW, 4-pole motor could be conditionally extended to a 5.5 kW, 4-pole motor. This extrapolation assumes comparable performance can be achieved under the following conditions:
- Application of the same algorithm;
- Use of the same rotor parameter approximation as a function of speed;
- Potential utilization of the same frequency converter;
- Both motors (2.2 kW and 5.5 kW) belong to the low-power motor category;
- The motors have the same pole number and similar construction characteristics.
Therefore, the experimental validation results for the 5.5 kW, 4-pole motor are expected to be similar to those of the 2.2 kW, 4-pole motor.
The experimental verification results of the PSO algorithm obtained through the AMA test on a 2.2 kW, 4-pole motor could not be extended to a 55 kW and 90 kW motors with different pole numbers (2, 4, 6, 8) due to failure to meet the following conditions:
- Use the different rotor parameter approximation as a function of speed compared to low power motor;
- Utilization of the frequency converter with different power rating compared to the low power frequency converters rating;
- Both motors (50 kW and 90 kW) belong to the medium-power motor category opposite to the low power motor;
- The motors have different pole numbers and construction characteristics in relation to the low power motor.
The 55 kW and 90 kW motors have significantly higher power and a different rotor construction, so a linear approximation of rotor parameter variation was used. Due to these differences, the experimental validation performed on the low-power 2.2 kW motor cannot be applied to these motors.
As explained in Section 5, the number of poles in a motor plays a significant role in the accuracy of parameter estimation. Motors of the same rated power but with different numbers of poles have distinct design characteristics, which also results in different values of equivalent circuit parameters. This difference becomes even more pronounced in motors with different rated powers and pole numbers. Any change in the number of motor poles is expected to have a direct impact on the accuracy of the derived motor characteristics. Therefore, separate experimental verification of the results is necessary for each motor with a different number of poles.
7. Conclusions
This study presents the results of equivalent circuit parameter estimation for 16 induction motors with different rated powers and pole numbers, using two different approaches. The first approach assumes that the starting rotor leakage reactance and stator leakage reactance are equal, while the second approach assumes these parameters are different. The study also describes the results of equivalent circuit parameter estimation for a laboratory 2.2 kW induction motor using the two-stage PSO algorithm utilizing the second approach and the Danfoss FC302 frequency converter via an AMA test. Based on the results presented, the following conclusions can be drawn:
- Regardless of the pole numbers, the torque-speed characteristics obtained using the first approach are identical to those obtained using the second approach for motors with a rated power of 2.2 kW and 5.5 kW. In addition, the characteristics produced using the square root approximations align more precisely with the reference characteristics. This alignment is more accurate compared to the characteristics obtained through the linear approximation. The fact that this is the case suggests that the method of applying the square root approximation to the first approach is appropriate for these motors.
- For 55 kW and 90 kW motors, regardless of the pole numbers, the torque-speed characteristics obtained using the first approach differ from those obtained using the second approach. For these motors, the linear approximation yields characteristics that align more closely with the reference characteristics compared to the square root approximation. Graphical and numerical results indicate that applying the first approach with the square root approximation results in worse torque-speed characteristics for 55 kW and 90 kW motors. Conversely, the second approach with the linear approximation yields torque-speed characteristics that better match the reference characteristics.
- The implementation of the two-stage PSO algorithm results in estimated starting, maximum, and full-load torque values that closely align with those specified by the manufacturer. The second approach in the parameter estimation procedure improves the precision of the starting torque, while the maximum and full-load torques remain unchanged since this approach does not affect them.
- The algorithm’s average execution time for the first approach was 0.285 s. However, due to the introduction of an additional unknown variable (Xr_st), which expands the objective function, the execution time for the second approach increased to approximately 1.39 s.
- Experimental verification of the proposed parameter estimation PSO algorithm showed its effectiveness when applied to a 2.2 kW 4-pole motor. The results obtained through the PSO algorithm and the AMA test suggest that, under certain conditions, these findings can be conditionally extended to a 5.5 kW 4-pole motor. This extrapolation is valid provided that (1) the same algorithm is applied, (2) the same rotor approximation is used, (3) the same frequency converter is used, and (4) both motors have the same pole number and similar construction characteristics.
- However, the experimental validation results cannot be applied to medium-power motors (55 kW and 90 kW) due to significantly different motor power and rotor construction, and the use of different approximations for rotor parameter variation.
- In addition, the number of poles significantly influences the accuracy of parameter estimation. Motors with the same rated power but different pole numbers have distinct design characteristics, which also results in different values of equivalent circuit parameters. These differences become even more noticeable in motors with varying power ratings and pole numbers. Therefore, separate experimental verification of the results is necessary for each motor with a different number of poles.
Author Contributions
Conceptualization, J.V., S.Š. and N.M.; investigation, J.V., S.Š. and A.J.; methodology, J.V., N.A. and B.P.; supervision, N.A. and N.M.; visualization, J.V., S.Š., B.P. and A.J.; writing—original draft, J.V., S.Š., N.A., N.M., B.P. and A.J.; writing—review and editing, J.V., S.Š., N.A., N.M., B.P. and A.J. All authors have read and agreed to the published version of the manuscript.
Funding
This research was funded by the Ministry of Science, Technological Development and Innovation of the Republic of Serbia [grant numbers 451-03-65/2024-03/200155 and 451-03-137/2025-03/200102].
Data Availability Statement
The original contributions presented in the study are included in the article, further inquiries can be directed to the corresponding author.
Conflicts of Interest
The authors declare no conflicts of interest.
Nomenclature
| PSO | Particle Swarm Optimization | max | Maximum load |
| Rs | Stator resistance | Stator phase voltage | |
| Rr | Rotor resistance | Stator current as a function of speed | |
| Xs | Stator leakage reactance | Equivalent impedance representing the parallel connection of the magnetizing branch and the rotor branch at motor start-up | |
| Xr | Rotor leakage reactance | Equivalent impedance representing the parallel connection of the magnetizing branch and the rotor branch in the function of speed | |
| RFe | Core loss resistance | Rr(n) | Approximations of the changes in rotor resistance as functions of speed |
| Xm | Magnetization reactance | Xr(n) | Approximations of the changes in rotor leakage reactance as functions of speed |
| Rr_st | Starting rotor resistance | nn | Rated speed |
| Xr_st | Starting rotor leakage reactance | c1 | Cognitive acceleration coefficient |
| OF | Objective function | c2 | Social acceleration coefficient |
| Fi ) | i-th component of the objective function | wmax | Maximum inertia weight |
| p | Pole number | wmin | Minimum inertia weight |
| ωs | Synchronous angular speed | SRA | Square root approximation |
| s | Slip | LA | Linear approximation |
| T | Torque | e1 | Relative error in the starting torque |
| Rotor current as a function of speed | e2 | Relative error in the maximum torque | |
| nfl | Full load speed | e3 | Relative error in the full-load torque |
| nmax | Speed at the maximum torque | N | Number of working points |
| pf | Power factor | xi | Exact torque value at the i-th point |
| P | Active power | yi | Obtained torque value at the i-th point |
| Q | Reactive power | e5 | Mean absolute percentage error of the estimated characteristic obtained by applying the first approach and the square root approximation |
| η | motor efficiency | e6 | Mean absolute percentage error of the estimated characteristic obtained by applying the first approach and the linear approximation |
| Pn | Nominal (rated) mechanical power | e7 | Mean absolute percentage error of the estimated characteristic obtained by applying the second approach and the square root approximation |
| mf | Manufacturer data | e8 | Mean absolute percentage error of the estimated characteristic obtained by applying the second approach and the linear approximation |
| st | Start load | AMA | Automatic Motor Adaptation |
| fl | Full load | VSD | Variable speed drive |
References
- Monjo, L.; Kojooyan-Jafari, H.; Corcoles, F.; Pedra, J. Squirrel-Cage Induction Motor Parameter Estimation Using a Variable Frequency Test. IEEE Trans. Energy Convers. 2015, 30, 550–557. [Google Scholar] [CrossRef]
- Monjo, L.; Córcoles, F.; Pedra, J. Parameter estimation of squirrel-cage motors with parasitic torques in the torque–slip curve. IET Electr. Power Appl. 2015, 9, 377–387. [Google Scholar] [CrossRef]
- Danin, Z.; Sharma, A.; Averbukh, M.; Meher, A. Improved Moth Flame Optimization Approach for Parameter Estimation of Induction Motor. Energies 2022, 15, 8834. [Google Scholar] [CrossRef]
- Sakthivel, V.P.; Bhuvaneswari, R.; Subramanian, S. An Improved Particle Swarm Optimization for Induction Motor Parameter Determination. Int. J. Comput. Appl. 2010, 1, 71–76. [Google Scholar] [CrossRef]
- Al-Jufout, S.A.; Al-rousan, W.H.; Wang, C. Optimization of Induction Motor Equivalent Circuit Parameter Estimation Based on Manufacturer’s Data. Energies 2018, 11, 1792. [Google Scholar] [CrossRef]
- Abro, A.G.; Saleh, J.M. Multiple-global-best guided artificial bee colony algorithm for induction motor parameter estimation. Turk. J. Electr. Eng. Comput. Sci. 2014, 22, 620–636. [Google Scholar] [CrossRef]
- Lee, K.; Frank, S.; Sen, P.K.; Polese, L.G.; Alahmad, M.; Waters, C. Estimation of induction motor equivalent circuit parameters from nameplate data. In Proceedings of the 2012 North American Power Symposium (NAPS), Champaign, IL, USA, 9–11 September 2012; pp. 1–6. [Google Scholar] [CrossRef]
- Sakthivel, V.P.; Bhuvaneswari, R.; Subramanian, S. Artificial immune system for parameter estimation of induction motor. Expert Syst. Appl. 2010, 37, 6109–6115. [Google Scholar] [CrossRef]
- Sakthivel, V.P.; Bhuvaneswari, R.; Subramanian, S. Multi-objective parameter estimation of induction motor using particle swarm optimization. Eng. Appl. Artif. Intell. 2010, 23, 302–312. [Google Scholar] [CrossRef]
- Canakoglu, I.; Yetgin, A.G.; Temurtas, H.; Turan, M. Induction motor parameter estimation using metaheuristic methods. Turk. J. Electr. Eng. Comput. Sci. 2014, 22, 1177–1192. [Google Scholar] [CrossRef]
- Knypiński, Ł.; Pawełoszek, K.; Le Menach, Y. Optimization of Low-Power Line-Start PM Motor Using Gray Wolf Metaheuristic Algorithm. Energies 2020, 13, 1186. [Google Scholar] [CrossRef]
- Apaydin, H.; Oyman Serteller, N.F.; Oğuz, Y. Induction Motor Geometric Parameter Optimization Using a Metaheuristic Optimization Method for High-Efficiency Motor Design. Energies 2025, 18, 733. [Google Scholar] [CrossRef]
- Arslan, M.; Çunkaş, M.; Sağ, T. Determination of induction motor parameters with differential evolution algorithm. Neural Comput. Appl. 2012, 21, 1995–2004. [Google Scholar] [CrossRef]
- Rajput, S.; Bender, E.; Averbukh, M. Simplified algorithm for assessment equivalent circuit parameters of induction motors. IET Electr. Power Appl. 2020, 14, 426–432. [Google Scholar] [CrossRef]
- Mohammadi, H.R.; Akhavan, A. Parameter Estimation of Three-Phase Induction Motor Using Hybrid of Genetic Algorithm and Particle Swarm Optimization. J. Eng. 2014, 2014, 148204. [Google Scholar] [CrossRef]
- Perez, I.; Gomez-Gonzalez, M.; Jurado, F. Estimation of induction motor parameters using shuffled frog-leaping algorithm. Electr. Eng. 2013, 95, 267–275. [Google Scholar] [CrossRef]
- Amaral, G.F.V.; Baccarini, J.M.R.; Coelho, F.C.R.; Rabelo, L.M. A High Precision Method for Induction Machine Parameters Estimation from Manufacturer Data. IEEE Trans. Energy. Convers. 2021, 36, 1226–1233. [Google Scholar] [CrossRef]
- Elkholy, M.M.; El-Hay, E.A.; El-Fergany, A.A. Synergy of electrostatic discharge optimizer and experimental verification for parameters estimation of three phase induction motors. Eng. Sci. Technol. Int. J. 2022, 31, 101067. [Google Scholar] [CrossRef]
- Gomez-Gonzalez, M.; Jurado, F.; Pérez, I. Shuffled frog-leaping algorithm for parameter estimation of a double-cage asynchronous machine. IET Electr. Power Appl. 2012, 6, 484–490. [Google Scholar] [CrossRef]
- Jirdehi, M.A.; Rezaei, A. Parameters estimation of squirrel-cage induction motors using ANN and ANFIS. Alex. Eng. J. 2016, 55, 357–368. [Google Scholar] [CrossRef]
- Pedra, J. On the determination of induction motor parameters from manufacturer data for electromagnetic transient programs. IEEE Trans. Power Syst. 2008, 23, 1709–1718. [Google Scholar] [CrossRef]
- Masadeh, M.A.; Pillay, P. Induction Machine Parameters Determination and the Impact of Stator/Rotor Leakage Split Ratio on Its Performance. IEEE Trans. Ind. Electron. 2020, 67, 5291–5301. [Google Scholar] [CrossRef]
- Guimares, J.M.C.; Bernardes, J.V.; Hermeto, A.E.; da Costa Bortoni, E. Parameter Determination of Asynchronous Machines From Manufacturer Data Sheet. IEEE Trans. Energy Convers. 2014, 29, 689–697. [Google Scholar] [CrossRef]
- Ocak, C. A FEM-Based Comparative Study of the Effect of Rotor Bar Designs on the Performance of Squirrel Cage Induction Motors. Energies 2023, 16, 6047. [Google Scholar] [CrossRef]
- Vukašinović, J.; Štatkić, S.; Milovanović, M.; Arsić, N.; Perović, B. Combined method for the cage induction motor parameters estimation using two-stage PSO algorithm. Electr. Eng. 2023, 105, 2703–2714. [Google Scholar] [CrossRef]
- Yamamoto, S.; Hirahara, H.; Tanaka, A.; Ara, T. A Simple Method to Determine Double-Cage Rotor Equivalent Circuit Parameters of Induction Motors From No-Load and Locked-Rotor Tests. IEEE Trans. Ind. Appl. 2019, 55, 273–282. [Google Scholar] [CrossRef]
- Calin, M.; Rezmerita, F.; Ileana, C.; Iordache, M.; Galan, N. Performance Analysis of Three Phase Squirrel Cage Induction Motor with Deep Rotor Bars in Transient Behavior. Electr. Electron. Eng. 2012, 2, 11–17. [Google Scholar] [CrossRef]
- MotSize 7.1.1, ABB. Available online: https://new.abb.com/motors-generators/iec-low-voltage-motors/drivesize-motsize (accessed on 13 February 2025).
- NEMA MG-1; Motors and Generators. National Electrical Manufacturers Association: Rosslyn, VA, USA, 2009. Available online: https://law.resource.org/pub/us/cfr/ibr/005/nema.mg-1.2009.pdf (accessed on 13 February 2025).
- Zhang, D.; Park, C.S.; Koh, C.S. A New Optimal Design Method of Rotor Slot of Three-Phase Squirrel Cage Induction Motor for NEMA Class D Speed-Torque Characteristic Using Multi-Objective Optimization Algorithm. IEEE Trans. Magn. 2012, 48, 879–882. [Google Scholar] [CrossRef]
- Lee, G.; Min, S.; Hong, J.-P. Optimal Shape Design of Rotor Slot in Squirrel-Cage Induction Motor Considering Torque Characteristics. IEEE Trans. Magn. 2013, 49, 2197–2200. [Google Scholar] [CrossRef]
- Marfoli, A.; Nardo, M.D.; Degano, M.; Gerada, C.; Chen, W. Rotor Design Optimization of Squirrel Cage Induction Motor—Part I: Problem Statement. IEEE Trans. Energy Convers. 2021, 36, 1271–1279. [Google Scholar] [CrossRef]
- Nardo, M.D.; Marfoli, A.; Degano, M.; Gerada, C.; Chen, W. Rotor Design Optimization of Squirrel Cage Induction Motor—Part II: Results Discussion. IEEE Trans. Energy Convers. 2021, 36, 1280–1288. [Google Scholar] [CrossRef]
- Operating Guide VLT Automation Drive FC 301/302. Available online: https://files.danfoss.com/download/Drives/MG33AT02.pdf (accessed on 15 February 2025).
- Facts Worth Knowing About AC Drives. Available online: https://assets.danfoss.com/documents/latest/242341/AV446558536912en-000101.pdf (accessed on 15 February 2025).
- Vukašinović, J.; Mitrović, N.; Štatkić, S.; Banković, B.; Filipović, F. Verification of the two Stage PSO Algorithm for Induction Motor Parameter Identification with offline Frequency Converter Identification Procedure. In Proceedings of the XVII International Conference on Systems, Automatic Control and Measurements, SAUM 2024, Niš, Serbia, 14–15 November 2024. [Google Scholar] [CrossRef]
Disclaimer/Publisher’s Note: The statements, opinions and data contained in all publications are solely those of the individual author(s) and contributor(s) and not of MDPI and/or the editor(s). MDPI and/or the editor(s) disclaim responsibility for any injury to people or property resulting from any ideas, methods, instructions or products referred to in the content. |
© 2025 by the authors. Licensee MDPI, Basel, Switzerland. This article is an open access article distributed under the terms and conditions of the Creative Commons Attribution (CC BY) license (https://creativecommons.org/licenses/by/4.0/).