You are currently viewing a new version of our website. To view the old version click .
Energies
  • This is an early access version, the complete PDF, HTML, and XML versions will be available soon.
  • Article
  • Open Access

9 December 2025

Numerical Study of the Thermal Performance of Serpentine-Channel Refrigerant Cooling Plates for Battery Modules

,
,
,
and
1
Product Design Engineering, University of Liverpool, Liverpool L69 3BX, UK
2
Key Laboratory of Advanced Manufacturing Technology for Automobile Parts, Ministry of Education, Chongqing University of Technology, Chongqing 400054, China
3
College of Mechanical and Vehicle Engineering, Hunan University, Changsha 410082, China
*
Authors to whom correspondence should be addressed.
This article belongs to the Topic Enhanced Heat Transfer and Advanced Energy Conversion Technology, 2nd Edition

Abstract

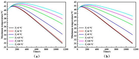
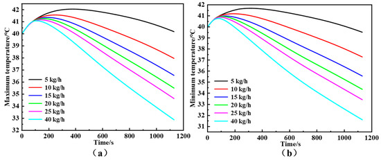
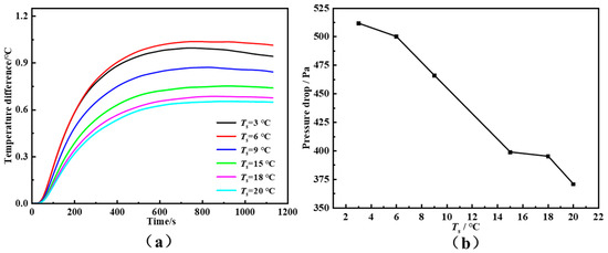
This study undertakes a detailed computational examination of a direct refrigerant cooling approach for a 50 Ah prismatic lithium iron phosphate (LiFePO4) battery. We conducted a systematic assessment to determine how the cooling plate’s topological layout and flow orientation influenced key performance indicators, namely thermal homogeneity, heat removal efficiency, and hydraulic pressure loss. Utilizing a validated two-phase flow model with 1,1,1,2-Tetrafluoroethane (R134a), simulations were performed on six distinct serpentine channel designs under a wide range of operating scenarios, covering variations in mass flow rate, saturation temperature, and inlet vapor quality. The simulation data revealed a strong correlation between the cooling plate’s geometric parameters and the system’s thermal behavior. In terms of uniformity, the optimized Case 6 configuration significantly outperformed Case 2, achieving a 76% improvement by narrowing the maximum mid-plane temperature difference from 2.02 °C down to 0.48 °C. A trade-off was observed regarding the mass flow rate: while higher rates lowered the peak temperature by approximately 18%, they simultaneously led to increased hydraulic pressure loss and slight non-uniformity. Similarly, decreasing the saturation temperature improved heat extraction but exacerbated flow resistance. Notably, this study identified an inlet vapor quality of 0.1 as the optimal point for maximizing temperature uniformity. These insights provide a robust theoretical foundation for optimizing the design and operation of compact direct refrigerant-based BTMSs.

Article Metrics

Citations

Article Access Statistics

Multiple requests from the same IP address are counted as one view.