Robot-Enabled Air-Gap Flux Mapping in Misaligned Electric Machines: Measurement Method and Harmonic Signatures
Abstract
1. Introduction
- Dynamometer-based test benches provide system-level measurements of torque, current, and speed, with indirect field estimation achieved through analytical models or observers [23,24,25]. Some configurations integrate embedded Hall sensors [26,27], but spatial coverage remains limited, and rotor misalignments are often introduced manually, reducing repeatability [28,29].
- Active magnetic-bearing (AMB) platforms enable precise rotor positioning via magnetic suspension [30,31], allowing in situ correlation between rotor displacement and magnetic-field behaviour [32,33,34]. More advanced setups permit controlled geometric misalignment during field measurement [35,36], but AMB systems suffer from cross-axis coupling, limited bandwidth, and restricted load capacity [37,38,39].
- Introduction of a robot-enabled flux-mapping method that preserves torque-producing operation under programmable misalignment;
- Development of a reconstruction technique that synthesises virtual rotor poses from embedded sensor arrays, thereby densifying spatial sampling;
- Provision of pose-resolved RMS/THD and harmonic maps revealing symmetry breaking and phase decoherence under misalignment;
- Formulation of a rigorous measurement-uncertainty budget accounting for linearity, temperature drift, ADC quantisation, and placement tolerances.
2. Materials and Methods
2.1. Robotic Magnetic-Field Scan System: Components and Configuration
System Architecture
2.2. System Operation
- TCP and coordinate calibration: Offsets and geometric misalignments are corrected using CAD-derived models of the rotor and stator. A transformation matrix aligns their poses within the robot’s base coordinate frame.
- Rotor alignment: Fine alignment is performed either using metrology instruments (e.g., laser-displacement sensors) or iteratively via Hall-sensor feedback to minimise asymmetry and offset.

- Rigid mount: The rotor is fixed to the robot flange, with all motion commanded by the manipulator. This configuration is ideal for static measurements and continuous-path scanning.
- Free rotation: The rotor is mounted on a low-friction shaft, allowing natural rotation induced by the electromagnetic torque while the robot maintains the spatial pose. This mode is suited to commutation-driven field mapping.
2.3. Rotor Alignment and Calibration Procedure
2.4. Measurement Uncertainty Analysis
- Hall-sensor accuracy: % of reading (Honeywell SS49E);
- ADC quantisation resolution: 14-bit;
- Robot repeatability: mm (FANUC LR Mate 200iD);
- Sensor-placement tolerance: mm (3D-printed mounts).
2.5. Transformation of Magnetic-Field Components from Virtual Rotor Reference Frame
2.5.1. Tilt-Induced Orientation Transformation
2.5.2. Eccentricity-Induced Translation and Rotation
2.6. Prototype Drive Design
3. Results and Discussion
3.1. Waveform-Level Analysis
3.1.1. Effects of Rotor Eccentricity
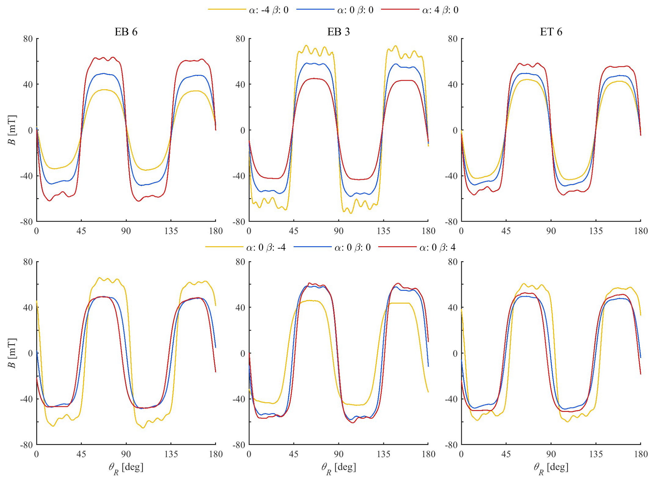
3.1.2. Effects of Rotor Tilt
3.1.3. Synthesis of Waveform-Level Insights
3.2. Spatial-Level Analysis
3.2.1. Effects of Rotor Eccentricity
3.2.2. Effects of Rotor Tilt
4. Conclusions
Author Contributions
Funding
Institutional Review Board Statement
Data Availability Statement
Acknowledgments
Conflicts of Interest
Abbreviations
| DoF | Degree of Freedom |
| RMS | Root Mean Square |
| THD | Total Harmonic Distortion |
| FEM | Finite-Element Method |
| PMSM | Permanent Magnet Synchronous Motor |
| NVH | Noise-Vibration Harshness |
| AMB | Active Magnetic Bearing |
| TCP | Tool Center Point |
| PCB | Printed Circuit Board |
| DAQ | Data Acquisition Card |
| RMI | Remote Motion Interface |
| CAD | Computer-Aided Design |
| RSS | Root Sum of Squares |
Appendix A. Measurement Error Analysis
| Parameter | Symbol | Value | Unit |
|---|---|---|---|
| Supply voltage | 5.0 | V | |
| Sensitivity (min/typ/max) | 10/14/175 | mV/mT | |
| Linearity error | ±0.7% | % of span | |
| Temperature drift of sensitivity | ±0.15%/∘C | % per ∘C | |
| Temperature range | 60 (e.g., 25 ∘C to 85 ∘C) | ∘C | |
| Magnetic-field range (min/typ) | ±65/±100 | mT | |
| ADC resolution | N | 14 | Bits |
| ADC input range | ±10 | V |
Error Contributions
- (1)
- Linearity error: The datasheet specifies a linearity deviation of % of the span:
- (2)
- Temperature drift error: Sensitivity drift is given as ±0.15% per ∘C. Over a temperature change of ,
- (3)
- ADC quantization error: The 14-bit ADC with input range V introduces a quantization step ofSince the ADC error is ±1 LSB, we have
- (1)
- Minimum case (650 mV output):
- (2)
- Typical case (1400 mV output):
- (3)
- Maximum case (1750 mV output):
Appendix B. Description of Evaluation Metrics
Appendix B.1. Root Mean Square
Appendix B.2. Total Harmonic Distortion
Appendix B.3. Symmetry Index
References
- Pyrhönen, J.; Jokinen, T.; Hrabovcová, V. Design of Rotating Electrical Machines; John Wiley & Sons Ltd.: Hoboken, NJ, USA, 2013; Volume 1, pp. 1–47. [Google Scholar]
- Soresini, F.; Barri, D.; Ballo, F.; Gobbi, M.; Mastinu, G. Noise and Vibration Modeling of Permanent Magnet Synchronous Motors: A Review. IEEE Trans. Transp. Electrif. 2024, 10, 8728–8745. [Google Scholar] [CrossRef]
- Zhao, K.; Jin, Z.; Luo, J. NVH Optimization of Motor Based on Distributed Mathematical Model Under PWM Control. Energies 2025, 18, 5395. [Google Scholar] [CrossRef]
- Park, Y.; Fernandez, D.; Lee, S.B.; Hyun, D.; Jeong, M.; Kommuri, S.K.; Cho, C.; Reigosa, D.D.; Briz, F. Online Detection of Rotor Eccentricity and Demagnetization Faults in PMSMs Based on Hall-Effect Field Sensor Measurements. IEEE Trans. Ind. Appl. 2019, 55, 2499–2509. [Google Scholar] [CrossRef]
- Demirel, A.; Keysan, O.; El-Dalahmeh, M.; Al-Greer, M. Non-invasive real-time diagnosis of PMSM faults implemented in motor control software for mission critical applications. Measurement 2024, 232, 114684. [Google Scholar] [CrossRef]
- Li, H.; Zhu, Z.-Q.; Azar, Z.; Clark, R.; Wu, Z. Fault Detection of Permanent Magnet Synchronous Machines: An Overview. Energies 2025, 18, 534. [Google Scholar] [CrossRef]
- Khalil, S.A.; Yousif, M.; Tameemi, A.; Khan, F.; Jadoon, U.; Yousaf, M. Design and optimization of high torque density spoke-type inverted V shape IPMSM with concentrated winding for EV applications. Results Eng. 2025, 26, 105473. [Google Scholar] [CrossRef]
- Niu, L. Optimization Design and Torque Performance Research of Interior Permanent Magnet Synchronous Motors. Sci. Rep. 2025, 15, 8822. [Google Scholar] [CrossRef] [PubMed]
- Pilat, A. Analytical modeling of active magnetic bearing geometry. Appl. Math. Model. 2010, 34, 3805–3816. [Google Scholar] [CrossRef]
- Simpkins, A.; Todorov, E. Position estimation and control of compact BLDC motors based on analog linear Hall effect sensors. In Proceedings of the 2010 American Control Conference, Baltimore, MD, USA, 30 June–2 July 2010; pp. 1948–1955. [Google Scholar]
- Bai, K.; Lee, K.-M.; Foong, S. Direct field-feedback control for multi-DOF spherical actuators. In Proceedings of the 2011 IEEE International Conference on Robotics and Automation, Shanghai, China, 9–13 May 2011; pp. 5825–5830. [Google Scholar]
- Liu, H.; Niu, W.; Guo, Y. Direct torque control for PMSM based on the RBFNN surrogate model of electromagnetic torque and stator flux linkage. Control Eng. Pract. 2024, 148, 105943. [Google Scholar] [CrossRef]
- Toriumi, S.; Sakuma, K.; Asai, H.; Shimono, T. Finite Element Analysis and Experimental Validation of Core-Less Multi-layered Radial Motor. In Proceedings of the 2020 IEEE 9th International Power Electronics and Motion Control Conference (IPEMC2020–ECCE Asia), Nanjing, China, 29 November–2 December 2020; pp. 166–171. [Google Scholar]
- Pal, S.; Sengupta, M. FEM analysis and experiments of a Double-sided Axial Flux Switched Reluctance Motor for two alternative phase winding terminal connections. In Proceedings of the 2022 IEEE International Conference on Signal Processing, Informatics, Communication and Energy Systems (SPICES), Thiruvananthapuram, India, 10–12 March 2022; Volume 1, pp. 418–424. [Google Scholar]
- Hanappier, N.; Charkaluk, E.; Triantafyllidis, N. Multiphysics simulation of electric motors with an application to stators. Int. J. Solids Struct. 2022, 253, 111406. [Google Scholar] [CrossRef]
- Guillod, T.; Papamanolis, P.; Kolar, J.W. Artificial Neural Network (ANN) Based Fast and Accurate Inductor Modeling and Design. IEEE Open J. Power Electron. 2020, 1, 284–299. [Google Scholar] [CrossRef]
- Cheng, M.; Zhao, X.; Dhimish, M.; Qiu, W.; Niu, S. A Review of Data-Driven Surrogate Models for Design Optimization of Electric Motors. IEEE Trans. Transp. Electrif. 2024, 10, 8413–8431. [Google Scholar] [CrossRef]
- Piłat, A.K. Robotized Magnetic Field Test Stand (Zrobotyzowane Stanowisko do Badania pola Magnetycznego); PAR Pomiary Automatyka Robotyka: Warsaw, Poland, 2009. (In Polish) [Google Scholar]
- Zhu, Z.Q.; Howe, D.; Chan, C.C. Improved analytical model for predicting the magnetic field distribution in brushless permanent-magnet machines. IEEE Trans. Magn. 2002, 38, 229–238. [Google Scholar] [CrossRef]
- Chebak, A.; Viarouge, P.; Cros, J. Improved Analytical Model for Predicting the Magnetic Field Distribution in High-Speed Slotless Permanent-Magnet Machines. IEEE Trans. Magn. 2015, 51, 8102904. [Google Scholar] [CrossRef]
- Wu, S.; Guo, L.; Wang, H.; Wang, Z.; Song, Z.; Shi, T. Analytical Calculation for Magnetic Field in Spoke-Type Permanent Magnet Machines Based on a Rotor Magnetic Potential Model. IEEE Trans. Magn. 2022, 58, 8103605. [Google Scholar] [CrossRef]
- Xiang, P.; Yan, L.; Liu, X.; Li, X.; He, X.; Hua, W.; Hu, C. A Field-Superposition Model for Fast Electromagnetic Performance Prediction of PM Machine With Irregular Magnets and Irons. IEEE Trans. Magn. 2025, 61, 8101209. [Google Scholar] [CrossRef]
- Lu, W.; Zhang, Z.; Wang, D.; Lu, K.; Wu, D.; Ji, K.; Guo, L. A New Load Torque Identification Sliding Mode Observer for Permanent Magnet Synchronous Machine Drive System. IEEE Trans. Power Electron. 2019, 34, 7852–7862. [Google Scholar] [CrossRef]
- Tang, S.; Shi, T.; Cao, Y.; Lin, Z.; Wang, Z.; Yan, Y. Simultaneous Identification of Load Torque and Moment of Inertia of PMSM Based on Variable Structure Extended Sliding Mode Observer. IEEE Trans. Power Electron. 2024, 39, 8585–8596. [Google Scholar] [CrossRef]
- Huang, Y.; Zhang, G.; Wang, G.; Wang, Q.; Wang, S.; Xu, D. Inertia Decoupling Identification Strategy Based on Disturbance Torque Adaptive Observation for PMSM Drives. IEEE Trans. Power Electron. 2025, 40, 7150–7161. [Google Scholar] [CrossRef]
- Fernández Alonso, D.; Kang, Y.; Fernández Laborda, D.; Martínez Gómez, M.; Díaz Reigosa, D.; Briz, F. Permanent Magnet Synchronous Machine Torque Estimation Using Low Cost Hall-Effect Sensors. In Proceedings of the 2019 IEEE 10th International Symposium on Sensorless Control for Electrical Drives (SLED), Turin, Italy, 9–10 September 2019; pp. 1–6. [Google Scholar]
- Fernández Alonso, D.; Kang, Y.; Fernández Laborda, D.; Martínez Gómez, M.; Díaz Reigosa, D.; Briz, F. Permanent Magnet Synchronous Machine Torque Estimation Using Low Cost Hall-Effect Sensors. IEEE Trans. Ind. Appl. 2021, 57, 3735–3743. [Google Scholar] [CrossRef]
- Peralta, P.; Leo, J.; Perriard, Y. Rotor Position Estimation with Hall-Effect Sensors in Bearingless Drives. In Proceedings of the 2020 22nd European Conference on Power Electronics and Applications (EPE’20 ECCE Europe), Lyon, France, 7–11 September 2020; pp. 1–10. [Google Scholar]
- Yan, L.; Zhu, B.; Jiao, Z.; Chen, C.-Y.; Chen, I.-M. An Orientation Measurement Method Based on Hall-Effect Sensors for Permanent Magnet Spherical Actuators with 3D Magnet Array. Sci. Rep. 2014, 4, 6756. [Google Scholar] [CrossRef]
- Jastrzebski, R.P.; Kurvinen, E.; Pyrhönen, O. Design, Modelling and Control of MIMO AMB System with 3 Radial Bearing Planes for Megawatt-Range High-Speed Rotor. In Proceedings of the 2019 IEEE International Electric Machines & Drives Conference (IEMDC), San Diego, CA, USA, 12–15 May 2019; pp. 805–811. [Google Scholar]
- Jastrzebski, R.P.; Smirnov, A.; Mystkowski, A.; Pyrhönen, O. Cascaded Position-Flux Controller for an AMB System Operating at Zero Bias. Energies 2014, 7, 3561–3575. [Google Scholar] [CrossRef]
- Voigt, A.J.; Santos, I.F. Theoretical and Experimental Investigation of Force Estimation Errors Using Active Magnetic Bearings with Embedded Hall Sensors. In Proceedings of the ASME Turbo Expo 2012: Volume 7-Structures and Dynamics, Parts A and B, Copenhagen, Denmark, 11–15 June 2012; pp. 779–793. [Google Scholar]
- Mystkowski, A.; Kierdelewicz, A.; Jastrzebski, R.P.; Dragašius, E.; Eidukynas, D. Flux measurement and conditioning system for heteropolar active magnetic bearing using Kapton-foil Hall sensors. Mech. Syst. Signal Process. 2019, 115, 394–404. [Google Scholar] [CrossRef]
- Sikora, B.M.; Piłat, A.K. Analytical modeling and experimental validation of the six pole axial active magnetic bearing. Appl. Math. Model. 2022, 104, 50–66. [Google Scholar] [CrossRef]
- Tenhunen, A.; Benedetti, T.; Holopainen, T.P.; Arkkio, A. Electromagnetic forces in cage induction motors with rotor eccentricity. In Proceedings of the IEEE International Electric Machines and Drives Conference (IEMDC’03), Madison, WI, USA, 1–4 June 2003; Volume 3, pp. 1616–1622. [Google Scholar]
- Song, X.; Fang, J.; Han, B. High-Precision Rotor Position Detection for High-Speed Surface PMSM Drive Based on Linear Hall-Effect Sensors. IEEE Trans. Power Electron. 2016, 31, 4720–4731. [Google Scholar]
- Kim, H.; Sikanen, E.; Nerg, J.; Sillanpää, T.; Sopanen, J.T. Unbalanced Magnetic Pull Effects on Rotordynamics of a High-Speed Induction Generator Supported by Active Magnetic Bearings—Analysis and Experimental Verification. IEEE Access 2020, 8, 212361–212370. [Google Scholar] [CrossRef]
- Zhang, P.; Zhu, C. Vibration Control of Base-Excited Rotors Supported by Active Magnetic Bearing Using a Model-Based Compensation Method. IEEE Trans. Ind. Electron. 2024, 71, 261–270. [Google Scholar] [CrossRef]
- Jastrzebski, R.P.; Piłat, A.K. Analysis of Unbalanced Magnetic Pull of a Solid Rotor Induction Motor in a Waste Heat Recovery Generator. IEEE Trans. Energy Convers. 2023, 38, 1208–1218. [Google Scholar] [CrossRef]
- Jastrzebski, R.P.; Jaatinen, P.; Pyrhönen, O.; Chiba, A. Design Optimization of Permanent Magnet Bearingless Motor Using Differential Evolution. In Proceedings of the 2018 IEEE Energy Conversion Congress and Exposition (ECCE), Portland, OR, USA, 23–27 September 2018; pp. 2327–2334. [Google Scholar]
- Bai, K.; Lee, K.-M. Direct Field-Feedback Control of a Ball-Joint-Like Permanent-Magnet Spherical Motor. IEEE/ASME Trans. Mechatron. 2014, 19, 975–986. [Google Scholar] [CrossRef]
- Wenninger, J.; Silber, S.; Weisengruber, P. Machine-made Coil Winding with a Collaborative Industrial Robot. In Proceedings of the Austrian Robotics Workshop 2021, Vienna, Austria, 10–11 June 2021. [Google Scholar]
- Ahmed, H.; Mohsin, A.; Hong, S.-C.; Lee, J.-R.; Ihn, J.-B. Robotic laser sensing and laser mirror excitation for pulse-echo scanning inspection of fixed composite structures with non-planar geometries. Measurement 2021, 176, 109109. [Google Scholar] [CrossRef]
- Cao, L.; Russo, D.; Felton, K.; Salley, D.; Sharma, A.; Keenan, G.; Mauer, W.; Gao, H.; Cronin, L.; Lapkin, A.A. Optimization of Formulations Using Robotic Experiments Driven by Machine Learning DoE. Cell Rep. Phys. Sci. 2021, 2, 100295. [Google Scholar] [CrossRef]
- Milanowski, H.; Piłat, A.K. Towards experimental insight into magnetic flux distribution within the air gap of permanent magnet synchronous drive. In Proceedings of the 2024 28th International Conference on Methods and Models in Automation and Robotics (MMAR), Międzyzdroje, Poland, 27–30 August 2024; pp. 334–339. [Google Scholar]
- Piłat, A.K.; Bieszczad, R.; Milanowski, H. Investigation of Magnetic Field by the Hall Sensors Embedded into Magnetic Bearing Poles. In Proceedings of the 18th International Symposium on Magnetic Bearings (ISMB18), Lyon, France, 18–21 July 2023; pp. 1–6. [Google Scholar]







| Sensor Type | Radius r [mm] | Angle [] | Height z [mm] |
|---|---|---|---|
| ET1…6 (Top) | 47.5 | +5 | |
| EB1…6 (Bottom) | 47.5 | −5 | |
| S1…6 (Side) | 47.5 |
| Sensor | Rotor State | RMS (mT) | THD (%) | Amplitude A (Harmonics, mT) | Phase (Harmonics, ) | ||||||
|---|---|---|---|---|---|---|---|---|---|---|---|
| A1 | A3 | A5 | A7 | ||||||||
| EB6 | x: −3 y: 0 | 46.04 | 43.72 | 63.21 | 14.40 | 4.28 | 1.82 | 80.67 | 55.14 | 30.31 | 7.68 |
| x: 3 y: 0 | 47.19 | 41.46 | 64.65 | 15.27 | 4.8 | 2.05 | 104.51 | 136.83 | 172.80 | −151.06 | |
| x: 0 y: 0 | 44.58 | 39.78 | 61.58 | 12.87 | 3.38 | 1.13 | 91.24 | 92.55 | 95.09 | 94.09 | |
| x: 0 y: −3 | 63.60 | 47.19 | 85.23 | 26.00 | 9.47 | 4.01 | 91.20 | 92.85 | 95.83 | 93.21 | |
| x: 0 y: 3 | 31.12 | 34.21 | 43.59 | 5.78 | 0.87 | 0.23 | 90.39 | 89.78 | 87.64 | 76.86 | |
| EB3 | x: −3 y: 0 | 47.15 | 41.08 | 64.66 | 15.13 | 4.63 | 1.86 | 104.45 | 135.88 | 170.12 | −155.05 |
| x: 3 y: 0 | 45.84 | 40.33 | 62.96 | 14.25 | 4.16 | 1.72 | 80.36 | 54.66 | 29.81 | 7.07 | |
| x: 0 y: 0 | 44.72 | 39.81 | 61.63 | 13.48 | 3.68 | 1.30 | 92.30 | 95.26 | 100.65 | 103.84 | |
| x: 0 y: −3 | 31.81 | 35.85 | 44.48 | 6.19 | 1.10 | 0.24 | 89.53 | 79.87 | 68.87 | 57.66 | |
| x: 0 y: 3 | 65.18 | 51.41 | 86.01 | 28.90 | 12.63 | 7.24 | 90.97 | 91.09 | 94.03 | 96.49 | |
| Sensor | Rotor State | RMS (mT) | THD (%) | Amplitude A (Harmonics, mT) | Phase (Harmonics, ) | ||||||
|---|---|---|---|---|---|---|---|---|---|---|---|
| A1 | A3 | A5 | A7 | ||||||||
| EB6 | : −4 : 0 | 27.98 | 35.54 | 39.16 | 5.44 | 0.88 | 0.21 | 87.14 | 76.96 | 63.32 | 48.15 |
| : 4 : 0 | 54.49 | 45.16 | 74.14 | 19.50 | 6.46 | 2.80 | 90.11 | 87.67 | 89.23 | 90.89 | |
| : 0 : 0 | 44.58 | 39.78 | 61.58 | 12.87 | 3.38 | 1.13 | 91.24 | 92.55 | 95.09 | 94.09 | |
| : 0 : −4 | 55.47 | 46.59 | 75.25 | 19.85 | 6.64 | 3.00 | 83.19 | 62.88 | 43.82 | 26.65 | |
| : 0 : 4 | 41.14 | 39.19 | 56.93 | 11.00 | 2.60 | 0.73 | 99.58 | 121.42 | 145.01 | 167.30 | |
| ET6 | : −4 : 0 | 35.08 | 35.87 | 49.01 | 7.40 | 1.30 | 0.34 | 91.88 | 90.31 | 85.04 | 74.85 |
| : 4 : 0 | 49.81 | 44.88 | 67.72 | 17.98 | 5.99 | 2.58 | 91.66 | 92.38 | 96.40 | 99.56 | |
| : 0 : 0 | 44.58 | 39.78 | 61.58 | 12.87 | 3.38 | 1.13 | 91.24 | 92.55 | 95.09 | 94.09 | |
| : 0 : −4 | 51.02 | 45.98 | 69.21 | 18.27 | 6.13 | 2.78 | 85.27 | 70.06 | 57.43 | 41.77 | |
| : 0 : 4 | 43.87 | 39.08 | 60.69 | 11.82 | 2.84 | 0.82 | 100.15 | 122.69 | 146.24 | 167.70 | |
Disclaimer/Publisher’s Note: The statements, opinions and data contained in all publications are solely those of the individual author(s) and contributor(s) and not of MDPI and/or the editor(s). MDPI and/or the editor(s) disclaim responsibility for any injury to people or property resulting from any ideas, methods, instructions or products referred to in the content. |
© 2025 by the authors. Licensee MDPI, Basel, Switzerland. This article is an open access article distributed under the terms and conditions of the Creative Commons Attribution (CC BY) license (https://creativecommons.org/licenses/by/4.0/).
Share and Cite
Milanowski, H.; Piłat, A.K. Robot-Enabled Air-Gap Flux Mapping in Misaligned Electric Machines: Measurement Method and Harmonic Signatures. Energies 2025, 18, 6447. https://doi.org/10.3390/en18246447
Milanowski H, Piłat AK. Robot-Enabled Air-Gap Flux Mapping in Misaligned Electric Machines: Measurement Method and Harmonic Signatures. Energies. 2025; 18(24):6447. https://doi.org/10.3390/en18246447
Chicago/Turabian StyleMilanowski, Hubert, and Adam K. Piłat. 2025. "Robot-Enabled Air-Gap Flux Mapping in Misaligned Electric Machines: Measurement Method and Harmonic Signatures" Energies 18, no. 24: 6447. https://doi.org/10.3390/en18246447
APA StyleMilanowski, H., & Piłat, A. K. (2025). Robot-Enabled Air-Gap Flux Mapping in Misaligned Electric Machines: Measurement Method and Harmonic Signatures. Energies, 18(24), 6447. https://doi.org/10.3390/en18246447

