Abstract
An overview of the Common Rail (CR) diesel engine challenges and of the promising state-of-the-art solutions for addressing them is provided. The different CR injector driving technologies have been compared, based on hydraulic, spray and engine performance for conventional diesel combustion. Various injection patterns, high injection pressures and nozzle design features are analyzed with reference to their advantages and disadvantages in addressing engine issues. The benefits of the statistically optimized engine calibrations have also been examined. With regard to the combustion strategy, the role of a CR engine in the implementation of low-temperature combustion (LTC) is reviewed, and the effect of the ECU calibration parameters of the injection on LTC steady-state and transition modes, as well as on an LTC domain, is illustrated. Moreover, the exploitation of LTC in the last generation of CR engines is discussed. The CR apparatus offers flexibility to optimize the engine calibration even for biofuels and e-fuels, which has gained interest in the last decade. The impact of the injection strategy on spray, ignition and combustion is discussed with reference to fuel consumption and emissions for both biodiesel and green diesel. Finally, the electrification of CR diesel engines is reviewed: the effects of electrically heated catalysts, electric supercharging, start and stop functionality and electrical auxiliaries on NOx, CO2, consumption and torque are analyzed. The feasibility of mild hybrid, strong hybrid and plug-in CR diesel powertrains is discussed. For the future, based on life cycle and manufacturing cost analyses, a roadmap for the automotive sector is outlined, highlighting the perspectives of the CR diesel engine for different applications.
1. Introduction
The combustion processes that take place inside a compression ignited (CI) engine are essentially dependent on the way in which the fuel is injected into the combustion chamber. The most important criteria to characterize and evaluate an injection event are the timing and the duration of injection and their variations with respect to the engine working conditions, the degree of atomization, the penetration and the scattering or diffusion of the injected fuel inside the combustion chamber, the injected mass flow rate pattern with respect to the crankshaft angle and the total amount of fuel injected related to the engine load.
Different fuel injection system technologies have been employed in traction systems for obtaining the planned objectives. Figure 1 reports the European, US and Japan automotive market of popular injection systems in the period from 1995 to 2010: 1 is the in-line pump, 2 is the radial distributor injection pump, 3 is the CR, 4 is the axial distributor injection pump and 5 is the electronic unit injector (EUI). The introduction of more stringent emission standards during the late 1990s and the early 2000s in Europe, the USA and Japan required a new evolution of injection system technologies applied to direct-injection diesel engines. Injection timing delay had been the primary means by which NOx emissions were reduced up until the late 1990s, and the available electronically controlled fuel injection pumps could guarantee improved flexibility in the management of SOIs, compared to previous mechanical systems. However, there was a practical limit to injection timing delays due to an excessive increase in soot and HC increase or due to misfire [1]. The EGR fractions backing into the cylinder had been modest up to the late 1990s for both passenger cars and trucks, but higher demands on EGR systems were created with the emission standards introduced in the early 2000s, which triggered the introduction of sophisticated electronically controlled cooled EGR systems. Since either injection timing delays or EGR increases worsened soot emissions, an augmentation in the injection pressure or in the swirl level within the cylinder was essential to contain the PM. Larger injection pressures, combined with higher compression ratios, could also decrease the fuel economy penalty associated with delayed injection timings because they significantly reduced ignition delays [2]. Furthermore, an augment in the injection pressure allowed the rotational speed of a diesel engine to be increased because the raised injection pressure accelerated fuel evaporation and thus the combustion process. Finally, with high injection pressures, air swirl could be reduced, and this in turn diminished both the energy consumed in producing swirl and the heat loss to the coolant. In-line pumps and axial-piston fuel distributor pumps for passenger cars could not go beyond 550 bar and 700 bar, respectively, and these injection pressures could only be reached at high loads and speeds; for heavy-duty engines, the maximum injection pressures for these two injection systems could reach 1150 bar and 1300 bar, respectively. Electronically radial fuel distributor pumps and electronic unit pump systems were introduced in the mid-1990s and were able to provide a maximum pressure of 1500 bar for car applications and beyond for heavy-duty applications. However, both these systems enabled only simplified pilot–main injection patterns, due to the presence of significant lag and residual pressure wave dynamics along the long pump-to-injector piping system after the end of the injection. Instead, the EUI allowed for injection pressure levels to be raised up to 2000 bar [3,4,5] because of its reduced hydraulic capacitance, which was caused by the small high-pressure circuit volume between the pumping plunger and nozzle, and allowed multiple injections to be performed. From the late 1990s to the late 2000s, the EUI was the technology competing with the CR for application to diesel passenger cars and diesel light-duty commercial vehicles, although the final success of the CR system was unavoidable. This was primarily due to its general superior flexibility in the management of the injection train parameters in order to adapt combustion to the demands of the engine operating points in terms of performance, pollutant emissions and noise [6]. CR systems allow for flexible control of the injection pressure, independently of load, speed and injection hole diameter, whereas the injection pressure was affected by the cam profile, the working condition and the hole diameter in EUI systems. Another fundamental difference of the CR system compared to EUI systems is the constant fuel pressure at the nozzle during the injection period. In addition to this, although EUI systems are characterized by limited combustion noise, they generate much more mechanical noise than CR systems, due to the mechanical contact between the cam, rocker-arm and follower. It has been proved in [7] that any modification in the EUI system design leading to a higher injection pressure and to steeper pressure gradients in the plunger cavity induces an increase in the mechanical noise and vice versa. This trade-off between mechanical noise and hydraulic performance represented a dramatic and unsolved dilemma of the EUI. Furthermore, EUI systems could not perform more than three shots per engine cycle because only the central portion of the pumping plunger stroke could be exploited for programming injections [8]. The implementation of multiple injections with reduced dwell time between the subsequent shots was another challenge for the EUI. In fact, the key to performing multiple injections with reduced dwell time resides in the two-stage layout of the CR injector (pilot stage and main stage): among all the examined fuel injection systems, the CR injector is the only one equipped with an integrated pilot valve. Finally, the introduction of the diesel particulate filters for limiting PM required efficient regeneration strategies. One of the simplest strategies consisted of the application of one or more shots close to exhaust valve opening [9]: this was an easy solution for the CR but was not practicable for the EUI [10,11]. Since 2010, CR systems have practically become the only universally applied injection technology for passenger cars and light-duty commercial diesel vehicles: they progressively spread even in the fields of trucks, tractors and off-road vehicles for reasons related to scale economy. During the early 2010s, the diesel engine passenger cars sold in Europe were able to overcome those fueled by gasoline, and the diesel engine appeared as the primary resource to satisfy the progressively stringent fleet-wide targets on CO2 for passenger cars, established as a mandatory regulation in Europe since 2009. Furthermore, the Paris Agreement that was drawn up during the Conference of the Parties in 2015 (COP21), the European Green Deal and the outcomes of the COP26 held in Glasgow in 2021 affirmed the ambition to limit global warming to below 1.5 °C, compared to pre-industrial levels, and to achieve carbon neutrality by around 2050. These events, in conjunction with the effects of the Dieselgate scandal, increased attention on climate changes and on CO2 vehicular emissions. Hence, after a first phase from the late 1990s up to Dieselgate, in which both pollutant criteria and performance (especially power density and combustion noise) mainly guided the design of the CR diesel engine, a second phase started, ongoing since 2016, in which CR engine development for automotive applications has been primarily conducted with new pollutant criteria, which include both laboratory emission cycles and real driving emission (RDE) tests conducted on public roads with the application of conformity factors, and based on CO2 targets. The decision of the European community in 2019 (Europan regulations 2019/631 and 2019/1242) to reduce the average CO2 emissions of passenger car fleets by 37.5% in 2030 compared to the levels in 2021, the average CO2 emissions of light-duty commercial vehicle fleets by 31% compared to the levels in 2021 and those of heavy-duty commercial vehicles by 30% (the last target has been updated to 45% in 2024 with European Regulation 2024/1610) compared to 2020 (there are also mandatory short-term targets for all types of vehicles to reduce CO2 emissions by 15% in 2025–2027 compared to either 2021 or 2020, depending on the vehicle type) has encouraged the development of electrification as well as the use of alternative fuels in diesel engines. Figure 2 reports recent pollutant emissions standards as well as CO2 targets in the EU, the US and Japan: it is impressive how the CO2 limits have become stricter in recent years (values on the figure refer to NEDC).
Figure 1.
Penetration of the different injection systems on the market.
Figure 2.
Emission standards and CO2 targets.
The current historical period, which is characterized by a slowdown in the technological progress of CR engines after almost 25 years of convulsive development, is suitable for performing a balance of such an engine breakthrough and to provide a possible scenario for the future of CI combustion engines. The present work assesses the CR system potentialities in the efficient design of conventional and innovative CI combustion concepts as well as in the management of biofuels and e-fuels. The state of the art of electrification in CR diesel engines is provided, and feasible solutions for sustainable on-road mobility are discussed. An original aspect of this review is related to the simultaneous treatment of conventional and innovative combustion concepts, alternative fuels and electrification, which depicts an exhaustive scenario of CR applications and opens up the discussion to cross-correlations between the topics.
2. Fuel Injection Technologies and Conventional Diesel Combustion
2.1. Comparison Between Solenoid and Piezoelectric CR Engines
CR injection system technologies developed for conventional diesel combustion, which consists of an initial reduced premixed phase (about 30% of the fuel heat release) and of a subsequent predominant diffusive phase (about 70% of fuel het release), have been of two types, solenoidal or piezoelectric technology, depending on the driving system (either a solenoid or a piezo stack) used to actuate the two-stage injector. Two-stage piezoelectric CR injectors, in which the pilot valve solenoid is replaced by a piezoelectric stack, have often been offered by injection system suppliers as a possible premium solution for their prompt dynamic response, flexibility and superior performance [12]. Great attention was therefore paid to the benchmark between piezoelectric and solenoid technologies especially in the early 2010s. The solenoid technology was traditionally reliable and cost-effective, and the unit was physically smaller than piezo units. However, solenoid injectors tend to vibrate more than piezo units, thus creating more noise [13]. Furthermore, piezoelectric injectors consume less power and require a lower electrical current than solenoid injectors because the latter are operated by the peak and hold method, which needs a boosted high operating current for a fast response [14]. Finally, as already mentioned, since the fuel pressure tends to close the pilot valve in piezoelectric injectors, but tends to open this valve in solenoid injectors, the leakage through the pilot valve is larger for solenoid injectors, and this represents a limit to the increase in the maximum rail pressure [15], which is useful for better managing the demands on emissions and performance. Another claimed advantage of piezo-driven injectors is the enhanced dynamic response of the needle [16,17,18]: a piezo-stack could generate forces of 800 N [19], while conventional solenoid systems usually show lower values than 140 N [20]. The solenoid force arises at a distance, and its intensity is at a minimum when the air gap between the magnet and the pilot-valve armature is at a maximum, that is, at the start of the energizing time [21]. Furthermore, the force on the pilot valve increases with the square of the current to the solenoid, and the exponential increase in the current with respect to time needs about 100–150 μs before it is able to move the pilot valve [22]. This could lead to a reduction in the nozzle opening delay (NOD) of indirect-acting piezo injectors, with respect to solenoid ones, that can range from 100 to 150 μs [17,18], to a more rapid opening of the injector nozzle and to higher flow rates [23]. The time required to close the nozzle, that is, the nozzle closure delay (NCD), is usually less for piezoelectric injectors than for solenoid ones: the average velocity of the needle during the downstroke of piezoelectric injectors is about 0.7 m/s, whereas it reduces to 0.5 m/s in solenoid samples [24]. Finally, the multiple injection performance of piezoelectric injectors is generally more flexible, with a minimum interval between fusion-free consecutive injections that is less than the minimum interval pertaining to standard solenoid injectors [25].
Figure 3a [17] shows the spray penetration, which is the distance from the nozzle tip to the farthest spray zone from the nozzle tip, and fuel droplet velocity, respectively, for 60 and 100 MPa and three air densities (22 kg/m3, 45 kg/m3 and 67 kg/m3) in the injector discharge environment of the bomb. The sprays injected from the holes of the piezoelectric injector grow faster at the beginning of injection (the solenoid and piezoelectric injectors have the same hole diameter). When the charge density is lower, due to smaller resistance for the sprays, the difference between the two injectors in terms of spray penetration and velocity are more obvious.
Figure 3.
Macroscopic spray characteristics for different injectors [17].
The higher spray velocity of piezoelectric injectors (cf. Figure 3b [17]) leads to smaller fuel droplet sizes. More effective vaporization of the fuel spray improves the spatial distribution of the fuel and flame in the combustion chamber and is therefore desirable. Other experimental results showed that spray tip penetration was not influenced significantly by the injector driving system [23]. In fact, although the liquid jet penetration of piezo injectors was higher than that of solenoid injectors [25], the quicker vaporization of the liquid fuel for the piezo injector can compensate for the previous effect since the penetration of a liquid spray is more effective than that of a vaporous one. The results in Figure 3a also show that the penetration differences significantly decrease as time passes.
In general, in the comparisons between solenoid and piezoelectric injector performance, one critical aspect that can affect the final results and can explain apparent inconsistencies in the literature concerns the presence of differences in some fundamental sizes (hole A and Z diameters, control chamber and delivery chamber volumes, number and diameter of holes, nozzle layout and needle sizes) between the two injector types. Another fundamental point is related to the technology of piezoelectric and solenoid injectors that are compared. In fact, solenoid CR injectors have witnessed important developments that partially solved some of their main weak points. It was possible to achieve high-speed solenoids, which featured a faster dynamic response than conventional ones, by optimizing some of the magnetic and electric circuit parameters [26]. Solenoid-driving voltages of up to 80 V can be applied to obtain a sharp current rise, which in turn minimizes the needle valve opening delay. In addition to this, the layout of the pilot valve of solenoid injectors, which can be either pressure-balanced or pressure-unbalanced, has a remarkable influence on the final performance. A solenoid injector endowed with a pressure-balanced pilot-valve layout can feature a static leakage about 25% lower than those of solenoid injectors equipped with a standard pilot valve, even though it remains significantly higher than that the typical one pertaining to a piezoelectric injector. When the pressure-balanced pilot-valve layout is coupled to an integrated minirail injector (the minirail could also be applied to piezoelectric injectors), the leakage could decrease to 50%, compared to a more conventional solenoid injector. A supplementary benefit of the pressure-balanced pilot valve is that it represents an efficient way of further improving solenoid injector promptness [27]. In fact, the stroke-end of the pilot valve can be reduced for a fixed flow area because the typical values for the diameter of the flow-area can be set up to about three times higher than those pertaining to the pressure-unbalanced pilot valve because of the lower tendency to static leakage of the balanced playout; this induces a more rapid opening of the injector. Furthermore, the reduced weight of the pressure-balanced pilot valve leads to a decrease in the required magnetic force of about 35%, compared to standard solenoid injectors with unbalanced pilot valves [27]: consequently, less electrical energy is required to activate the injector. Finally, the pressure-balanced pilot valve permits an increase in the number of injections with a reduced dwell time, due to the faster dynamic response of the pilot valve, which affects the injector needle dynamics. Moreover, both indirect-acting piezo (IAP) and solenoid (IAS) injectors can be endowed with a three-way pilot valve [28] and indirect-acting piezoelectric injectors can feature a bypass-circuit that directly connects delivery and control chambers [24]. These design solutions give injectors a prompter dynamic response (above all, the three-way pilot valve reduces the dynamic leakage) and contribute to reducing the Sauter mean diameter of the fuel drops, which is the ratio of the average volume to average surface area of the spray droplets, averaged over the entire droplet size distribution range, during the nozzle opening and closure phases (needle-seat throttled phases).
Figure 4 reports the nozzle opening delay for an IAP injector. The nozzle opening delay is the time interval between the start of electrical current signal increase and the instant at which fuel injection begins.
Figure 4.
Nozzle opening delay for an IAP injector [15].
Tests were made with IAS injectors featuring the same control chamber volume, diameters of the A and Z holes, needle spring preload, as well as the geometry and material of the needle, as those of the IAP injectors in Figure 4. The NOD values of such IAS injectors also ranged from 250 μs to 300 μs and decrease when increasing the rail pressure. This definitely proved that the driving system itself did not play a major role in influencing the dynamic response of the injector. The inconsistencies found in the literature about the differences in NOD values between solenoid and piezoelectric injectors (they range from 100 to 150 μs) [17] are mainly ascribed to differences in hydraulic and mechanical parameters between the two injectors.
Figure 5 and Figure 6 plot the injection rate (measured as pEVI) and injector-inlet pressure (pinj,in is measured along the rail-to-injector pipe) time histories of the IAP and IAS injectors for two different ET and prail; furthermore, the current time history is also reported. The flow rate shape is generally almost rectangular for the IAS injector for medium and high ET values (cf. Figure 6); in particular, the flow rate values that occur in correspondence with the final portion of ET are slightly higher for the IAS injector. Furthermore, the triangular flow rate time histories plotted in Figure 5, under a low ET value, show a higher peak value for the IAS injector. All these differences are due to the presence of the integrated minirail in the IAS injector. The needle velocity and the needle-lift peak value always increase in the presence of the minirail for fixed prail and ET values because the opening pressure force on the needle is higher during the upstroke [29]. In fact, the delivery chamber pressure decrease that follows fuel injection is smaller when a minirail is integrated in the injector hydraulic circuit, and this allows the pressure force acting on the needle to be intensified. On the other hand, the fuel injection finishes later for the IAS injector in Figure 5 and Figure 6, due to the absence of the bypass. The higher NCD of IAS is also the cause for its higher tendency to injection fusion when the dwell time is reduced [30]. In fact, the minimum value of DT that does not cause any fusion between consecutive injection shots, namely the injection fusion threshold, increases proportionally with the NCD of the former shot.
Figure 5.
Time histories of pinj,in and pEVI (prail = 500 bar) [15].
Figure 6.
Time histories of pinj,in and pEVI (prail = 1800 bar) [15].
In [15], the effects of the injector driving system on the emissions, fuel consumption and combustion noise of an automotive engine have been demonstrated. The considered solenoid injector featured a pressure-balanced pilot valve and was equipped with an integrated minirail of 2.5 cm3, whereas the selected piezo-injector was endowed with a bypass circuit: both the injectors shared the same other hydraulic and mechanical setups (number and diameter of injection holes, needle and nozzle sizes, injector spring preload, etc.). Figure 7 compares the emissions, CN and bsfc of the two injector typologies along an EGR sweep for the 2000 × 5 key point and for a pilot–main–after (pMa) injection strategy. The NOx are always reported as horizontal abscissa in the graphs, and higher NOx emissions always correspond to lower EGR fractions [31]. The ordinate axis of the graphs reports the soot engine-out emissions in Figure 7a, the bsfc in Figure 7b and the CN in Figure 7c.
Figure 7.
Emissions, fuel consumption and combustion noise at 2000 × 5: (a) Soot-NOx trade-off; (b) bsfc-NOx trade-off; (c) CN-NOx curve [15].
The optimization of the triple injection strategies with a statistical technique has been carried out for either the IAP or IAS injectors under the same constraints. The combustion mode is the conventional one for the diesel engine equipped with both the IAP and the IAS injectors because a clear soot-NOx trade-off with respect to EGR can be observed for the considered working condition (cf. Figure 7a). The IAP injectors feature a worsened soot-NOx trade-off and an increased bsfc, compared to the IAS injectors. The IAP injectors lead to an augment in the engine-out soot emissions for fixed NOx under the considered pMa injection. The NOx engine-out emissions are also higher for the baseline calibration point (contoured symbol) of the IAP injector. The mean penalty introduced by the IAP injectors on bsfc is around 4%: the differences in injector leakages between the IAP and IAS injectors equipped with a pressure-balanced pilot valve and minirail therefore play a negligible role on bsfc since a 100% reduction in injector leakage generally leads to a bsfc improvement of only around 1% (in the considered tests, the leakage of the IAS injectors was less than double that of the IAP samples). Finally, the CN is about 1.5 dB higher for the engine equipped with the IAP injector in Figure 7c.
In-cylinder analyses show that the peak HRR value is smaller for the IAS injector, probably due to the leaner mixture during the main combustion, and as a result, the combustion noise is lower for the engine equipped with this kind of injector. Furthermore, the globally faster combustion development pertaining to the IAS injector has also been ascribed to the earlier phasing of the after injection in the optimized calibration and is responsible for the improved bsfc. Finally, a critical increase emerges in the numerical soot emission time histories (calculated with a three-zone combustion model) for the engine setup with the IAP injectors during the main combustion because of a possible increase in the Sauter diameter of the fuel droplets during the main injection. The better atomization of the fuel and the leaner mixture at the beginning of the main combustion are both due to the higher needle velocity (cf. the higher injected flow rate values and more rectangular shape of the injected flow rate in Figure 6) of the IAS injector during the initial part of the injection. In fact, since the minirail is able to sustain the injection pressure in the sac, especially during the first part of the injection event, the needle velocity increases in this phase and reduces the droplet mean Sauter diameter. On the basis of the engine results at different engine working conditions, indirect-acting piezoelectric injectors do not show any significant advantages with respect to the solenoid ones when injectors featuring similar hydraulic and mechanical setups are taken into account. Other results can be found in the literature that seem to be contradictory to those found in [15], but this is ascribed to the differences in the hydraulic and mechanical setups of the considered injectors, while the role played by the injector driving technology (piezoelectric or solenoidal) is not pivotal. The conclusion is that in the context of indirect-acting injectors, solenoid injectors remain a preferred solution because of their reduced manufacturing costs, although the costs of piezoelectric injectors have continued to decrease since their introduction on the market.
2.2. Comparison Between Indirect-Acting and Direct-Acting CR Engines
The direct-acting Common Rail technology probably represents the best perspective of piezoelectric actuation. It is a way of obtaining enhanced control of heat release modulation during combustion as well as of providing the functionality required by any used aftertreatment device [32]. The direct-acting technology has already been implemented in production CR systems and its claimed hydraulic benefits are major control of the injected quantities, improved dynamics, accurate and flexible multiple injections, reduction in injector leakage, very high injection pressure levels and flow-rate-shaping capabilities.
In principle, direct-acting injectors generally allow for better control of the injected quantity, mainly because of the possibility of developing accurate feedback control strategies based on the analysis of the current and voltage signals provided to the piezo-stack. Nozzle opening, start of the needle downstroke and end of hydraulic injection can be monitored, and this improves the control of both the injection timing and injected mass. A similar strategy cannot be implemented in indirect-acting injectors: in fact, the electrical commands act on the pilot valve, and it is very difficult to find an accurate spectral transfer function between pilot-valve lift and needle-lift time histories. Furthermore, direct-acting piezoelectric (DAP) injectors are characterized by a very prompt dynamic response with reduced nozzle opening and closure delays.
The demand for higher nozzle pressure levels (up to and beyond 2000 bar) in indirect-acting CR injectors [33] is often curbed by the simultaneous need for reduced injector leakages, that is, the fuel flow rates that occur through the injector when the pilot valve is either open (dynamic leakage) or closed (static leakage). Since there is no pilot valve in direct-acting injectors, the dynamic leakage is null, the static leakage is significantly reduced, and the rail pressure can be increased to very high levels [34] without affecting the hydraulic efficiency of the injection system to any great extent. Obviously, the no return flow also enables the CR high-pressure pump to be downsized and eliminates the need for a recirculated-fuel cooler, at least for fuel-metering valve-controlled injection systems [35].
Finally, variable shaping of the injected flow rate in direct-acting piezo-injectors is guaranteed by the possibility of performing a boot injection (cf. Section 2.2.1), which offers additional degrees of freedom for more efficient management of the complex trade-off between emissions, fuel consumption and combustion noise [36,37]. All this explains the great attention that has been paid to direct-acting injectors by the automotive scientific community. Despite all the studies on hydraulic performance and fuel spray, which illustrated the features and the potentiality of direct-acting piezoelectric injectors [38,39], there are only a few works that tried to reveal the real benefits of the direct-acting technology of the injector on engine-out emissions, fuel consumption and combustion noise. In [40], the hydraulic and engine performances of indirect-acting and direct-acting piezo-driven injectors have been compared under various working conditions with reference to a Euro 5 diesel engine for a passenger car. Figure 8 reports the volumetric injector leakage measured at 30 °C (Vleakage). In the case of the IAP injector, Vleakage is the sum of the static and dynamic leakages per engine cycle. Dynamic leakage increases with the value of ET, whereas static leakage mainly depends on pnom. For the DAP injector, only the static leakage has to be taken into account since there is no pilot valve.
Figure 8.
Emissions, fuel consumption and combustion noise at 2000 × 5: (a) IAP; (b) DAP [40].
The total leakage of the IAP injector is generally much higher than that of the DAP injector because of the presence of the dynamic leakage. When ET is low, the total leakage of the IAP injector is mainly due to the static leakage contribution, and its values in Figure 8a become similar to or lower than the corresponding ones of the DAP injector in Figure 8b. The previously mentioned three-way pilot valve layout has been developed to limit the dynamic leakage, thus solving the weak point for the IAP leakage. Figure 9 plots the injection rate (measured as pEVI) and injector-inlet pressure (pinj,in is measured along the rail-to-injector pipe) time histories of the IAP and DAP injectors at pnom = 800 bar, ET = 1000 μs; furthermore, the current time history is also reported. Although ET and the nozzle are the same for the two injectors, the injected mass differs significantly. The DAP injector tends to inject less fuel than the IAP one for fixed ET, due to its reduced needle lift values (this feature is related to the small elongation of the piezo-stack). The injected flow rate of the DAP injector increases with a higher time derivative because the direct mechanical actuation of the needle causes a higher velocity during the upstroke. The nozzle opening delay is similar for the two injectors, and this reveals that modern indirect-acting injectors have a similar responsiveness to that of direct-acting injectors.
Figure 9.
Injected flow rate and injector-inlet pressure time histories (prail = 800 bar, ET = 1000 µs) [40].
For the DAP injector, even though the pinj,in oscillations are significant in Figure 9, the injected mass fluctuations with respect to DT in multiple injections virtually disappear since the needle is not ballistic: the maximum needle lift is always reached, independently of the pilot-injection-induced pressure wave dynamics [30].
Tests made with the DAP injector without the active control strategy of the injected mass proved that the role played by this strategy on the fluctuations of the injected mass with respect to DT was negligible.
Figure 10 reports the soot, bsfc and CN as functions of the NOx for an EGR sweep performed at 2000 × 5 in the presence of a pilot–pilot–main (ppM) injection strategy, which has been optimized with a statistical technique for either the DAP or IAP injectors under the same constraints The DAP injector improves emissions, bsfc and CN. The significant differences in leakage between the IAP and DAP injectors, which are shown in Figure 8, have an appreciable effect on the bsfc. Indeed, the IAP injector leakage in Figure 8 is more than twice that of the DAP injector for the pnom range and the ET values, which refer to the selected key point in the medium load and speed NEDC zone: this can be responsible for a penalty of 1–2% in bsfc. However, as already mentioned, the application of a three-way pilot valve to the IAP injectors would solve the penalty on bsfc, due to the leakage. The better atomization of the fuel is due to the higher needle velocity (i.e., higher real injected flow rate) of the DAP injector during the initial part of the main injection event [40]. This tends to improve the soot emissions and intensifies the premixed phase of combustion, thus leading to faster combustion with subsequent worsening of combustion noise and improvement in bsfc.
Figure 10.
Emissions, fuel consumption and combustion noise at 2000 × 5: (a) Soot-NOx trade-off; (b) bsfc-NOx trade-off; (c) CN-NOx curve [40].
2.2.1. Analysis of the Boot Injection Performance
Studies on the effects of injection rate shaping on engine combustion and emissions have been limited. Figure 11 [36] reports, with reference to full load and 2400 rpm, numerical fuel velocities for a rate-shaped injection event (Figure 11b) featuring a boot phase, i.e., an initial phase with reduced constant injection rates, and the corresponding in-cylinder pressure and HRR traces (Figure 11a). Injection velocity is one of the parameters that have the most influence on all of the emissions because it controls both the mixing process and heat release rate. Since the injection pressure in the nozzle is reduced during boot injection because of throttling at the needle-seat passage, lower hole–exit velocities of the fuel droplets occur.
Figure 11.
Simulation results: in-cylinder pressure and HRR traces (a) and corresponding injection rate profiles (b) [36].
As the boot injection velocity decreases (RS0 to RS1 to RS2) or the boot injection duration increases (RS3 to RS2 to RS4), the ignition delay period increases. Although the reduction in both injection pressure and velocity could extend the autoignition delay, which could lead to a greater amount of fuel being injected before combustion starts, this event has only been shown to exert an influence of secondary importance [41]. In fact, it is the effect of the reduced flow rate over the boot injection period that prevails: hence, the injected mass prior to autoignition reduces in the presence of the boot injection, and atomization is also poorer. As more fuel is injected subsequently, combustion intensifies during the later stages and the peak heat release is seen to shift in the presence of the boot injection rate shapes. In other words, heat released during the premixed combustion phase diminishes, thus determining a significant reduction in combustion noise, while heat released during the mixing-controlled combustion phase increases [38,41].
Figure 12a,b shows the simulation results for the normalized CO and NO emissions of all the injection velocity profiles in Figure 11b (only black symbols are of interest because they pertain to pure diesel fuel) and also includes the in-cylinder temperature and NO crank angle evolutions for the RS0 and RS2 cases (cf. Figure 12c), which however refer to kerosene as a fuel (the differences, compared to petrodiesel, show lower kinematic viscosity, by 35%; lower density, by around 4%; lower surface tension, by 8%; lower cetane number, by around 20%; and lower volumetric fraction of aromatics, by around 60%). NOx emissions are generally seen to decrease slightly when boot injection rate shapes are used in place of the conventional rectangular injection rate, i.e., RS0. Boot injection should determine lower injected flow rates and thus lower local temperatures in the initial premixed combustion, which in turn influence the subsequent maximum temperature values in correspondence with the diffusion flames, thus limiting NOx emissions. Figure 12c shows that the RS2 case has an overall lower in-cylinder temperature than the RS0 case, which may imply that there are fewer local high-temperature regions during the combustion of the RS2 case, as compared to the RS0 one. The lower overall in-cylinder temperatures determined by the boot injection are also the cause for the higher CO emissions of the boot-shaped profiles.
Figure 12.
Simulation results on the effect of different injection rate profiles on emissions and in-cylinder temperatures [36].
Figure 13 reports the numerical soot peak values for the rectangular injection rate and boot injection rate shapes (cf. black bars). More soot is generally generated when the boot injection is implemented. The diminished injection pressure and velocity of the fuel droplets under early-injection conditions decreases the depth of the spray penetration [42], leading to reduced air-to-fuel mixing, although the reduced fuel momentum during the initial stage of the injection can avoid liquid fuel wall impingement and flame quenching [38]. Once fuel ignition has occurred, the feeding of more fuel to the combustion process, that is, the passage from boot injection to the subsequent injection phase, in which the needle is completely open and the injection pressure increases (in Figure 11b, during this phase, the fuel velocity is larger for the case with the boot than for that without it), allows for the mixing of fuel with air to be enhanced and soot to be contained [43]. In fact, the temperature levels rise in the late burn out phase, and this leads to good oxidation of soot, even though the peak temperature during premixed combustion is lower than in the absence of boot injection. On the other hand, the increase in the fuel pressure during the last part of injection augments the risk of interaction between the injected fuel and the combustion flames, thus increasing the probability of soot formation.
Figure 13.
Simulation results on the effect of different injection rate profiles on soot peak values [36].
As far as the particle sizes are concerned, when boot injection rate shapes are used, it is reported in [36] that larger soot particles are formed at the beginning of the injection for the boot injection profiles as compared to that of RS0 (cf. Figure 11b), due to the lower boot injection velocity. On the other hand, in the final part of the profile, the boot injection rate shapes corresponding to Figure 11b give relatively smaller soot particle sizes than the RS0 profile, due to the higher main injection velocity. As a result, the soot mass distribution with respect to the particle size is narrower for RS0 than for the flow rates with boot injection in Figure 11b.
Although the injection velocity profiles reported in Figure 11b and the corresponding numerical analysis made in Figure 11a, Figure 12 and Figure 13 are interesting as an explanation, the comparison between boot injection rate shapes and original injection should be made according to the scheme in Figure 14 in order to reproduce the real conditions. In particular, there is only one level for the main injection, which corresponds to the needle at the stroke-end and the injection duration cannot be the same for the injection flow rate with and without boot if the comparison is made at constant load. Since the difference between the fuel injection velocities of the profiles with and without boot is maximized during the early injection phase in Figure 14, the corresponding reduction in NOx emissions and the penalty in the soot emissions, compared to the case without shaping, are expected to be significantly higher than in Figure 12 and Figure 13. Furthermore, NOx, smoke emissions and bsfc generally vary more significantly at low and medium loads than at full load when a boot injection is added [44]. The experimental results reported in [45] show that the addition of the boot phase at part load leads to a reduction in NOx emissions of about 50% and in CN of 6dB (boot injection reduces the fuel spray momentum in the initial injection phase and this lowers combustion noise) with an increase of only 1% in bsfc. The latter is due to the increase in the injection duration and thus in the combustion time when the rate-shaping strategy is applied. Although the entity of benefits and penalties related to the introduction of the rate shaping depends on the engine working point and on the difference between boot injection and main injection flow rates, it can generally be concluded [46] that the boot injection reduces NOx without a huge detriment to soot formation and fuel consumption in most cases. In general, actions should be taken to avoid any excessive lengthening of the injection, due to injection rate shaping, in order to limit both engine-out soot emissions and bsfc from becoming too much worse [47].
Figure 14.
Boot injection profile according to real conditions [36].
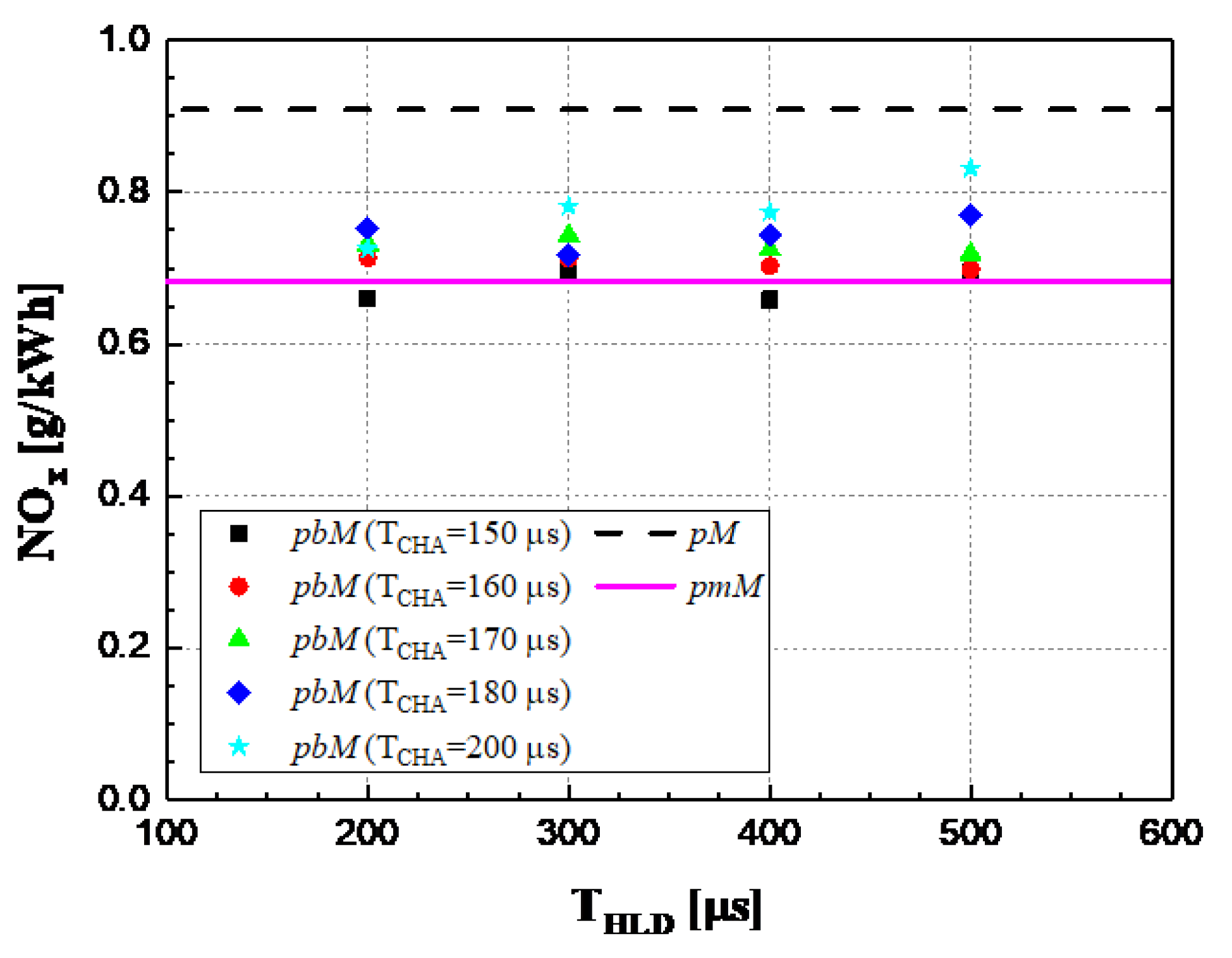
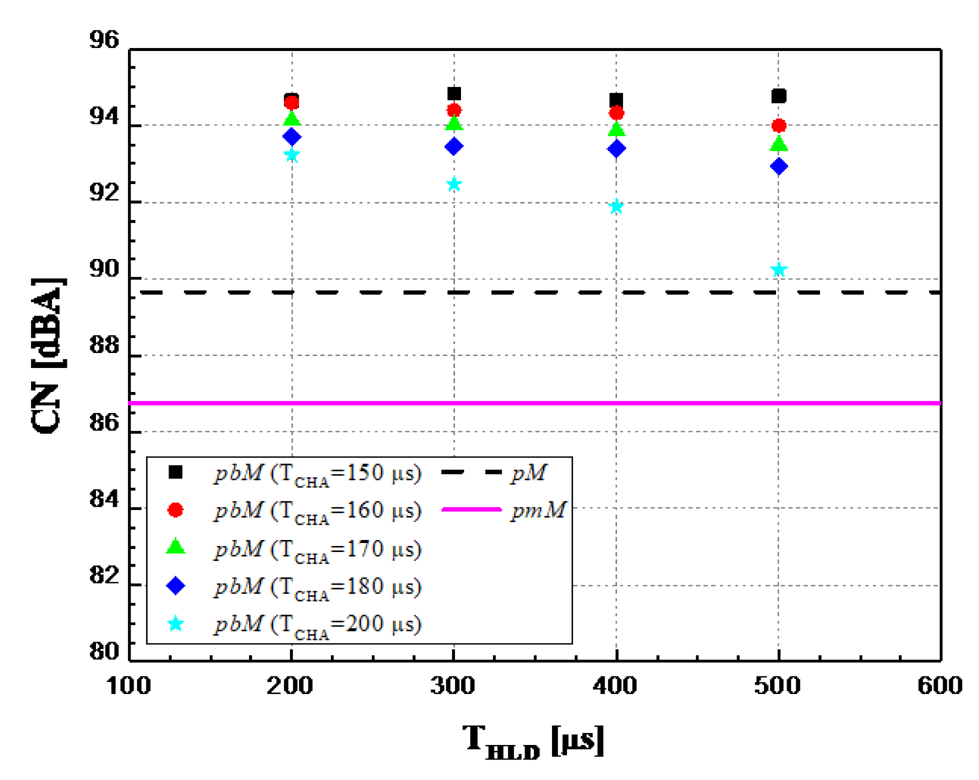
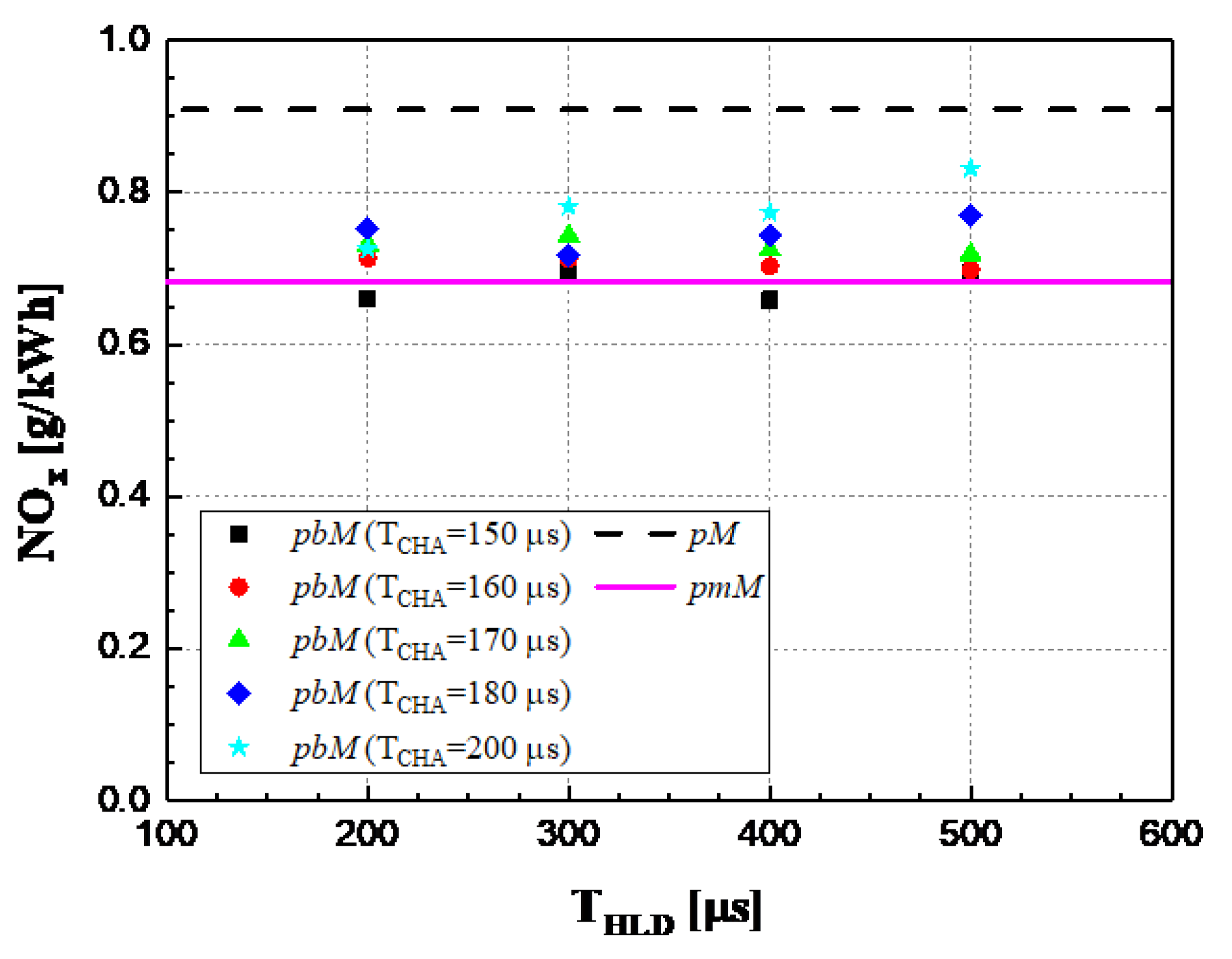
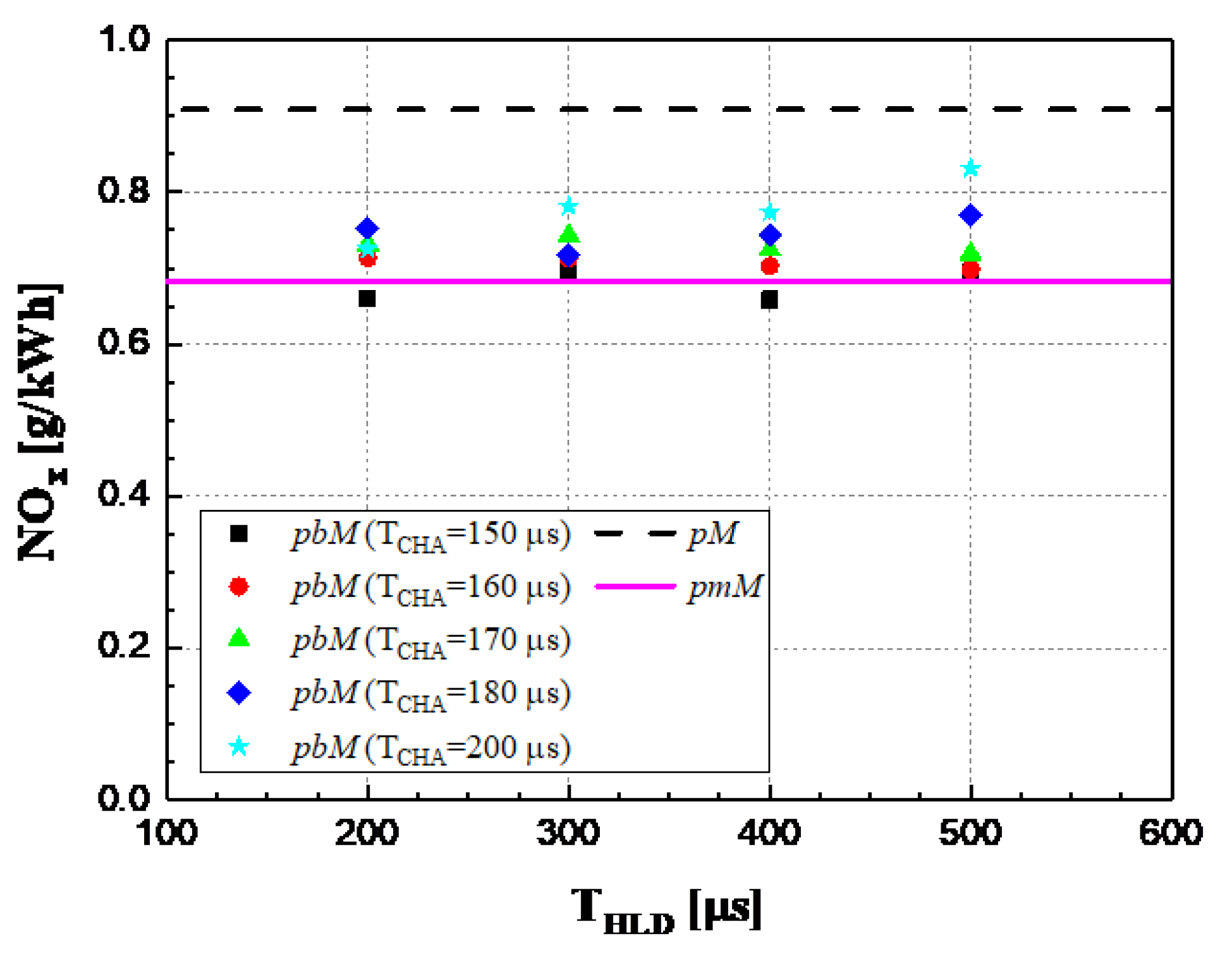
In Figure 15 [40], the engine performance of the pilot–boot–main (pbM) injection schedule, which has been implemented on a DAP injector with different combinations of TCHA and THLD, has been compared with that of the ppM strategy performed on the same injector. The statistically optimized calibration of the DAP injector for the ppM injection schedule has been used as a reference for the implementation of injection rate-shaping strategies. In other words, the boot injection was considered as a pilot shot fused with the main shot and the optimization of the pbM was assumed to be similar to that of the ppM because, in the latter strategy, the later pilot was phased very close to the main injection. When TCHA or THLD are varied, SOImain is also changed in order to maintain the same combustion barycentre (MFB50) as in the original ppM calibration.
Figure 15.
Pilot–boot–main injection profile at 2000 × 5: (a) NOx; (b) soot; (c) combustion noise; (d) bsfc [40].
The different combinations of TCHA and THLD lead to an increase in the bsfc (only in one case bsfc does not worsen) and also in the HC engine-out emissions (not reported) compared to the ppM strategy. Furthermore, the effect of the boot parameters on the NOx engine-out emissions is not significant, and these emission values are similar to those referring to the ppM strategy. Finally, a clear trade-off exists between CN and soot engine-out emissions with respect to the boot-injected quantity.
In short, the benefits of the boot injection are not obvious, compared to an optimized triple injection. The effect of the boot injection is obvious when a single shot is shaped; instead, if the basis is a pilot–main injection, the addition of a boot phase to the main injection (pbM strategy) does not give a clearly better performance than the addition of a second pilot shot between the main and original pilot injections (ppM strategy).
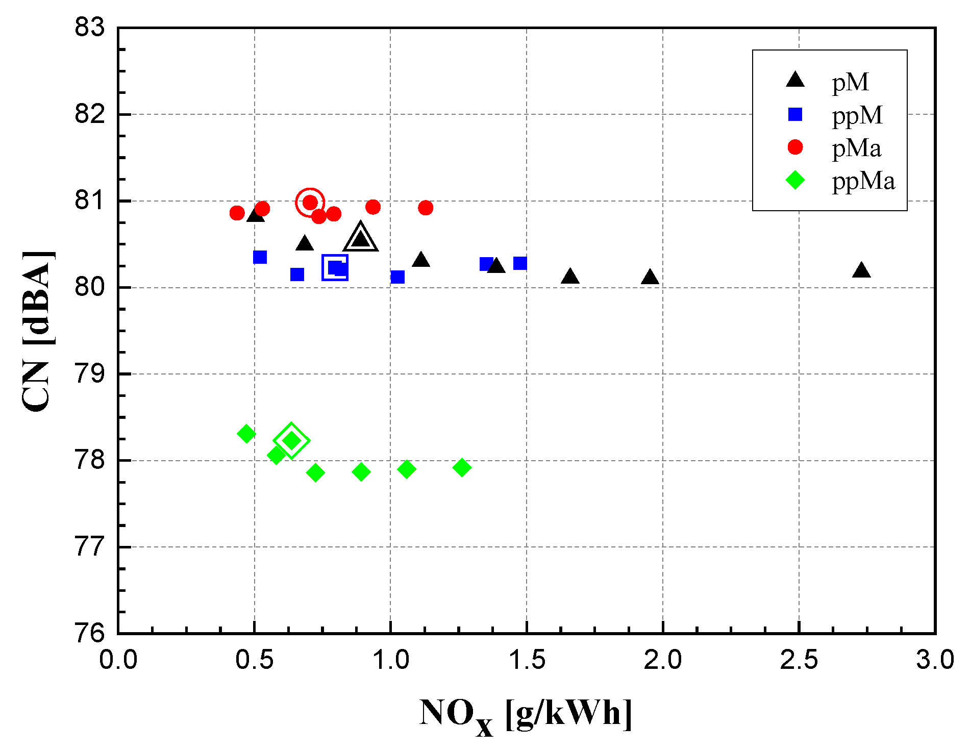
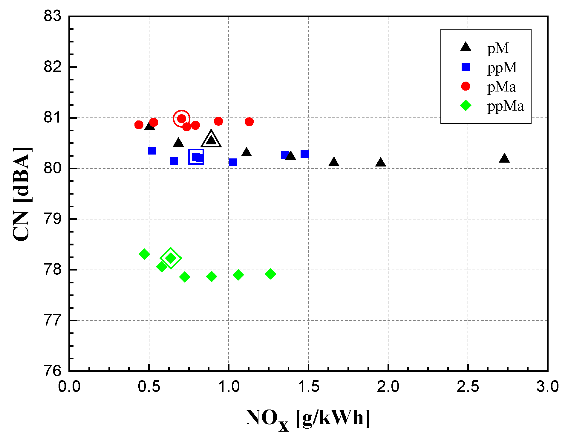
Figure 16 [32] reports the critical voltage of the piezo-stack at different operating conditions. The critical voltage is the level above which the fuel flow rate can be smoothly controlled with the charge sent to the injector: below this value, the cycle-to-cycle variation in the injected mass becomes larger. The boot injection is operated at part lifts and requires reduced charges and reduced voltages below the critical value. The regulation zone of the mass flow rate with the charge is therefore not smooth; the injector performance is affected by temperature and rail pressure; and the compensation is more subjected to errors, largely reducing the effectiveness of the boot injection. In other words, it is challenging to precisely dose the small values of electrical charge that must be provided to the piezo-stack to control the needle at part lifts of tens of micrometers. As a result, there is noticeable cycle-to-cycle and injector-to-injector dispersion in the value of the boot injection rate [48]. These problems do not exist in the management of small pilot injections, the implementation of which therefore is more efficient. It is therefore possible to conclude that at the current stage of the technology, the significant advantage of the DAP injectors consists of an increase in the maximum injection pressure, due to the reduced static leakage and of an improvement in the injected flow rate pattern during the nozzle opening phase (the flow rate steepens). However, the latter change in the injection rate pattern, compared to the standard IAP can also be achieved without introducing the direct-acting technology. In fact, similar improvements as those documented for the DAP injector can be obtained if an indirect-acting injector is equipped with an integrated minirail, that is, with an enlarged delivery chamber of about 2 cm3 [15,49]. This is proved in Figure 17 [50], where soot–NOx trade-off and bsfc of IAS, IAP and DAP injectors have been compared at n = 2000 rpm, BMEP = 5 bar (2000 × 5) with reference to a pilot–main (pM) injection, with the IAS being equipped with a minirail. The engine was originally set up by the OEM with IAP injectors, and a state-of-the-art pM injection calibration was adopted. The experimental tests were then replicated with DAP and IAS injectors, keeping the same fuel injection calibration as that of the IAP injectors. As can be inferred, the emissions and the bsfc of DAP and IAS injectors are similar, whereas the CN of the DAP is the worst. Although the calibration was optimized on the IAP samples, the performance of the IAS injectors with the minirail is globally better than that of the DAP ones.
Figure 16.
Critical voltage at different rail pressure levels [32].
Figure 17.
(a) Soot, (b) CN, (c) bsfc; (d) HC versus NOx (EGR sweeps) at 2000 × 5 for IAS, IAP and DAP injectors [50].
2.3. Basic Double-Injection Schemes
A multiple-injection strategy adopted to replace a single fuel injection shot with multiple discrete fuel injection events of reduced sizes, can easily be implemented using Common Rail systems, equipped with modern injectors. These injectors can control small injected fuel quantities, despite pressure waves, and guarantee superior flexibility in the management of the dwell time between subsequent shots, in order to fulfil the recent and new emission standards. The multiple injection technique is very attractive because it allows for better control of combustion without significantly increasing the engine complexity and costs. In diesel engines, combustion basically starts with a premixed phase and then develops into a diffusive one. Fractioning the injected fuel affects the ignition delay and the durations of the premixed and diffusive stages; this, in turn, strongly affects pollutant formation, engine efficiency and combustion noise [3].
Three fundamental modes of multiple injections can be distinguished, namely pilot, after and split. A pilot injection is a short injection that precedes a longer main injection; an after injection is a short shot that comes after a main injection; and a split injection is simply a main injection divided into two or more parts, none of which can be classified as a pilot or after injection since all the shots inject large masses and have typical timings of main injections [51]. One definition of a pilot or after injection found in the literature is that it contains less than about 20% of the total fuel injected in the double injection [52].
2.3.1. Pilot–Main Injection Mode
The combustion of the pilot injected fuel causes a slight increase in the in-cylinder gas pressure and temperature before the main injection has occurred and therefore leads to a considerable reduction in the ignition delay of the main injection [53]. This reduction in the fuel ignition delay limits the impact of the premixed combustion and generates a less rapid heat release rate [51] during the main injection than in a single-injection schedule [54]. The last effect is also related to the oxygen quantity consumed during the pilot combustion and to the consequently reduced oxygen availability during the main combustion. Furthermore, the high thermal capacity products of the pilot combustion can be entrained in the main fuel spray and play the role of an internal EGR, thus lowering the HRR peak. As a result, the main combustion becomes predominantly mixing-controlled [51] and the entire amount of fuel chemical energy is released over a prolonged time interval, thus determining a longer combustion than for the single-injection case.
Pilot injections are effective in decreasing combustion noise, especially at idle, low and medium loads, by lowering the HRR peak of the main combustion, and this is often referred to as their primary benefit [55]: reductions of up to 5–8 dB are generally obtained in the CN value, compared to single-injection strategies, over the whole engine working area, even though the most obvious benefits are obtained at low loads and at idle [56], where the fuel ignition delay is larger. Combustion noise normally decreases if the pilot injected mass increases, whereas the dependence of CN on the pilot–main dwell time is more complex because this trend is affected by the entity of the pilot injected mass, even though a decrease in combustion noise is generally observed as the dwell time is reduced [57].
The discussed effects of the pilot injection, i.e., diminution in the ignition delay and reduction in CN, are typically achieved at low and medium loads when the pilot injection is performed with SOIpil in the 5–25 CA BTDC range. When SOIpil is in the 25–40 CA BTDC range, it is referred to as an early pilot in the context of conventional diesel combustion (these injection timings were traditionally typical of low-temperature combustion): the fuel fraction burned in the premixed phase is greater than in the case without an early pilot. This can help to obtain more homogeneous air–fuel ratios and temperature distributions within the combustion chamber, thus limiting the NOx and soot production, according to a milder approach than that of LTC. Hence, two opposite effects can be ascribed to the pilot injection, depending on SOIpilot.
In general, the pilot injection helps to better modulate the energy release over a longer time interval and, although it burns under premixed conditions, it reduces the premixed phase of the main combustion and therefore makes the highest flame temperature diminish. As a consequence, the NOx emissions generally also reduce, compared to the single-injection case. In general, a larger pilot injected mass with an earlier SOIpil has almost the same shortening effect on the ignition delay of the main injection as a smaller pilot injection with a more delayed injection timing. The benefits also depend on the adopted engine calibration and on the EGR rates: when higher EGR rates are employed (up to 30–40% for conventional combustion), SOIpil and pilot mass influence the NOx emissions to a lower extent because NOx emissions are smaller [58]. Since the pilot injection, almost independently of its timing, burns with long ignition delay and under premixed combustion conditions [55], the pilot injected fuel combustion could constitute an additional source of NOx emissions, which is negligible for small pilot injected masses. However, when large pilot injected quantities are applied, the increase in NOx, due to pilot combustion, can prevail over the decrease in the main combustion NOx, due to the shortened ignition delay and less intense premixed main combustion [59]; as a result, NOx emissions can globally increase for the strategy that implements the pilot shot. Furthermore, the earlier SOIpil, which corresponds to a fixed pilot injected mass, the lower the HRR peak of the pilot injection, and thus, the more moderate the pilot combustion. Indeed, the presence of a large number of leaner mixture zones in the pilot injected fuel spray at more advanced pilot injection timings causes a slow combustion, which in turn leads to lower pilot injection NOx emission levels (NOx is not produced with an equivalent ratio of 1.2 or smaller [60]). This suggests that an earlier SOIpil in conventional combustion limits the generation of NOx caused by pilot combustion [61], although this strategy aggravates the NOx emissions in the main combustion.
The smoke emissions of the pilot–main injections generally tend to increase, compared to the single injection, in the classic theory of emissions [62]. In fact, the pilot injection increases the in-cylinder temperature and decreases the oxygen concentration in the gases before the main injection has occurred. Both of these effects generally make the smoke emission formation grow; in particular, the increased temperature mainly acts by reducing the lift-off length (this is defined as the shortest distance between the nozzle tip and the stabilized combustion flame, cf. Section 4.2.4), which pertains to the main injection, with a subsequent increase in the equivalence ratios close to the nozzle. The insufficient mixing of fuel with air, which is due to the shortened ignition delay of the main injection, augments the percentage of diffusion combustion in the main combustion, and as a result, the amount of engine-out soot can grow significantly [61]. The pilot injected quantity should be below a certain threshold (a general value of 4–5 mg is normal) in order to contain the amount of smoke [63], and a small mass of pilot injected fuel will not vary the PM emissions appreciably [64].
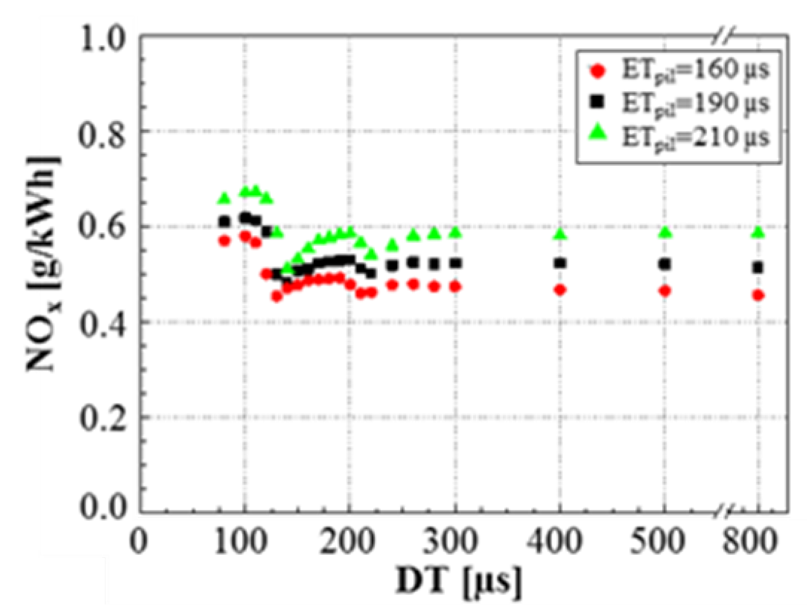
Soot emissions generally increase as the dwell time (DT) between pilot and main injections is reduced according to the classic theory. When the pilot injection is in an early phase, the ignition delay of the pilot spray is long and the heat release rate exhibits two-stage ignition with lower peaks. This indicates that the earlier pilot injection provides a leaner mixture in the pilot spray and burns mainly in a premixed mode with lower soot production. When the main spray entrains such a leaner gas, it would escape from rich combustion and would provide lower soot emissions compared with the later pilot injection case [65]. However, in [66], soot emissions increase as DT grows for different ETpil values at n = 2000 and BMEP = 5 bar, although soot emissions continue to increase with the value of ETpil according to the classic theory. As a consequence, due to the presence of the soot–NOx trade-off, the NOx emissions tend to reduce slightly with increasing dwell time between the pilot and main shots. A possible explanation for the presence of peaks or apparently anomalous trends in the soot emission distributions with respect to dwell time can be related to the swirl motion. In contrast to heavy-duty engines with relatively quiescent conditions, the swirl can govern fuel–air mixing to a greater extent in light-duty engines. The burned gas spots, which originate from pilot combustion, rotate due to the swirl motion, and the fuel plumes, which are injected through the injection holes during the main injection, can impinge on them. When the swirl ratio is fixed, a change in DT modifies the corresponding rotational angle of the pilot combustion-burned gases that drift by via the swirl, and such partial products of combustion can directly interact with the main injection fuel spray, thus producing a peak in the soot emissions. The main cause of a peak or of an anomalous trend in the soot emissions with respect to DT can therefore also be ascribed to the interaction between the burned gas clouds pertaining to the pilot combustion and the main injection fuel plumes. In fact, an oscillating pattern of the soot emissions, with respect to the swirl actuator position, can be observed in these conditions, whereas the soot should decrease monotonically as the value of the swirl ratio increases because turbulence improves the air–fuel mixing. The oscillations are ascribed to the variable interaction between the burned gas clouds pertaining to the pilot combustion and the main injection fuel plumes as Sw is varied.
When the dwell time is very short, that is, DT ≤ 400 μs, the pilot injection is closely coupled to the main injection [67]. The fuel of the main shot is injected slightly before the burning of the pilot injection, and as a result, a lower rise in the temperature of the in-cylinder charge can occur due to main injected fuel evaporation, and the ignition delay of the main injection tends to increase compared to the case of a more conventional DT. Furthermore, a small pilot injection, closely coupled to the main injection, can cause an increase in the velocity of the injector needle during the nozzle opening phase of the main injection. In fact, the refilling phase of the pilot valve control chamber after the end of the pilot injection is not finished when the main injection starts: this reduces the nozzle opening delay significantly and accelerates the needle lifting up. As a result, the injected flow rate steepens in Figure 18 during the nozzle opening phase of the main injection as DT is reduced. This can improve the fuel atomization significantly during the first part of the main injection [68] and outlines a potential means for soot emission reduction. Furthermore, the increase in the flow rate at the beginning of the main injection due to the higher instantaneous values of the needle seat passage restricted flow area allows the rail pressure level to be reduced in order to maintain the same injected mass, and this strategy can also be used to counteract combustion noise, which becomes worse as the rail pressure level increases [69]. In [70], it is stated that a pilot injection, which is closely coupled to the main injection, minimizes smoke. On the other hand, the possible interference between the pilot combustion event and the main injection, which is more likely to occur for short DT values, can mask the benefits of both the increased ignition delay and the higher velocity of the needle at the beginning of the main injection and can lead to an augmentation in the soot emissions. Therefore, the potential of a pilot shot closely coupled to the main injection is relevant, but the dwell time must be accurately optimized.
Figure 18.
Injected flow rate for a pilot–main injection with DT ≤ 400 µs [30].
As far as the HC and CO engine-out emissions are concerned, at low BMEP values, they generally decrease if a pilot injection is implemented because the occurrence of overmixing during the main injection is less likely [62]. In particular, the CO conversion rate improves during the main combustion because of the relatively high in-cylinder temperature and the shorter ignition delay of the fuel injected in the main injection [54]. Instead, at medium BMEP values, the introduction of the pilot injection does not generally improve the HC and CO emissions, compared to the single-injection case, and this is confirmed in many investigations [71]. HC and CO emission characteristics show quite similar tendencies with respect to SOIpil and pilot mass: the levels of both emissions generally increase with earlier SOIpil or when the pilot mass increases excessively. These phenomena can be explained based on two mechanisms. The first is that the amount of fuel wetted on the cylinder wall, crevice and boundary layers can increase because fuel over-penetration occurs, due to low ambient temperature and pressure conditions during early pilot injection (SOIpil up to around 40 CA bTDC); this wetted fuel is then emitted in the form of HC emissions. Moreover, injecting more fuel during pilot injection generally results in more fuel wall wetting. In particular, HC and CO emissions drastically increase with an SOIpil earlier than 30° BTDC and a pilot injection quantity greater than 5 mg (this cannot be the case at low loads). In [72], the fuel spray injected at 40° BTDC reaches the cylinder wall: this results in combustion in the quench zone and adhesion of part of the fuel on the cylinder walls, causing an increase in HC and CO emissions. Even though the fuel does not impinge on the walls, the mixture can reach the vicinity of the chamber wall and, due to the relatively lower in-cylinder temperature and pressure near the chamber walls, this fuel–air mixture may not burn, resulting in increased HC and CO emissions. The second mechanism is based on the fact that higher HC emissions may originate from locally lean regions becoming even leaner and thus too cold for complete reactions [73]. While the first mechanism gives increased HC and CO emissions as either DT (let us suppose that SOImain is fixed) or ETpil grows, the second mechanism makes HC and CO emissions rise with either increasing DT or reducing ETpil since the occurrences of overmixing are more likely if the pilot injected mass diminishes or DT grows. Therefore, when CO and HC emissions grow with increasing ETpil, the first mechanism prevails over the second; instead, when CO and HC emissions augment with reducing ETpil [66], the opposite occurs.
Finally, the indicated specific fuel consumption (isfc), which refers to the indicated mean effective pressure without pumping losses included, generally worsens at medium loads and speeds when a pilot injection is added to the main shot, although the variation is not remarkable: the penalty is ascribed primarily to larger heat losses, due to earlier combustion phasing, to larger blow-by masses (higher in-cylinder pressures occur for a larger time interval), to lower values of the polytropic exponent through the whole expansion phase and also to the increase in compression work. However, as DT is reduced, the pilot and main combustions are more concentrated and linked smoothly, and this can even have the potential to enhance combustion efficiency [74], thus mitigating the isfc penalty. Fuel consumption worsens at early SOIpil, that is, where HC emissions also increase because these emissions have a strong relationship with combustion efficiency.
In general, the pilot injection can be exploited in different ways to improve engine-out emissions, CN and fuel consumption, depending on the working point [75]. Soot emissions are not relevant at low engine speeds and loads, and NOx and noise are usually controlled, at these conditions, by means of adequate EGR rates (up to 40% for conventional combustion). Hence, the pilot injection is typically optimized, on the basis of the EGR rate, in order to reduce HC and CO emissions, which tend to be high, due to the presence of lean and cool regions. In particular, the HC and CO emission situation becomes worse at engine cold-start and warm-up, when the oxidation catalyst has less conversion efficiency. Soot, NOx, noise and bsfc are the dominant problems at medium-load conditions, i.e., in the higher-load zone of the NEDC region, whereas HC and CO are not of great concern. Pilot injections are therefore used in these conditions to improve PM-NOx and bsfc-NOx trade-offs and, above all, CN performance. At high loads, the total fuel mass per cycle is large. Although pilot injected fuel could improve the fuel–air mixture environment, the combustion is predominantly diffusive; the pilot fuel is relatively small, compared to the main injected fuel mass; and hence, it does not appreciably change the main combustion features. Therefore, at high loads, pilot injection cannot generally be applied to reduce the emissions significantly. Only when pilot–main injection intervals and pilot injected masses are large (an early big pilot is used) can appreciable smoke reduction be achieved because the main injection is shortened, although there is a penalty on CO emissions (there is no significant impact on NOx and bsfc) [76]. In particular, when the maximum torque is smoke-limited, an early big pilot injection can increase the full load torque by improving the utilization of the air within the cylinder, compared to the case of a single injection with a longer energizing time and in the presence of EGR [77]. In this case, pilot injection also improves combustion efficiency. Moreover, pilot injection can be used at full load to limit the peak in-cylinder pressure and the engine exhaust temperature. The pilot injection therefore allows for either the fuel rate to be increased or the mechanical and thermal stresses in the engine to be reduced, thus providing possible weight savings or simplifications of the cooling circuit. Although pilot injection has generally been applied to improve pollutant emissions, noise or maximum torque, it can also be used for other purposes and offers other benefits. An early pilot injection can be applied to increase the in-cylinder pressure at the end of the compression stroke during engine cranking, thus reducing the engine start time. Furthermore, pilot–main injection patterns reduce the cycle-to-cycle variability of the torque, compared to single injections [54], and this induces more stable engine operations after the engine crank phase, especially during a cold-start. It can also improve combustion noise during engine start [70], but, at these engine working conditions, other sources of noise (gas flow and mechanical noises) dominate in the vehicle.
2.3.2. Main-After Injection Mode
The amount of soot in the combustion chamber typically increases until around the end of fuel injection or shortly after it, at which time the main soot formation period concludes and the “burnout” phase begins [78]. The vast majority (more than 90%) of the soot formed is oxidized before combustion has ended, but a small fraction coming from the main combustion is not consumed and is the source of tailpipe soot emissions.
After injections are characterized by a very short ignition delay and primarily aimed at reducing the soot emissions. Unlike pilot injections, which do have major impacts on the main injection combustion process, after injections seldom have an impact on pilot injections and on the first part of main injection combustion processes. In this sense, after injections are almost “independent” of pilot and main injections. In particular, applying pilot injections or not will not markedly affect after injection’s effects on emissions [76].
There are two ways of quantifying the effectiveness of an after injection in reducing engine-out soot: comparison to a single injection at the same load, but with the main injection duration of the main–after strategy shorter than the single-injection duration, or comparison with a single injection of the same duration as the main injection of the main-after strategy, but at a lower load. The constant-load perspective is relevant for practical engine operations, where it is desirable to achieve a particular load point, whereas the constant main injection perspective is relevant for some fundamental fluid–mechanics considerations because a constant in-cylinder environment is maintained at the start of the after injection (e.g., penetration and diffusion of the main injection jet are almost the same). Both perspectives are considered in what follows.
Unlike the pilot injection, the after injection mechanism is not fully understood. Two primary theories can be developed for explaining the effect of the after injection on soot emissions: one is founded on the absence of any interaction between the main and after combustions (this theory generally works for more quiescent combustion chambers), while the other involves the interaction between the two combustion events (this theory generally works for combustion systems with higher turbulence degree). On a broader spectrum, when an interaction between main and after combustions occurs, it can be positive, leading to reduced soot emissions, or negative, giving rise to increased soot emissions, compared to the case without after injections. Figure 19 [79] reports the soot engine-out emissions as a function of the after injection timing: the acronym pM refers to a pilot–main injection, the acronym pM*a to a pilot–main–after injection with the same injected mass as that of the pM (constant-load perspective), and the acronym pM* to a pilot–main injected mass with the same pilot and main energizing times as those of the pM*a strategy. The shortening of the main injection and the introduction of the after shot significantly improve the situation (cf. pM versus pM*a). However, the graph shows that, for any injection timing of a 2 mg after injection, the soot emission levels are the same and also equal to the pM* case, which refers to the absence of the after injection. This means that the effect of the after injection is always neutral: the soot emission levels are the same with or without an after shot, independently of the after injection timing. This explanation is based on the “split-flame” concept: the fuel from the main and after injections burn separately without any interaction, and the reduction in soot stems from splitting the fuel main delivery into two injections to avoid excessively long main injection events.
Figure 19.
Soot emissions as a function of SOIafter [79].
Figure 20 [80] shows the engine-out soot emission for a main shot and a closely coupled after injection (open symbols) as compared to the baseline single injection (filled squares). For each fixed main injection duration (DOI1c), the after injection trend with increasing duration of the command (DOI2C), which produces an increase in load (constant main injection perspective), is similar: the engine-out soot initially slightly decreases or remains similar and then increases dramatically as DOI2C increases beyond a threshold value. The point of abrupt change in the soot emissions coincides with the end of the split-flame regime. There is generally a threshold on the after injected mass, beyond which the split-flame behavior is no longer valid. The more intense the turbulence within the cylinder, the smaller the after injected mass threshold.
Figure 20.
Soot emissions as a function of ETmain and ETafter [80].
The other popular theory which explains the effect of the after injection on soot emissions by means of the interaction between the main and after combustion events is generally based on two mechanisms: enhanced mixing and temperature effect. Several studies have presented the explanation that after injections reduce engine-out soot by enhancing mixing within the cylinder [81]. Turbulence introduced by the after injection fuel jet brings fresh oxygen to the soot from the main injection, enhancing oxidation of this soot, while simultaneously burning the after injected fuel: the after injection redistributes the fuel from the main injection, creating a more well-mixed fuel–air distribution with smaller and less fuel-rich soot-forming zones [82]. In other words, the enhanced mixing by the after injection increases the flame area, thereby increasing the rate at which soot is oxidized. If enhanced mixing is the key, spray/swirl/wall interactions and swirl/squish interactions become important: this is the case of small-bowl light-duty engines, especially in past setups [55]. The disparity in after injection efficacy among studies on interactions between main and after shots may be explained to some degree by differences in spray/flow/wall interactions [52]. Other studies have argued that as the after injection fuel burns, the increased temperature from the additional heat release can enhance the oxidation of soot from the main injection, thereby reducing engine-out soot [9,81,83,84].
There is also a third theory, related to a low intensity interaction, for explaining the after injection effect on soot emissions [85]: it is based on the injection duration effect [86,87] and on the concept of “jet replenishment” and is especially useful in quiescent combustion systems, such those of heavy-duty engines and, more recently, in passenger car engines (the theory based on the jet replenishment can be considered in the middle between those of “split-flame” and “interaction”) [55]. While in the past (up to around 2016), high swirl ratios in the 1.5–2.0 range were applied in passenger cars, the recent tendency is to use swirl ratios around 0.5 in order to maximize the engine volumetric efficiency and reduce thermal exchanges with the walls; therefore, soot is today counteracted more with high injection pressure than with large swirls. Hence, modern passenger cars are often characterized by low turbulence intensity and both the split-flame and the jet replenishment can therefore be useful theories to interpret the results.
While each of the previous mechanisms, namely split-flame, enhanced mixing, temperature effect and jet replenishment, are certainly plausible, insufficient evidence exists to quantify the relative importance among the different mechanisms for the different operating conditions [52]. Enhanced the mixing redistribution mechanism is particularly important when oxygen is limited, that is, at medium to high loads and under high rates of exhaust gas recirculation [82]. Instead, the split-flame mechanism is the most referenced in studies with closely coupled after injections, where hydraulic dwell time between main and after injections is short and in the presence of small after injected masses (cf. Figure 19) because there is no influence of the wall-reflected combustion pertaining to the main injection on the after injection and spray. However, the results in [70] show that the reduction in soot from the closely coupled after injection is attributed to both enhanced mixing and increased temperature. This proves that the split-flame regime is not automatically reached for closely coupled after injections characterized by a small mass.
Before considering the question of the premium theory and mechanism for explaining the soot reduction by means of the after injection, it should be considered that the degree to which after injections reduce or even increase soot can vary by nearly an order of magnitude in each direction in the results presented in the literature [52]. The inconsistency in engine-out soot results is evident in Figure 21, which shows a compilation of data from different after injection studies. Here, the ratio of engine-out soot with an after injection to that without an after injection is plotted against the start of the after injection according to a constant-load perspective. Operating conditions such as main injection duration and timing, after injection duration, load, speed, boost and EGR are not held constant across these studies. The distribution of data above and below unity in Figure 21 indicates that after injection efficacy is not universal, but rather highly sensitive to the engine technology and the operating condition. It is important to note that many studies quoted in Figure 21 changed several of these parameters simultaneously, and therefore, the effect of each of these engine operational parameters on after injection efficacy may not be separable.
Figure 21.
Ratio of the soot engine-out emissions with an after shot to those without an after shot as a function of SOIafter [52].
Although there is no after injection dwell time and duration combination that clearly and universally leads to soot reduction [9,83,85,86,87,88], researchers have often reported that a “sweet spot” can be reached, where engine-out soot is minimized [81,86,89]. In particular, two possible scenarios in which an after injection seems to be an efficient strategy to reduce soot emissions have been identified: one is when the after injection is very close to the main injection and the other is when it is much delayed with respect to the main injection, at least 20 CA from the end of the main injection. On the whole, studies have shown that shorter-dwell injection schedules can reduce engine-out soot more than longer-dwell schedules do. Furthermore, the soluble organic fraction (SOF) of the particulate matter increases monotonically as the after injection timing is delayed, which is ascribed to deteriorated in-cylinder thermodynamic conditions at large crank angle intervals [89]. When a closely coupled after injection increases global soot emissions, as in some cases in Figure 21, this can be ascribed to a negative interference between after and main injections [90]. Typically, if the dwell time is too short, the after fuel is injected into regions where the combustion of the main fuel takes place: the atomized fuel spray lacks oxygen because the after injection entrains the burned gases. As a result, combustion progresses gradually, causing a low heat release peak, and the slow combustion rate during the diffusion combustion makes the smoke emissions increase. In these cases, the after injection produces additional soot rather than oxidizing the soot formed as a result of the main injection. It has been claimed [91] that if DTafter is less than 400 μs, the amount of soot can be higher than in the case of the absence of an after injection because of the strong cooling effect of the vaporization heat of the after injected fuel on the oxidation of the main combustion products.
While after injection scheduling is adjusted to reduce engine-out soot, effects on engine efficiency cannot be ignored [52]. The total combustion duration is extended by dividing the main injection into main and after injections [92]. As a result, the degree of constant volume combustion may drop and thermal efficiency will decrease. Therefore, from the perspective of BTE, the gap between main and after injections should be minimized [93]. In [94], the after injection, depending on timing and mass, can worsen bsfc up to 5 g/Kwh, although there are cases with short DT between main and after injections for which the fuel consumption can also improve. When the after injection is phased close to the main injection, surprisingly the last part of the HRR curve can rise faster than for the case without an after injection, even if all the fuel is introduced in the combustion chamber earlier in the latter case. The application of an after injection can therefore accelerate the final stage of combustion, and an improvement in engine efficiency is obtained [79]. Given that diesel combustion after the premixed burns is generally mixing-limited, especially in the final part of diffusive combustion, an improvement in mixing by after injection turbulence could help to increase the mixing rate, and this could explain the acceleration of combustion when an after injection is added [9,95]. Hence, the mechanism of the split-flame with the absence of any interaction between main and after combustions cannot explain the final acceleration of combustion, and this point requires further research. A short DT between main and after shots could also have the effect of reducing cooling loss [96,97], due to a reduction in the high-temperature gas quantity and motion near the cylinder wall. Moreover, a larger after shot at fixed load avoids more cooling losses by suppressing the main injection impingement [92], thus improving the engine efficiency, independently of the described acceleration effect of the last combustion stage.
The final selection of the optimal after injection dwell time can also be influenced by other considerations: the NOx engine-out emissions decrease when the after injection is delayed, due to lower in-cylinder temperatures [79], although the NOx emissions are generally influenced most by the pilot and main injection details. Instead, when an acceleration of the combustion process takes place, the after combustion is placed closer to the TDC and thus the flame temperature is higher, leading to a higher level of NOx emissions, in line with the presence of the soot–NOx trade-off. However, a delay in the after shot at 40° CA ATDC or later boosts up the formation of HC compounds from the after combustion because of the reduced in-cylinder temperatures and decreases the effectiveness of the after injection in the abatement of the HC from the main combustion [98]. Finally, the after injection spray, for injection timings later than or equal to 40° CA ATDC, can reach the wall of the liner, creating wall wetting and thus rapidly increasing HC and even bsfc. All this is especially verified at low loads, where the in-cylinder temperatures and pressures are low [99].
As far as the effectiveness of the after injection at the different engine working conditions is concerned, Figure 22 [82] shows that an after injection is less effective at reducing the soot at higher loads. This could be explained by the abovementioned jet replenishment mechanism: the absolute reduction in soot is similar, but the percentage reduction in soot reduces with increasing load [52].
Figure 22.
Comparison of the NOx–soot trade-off between main and main–after injections at different loads [82].
At full load conditions, splitting the main injection and introducing an after injection is an effective way to improve combustion when the maximum injected fuel is limited by smoke emissions and a benefit on engine efficiency can be obtained [79]. Furthermore, the maximum rated power can be increased because more fuel can burn before reaching the smoke emission limit; this strategy is an alternative to the application of a pilot–main injection schedule. After injections have also been proposed as a means of reducing turbocharger lag during engine transients, since the pressure and the temperature of the exhaust gas leaving the cylinder can be raised significantly [100]. This makes the turbocharger accelerate more quickly and allows the aggressive increase in the injection quantity to be started sooner, since the fuel quantity growth must follow the increase in the air supply to avoid high smoke during transients. Finally, after injections can be applied to raise the diesel oxygen catalyst temperature above its light-off temperature after a cold start [101].
2.4. Injection Pressure
One trend is obvious in Common Rail diesel injection development: over the years, the injection pressure has continuously increased to improve combustion, performance and emission characteristics [102]. In particular, the maximum rail pressure has passed in passenger cars from 1350 bar at the CR apparatus debut to 2000 bar in the mid-2010s and to a maximum of 2700 bar in current commercial applications. An increase in the injection pressure determines an increase in the injected flow rate, thus augmenting the amount of fuel in the cylinder at the end of the ignition delay, although the latter decreases for higher prail values. As soon as the injector needle opens, the pressure in the sac volume builds up very quickly, resulting in an acceleration of the needle, due to the pressure in the sac acting on the needle: the higher the rail pressure, the more pronounced the effect of the injector needle acceleration. Higher rail pressures lead to faster opening speeds, to higher flow rates and to reduced injection durations [103].
The increased fuel momentum and injection velocity as prail increases lead to longer vapor spray penetration [104] as well as better atomization and air–fuel mixing [105]. Furthermore, the ratio of entrained air to the fuel mass improves by increasing the injection pressure, and this helps with better mixture formation and ignition delay reduction. Since the air-to-fuel ratio increases with time, the minimum duration of an injection that is required to make the fuel spray particles reach a stoichiometric mixture reduces with the rail pressure.
In light-duty and also in many heavy-duty diesel CR engines (up to D = 150 mm), the fuel jet impacts the wall of the piston bowl, and this interaction influences mixture formation, temperature distribution and pollutant formation. The change in this interaction with the injection pressure should be analyzed in depth when high rail pressures are considered. Figure 23 [106] reports a scheme that is based on optical images (in this case, D = 50 mm): it shows how the time evolution of the fuel jet changes as prail increases. Shortly after the start of injection, a diesel fuel jet impinges on the bowl wall, forming a wall-interacting jet, which splits into two sides, with one penetrating against the swirl flow and the other travelling in the same direction. The up-swirl side of a wall-interacting jet shows shorter penetration lengths of the vaporizing diesel jets along the arc of the piston-bowl wall than that on the down-swirl side because of the strong influence of the swirl flow; leaner mixtures are expected in the up-swirl jet than that in the down-swirl jet, potentially leading to less intense reactions and lower heat release. Furthermore, a turbulent ring vortex is created in the wall–jet head region during the jet–wall interaction [107]; this head vortex is known to increase the local mixing near the wall impingement region. A higher prail enhances the jet–wall interaction, due to the higher injection momentum, which intensifies and enlarges the head vortex, thus increasing the overall mixing rate, intensifying premixed combustion and suppressing soot formation [108].
Figure 23.
Illustration of the influence of the injection pressure on the development of a wall-interacting diesel jet [106].
In the scheme of Figure 23, the combustion is in two stages, as typically occurs for an early SOIpil or for an early single injection at low loads (in general, two-stage ignition is not typical of conventional diesel combustion). Cool flames occur along the walls and originate from the wall–jet head region, due to locally enhanced mixing promoted by the turbulent ring vortex, and they are more intense and occur earlier with increasing injection pressure. The high-temperature reaction stage starts to occur in the same wall–jet head region of the low-temperature reaction and of the turbulent ring vortex. The high-temperature zone becomes larger with increasing injection pressure, likely due to the enhanced head vortex. The higher injection pressure also causes earlier start of hot combustion on account of the enhanced mixing, which reduces the total ignition delay. The difference between the up- and down-swirl sides of the jet diminishes as the rail pressure increases and overcomes the swirl flow (cf. the low- and high-injection-pressure cases). However, the swirl impacts the jet structure such that the up-swirl reaction occurs closer to the jet axis than the down-swirl reaction.
Figure 24 (n = 2700 rpm, single-cylinder engine) [109] reports the HRR traces at two different rail pressures for a single injection. The HRR curve increase at prail = 600 bar is more advanced than at prail = 200 bar, due to the smaller ignition delay, being in line with the scheme in Figure 23 and with other studies [110,111,112]. Furthermore, a higher HRR peak during the premixed combustion and a less important diffusive phase occur with increasing prail. Finally, more rapid increases in the in-cylinder pressure, higher in-cylinder pressure peak and higher local temperatures take place [113] for the higher prail case. The better spray atomization obtained with the higher rail pressure also gives rise to an improvement in the combustion velocity during the mixing-controlled combustion phase. Therefore, a reduction in the angular combustion duration occurs: the earlier combustion end produces lower gas temperatures at the exhaust valve opening [114].
Figure 24.
In-cylinder pressure and HRR traces at different rail pressure levels [109].
For the engine performance, the higher injection pressure determines an increase in the rated power and combustion efficiency. As far as the maximum IMEP is concerned, there is a limit on injection advances (maximum brake torque timing) at which the maximum tolerable in-cylinder pressure is reached without damage to the engine. The IMEP that corresponds to the same maximum tolerable in-cylinder pressure increases with the value of prail; by fixing the injection timing advance, it is possible to increase IMEP by around 0.4 bar (IMEP values around 14 bar are considered by keeping the same maximum in-cylinder pressure peak), if prail passes from 1300 bar to 1500 bar. In fact, the previously mentioned better spray atomization, more intense premixed combustion and improved velocity during the mixing-controlled phase determine a higher power as the rail pressure increases. One negative effect of an increased prail is the increase in the power adsorbed by the injection pump (the friction mean effective pressure increases by 0.2 bar when passing from 1300 bar to 1500 bar), although this is not taken into account in the IMEP calculus. Figure 25 [115] (n = 2600 rpm, BMEP = 5.8 bar, single injection) shows that an increase in the rail pressure (here, also referred to as injection pressure, IP) worsens CN (an average increase of 3 dBa is found passing from 400 bar to 550 bar and of 2 dBa passing from 550 bar to 700 bar) and improves bsfc (an average increase of +4% is observed when prail increases from 400 bar to 550 bar and of 3% when prail further grows from 550 bar to 700 bar). The worsening in CN and the improvement in bsfc are a logical consequence of the generally higher HRR premixed combustion peak, abrupt in-cylinder pressure rise and shorter combustion duration as prail increases. The rail pressure exerts a significant influence even on engine-out emissions. Figure 26 [115] (n = 2600 rpm, BMEP = 5.8 bar, single injection) reports NOx–soot SOI trade-offs. Such trade-offs change by augmenting prail: the better spray atomization and the longer vapor spray penetration into the combustion chamber allow fuel–air mixing to be enhanced. All this, coupled with the shortened duration of injection for the fixed fuel mass, leads to a higher fraction of premixed combustion, due to an SOI around TDC and to the subsequent absence of impingement [116], thus lowering soot formation [113,117], although NOx emissions worsen because of the higher flame temperatures. In general, there is no clear improvement in any NOx–soot trade-off when only prail is increased. Nevertheless, the possibility of increasing the maximum prail in CR systems allows for the adoption of smaller nozzle holes without any penalty to the maximum power. A reduction in nozzle hole diameter (dh), coupled to a higher injection pressure, maximizes air entrainment into the spray and thus air–fuel mixing. Furthermore, the smaller dh, the better the atomization. The reduction in the injection hole diameter, coupled with the increased lift-off length of the augmented prail [118], gives better atomization and enhanced air–fuel mixing with a significant improvement in particulate emissions [119].
Figure 25.
bsfc and CN versus SOI at different prail values [115].
Figure 26.
PM–NOx trade-off versus SOI at different prail values [115].
In order to improve the soot–NOx trade-off, one strategy consists of using high-pressure injections, combined with smaller nozzle holes, in conjunction with high EGR rates [120]: indeed, the improved soot emissions allow for higher EGR rates to be applied for NOx emission reduction. The trends with respect to prail, shown in Figure 25 and Figure 26, are confirmed even at higher pressures: when passing from 1300 bar to 1500 bar, an augment in CN by 2%, an improvement in bsfc of 2.7% and a reduction in smoke of 27% were observed in [114] at high loads for a 2.4 l CR diesel engine. The NOx–soot trade-off can be improved by implementing synergic actions, such as that on orifice diameters and injection hole numbers [121], even at high loads.
Figure 27 [122] reports the smoke reductions and the improvement in both the bsfc-smoke and smoke–NOx trade-off curves when the rail pressure is increased from 1000 bar to 2000 bar. However, the injection pressure increase is coupled to other actions such as high EGR rates or advanced injection timings; an increase in prail, combined with larger EGR and without a reduction in the injection hole diameter, can also be enough to improve the soot–NOx trade-off. Some other studies also reported decreased fuel consumption as well as reduced engine-out emissions of products of over-rich combustion such as unburned hydrocarbon and carbon monoxide [123] as possible advantages of high-pressure injections. The only effect that adversely affects the application of high-pressure injections is the increase in combustion noise, and this point can limit the potential of this strategy.
Figure 27.
Solving trade-offs by using higher injection pressures [122].
At low engine loads, lower injection pressures are generally applied to minimize the parasitic loss incurred by the fuel pump during compression and thus to avoid bsfc penalties. At medium and high loads, this loss is acceptable with benefits on combustion and engine-out emissions [120].
2.4.1. Injection Pressures Beyond 2000 Bar
The power density of diesel engines was in the 20–30 kW/L range during the 1970s with the highest values reached by the first turbocharged engines appearing on the market. The situation improved in the mid-1980s with the introduction of the electronically controlled diesel injection systems and progress continued during the late 1980s and early 1990s thanks to the introduction of direct injection for passenger cars (power density reached 35 kW/L). Specific power exceeded 40 kW/L for the first time in the late 1990s with the introduction of CR technology. In the next two decades, the specific power of diesel engines has increased progressively and significantly, until it approached the maximum of ~100 kW/L in the mid-2010s with the core segment of the diesel engine for passenger cars in the 60–75 kW/L range [124] (the high-end market is above 85 kW/L, based on sophisticated turbocharging architectures). The increase in the power density, namely downsizing, diminishes the engine’s overall sizes and decreases the losses due to friction and to the activation of the auxiliary systems, with an improvement in the engine mechanical efficiency.
As a matter of fact, just achieving a very high power-density would not be a particular engineering challenge on its own, but combining it with RDE emissions, combustion noise and low CO2 emissions at part loads, especially in the framework of the current legislative requirements and customers’ expectations, truly defines the leading edge of modern CR diesel engines for automotive applications. Numerical results in [125] show that compact CR engines, i.e., with decreased engine displacement per cylinder, have a high percentage of cooling loss because the surface-to-volume ratio increases with engine downsizing. The engine-indicated efficiency deterioration, due to increased thermal loss incidence as the engine displacement decreases, has also been reported: if the cylinder displacement reduces from 0.5 to 0.3 L/cyl, the indicated efficiency reduces by 4%, whereas it increases by 2% when passing from 0.5 to 0.7 L/cyl. This limits the achievable BTE of downsized engines, thus decreasing the benefits of mechanical efficiency gain. Hence, thermal transfer from the combustion chamber to the walls needs to be minimized by lowering the combustion temperature, keeping the combustion area away from the wall and reducing the air flow inside the cylinder, that is, turbulence intensity. In general, rapid combustion can be a solution for raising the thermodynamic efficiency.
An injection pressure beyond 2000 bar is suitable for high-power density diesel engines [126]. In today’s automotive commercial sector, the maximum pressure is at 2700 bar, but recent research studies have reached up to 5000 bar: Table 1 [103] reports references for analyses on ultra-high rail pressures, i.e., prail ≥ 3000 bar. Figure 28 [127] reports the power density at rated power versus the peak firing pressure for different rail pressure values under a fixed boost pressure for the same engine. The maximum peak firing pressure can be set between 120 bar and 180 bar for modern diesel CR engine passenger cars. In addition to the importance of the boost pressure system, the effect of which is not analyzed in Figure 28, an increase in fuel injection pressure beyond 2000 bar is an effective means for augmenting the power density, while maintaining constant engine peak firing pressure. Conversely, increasing the rail pressure by about 500 bar allows for a decrease in the peak firing pressure by 20 bar while maintaining the same power density. The employment of a rail pressure level at 3000 bar permits the power density target of 70 kW/L to match a peak firing pressure of 140 bar, thus reducing bsfc and CN at rated power, compared to the prail = 2000 bar case.
Table 1.
Investigations on ultra-high pressures [103].
Figure 28.
Power density versus pfp at different prail [127].
Figure 29 [136] reports the engine global efficiency (BTE) values for engine tests carried out at rated power (~4000 rpm) on the same engine considered in the analysis of Figure 28. The BTE values are in the 0.33–0.37 range for tests at higher power densities than 100 kW/L and generally decrease by increasing the peak firing pressure: below 100 kW/L, the BTE values are between 0.315 and 0.375. The rail pressure effect is observable in terms of increases in the BTE with prail, mainly due to the reduction in combustion duration at these working conditions. In order to exceed the 100 kW/L target with excellent values of smoke and bsfc, the fundamental points are a high boost pressure, at least 3.5 barA (whereas it was lower than 1.8 barA in the tests of Figure 28), obtained with a two-stage turbocharger, and a peak firing pressure at 200 bar; a rail pressure of 3000 bar should also be considered. However, the engine becomes excessively heavy beyond 100 kW/L, due to structural reasons, and this prolongs the time for warm-up: the higher the warm-up period, the lower the average engine efficiency and the worse the pollutant emissions. These drawbacks prevail over the downsized benefits when the power density goes over 100 kW/L, which is therefore regarded as an upper limit.
Figure 29.
ηgl versus power density at different prail [136].
Many studies carried out in the ultra-high pressure range (cf. Table 1) have tried to investigate the injection dynamics, the evolution of the spray and the development of diesel combustion in this unexplored working zone, highlighting differences with respect to the commercial rail pressure range.
Figure 30 [105] reports the injected mass as a function of ET for prail in the 500–3900 bar range. The injected quantities under a fixed ET increase with increasing injection pressure up to prail = 3500 bar. For prail = 3900 bar, depending on ET, an almost equal or slightly lower injected mass is observed compared to the prail = 3500 bar case. The mass flow rate through the nozzle reaches a saturation value for prail = 3500 bar, and it cannot increase more. The determination of the choked flow conditions is an important point in an analysis of ultra-high injection pressures because choking affects the injector performance. When the fuel flows into the orifice, the boundary layer separates at the inlet of the orifice and a vortex area appears. As soon as the rail pressure further increases, and the static pressure of the fuel within some point of the vortex area close to the orifice inlet becomes lower than the saturation vapor pressure, the fuel flow state changes from one-phase to two-phase flow. Before hydrodynamic cavitation appears, the measured stationary mass flow rate through the nozzle increases with the square root of the pressure difference across the nozzle [137]. After hydrodynamic cavitation arises in the orifice, the mass flow rate stops increasing and reaches a steady value. In such conditions, a chocked flow is reached: in fact, the sound speed drops to very low values, leading to higher local Mach numbers than unity within the nozzle [138]. Only when the nozzle upstream pressure corresponds to an ultra-high rail pressure can a chocked flow occur under a relatively high value of nozzle downstream environment pressure, which is similar to the measured in-cylinder pressure during engine working conditions. In these cases, choking is observed in the nozzle holes during real operation of the injector installed on the engine. If the liquid flow does not enter the hydrodynamic cavitation regime, it cannot reach the local sonic conditions in the injector and indeed the diesel fuel nozzles are not designed for a supersonic flow.
Figure 30.
Injector characteristics at ultra-high prail [105].
Fuel sprays can also reach sonic conditions under rail pressures between 2000 bar and 3000 bar, depending on the nozzle design [105]. These injection pressures can result in hole–exit velocities so large that shock waves can arise inside the combustion chamber; such waves are noticeable in Schlieren images taken after the start of the hydraulic injection during fuel spray evolution. In fact, when the liquid fuel, downstream from the nozzle exit, vaporizes, its sound speed decreases dramatically, compared to the corresponding liquid value, and the Mach number can become higher than one [139,140]. The shock waves propagate throughout the chamber until they reach the walls and bounce back in the opposite direction. These waves clash with the newer waves and disrupt the spray flow, causing it to widen and entrain more air, hence promoting increased mixing. In general, the injection pressure has a negligible effect on the spray angle if shock waves are absent.
As far as the primary breakup mechanism of the fuel spray is concerned, it is the same as that of low and medium injection pressures. The spray breakup occurs because of atomization [141]: the liquid jet disrupts close to the nozzle exit, and the average diameter of the equivalent fuel droplets is much smaller than that of the orifice. Figure 31 [142] reports the Sauter mean diameter measured at 1000 bar (black curve with square symbols), 2000 bar (red curve with circle symbols) and 3000 bar (green curve with triangle symbols) of injection pressure with optical diagnostics, based on a laser absorption–scattering technique. The Sauter diameter is not reduced at the end of the injection when prail increases. This confirms that the primary breakup process of the liquid jet is scarcely affected by the injection pressure, whereas it mainly depends on geometry and surface roughness of the injection hole that trigger waves at the surface of the jet. Instead, by increasing the injection pressure, the Sauter diameter reduces after the end of the injection. This means that the secondary breakup process of the equivalent droplets is significantly influenced by the injection pressure. In fact, aerodynamic forces on the jet trigger the secondary breakup, which concerns the further subdivision of the liquid droplets originating from the primary breakup. Therefore, the higher the injection pressure, the higher the relative velocity and the aerodynamic force, and the smaller the Sauter diameter of the final equivalent droplets of the mist.
Figure 31.
Sauter mean diameter time history at different prail [142].
Figure 32 [103] reports the experimental liquid penetration length, ignition location, lift-off length and spray vaporous tip penetration as a function of the injection pressure in the 2000–4000 bar range for two different densities of environmental air. The results of the spray were taken from Schlieren, Mie Scattering and OH chemiluminescence techniques at environmental density values of 22.8 kg/m3 (a) and 30.8 kg/m3 (b).
Figure 32.
Spray characteristics measured at different pnom for two environmental densities: (a) 22.8 kg/m3 and (b) 30.8 kg/m3 [103].
The effect of the injection pressure on the liquid length seems to be minimal as variations around 10% can be observed for the cases presented in Figure 32 (the liquid length takes similar values also for lower injection pressures than 1500 bar [143]). This behavior had also been previously reported [142,144] for injection pressures up to 3000 bar [145,146]. In fact, even for ultra-high pressure, a higher exit velocity promotes longer penetrations of the liquid fuel, but also causes faster evaporation, due to better mixing: these phenomena tend to compensate each other and result in little variation in the liquid length.
Higher injection pressures result in shorter ignition delay times [145,146,147], as an increasing injection pressure will cause the mixing rate to improve and the fuel will burn earlier, but also determine higher fuel velocities at the exit of the nozzle. The first effect largely prevails over the second, and the ignition location in Figure 32 occurs closer to the nozzle with increasing injection pressure.
After the ignition and premixed combustion have finished, the flame base shifts closer to the nozzle and tends to approach the nozzle, stabilizing at the lift-off length during diffusive combustion. The lift-off length increases with increasing injection pressure as it is an equilibrium of the fuel velocity and the flame speed [148]; the higher nozzle exit velocity caused by the higher injection pressure therefore induces the flame to stabilize further away from the nozzle tip [146,149]. However, if the velocity is too high and exceeds a critical value, the flame can be completely blown out [148]: this is not the case for any of the studied conditions, although ultra-high injection pressures have also been considered in Figure 32. In summary, the injection pressure generally affects the ignition location and the lift-off flame in opposite ways. In Figure 32a, the lift-off length presents longer values than those of the liquid length, and this means that there is a region of fuel vapor before the flame begins. Instead, in Figure 32b, which refers to a larger value of environmental air density than in Figure 32a, the trends of the liquid length and lift-off length appear to cross at around 3000 bar. Such an observation has already been reported for injectors with larger orifice diameters (cross point for a hole diameter of 150 μm at a pressure drop across the injector orifice around 1400 bar) [150]. An explanation can be that the injected flow rate is so large at ultra-high pressure that the fuel within the spray does not have time to evaporate fully before the combustion begins. The higher pressure of environmental air in Figure 32b also moves the lift-off length closer to the nozzle, that is, the fuel going out of the injection holes needs a lower distance to mix with the required quantity of air to burn. Therefore, the liquid core penetrates into the burning region of the diffusion flame and as a result, the liquid length can reach the lift-off length, this being a significant source of soot emissions. A possible solution to avoid the interference of liquid length and lift-off length consists of applying very small injection hole diameters [119].
From a technological point of view, ultra-high prail represents a challenge for injection systems because of fuel leakages [105]. One important source of leakage is the pump where a reduction in the clearance between the plunger and sleeve increases mechanical friction; the other source of leakage is the injector. Indirect-acting injectors equipped with a minirail, control plate and eventually pressure-balanced pilot valve (the latter feature is implemented for IAS injectors) have been applied to work up to 2700 bar, whereas for higher injection pressures, DAP injectors without any dynamic leakage or hydraulically amplified CR injectors could be an available option. The technology for ultra-high rail pressures beyond 3000 bar is very difficult to achieve, and the benefits do not seem to justify the efforts, especially for next-generation passenger cars.
2.4.2. Effects of the Nozzle Design of the CR Injector
The analysis of specific power has highlighted that one goal consists of achieving the maximum specific power at the lowest peak firing pressure. In addition to the rail pressure, the nozzle flow capacity of the CR injector is another parameter that can be optimized to reach the objective with satisfactory emissions and brake specific fuel consumption.
Figure 33a [124] reports bsfc and power density (kW/L) iso-lines versus prail and peak firing pressure (pfp) at rated power for different nozzle flow capacities (the hydraulic flow through the nozzle is indicated with the acronym “HF” and measures cm3/30 s/100 bar). For the HF 440 case, the 65 kW/L power density target can be achieved by means of different combinations of pfp and prail in the whole range of variations, that is, 140–160 bar and 2000–3000 bar, respectively. As the nozzle flow capacity reduces to HF = 320, the minimum required prail and peak firing pressure are 2850 bar and 155 bar, respectively, and the requirements are still more severe for the HF = 280 case. In [119], consistently with the threshold outlined in Figure 33a, a nozzle hole of 80 μm (this can be considered as a minimum value in the published literature) has been coupled to a rail pressure of 3000 bar. This pressure is much higher than the maximum value used in CR commercial injectors, equipped with standard nozzles and injection hole diameters. In short, the application of higher prail values than 2700 bar can match higher power density targets than 63 kW/L with a maximum peak firing pressure of 160 bar, independently of the flow capacity. Furthermore, in order to relax the prail and pfp requirements, the flow capacity should be enlarged.
Figure 33.
Performance and emissions of nozzles with different flow capacities: (a) bsfc and power density at rated power; (b) ISFC, CN and emissions at part loads [124].
The bsfc is related to the power density (the higher the power density, the lower the bsfc): in Figure 33a, at fixed boundary conditions (e.g., prail, pfp and boost), bsfc tends to increase as the nozzle flow capacity decreases, but it shows lower sensitivity to the nozzle flow capacity than the power density. In fact, larger injection–hole diameters result in shorter combustion durations and therefore more efficient thermodynamic conversion of the combustion heat. In [124], the EGR bsfc–NOx trade-off at rated power for prail = 3000 bar is reported. Smaller hole injection diameters show higher smoke values because, at rated power, the negative effect of the longer injection duration on soot emission formation prevails over the positive, effect due to the better atomization and air entrainment into the fuel. Therefore, when the nozzle flow capacity is reduced, there is a lower margin for EGR increases within the smoke targets. Consequently, the NOx reduction is much less effective for the HF 280 and HF 320 than for the HF 440 case. Furthermore, at the same EGR, the NOx tends to increase by reducing HF due to a wider high-temperature residence time, as a consequence of a longer injection duration [151]. Finally, at the same NOx, lower HF produces bsfc deterioration of about 2–3% at rated power.
Figure 33b [124] reports a comparison between the emissions, CN and isfc performance of nozzles with different flow capacities at part loads: the results refer to different key points and are presented as radar plots. The emissions are normalized to the corresponding values pertaining to the HF 440 case and each engine calibration has been optimized by means of a DoE method (cf. Section 2.5.6) for the different HF values. The general performance of HF = 320 and HF = 280 is similar. The greatest advantage, compared to the HF = 440 case is in the soot reduction at constant NOx, due to the reduced injection hole diameter (at part loads, better atomization and air entrainment into fuel prevail). Combustion noise benefits are also noticeable for the lower nozzle flow capacities at the lower load conditions: the isfc gain by reducing only the nozzle flow capacity is up to 2%. The isfc obviously does not take into account possible gains or losses related to the friction mean effective pressure for different pfp design targets and high-pressure pump work absorption, due to the change in the HF value. The bsfc improvement for lower nozzle flow capacities were in the 2–12% range for the tests in Figure 33b, but it is ascribed to a combination of the peak firing reduction (3–7%), the advanced injection timing calibration (2–3%) and the reduction in nozzle flow capacity (1–2%). In general, using ultra-high fuel rail pressures and sufficiently low flow numbers is a satisfactory compromise: nozzle injection systems can provide both short injection durations at rated power and good fuel atomization and mixture formation at part loads. In particular, Figure 34 [152] highlights the effect of the hole diameter on soot emissions. The traces of the equivalence ratio versus the temperature in the Kamimoto–Bae diagram, corresponding to two distinct nozzles with different numbers of holes and with the same flow capacity (this means that the hole diameter is lower when the number of holes is larger) and injection hole cone angle, have been reported for n = 1500 rpm, BMEP = 2 bar and prail ≈ 700 bar.
Figure 34.
Effect of the number of injection holes on the thermodynamic evolution of combustion [152].
As can be inferred, the nozzle with a higher number of injection holes with lower diameter combusts with φ-T evolution (green dashed line), which stays farther away from the soot production zone than the corresponding evolution pertaining to the nozzle with less injection holes featuring larger diameters (red continuous line). Other studies [102,153] confirm that by increasing the number of nozzle holes and by reducing their diameter, a lower tendency for soot emission is obtained at part loads, due to better air–fuel mixing. The trends about increasing the number and reducing diameter of the injection holes can be noticed in the CR system production history since the early 2000s [154]. The continuous progress made in the use of voltage-controlled electrical machine discharging (EDM) and in advanced hydro grinding has led to enhanced control of the CR injector nozzle holes. Such a diameter has been safely reduced from ~150–200 μm for the Euro 3–4 light-duty vehicles to 110–120 μm for recent Euro 6D applications (up to prail = 2500 bar), and their number has increased from initially 4–5 to currently 10 in order to guarantee the required injected flow rate (for this reason, the needle has also become ballistic). Although lower diameters than 100 μm have been tested in research investigations, their application is not recommended because of the impact of coking deposits on flow rate. Furthermore, it is problematic to reach the target of 50 kW/L (this is considered mandatory for modern passenger car diesel engines, with the optimum being around 65 kW/L) when the injection hole diameter is below 110 μm because the spray vaporization occurs too early. In fact, the primary breakup length decreases, the vaporization process makes the spray angle open and the penetration length shortens, due to quick dissipation of the vaporous spray momentum. This reduces the fuel mixing with air excessively: the problem is critical when larger cylinder bores than 80 mm are adopted since a longer penetration is required.
In addition to the number and bore of injection holes, other nozzle features such as conicity of the injection holes, curvature radius at the inlet and cone angle, on which the injection holes are distributed on the nozzle surface, become fundamental design parameters when the rail pressures are beyond 2000 bar [102].
In [120], comparative swirl sweep tests (0 ≤ Sw ≤ 3.5) at injection pressures of 2000 bar and 3000 bar with CR injectors featuring injection holes with different nozzle flow capacities and cone angles (the number of nozzle holes was fixed at 8) have been performed. A significant effect of the higher injection pressure throughout the entire swirl range on the smoke reduction was confirmed, and such an effect was the predominant one when compared with the other benefits on fuel consumption reduction and with the negative effect on NOx. The NOx, smoke and fuel consumption measurements for the CR injectors with different nozzles showed that the nozzle with a large cone angle, on which the injection holes are distributed on the nozzle surface, and a small nozzle diameter under a rail pressure of 3000 bar resulted in the best soot–NOx swirl trade-off up to a certain swirl ratio. The increased rail pressure, reduced hole diameter and large injection hole cone angle resulted in higher EGR tolerance. However, when the swirl ratio increases beyond a threshold level, plume-to-plume interactions could occur. With high swirl levels, fuel droplets may be carried with the air and interact with other sprays. If this occurs, then fuel droplet collisions can occur, reducing oxidation of the fuel and creating significant smoke. A narrower cone angle of the injection holes (147°) or holes with lower diameters causes lower plume-to-plume interactions than a larger injection holes cone angle (155°) or a larger diameter, as evidenced by the smoke measurements. In particular, this is not due to plume-to-plume interference during early penetration, but to plume-to-plume interaction near the bowl edge, once the reversed flow has happened. At 3000 bar, the sensitivity to swirl decreased for all the considered injector nozzles, compared to 2000 bar, since the abovementioned threshold level of swirl for plume-to-plume interactions moved from Sw = 1.0 to Sw = 2.0. The hole conicity is usually characterized through the so-called k factor, which is defined as k = (Din [μm] − Dout [μm])/10 and is usually within the 0 < k ≤ 3 range (k = 0 corresponds to the standard cylindrical hole). The radius of the curvature at the inlet of the injection holes can be modified with hydro grinding, which is a manufacturing process that rounds off the inlet radius of the holes and improves hole wall roughness [155] by making a grinding fluid go through the nozzle. The hydro-grinding process is characterized by the hydro-grinding level (He), which is the percentage ratio of the difference between injected mass flow rates after and before the process to the injected flow rate value before hydro grinding. Generally, higher He and conicity are effective means of sensibly improving the nozzle discharge coefficient and cause a higher spray momentum, which results in rapid atomization and vaporization. The air/fuel entrainment increases, leading to enhanced air/fuel mixture preparation and thereby decreasing particulate emissions [113]. However, both conicity and hydro grinding negatively affect NOX emissions [102], but with a high EGR rate and possibly delayed SOImain, it is possible to hold the NOX emissions on a constant level and mainly concentrate on reducing particulate emissions with a careful nozzle design and the application of very high rail pressure. A high degree of hydro grinding or a high conicity can also suppress cavitation in the injection holes: the calculated vapor distributions pertaining to nozzle designs with different He levels, namely 13% and 25%, or with different k-factors, namely 1.75 and 2, have been compared (eight injection holes with D ≈ 175 μm have been considered). Hydrodynamic cavitation occurs during the needle opening and closing phases because turbulence is induced into the nozzle by these transients and triggers cavitation at the hole inlet. With hydro grinding, the deflection of the flow is smoother and hydrodynamic cavitation can be suppressed or sometimes even be totally avoided. A conical hole can also better guide the flow after an abrupt curve at its inlet than a cylindrical hole. Cavitation decreases the steady mass flow rate across the nozzle under a fixed pressure drop, reducing the spray momentum and increasing the spray angle. Nevertheless, cavitation also acts as a fouling suppressant [156] and enhances the mixture formation. In fact, the vapor bubble implosion in the cavitation zone at the inlet of sharp-edged holes exerts a mechanical action on the surface, which limits the accumulation of solid deposits, and also promotes jet breakup. A fuel flow rate loss of 2%, due to cavitation, induces an up to five-fold reduction in the coking risk and is an optimal design target [155].
As far as HRR is concerned, the nozzle with higher He causes a higher HRR peak, due to the larger nozzle discharge coefficient. However, the more intense air–fuel entrainment of the nozzle with almost doubled He (He = 25%) generates a leaner spray and, depending on the working condition, can even give an excessively lean initial combustion zone, eventually leading to instable combustion with an initial phase of very low HRR values. Instead, the higher k-factor generates a spray that burns more moderately than the more expanded spray of nozzle with a lower k-factor. Although the latter is assumed to have less momentum in the spray and subsequently lower air entrainment, cavitation occurs and enhances the mixing. If the HRR peak is higher with a lower k-factor, the effect of the higher intensity of cavitation prevails over the higher spray momentum effect related to the larger k-factor nozzle.
When a nozzle features relatively large injection hole diameters, low or null k-factor, and low He, the PM emissions can increase at ultra-high rail pressure values. The explanation provided in [102] for the increase in PM emissions that occurs above 2600 bar for a nozzle featuring He = 8.8% and cylindrical injection holes with diameter Dout = 198 μm is related to plume-to-plume interactions. Using nozzles with k-factor = 2 and He = 25%, the spray pattern becomes narrower, allowing for the design of nozzles with 10 injection holes of reduced bore at Dout = 151 μm without any negative interaction between the sprays, and the mixing is additionally enhanced: the disadvantage is the “hard” combustion process, which leads to high NOX emissions.
A recent innovation in injection holes has concerned the introduction of divergent conical injection holes, that is, holes with negative k-factor (Dout > Din) [125]. High-speed combustion and cooling loss reduction are fundamental for further downsizing the diesel engine; in particular, compact engines have a high percentage of cooling loss, and this can reduce their indicated efficiency. Higher combustion speeds require fast mixing of air and fuel being promoted by high injection pressures and an optimized in-cylinder gas flow. However, if fuel is injected with high injection pressures, the combustion temperatures are higher and the hot combustion zones are moved outward, which results in increased heat transfer from the gas to the piston and cylinder head. In order to keep the combustion area away from the walls, spray droplets need to be gathered in the center of the combustion chamber by lowering injection pressures in combination with multiple injections. However, sprays like this do not promote air utilization, resulting in lower combustion speeds and increased smoke, especially if turbulence is not intensified (in fact, cooling losses decrease when the air flow within the combustion chamber diminishes). The trade-off relationship between air utilization and reduced cooling loss is inevitable. In order to improve such a trade-off, it is important to control spray formation with respect to time and space, to achieve appropriate air entrainment according to the engine load and to complete combustion far from the wall. In the conventional CR system, the spray layout is controlled only on a time basis by the combination of injection pressure and multiple injections. Spatial control of the spray should be introduced to achieve both high-speed combustion and reduced cooling loss. In general, at light loads, there is a lot of extra air in the engine cylinders and combustion should be completed within a zone far enough from the walls, in order to reduce heat transfer losses. On the contrary, at high loads, air in the cylinder should be used as much as possible to improve performance and emissions. Therefore, at light loads, the spray angle should be widened and thus the penetration reduced, whereas at high loads, the spray penetration should be augmented to make use of all the air outside the combustion bowl and thus the spray angle decreased. A sort of modulation of the spray sizes with load is possible with a nozzle equipped with divergent injection holes. Figure 35a [125] shows that the nozzle gives a larger angle of sprays than that of the cylindrical hole because the jets flow along the divergent taper shape. At low loads, the spray diffusion is more controlled by the degree of surface disturbances along the divergent holes, which are larger than those introduced by the rectangular holes. As a result, the divergent holes generate a significantly wider angle of spray than conventional nozzles at low loads.
Figure 35.
Divergent conical nozzle: (a) nozzle configuration and flow; (b) comparison with the features of the reference nozzle with null k-factor [125].
Figure 35b [125] shows an example of the comparison of spray characteristics between the nozzle with the divergent holes and that with rectangular holes: the penetration and the spray angle of the latter nozzle are normalized to one. The lower the injection pressure, the wider the spray angle with the divergent holes, and as the injection pressure increases, penetration approaches that of the conventional nozzle with the rectangular holes. All this meets the abovementioned requirements of a desirable spray shape.
From a practical point of view, the manufacturing of a divergent conical nozzle is more difficult than that of a convergent or rectangular nozzle, due to boundary layer instability when the subsonic flow is compressed along the divergent part: an efficient engineering solution shown in Figure 36a consists of the design of the counter-bore hole [157,158], which gives almost equivalent results as the divergent nozzle. The counter-bore geometry shows a higher permeability than the standard one [157,159], due to lower friction losses inside the orifice that are related to its lower length. Above all, despite counter-bore holes and standard nozzles having the same flow number, it should be noted that the flow number is defined on a test with a 10 MPa injection pressure and a 0.1 MPa discharge pressure, which are conditions very different to those appearing on a realistic injector operation. This may result in the need to use larger nozzle outlet diameters for this counter-bore nozzle, in order to compensate for the appreciable effect of cavitation formation at 0.1 MPa discharge pressure on the discharge coefficient, leading to higher values of mass flow once the discharge pressure increases (engine-like working conditions) and cavitation disappears.
Figure 36.
Counter-bore hole and standard nozzles: (a) standard vs. counter-bore layout; (b) performance comparison [125].
As can be inferred from Figure 36b [125], a fuel consumption reduction of about 7% (2–3 g/kWh), compared to a standard nozzle, can be obtained in the low rail pressure range at medium load and speed conditions by applying the counter-bore nozzles because the combustion area is shifted inward and this leads to reduced cooling losses. The counter-bore nozzles also improve the soot emissions (about 1 FN at medium loads) under fixed NOx emissions [158]. This is confirmed in [159], where a DoE was performed on counter-bore and standard nozzles at BMEP = 8 bar, n = 2000 rpm with variations in many calibration parameters. In fact, a higher penetration in the cylinder was obtained with the counter-bore nozzle at prail = 900 bar because of its higher permeability. Since the counter-bore nozzle experienced more cavitation than the cylindrical nozzle during the flow test with 1 bar at its nozzle outlet, the outlet diameter was increased in order to compensate for the cavitation effect, which decreased the fueling capacity. When the nozzle was tested with the in-cylinder pressure level at the nozzle exit, there was no cavitation and the nozzle with the counter-bore holes gave a higher flow rate and momentum flux than the nozzle with the cylindrical holes. The increased momentum flux during the steady-state phase of the injection event, when the injected flow rate is controlled by the injection holes, gives higher penetration and larger air–fuel entrainment, which improve the smoke emissions for fixed NOx emissions. Hence, as injection pressure increases and reaches the highest values, the penetration length exceeds the maximum one of the conventional nozzle, while the reduced spray penetration is confirmed at low injection pressures.
As far as the nozzle sac is concerned, the optimization of its volume, which is another fundamental parameter of the injector, had already been performed on automatic injectors, before the introduction of the EUI and CR injectors on the market. Some fuel remains in the nozzle sac at the end of injection [160]. This fuel is then discharged into the combustion chamber either by expansion or by evaporation when receiving heat from the nozzle tip. Part of the fuel discharged in this way can be burned, but most of fuel discharged at the end of the expansion phase or during the exhaust phase gives rise to unburned HC emissions. An attempted solution consisted of eliminating the sac volume; in the Valve-Covered Orifice (VCO) layout, the needle directly covers the holes and no sac is designed. A mini-sac has a typical volume of 0.32 mm3 (including the injection holes), a micro-sac has a typical volume of 0.23 mm3 (70% of the mini-sac) and a VCO nozzle [161] has a typical dead volume of 0.15 mm3 (45% of the mini-sac). The function of the sac volume is that of equalizing the pressure upstream from the orifices so that similar sprays develop from each orifice. With the VCO nozzle, there is a dispersion on penetration and spray angle between the injection holes, whereas more symmetry is found with the mini- and micro-sac volumes. In fact, even the presence of a minimum sac nozzle can change the situation dramatically compared to the VCO.
The asymmetry of the sprays (the various plumes exhibit different penetration lengths and spray angles) deteriorates soot emissions [162,163] because the poor hole-to-hole distribution of fuel leads to more over-rich regions in the combustion chamber (the plumes with shorter penetration and narrower spray angle give over-rich mixture zones). There is therefore a trade-off between HC and soot emissions for the sac and the generally accepted solution consists in minimizing the sac volume without eliminating it. This compromise solution is also determined by the fact that the VCO layout worsens the cycle-to-cycle variations in the injection performance because the injector needle position at rest is not exactly the same at the end of each engine cycle, and this can generate appreciable cycle-to cycle differences between the sprays originated from each hole. In any case, the nano-sac has recently been developed, which has a sac dead volume that is around 0.08 mm3 and is therefore much lower than the dead volume of the VCO itself. The hole-to-hole dispersion is controlled thanks to the latest progress in hydro-grinding technology, which guarantees superior equalization of the sprays from the different holes even in the presence of a nano-sac because of the superior control of the geometrical differences between the manufactured holes.
In addition to the reduction in HC emissions, the nano-sac also enables quick opening of the needle because the pressure level in the sac rises abruptly as soon as the needle opens and the pressure force that raises the needle tip can increase rapidly. Then, high-pressure injection occurs through the nozzle injection holes. Analogously, the closure phase of the needle occurs with increased needle velocity. The nano-sac, eventually coupled to the minirail, therefore results in a reduced Sauter diameter of the fuel drops during the needle–seat passage throttling periods, that is, during the nozzle opening and closure periods, with significant benefits on soot emissions compared to previous-generation injectors. In Figure 37, the new-generation solenoid injectors, which are equipped with three-way valve, minirail, bypass and nano-sac, are compared with the previous-generation ones (produced until the Euro 6b phase), which do not have the mentioned characteristics (two generations of injector from the same manufacturer have been considered). The new-generation injector features a Sauter diameter of the fuel droplets during needle throttled periods (SOI and EOI) that is almost the same as that during the injection hole-throttled periods. In fact, the velocity of its ballistic needle reaches 2.5 m/s (this is comparable to that of DAP injectors), whereas that of the considered previous-generation solenoid injectors was limited to 1–1.2 m/s. The improved atomization during the needle-throttled periods allows for a larger diameter of the injection holes to be selected, and this increases the engine power density (in fact, the SMD in Figure 37 is larger for the new-generation injector in the central phase of the injection) without worsening PM. This typology of injector also enhances the effectiveness of strategies with multiple small shots, which are characterized by a high impact of the needle-throttled periods.
Figure 37.
SMD during the injection: comparison between injector with the nano-sac and previous generation of injectors.
Finally, the law of variation of the needle–seat restricted area with respect to time, during the nozzle-opening phase, is another important geometrical feature of the CR injector since it influences rapid burn of the premixed combustion phase and the combustion noise. Such a law of variation in particular depends on the diameter of the needle–seat contact and on the conic angle of the seat, which should therefore be optimized for each combustion system. The shape of the needle is also an important design feature: Figure 38a [122] compares the simulation results of the flow in the sac for a conventional needle tip shape (MS) with those referring to a prototypal one (CDS). The latter has a more-shallow inflow angle from the sac into the spray hole than the conventional nozzle, maintains a stable flow in the sac when the needle lift increases and ensures a better discharge coefficient (no flow recirculation zone occurs in the holes), leading to a strong penetration spray. The prototypal needle tip achieves a faster spray penetration compared to the conventional one and confirms the importance of the design of the needle tip shape. Figure 38b [122] reports the effect of the new needle tip shape on BTE and emissions at BMEP = 14 bar and n = 2000 rpm (injected quantity is at 50 mg and boost at 2 bar): strong penetration in the mid- to high-load areas has a positive effect on air–fuel mixing, resulting in reduced measured smoke and better NOx vs. soot–EGR trade-off without penalty on bsfc.
Figure 38.
Comparison between conventional (MS) and prototypal (CDS) needle tip shape: (a) 3D simulation results of the flow in the sac; (b) effects of the needle shape on bsfc and emissions [122].
Other alternative concepts to the conventional multi-hole nozzle have been proposed as solutions to the extremely high injection pressure in order to ensure high and faster air–fuel mixing in the piston bowl. Furthermore, the hypothesis of reducing heat transfer losses via the minimization of swirl motion (quiescent combustion systems) is not feasible with the conventional multi-hole nozzle configuration, which needs an appropriate swirl motion for a satisfactory spray atomization level. A spray comparison between a prototypal hollow cone nozzle (HCN) and a conventional multi-hole nozzle (MHN) with seven injection holes has been reported in [164]. Furthermore, Figure 39 reports an overview of the geometrical features of the two nozzles. The innovative solution consists of an outwardly opening pintle-type nozzle able to generate a hollow cone spray similar to that produced in some GDI injectors [165]. The curtain area is characterized by a reduced needle lift, around 30 μm, and by a relatively large diameter of the needle–seat restricted passage. The HCN features a restricted flow area that is three times that of the MHN because its injection velocity is much lower. In fact, the boundary layer losses are larger for the HCN than for the MHN, and this requires a larger restricted area to compensate for the diminished discharge coefficient (the nozzle flow capacity maintains almost the same value).
Figure 39.
Schematic view of geometrical features of HCN (left) and conventional MHN (right) [164].
In [164], the numerical results of the Sauter mean diameter (SMD) as a function of time for an injection pressure of 600 bar obtained with a 3D simulation tool are reported. Moreover, the numerical spray penetration evolution for both the nozzles in terms of radial and axial components is also shown. As soon as the injector nozzle has ended its opening phase, SMD is equal to the maximum needle lift for the MHN, namely 30 μm, and to the injection hole diameter, namely 141 μm, for the MHN. The absolute breakup rate is similar for both the nozzle during the first 80 μs of the spray evolution, in which SMD decreases by about 10 μm. However, the drop diameter of HCN is close to be halved in the first 100 μs and quickly reaches the asymptotic value. In principle, such a peculiarity could improve the rate of fuel–air mixing in the neighborhood of the nozzle area. The asymptotic SMD decreases by increasing the injection pressure: as an example, for prail = 800 bar, the asymptotic value is 8 μm and, for prail = 1200 bar, is 6 μm. These values are consistent with those measured for hollow-cone sprays in GDI systems [165,166]. The HCN prototype provides a finely atomized high-pressure spray homogeneously distributed over 360°; this permits the use of CR injectors with this nozzle in low swirl or quiescent chambers of diesel engines, with a positive effect on heat exchanges and BTE. As far as the spray penetration is concerned, the axial component is very similar for the two nozzles, while the main difference concerns the radial component, which is lower by about 300% for the HCN (for example, at 400 μs after the start of hydraulic injection, the tip penetration is 21 mm for MHN and 7 mm for HCN). The reduced radial penetration of HCN means that the spray is significantly bounded in the central part of the cylinder. This derives from the simultaneous reduction in droplet diameter and injection velocity. The reduced radial represents a very critical aspect because there is poor entrainment of air within the spray and, consequently, poor air–fuel mixing.
2.5. Multiple Injections
The multiple injection patterns (with more than two injection events per engine cycle and cylinder) reviewed in what follows generalize and extend the concepts of pilot–main and main–after injections, which were the injection schemes that historically introduced the multiple-injection technology.
2.5.1. Pilot–Pilot–Main Strategies
Pilot–pilot–main strategies have been tested in [91] at low loads (n = 2000, BMEP = 2 bar) with a main injection phased at 3 CA BTDC (pnom = 600 bar). The reference pM strategy had a closely coupled pilot shot at DT = 100 μs. Two ppM strategies were considered: one had an additional earlier pilot 1 with a variable DT1 in the 85–2300 μs range (DT1 is measured between the two pilot injections) and a closer-to-main pilot 2 with a fixed DT2 = 100 μs (SOIpil2 = 7 BTDC CA), and the other featured variable timing of the closer-to-main pilot 2 shot (85 μs ≤ DT2 ≤ 1880 μs) with a fixed SOIpil1 = 35 BTDC CA. The implementation of the ppM patterns was not fully successful: the triple injections could improve bsfc by 10% and combustion noise (up to 4 dBa) compared to the pM injections, but they generally worsened the emissions. In fact, the ppM strategies increased soot, compared to the pM one, because the intensity of the premixed phase decreased with the triple injection. This also occurred because the premixed phase of the reference double-injection strategy was very intense and showed the lowest value of soot; in fact, it was a pM strategy with a pilot shot closely coupled to the main injection (cf. Section 2.3.1). The NOx emissions increased with the ppM strategies because the combustion was more anticipated: indeed, the designed triple injections determined an advance in combustion phasing with respect to the double injection. For the same reason, the bsfc improved by about 10% compared to the pM strategy. Finally, the ppM injection was very effective in reducing combustion noise when the two pilot shots were closely coupled to each other and to the main shot (DT1 ≈ DT2 ≈ 85 μm).
Figure 40 [58] reports a comparison between pM and ppM strategies performed at n = 2000 rpm, BMEP = 5 bar and prail ≈ 825 bar on a Euro 5 engine. The pM strategy represented a state-of-the-art double injection, whereas the ppM strategy was optimized by means of a DoE procedure (cf. Section 2.5.6) to minimize NOx emissions (the objective was to avoid dedicated aftertreatment for nitrogen oxides). The presence of a relatively early pilot injection that induces a two-stage ignition is according to a typical scheme of triple injection with double pilots: the earlier pilot smoothens the combustion of the later pilot. The lower HRR peaks during the pilot combustions for the ppM strategy induced slightly higher intensity for the premixed main combustion; in fact, the ignition delay of the main injected fuel was larger for the ppM strategy.
Figure 40.
HRR vs. θ for the pM and ppM strategies (2000 × 5) [58].
The local equivalence ratio values of the ppM strategy were confirmed to be higher during the combustion period than those of the pM one, and this, coupled with the slightly higher XEGR fraction of the ppM calibration, was probably the reason for the lower NOx emissions of the triple injection (the maximum burned gas temperature was lower for the ppM strategy). In fact, Figure 41 [58] shows that it was the higher degree of premixed pilot combustion for the pM case that made the NOx emissions of the pM injection schedule initially increase significantly in the 350 CAD ≤ θ ≤ 370 CAD range compared to the ppM strategy. A slight deterioration in the soot–NOx EGR trade-off could be observed in Figure 42 [58] for the ppM calibration, but the maximum soot values in Figure 42 were not critical, when a diesel particulate filter was mounted. Although the equivalence ratio values are generally higher for the ppM strategy, the increase in the intensity of the initial premixed phase of the main combustion mitigates this effect and limits soot emissions. Similar results to those in Figure 41 and Figure 42 were obtained at medium loads and speeds in [167]: the best performance of the early pilot–pilot–main strategy was on NOx emissions, whereas the soot emissions could either worsen or improve compared to the double injection depending on the adopted parameters for the triple injections.
Figure 41.
NOx vs. θ for the pM and ppM strategies (2000 × 5) [58].
Figure 42.
Soot–NOx EGR trade-off θ for the pM and ppM strategies (2000 × 5) [58].
In the tests at low-to-medium loads and under a high rail pressure level (prail = 1400 bar) performed in [168], the pM and ppM strategies could reduce NOx emissions significantly compared to a single injection. Nevertheless, double-pilot injections generally reduced NOx to a similar extent as single-pilot injections. The smoke emissions were at a negligible level regardless of the adopted multiple- or single-injection schedule (they varied from 0.07 to 0.05 FSN in the performed tests). In fact, the high injection pressure resulted in rapid mixing and a leaner mixture, which suppressed the formation of smoke for the considered engine [169].
Hence, the performance of a triple injection is very sensitive to the calibration of the injection parameters. In Figure 40 and Figure 41, the DoE supports the determination of the optimum setup in order to significantly reduce the pilot combustion intensity without excessively compromising the overall premixed burning thanks to the larger ignition delay of the main injection. Accurately optimized triple ppM injections can therefore give benefits in the management of the trade-off between emissions, combustion noise and brake specific fuel consumption at medium-load conditions, compared to pM injections. Inconsistencies in the literature about the benefits of ppM injections compared to pM are ascribed to a lack of optimization of the triple injection.
The comparative tests on triple injections that were carried out in [170] on a single-cylinder engine at medium load and speed (BMEP = 5 bar, n = 2000 rpm) used different pnom values. The considered pM and ppM strategies featured pilot injections below 2 mg, and the main injection was phased at around 10 BTDC for all injection schedules; for the pM strategy, the pilot was phased at 25 BTDC, whereas the start of injection of the farther-from-main pilot in the ppM strategy was set at 35 BTDC (it was a relatively early pilot injection). Figure 43 [170] shows that, at lower injection pressures than 1600 bar, the brake-specific NOx emissions of the multiple injections are better than those of the single main injection, although the emission performance of the ppM strategy is worse than that of the pM one. Furthermore, the brake-specific soot emissions of multiple injections in Figure 44 are worse than those pertaining to the single injection, and the ppM injection gives the worst performance.
Figure 43.
Effect of multiple injection on NOx at different pnom [170].
Figure 44.
Effect of multiple injection on soot at different pnom [170].
It is therefore confirmed that triple injections give better performance at medium loads on NOx than on soot emissions and that triple pilot–pilot–main injections, if not optimized with a statistical procedure, do not generally give appreciably better emissions than double pilot–main injections (in Figure 42, the optimized trade-off does not improve with the ppM, but the objective was to minimize NOx in order to simplify the aftertreatment installation). Furthermore, the influence of the multiple injections on soot becomes negligible as the rail pressure increases up to 180 MPa. In fact, the higher the injection pressure, the more atomized the spray jet of the fuel, and enhanced mixing leads to less locally rich regions, independently of the adopted injection scheme. Hence, it seems that the double and, especially the accurately optimized triple injections (in general, any sophisticated multiple injection pattern), can be effective strategies for emissions at medium-load conditions up to a certain value of prail that depends on the considered engine technology.
At medium to high loads (heavy-duty engines with ε = 17.5 and EGR around 10%), the ppM injections generally have less influence on emissions than at medium and low loads because the rail pressure are high and the multiple injections cannot be combined with significant EGR rates. Furthermore, there are low benefits on noise because, at these working conditions, combustion does not represent a remarkable source of noise. Finally, implementing injections early along the compression stroke makes BMEP decrease, due to the significant impact of negative compression work. Figure 45 [76] reports a statistical analysis where single-injections, and pM and ppM injections have been compared on NOx and smoke at n = 1850 rpm and BMEP = 11.7 bar (pnom = 1400 bar). The main injection timing is fixed at TDC; the earliest pilot injection timing was 40 CAD bTDC, which means that for a single pilot injection, the maximum interval between pilot and main injections was 40 CAD according to a typical LTC setup for SOIpil. For a double pilot injection, the maximum angular interval between the two pilot shots occurred with the earlier pilot shot (pilot 1) at 40 CAD bTDC, the minimum interval between the pilot injections at 8 CAD, and minimum interval between the later pilot injection (pilot 2) and main injection at 8 CAD. When a double pilot injection was applied, the fuel mass of both pilots 1 and 2 was fixed at 2 mg. Single pilot injections cannot dramatically reduce NOx and smoke, although they can result in a mild improvement in the NOx–smoke trade-off. The most interesting ppM strategies include two types: points that minimize soot, referring to close pilot shots (8 CAD) phased far from the main injection (SOIpil1 = 40 CAD bDTC), that is, early double pilots, and points that minimize NOx, referring to a pilot 2 closely coupled to the main injection (dwell angle of 8 CAD) and to an early pilot 1 (SOIpil1 = 40 CAD bDTC). In general, when a ppM injection is applied, NOx increases slightly, while smoke, which always maintains low values in Figure 45, results in a small reduction. In fact, the ppM injection at high loads could improve in-cylinder air utilization, promoting the fuel–air mixing process. In the low-end torque area, when torque is limited by exhaust smoke, performance can be improved by multiple injections featuring a pilot with advanced injection timing under conventional EGR (ε = 17.5) [64]. In particular, the double pilot injection strategy featuring a pilot 1 shot with SOIpil1 = 40 CAD bTDC shows significant improvements (∼5 to 14% at different load) in torque with a corresponding better BSFC curve in comparison to the case with only a pilot shot. Smooth torque patterns with respect to the crank angle provide better drivability: a double pilot strategy with an early pilot shot enhances the in-cylinder pressure and increases the total heat release rate, which causes an increase in engine torque without an excessive smoke number. The potential of early pilot injections on smoke at high loads is therefore confirmed. Furthermore, the double pilot injection gives a combustion noise reduction near 3 dBA, compared to the baseline one.
Figure 45.
Statistical comparison of NOx and smoke between various injection strategies [76].
Finally, multiple pilot injection strategies close to the main shot are also used for improving cold conditions during engine cranking and the run up to idle [171]. In fact, the pilot injection has an important beneficial effect on start-up behavior, promoting cool flame reactions and creating an activated environment in which the main is injected [56,172]. However, a cold-start at very reduced temperatures or working conditions characterized by very low loads could still be poor with a single pilot injection, due to the presence of misfiring cycles. Idle speed stability is a key indicator of idling quality for multi-cylinder engines, and it depends on the cycle-by-cycle combustion stability and on the response of the speed control strategy. In fact, combustion instability determines cycle-to-cycle variation in work output that results in idle speed variations. Therefore, CoVIMEPg is used as a prime indicator of performance at idle and very-low-load conditions. Target values of CoVIMEPg at idling speeds are typically around 3% under fully warm conditions [173,174]. Some degradation can be expected at cold idle, but for an acceptable quality, CoVIMEPg should be lower than 10%.
In Figure 46 (single-cylinder engine with ε = 18.5) [171], a fixed SOIMain = 8AD bTDC was used for pilot–main strategies, and the dwell angle was set at 10 CA: the dwell angle must be small enough to guarantee a remarkable thermal effect of the pilot injected fuel on the main combustion, but sufficiently long to reduce the disturbances in control of the main injected mass, due to pressure waves. The engine speed was swept between 600 and 1400 rpm at intervals of 200 rpm for all environmental temperatures. The pilot injection was 2 mm3 in all cases. The main quantity was varied with temperature, i.e., the lower the temperature the higher the main injected mass, to achieve a target indicated work output approximately equal to FMEP for that temperature (friction work increases as temperature decreases) [175]. It was preliminarily verified that SOIMain had a poor influence on the improvement in performance at the lowest temperatures. A single-pilot strategy is shown to give satisfactory cycle-by-cycle stability for IMEP at idling speeds at temperatures down to −10 ° C, but is not enough at −20 °C. An additional pilot injection of 2 mm3 with an advance of 10 CA compared to the pilot shot of the pM injection was utilized to investigate the effect on stability at all temperatures, and the main injection was reduced accordingly to keep the total fueling constant. The same technique was applied for further additional pilots for triple pilot injection (pppM strategy), and speed was kept at 1000 rpm. The effect of the twin and triple pilot strategies at −20 °C is shown in Figure 47 [171] (the total injected volume is fixed at 17 mm3), where SOIMain is the abscissa. There are benefits to using a triple pilot at −20 °C, compared to a pM schedule, in terms of reduced CoVIMEpg. In general, multiple-pilot operations improve stability, compared to a single pilot shot, by providing a more homogenous environment in which to inject the main. With pppM, the fuel is thoroughly mixed throughout the chamber by the start of combustion; while there is no apparent hot pilot combustion with small pilot quantities at cold temperatures, localized heat release with cool flames creates an activated atmosphere in which to inject the main. Four pilot injections offer no advantage over triple pilot ones: it is possible that the early pilot shots result in bore wetting.
Figure 46.
COVIMEPg vs. n at different ambient temperatures [171].
Figure 47.
COVIMEPg vs. SOI at n = 1000 rpm, −20 °C, Vinj = 17 mm3 [171].
2.5.2. Split Main Injection Strategies
The heat release curves reported in Figure 48 [176] refer to double-split and triple-split main injections at medium loads and speeds (6.5 bar ≤ BMEP ≤ 9.5 bar, n = 2000 rpm). The shots are characterized by similar quantities and short dwell angles between 6 and 9 CAD (DT ≤ 800 μs) according to the split main injection scheme, although an additional classic pilot injection is also present. Two or three peaks of reduced intensity occur for double- and triple-split main injections, respectively, compared to the maximum HRR of the case without a split main. All double-split main injections in Figure 48a result in a dip after the first rate of heat release peak, which is caused by the combustion decreasing in intensity between the two split main injections; instead, two dips occur in the triple-split main injection in Figure 48b,c. A general effect of split injection is that the combustion is delayed, resulting in a later MFB50 and a more evenly distributed rate of heat release. Furthermore, split main injections feature relatively higher HRR values for a longer time during combustion than single main injections and can prolong the combustion duration.
Figure 48.
HRR for double and triple split main injections: (a) double split main injection with different dwell angles; (b) triple split main injection with a dwell angle of 6 CAD; (c) triple injection with a dwell angle of 9 CAD [176].
Since the split injections have a reduced HRR maximum value but yield higher rates of heat release than the single injection during the late part of the combustion, the maximum in-cylinder temperatures can be either higher or lower than those of a single injection, depending on the number of shots involved in the split, on the dwell times between these shots and on the start angle of the main combustion. In the case of Figure 48b,c [176], when triple split injections with dwell angles of 6–7 CAD are considered, the in-cylinder temperature increases compared to the single-injection case, but for double split injections or triple split injections with larger dwell angles, i.e., 9–10 CAD, they decrease (the start of main combustion is always around TDC). In addition to the discussed dependence of the in-cylinder temperatures on the start of main combustion, dwell angles and number of shots involved in the split, two other competing mechanisms are believed to affect the NOx engine out emissions of split injection strategies. First, several short main injections with short dwells between them widen the time during which the turbulent energy inside the cylinder is high [177]: this could lead to better mixing, faster evaporation and higher combustion efficiency, which lead in turn to higher temperatures and thus larger NOx. Second, when the injection is divided into shorter pulses and the dwell is increased, the combustion duration is increased appreciably and the final fuel can be injected into an environment with lower oxygen (the amount of NOx decreases as the oxygen concentration decreases). This complex framework can explain some inconsistencies found in the literature about the effect of split injections on NOx emissions.
In Figure 49 [177], the PM–NOx EGR trade-offs are shown for different engine operating points according to Table 2. The double-split main injection is similar to the case without split injections, and the triple-split main injection generally reduces the NOx, but worsens PM compared to the double-split injection. The quadruple-split main injection globally gave the worst results at all four engine operating points, due to significantly higher particulate emissions, although the NOx emissions were quite low in some cases. In general, the PM emissions increase or remain similar when the main injection is split into more than two parts, with dwell angles around 6–10 CAD under low and medium prail because of the longer and more diffusive combustion. Better results on PM and in general on the NOx–soot trade-off could be achieved by further reducing the dwell times with the enhanced technology of the last-generation CR system. Nevertheless, the selection of dwell times should always be made while paying attention to avoid cases in which the fuel injected in the later shots of the split injection interacts with the combustion products of the earlier shots. This could be the cause for the worst PM results obtained in Figure 49 with the split injection.
Figure 49.
PM–NOx trade-offs for the strategies in Table 2 [177].
Table 2.
Engine operating points [177].
Finally, Figure 50 [177] reports the bsfc versus NOx trade-offs. The double-split main injections give equal or better curves than the pM injection (cf. “single” case) without split at all the considered working points.
Figure 50.
bsfc–NOx trade-offs for the strategies in Table 2 [177].
Triple- and quadruple-split injections are worse than double-split injections since the fuel consumption tends to increase for a higher number of injections. As far as the CO emissions are concerned, they can increase when the main injection is split into more parts with large enough dwell angles, due to the reduced in-cylinder temperatures. Instead, the HC emissions can increase because the MFB50 is delayed by the split injection and consequently the combustion efficiency therefore decreases: in this case, an increase in the dwell time has the same negative effect as an increase in the number of injections.
The most important advantage of split main injections is the CN reduction, which comes from a smoothing of the in-cylinder pressure curve and of the maximum HRR, and these were often the primary goal of the strategy. However, this injection schedule has not been used in commercial engines because the presence of large injections with reduced DTs induce major pressure wave disturbances on multiple injections. In particular, if an after injection is present in the pattern downstream from the split main injection, its control becomes challenging. Moreover, as seen from the previous discussion, the benefits on emissions and bsfc are not obvious.
2.5.3. Pilot–Main–After Strategies
Exhaust gas recirculation and delayed pilot injection are among the most effective measures to reduce NOx emissions. However, either a high EGR rate or a delayed pilot injection tends to cause an increase in smoke: the addition of an after injection can be useful to contain the increased sooting tendency without increasing the injection pressure level. In [76], the effects of the pMa injection on the EGR trade-off between NOx and smoke at high loads (BMEP = 11.5 bar, n = 1850 rpm) are shown: the comparison is between a pMa with EGR (the maximum EGR mass fraction was at 12%) and a single injection without EGR. A large after injection fuel mass is required to limit the soot increase when the amount of NOx is minimized with EGR and pilot injection timing, but the final results are better than for the single-injection case. The bsfc penalty, due to the triple injection, is only slight (1–2%). However, the application of pMa strategies at high loads does not generally have many benefits on NOx and smoke compared to a pM strategy. Better results with the pMa injection can be obtained at medium and low loads under more significant EGR rates.
Figure 51 [178] illustrates that, for a medium-load and -speed condition (n = 2000 rpm, BMEP = 6 bar, prail = 900 bar, SOImain is around TDC for the single injection), pMa injection (case 3) reduces NOx emissions by half and smoke by 40%, compared to the baseline single-injection case (case 1). The penalty is an increase in bsfc by 6% compared to single injection: by advancing the electrical start of the pilot or the main injection, the bsfc penalty can be minimized by accepting less dramatic benefits on emissions. Figure 52 demonstrates that simultaneous reductions in NOx and smoke can be achieved using a pMa injection, compared to a single injection with the same EGR, even at n = 1000 rpm and BMEP = 5 bar (prail = 700 bar), with a small penalty on bsfc, thus confirming the results at higher loads in Figure 51. Furthermore, the results in [55] show that a pMa strategy with the pilot shot closely coupled to the main injection gives better global performance than a pM schedule. The reduction in soot promoted by the third injection allows the pilot injection to approach the main (up to DTpil = 100 μs in [91]) in order to reduce the NOx emissions, which are worsened by the after injection, while maintaining a soot improvement up to 40% compared to a pilot–main injection. The application of the pre-injection (a pilot injection with short DTpil) also improves the brake thermal efficiency by reducing heat losses, blow-by masses and passive work incidence, which are due to combustion of an early pilot injected mass, and also counteracts the penalty on bsfc, due to the after shot, to lower values than 2%. Finally, the combustion noise is not directly influenced by the after injection. In conclusion, depending on the medium-load condition, a pMa injection with a pilot shot closely coupled to the main one or an early pilot can lead to appreciable advantages, compared to a pM injection.
Figure 51.
Effect of the injection schedule at 2000 × 6 ((1 refers to a single injection, 2 to a pM injection with a pilot of 0.5 mg, and 3 to a pMa injection with pilot and after shots of 0.5 mg)) [178].
Figure 52.
Effect of the triple injection at 1000 × 5 [178].
Figure 53 [178] shows the effect of three injection types on emissions and bsfc for two different EGR rates at low load (a small bore engine is considered, ε = 19.5, swirl ratio 2.5, n = 2000 rpm, BMEP = 2 bar and pnom = 650 bar): the injection timing of the main shot for the single injection is at 2 CAD bTDC, whereas for the double and triple injection, it is at 8 CAD aTDC (SOIpil = 0 CAD aTDC and SOIafter = 27 CAD aTDC); such a delayed time of the main injection is often used in conventional diesel combustion to perform thermal management of the exhaust gases. With a 33% EGR rate, a NOx reduction of 25% was achieved using a pM injection and a 40% reduction for a pMa injection, due to the delayed after injection. Although the smoke number increased from 0.3 to around 0.6, passing from single to multiple injections with 33% of the EGR fraction (the after timing was optimized for NOx emissions), it is still well within the acceptable limits for these working conditions. With a 40% EGR rate, the NOx results are better than at 33% EGR rate: NOx reductions of 10% and 30% were observed, compared to single injections, for pM and pMa injections, respectively, without any penalty in smoke. The effect of injection type on bsfc was generally smaller than that of EGR. One conclusion is that, when a pMa injection featuring an after shot with a large DT (phased after TDC) is used in combination with higher EGR rates, a significant reduction in NOx can be achieved. The large EGR fraction that is used to improve NOx emissions worsens the soot formation, but the after shot is used to oxidize the produced soot. In [179], the performance (IMEP) and emissions (NOx and smoke) of a pMa injection at idling and n = 800 rpm are reported: the main injection timing is 5 CAD bTDC, the pilot injection timing is 35 CAD bTDC and the after injection timing is 15 CAD aTDC. At high injection pressure (prail = 1200 bar), the NOx emission of the pMa is nearly equivalent to the single-injection case and smoke emissions are somewhat increased; moreover, IMEP decreases significantly when passing from 330 kPa to 275 kPa. Instead, when pMa injections are used in combination with low injection pressures (prail = 300 bar), a NOx reduction of 30% and a smoke reduction of 40% can be observed compared to the single injection. In this case, the pilot has been ideally set up for NOx reductions and the after injection for soot suppression; the penalty for IMEP is only between 3 and 4% and the prolonged combustion during the expansion stroke also reduces bsfc by 2%, compared to double injection in [180]. The noise is mainly influenced by the main combustion and even at low loads is not directly affected by the after injection.
Figure 53.
Effect of the injection schedule at 2000 × 2 [178].
The optical images of the overall combustion reported in Figure 54 [179] (the considered CR injector features five injection holes), which refer to a pMa strategy at n = 1000 rpm, BMEP = 5 bar and prail = 300 bar, show (last row) that the after injection introduces an interaction between its spray plumes and the spot flames of the main combustion. The flames triggered by the after injected fuel are located near the walls of the bowl and therefore contribute to improved oxidation at later stages. The fact that the after injection is not effective at high rail pressures is related to the extra penetration of the injected fuel, which leads to wall wetting. In fact, while the squish motion counteracts the spray penetration (this organized motion influences the main injection), the reverse squish amplifies the effect of the injection pressure on the after injection spray penetration (the impact of reverse squish is marginal for the main injection).
Figure 54.
Images of combustion for the pMa injection [179].
2.5.4. Discrete (Digital) and Continuous Rate Shaping Strategies
In the past, the application of triple- or even quadruple-pilot injections was limited by constraints on the extension of the injection period, on the minimum allowed pilot injected quantity and on the negative impact of the needle–seat throttling effects in the presence of slow actuation.
Figure 55 [125] reports the benefits on fuel consumption and CO and HC emissions when the pilot injected fuel is fractioned in many shots. The fuel before the main shot is injected in the same time duration for all the pilot strategies. Moreover, the injection timing of the main and the timing of the first pilot injection are kept constant. In particular, the four small and close pilot injections are supposed to promote combustion in the center of the combustion chamber and thus to achieve reduced cooling losses. This results in improved ignition and combustion of the total pilot quantity with a fuel saving of 2.8% and a reduction in CO and THC emissions by 50%. Since the benefits continuously increase with the number of pilot shots, complete flexibility in pilot injection control can contribute to higher performance of the diesel engine.
Figure 55.
Effect of closely coupled multiple injections with small injected quantities [125].
Discrete rate shaping schedules consist of multiple injections with very short dwell times so that subsequent shots, although still hydraulically distinct, are close to being fused together, as in the case of the four pilot injections in Figure 55. Such short dwell times can only be implemented with CR systems of the latest generation that are characterized by a prompt dynamic response (for example, a piezo injector with a control plate and a bypass has been used in the tests of Figure 55, but also advanced solenoid injectors are suitable). Unlike split main injection, the quantities in each pilot shot are small and have early timings. The needle needs to lift quickly (higher needle lift velocities than 1 m/s are required) to achieve strong penetration with the pilot spray, thus obtaining adequate air entrainment without soot penalty; as a result, the high-pressure fuel is sent to the nozzle tip without loss, even when the injection quantity is small [122]. In [181], two pilot–main injected flow rate time histories, measured at the hydraulic test bench for a CR injector at DT = 150 μs and at DT = 100 μs, have been reported. In one case, the pilot and the main injections are closely coupled but still hydraulically distinct (digital rate shaping strategy), whereas injection fusion (continuous rate shaping strategy) takes place in the other case, which refers to Figure 56. In a continuous rate shaping injection schedule, the needle cannot complete the nozzle closure phase of the pilot injection shot before the needle-upstroke phase related to the main injection has started [30]. The injection fusion threshold (IFT), that is, the minimum dwell time value that can be implemented for fusion free pilot–main injections, is usually between 100 μs and 125 μs in the latest generation of CR injectors for passenger cars [181].
Figure 56.
Injected flow rate time history for a pilot–main injection with DT = 100 µs [181].
Another example of an injection schedule including digital rate shaping is given by strategies A and B in Figure 57 [182], whereas the reference strategy is a ppMa injection (n = 1200 rpm) with typically spaced pilot shots.
Figure 57.
In-cylinder pressure and HRR traces for quadruple (reference) and digital rate shaping strategies: (a) injection strategies; (b) in-cylinder pressure; (c) HRR [182].
In general, discrete rate shaping uses small pilot injections that undergo premixed combustion: the accumulated fuel during each ignition delay is small and the maximum HRR is therefore limited, although the fraction of premixed burning is large, due to the significant number of pilot shots. Furthermore, when pilot injections are very close to each other, interference between the combustion regions pertaining to the precedent injected fuel and the fuel jet of the next injection occurs to a greater extent. The later pilot injection of the reference strategy in Figure 57a ignites when its jets collide with the combustion zones of the former pilot. When the fuel jet going out from an injection hole does not interact with the combustion regions of the previous pilot injection, the implication is that this jet fuel experiences a significant delayed combustion. The swirl motion rotates the combustion regions of the first pilot injected fuel, and a longer dwell time allows swirl to sweep more of the prior combustion out of the line of fire of the later pilot injected fuel. In general, the more compact the injection train, the more intense the interaction between the combustion regions and fuel jets with an effect on HRR.
Figure 57b,c reports the apparent HRR and in-cylinder pressure versus crankshaft angle distributions, respectively, for the three strategies in Figure 57a. For the reference strategy, each pilot injection in Figure 57c has a distinct combustion with HRR peaks occurring at 0.5 and 3.9 CAD aTDC, and between them, the apparent HRR falls to approximately half of the peak values. Furthermore, after the second pilot injection, the HRR falls to values fluctuating around zero before the main injection creates a very strong HRR event, which results in the highest peak value among all strategies. For both the triple-pilot strategies A and B, the individual HRR contributions from each pilot shot are still noticeable as they give rise to three distinct peaks before the main HRR event; however, for strategy B, both the depth of the valleys and the amplitude of the peaks are reduced and therefore the peaks are less distinguishable. Large dips and peaks in the apparent HRR trace determine the magnitude and the frequency content of the undulations in the in-cylinder pressure trace (cf. Figure 57b), which in turn lead to the total combustion noise level for the cycle. Implementing discrete rate shaping strategies with very reduced dwell times leads to a more linearly increasing moving average of the apparent HRR during the entire combustion, whereas for the reference strategy, the moving average of the apparent HRR is farther from being linearly increasing. As a consequence, in Figure 57b, the in-cylinder pressure of the reference strategy falls notably, before the pressure rise due to the main combustion, whereas the in-cylinder pressure in both the discrete rate shaping strategies are monotonically increasing to their maximum and feature less oscillations. Furthermore, strategy B, which had less pronounced peaks and valleys in the HRR curve, also features pressure traces with lower-magnitude oscillations than strategy A. Smoother in-cylinder pressure traces lead to lower combustion noise values despite the increase in peak in-cylinder pressure and in peak in-cylinder pressure rise rates compared with strategy A. In fact, the reference strategy has a CN of 79.6 dBa, whereas strategies A and B give 76.5 and 75.5, respectively. The mechanism that explains the more regular progression of combustion is the interaction between the injected fuel and the combustion regions from the previous injections. In particular, the liquid injected fuel that collides with the combustion regions causes a slowing of the ongoing combustion [183,184] because there is energy transferred to the liquid fuel in order to heat it up to the vaporization temperature, to complete its vaporization and to heat the fuel vapor up to its ignition temperature. Since the apparent heat release has been considered, this internal process of heat exchange will appear as a heat loss in the apparent HRR curve and a dip arises. In fact, in Figure 57c, the three local HRR peaks pertaining to pilot 1, pilot 2 and pilot 3 (pilot 1 is the earliest and pilot 3 the latest) in strategy 3 occur just when the pilot 2, pilot 3 and main injections become fully developed. In the case of the reference strategy, the drop in HRR after pilot 1 may be caused by pilot 2, but the dip after the local HRR peak of pilot 2 can only be initially due to exhaustion of the fuel, since no injection occurs during that time. The reduced propensity to reach the combustion noise limit for strategies A and B allowed for phase combustion to MBT. This determined an advance in the injection train and in the HRR curve for strategies A and B, with an improvement in the indicated gross efficiency of 3.7% and 3.6%, respectively, compared to the reference strategy.
Figure 58 [122] (n = 2000 rpm, BMEP = 10 bar) confirms that the combustion noise reduction is achieved by digital rate shaping because the small packets of injected fuel under very short dwell times (in the graph, hydraulic dwell time values are reported, which are smaller than the corresponding electrical dwell times) reduce the oscillations or irregularities in in-cylinder pressure and HRR vs. crank angle curves. In particular, it is fundamental to select a small DT between the latest pilot and main to smoothly connect pilot and main combustions. However, a short DT between pilot and main injections makes fuel and air mixing more challenging for the main injection, and as previously mentioned, a faster needle dynamic response is necessary to achieve both the noise and emission requirements. In general, hydraulic dwell times are higher than 25–50 μs in production engines to avoid HC and smoke emissions due to fuel dropping from the nozzle, especially after long aging. In fact, it is important to finish an injection event within safety margins that take into account injector-to-injector dispersion tolerances before the next injection has started. In the future diesel engine production, the limit of 25 μs could be lowered to zero hydraulic DT by CR injectors equipped with devices for needle lift control (cf. Bosch NCS and Delphi Switch technologies in what follows).
Figure 58.
HRR control by means of short-dwell-time multiple injections [122].
Figure 59, Figure 60, Figure 61 and Figure 62 [66] report the results measured on a passenger car diesel engine for BMEP = 8 bar and n = 2500 rpm. The soot and NOx engine-out emissions, the brake-specific fuel consumption and the combustion noise have been reported as a function of DT between the pilot and main injections for different values of ETpil (the other variables of the engine calibration have been kept constant during the DT sweeps, except for ETmain, which is varied to maintain the load). Only one pilot shot has been selected with the aim of analyzing the digital rate shaping behavior on a simple case. It can be inferred that minimum combustion noise and NOx engine-out emissions occur in the 120 μs ≤ DT ≤ 140 μs range, where digital rate shaping occurs. The research investigation had already hypothesized that the cause for the significant reduction in CN within the 120 μs ≤ DT ≤ 140 μs range occurred because a part of the energy released by pilot combustion was employed to evaporate the main injected fuel, and the explanation was in line with that illustrated in [57].
Figure 59.
Soot versus DT at different ETpil (BMEP = 8 bar, n = 2500 rpm) [66].
Figure 60.
NOx versus DT at different ETpil (BMEP = 8 bar, n = 2500 rpm) [66].
Figure 61.
bsfc versus DT at different ETpil (BMEP = 8 bar, n = 2500 rpm) [66].
Figure 62.
CN versus DT at different ETpil (BMEP = 8 bar, n = 2500 rpm) [66].
This phenomenon also explains the local minimum in the NOx engine-out emissions that occurs within the 120 μs ≤ DT ≤ 140 μs range because the combustion mixture temperature is contained.
The suppression mechanism that is due to the evaporation of the main injected fuel does not seem to be significant for DTs around 200 µs because the occurrence of the main injection is almost delayed with respect to the pilot heat release event and the illustrated mechanism is not active. When DT ≤ 110 μs, the main injection probably starts before the pilot combustion has developed into a significant extent, and the evaporation of the initial main injected fuel cannot slow down the maximum development of the pilot combustion. This could be responsible for the increase in CN that is observed in Figure 62 at the smallest DT values. The soot emissions in Figure 59 have a peak in the 120 μs ≤ DT ≤ 140 μs range, probably due to the interaction between the liquid jet fuel of the main injection on the flames of pilot combustion, that is, the same mechanism that causes the reduction in CN and NOx. The bsfc increases for the digital rate shaping regime in Figure 61 because the reduced maximum temperature and the generated over-rich mixture zones, which give rise to soot and HC emissions, reduce the combustion efficiency. Unlike the tests in [182], in the present case, the penalty in bsfc has not been compensated by any advance in the injection train timing, which could be implemented to exploit the achieved CN reduction (SOImain is constant for the DT sweeps in Figure 59, Figure 60, Figure 61 and Figure 62). In summary, heat release combustion control by means of short-interval multiple injections is efficient for achieving low emissions without increasing combustion noise. NOx can be minimized by an adequate EGR rate, while the particulate emissions can be controlled through a sufficient injection pressure, but the latter measure has a negative effect on CN. Figure 63 [185] refers to a medium-load and -speed condition for a Euro 6d passenger car diesel engine and shows that the strict fuel consumption targets exclude any deviation from the thermodynamically optimal position of the MFB 50. With the help of multiple injections with short dwell times (about 250 μs of hydraulic dwell times with four shots for DRS I) and, above all, with digital rate shaping (in Figure 63, the hydraulic dwell times for DRS II can be up to 150 μs), the noise level is pushed below the target level (88 dB), which was based on a delayed timing (MFB50 at 14 CAD aTDC) that deteriorates the fuel economy. At the highest loads, the DRS strategies that reduce combustion noise can be coupled to a rail pressure increase up to 2000 bar. The application of a higher rail pressure than that in the calibration of Figure 63 would give further reductions in the soot emissions and would worsen noise, but this could be a feasible option since there is a margin with respect to the target level.
Figure 63.
Optimization of fuel consumption by means of digital rate shaping (DRS) [185].
As far as continuous rate shaping strategies, they represent the response of the solenoid technology to the boot injection of direct-acting piezoelectric injectors. Although it could appear that the boot injection can guarantee a higher flexibility and accuracy than the injection fusion, due to the degrees of freedom offered by the controllable THLD and TCHA parameters, Figure 59, Figure 60, Figure 61 and Figure 62 show that continuous mM rate shaping (cf. the DT < 120 μs zone) can give benefits on soot and bsfc. Furthermore, the engine data reported for a medium-load and -speed condition (n = 2000 rpm, BMEP = 5 bar) in Figure 64 and Figure 65 [186], compare the NOx and CN of a pmM continuous rate shaping strategy with those pertaining to a boot injection strategy implemented with DAP injectors under different TCHA and THLD values. These tests confirm the doubts of the effectiveness of the boot injection (as explained in Section 2.2.1, the problem is related to the loss of control in the zone with voltages below the critical value) as well as the potential of the continuous rate shaping strategies. Other results reported in [186] also prove that double-pilot injection strategies with one pilot fused with the main injection can give better emission results than triple injections without injection fusion.
Figure 64.
NOx engine-out emissions as functions of THLD and TCHA [186].
Figure 65.
CN as functions of THLD and TCHA [186].
The weak point of rate shaping strategies consists of the great cycle-to-cycle-variation in the performance that occurs during engine steady-state working conditions. In [181], COVimep at medium loads and speeds is greater than 5% in the 120–140 μs DT range for a pM injection but remains within 2% in the other DT zones, including the zone well into the continuous rate shaping regime (DT ≤ 100 μs). The cause of the high COVimep at DT values close to IFT has been ascribed to an “instability” of the injected mass in this DT zone [187]. The fuel mass globally injected in a pilot–main injection for fixed values of ETpil, ETmain and nominal rail pressure monotonically increases as DT is reduced below 400 μs. This apparently anomalous augment in the injected mass, compared to the target value, is basically caused by the hydraulic interference that the pilot injection exerts on the main shot [188]. Such an interfering action is not only actuated indirectly, through the pressure waves (these are also the cause of the total injected mass oscillations around the target for medium and high dwell times), but above all, directly, through the effects that the internal hydraulic and mechanical transients of the injector, which are induced by the pilot shot, have on the main shot (cf. Figure 18) [30]; the direct interference between the closely coupled injection shots culminates with injection fusion for DT ≤ IFT. In particular, when rate shaping is implemented with DT values close to IFT, the cycle-to-cycle variations in the needle-lift time history can have a remarkable effect on the injected mass because the two shots can be fused in some cycles and are distinct in other cycles: this causes the high COVimep.
Instead, well within the injection fusion zone (DT < 100 μs), the globally injected mass versus dwell time curve reaches a plateau, and this improves the stability of the injected mass at similar values to those for DT > 500 μs [67].
In general, when multiple injections with short DTs are applied, an important requirement of the injector in addition to the prompt dynamic response is accurate control of the small injected quantities under short DTs. Otherwise, the injected mass errors accumulate, due to the increased number of injections. Since the Euro 5 phase, some injection apparatus suppliers have manufactured advanced injectors that feature additional devices to achieve enhanced accuracy of the injected mass even in the short DT range. The i-ART injector, designed by DENSO [189], consists of the application of a piezoelectric pressure sensor to the pilot stage of the injector. By acquiring a pressure trace within the injector, typically in the control chamber, a series of key instants, including the start of injection, the instant of the maximum injection rate and the end of injection, can be identified for each injection event. The changes in the pressure during the injection are used to detect the injection rate by means of model-based functions, and the injected mass is finally obtained [190]. When there is a difference with respect to the target value, corrections in ET and timing of the injection are applied to the next injection instruction. Bosch developed the NCS (Needle Closing Sensor) injector, which has the same objectives as the i-ART system. The NCS injector is equipped with a force transducer that senses the force, due to the pressure, on a fixed surface that faces the control chamber. The force time history allows the noteworthy instants pertaining to the needle upstroke and downstroke to be detected: a model is then applied to infer the injected fuel mass from the needle-lift schematized trace [191]. Finally, Delphi has recently proposed the “Switch” technology [192]. The needle is included in an electric circuit: when the needle reaches the upper stroke-end (the needle is not ballistic) or its nozzle seat, this circuit closes in two distinct ways. By monitoring the voltage, it is possible to identify the instants at which the needle touches either its stroke-end or its nozzle seat at the end of the downstroke. The fuel-injected quantity is then calculated by means of a needle-lift schematized model.
All the abovementioned strategies focus on complex transfer functions between the injector needle lift or the control chamber pressure, and the injected flow rate time histories. This makes it difficult to achieve accurate control of the injected mass at the different engine working conditions, and the same concept of the Laplace transfer function is questionable since the injector is not a linear system with constant coefficients. The previously mentioned technologies can be used to achieve a compensative strategy of the injected mass, rather than a real closed-loop control of the injected mass. Compensation, based on a semi-empirical correlation between the injected flow rate and either the needle lift or the pressure in the control chamber, can only improve the accuracy of the injected mass at the engine working conditions for which this correlation fits, while in other engine points, the injection system performance can become worse [193]. On the other hand, with real closed-loop control that is founded on a clear physical principle, the accuracy of the injected mass would be effective over the entire engine operation range. Research is ongoing in this field. An original closed-loop control strategy of injected mass, based on a hydraulic correlation between the injected mass flow rate and that entering the injector, which can be monitored by means of pressure sensors and is physically connected to the injection rate through continuity law, has been developed in [193], but this strategy is only very accurate for direct-acting injectors without a third fuel port at the pilot stage.
2.5.5. New Combustion Noise Mechanism in Multiple Injections
The combustion noise is associated with the pressure forces generated in the cylinders [194,195]. The start of combustion causes an abrupt increase in the in-cylinder pressure, which induces oscillations in the gas inside the cylinder. These oscillations propagate to the cylinder block, which radiates combustion noise. Combustion is the primary source of noise in most naturally aspirated DI diesel engines, whereas, in turbocharged diesel engines, combustion noise is less dominant at high-speed and high-load steady-state conditions, but can become dominant at idle, under light loads or under acceleration [196].
When a single injection is considered, combustion noise generally correlates well with the maximum in-cylinder pressure time derivative. In diesel engines, such a maximum usually occurs during the premixed phase of combustion. The heat release rate peak and maximum in-cylinder pressure time derivative are highly correlated. Plotting combustion noise against maximum heat release can give a linear trend line [197,198,199]. A possible improvement in the combustion noise prediction can be obtained, especially for modern CR engines, if the angle at which the HRR peak occurs (this is related to the angle at which in-cylinder pressure reaches its maximum value) is also taken into account. Another important contribution to combustion noise is due to piston slap: the larger the slap angle advance (the larger such an advance, the higher the velocity of the piston at the slap) and the higher the in-cylinder pressure value at the piston slap, the larger the production of combustion noise, independently of the HRR maximum value. Furthermore, the new engine setups are characterized by lighter pistons and reduced lubrication oil presence in the piston-to-cylinder gap than the older ones and therefore the vibrations induced by piston slap are increased.
Although the maximum in-cylinder pressure rate (or the HRR peak) is generally the primary factor influencing combustion noise, cases exist where the correlation between combustion noise and maximum in-cylinder pressure rate, and thus the peak heat release rate, is poor, even including the HRR peak angle. This typically occurs in the presence of multiple injections [200]. When a pilot injection is considered in the injection schedule, combustion noise is generally determined by both pilot and main combustion events. The pilot injection contributes directly to noise, and a measure of this direct contribution can be synthetically obtained considering its heat release rate peak value: the higher this peak, the higher the direct contribution of the pilot combustion to CN. However, since the pilot injection can significantly reduce the HRR peak of the main combustion, it decreases the contribution to noise from the main combustion event. This in an indirect effect of the pilot injection on the main combustion event and is generally of fundamental importance, and the possible benefit on CN depends on the balance between the two described effects. Therefore, combustion noise can deteriorate, although the maximum of HRR along the cycle, which typically pertains to the main combustion, has been reduced, due to the direct contribution of the pilot combustion to CN.
In general, for multiple injections, the combustion noise of the diesel engine, working under steady-state conditions, correlates well with the heat release peaks pertaining to the multiple combustion events, as well as with the angles at which these peaks occur [69]. In particular, the significance of the angles, at which the HRR peaks occur, in the prediction of the combustion noise, is evidence that the interaction between the different combustion events is a fundamental aspect to be taken into account. In [201], despite the (dP/dθ) peak values being almost the same when multiple injections with fixed number of shots are performed, a new phenomenon that is related to the dwell time and that affects CN is evidenced: although the examined conditions refer to a main–after injection, the conclusions are general and can also be applied to other multiple injection schedules. Mutual interference occurs between the two in-cylinder pressure wave trains pertaining to the two heat release peaks produced by the combustion of the first injected fuel and the second injected fuel. In the Fourier spectrum of the in-cylinder pressure (pcyl) reported in Figure 66a [201], the valley peak frequency of 1.05 kHz in the case of 7.2 CAD aTDC timing for the after shot was converted into a period of 0.95 ms, this being approximately twice 0.47 ms, which is the interval obtained by converting the peak interval angle of 2.5 CAD in Figure 66b [201]. This relationship reveals that noise reduction results from disruptive interference between the in-cylinder pressure waves. The frequency component (1.05 kHz) corresponding to the first dP/dθ peak, caused by the combustion of the first injected fuel (main injection), interferes with the Fourier component with the same number (1.05 kHz) and caused by the second dP/dθ peak resulting from combustion of the second injected fuel (after injection): both frequencies are the same, but their phases are shifted by 1/2 of the period, i.e., 0.95 ms, and combustion noise decreases. In the case of SOIafter = 10 CAD aTDC, the interval between the two dP/dθ peaks is 4.5 CAD (cf. Figure 66b), which corresponds to 0.83 ms and to roughly 1.2 kHz in Figure 66a. The frequency component increases by the overlapping of these peaks, due to constructive interference. Instead, a reduction in the frequency component amplitude is observed at a frequency around 0.6 kHz, for which the corresponding period, namely 1.66 ms, is twice the time interval between the two dP/dθ peaks. Therefore, CN cannot only be reduced by decreasing (dP/dθ)max, but also by setting appropriate dwell times.
Figure 66.
Combustion noise analysis with multiple injection: (a) combustion noise spectra of pcyl at 900 rpm; (b) comparison of the dp/dθ histories at 900 rpm [201].
Lastly, an important mechanism for CN reduction can occur in multiple injections when dwell times below 150 μs are implemented: it is related to the dampening effect of fuel evaporation on ongoing combustion and has already been discussed in Section 2.5.4 in the context of discrete rate shaping strategies.
In addition to the value of overall combustion noise, spectral analyses, which give the distribution of combustion noise with respect to the frequency, are also important to optimize engine acoustic performance. Figure 67a,b [58] shows the combustion noise Fourier spectra, evaluated at n = 1500 rpm and BMEP = 2 bar, for double pilot–main (pM) and triple pilot–pilot–main (ppM) injection strategies, respectively: in each graph, the solid and hatched bars refer to two different EGR mass fractions (XEGR). It is largely recommended that the Fourier spectra of combustion noise not have significant components beyond 6 kHz; in fact, in-cylinder pressure harmonics with such frequencies would lead to resonances and critical vibrations of all the powertrain because the natural frequency of the piston and crank-connecting rod subsystem is usually around 6 kHz. A frequency range (500–2000 Hz) in which the spectral combustion noise takes on the highest values exists in each Fourier spectrum. The presence of a pronounced peak zone, which occurs within a narrow frequency band, is more evident for the pM diagram at the lower XEGR value, although the pronounced peak zone tends to disappear as XEGR is increased. The presence of a pronounced peak zone in the diagrams of Figure 67a,b indicates that there is an overly dominant frequency range in the signal, which gives tonality to the noise. In other words, the higher the peak intensity and the smaller the extension of the peak zone, the more recognizable the combustion noise as a specific noise. The sensitivity of CN to EGR variations is limited for the ppM strategy, while the tonality decreases for the pM pattern as the EGR passes from lower to higher levels. Since the human ear is sensitive to changes in noise, the triple injection contributes to a less irritating perception of combustion noise when EGR is modified. In general, the engine calibration should be optimized to avoid significant changes in tonality as the working point is modified, and multiple injections can be useful to reach this target.
Figure 67.
One-third frequency bands of combustion noise for multiple injections (BMEP = 2 bar, n = 1500 rpm): (a) pM strategy; (b) ppM strategy [58].
Finally, it is fundamental to differentiate between all the previously discussed steady-state analyses (including the spectral ones) and the transient conditions for the analysis of combustion noise. Transient combustion noise can exceed the steady-state full-load noise by up to 6 dBA [75]. Such a difference is primarily influenced by variations in the ignition delay. If the vehicle accelerates after a period of idling or low-load operation, the noise during acceleration will be higher, due to a longer ignition delay and resulting in higher in-cylinder pressure gradients than would be encountered at these steady-state conditions. The longer ignition delay is caused by many factors, including lower intaked air temperature within the cylinder, lower boost pressure due to turbocharger lag, lower combustion chamber wall temperature and transitory injection timing. Thus, transient noise depends on the engine operating history immediately prior to the transient event [196].
2.5.6. Comparison Between Statistically Optimized Multiple Injections
The previous sections have shown that when injections with more than two shots are applied, the final results on emissions and performance depend on the engine working condition and on the engine technology; in particular, the adopted complete engine calibration can significantly influence the benefits of the multiple injection schedules. It is therefore difficult to generally identify which are the best injection strategies for the different engine working zones because too many parameters can influence the comparisons. Not only are the energizing times and the injection timings of the various injections fundamental in determining the effectiveness of an injection strategy in the abatement of emissions, noise and fuel losses, but the selection of rail pressures, EGR rates, swirl ratios and boost pressures can also play a crucial role. Furthermore, the complicated interactions among the various parameters challenge the capability of hardware and optimization numerical tools. Finally, a crucial point is the coupling of the combustion system with the aftertreatment, and therefore, the engine calibration objectives should be defined based on the aftertreatment devices, and the optimal criteria can vary. For example, as already mentioned, in the Euro 5 phase, some car makers did not apply any aftertreatment for NOx reduction, and the calibrations were therefore oriented to minimize NOx engine-out emissions. In general, the higher the number of the shots in the injection pattern, the higher the influence of the complete engine calibration on the injection strategy performance and the exponentially longer the time needed to optimize all the parameters [64,76]. In [202], the optimization of the multiple injection strategies was performed with a multidimensional numerical model of the engine, based on a merit function which took into account targets on emissions, bsfc and in-cylinder pressure limit. The trend was that the merit function had higher values with a greater number of injection pulses (from 2 to 5). In other words, the increase in the number of shots offers more degrees of freedom for a more satisfactory balance between different needs. It is interesting to note that the results of the determined optimizations are often not in line with the traditional approach in diesel engines: most of the fuel is introduced early (before 20 CA BTDC) or late (after TDC), in line with early or late low-temperature combustions. This is correct when the only goal is the simultaneous reduction in NOx and soot engine-out emissions under low- and medium-load conditions. In general, on one hand, a large amount of early injected fuel generates a significantly higher-temperature environment for the following main combustion event, which helps to produce cleaner combustion; on the other hand, late strategies can support the complex trade-off between emissions and combustion noise. Instead, if the goal is high efficiency in all the RDE conditions, the injections should be phased as close as possible to TDC.
Model-based calibration using a statistical design of experiment (DoE) [203] can reduce time and costs involved in determining the best solution to minimize emissions, CN and fuel consumption [204]. DoE is an efficient method for planning experiments in order to optimize the engine calibration for a given injection strategy [58]. As a first step, one should select the parameters (such as rail pressure, dwell times, EGR and swirl ratio) that are considered the most relevant input variables for the procedure (the injection schedule is preliminarily fixed in terms of number of shots). As a second step, some engine key points, characterized in terms of BMEP and speed and regarded as representatives of the engine application to a vehicle over a homologation emission cycle, should be identified. As a third step, the ranges of each input parameter should be decided at different key points. The definite variation lists can then be obtained using a specific model-based calibration toolbox, for example, following a V-optimal type design of experiments, which minimizes the prediction error variance, and a full factorial series, as the reference set. As a fourth step, the tests of the variation list should be carried out at the engine cell. Based on the obtained experimental results, it is possible to build a polynomial model of the output variables (usually, these are the emissions, the combustion noise and the bsfc) as functions of the input variables and of their interactions. Different targets can be introduced for the output variables, depending on pollutant criteria, on CO2 and bsfc constraints, on CN, and on the aftertreatment that is installed on the engine and on aspects related to fun to-drive. The targets are used to select the best set of values for the input variables at each key point, that is, the optimized engine calibration. A simplified DoE procedure has been performed in [64], varying load, speed and SOImain for a quadruple early pilot–pilot–main–after injection with a rigid pattern (the ETs and DTs of the pilot and after injections were fixed). Although the optimization of the ppMa injection strategy gave better results in terms of emissions, combustion noise and full load torque than those of a reference state-of-the-art pMa schedule at different engine speed and torque conditions, it is concluded, in line with what was previously illustrated, that few other important injection parameters like dwell times, injected masses in the different shots and EGR should be included in the optimization in order to further exploit the potential of the multiple injections.
A comprehensive DoE, which involved all the injection parameters together with rail pressure, swirl factor, boost pressure and EGR fraction, has been performed in [205]. DoE-optimized triple (ppM and pMa) and quadruple (ppMa) injections have been compared with a pM strategy, which represented the state of the art for the double injection. Figure 68, Figure 69, Figure 70 and Figure 71 report the experimental results at BMEP = 5 bar and n = 1500 rpm for the distinct calibrations. The countered symbols refer to the baseline points of the DoE-optimized calibrations: EGR sweeps were then performed in the neighborhood of each baseline point. The ranges selected for the dwell times excluded the presence of an early pilot injection, and this constraint could be eliminated for testing more possibilities, although the number of experimental tests would have been increased.
Figure 68.
bsfc–NOx trade-off [205].
Figure 69.
Soot–NOx trade-off [205].
Figure 70.
CN–NOx curve [205].
Figure 71.
HRR versus distribution [205].
Triple injections (either ppM or pMa) do not improve the bsfc–NOx (Figure 68) and soot–NOx (Figure 69) EGR trade-offs, compared to the pM calibration. However, one goal of this investigation performed on a Euro 5 engine consisted in minimizing NOx. Under this perspective, the performance of the triple injections is better than that of the pM injection. The ppMa calibration allows the bsfc–NOx and the CN–NOX EGR curves in Figure 68 and Figure 70 to be improved compared to the triple injection. A slight benefit can also be observed in the management of the soot–NOx trade-off (cf. Figure 69) due to a better distribution of the equivalence ratio within the cylinder.
Figure 71 shows that pilot and main combustion events are clearly distinct for both the pM and the pMa baseline calibration points, and there is no soft transition from the pilot to the main combustion. The ppMa optimization features a delayed injection pattern (combustion is conventional in all cases because the NOx–soot EGR trade-off is always present in Figure 69). One reason for the reduction in CN with the ppMa should be due to the delayed MFB50, according to a classical strategy [206]. However, the less steep pattern of the HRR curve (cf. Figure 71) for the ppMa calibration is the main reason for the lower combustion noise level in Figure 70 [205]. This HRR pattern is induced by the reduced entity of the premixed main combustion as a consequence of the lowest mean oxygen concentration ([O2] = 14.5%). The after injection of the ppMa strategy seems to have an indirect impact on the management of combustion noise. The addition of the after shot to an injection train can produce relevant changes in the optimized DoE calibration. In particular, the presence of the after injection can modify certain pilot injection parameters, such as pilot injection quantities and timings. These parameters can influence the interaction between the pilot mixture fields and the main injection, that is, the way the main injection interferes with the ignition process of the pilot mixtures and influences their combustion process, and thus can significantly affect the combustion noise. In general, the DoE approach is a mathematical procedure and the result on each emission species or index of performance depends on the whole injection pattern that has been selected. This represents a new approach with respect to the classical one that tries to separate the effects induced by each injection shot on the emissions and on the various indexes of performance. From this point of view, the higher the number of the shots, the higher the degrees of freedom of the system needed to reach the designed targets. A point to understand is the minimum number of shots needed to satisfy the targets. A strong physical background is required to select the right ranges for each parameter, for selecting the most suitable strategies to be optimized and for interpreting the final results and guiding further improvement.
In [124], the calibration at each engine key point has been optimized with a huge DoE campaign which also included the number of injection shots (up to 10) in addition to the parameters already considered in [205]. Figure 72a [124] reports the comparison between conventional calibrations for the Euro 6c phase (this was the reference) and innovative ones that have been optimized with the DoE at different part-load conditions. As can be inferred, the optimized calibrations also include digital rate shaping strategies (cf. the 2000 × 2 case). The corresponding emission and engine performance spider plots are reported in Figure 72b [207]: the combustion noise is indicated in dBa, whereas the emissions and isfc of the DoE-optimized calibrations are expressed as percentages of the corresponding values pertaining to the reference Euro 6c calibrations. At low loads, the isfc improvement in the innovative pattern is interesting (−11% at 2000 × 2 and −4% at 1500 × 5) and does not take into account the friction mean effective reduction that is due to low peak firing pressure designs. Great benefits are carried out in terms of emissions, with reductions in PM up to 50%: CO diminishes at all engine points and HC emissions improve at the highest loads, although they deteriorate at the lowest loads.
Figure 72.
Comparison between conventional and advanced calibrations at part loads: (a) schematic of the injection patterns; (b) spider plots on emissions and performance at the tested points [124].
2.5.7. Evolution of Multiple-Injection Patterns and Current Implementations
A summary of the evolution of multiple injection patterns with conventional dwell times in CR systems has been reported in Figure 73 [185], where the dates of either type approval or registration of new vehicles have also been reported for each European emission standard for passenger cars. The pilot injections were introduced primarily to control NOx and combustion noise starting from the Euro 2 phase. The after injection started to be spread in the Euro 4 phase, which introduced more stringent limits on particulate matter. Furthermore, the introduction of DPFs starting from 2000 also enabled post injections for the regeneration of these aftertreatment devices. In the past, the application of triple- or even quadruple-pilot injections was limited by the possible minimum dwell time (today, DTs up to 125 μs are applied), the minimum allowed stable pilot quantity (today, this value is below 1 mm3) and the negative impact of needle–seat throttling effects in case of slower actuation. The technological breakthrough and the diffusion of statistical procedures to optimize engine calibration (although DoEs were studied since the early 2000s they have been applied to the mass production of vehicles only from the early 2010s) enabled the implementation of more sophisticated injection strategies for the Euro 5 and 6 phases. Such strategies involved the application of patterns with more pilot injection shots, including discrete and continuous rate shaping as well as boot injection in the case of DAP injectors.
Figure 73.
Evolution of the multiple-injection schedules with conventional DT [185].
Figure 74 reports an example of the implementation of a current complete injection pattern schedule to cover all the real driving conditions. Ten different multiple-injection patterns and a maximum of ten shots per engine cycle are implemented to manage the complex trade-off between emissions, noise and performance according to what is illustrated in the previous subsections: these numbers can obviously vary depending on the car maker but are illustrative of the state-of-the-art technology. There are three typologies of calibrations: those pertaining to the warmed mode, those pertaining to the warm-up mode and those pertaining to the DPF regeneration mode. Each calibration includes a main injection. The warmed mode calibrations include pilot shots and possibly rate shaping techniques, whereas the warm-up mode calibrations are primarily characterized by the presence of multiple after injections for the thermal management of exhaust gas to reduce the time at which the light-off temperature of the aftertreatment is reached. Finally, the DPF regeneration strategies include post injections to burn the trapped PM.
Figure 74.
Current implementations of multiple-injection patterns.
3. Low-Temperature Combustion and CR Engines
3.1. Classification of the Low-Temperature Combustion Modes Based on SOI
The diffusion of CR engines, which can provide superior control on numerous degrees of freedom under the definition of the optimal combustion strategy, has allowed for the expansion of studies on low-temperature combustion (LTC) as a means of the abatement of NOx and soot emissions [208,209], minimizing the need for aftertreatment-type emission reductions. LTC is used here as a general term to indicate any combustion mode that ensures simultaneous reductions in NOx and soot engine-out emissions [210]. LTC strategies, based on diesel and diesel-like fuels, can be subdivided into two main classes [211,212] according to the injection timing, which is a fully flexible and controllable calibration parameter for CR engines. One class of LTC strategies, featuring “early mixture formation”, include, for example, Homogeneous Charge Compression Ignition (HCCI) [213], Premixed Compression Ignition (PCI) [214], premixed lean diesel combustion (PREDIC) and early Premixed Charge Compression Ignition (PCCI) [173]. The most effective strategy belonging to this family is early PCCI: the fuel was traditionally directly injected with single injections featuring SOI values in the 40–150 CAD bTDC range [211,215] and, unlike HCCI, a significant number of zones exists where φ > 1 at the start of combustion [216]. In addition to early PCCI, another widely attempted “early mixture formation” solution is “moderately early” PCCI, in which injection timing generally occurs in the 20–40 CAD bTDC range [217] (in CDC, it is usually in the 5–20 CAD bTDC range). The boundary between early and moderately early is the crank angle at which the injector spray direction moves from the squish region into the bowl piston [218]; this crank angle depends on the coupling between the injector and combustion chamber, although it is usually around 35–40 CAD bTDC. Early mixture formation LTC strategies attempt to control the fuel–air equivalence ratio and the EGR rate to largely reduce diffusive combustion, compared to CDC, and thus to avoid high-temperature zones inside the combustion chamber.
In another class of LTC strategies, featuring a “late” mixture formation, the fuel is mixed with the air charge after compression, using a relatively late start of injection (at TDC or somewhat after TDC of the compression stroke), and applying, as in the case of an early LTC, a low engine geometrical compression ratio and a large amount of cooled EGR. Popular LTC strategies belonging to this group include Nissan’s modulated kinetics (MK) combustion [209,219], late PCCI combustion, Highly Premixed Late Injection (HPLI) [220] and Toyota’s smokeless rich combustion. However, very late injection timings, very large EGR rates and very low engine compression ratios should be avoided to keep the bsfc of late LTC at acceptable levels [221]. In order to ensure that all of the fuel has enough time to premix, the ignition delay should exceed the injection duration, that is, the ignition dwell should be positive. On one hand, high injection pressures are adopted to shorten the injection duration; on the other hand, late fuel injection, due to the falling in-cylinder temperature and density after TDC, cooled EGR and low compression ratio contribute to increased ignition delay. It is also fundamental to obtain rapid mixing processes by means of high turbulence, due to reduced ignition delay, compared to early mixture formation LTC. Late LTC approaches have difficulty in producing a diluted cylinder charge with high homogeneity prior to the onset of autoignition and, hence, a significant fraction of the heat is released under a mixing-controlled mode [222].
Mixing-controlled LTC modes, such as EPA’s Clean Diesel Combustion, which belongs to the second class of LTC strategies since the injection timing is phased close to TDC, or smokeless rich combustion (the SOI can vary up to 12 CAD aTDC), do not have a premixed phase of combustion. Since the conventional diesel combustion process is often referred to as mixing-controlled combustion, mixing controlled LTC strategies can be considered a radicalization of conventional diesel combustion towards the pure diffusive concept. In short, while the LTC processes of the first class are dominated by the premixed phase of combustion, those belonging to the second class can feature either a predominant premixing phase (late PCCI) or the absence of any premixed phase (mixing controlled LTC).
The extension of the operating range to higher engine loads remains a general big challenge to be resolved for LTC: high load is often limited by an excessive in-cylinder pressure rise and by engine knock.
3.2. Effect of Some Relevant Single-Injection Parameters on LTC
3.2.1. Effect of Injection Pressure
Figure 75 [223] compares the numerical liquid spray penetration time histories at different SOI values, which are typical of either early or moderately early PCCI, for two distinct injection pressure levels (prail = 900 bar and prail = 1500 bar). First, injected fuel velocity increases with prail and helps to propel the fuel further into the cylinder bowl; second, high injection pressure promotes atomization and vaporization. The higher velocity of the fuel at the nozzle hole exit, induced by the larger prail value, can be partially balanced or overbalanced by the reduced lifetime of the liquid droplet since the evaporation time diminishes by increasing pinj. In general, these two effects of prail have similar importance, and, as a result, the liquid spray penetration is generally affected slightly by prail. In the reported graph, the liquid penetration slightly increases with prail, suggesting that the former effect prevails over the second, but in other cases [224], the liquid spray penetration can also be larger under lower prail: in these cases, the faster completion of spray atomization at an earlier down-stream location for the higher prail is due to a stronger convection effect between spray and ambient gas.
Figure 75.
Liquid spray penetration length (simulation results) [223].
Furthermore, with an increase in injection pressure, the cone angle of liquid-phase spray maintains almost the same value: in general, there is a trivial augmentation, since a higher injection pressure leads to better atomization.
Different from the liquid-phase spray penetration shown in Figure 75, the experimental vapor phase penetration length (the vapor length is measured from the nozzle hole exit and includes the liquid-phase spray) in Figure 76 [224], photographed in a constant volume chamber filled with gaseous content at a typical temperature for early PCCI, increases with the injection pressure because of the higher initial speed of the fuel. Unlike the cone angle of the liquid jet, the cone angle of the vapor-phase spray also increases appreciably with the injection pressure: in fact, a higher prail provides a larger shear aero dynamical force proportional to the square of the spray velocity, which induces stronger interaction between spray and ambient gas. Such a strong interaction can be represented by an enlarged cone angle and by the presence of small-scale vortices in the vapor-phase images.
Figure 76.
Vapor penetration length (experimental results) [224].
Figure 77 reports the typical effect of the injection pressure on the single-stage ignition delay for a CDC (IMEP = 3 bar and n = 1400 rpm, EGR = 0). When the environmental temperature is significantly greater than 820 K, as usually occurs in CDC, a monotonic decrease in the ignition delay with respect to prail is obtained (cf. the black curve). The increased injection pressure significantly decreases the physical ignition delay since it speeds up the vaporization process and reduces the air–fuel premixing time: in particular, the effect of the improved vaporization is fundamental when prail increases from minimum values up to prail = 600 bar [225].
Figure 77.
Ignition delay as a function of prail for single-stage ignition (simulation results) [223].
When the in-cylinder temperature is low, that is, close to the ignition temperature of fuel spray (this can vary from 450 °C to 550 °C depending on the density of the charge in the engine [226]), the pattern of ignition delay with respect to the injection pressure can present a minimum point with respect to the injection pressure (this is usually included between 800 bar and 1200 bar [227]). This is shown by some of the experimental data reported in Figure 78 [224], which refer to a two-stage ignition process for diesel oil (only fresh air is present in the environment). At relatively low prail, the atomization effect is dominant so that the ignition delay decreases with the injection pressure, but, as prail increases, the convective heat transfer from the spray to the environment becomes more intense and can remove a large amount of the heat generated by the early stage of chemical reactions, thus prolonging the ignition delay. As the environment temperature increases, the difference between the fuel ignition and environment temperatures decreases, which dramatically diminishes the potential of heat convection, and the atomization effect largely prevails. In particular, the ignition delay in Figure 78 is very sensitive to the low environment temperature (around 715 K) since a slight increase in this temperature causes its monotonic diminution.
Figure 78.
Ignition delay as a function of prail for double-stage ignition (experimental results) [224].
In LTC engines, since double stage ignition is common, the in-cylinder temperatures during cool flame chemistry are low, and this can give curves of ignition delay with respect to prail that are similar to those in Figure 78. Furthermore, the presence of large EGR rates in LTC engines can make the air–fuel mixing process particularly critical, and high injection pressure can accelerate the air entrainment within the fuel spray. As a final result, the dependence of the ignition delay with respect to the injection pressure is generally more complex for LTC than for CDC (cf. also the green and black curves in Figure 77). The trend of ID with respect to prail can be monotonically decreasing, but can also show either a minimum or an inflection point as well as complete oscillation with both local minimum and maximum points, depending on the engine operating condition.
Figure 79 [228] shows the in-cylinder pressure history and rate of heat release for moderately early PCCI and diesel conventional SOI timings in the case of a single-cylinder diesel engine with a low compression ratio equal to ε = 13 (EGR is null and a part-load condition is considered): two rail pressures are considered, namely 800 bar and 1400 bar. The higher injection pressure (prail = 1400 bar) generally leads to a higher in-cylinder pressure; an analysis of the in-cylinder pressure has revealed that the peak pressure rise rate generally increases by about 30% when passing from 60 MPa to 120 MPa [229]. In fact, a higher injection pressure causes a higher momentum flux of the spray, which improves the mixing of the fuel with the cylinder charge: a higher proportion of premixed fuel autoignites at the start of combustion, resulting in higher rates of pressure increase and combustion noise [229]. As a consequence, the risk of knock generally increase in early PCCI engines when the injection pressure increases [230].
Figure 79.
In-cylinder pressure history and rate of heat release, EGR = 0, λ = 4.5 [228].
The higher injection pressure in Figure 79 induces higher heat release peaks and shorter combustion durations for conventional diesel SOI timings (10–20 CAD bTDC), whereas the opposite occurs for injection timings of 25 and 30 CAD bTDC. Furthermore, for SOI timings in the 10–20 CAD bTDC range, a single heat release peak is observed, which is followed by a diffusive tail, whereas, as earlier SOI values are adopted (within the moderately early PCCI range), a two-stage heat release pattern is observed, which contributes to enlarge combustion duration, and the premixed phase tends to dominate the combustion process. The latter phenomenon is more remarkable at prail = 1400 bar than at prail = 800 bar, confirming that a higher rail pressure gives a more intense premixed combustion. Figure 80 [228] shows the effect of injection pressure on indicated thermal efficiency, plotting a mean effective pressure (IMEP) and a coefficient of variance of the IMEP (COVIMEP) for moderately early PCCI and CDC without EGR (λ = 4.5). Advancement of the injection timing beyond 25 CAD bTDC and up to 40 CAD bTDC led to a simultaneous reduction in the indicated thermal efficiency and IMEP, thus confirming the outcomes of the torque in [225]. There is an optimal range for SOI timings in Figure 80 for which a higher indicated thermal efficiency and IMEP were achieved: this is achieved between 15 and 20 CAD bTDC and is thought to be related to the spray targeting direction and fuel impingement point on the piston bowl wall [231]. The values of IMEP and ηi at prail = 140 MPa are superior to those at prail = 80 MPa (the applied injectors were the same). Indeed, the larger injection pressure leads to shorter injection durations and higher fuel exit velocities, leading to better atomization and improved air–fuel premixing. The best results with high injection pressures are generally reached when the latter is coupled with a reduction in the injection hole diameter. It has been demonstrated that the required mixing period, defined as the time necessary for a mixture of equivalence ratios of φ ≈ 2.0 or greater to disappear, decreases by approximately 25–50% when the hole diameter is reduced to 25–40% of the conventional nozzle hole diameter for injection pressures ranging from 40 MPa to 140 MPa [232].
Figure 80.
Effect of prail on efficiency, IMEP and COVIMEP [228].
Figure 81 [228] shows the effect of injection pressure on specific emissions in the absence of EGR and at λ = 4.5. For CDC injection timings, NOx emissions gradually increase as SOI is advanced, but they start to decrease in the moderately early PCCI combustion regime; an injection with SOI at 30 CAD bTDC and earlier leads to very low NOx emissions even without EGR. The NOx emissions progressively decrease without a simultaneous increase in the soot emissions up to 30 CAD bTDC: this confirms that the combustion has entered the LTC regime. Although the smoke emissions for conventional diesel injection timings and EGR = 0 are lower than those referring to the PCCI regime, the NOx are much higher in the former case. In general, PCCI combustion is not meant to completely eliminate smoke emissions, but rather reduce them to acceptable levels by simultaneously reducing NOx [233,234]. In fact, injection timings equal to 30 CAD bTDC and earlier give rise to higher smoke, CO and HC emissions because of fuel impingement and hence splashing to the crevices, which become a rich-fuel zone that burns under low in-cylinder temperatures. The best injection timings are between 15 CAD bTDC and 25 CAD bTDC because the spray strikes the piston bowl wall and the fuel–air is premixed well without creating fuel-rich pockets; this is in line with the results obtained in [235].
Figure 81.
Effect of prail on emissions [228].
As far as the effect of the injection pressure is concerned, a larger prail gives slightly lower soot emissions (as well as lower HC emissions at 40 CAD bTDC) because atomization and air entrainment in the spray improve, reducing the penalty of impingement. The in-cylinder temperatures pertaining to higher injection pressures are generally higher than those pertaining to the lower injection pressure for CDC, and this is consistent with the higher HRR values reported in Figure 79 for the pinj = 1400 bar case. While NOx emissions [228] at pinj = 1400 bar are appreciably higher than at pinj = 800 bar for injection timings in the 2–15 CAD bTDC range, this does not occur in the 20–40 CAD bTDC range. For conventional diesel combustion, the higher injection pressure creates better atomization and vaporization, which in turn increases the premixed burned fraction and the local combustion temperatures, leading to higher NOx emissions. In the moderately early PCCI regime, the in-cylinder temperature is reduced and the premixing time is enlarged, leading to mild combustion: an increased prail intensifies air–fuel premixing with lower HRR peak values (cf. Figure 79) and reduced NOx emissions. Smoke emissions were generally slightly lower for the higher injection pressure because of the better fuel atomization and its mixing with air. The results in Figure 81 [228] are in line with those in [236], where using an early injection timing between 34 CAD and 24 CAD bTDC, NOx emissions and smoke decreased slightly as the rail pressure was increased from 700 bar to 1500 bar. These weak trends were attributed to more atomization, more turbulent mixing and higher air entrainment rates, leading to leaner and more premixed mixtures, for higher prail [230]. Even in the presence of large EGR fractions, the soot emissions reported in Figure 82 [237], where the injection timings were scheduled at 48 CAD, 35 CAD, and 22 CAD bTDC for tests led at IMEP = 5.2 bar, are generally ultra-low and confirm a general weak influence of the high injection pressure. However, the soot levels still show a distinct increase at 60 MPa, as the EGR is augmented. When prail rises at 800 bar and above, the increased injected fuel velocity leads to better atomization and a higher rate of air entrainment (leaner sprays are generated) [238], and the homogeneity of the air–fuel mixture is thus significantly improved, even in the presence of early multiple shots with large EGR quantities (EGR = 60%) [239], also because of the diminished duration of the injection period [240]. In other words, the low injection pressure may result in locally richer pockets of cylinder charge, despite the combustion being overall lean and highly diluted. There is a threshold which depends on the engine configuration and technology, beyond which a further increase in prail gives low soot benefits. In fact, the effect of better mixture homogenization, due to improved atomization and higher rates of air entrainment in the fuel spray as prail increases, can be balanced by those of fuel impingement, which results in the formation of fuel-rich zones inside the combustion chamber [222]. In fact, although, as previously explained, liquid length is scarcely affected by prail, the vapor spray penetration increases and vapor impingement is also negative for soot emissions.
Figure 82.
Effect of injection pressure on PCCI emissions [237].
The prail = 140 MPa and prail = 80 MPa cases in Figure 81 [228] had roughly the same CO and HC emissions under almost all injection timing conditions. With LTC injection timings (35–40° bTDC), CO and HC emissions increase drastically because of liquid fuel impingement on the walls. This leads to incomplete fuel vaporization and oxidation, with a significant variation in the local equivalence ratios, creating either over-rich or over-lean regions. In Figure 83 [237], which refers to the presence of a large EGR rate (the intake oxygen concentration is fixed at [O2] ≈ 11.5%) and to a fixed SOI in a moderately early PCCI regime, minimum CO and HC emissions are found at 80 and 100 MPa. A lower injection pressure results in HC and CO penalties, due to reduced homogeneity (the presence of overly rich mixture zones). On the other hand, an excessively high rail pressure coupled with the early injection and presence of large EGR fractions leads to increased chance of overmixing zones and low combustion temperatures, causing incomplete combustion and thus worsened HC and CO emissions [229].
Figure 83.
Injection pressure for minimum CO and THC penalty [237].
Furthermore, a higher injection pressure could also cause a rise in HC and CO, due to a higher risk of impinging on the cylinder walls earlier in the compression process. However, unlike Figure 81 [228], the THC emissions in Figure 83 are significantly lower than the CO emissions; therefore, impinging on the cylinder walls is not likely to be the main cause for the increased THC and CO at prail = 1200 bar.
In order to avoid wall impingement, which is a typical problem of early mixture formation LTC approaches, the maximum pulse width for every injection should be correlated to the injection pressure (in [210], ET should be lower than 320 μs at 1500 bar), and this opens up the possibility of multiple injections.
In [241], the influence of the injection pressure on the maximum early injected mass before cylinder wall wetting occurs is analyzed: the considered SOI values, i.e., 179 CAD bTDC and 95 CAD bTDC, are much earlier than those in Figure 80 and Figure 81 and are typical of HCCI and early PCCI combustion. An increase in prail leads to a slight decrease in the maximum injectable quantity before fuel liquid impingement occurs, namely Qinj max early. Indeed, an injection of a given mass takes more time at lower injection pressures, and since the in-cylinder temperature and density are increasing, the end of injection occurs in a hotter and denser environment than for shorter injections, i.e., at higher injection pressures: the variations in Qinj max early with prail are shown to be larger for SOI = 95 CAD bTDC than for SOI = 179 CAD bTDC because the variations in temperature and density of the environment with the piston motion are more significant at SOI = 95 CAD bTDC. This indirect “compression heating” effect related to prail is discussed in [242] and represents another slight influence of the injection pressure on impingement, in addition to the one related to small differences in the liquid spray penetration with respect to prail at constant environmental conditions (cf. Figure 75 [223]). The maximum liquid spray penetration seems to depend significantly only on the injected mass and not on prail for the given thermodynamic conditions. When engine emissions, due to impingement, improve with an increase in prail, the main factor responsible is better fuel atomization (cf., for example, Figure 81 [228]).
For conventional diesel combustion (EGR = 0%, SOI = 8 CAD bTDC) and late PCCI combustion (EGR = 52%, SOI at TDC), the apparent heat release profiles at different rail pressures have been reported for IMEP ≈ 3 bar and n = 1400 rpm in Figure 84 and Figure 85 [223], respectively (the engine hardware is the same, iV = 4.5l, ε = 16.5). The primary feature of CDC (cf. Figure 84) is a more intense premixed burn observed with higher rail pressure, in line with what is observed in Figure 79 [228]. Furthermore, SOC advances if prail increases in Figure 84, primarily as a result of the accelerated mixing promoted by the smaller fuel droplets. In comparison, for late PCCI combustion (cf. Figure 85), which generally exhibits significantly lower peak AHRR values and longer combustion durations, the major deviation from the prail trend found for CDC is the behavior of the peak heat release rate in the case of the lowest three pressures. In fact, the effect of injection pressure on a two-stage ignition event is more complex than in the case of the single-stage ignition of CDC because the development of a second stage of combustion depends largely on the first one: rather than a progressive shift in location and magnitude of the AHRR peak pertaining to hot combustion, the magnitude of the maximum AHRR does not change significantly until the rail pressure is above 1000 bar. Also, the location of the hot combustion AHRR peak is first delayed and then advances towards its original location. On one hand, the injection pressure can significantly impact combustion development: the smaller droplet size increases the amount of vaporized fuel and that of the ignitable mixture, leading to more vigorous and faster heat release. On the other hand, since the increased injection pressure generally diminishes the ignition delay for both the combustion strategies (in the late PCCI case, the ignition delay maintains almost the same value passing from prail = 500 bar to prail = 750 bar and then progressively decreases for larger prail values), the diminished entity of air–fuel premixing could reduce the AHRR peak. The former effect is generally predominant over the latter in Figure 84 and Figure 85; at prail = 500 bar, the relatively low local equivalence ratio at the early flame location tends to slow down the initial burning and the NTC zone virtually disappears, due to the postponed end of the cool flames, which occurs at higher in-cylinder pressures than in the other cases. As a result, LTHR and HTHR are fused at prail = 500 bar and generate an almost monotonically increasing AHRR curve, the peak of which is out of the trend.
Figure 84.
Apparent HRR at various prail for CDC [223].
Figure 85.
Apparent HRR at various prail for LTC [223].
In Figure 86 [229], an LTC strategy (single-cylinder engine with ε = 19.5 and swirl ratio of 2.5, IMEP = 5 bar) implementing a pilot–main injection is considered and is compared with a double injection featuring CDC: in the case of LTC, the SOI of the pilot shot (around 1 mm3) is at 30–40 BTDC and that of the main shot is beyond TDC. By delaying the main injection timing at 5–12 CAD aTDC according to a late PCCI concept, both the Flame Luminosity (soot) and NOx emission parameters decrease, compared to a conventional pilot–main diesel combustion. EGR has not been varied between CDC and LTC; however, the reduction in NOx is significant, while the FLP decrease is moderate. By increasing the injection pressure from 600 bar to 1000 bar and delaying the main injection timing after TDC, the FLP is greatly reduced. The higher injection pressure leads to both lower soot formation and faster soot oxidation, although the former is the prevailing effect. In fact, the higher injection pressure aids spray breakup and intensifies air entrainment into the spray, thus improving air–fuel mixing and encouraging leaner equivalence ratios. Furthermore, the early flames, due to pilot combustion, are weaker for LTC because they occur earlier in a colder environment than for the conventional combustion mode and this reduces the occurrence of overlap between fuel spray of the main injection and early flames. Finally, as the injection pressure rises, the injection duration reduces for the same injected mass and, especially at higher loads, there is less risk of soot for shorter injections. In another late PCCI study, injection pressure was varied from 600 bar to 1200 bar under BMEP = 3 bar and BMEP = 6 bar load conditions [243]. Similar to other previous findings at IMEP = 5 bar [244], increasing injection pressure monotonically reduced soot: this was suggested to be the result of an enhanced mixture formation. In general, the effect of the injection pressure on soot in late PCCI engines is more important than in early PCCI engines and is progressive: unlike early PCCI combustion, it is not convenient to stay below a threshold, but the benefits increase gradually with the value of prail.
Figure 86.
Soot and NO parameters for LTC with multiple injections [229].
On the other hand, the NOx emissions increase with the injection pressure in Figure 86 [229], if LTC with a delayed SOI is considered, due to the faster combustion with higher in-cylinder temperatures, although they remain lower than in the CDC case. In fact, a higher injection pressure results in a leaner air–fuel mixture: local equivalence ratios within the spray are closer to stoichiometric values (less rich) and are associated with higher local O2 concentrations [212], which lead to higher combustion temperatures and therefore increased NOx. Instead, the combination of a high EGR and a delayed SOI of a main injection can reduce NOx, but soot increases [245,246]. The best results are obtained by the simultaneous application of high pressure, delayed SOI and large EGR fractions. In [247], a late PCCI with a postponed barycenter of combustion (CA50 at 15 CAD aTDC) and large EGR fraction combined with high pressure (1650 bar) could meet both the NOx and soot requirements for a single injection (NOx ≤ 0.2 g/hp-hr and FSN ≈ 2).
Injection pressure increases are also useful in extending the working load zone of both early and late PCCI strategies. As the load increases, EGR is augmented to maintain LTC (ignition delay tends to become smaller at higher loads and this limits the air-to-fuel premixing), and boost also takes higher values, leading to higher in-cylinder pressures. Hence, injection pressure should be increases to better penetrate the higher density in-cylinder charge and to counteract soot [210]. A very high injection pressure, which is feasible for CR systems, could not be achieved with the previous injection systems [248].
3.2.2. Effect of Injection Timing
When fuel is injected early in the compression stroke according to an early PCCI strategy, the major factors affecting the fuel spray are the volatility of the fuel, the in-cylinder temperature, and the density of the in-cylinder charge at the time of injection [237]. For a typical diesel fuel, the boiling temperature range is between the initial boiling point (IBP), i.e., ~246 °C (519 K), and the final boiling point (FBP), i.e., ~388 °C (661 K). If the injection occurs before the in-cylinder temperature has crossed the IBP threshold, the liquid injected fuel would have a strong propensity to wet the cylinder walls, resulting in high HC emissions, lower fuel efficiency and even oil dilution. Therefore, in order to minimize the cylinder–wall impingement during early PCCI and to form a cylinder charge with high homogeneity, in addition to the already discussed point related to the spray direction, which should be towards the piston bowl, the earliest SOI should be scheduled after the in-cylinder temperature has exceeded the IBP of the fuel during the compression stroke.
The effect of the SOI timing on the liquid spray penetration has been shown in Figure 75 [223] (cf. Section 3.2.1). The bore radius represents the minimum distance from the nozzle tip to the cylinder wall: among SOI, intake pressure and injection pressure, the SOI had the most significant impact on the liquid spray length, followed by the intake pressure and finally by the injection pressure.
Figure 87a [225] reports the effect of SOI on the ignition delay (ID) for early or moderately PCCI. Advancing the SOE (injection timing) along the compression stroke from −20 CAD aTDC to −60 CAD aTDC sharply increases the ignition delay. Reducing [O2]IN also extends the ignition delay significantly, whereas the effect of injection pressure on the ID results to be negligible when prail moves from 600 bar to 800 bar, consistently with the explanation provided in Section 3.2.1. Another important point is the ratio of ID to the injection time (IT), whose values are also plotted in Figure 87b: since, as already mentioned, the LTC should ideally start after the end of the injection to avoid the conventional mixing-controlled combustion phase, in which the spray structure is governed by the fuel injection rate, this ratio should be larger than unity. The ID/IT value increases significantly for earlier SOI values, due to increased ID, and also increases when prail passes from 600 bar to 800 bar, due to the shorter injection duration.
Figure 87.
(a) Ignition delay; (b) its ratio with IT [225].
Figure 88 [241] shows the calculated maximum “early” injected mass (Qinj max early) before cylinder wall wetting occurs as a function of SOI at pinj = 600bar. The maximum liquid penetration obtained for Qinj max early corresponds approximately to the available distance between the nozzle and the chamber walls.
Figure 88.
Maximum injected mass before impingement (600 bar) [241].
In Figure 88, four different zones are observed (0 CAD corresponds to the TDC of compression):
- Zone A: slightly more mass can be injected before cylinder wall wetting when the piston is closer to the nozzle because the spray is more likely to be confined in the piston bowl without being able to reach the cylinder walls (impingement on the bowl is much less critical than impingement on the cylinder walls);
- Zone B: Qinj max early is almost constant with the variation in SOI. This is consistent since the available distance between the nozzle and cylinder walls (cf. the schematics included in Figure 88) as well as the thermodynamic conditions (p = 1.08 kg/m3, T = 323 K) remain almost constant in the considered SOI range;
- Zone C: this zone corresponds to the beginning of the compression phase. When the SOI is delayed, Qinj max early also grows, due to the increase in ambient temperature and density inside the combustion chamber, while the available distance between the nozzle and the chamber walls does not change significantly;
- Zone D: no cylinder wall wetting was detected in the range of tested ETs (Minj ≤ 3 mg).
At this stage, three main conclusions can be drawn [241]: (1) there is a compromise between the available air–fuel mixing time before ignition and the maximum fuel injected mass before cylinder wall wetting occurs; in fact, the condition where a maximum quantity of fuel can be injected without impingement corresponds to late injections for which the ignition delay and thus the mixing time is the shortest; (2) the maximum fuel mass that can be injected before cylinder wall wetting occurs for injections during the intake stroke or during the beginning of the compression stroke is very small, around 1 mg up to 90 CAD bTDC; and (3) all the results obtained are dependent on the engine setup, on the injector layout and on the operating conditions. For example, an increased Qinj max early could be obtained if the number of injection holes is increased. Similarly, an increase in the intake temperature could result in higher Qinj max early by enhancing fuel evaporation.
Figure 89a,b [225] plot the measured engine-out emissions as the injection timing is advanced under a fixed injected mass (10 mg) for an early PCCI engine (ε = 18 and the intake temperature was set at 45 °C to increase the fuel ignition delay). The decrease in NOx emissions as SOI is advanced is caused by the lower in-cylinder temperatures, but also by the fuel losses, which are caused by the liquid wall impingement onto the cylinder walls for extremely advanced injection conditions. Regarding soot emissions, when advancing SOI from −14 to −22 CAD aTDC, the sharp decrease is caused by the improved air–fuel mixing conditions, due to the larger ignition delay. However, if the SOI is further advanced, the soot emissions reach a minimum value at around −22 CAD aTDC and start to increase again. This increase and the maximum point at −35 CAD aTDC are mainly the results of the liquid wall impingement. When SOI is further advanced (SOI ≤ 35 CAD aTDC), the impingement does not occur on the cylinder bowl walls (this surfaces feature a temperature in the 250–400 °C range), but on the cylinder liner (this part has a temperature around 150 °C). Such a fuel can not take part to combustion (therefore it can not generate soot), finally reaching the engine carter: the engine efficiency, which is not reported in Figure 89, dramatically worsens, although the soot in Figure 89b results to improve. The optimal SOE ranges of early PCCI, which are suitable for NOx and soot emissions (SOI ≥ 40 CAD bTDC), obtained in these tests agree with other results found in the literature [59,249]. However, it is worth observing that advancing the SOI before 22 CAD bTDC gives a torque penalty in Figure 89c (the torque of 37.5 Nm roughly corresponded to BMEP = 3 bar) due to impingement and excessively early combustion phasing, as also confirmed in [250], although the lowest soot and NOx emissions are obtained for larger SOI values than 40 CAD bTDC. The drawback of the early PCCI concept, which negatively impacts engine efficiency (since the injected quantity is fixed in the test, a torque reduction indicates a BTE reduction), should be overcome to recover bsfc and thus reduce CO2 production. For Figure 89 [225], a compromise solution could be represented by a moderately early PCCI combustion with SOI in the 20–35 CAD bTDC range.
Figure 89.
Features of PCCI combustion versus SOI: (a) NOx emissions; (b) soot; (c) torque [225].
Both the NOx and soot emissions exhibit a trend with respect to SOI, which is almost independent of the pressure level. Furthermore, these emissions both increase at the lower injection pressure of 600 bar; this confirms that increasing the injection pressure up to a certain threshold, the value of which is higher than 600 bar, consistently with what reported in Figure 82, is a suitable action for emission reduction with acceptable torque performance under early PCCI combustion. In the presence of impingement, Figure 89 shows that an increase in prail gives lower penalties in torque and soot, due to better fuel atomization. Large EGR rates can also be applied together with SOI management to improve NOx and adjust combustion phasing, which limits bsfc and load, since EGR fractions beyond 50% have no effect on soot in early PCCI, as proved in Figure 90 [237]. In [225], combustion noise is also reported as a function of SOE for different [O2] values and the threshold level of acceptance can be achieved either with very advanced injections or by delaying the fuel injection. Operating the engine with a low oxygen concentration in the charge is a suitable strategy to achieve satisfactory noise quality levels with new combustion concepts, while the effect of the injection pressure is only marginal. Nevertheless, the strong limitation for early PCCI implementation in passenger car engines associated with an excessive combustion noise compared to late PCCI is confirmed. If only pollutant emissions and combustion noise quality are optimized, the suitable settings for early PCCI concept implementation consist of the minimum possible [O2]IN and SOE in the 30–46 CAD bTDC range, which is at the boundary between the moderately early PCCI and early PCCI combustion regimes.
Figure 90.
Effect of EGR on emissions [237].
Figure 91 [228] shows the effect of SOI and EGR on the indicated thermal efficiency, IMEP and coefficient of variation of the IMEP (a single-cylinder diesel engine with ε = 13 is considered at low loads) at pinj = 1400 bar (λ = 4.5). Figure 92 [228] shows the effects of SOI and EGR on the maximum in-cylinder temperature (Tmax), as well as on smoke, NOx, CO and HC emissions. For all the tested conditions without EGR, the maximum in-cylinder temperature and the oxygen concentration were higher than with EGR. In the presence of EGR, the NOx emissions are very low at all the SOI values; insignificant smoke emissions were also achieved for an SOI between 2 CAD bTDC and 30 CAD bTDC with 40% EGR. In general, the application of very high EGR levels comes at the expense of high fuel consumption and increased CO and HC emissions. The CO emissions in Figure 92 increase significantly as EGR is increased. This could be attributed to the low temperatures and insufficient oxygen availability for completing combustion. HC and CO emissions also become relatively high at SOI = 10° BTDC and EGR = 40%, compared to the case without EGR. This could be attributed to the shorter ID for the considered SOI and to the scarcity of oxygen (over-rich mixture), which also leads to less vigorous combustion and reduced Tmax. In order to mitigate the problems related to CO and HC engine-out emissions, it is desirable to increase the available fresh air mass through supercharging, while maintaining the same EGR levels.
Figure 91.
Effect on EGR on efficiency, IMEP and COVIMEP [228].
Figure 92.
Effect of EGR on emissions [228].
3.2.3. Management of the Transition Mode
The acceptable performance of the LTC mode is currently limited to lower loads. Therefore, a dual-mode operation, where engine operating is switched to the LTC mode at lower loads and to the conventional mode at higher loads, is of interest (usually the switch from LTC to CDC occurs for a BMEP value in the 5–10 bar range). Most of the studies concerning LTC mode transition has been conducted in gasoline engines: in these cases, the change between spark ignition and Controlled Auto Ignition (CAI) is usually accomplished by means of variable valve actuation systems [251]. Instead, literature studies on the transition between LTC and CDC have not been sufficient (VVA systems are not commonly applied to diesel engines), although this is an important issue [252].
The essence of the mode transition from LTC to CDC and vice versa is a change in some operating parameters of the engine, such as the injection timing, injection pressure and duration of fuel injection as well as the EGR rate and intake boost. During transitional cycles, due to differences in response time between the fuel injection system (fast response control) and air charging system (EGR and intake boost are slow response controls), some imbalance in the air-to-fuel ratio can occur. In fact, an air charging system can be effectively controlled only by means of complex systems, such as VGT and EGR valves that introduce a delay in regulating the EGR and boost levels within the cylinder (tens of engine cycles may be required to change the working condition): hence, some cycles with abnormal IMEP, which negatively impacts the engine drivability, large peak pressure rise rates, which affect combustion noise or increased emissions can be observed [253].
Since cycle-by-cycle control of the fuel injection can be easily performed with CR systems to guide transitional operations, the focus is on fuel injection strategies: it is of interest to take the variation in the comburent concentration during the mode transition as a given ground and adapt the fuel injection strategy to the variation in the comburent concentration, in order to regulate the AFR and the in-cylinder pressure during the mode transition. Therefore, the current research on LTC-to-conventional-diesel-mode transition and vice versa involves abrupt closure of the EGR line and VGT and focuses on the injection strategies to match fueling with the variation in charge composition, in order to stabilize the mode transition.
In [247], IMEP = 5.9 bar was the highest load achievable in the early PCCI condition and was considered to be the critical IMEP at which the mode transition should occur. In the passage from early PCCI to conventional diesel combustion, EGR was initially abruptly changed from 60% to 0%. When only EGR is dramatically decreased, a transitional combination of increased hot residual gas (internal EGR), due to the increased back pressure with depleting level of EGR, leads to the formation of optimally shaped and phased combustion profiles, which give an IMEP peak during transitional cycles. Instead, in the transition from CDC to LTC reported in [252], no spikes in IMEP were observed.
As far as internal EGR is concerned, a larger hot residual fraction in CDC elevates the charge temperature, the HRR values and advanced the combustion phase [254]; on the other hand, the increase in the dilution effect of exhaust gas retained inside the cylinder leads to combustion slowdown for LTC.
In general, if the objective is to achieve transitions from LTC to CDC and vice versa with minimum IMEP instability, the coupled control of the EGR and injection schedule is recommended.
Table 3 [255] reports the starting (early PCCI) and final (CDC) operational points. The injection pressure often increases during passage to the LTC mode (ET reduces) because improves air–fuel mixing. This generates locally leaner equivalence ratios that are closer to stoichiometric and are therefore associated with higher local O2 concentrations, which reduce soot but also contribute to higher temperatures and increased NOx emissions. However, in the present case, the injection pressure maintains the same value for early PCCI and CDC.
Table 3.
PCCI and conventional mode operating conditions [255].
With strategy 1 (cf. Figure 93), the injection timing and duration values shift to the final values abruptly, at cycle 0 (the injected quantity decreases to maintain the BMEP when the injection timing is delayed). Since the EGR flow rate changes slowly over the transition cycles, these cycles of transition experience an unstable combustion mode, characterized by a high EGR rate and an SOI phased at the end of the compression stroke.
Figure 93.
Applied injection strategies [255].
In Figure 94a, the IMEP exhibited a negative spike, followed by a positive bump, and both CA50 and maximum in-cylinder pressure (Pmax) showed major rises and falls, suggesting that the mode transition progression was out of control, with high HC emissions and even possibility of misfire. In [256], both EGR and fuel injection were commanded to abruptly change at the same time when passing from CDC to early PCCI: the first combustion cycles experienced early injection timings with low EGR, due to a slow EGR system response: as a result, oxygen availability and an early SOI produced undesirable high-pressure rise rates, in cylinder pressure and knock together with high levels of NOx and soot. In [212], it is confirmed that higher in-cylinder pressures and HRR peaks are reached during the transition mode from CDC to early mixture formation LTC. The temperatures within the cylinder are considerably higher during these transition cycles and mass-weighted cycle-averaged NO emissions increase.
Figure 94.
Effect of various injection strategies on the combustion during the mode transition: (a) IMEP; (b) CA50; (c) Pmax [255].
Since the CA50 during the mode transition was delayed by too much in strategy 1 of Figure 94b [255], the injection timing was delayed to the final value in a linear manner over 10 cycles for strategy 2. As shown in Figure 94b [255], the combustion phasing during mode transition pertaining to strategy 2 is more advanced than those of both early PCCI and conventional diesel combustion. An advance in combustion phase leads to intensified negative work but also to an increase in the in-cylinder pressure peak (cf. Figure 94c) with increased positive work to the piston.
Since the latter effect prevails over the former, an increase in IMEP during the transition phase occurs (cf. Figure 94a). Therefore, the proper path for the shift in injection timings was concluded to be within the region outlined by strategies 1 and 2, which is shown by the hatched triangle in Figure 93. Several paths in this region were tested, and the best result is reported here as strategy 3. This strategy consists of a nonlinear shift with bigger steps of SOI change at earlier cycles. The MFB50 and the in-cylinder maximum pressure plots in Figure 94 suggest that the combustion phasing transition is properly controlled during the mode transition with strategy 3. However, an anomalous temporary increase in the IMEP still persisted. In the final strategy, strategy 4, the injection duration was minimized in a number of transitional cycles to reduce the IMEP of such cycles. The reduction in fuel input leads to a smoother and more controlled transition of combustion profile shape and phase. A further improvement in the smooth transition from LTC to CDC could be obtained if early PCCI combustion is preliminarily switched to late PCCI combustion, and then, the latter is turned into diesel conventional combustion, due to the reduced discrepancy in SOI values between late PCCI and CDC implementations. These changes can be implemented by exploiting the flexibility of CR engines.
In Figure 95 [255], strategy 4 reduced the coefficient of variation of IMEP in 20 cycles across the mode transition from 23% of strategy 1 to 5.8%, which is within the acceptable range for diesel engine operation (the HC emissions showed a 41% reduction over 20 cycles across the mode transition). The earlier cycles in the mode transition are therefore preferred for the shift in injection timing without a negative impact on COVIMEP. In fact, for early cycles (such as 0, 1, and 2), due to the high level of EGR and the early injection timing, the start of the combustion occurs through autoignition, when a certain temperature/pressure threshold is reached.
Figure 95.
Effect of the injection strategy on smoothness and HC emissions [255].
Therefore, the start of combustion is less directly governed by the injection timing but is driven by chemical kinetics. Thus, IMEP stability has a small sensitivity to the changes in injection timing. At later cycles, however, when the EGR starts to deplete and the injection timing is fully delayed to conventional timings, the start of combustion is more directly governed by the injection timing, and any change in the injecting timing leads to more rigorous destabilization of the IMEP. Therefore, a shift in the injection timing to the final value is preferred at earlier cycles of the mode transition, when the EGR level is still high and injection timing is still advanced. This is consistent with the result of the previous step-by-step optimization of the injection strategy for avoiding an anomalous transient increase in the maximum in-cylinder pressure rise rate, where the optimum strategy was found to be a gradual nonlinear shift, with bigger steps of change at earlier cycles, and preceding the EGR depletion process (strategy 4). All this is feasible with a CR system. Figure 96 [255] reveals that the soot produced during the mode transition, with either strategy 1 or 4, has a nanostructure that is considerably different from that of the soot produced in both conventional and early PCCI modes. This is the most important feature for the PM during the transition. Lower ID1/IG ratios of the transition soot indicate higher degrees of graphitization and consequently lower reactivity (intensity data of ID1 and IG derived from Raman spectra, where ID1 refers to the D1 band, which is connected to the more reactive edge carbon atoms contributing to the reactivity of the soot and IG refers to the G band, which is connected to the least reactive formation of carbon atoms, i.e., ideal graphitic structures). During the transition from LTC to CDC, there is poor oxygen concentration because EGR is still high and the SOI is delayed, thus reducing ignition delay and air–fuel mixing. Reduced soot reactivity, as a result of an increased equivalence ratio in diesel combustion, has been previously reported in the literature [257]. One mechanism of effect is that [258] the lower oxygen level at the nucleation stage suppresses the oxidation of soot precursors and hence favors spontaneous carbonization of soot precursors to graphitic soot. Another mechanism is the suppression of the in-cylinder soot oxidation process; it is known that once the combustion stops, soot oxidation still proceeds as long as in-cylinder temperature is high enough (>500 °C) [259]. This in-cylinder oxidation process consumes the graphitic structure and enhances the reactivity of the soot. Since the EGR reduces the oxygen availability, it hinders the in-cylinder soot oxidization and leads to the release of more graphitic and less reactive soot [260].
Figure 96.
Graphitization degree of the soot (ID1/IG) [255].
The difference between soot resulting from strategies 1 and 4 can also be partially explained by the difference in the equivalence ratio. Strategy 4 involves fuel reduction in some transitional cycles, which leads to a reduction in the equivalence ratio. With respect to the discussion above, increased oxygen availability can enhance both the oxidation of soot precursors and the in-cylinder soot oxidation, hence resulting in the formation of soot with lower degrees of graphitization and higher reactivity.
As far as HC emissions is concerned, they decrease monotonically in Figure 97 [255] (the FFID signal is proportional to the HC concentration) during the transition from LTC to CDC, as a result of the higher combustion temperature, which helps with HC oxidation. The EGR continued to be high in the first four cycles, as a result of the remainder of the EGR in the intake line, and from cycle 5, the EGR level started to fall sharply. As a result, HC emissions reduce significantly starting from cycle 5.
Figure 97.
Effect of EGR line closure on engine operation (experimental results) [255].
Finally, it would be interesting to deepen the effect of multiple injections on mode transitions from LTC to CDC and vice versa (at the moment, no sufficient data are available in the literature for a reliable review of the topic). A few experimental tests have been reported with multiple injections to control the maximum pressure rise rate. A pilot injection with variable timing was added during the transition from LTC to CDC in [252] and led to significant benefits. It was found in [256] that multiple injections improve the stratification of the fuel–air mixture within the cylinder at the onset of combustion, limiting maximum pressure rise rates during transitional cycles. With a higher number of injections (up to five injections were considered), the maximum pressure rise rate progressively decreases and the duration of heat release increases. In general, when the combustion mode is switched from LTC to CDC or vice versa, it is important to maintain the acoustic tone of the engine without excessively worsening combustion noise. The multiple injections can be implemented to reach this objective by using pattern adaptation injection strategies: number of injections, start of injections, dwell times, energizing times and rail pressure are changed progressively from their starting values in the initial combustion mode to their final values in the new combustion mode. All these parameters are tuned based on the engine angular acceleration (mechanical transient) and on the cooling water temperature (transient temperature).
3.3. Effect of Multiple Injections on LTC
PCCI can be obtained with single or multiple injections. The benefits of multiple injections in improving the trade-off between emissions, noise, engine operation range and fuel economy in a low-compression-ratio diesel engine featuring LTC have been investigated in [261]. The subdivision of the injection into more events offers good potential to achieve a staged combustion event with reduced pressure rise rates and has the potential to increase the high-load limits for HCCI/early PCCI operation [262]. In fact, decreasing the peak heat release and the instantaneous fuel burning rate by splitting the heat release into multiple events appears to be adequate for controlling the combustion noise and to reduce the knock tendency of PCCI combustion significantly (this is a primary constraint for the extension of the engine operation zone to higher loads) without compromising performance and fuel consumption [263]. Several authors have reported that multiple injection strategies also produce less soot and NOX emissions than those of single injection [264]: a possible reason is that, due to early pilot injection in the premixed LTC, enhanced mixing of fuel with air in the combustion chamber occurs [70], which is a fundamental point for this combustion mode. In [265], with the application of multiple injections to a PCCI engine, CO and HC emissions decreased up to 44% and 59%, respectively, compared to a single injection; moreover, NOx emissions reduced up to 0.4 g/kWh, and soot emissions were below 0.01 g/kWh.
3.3.1. Pilot Injections
Multiple early injections, independently of the shot timings in the PCCI range (150–20 CAD bTDC), of the number of nozzle injection holes (up to 9) and of the spray cone angle (in the 90–150° range) do not guarantee real homogeneity of the cylinder charge [240]. In HCCI DI engines, the multiple shots are performed during the intake stroke and the beginning of the compression stroke, but the homogeneity of PFI is not obtained.
Nevertheless, the pilot injection can have a significant effect on HC and CO engine-out emissions [263] and thermal brake efficiency of early PCCI and HCCI combustion engines. As already mentioned, when a single injection occurs before the in-cylinder temperature has crossed the IBP threshold, the injection has a strong propensity for wall wetting. The introduction of fuel early in the cycle, i.e., into a low-temperature–low-density medium, can cause a very important development of the liquid part of the spray [266], leading to liquid fuel–wall impingement and therefore to high HC and CO emissions [214], particularly when the liquid spray impinges on the oil film located on the cylinder walls. This process can significantly reduce the amount of fuel that can reasonably be introduced in the chamber, thus limiting the operating range. When the load of HCCI or early PCCI rises, more fuel must be injected and have sufficient time to obtain homogeneity before combustion, but as previously illustrated (cf. Figure 88), for earlier SOI than 90 CAD bTDC, the maximum injected quantity before cylinder wall wetting is below 1.5 mg/stroke.
Multiple injections could in principle be applied to minimize the chances of impingement. However, previous works [242] had shown that interactions between successive injections can happen. Since the second injection takes place in the wake of the first injection, it can benefit from the sustained momentum and turbulence of the previous injection: the liquid penetration of the second injection can be larger than that of the first. In [267], the “slipstream” hypothesis is confirmed and a correlation is found for double injections between a shorter dwell time and a faster penetration rate of the second jet than the first one. As a result, even though for given operating conditions, a single injection does not lead to cylinder wall wetting, successive multiple injections of the same quantity might lead to cylinder wall wetting. Nevertheless, when the in-cylinder density of the charge is low, as in the case of early injection in HCCI and early PCCI combustion, no significant wake effect is observed between the subsequent shots (the difference in the spray development velocity between the two injections is expected to be small). Hence, cylinder wall wetting, due to wake interactions between successive injections, is not significant for the early PCCI regime. Furthermore, the ignition delay of the second jet can be significantly reduced, due to the effect of the cool-flame reaction products of the first injection if the cool flames begin before the start of the second injection. In fact, the low-temperature combustion intermediate products pertaining to the first injection are entrained by the subsequent jet, leading to an accelerated ignition process. In [268], the penetration length of the second jet was finally lower by about 1 mm than that of the first jet, for all the considered multiple injection strategies. This confirmed that the ignition delay reduction effect prevailed over the “slipstream” effect; enhanced mixing at the head of the subsequent injection was also observed, due to the turbulence induced by the preceding jet. Above all, the increasing pressure within the cylinder, as the compression stroke proceeds, and the heating of the gas charge, due to compression, tend to reduce the liquid penetration of the subsequent injections occurring closer to TDC [242].
If splitting the early injection into two shots is an effective method for avoiding wall wetting, the same result is expected when the injected amount is subdivided among more than two early shots. In short, the strategy of increasing the number of early injections to augment the load without or with reduced fuel impingement, due to cylinder wall wetting, is effective to reduce the CO and HC engine-out emissions.
In [241], a fuel quantity of around 20 mg/cycle, corresponding to the targets IMEP = 6 bar and ISFC = 230 g/kWh, has been considered for an early mixture formation LTC. Since such targets could not be reached with a single injection, also due to excessive HC emissions for impingement, a strategy based on ten injections was tested. It consisted of eight very early injections, during the end of intake stroke and the beginning of compression stroke, followed by two injections later in the cycle, as illustrated by Figure 98 [241]. A larger fuel mass is injected during those last two injections, thus enabling the target load to be achieved: even the timing of these two injections was early enough to ensure satisfactory mixture homogeneity before combustion. No cylinder wall wetting was expected for the eight early direct injections. The last two injections were directed toward the piston bowl and did not lead to cylinder wall wetting; therefore, it was possible to increase their ETs in line with Figure 88. A CDC operation was also performed in the same engine, consisting of a double-injection strategy: ET1 = 250 µs at SOI1 = 20 CA bTDC and ET2 = 620 µs at SOI2 = 10 CA bTDC. For this operating condition, the injection pressure was maintained at pinj = 600 bar, as in the case of the early mixture formation LTC strategy. Table 4 [241] compares the general performance of CDC and early PCCI combustion: the maximum pressure of the LTC (≈120bar) remains below the typical limit of modern CI engines (≈180–200 bar), and the reduced maximum mean temperature (≈1350K) of early PCCI enables low NOx emissions, which are much lower than those obtained for CDC; moreover, small levels of smoke emissions were measured compared to CDC. However, high HC and CO emissions with high ISFC were still measured for the PCCI combustion, compared to CDC, even with multiple injections. Finally, a satisfactory combustion noise (CN ≈ 86 dB) was measured, although it was higher than that of the CDC engine, as typically occurs for early PCCI combustion.
Figure 98.
Injection strategy for 20 mg (IMEP = 6 bar, ISFC = 230 g/kWh) [241].
Table 4.
Engine performance and pollutant emissions [241].
With reference to a pilot–main double injection in a moderately early PCCI combustion [269], the pilot injected fuel (SOI between 30 bTDC and 40 CAD bTDC as in CDC) is directed into the piston bowl [270] to avoid wall wetting. This pilot injection can then be followed by an early main shot in the 30–15 CAD bTDC SOI range. There are benefits of the pilot injection on BTE, although they are related to injection timing. In fact, advancing the SOIpil from 30 to 35 CAD bTDC resulted in slightly higher BTE, but further advancing the start of the pilot injection timing to 40 CAD bTDC decreased BTE drastically [263]. With a pilot injection timing at 30 CAD bTDC, the less time available for fuel–air mixing led to inferior combustion: advancing SOI at 35 CAD bTDC resulted in a more homogeneous fuel–air mixture, and this improved the moderately early PCCI combustion. On the other hand, advancing the SOI at 40 CAD bTDC leads again to inferior fuel–air mixing, due to lower in-cylinder temperatures and pressures, which reduced fuel vaporization. Furthermore, combustion phasing becomes too advanced.
Figure 99 [211] shows the comparison of a CFD-computed fuel–air equivalence ratio distribution field before ignition between single and pilot–main injections for high-EGR ([O2] ≈ 10%) and low-EGR ([O2] ≈ 15%) LTC conditions. Cases 1, 4, 11 and 13 all use the single-fuel-injection mode and have the same SOI at 45 CAD bTDC; in particular, cases 1 and 4 have shorter injection durations, due to their lower loads (IMEP = 4 bar) and thus smaller injected mass (mf), than cases 11 and 13, which have higher loads (IMEP = 7 bar). Cases 7, 9, 12 and 18 all use the multiple-injection mode with the same injection timings, and at SOI = 30 CAD bTDC, all injection events ended. Using multiple injections, the total fuel amount is split among four pulses, and except the last pulse, the other three pluses are injected into the cylinder during the earlier phase of the compression stroke, so that they have more mixing time before ignition. Comparing case 13 with case 4 (both use single injections and a high EGR rate), since a larger amount of fuel is injected at a high load, the local maximum equivalence ratios at the same crank angle are much higher (about 2∼3 times) for case 13; comparing case 18 with case 9 (both of them use multiple injections and a high EGR rate), similar phenomena are found, but they are less obvious than for the single injection. For lower engine loads (IMEP = 4 bar), with a smaller fuel injection quantity, the adoption of multiple injections leads to local equivalence ratios, almost all below 2 for both the higher and lower EGR conditions: in particular, the soot and CO emissions did not increase obviously with higher EGR because the homogeneous mixture avoids fuel over-rich mixture. Even comparing case 18 with case 13 (higher loads), the significantly better mixture equivalence ratio distribution using the multiple injection mode makes less soot and forms less CO, and the high in-cylinder temperatures, which are typical of high loads, cause the CO and soot formed to be oxidized more completely. As a result, the final soot and CO emissions are decreased for case 18, compared to case 13. In short, using the multiple-injection mode, the CO and soot as well as HC emissions of LTC are decreased at higher engine loads with little expense to the NOx emissions in comparison to the single-injection strategies. If the multiple-injection strategy is coupled with high EGR and boost, the IMEP of a PCCI engine can be further extended to IMEP = 1.01 MPa, while keeping the engine-out emissions near zero and high thermal efficiency up to 47%.
Figure 99.
LTC: comparison of equivalence ratio distributions for various cases [211].
In [229], a single pilot injection in the 0.8–1.3 mm3 range has been used at IMEP = 5 bar. For LTC, the pilot injection timing is set at 40 CAD bTDC and a late main injection is phased at 5–12 CAD aTDC, whereas for CDC, the pilot injection timing is set at 30 CAD bTDC and the main injection is phased at TDC. In both cases, two-stage combustion occurs for the pilot injection. The in-cylinder pressure and heat release rate for CDC and premixed-charge LTC obtained with a pilot–main injection have been compared in Figure 100 (the LTC is referred to as case 1). The heat release pattern of the main injection for case 1 (SOIpil = 40 CAD bTDC, SOImain = 5 CAD aTDC) features a short combustion duration and is premixed-combustion-dominated with little diffusion combustion (PCCI is between HCCI and CDC) [271]. This heat release pattern is significantly different from that of CDC [272], which includes a premixed phase and an important mixing controlled combustion phase with a relatively low heat release rate values. The difference is due to the different parameters of the pilot injection and the postponed SOIMain for case 1: the lower pilot injected mass and the earlier SOIPil, coupled with the higher prail, lead to lower local equivalence ratios for case 1 and to much larger ignition delay of the pilot injected fuel. As a result, unlike CDC, most of the pilot injected fuel burns together with the main injected fuel, producing a significant increase in the HRR peak for the LTC case: there is a problem of extending the combustion mode at higher loads.
Figure 100.
In-cylinder pressure and HRR traces for case 1 and the CDC cases [229].
In [273], a pilot–main injection has been analyzed for late PCCI combustion (BMEP = 5 bar, n = 2000 rpm). The dwell time between pilot and main injections affects the interaction between pilot burning and main injected fuel. In Figure 101b [273], for the “larger DT” case (red lines), the main injection occurs when pilot burning is almost completed: the fuel of the main shot is injected into pilot burned gases and the average oxygen concentration is lowered. In the “optimal DT” case (solid black lines), the ignition delay of pilot burning is extended, due to the temperature decrease in the premixed zone between 360 and 365 CAD, which is ascribed to the evaporation of the main injected fuel and to the expansion stroke. The longer ignition delay of the pilot injected fuel produces a fusion of the pilot and main HRR in line with a highly premixed combustion concept. The first injected fuel particles of the main shot find higher local oxygen concentrations than in the “larger DT” case, and this leads to lower average values of φ during mixture formation and premixed combustion. Such a decreased value of φ determines the significant reduction in the soot formation rate for the “optimal DT” condition (cf. Figure 101f). The CO oxidation rate is also faster in Figure 101e because of the lower average φ value in the premixed zone.

Figure 101.
Multizone model outcomes for larger and optimal DT cases: (a) in-cylinder pressure and injection rate; (b) HRR and injection rate; (c) premixed and average diffusive temperatures; (d) NOx; (e) CO; (f) soot [273].
A slight decrease in the diffusive burned gas temperatures is also shown in Figure 101c for the “optimal DT” case and can be ascribed to a more pronounced decrease in the unburned gas temperatures after the main injection, due to the fuel evaporation effect. This leads to a slight decrease (4%) in NOx emissions (cf. Figure 101d). In conclusion, DT in the pilot–main injections designed for LTC could be set so that the beginning of the main injection occurs before the start of high-temperature reactions of pilot fuel, in order to extend the ignition delay of the latter owing to the evaporation of fuel injected during the main shot. Hence, unlike CDC, where the role of the pilot injection is to reduce the intensity of the premixed phase of the main injection, in late PCCI combustion, the pilot injection can be used to intensify air–fuel premixing. The NOx and soot emissions cannot be lowered below 0.2 g/hp and 2 FNS, respectively (these can be expected targets for an LTC), with a single injection at BMEP = 10 bar.
In Figure 102 [247], the simulation results evidence that the pilot injected fuel (about 25% of the total fuel), with SOIpil = 50 CAD bTDC, vaporizes before the main injection starts. The pilot combustion process initiates at 25 CAD bTDC, which gives an ignition delay of approximately 20 CAD (2ms). The pilot combustion is characterized by two distinct stages: the LTHR initiates at 25 CAD bTDC and the HTHR starts at 6 CAD bTDC (the in-cylinder temperature values during the period from 25 to 6 CAD bTDC were those typical of cool-flame reactions). The LTHR combustion is determined by the chemical kinetics process, a feature which is typical of HCCI combustion. The long ignition delay suggested that the pilot injection is able to achieve significant homogenization with a lean fuel–air mixture preparation before the HTHR was initiated (in order to reduce soot). During the HTHR, the remainder of the pilot fuel experienced rapid combustion lasting only a few crank angle degrees; the maximum temperatures (1300 K) are reached in the squish region, where the equivalence ratios are also richer (φ = 0.75). An analysis of the heat release trace shows, on an energy basis, that more than 70% of the thermal energy of pilot injected fuel was liberated by the end of the high-temperature heat release: SOImain is at 7 CAD bTDC and the main injection starts after the hot pilot combustion start and continues up to 6 CAD aTDC. The temperature of the cylinder charge in which the main fuel is injected increases, due to the previous pilot combustion: location B of the squish region in Figure 103 [247] indicates an active hot pilot combustion region, as the main injection is introduced and corresponds to the maximum temperature reached by HTHR of the pilot injection. The heat release (not reported) drops, due to the heat of vaporization of the main injection. The main ignition delay is short, i.e., 2 CAD, and the combustion proceeds with distinct premixed and diffusive phases, although with reduced diffusive part: the maximum temperatures remains around 2000 K and φ ≤ 2. This is a specific type of PCCI strategy where a lean homogeneous mixture is prepared by the pilot injected fuel, and the main injected fuel undergoes CDC. Locations C-D-E of Figure 104 show rapid propagation of the flame front from the HTHR squish region of the pilot combustion to the main fuel spray, which then burns.
Figure 102.
Fuel vaporization history for PCCI combustion (pM injection, n = 1750 rpm, BMEP = 10 bar) [247].
Figure 103.
Combustion of main injected fuel [247].
Figure 104.
Combustion of pilot–main injected fuel [247].
3.3.2. After Injections
The effect of the after injection timing and quantity was analyzed for an LTC engine in [217]. The single after injection timing was defined by means of the crank angle between the start of the main injection and the start of the after injection and was varied from 10 to 40 CAD ASOIMain for n = 1200 rpm. The engine geometrical compression ratio was equal to 16, and a piezoelectric CR injection system was used. The injected mass was fixed at 12 mg/cycle and prail = 550 bar; the EGR rate was large, and the main injection was phased at SOIMain = 28 CAD bTDC, according to a moderately early PCCI combustion (since the total injected quantity was fixed, the IMEP values varied from 3.6 to 4.5 bar range, depending on engine efficiency at the considered working condition). ISFC decreased in value, compared to the case of the single injection, as the after injection quantity increased and the after injection timing was delayed. This is because more expansion work was produced by the after combustion after TDC, and the negative work was decreased, due to the reduction in the quantity of early main injections. For the after injection timings of 10, 15 and 20 CAD ASOIMain, the fuel of the after injection was injected during the compression stroke and ignited before TDC, giving rise to higher in-cylinder pressures and temperatures, which lead to larger NOx levels than those pertaining to a schedule with only the main injection. Instead, the after combustion with after injection timings of 30 and 40 CAD ASOIMain improved the engine-out NOx emissions, compared to single injections, because after combustion occurs during the expansion stroke, when in-cylinder pressure and temperature decrease.
Figure 105 [217] shows the trend of smoke emissions with respect to after injection quantity and timing. Significant smoke could not in principle be produced with small after injection quantities (up to 4 mg) according to the split-flame behavior. However, with an after injection quantity of 3.6 mg/cycle, the smoke level was increased, as the after injection timing was delayed beyond TDC. This is due to the increase in liquid fuel penetration because of the increased after fuel injection quantity and lower in-cylinder pressure and temperature after TDC, which both promote fuel wall wetting.
Figure 105.
Smoke vs. SOIafter for different after injected masses [217].
Figure 106 and Figure 107 [217] plot HC and CO emissions as functions of after injection timing for different after injected quantities. HC and CO emissions can be reduced by applying after injections because the raised in-cylinder temperature, due to the presence of after injection, promotes the oxidation of HC and CO, compared to the case of the single injection. A minimum of HC emissions is observed at after injection timings of 15 or 20 CAD ASOIMain for each after injection quantity. At these after injection timings, the after injected fuel is introduced into the cylinder during the compression stroke and the temperatures after TDC become the highest, which might accelerate complete combustion of HC and CO. Beyond 30 CAD ASOIMain, HC emissions increase again because in-cylinder pressure and temperature are not enough to combust the fuel of the after injection and because of the wall wetting, although such emissions do not generally worsen, compared to a single injection (a penalty only occurred for an after injection timing of 40 CAD ASOIMain under an after injected mass of 2.4 mg). CO emissions become lower with larger after injection quantities owing to more vigorous combustion by the after injection, whereas the effect of the timing of the after injection is not dominant. From above results, delaying an after injection of 3.6 mg to 30–40 CAD ASOIMain timings can be used in early mixture formation LTC strategies to decrease HC and CO emissions as well as to enhance ISFC, while maintaining low NOx emissions and soot below 0.7 FSN.
Figure 106.
HC vs. SOIafter for different after injected masses [217].
Figure 107.
CO vs. SOIafter for different after injected masses [217].
In other research investigations at medium-load conditions [94], an after injection was found to help in the oxidation of soot, but its impact depended on timing. In [247], the baseline case with no after injection had soot close to 2FSN at BMEP = 8 bar (the engine compression ratio is ε = 14.3 and EGR ≈ 45%, which are typical features of LTC): the single-injection timing was implemented at 6 CAD bTDC (this is a typical SOI of CDC) to achieve an MFB50 of 12 CAD aTDC. The after injection implemented in the crank angle window of 10–20 CAD aTDC had either no soot advantage or higher soot than the baseline case. For the timing window between 20 and 30 CAD aTDC, there was a gradual decrease in soot values as SOIafter was delayed. When SOIafter was delayed by more than 30 CAD aTDC, there was no further impact on the soot emissions; moreover, the heat release, phased so late during the engine-cycle process, contributes very little to power production. An effort should be made to use an after injection with a small quantity at SOIafter no later than 30–35 CAD aTDC for tests at medium loads to avoid a significant fuel penalty.
Tests with double after injections, each of which has injected masses equal to 1.8 mg (the total injected quantity is 12 mg), have been reported in [217], and they show that ISFC and NOx are similar to the single-after-injection case with an injected mass of 3.6 mg (the total injected quantity is kept at 12 mg). In general, even for the double-after-injection strategy, the fundamental aspects remain the total quantity injected in the after injections and the delayed timing of the barycenter of the after injected fuel. The tested timings of the second after injection are 5, 10, 20 and 20 CAD ASOIAfter 1 and those of the timings of the first after injection are 10, 20 and 30 CAD ASOIMain. The results in [247] demonstrate that CO emissions with double after injections are slightly lower than with single after injections featuring the same global after injection quantity because wall impingement is avoided, in line with the results in [274,275]. Since the fuel participating in the after combustion with double after injections increased, compared to a single after injection, the after combustion was more vigorous, which led to more reduced CO emissions than in a single after injection.
Finally, the HC versus NOx trade-off has been analyzed in the presence of after injections and EGR: the total injected mass is fixed at 12 mg, and EGR ranges from 0% to 60%. The application of a double after injection (each after shot injects a mass of 1.8 mg) gave better results than those pertaining to the single after injection (with mass of 3.6 mg) for the NOx–HC trade-off: the double-after-injection strategy is used to reduce HC emissions due to wall impingement, and EGR is applied to contain NOx. In short, multiple after injections can be used when the timing of the after injection is late in order to reduce wall wetting effects.
Table 5 [217] shows the comparison of ISFC, emissions and maximum pressure rise rate (MPRR) between the case with the single injection and those with after injections under the same NOx level. The MPRR of single and double after injections was lower than that of single injections because the main injection quantity of after injection cases was lower than that of the single-injection case, which led to less vigorous main combustion. This can be another task of the after injections in early mixture formation LTC (SOIMain = 28 CAD bTDC for the tests in Table 5).
Table 5.
Comparison between main injection-only case and optimized post-injection cases under same NOx level [217].
There is an optimal SOIafter to reduce CO, smoke and noise. CO forms in [201] due to clouds from the rich mixture in the piston cavity: Figure 108 (single cylinder, SOIMain = 8 CAD bTDC, EGR = 40% and ε = 16, BMEP = 3.7 bar, n = 1300, swirl ratio = 2), which reports the temperature fields, shows that when the DT is too short (case SOIafter at TDC), the after injection cannot find the required air. The after injection reaches the side walls of the piston cavity and combust together with the main injection of fuel: there is a rich flame due to the inhibited mixing/oxidation of the after injected fuel, which cannot use the air at the center of the piston cavity, and hence, soot and CO form. On the other hand, when the start of the after injection occurs later than 5 CAD aTDC (cf. Figure 109 [201]), the after injection occurs after the main injected fuel ignition and combustion, and the liquid spray of the after injection is illuminated by the flame, which propagates towards the rich region (zones with φ > 2) near the nozzle. At the optimum timing for the after injection of fuel, i.e., SOIafter at 2 CAD aTDC, while the flame expands towards the root of the spray related to the after injection, the rich mixture with φ > 2, pertaining to the previous case, has already mixed and diffused into the surrounding air and disappears before the flame wraps around it.
Figure 108.
Flame temperature distributions [201].
Figure 109.
Results of shadow graph imaging [201].
In [82], the effect of the amount of after injected fuel on the combustion and emissions was explored with fixed EGR = 50% (this high value induces LTC), prail = 800 bar, SOIMain = 7.5 CAD bTDC, n = 1500 rpm and IMEP = 3 bar (ε = 18.8). As ETafter, and thus the amount of after injected fuel, is increased beyond a threshold (ETmain was varied to achieve the load condition and the total injected quantity is around 10 mg), soot emissions increase, while the NOx emissions remain relatively constant. Compared to the results with the single injection, the smallest amount of after injected fuel reduces soot emissions by 50% (DT can be equal to either 1400 μs or 1600 μs). Therefore, a sufficiently small energizing time should be applied to the after injection.
In Figure 110 and Figure 111 [82], the energizing time of the second injection (an after shot), was fixed at 100 µs and a dwell time ranging between 400 µs and 3200 µs was chosen to explore the effect of DT on emissions (SOImain is kept at 7.5 CAD bTDC). It was verified that all heat release rate curves showed the typical characteristics of the low-temperature combustion, which are a long ignition delay of the main injected fuel with a two-stage ignition. Open symbols indicate the emissions results pertaining to single injections. The NOx emissions are only slightly influenced by the dwell time; indeed, since temperature changes caused by after injection are expected to be negligible, due to the small injected fuel quantity, NOx emissions show similar results to those of the single-injection case. Lower soot emissions than those obtained with the single injection are achieved through the implementation of the after injection at specific dwell times. These specific dwell times correspond to intermedium intervals that avoid injection into an existing soot cloud or excessively low temperature; this result is consistent with those in [173] and with the previously shown outcomes of [201]. Furthermore, reduced soot emissions are also reached for DT = 400 μs. The discussed results of [82,201] show that when SOImain is phased as in CDC, SOIafter follows the same rules as in CDC, and there exist an optimal DT range for the soot emissions even for LTC.
Figure 110.
NOx vs. DT between main and after shots [82].
Figure 111.
Comparison of HC between single and main–after injections [82].
The HC emissions become higher than that of the single-injection case for greater dwell times than 1600 µs: this suggests that the temperature in the cylinder during the expansion stroke is too low to completely burn all the injected fuel. The shortest available dwell (400 µs) shows the best emissions results in all aspects. The combustion characteristics of a single and a main–after injection at DT ≈ 450 μs have been compared for IMEP = 3 bar. Prior to starting the main premixed burn, both the strategies have virtually identical cool-flame portions regarding the early heat release rate and long ignition delays. The application of a large EGR rate, with sufficient mixing time because of the long ignition delay of the main injection, is the major reason for the decreased engine-out NOx and soot emissions. A second long ignition delay is found in the case of an after injection: significant extra time is therefore available for late-cycle mixing of the fuel injected in the second injection before its combustion occurs. The increase in turbulence intensity at the late cycle by means of the after injection event close to the main injection also has an impact on soot reduction. Furthermore, the reduced DT induces sufficiently high temperatures during the after combustion, and HC species as well as soot can be oxidized. Finally, the reduced main injected fuel leads to lower HRR and to presumably reduced combustion noise for the after injection case.
The single and main–after injection performance for IMEP values between 3 and 4.5 bar have also been compared in [82]. The ET of the after injection was fixed at 95 μs, and DT was optimized at each load condition (the DT values ranged from 455 to 505 μs) for prail = 1100 bar. Despite a reduction in soot achieved for all load conditions investigated using the after injection strategy, the NOx emissions were held relatively constant and, above all, the maximum load was kept at 4.5 bar. At higher load than IMEP = 4.5 bar, the increase in the fuel amount and the lower tolerance to EGR rates did not allow the features of LTC (long ignition delay, and low soot and NOx) to be reached. Therefore, the after shot is not useful for increasing the maximum load of LTC.
3.3.3. Split Main Injection
In [276], a single cylinder with compression ratio ε = 16.3, IMEP = 4.1 bar, n = 1500 rpm and EGR beyond 50% was analyzed. The triple-split injections have injection timings at 15 CAD bTDC, 9CAD bTDC and 5 CAD bTDC: it is a split main injection because the various pulses, characterized by the conventional timing of a main injection, have similar injected quantities. The larger injected fuel mass of a single injection prolongs the ignition delay period under LTC, owing to a longer physical delay because of more difficult mixing than in the case of split injections. Although the combustion starts earlier in split injections, it progresses more gradually at a slower rate, as also reflected by a lower and delayed maximum rate of pressure rise and by the delayed 50% mass fraction burned (MFB50) instant. The combustion noise benefits of split injections come primarily through the reduction in the charge mass participating in the premixed combustion event, which is due to a shorter ignition delay. In Figure 112a [276], the comparison of spray profiles between the triple-split and single-injection cases show a widely dispersed spray with a shorter penetration and larger air entrainment with the triple injection (in the considered split injection, the percent of the fuel mass injected in the first, second and third injections are, respectively, 65.4%, 17.3% and 17.3% with a dwell period of 6 CAD between first and second injections and 4 CAD between 2nd and 3rd injections). In fact, a smaller injected fuel mass in each of the injections results in a less-dense spray and thus promotes better air entrainment and charge preparation. The air entrainment for the subsequent shots depends on changes in the in-cylinder pressure and temperature conditions at the time of injection, which would create differences in spray penetration and vaporization.

Figure 112.
(a) Spray profile; (b) charge distribution and (c) temperatures for single and multiple injections [276].
Figure 112b [276] confirms that the charge is more widely distributed and the values of φ at any crank angle are lower with split injections. A closer examination reveals higher equivalence ratio regions in the squish area near the cylinder wall at later crank angles for the single injection, which is probably due to a longer ignition delay facilitating more charge to reach the cylinder wall and crevice regions. Single injection features a higher percentage of rich fuel–air equivalence ratio regions in the 1 < φ < 2 range. The corresponding temperature distribution plots are reported in Figure 112c [276]: the ignition locations originate and grow out from the bowl edge, for split injections, while it is towards the center of the bowl in the single injection case, although the spray targeted the bowl edge even in the latter case. The high-temperature regions grow also more gradually for the split injections, signifying a gradual progress in combustion, while the phenomenon is much more rapid for the single injection, as indicated by the wider distribution of high-temperature regions in a shorter time interval. From the delayed start of combustion, due to a longer charge preparation time owing to a larger injected fuel mass and thus a longer ignition delay, and the subsequent wider distributions of high-temperature regions in the single injection, it is evident that larger amounts of premixed charge mass participate in the combustion in a short interval of time, and this leads to a higher pressure rise rate and higher combustion noise. Thus, the lower combustion noise benefit of split injections comes primarily through the shorter ignition delay, resulting in lower premixed combustion. Therefore, split injection can be useful to expand the load region of PCCI engines. In Figure 113 [276], in both split and single injections, a major UHC location originates along the cylinder axis near the injector, which could be due to the presence of over-lean regions associated with increased mixing at the end of injection. However, significantly higher concentrations of UHCs are located along the cylinder wall regions in the single-injection case. One of the obvious sources for UHC located along the cylinder wall regions is that originating from the crevice. A longer ignition delay in the case of a single injection allows for sufficient time for the charge to reach the cylinder wall and crevice regions. Unburned fuel from the crevice enters the engine cylinder during the later part of the expansion stroke, due to the lower cylinder pressure and does not oxidize owing to the lower temperatures prevailing in the cylinder wall regions. In split injections, the measured UHC concentration is about 2.3 times lower as compared to a single injection; the over-lean regions along the cylinder axis are the only important contribution. The absence of higher UHC concentration regions along the cylinder wall in split injections means that most of the fuel is well mixed and joins complete combustion before it reaches the crevice, due to the shorter ignition delay.
Figure 113.
HC for single and multiple injections [276].
CO formation is greatly influenced by the global/local fuel–air equivalence ratio. Under similar EGR rates and inducted air masses, a higher rate of fuel injection signifies higher fuel-rich local equivalence ratios in the single injection than the split injection case. The overall CO concentrations are therefore higher in the single-injection case. Since the CO oxidation kinetics require fairly high temperatures of around 1500 K, it is likely that most of the CO originates from the fuel-rich regions along the cylinder wall and crevice regions in the single-injection case, due to the partial oxidation of fuel owing to the lower wall temperatures.
In summary, the majority of the UHC and CO emission formation is located along the cylinder axis with split injections, while they reside along the cylinder wall regions in the single injection. The major contributing source for the higher combustion noise and HC emissions of single-injection LTC is the longer ignition delay, which promotes more premixed combustion and also allows for sufficient time for the fuel to reach the colder cylinder wall and crevice regions, thus determining fuel-rich mixtures along the cylinder wall regions.
The lower NOx and soot benefits of LTC, due to the longer ignition delay, should not be compromised while arriving at an optimum ignition delay. Optimizing the ignition delay for obtaining lower combustion noise and HC and CO emissions through split injection strategies, by selecting the optimal start of injection timings, swirl ratios and intake oxygen fractions, is an interesting research area to explore. If an early first injection and a second shot close to TDC (with SOIMain at 2–4 CAD bTDC) are implemented in a low compression ratio engine with large EGR rates (a sort of hybrid solution between pilot–main and split main injection concepts is designed in line with the UNIBUS idea), a combination of premixed and mixing-controlled combustion will occur [218]: on an energy basis, the pilot fuel was kept around 25% of the total energy. This injection strategy is valid up to BMEP = 10 bar and extends the PCCI zone compared to single injection, but at higher loads, the split injection strategy is insufficient for lowering the soot levels to less than the target value, namely 2FSN [247]. The early injection (SOI before 40 CAD bTDC according to an early formation LTC) occurs in the squish region and the second injection in the bowl zone. Combustion should begin with cool flames of earlier injected fuel, and then, the rest of the early DI fuel will be consumed by premixed combustion, but the late DI fuel will be consumed by mixing-controlled combustion, since this fuel has not had enough time to mix with air. A partially premixed compression ignition (PPCI) is thus obtained (cf. also Figure 102, which refers to a combustion case included in this typology). The pilot injected fuel typically has an ignition delay of more than 2 milliseconds (ms), which helps to enhance the homogeneity of the pilot fuel and air mixture before the combustion process. In fact, this fuel has a chance to vaporize and form a lean homogenous mixture before the initiation of the combustion process. The enhanced homogeneity of the pilot fuel helps to reduce the soot level by up to 1FSN depending on the quantity of fuel injected in the early injection, while NOx is contained because of the large EGR and low compression ratio (ε ≈ 14.3–15.5).
Figure 114 (cf. case 2) [211] still refers to the discussed PPCI strategy. At around 20 CAD bTDC, there is a small bump corresponding to the initial low-temperature heat release (LTHR), followed by a slow and long high-temperature heat release (HTHR) from about −10 to 10 CAD aTDC: both of them are related to the early direct injection. With 25% of the fuel energy contained in the early DI and plenty of time to mix throughout the entire chamber, the combustion will be very lean, will begin in the areas with the highest fuel concentrations and will proceed to leaner areas. The heat released by this process significantly shortens the ignition delay for the fuel injected in the second shot, and as a result, the rich premixed spike of the second injection is much smaller than that in the conventional diesel combustion mode. This leads to a decrease in NOx emissions compared to CDC. The discussed strategy (PPCI) that involves a double injection represents an alternative to the classic pilot–main LTC strategy presented in Figure 101 [273], where the pilot and main fuel burned together after the end of the main injection in order to increase the local equivalence ratios during the main injection. The advantage of the present PPCI strategy is in the reduction in the HRR peak of the premixed combustion pertaining to the second injection with benefits on the combustion noise and the rate of pressure rise.
Figure 114.
AHRR traces for different combustion modes [211].
The effect of pilot injection timing and quantity for a PPCI strategy at BMEP = 10 bar is discussed in Figure 115 and Figure 116 [247] for a low compression ratio engine adopting a cooled EGR fraction of 45%: at this load condition, an LTC could not be implemented with a single-injection strategy. The ECU continuously adjusted the quantity and timing of the main injection, so that the cylinder torque and the overall MFB50 were kept constant during the pilot quantity and timing sweeps. As the pilot injection timing is advanced starting from 20 CAD bTDC (the pilot injected mass is fixed at 7 mg), the soot decreases in Figure 115: if the pilot timing occurs ahead of 50 CAD bTDC, the HC emissions continue to increase, and there is no advantage for soot emissions. The CO emissions (not reported) also increase from 15.5 to 22g/hp-hr, as the pilot injection timing is advanced from 50 CAD bTDC to 70 CAD bTDC. Based on emission considerations, a pilot timing at around 50 CAD bTDC is therefore optimal. When the pilot injected mass is in the 6–10 mg range with SOIPil = 50 CAD bTDC, there is an increase in the HC emissions, due to wall impingement of fuel associated with early injection, but it is still possible to keep the fuel efficiency close to the baseline case. Instead, when SOI is ahead of 60 CAD bTDC, impingement becomes unacceptable and determines an increase in both soot and HC emissions, as is evidenced in Figure 115.
Figure 115.
Effect of SOIpilot on soot and HC emissions [247].
Figure 116.
Effect of SOIpilot on soot emissions at constant NOx [247].
In Figure 116 [247], a sweep in the pilot injection quantity at SOIpil = 50 CAD bTDC has been performed. An increase in the pilot injection mass is associated with a gradual decrease in the soot emissions. This is the result of better fuel–air mixing during the prolonged ignition delay provided by the pilot injection and of the simultaneous reduction in the main injected fuel: a pilot injection quantity of 10 mg, which represents 20% of the total injected fuel, is able to reduce soot emissions to the desired level of 2 FSN.
A key role of split injection strategies in LTC can also consist of regulating the ratio of the flame front propagation to the autoignition [277]. Flame propagation is in favor of the engine load extension because the overall heat release speed in the flame front propagation pattern is lower than that in autoignition pattern. The effective charge stratification makes some relatively fuel-rich regions ignite first, while the other relatively fuel-lean regions cannot be autoignited, which avoids more simultaneous autoignition sites and thus reduces the combustion rate.
Figure 117 [277], which refers to the PCCI mode with a single injection (SOI at 25 CAD bTDC, intake temperature at 125 °C) in a single-cylinder engine for IMEP = 6 bar, evidences that multiple autoignition kernels emerge within the combustion chamber at 13.9 CAD aTDC in the regions marked with “A”, “B” and “C” for PRF 70. The large ignition delay is due to the much lower cetane number of PRF compared to standard diesel fuel. The ignition regions “A”, “B” and “C” correspond well to the local fuel-rich zones. After the autoignition, in the next two images at 14.6 CAD and 15.3 CAD aDTC, the flame front of these three regions gradually propagates to locations with lower equivalence ratios; therefore, the local fuel-rich region induces initial autoignition and the subsequent sustainable flame front propagation. In the early stage of PCCI (from 13.9 to 16.8 CAD aTDC), a clear flame front propagation can be seen. For PCCI, the flame speed is relatively higher than that of SI engines which is only about 10 m/s or lower. For PCCI, the faster flame development (speeds of 10–60 m/s for single-injection late PCCI) means a faster heat release speed, shorter combustion duration, and thus higher engine efficiency. However, too high a flame speed results in high combustion noise and elevated MPRR. When additional autoignition kernels, pointed by arrows at 16.8 CAD aTDC, appear in the fuel lean region before the flame front arrives, these grow and merge with the previous flame zones at 18.2 CAD aTDC and the whole combustion chamber is occupied by flames at 19.6 CAD aTDC. Figure 118 [277] shows the corresponding time-resolved single-shot images of early PPCI (SOIpil = 60 CAD bTDC and SOImain = 30 CAD bTDC): 50% of fuel (PRF70) is injected in the first shot and 50% in the second shot for IMEP = 6 bar and PRF70. For the PPCI case, more autoignition sites are observed at 7.7 CAD aTDC than in the single-injection case, due to the increased premixed mixture fraction in which more sites reach the suitable temperature and φ for autoignition. Then, the flame kernels expand to the locations with lower equivalence ratios at a faster speed, as shown by the faster heat release, higher peak HRR and shorter combustion duration in Figure 119 (cf. the red and blue curves for late PCCI and PPCI, respectively) [277]. After 11.3 CAD aTDC, the combustion luminosity occupies the whole combustion chamber.
Figure 117.
Combustion images for PCCI mode with single injection [277].
Figure 118.
Images of PCCI split injection [277].
Figure 119.
In-cylinder pressure and HRR for PCCI (single and split injection) [277].
3.3.4. Pilot–Main–After Injections
The emission and efficiency characteristics of a single injection, and the pilot–main (pM) and pilot–main–after (pMa) strategies have been compared at BMEP = 10 bar in Figure 120 and Figure 121 for LTC in an engine (with displacement of 6 L) used in medium-duty trucks and buses [247]: in the pMa, the pilot injection is well before TDC (early pilot shot), and the after injection is well after TDC. The base condition was a single injection implemented to give an MFB50 at 7.5 CAD aTDC (SOIMain is at 7.7 CAD bTDC according to the CDC case, and the injected mass is 51 mg). The reference single shot injection, namely point 1, had an EGR of 44%. The soot was measured at 2FSN and NOx at 0.26 g/hp-hr. The EGR was then increased to 46% (point 2) to reach the desired NOx < 0.2 g/hp-hr, but soot increased to 3.5FSN (the sensitivity to EGR is high, in line with what was already discussed in Section 3.2). Emissions of NOx at 0.2g/hp-hr and soot at 2FSN could also be attained with the single-injection strategy as well (points 5), but the injection pressure needed to increase from prail = 142 MPa to prail = 165 MPa, and combustion phasing needed to be delayed to 15 CAD aTDC to simultaneously meet the NOx and soot requirements. However, the late MFB50 resulted in a significantly higher bsfc penalty. This is a typical problem of LTC at medium to high loads with single injections.
Figure 120.
Effect of injection strategy on smoke [247].
Figure 121.
Effect of injection strategy on NOx–bsfc trade-off [247].
Both the PCCI pM (point 3, SOIpil = 50 CAD bTDC, SOIMain = 7.7 CAD bTDC, pilot injection of 14 mg, main injection of 35.7 mg) and pMa (point 4) injections were then applied to limit soot below 2 FSN at constant NOx, but the pMa injection had a higher fuel-efficiency penalty (cf. Figure 121 [247]). In fact, when the main injection is phased around TDC, the after shot worsens the efficiency, whereas the opposite occurs when the main injection occurs early. Therefore, an optimized PCCI strategy can be the solution up to a threshold BMEP value within the medium-load range.
However, the situation changes at higher loads: Figure 122 [247] summarizes the procedure that was followed for soot reduction with a PCCI strategy at BMEP = 16.5 bar and n = 1671 rpm. At the baseline condition, a combination of EGR, which remains above 40%, and a single-injection strategy with MFB50 at 12.5 CAD aTDC achieved a NOx ≤ 0.2 g/hp-hr; a soot level around 5 FSN was observed (point 1). From here, the boost was gradually increased by closing the vanes of the turbocharger (points from 1 to 2): this vane sweep was implemented at constant NOx, which required EGR to be adjusted. This step reduced the soot from 5.1 to 4 FSN, as the oxygen availability increased. Next, a double-injection strategy was implemented: the early injection was gradually increased up to 20 mg (points from 3 to 4), and soot was reduced further to 3.2 FSN. The early injected quantities could not be excessively high, i.e., higher than 20 mg, to avoid premature autoignition (an early injection of 20 mg represented 22% of the total fuel injected per cycle in this case).
Figure 122.
Effect of injection strategy on NOx–soot [247].
Finally, the pMa injection strategy was implemented by adding the after injection into the early double shots phased slightly before TDC in order to further reduce soot (points from 4 to 5). With an after injection of 6 mg, it was possible to meet the desired soot target of 2 FSN (the after injection quantity represented approximately 7% of the total fuel injected per cycle). The implementation of the pMa injection incurred a small fuel penalty (less than 2%). The heat release characteristic for the PCCI combustion with the pMa injection strategy displays distinctively the LTHR earliest shot combustion, followed by the HTHR earliest shot combustion, then by the main heat release and finally the after injection heat release takes place. At this high load condition, the implementation of a PCCI schedule would lead to an excessively large pilot shot, which would make the MPRR and fuel concentrations grow excessively.
3.4. LTC Approach Exploitation in Modern Diesel Engines
The LTC strategy has an intrinsic drawback: it was conceived to simultaneously reduce soot and NOx engine-out emissions, but its operational range is limited at low loads. LTC is generally ineffective in reducing these pollutant species at medium to high loads, where they become an issue for diesel engines. Furthermore, LTC combustion mode gives a penalty on HC and CO engine-out emissions, which are already critical at low loads for CDC. Finally, early LTC can increase the combustion noise at low loads, that is, where the latter represents a fundamental contribution to the overall noise. In [278], two heavy-duty engines, derived from the same baseline hardware, have been considered for an experimental comparison. The first is a mass-production conventional diesel combustion engine (ε = 17.6), homologated as Euro VI, referred to as F1C Euro VI, the second is a low geometrical compression ratio version (ε = 14.6) that can work under PCCI combustion, referred to as F1C PCCI. Early SOI values are needed to effectively exploit a PCCI combustion, for which an increase in EGR determines a simultaneous reduction in NOx and soot engine-out emissions as in Figure 123 (BMEP = 3.6, n = 1400 rpm, SOImain = 28 CAD bTDC, prail = 500 bar). As the load rises, the difficulty in achieving a PCCI combustion is confirmed. However, although the classic NOx-soot trade-off is obtained for the FC1 PCCI engine at higher loads, the lower combustion temperatures lead to much lower soot and NOx levels than in the case of the FC1 Euro VI engine. This is proved in Figure 124, which compares the NOx-soot trade-off obtained in the FC1 PCCI engine with the one achieved in the F1C Euro VI engine; the combustion mode of the FC1 PCCI engine is hereafter referred to as “pseudo LTC”. Nevertheless, when the NOx-soot trade-off is not present for the FC1 PCCI engine, as is in Figure 123, the advantage in soot emissions, compared to F1C Euro VI, is augmented. On the other hand, the penalty on HC and CO emissions is greater for LTC than for pseudo-LTC. Furthermore, pseudo-LTC strategies can also be implemented at medium loads and speeds and, if early SOI values are considered, give less combustion noise compared to early mixture formation LTC.
Figure 123.
NOx–soot EGR trade-off at 1400 × 3.6 [278].
Figure 124.
NOx–soot EGR trade-off at 2000 × 5 [278].
Figure 125, Figure 126, Figure 127 and Figure 128 [58] compare a DoE-optimized pilot–pilot–main (ppM) injection with a pilot–main (pM) strategy, which represents a state-of-the-art double injection provided by the OEM that manufactured the engine, at BMEP = 2 bar (the pM was not DoE optimized). EGR sweeps were performed for both the strategies in the neighborhood of the optimized baseline points that are plotted with contoured symbols. The diesel engine features a low compression ratio, and the EGR rates are larger than or equal to 50% for both the strategies. The pM leads to late PCCI combustion, while the soot–NOx trade-off is present in Figure 125 for the ppM.
Figure 125.
NOx–soot EGR curves for pM and ppM at 1500 × 2 [58].
Figure 126.
HC–NOx EGR trade-offs at 1500 × 2 [58].
Figure 127.
bsfc–NOx EGR trade-offs at 2000 × 2 [58].
Figure 128.
CN–NOx EGR curves at 1500 × 2 [58].
The in-cylinder analyses in Figure 129 [58], which refer to the optimized baseline points, show that the premixed phase of combustion is intensified for the pM, due to the higher HRR peaks and to the lower superposition between combustion and injection events. Nevertheless, the ppM is also highly premixed, according to a pseudo-LTC scheme because of the large EGR rates, the postponed SOImain and the reduced geometrical compression ratio of the engine. The soot penalty introduced by the ppM is not critical, whereas there is a benefit for NOx, due to the lower availability of oxygen; in fact, the subdivision of the injection phase into three shots results in higher local φ values than in the case of the pM. This is also the reason for the augmented soot formation in the case of the triple injection. Furthermore, the ppM improves the HC-NOx in Figure 126 as well as the bsfc–NOx trade-off in Figure 127: the reduction in HC is in line with what was previously discussed about LTC and pseudo-LTC, whereas the slight bsfc improvement is related to the earlier barycenter of combustion.
Figure 129.
HRR versus distribution for pM and ppM baseline calibrations (1500 × 2) [58].
Finally, combustion noise is significantly improved in Figure 128 for the ppM due to the lower premixed combustion portion and smoother link between pilot and main combustions than in the circumstance of the pM. In particular, unlike the pM case, Figure 129 shows that the combustion of the ppM strategy continues uninterruptedly and without remarkable HRR value variations from the beginning of the first pilot burning until the end of the main injected fuel burning. In conclusion, the ppM calibration, which uses pseudo-late PCCI combustion, represents a better solution than the pM one, which leads to a real PCCI behavior.
In modern CI engines fueled with diesel oil, LTC and especially pseudo-LTC represent possible calibration modes of the CR engine, which can be exploited in some working zones of the engine operation area to reduce soot and NOx emissions, rather than combustion strategies for alternative engine architectures. Since its introduction, LTC has influenced the design of diesel combustion engines. For diesel passenger cars, the geometric compression ratio range has been enlarged from the initial 17–20 (early 2000s) to the current 15–16, the SOI range for the main injection has been extended from the initial 20 CAD bTDC-5 CAD bTDC (early 2000) to the current 40 CAD bTDC–5 CAD aTDC and the EGR rate from the initial 20–30% to the current 30–50%. These innovative designs with ε ≤ 16 allow LTC or pseudo-LTC strategies to be implemented successfully at some engine working conditions but are also suitable for obtaining excellent conventional diesel combustion when required. The flexibility and accuracy provided by last-generation CR engines in the management of the engine calibration parameters are fundamental for guaranteeing superior performance in both combustion modes with these setups.
For heavy-duty engines, combustion is typically optimized to maximize the engine efficiency and robustness of performance with respect to time, whereas management of pollutant emissions is demanded for aftertreatment installation. The combustion type is the diesel conventional type, even at low loads, and the geometrical compression ratio is therefore in the 17–22 range (depending on the size, ε can go from 17–18, for smaller heavy-duty engines with a peak firing pressure up to 180 bar, to 20–22, for larger heavy-duty engines with a peak firing pressure beyond 200 bar, despite the significant combustion noise. It is feasible that LTC will influence the future generation of heavy-duty engines, as a result of the transposition of technologies from the automobile to heavy-duty sectors.
4. CR Engines Fueled with Biodiesel and Green Diesel
4.1. Biofuels and E-Fuels
Fuels made from petroleum have dominated automobile transportation for the past century. There are two key reasons: first, cost per kilometer of travel has been virtually the sole criterion for many decades without paying attention to pollutant emissions and CO2. Second, the large investments made by oil and car companies in physical capital, human skills and technology make entry into a new cost-competitive industry difficult. In the last twenty years, because of the increase in crude oil prices, limited resources of fossil oil and greenhouse emission concerns, there has been a renewed focus on biofuels and synthetic fuels. The biofuels that result from the processing of biomass (secondary biofuels) can then be subcategorized in first-, second- and third-generation biofuels. The first-generation biofuels possess notable economic, environmental and political concern since the mass production of biofuels requires more arable agricultural lands, resulting in reduced lands for human and animal food production, in augmented prices of food as well as in reduced areas for forests, wetlands and peatlands.
Second-generation biofuels are fuels that can be manufactured from various types of non-food biomass. The feedstocks include lignocellulosic biomass or woody crops, cultivated inedible oils, agricultural residues (such as bagasses and straws), municipal wastes and waste cooking oil [279]. With reference to CI engines, in addition to second-generation biodiesel produced by transesterification of non-edible biomass, another kind of product that can be obtained from vegetable and animal non-edible lipid feedstocks (typically wastes) is a synthetic oil, which reproduces an ideal petrodiesel with an enriched quantity of long straight-chain alkanes [280]. Pyrolysis, hydrocracking and hydrodeoxygenation can also be used to produce such a renewable (nonoxygenated) diesel fuel [281], also referred to as “green diesel”.
Third-generation biofuels include microalgae and microorganisms, i.e., bacteria, yeast and fungi. Microorganisms are used to produce biofuels (such as bioethanol and biodiesel), directly through microbial photosynthesis or indirectly through bioconversion of an organic feedstock cellulose, starchy raw materials or sugar. The use of microalgae biomass feedstock has advantages over other microbial species due to their high lipid contents (20–77%), ease of cultivation and rapid growth rate [282,283]. However, producing microalgal biomass is generally expensive and technologically challenging, and this represents a very critical aspect.
The reported classification of biofuels, based on the three generations, is criticized by some authors [280]. The definition of “biofuels of second generation” and “of third generation” appears questionable because they do not have superior properties compared to biofuels of the first generation; in fact, the final products are very similar. From this point of view, it seems more consistent to refer to the diesel fuel obtained from waste biomass through pyrolysis, hydrodeoxygenation or gasification and the Fischer–Tropsch (F-T) process, as “renewable diesel” or “green diesel” rather than “biodiesel of second generation” and to make the distinction with the biodiesel obtained by means of transesterification (biodiesel). Since there is only a limited amount of feedstock available to satisfy potential demands for both biodiesel and renewable diesel, each fuel can only replace a few percent of the petrodiesel market: hence, biodiesel and renewable diesel do not compete with the other but complement each other. For similar reasons to those just discussed, it appears better to use the expression “algae-derived biofuels” instead of “third-generation biofuels”.
Another recent scenario involves e-fuels (electrofuels), which are synthetic gaseous or liquid fuels that are generated by means of green hydrogen, typically produced via the electrolysis of water using renewable electricity. Hydrogen is then combined with carbon dioxide from industrial exhaust gases or from the environment air via different conversion routes according to the desired final product. This can be the syngas that is then applied to a F-T process to finally give the e-diesel. In general, from the point of view of engine performance, e-diesel and green diesel with the same chemical formula are obviously equivalent.
Last-generation CR engines for passenger cars are less sensitive to fuel typology than diesel engines of the early 2000s, especially when tailpipe pollutant emissions are considered. However, this is not still the situation for truck and non-road mobile machinery (ships, locomotives and tractors) CR engines.
4.2. Biodiesel: Performance and Comparison with Petrodiesel in CR Engines
4.2.1. Injection Characteristics
Since the bulk modulus of biodiesel is higher than that of petrodiesel, the higher peak injection pressure [284] and the faster transmission of the compression wave from the pump to the injector induce an earlier injector needle opening [285] of 0.5–2 CAD in in-line pump and rotary/distributor-style fuel injection systems.
Furthermore, the reduced LHV of biodiesel requires more fuel to be injected in order to match brake torque produced with petroleum diesel [286]. In [287], the LHV of the considered biodiesel is usually 10% lower than that of mineral diesel on weight basis, but since biodiesel has higher density, the overall impact is approximatively 5% lower energy content per unit volume. This induces an increase in the pulse width of in-line and rotary/distributor fuel injection pumps, which must deliver the higher volume needed for biodiesel to produce the same power as mineral diesel (mechanical fuel injection systems generally work on a volume basis) [288]. If the end of the injection timing is fixed, the timing for the start of an injection occurs earlier or a less pronounced delay takes place as load increases; in fact, the effect of the reduced ignition delay with increasing load is overbalanced by that of the increased ET [289], although some delays can occur at the highest load to control the maximum in-cylinder pressure. About half of the start of hydraulic injection advance with biodiesel, compared to diesel, is due to an advance in the start of injection command because of longer pulse widths, and the other half is due to the bulk modulus increase. These two effects contribute to about half of the SOC advance that occurs with biodiesel, compared to petrol diesel, and the other half is attributed to ignition delay: a 3 CAD advance in SOC is observed in [288] with a mechanical injection system for biodiesel, but it can reach several degrees, depending on the propulsion system technology and on the considered working condition. Furthermore, biodiesel has a higher viscosity, which results in less injector leakage, and this also contributes to an earlier start of injection in mechanical systems: in fact, higher leakage causes a decreased rate of pressure rise and thus delays start of injection. Hence, the effect of viscosity may also contribute to some advances in SOI for biodiesel. The lengthening of the pulse width affects other control parameters in addition to SOI and SOC, that is, the calibration shift corresponds to a higher perceived load.
The use of a CR system can substantially change the impact of biodiesel on injection. For example, the effect of biodiesel’s higher modulus on injection timing can be canceled [290] because the injection pressure level is stabilized by the control system, that is, the pressurization is not purposely generated for each injection event, and the injection timing is established more accurately than in mechanical injection systems [291]. Furthermore, the nozzle opening delay (time interval between the rise in the command and the start of the hydraulic injection) is the same for both biodiesel and petrodiesel (it is usually 10–15 μs higher for biodiesel [292]) and is around 250–270 μs [293], which is much lower than the values for mechanical injection systems.
Above all, the CR provides superior flexibility in the management of the injection law according to the different fuel properties [294]. Nevertheless, the injection duration remains larger for biodiesel than for petrodiesel: although the start of injection can be made the same for both biodiesel and petrodiesel, the end of the injection is postponed for biodiesel to achieve the same engine load. In Figure 130 [295], the volumetric injected flow rate of soybean biodiesel and mineral diesel are compared under the same ET = 500 μs and electric SOI for a CR system: at prail = 500 bar, the volumetric injected flow rates are almost identical for the two fuels, whereas at prail = 1000 bar and prail = 1350 bar, biodiesel has a lower slope of the injection rate in the initial part. Furthermore, at prail = 1000 bar and prail = 1350 bar, the durations are appreciably longer for biodiesel because of the lower modulus of the slope of the injection rate in the decreasing part. In other words, the biodiesel for fixed ET features a longer nozzle closure delay. These differences in the volumetric injection rate are related to differences in the fuel viscosity, which affects the needle dynamics by means of friction forces [296], especially at the higher rail pressure levels, when the needle velocities are more elevated. The augmented viscosity of biodiesel also resists the mass flow rate passing through control orifices (holes A and Z) within the injector, which affects the pressure difference between the control and delivery chambers of an injector by slowing the needle lift movement compared to mineral diesel [297]. Figure 131 [298] reports needle lift and fuel velocity time histories at the nozzle hole exit (the viscous friction on the nozzle surfaces also reduces the fuel velocity) as well as the actual spray width for a single injection at prail = 1500 bar: the needle lift has a notable effect on the Sauter mean diameter (SMD) and other spray characteristics [299].
Figure 130.
Comparison between biodiesel and petrodiesel fuel injection rates [295].
Figure 131.
Needle-lift, exit fuel velocity and spray-width time histories of petrodiesel and biodiesel (pamb = 1 bar, Tamb = 300 K) [298].
Since the biodiesel density is higher than that of petrodiesel and the maximum volumetric flow rates are similar for the two fuels, the maximum injected mass flow rate is higher for biodiesel at fixed ET and prail [296].
When multiple injections are implemented, more differences arise between the biodiesel and petrodiesel injection profiles, compared to the case of single injections [300]. In fact, the fuel properties affect the frequency and amplitude of the pressure waves that travel along the high-pressure circuit of the CR system and those are triggered by nozzle opening and closure. Each pressure wave train, generated by an injection event, has an impact on the injection rate of subsequent shots of the injection schedule. For example, differences can arise in the peak value of the main injected flow rate when a pilot–main injection with fixed ETs is considered [293]. Furthermore, the different needle dynamics responses can appreciably change the hydraulic dwell time and thus alter the overall fuel quantity injected in the multiple injections [301]. All these disturbances on the optimal injected flow rate pattern of the multiple injections can be controlled by acting on the electrical dwell times and the energizing times of the various injection shots.
4.2.2. Atomization and Spray Macroscopic Characteristics
Figure 132 [302] shows spray images captured by means of a high-speed CCD camera (CR injector, prail = 700 bar, Minj = 10 mg/cycle) in an environment ambient at 20 bar for the petrodiesel and biodiesel blends B20 and B40. The fuel properties, such as kinematic viscosity, density and surface tension, play important roles in spray atomization and evolution. Viscosity affects continuous film formation of fuel emerging from the injector nozzle, followed by ligament and drop formation (primary breakup), before disintegration into smaller droplets (secondary breakup). Increased viscous forces of biodiesel result in a lower tendency for liquid distortion, which reduces the rate of disruption of fuel packets into tiny fuel droplets. This also results in longer penetrations. Furthermore, higher surface tension forces of biodiesel reduce irregularities on the boundary of the spray plume, which prevents the formation of spray ligaments and subsequent disintegration of the fuel jet into tiny fuel droplets. Finally, a higher fuel density is another factor contributing to the inferior atomization characteristics of biodiesel because it affects spray compactness and penetration, although the contribution of density is considered the lowest among the three discussed properties [303].
Figure 132.
Comparative spray evolution of petrodiesel, B20 and B40 in a constant-volume bomb [302].
As a practical result, the higher viscosity, surface tension and density of the biodiesel, together with the lower velocity of the particles at the nozzle hole exit (cf. Figure 131), induce lower droplet numbers and higher SMD near the nozzle tip, that is, at an axial distance from the nozzle tip up to 30 mm [299]. This is visualized in Figure 132, with the images of B40 exhibiting slightly more whitish colors, which indicate a slightly denser spray with larger size particles. In the case of pure biodiesels (B100), SMD is larger [304] and can be from 5% up to 40% higher compared to mineral diesel. Furthermore, the spray structure of biodiesel is less turbulent than that of mineral diesel because of the higher kinematic viscosity, lower exit velocity and corresponding lower Reynolds number [298]. Less turbulent flow characteristics of biodiesel spray cause less active interactions with the surrounding air in the spray periphery, and hence, smaller detectable spray width and denser core regions are observed. Inferior turbulence of biodiesel also causes lower total mass of entrained in-cylinder gases within the fuel plume and thus an inferior air–fuel mixing intensity.
The worsened atomization of biodiesel and of its blends can be compensated by increasing the injection pressure, by adding a pilot injection or by acting on SOI, which are all easy tasks for a CR system. A higher fuel injection pressure results in relatively smaller fuel droplet sizes, compared to lower injection pressures [302]. Moreover, when a pilot injection is added, the relative velocity between the fuel spray and environment can increase during the main injection, compared to the single-injection case, due to a possible wake effect (cf. Section 3.3.1), and this enhances the influence of the drag force on the spray droplets: fuel atomization of the main spray is promoted, especially for biodiesel [293]. Finally, higher in-cylinder pressures, which result from delayed SOI values, promote breakup of fuel droplets into smaller ones. The delayed SOI during the compression stroke also makes in-cylinder gas temperatures increase, which affects the evaporation characteristics, and thus a more homogeneous fuel–air mixture can be formed.
The spray evolution process of biodiesel and petrodiesel is still generally similar [304]. In Figure 132, B20 and B40 show initially delayed spray evolutions compared with petrodiesel, also due to the discussed delayed response of the injector for more viscous fuels [305]. The relatively shorter ET for the same fuel injection quantity might be another reason for a quicker evolution of the fuel spray in the case of mineral diesel. Diesel fuel has somewhat shorter penetration than blends of fish-oil biodiesel [306] due to its rapid atomization because of the lower density and viscosity and due to the larger opening angle of the plume (θ) because of the lower density [307]. Penetration increases and θ decreases as the percentage of biodiesel in the blend increases.
Consistent results with those above were also reported by other authors for various feedstocks of biodiesel [296,308] when straight injection holes (ks = 0) continue to be applied, although the differences between the spray characteristics can also be more or less appreciable, depending on the boundary conditions. In [294], the application of higher pressures (50 bar) in the environment, where the nozzle injects the fuel, makes the difference between biodiesel and mineral diesel final penetration lengths increase up to 30%: the fuels penetrate the high-density gas with difficulty and the final length of the plume is more affected by the atomization performance. Instead, in [295], the results show that petrodiesel has significantly higher penetration than biodiesel: conical convergent injection holes (ks > 0) have been applied, and petrodiesel shows a significantly higher final penetration (+10–20%) than biodiesel at the different pnom levels. In fact, the intense fuel cavitation inside the nozzle is inhibited for the case of petrodiesel, with the k = 1.3 holes resulting in increased spray penetration and smaller spray angle, whereas biodiesel performance is substantially unaffected by the change in k from 1.0 to 1.3 due to the less intense cavitation phenomena (the vapor pressures of biodiesels are typically much lower than that of petrodiesel). This fact highlights that the differences in penetration between biodiesel and diesel are affected by the important role that cavitation can play in fuel atomization: the shorter breakup times for the diesel spray in the k = 0 case could be ascribed to the more intense cavitation inside the nozzle hole with respect to biodiesel in addition the different characteristics (viscosity, surface tension and density) of the two fuels.
The penetration and the conical angle of the biodiesel spray can also be optimized by acting on the nominal rail pressure of the CR apparatus and on SOI. Higher injection pressures give longer spray penetrations, which is mainly due to higher momentum of fuel droplets, and reductions in the cone angle. Postponed SOI values during the compression stroke produce larger θ values and denser sprays with shorter penetration lengths because of the higher resistance offered by denser air [302] and improved atomization. Finally, a moderate variation in the protrusion of the nozzle tip of the CR injector can also be adopted when employing biodiesel fuels in order to replicate the petrodiesel penetration target [309]. Spray area (the area of spray in 2D optical images [310]) is another important macroscopic parameter, which should be large for CI engines because it affects the interaction of fuel droplets with the air. A larger spray area is a qualitative measure of fuel–air mixture homogeneity [311]. In Figure 132, the effect of petrodiesel and biodiesel on spray area cannot be appreciated, although, since the fuel injected quantity used for spray atomization is constant (10 mg/cycle), a shorter penetration should be coupled to a larger spray area (a fixed injected quantity leads to a constant conical volume of the jet for fixed injection conditions) [302].
4.2.3. Ignition Delay
It is generally reported that biodiesel has a shorter ignition delay (ID) [312] in the 10–45% range [2,3,4,5,6,7,8,9,10,11,12,13,14,15,16,17,18,19,20,21,22,23,24,25,26,27,28,29,30,31,32,33,34,35,36,37,38,39,40,41,42,43,44,45,46,47,48,49,50,51,52,53,54,55,56] due to the higher cetane number that results from the presence of oxygen in the fuel molecule, although some studies have pointed out the opposite or have established that the two fuels feature a similar ID [298]. The influence of the engine operating conditions and the physical properties of the biodiesel feedstock appear to be determinant for the final result of the comparison [307].
Ignition delay is the sum of a chemical ignition delay, which depends on the fuel chemical properties, and a physical ignition delay, which depends on the physical properties of the fuel. The chemical delay is the induction period measured in compression machines and depends on the cetane number, whereas the physical delay is the time between the start of injection and the attainment of chemical reaction conditions. During the latter period, the fuel is atomized, vaporized and mixed with the comburent. The physical delay is usually smaller than the chemical delay [313]. The presence of oxygen in biodiesel molecules ensures higher reactivity, leading to faster ignition compared to petrodiesel, especially when the oxygen availability is low. Furthermore, the presence of long-chain species in the esters of biodiesel also acts as a contributor to chemical ID reduction, whereas the possible increased unsaturation, due to double-bond structuring of fatty acid chains, would on its own increase chemical ID.
Fuel physical properties such as vapor pressure, heat of vaporization, heat capacity, boiling point and those that affect atomization exert an important influence on the final value of ID [314]. The lower vapor pressure, the higher distillation curve and the higher SMD of biodiesel indicate that the evaporation process is slower, thus increasing physical ID [315]. However, the heat capacity of biodiesel is lower and the temperature of the injected fuel can rise at a faster rate, resulting in sooner evaporation starts: the lower heat capacity of biodiesel contributes to reduced physical ID penalties to an appreciable extent.
The investigation performed in [316] uses ULSD, B100 and B20 (biodiesel is a soybean-derived methyl ester) fuels, featuring virtually the same cetane number (46 for diesel and 47 for both B20 and B100); in this way, the effect of the chemical ID is made negligible in the comparison. The mineral diesel has the shortest total ID, followed by B20 and B100 (the ID of B100 was on average 8.5% longer than that of diesel oil). The physical fuel properties play a fundamental role and highlight how the physical ID is higher for biodiesel. For the specific case of soybean, an important factor was identified in the evaporation characteristics: soy methyl ester biodiesel mainly comprises one hydrocarbon chain (C19H35O2), whereas diesel comprises many hydrocarbon chains of varying lengths. The pure biodiesel has one specific distillation temperature, which is higher than the average distillation temperature of mineral diesel [317]. Since the latter fuel includes many hydrocarbons, the lighter-weight hydrocarbons vaporize first and form a combustible mixture, initiating combustion and reducing the physical ignition delay. Another primary property affecting physical ID was the worsened atomization of biodiesel, which reduces air entrainment into the spray plume and thus requires more time for the biodiesel to form a combustible mixture.
In general, the balance between all physical and chemical factors, based on the empirical evidence, usually shortens the ID of biodiesel compared to petrodiesel fuel because the chemical ignition delay reduction usually prevails over the physical ignition delay increase. The physical properties of a fuel become the predominant factor when the difference in cetane numbers between biodiesel and mineral oil is small. In these cases, ID increases for biodiesel, due to the increase in the physical ignition delay. In some more complex cases, the chemical factor or the physical factor can be predominant depending on the value of the fraction of biodiesel in the blend, on the engine technology as well as on the working condition: for example, in [318], B20 (soybean is considered) showed a shorter ID compared to petrodiesel (the chemical factor prevails), whereas B40, under most operating conditions, showed longer ID (the physical factor prevails).
In [319], the increase in the injection pressure results in a reduction in ID, regardless of fuel type and injection timing. Furthermore, ID generally decreases as the in-cylinder pressure and temperature increase or the turbulence level of the mixture in the chamber intensifies. The equivalence ratio of the mixture is also another important factor affecting the ignition delay [320]. All these variables can be accurately controlled in CR engines by acting on suitable calibration parameters (such as nominal rail pressure, ET, SOI, EGR fraction, boost pressure and swirl factor), which can be managed to compensate for the difference between the ID values of biodiesel and petrodiesel at each engine working condition, based on the physical and chemical properties of specific biodiesel feedstock.
4.2.4. Lift-Off Length
Figure 133 [321] visualizes the flame development from autoignition to the time when a stable flame is present for waste cooking biodiesel (WCO) at prail = 1000 bar (first row) and prail = 2000 bar (second row). Large ignition regions emanate luminescence (cf. white color zones) because the ignition occurs simultaneously at multiple locations of the combustion spray. The ignition delay in the images shortens when prail increases (it reduces from 1.22 ms at prail = 1000 bar to 1.1 at ms at prail = 2000 bar), consistently with what was previously explained. After the autoignition, the flame propagates around and, in particular, travels upstream from the ignition location until it stabilizes at a quasi-steady location up until the end of fuel injection.
Figure 133.
High-speed video camera based on a OH chemiluminescence technique for WCO: injection hole with diameter dh = 160 µm and constant volume vessel (first row prail = 1000 bar, second row prail = 2000 bar) [321].
The distance between the injector tip and the autoignition location is related to the timescale for heating the fuel to the autoignition temperature by mixing hot ambient air into the jet [322]. The autoignited flame can be regarded as a premixed flame, which usually arises from the mixing of the fuel with air prior to the formation of a flame kernel [321]. Instead, the lift-off flame is a diffusion flame formed as a result of the increase in size of the autoignited flame and the lift-flame length indicates how much air is entrained in the jet upstream from the diffusion flame. The lift-off length is smaller than the distance from the nozzle to the point at which ignition occurs. The upstream stabilization point of the lift-off indicates an additional heating source for the fuel, which reduces the need for mixing with hot air compared to autoignition. Such an additional heating comes from the hot combustion products at the flame periphery.
From a mechanical point of view, a possible explanation is that the stabilization point exists where the mean fuel spray velocity is equal to the turbulent flame speed, and this occurs at the contour of the mean stoichiometric mixture, upstream from the ignition location; in fact, stoichiometric or near stoichiometric combustion occurs near the lift-off length [148]. When the injection pressure increases, the fuel spray velocity increases, thus pushing the autoignition and lift-off locations farther downstream. In general, fuels with shorter ignition delays generally have smaller lift-off lengths, even though there are exceptions at particular in-cylinder charge temperatures and densities that lead to cool flames [320]. Therefore, the lift-off length decreases by increasing the temperature of the in-cylinder gases (this is obtained by delaying SOI) and by increasing the oxygen concentration, as occurred for the autoignition delay.
4.2.5. Combustion Characteristics
Figure 134 [323] provides the HRR traces at three loads (n = 1400 rpm, cases a, b and c) and the corresponding mass fraction burned curves for pure palm-olein biodiesel (dashed line) and petrodiesel (reference): the results are for a CR engine and the conventional combustion mode. By analyzing HRR under the same calibration, one can note (1) an earlier SOC for biodiesel; (2) a reduced HRR for biodiesel, especially at medium and high loads; (3) earlier diffusive burning start with biodiesel; and (4) sooner combustion finish for biodiesel.
Figure 134.
HRR distributions (left) and corresponding burned mass fraction distributions (right) for different loads: (a) low load; (b) medium load; (c) high load [323].
The earlier SOC of the pilot injected fuel is due to the shorter ignition delay of biodiesel (the shift in SOI is canceled with the CR technology). When a pilot injection is added at low load (case a), the SOC of the main injection is the same for both the fuels because the heat released by the pilot injection makes the effect of the different chemical and physical fuel properties null. If mechanical injection systems were used, the differences between SOC instants of biodiesel and petrodiesel would be larger than in Figure 134, due to the additional significant contribution of the differences in SOI. In [288], where a distributor-type fuel pump was used, bulk modulus differences between B100 (soybean biodiesel) and diesel, together with a shorter ignition delay, gave about a 3.5 CAD advance in the SOC of biodiesel (at full load and 1400 rpm).
In general, the reduced ignition delay, the deterioration in air–fuel mixing due to poor atomization, the lower LHV and the lower volatility, which results in fewer evaporated droplets during the ignition delay [307], tend to reduce the premixed combustion intensity of biodiesel [307]. Although the maximum HRR, which increases with the intensity of premixed combustion, is usually lower for biodiesel, there can be also inconsistencies due to the type of feedstock used for the biodiesel or due to the working condition. As an example, in [324], the HRR of blends of rice bran biodiesel is higher than that of pure petrodiesel at low engine loads; in [325], the maximum HRR of rapeseed biodiesel is higher than that of petrodiesel; in [326], the considered petroleum diesel and soy biodiesel have similar HRRs (single injection at BMEP ≈ 2 bar at 1400 rpm, SOI = 8 CAD bTDC, prail ≈ 815 bar, EGR = 0); and in [327] (pilot–main injections at BMEP ≈ 4 bar at 1500 rpm, prail ≈ 800 bar, EGR = 0), the HRR peak is higher for soybean biodiesel than for petrodiesel. In general, the differences in intensity of the premixed combustion between biodiesel and petrodiesel result from differences in the amount of fuel burnt during the ignition delay. The ignition delay generally reduces for biodiesel, but its injected mass flow rate increases compared to petrodiesel; therefore, the fuel mass injected during ID may be similar for the two fuels. Such a mass can be either higher or lower for biodiesel, although it is usually lower, due to the prevailing effect of the ID reduction on that of a density increase. The mass of fuel burning at the end of the ignition delay, in addition to the duration of the latter, is also clearly affected by fuel atomization, evaporation and mixing with air, and its value determines the first abrupt in-cylinder pressure rise at combustion development, thus largely affecting the HRR peak value. The pressure rise rate at the end of ID gives an important contribution to the final combustion noise, which is a rough measure of combustion quality: lower in-cylinder noise shows smoother combustion and higher in-cylinder noise reflects a knocking tendency due to the presence of intense pressure or shock waves. With reference to the CDC mode, the combustion noise of biodiesel can be either higher (up to 1 dBA) or lower (down to 3 dBa) than that of petrodiesel [199], although it is usually lower because ID and the value of the burned fuel mass at the end of the autoignition time have previously been confirmed to be generally smaller for biodiesel. Combustion noise is a significant part of overall noise and is the predominant noise at low engine speeds. Furthermore, since biodiesel improves lubricity, it enhances mechanical noise, which is the predominant type of noise at high speeds.
A lower impact of premixed burning produces an increased fraction of diffusive combustion. In general, the low- and mid-load conditions in compression ignition engines exhibit significant premixed burning that is characterized by the presence of a narrow HRR peak, while the high-load conditions exhibit a larger fraction of diffusive burning that follows an initial smaller fraction of premixed burning. The generally shorter ignition delay of biodiesel leads to quicker evolution to diffusion combustion, which therefore tends to start earlier. The reaction mechanisms of diffusion combustion are slower than those of premixed combustion and, for this reason, should lead to a slower combustion rate [289]. However, biodiesel has a faster burn rate during diffusion combustion than petrodiesel [328] (cf. Figure 134, where the diffusive burning is dominant in the later portions of combustion), probably because the oxygenated fuel structure decreases the mixing time with air required for diffusive burning [289], with this being in line with the results on the reduced lift-off length of biodiesel. Initially, in the premixed combustion process, biodiesel and petroleum diesel have similar burn rates. On the one hand, the presence of oxygen in the fuel molecule increases the burning rate [315]; on the other hand, the more viscous nature of biodiesel reduces the burning velocity [329] (since the Prandtl number is close to unity for gases, a lower kinematic viscosity implies a lower thermal diffusivity and thus a lower flame propagation speed), and the slightly prevailing effect depends on the original feedstock. As mentioned, when diffusive combustion becomes predominant, diesel fuel combustion slows down compared to that of biodiesel, and in spite of the increased fraction of diffusion burning, biodiesel generally has a shorter global combustion duration and hence longer expansion phase [288]. The difference in combustion duration increases as the fraction of diffusion-controlled burning grows. However, inconsistencies can be found in the literature about the duration of combustion between biodiesel and petrodiesel, i.e., biodiesel combustion can even be longer, depending on the type of feedstock used for the biodiesel (different stocks can feature different oxygen contents) and on the engine operating conditions [307], which lead to different impacts of premixed and diffusive combustion.
When a pilot injection is added, the subsequent injection features a large diffusive combustion for both biodiesel and petroleum diesel. In Figure 134, the presence of a double injection (case a) globally tends to increase the differences between the burned mass fraction curves of biodiesel and petrodiesel, compared to the cases of single injections. The presence of two pilot injections makes the differences between the fuel properties more sensitive, with the HRR peak generally being higher for petrodiesel.
As far as the in-cylinder temperature is concerned, adiabatic temperatures are in general similar between biodiesel and petrodiesel because biodiesel has both a lower heating value and a lower stoichiometric air/fuel value [307]. In detail, the adiabatic temperature depends on the fuel molecule structure and increases with both an increased C/H ratio and an increased iodine number. The C/H ratio is generally slightly lower for biodiesel than for petrodiesel, but the number of unsaturated compounds is higher for biodiesel [330]. Therefore, the adiabatic temperature of biodiesel can be either higher or lower than that of petrodiesel, depending on which of the two effect prevails, but this temperature does not generally vary much with the biodiesel feedstock. In general, the differences are below 50–60 °C and hence are not significant but can become appreciable in some specific cases. In [329], where a microalgae biodiesel blend (microalgae have similar C/H ratios to those of the most common types of biodiesel but are highly unsaturated) is considered, the calculated maximum average gas temperatures at high load can differ by more than 300 °C, compared to pure petrodiesel. Radiation heat transfer decreases with biodiesel, due to the diminished concentration of aromatic species and increased concentration of fuel-bond oxygen, and this would increase the post-flame gas temperature for biodiesel. However, this effect is small, given the small contribution of radiative heat transfer, even in petrodiesel combustion systems. In addition to this, aromatic species have higher adiabatic flames, and they raise flame temperatures in petrodiesel compared to biodiesel [331]. This more or less counterbalances the reduced radiative heat transfer effect that occurs in biodiesel because of the absence of aromatic species.
The temperature differences at the engine exhaust obviously depend on the maximum in-cylinder temperature, but the combustion development is also fundamental. For a fixed maximum in-cylinder temperature, a higher exhaust gas temperature indicates delayed or slower combustion, whereas lower exhaust gas temperatures indicate an advanced or quicker combustion. Since biodiesel generally exhibits shorter ID and shorter combustion durations than petrodiesel, lower exhaust gas temperatures are measured for a fixed maximum in-cylinder temperature. In [288], the exhaust temperature of soybean biodiesel, which has slightly less maximum in-cylinder temperature than petrodiesel, was nearly 10 °C lower at full load and n = 1400 rpm (low-end torque zone). However, the exhaust temperature of biodiesel was higher than that of petrodiesel in [332], where tests were performed with linseed biodiesel, as a consequence of a higher peak in-cylinder temperature. In general, the temperature difference at the engine exhaust is lower than 30–40 °C and is therefore not significant (a noteworthy difference should be around 100–150 °C).
The heat release law of a CR engine fueled with biodiesel can be modified by acting on pnom and SOI, but also by modifying EGR or the boost pressure or by using multiple injections. Researchers find an increase in premixed combustion (constant volume burning) with greater injection pressures [309] leading to larger HRR peaks and higher in-cylinder maximum temperatures. The superior spray atomization and the larger spray area at higher injection pressures result in finer spray droplets that aid in faster fuel–air mixing and produce earlier SOCs [333] as well as reduce combustion duration. The effect of injection timing at a fixed pnom is also noteworthy. The maximum HRR increases when SOI is advanced because the ignition delay lengthens (SOC is negatively correlated with SOIpil when early electric commands are considered), turbulence of the mixture becomes more intense, and more homogeneous air–fuel mixture is formed during the ignition delay and is combusted in the premixed phase, which leads to higher peak in-cylinder pressures.
In general, the combustion characteristics of mineral diesel and biodiesel blends vary similarly as prail or SOI changes. Figure 135 [318] compares the HRR traces of mineral diesel, B20 and B40 (soybean biodiesel is considered) for different SOImain values and prail levels at 1500 rpm (the fuel injection quantity was kept equal to 15.5 mg in all cases). The HRR traces do not change significantly with the fuel properties and could be kept uniform by changing some calibration parameters by means of the CR system. The HRR peak increases and the combustion duration decreases (narrower HRR curves) by increasing prail or advancing SOI. As previously discussed, an earlier end of injection at higher prail provides more chance for air–fuel mixing, leading to dominant premixed combustion and an advanced combustion barycenter with lower exhaust gas temperatures. Combustion is more stable at lower prail values, and the irregularities present in the HRR trends show a higher knocking tendency at higher prail. The start of combustion occurs earlier at higher prail, but the sensitivity of SOCs to this parameter is generally lower than that to SOI. The start of combustion might not change if higher injection pressures and earlier SOI are implemented simultaneously; in fact, higher injection pressures result in superior atomization and earlier SOC, but an advanced SOI at higher injection pressures results in long spray penetration due to lower in-cylinder pressures and temperatures, and this leads to inferior fuel–air mixing. In fact, the surface-to-volume ratio of a fuel flume with fixed conical volume, i.e., a fixed injected mass, increases for lower penetration lengths. As a result of these two counter-effects, the SOC is not influenced significantly in Figure 135, when SOI is advanced at higher injection pressures.
Figure 135.
HRR variations with prail (columns) and SOImain (rows) for petrodiesel, B20 and B40 at different prail and SOImain [318].
A superior limit for prail exists at each working condition since some biodiesel can remain unburnt at excessively high prail due to too long spray tip penetration [333], and in the case of Figure 135, the optimal prail is generally obtained at prail = 700 bar. With reference to SOI, its advancement is usually limited by a peak rate of pressure rise limit at 10 bar/deg. On the other hand, SOI cannot be delayed after TDC in conventional combustion because a clear drop in BMEP is observed.
Multiple-injection strategies in combination with biodiesel have been studied more rarely [334]. Figure 136 [335] shows the in-cylinder pressure and heat release rate for soybean biodiesel (Figure 136a) and diesel (Figure 136b) fuels at 1500 rpm and IMEP = 4.4 bar (prail = 500 bar, SOImain = 10 CAD bTDC, Mpilot = 2 mg) under three different pilot injection timings compared with the single-injection mode. In line with that discussed in Section 2.3.1, pilot injection induces higher in-cylinder pressures, lower Sauter mean diameters of the particles during the main injection, lower ignition delays and lower peak heat release rates of the main injection compared to the single-injection condition. This intensifies the diffusion combustion. When the pilot injection timing is delayed, the in-cylinder pressure becomes higher and the pilot combustion occurs more quickly. In the SOIpil = 30 CAD bTDC case, the increased in-cylinder pressure and temperature cause the pilot injected fuel to reach the self-ignition condition significantly earlier. The pilot injection has enough time to combust and create a hot and high-pressure environment for the fuel injected during the main injection.
Figure 136.
Effect of SOIpil on the combustion characteristics of biodiesel and petrodiesel (experimental results): (a) biodiesel; (b) diesel [335].
The HRR traces in Figure 136 for the SOIpil = 30 CAD bTDC case are consistent with those in Figure 134a (in that case SOIpil = 17 CAD bTDC, SOImain = 3 CAD aTDC) because both refer to a moderately early LTC: the differences are primarily due to the different biodiesel feedstocks that have been considered. Instead, the more advanced SOIpil cases, which are consistent with an early mixture formation LTC, induce a leaner charge for the pilot injected fuel, and the pilot injected fuel is ignited almost together with the main injected fuel.
4.2.6. Engine Performance
The energetic parameter, defined as Hi/αst, is virtually the same for biodiesel and petrodiesel, although both Hi and αst are lower for biodiesel. As a consequence, for the torque, the engine power and the brake-specific fuel consumption, when the comparison is made under the same air-to-fuel ratio (the same quantities of air and fuel are introduced into the cylinder and such a comparison can be accurately made on a CR engine), the performance of biodiesel is clearly worse than that obtained from petrodiesel. However, the differences significantly decrease or tend to vanish when comparing the relative equivalence ratio [336]. The only major discrepancy remains between the specific fuel consumption curves at part loads and the rated power at full load, due to differences in the heating values, which require that more biodiesel is injected at part loads (BTE, which is not largely affected by the heating values, is almost the same at rated power) [328].
Although, as already mentioned, the caloric value of pure biodiesel is generally 10% lower than diesel on a weight basis (but for example, the LHV of Jatropha biodiesel is 30% lower, on a weight basis, than that of petrodiesel), biodiesel has a higher density. The power output delivered with pure biodiesel should generally decrease at full load or at part load at the same position of the accelerator, with respect to that delivered with diesel fuel, within the 5–10% range, based on the loss of energy content per unit volume (but for example, LHV of Jatropha biodiesel is 20% lower, on a volume basis, than that of petrodiesel). Nevertheless, most authors report for biodiesel a decrease in rated power or increase in bsfc at part loads compared to petrodiesel that are lower than the abovementioned reduction in energy content per unit volume [337]. Such a recovery with respect to the expected loss can be caused by an increase in the brake thermal efficiency of the engine. In general, the brake thermal efficiency of biodiesel at a fixed working condition in terms of BMEP and n can be either better or worse than that of petrodiesel, depending on the specific biofuel, on the considered working condition and on the engine. On one hand, leakages and frictional losses decrease due to the increased viscosity (lubricity) of biodiesel; furthermore, the presence of oxygen in its fuel molecule can result in more complete combustion [332] as well as an earlier SOC, and the burning is usually more rapid with lower thermal power losses at the engine exhaust. All these aspects would improve the brake thermal efficiency of biodiesel. On the other hand, the increased viscosity, surface tension and density lead to worsened atomization of biodiesel, and this could worsen the thermal efficiency of biodiesel. Finally, a significant effect of the change in caloric value, and thus of the change in fuel quantity per engine cycle, is the calibration shift. Engines are calibrated based on speed and torque, but since a torque direct measurement is seldom available, the fuel rate is used. The change in fuel determines a shift in the correspondence between torque and fuel flow rate. Therefore, the control system associates the air–fuel ratio, EGR, SOI, pnom and other parameters with a higher torque of the petrodiesel calibration when biodiesel is used without re-optimization. In [338], cottonseed biodiesel blends (B25, B50, B75 and B100) exhibit higher BTE than petrodiesel and the same occurs for coconut biodiesel blends in [339], whereas in [340], with Jatropha biodiesel, there is a reduction by about 25% in brake thermal efficiency compared to petrodiesel; finally, in some investigations, the thermal efficiencies of biodiesel and mineral diesel are coincident [288,336]. Any possible critical decrease in the brake thermal efficiency of biodiesel or increase in the brake-specific fuel consumption at a certain engine point can generally be counteracted by acting adequately on proper calibration parameters, which is a relatively easy task in modern CR engines. In [341], a comparison has been made between optimized calibrations for B100, B25 and petrodiesel oil tested on the same engine, and although B100 still shows worse bsfc, the application of optimized calibrations for biodiesel improved the results significantly. In general, the higher the injection pressure, the better the fuel atomization and the higher the brake thermal efficiency: occasionally, knocking at higher injection pressures can be the main reason for a reduction in brake thermal efficiency [318]. Furthermore, at low engine loads and speeds, the biodiesel impingement on the cylinder walls can become critical if the injection timing is advanced due to the longer penetration of biodiesel, and this can also worsen the brake thermal efficiency. In addition to this, an excessively earlier injection timing can induce a significant increase in the negative work during a compression stroke [319] and a subsequent diminution in the thermal brake efficiency. On the other hand, an advance in injection timing can also lead to an increase in the brake thermal efficiency because it enhances air–fuel mixing by enlarging the ID, and there is more time available for premixed combustion.
Figure 137a [335] represents the effect of the pilot injection timing on brake-specific energy consumption, i.e., bsfc, under a constant engine load condition (4.4 bar), as compared to the single-injection mode (dashed line). The double injection strategy can improve bsfc (and thus BTE) over a wide range of injection timing conditions (the improvement in BTE can reach up to 15.8%). In particular, bsfc improves when the DT between the pilot and main shots is short. Furthermore, Figure 137b [335] shows that the bsfc of the double injection improves, compared to the single-injection mode, only with a small pilot injection. Interestingly, when the quantity of the pilot injection increases, the combustion can be smoothened, but the brake thermal efficiency can deteriorate, thus worsening the total energy consumption. Due to the lower LHV of biodiesel fuel, bsfc in all of the pilot injection conditions, is higher than that for diesel. On the other hand, in the presence of multiple injections and conventional combustion, the brake thermal efficiency of biodiesel can be even better than that of mineral diesel: the availability of oxygen in the biodiesel molecule is the primary reason [342]. In fact, such oxygen improves the combustion appreciably when the presence of more injection shots produces a combustion area characterized by the presence of more zones with richer equivalence ratios. As far as the vehicle durability is concerned, the inherent lubrication properties of biodiesel helps in protecting the piston rings from wearing out more effectively (the wear of various vital parts can decrease by up to 30%). The high viscosity of biodiesel also helps in plugging the clearance between piston rings and the cylinder liner, thus reducing blow-by losses and the fuel dilution of lubricating oil.
Figure 137.
Brake-specific energy consumption as a function of: (a) pilot injection timing; (b) pilot injection quantity [335].
On the other hand, in addition to the already discussed poor atomization, the major disadvantages of a higher viscosity consist of deposition on the injector and the formation of corrosive materials (such as organic acids, water and methanol), polymers and gums [343]. The following vehicle operability problems may arise after the engine has undergone a long run: corrosion of fuel injection system components, elastomeric seal failures, injection hole blockage, excessive fuel injector wear and pump seizures due to high fuel viscosity at low temperatures. In [344], the nozzles were tested for 1000 h at prail = 1800 bar and n = 2200 rpm and then examined with a scanning electron microscope. The diameters of the nozzle holes tested with petrodiesel, B5 and B10 (palm oil biodiesel) were approximately 130 μm, 120 μm and 115 μm, respectively, while their initial value was 145 μm. The Energy Dispersive X-ray (EDX) technique showed main peaks for C, O and Fe. The peak with Fe was absent for B5 and B10, whereas the C and O peaks were present. The holes were covered by C and O, causing the peak for iron to vanish. Since C and O are present in the biofuel, the deposits come from the fuel and worsen the fuel delivery rate and atomization.
Different methods like preheating of the fuel, varying the engine calibration, optimizing the compression ratio, adding additives and installing filters can be the solution for fuel high viscosity and low volatility [345].
4.2.7. NOx Engine-Out Emissions
The formation of NOx correlates well with oxygen concentration and burned gas maximum temperature but also depends on the residence time of the mixture at high temperatures [286]. The timing of the maximum in-cylinder temperature is a parameter than can be used to quantify the residence time of the mixture at high temperatures. Independently of the fuel, the correlation between NOx engine-out emissions and the timing of the maximum in-cylinder temperature is robust at both high and low loads, as well as those which correlate NOx with the maximum in-cylinder temperature and oxygen concentration [31].
Biodiesel is generally claimed to give increased NOx exhaust emissions [326], during both steady-state and transient operations, and an average increase of about 10%, compared to petrodiesel is reported for B100 in many papers [280,286]. However, the percentage of emission change relative to the petrodiesel operation can vary considerably [315]. Inconsistencies exist in the literature, not only about the magnitude of NOx emissions in biodiesel combustion relative to conventional diesel fuel but also about the direction of the change: in fact, some investigations report lower NOx emissions for biodiesel [306,322]. These controversies arise because the difference in the NOx emissions between biodiesel and petrodiesel fueled engines depends on the balance between multiple factors [199]. The different factors affecting NOx can be divided into two main categories [315], i.e., injection (1) and combustion (2)-related factors, although the difference between the two categories is sometimes not so obvious. The injection-related factors are as follows:
- (1a)
- for pump–line–nozzle, distributor–pump and unit injector systems, the higher bulk modulus of compressibility and sound speeds of biodiesel induce an advance in injection timing, which increases the duration of the premixed phase, leading to higher temperatures during the diffusive phase and a larger total residence time of the species at high temperatures [8,9,10,11,12,13,14,15,16]. All this favors the production of thermal NOx. The earlier SOI has been identified as an important factor in the differences in NOx between petrodiesel and biodiesel [286,336];
- (1b)
- the fact that fuel injectors operate on a volumetric basis means that a larger mass of fuel is injected under a fixed command for biodiesel (the density is higher for biodiesel), which is expected to lower the air–fuel ratio of the CI engine and increase the local temperature, thus promoting NOx;
- (1c)
- the reduced fuel leakage, due to the higher kinematic viscosity of biodiesel, leads to higher injection pressures [307] and, hence, to higher injected mass for the pump–line–nozzle, distributor–pump and EUI systems;
- (1d)
- the ECU can dictate an injection strategy with a longer injection pulse width based on the lower heating value per unit of volume of biodiesel, and this tends to advance the SOI of biodiesel. A lower EGR rate (the reduction can be up to 11%) is usually implemented, thus escalating in-cylinder temperatures and increasing NOx emissions. Furthermore, the engine calibration shift also affects the air-to-fuel ratio, the VGT position, the boost pressure, the injection pressure and the injection timing, and these changes can either reduce or increase the NOx emissions of biodiesel compared to biodiesel. However, the final total variation in NOx is usually not high (around 5% at low load and around 3–4% at high load);
- (1e)
- spray characteristics influence the production of NOx emissions. In Dec’s conceptual model [346], there is a thin portion of the diffusion flame on the periphery of the fuel spray where φ ≈ 1, and the flame temperatures allow for NOx formation, which also continues in the hot post-combustion gas zone. Spray penetration, angle and area can therefore affect the NOx engine-out emissions significantly [330].
The main combustion-related factors are as follows:
- (2a)
- the oxygen content in biodiesel allows more fuel to burn in the premixed phase, which results in higher local temperatures [328]. In fact, oxygen in the biodiesel results in a charge that is closer to stoichiometric (less rich) in the autoignition zone (more nitrogen can react with oxygen) [347]. Furthermore, at high loads, oxygen supports diffusive combustion. Each of these effects results in an increase in NOx. The NOx penalty due to oxygen presence in the fuel molecule exists for biodiesel even during load transients. The usual ECU strategy aims to shut down the EGR valve during load transients in order to help build up the air–fuel ratio and boost pressure and to limit intolerable smoke emissions. Whereas for diesel combustion, the relative air-to-fuel ratio equivalence ratio may be below unity (α < αst) during the turbocharger lag, for biodiesel, the excess of oxygen inherent in the blend leads to higher real values that are closer to stoichiometry and hence promote higher gas temperatures, thus increasing NOx for biodiesel;
- (2b)
- a shorter ID results in less mixing during the autoignition period and therefore in a reduction in the NOx emissions. At low loads, ID is fundamental in determining the amount of premixed combustion;
- (2c)
- biodiesel also tends to exhibit shorter combustion durations and this, together with a possible earlier SOC, creates longer residence times at very high temperatures for nitrogen chemistry to occur before expansion lowers these temperatures. This circumstance, coupled with the already discussed higher content of oxygen available in the cylinder, leads to increased NOx emissions;
- (2d)
- the NOx emissions of biodiesel increase as the chain lengths of fatty acids and alcohol moiety decrease. Furthermore, NOx has a linear relationship with the iodine number, which accounts for the number of double bonds in the ester molecule; however, no increase in NOx occurs when the iodine number is below 38, i.e., the mean number of double bounds is below 0.5. Steady-state and transient [315] emission findings from many studies support this argument: biodiesel produced from unsaturated feedstocks, such as soybean or rapeseed, emit higher NOx compared with more saturated esters, such as those derived from palm or tallow. Since adiabatic flames do not vary much with biodiesel stocks [307], a possible explanation for the trend with the iodine number is that highly saturated biodiesels give higher cetane numbers, which can determine lower ignition delays, thus leading to lower NOx emissions [348]. Furthermore, since the iodine number is closely related even to density and compressibility (more unsaturated esters have higher densities and bulk moduli of compressibility), the increase in NOx could be due to advanced injection and combustion timings, that is, to indirect physical effects, rather than to molecular unsaturation itself. In fact, the influence of biodiesel unsaturation on NOx was less significant with the CR apparatus than with mechanical injection and EUI systems, confirming the doubt about the indirect physical effect of the iodine number;
- (2e)
- higher aromatic content produces higher flame temperatures and therefore higher NOx emissions for petrodiesel. Furthermore, higher aromatic fuels generally have lower cetane numbers, which indicates longer (chemical) ignition delays: this intensifies premixed combustion, further promoting NOx production. The difference in the content of aromatics can be significant in commercial petrodiesel fuels. An ultra-low sulfur diesel (ULSD) that represents high aromatic content within the range of fuels available in the market can include around 30% of aromatics (cetane number 44), and an ULSD that represents the lower end of typical commercial aromatic content includes about 8.5% of aromatics (cetane number 51);
- (2f)
- soot radiation and heat transfer reduce combustion temperatures. Since the oxygen content in biodiesel decreases soot and there is virtually no content of aromatics in the parent biodiesel molecule, higher local gas temperatures are expected for biodiesel, and this will contribute to the NOx penalty [349];
- (2g)
- differences in the chemical pathways that lead to NOx have been reported for biodiesel. The increased level of CH at the autoignition zone [350] leads to the production of N atoms in the jet core, followed by prompt NO formation, once the mixture is convected into the diffusion flame, where oxygen and OH are present [348]. High unsaturation contributes to prompt NO formation, which in fact is significant for waste cooking oil [351]. Prompt NO formation is the most common among the biodiesel-specific chemical pathways;
- (2h)
- in conventional combustion, the majority of heat at high load is released during the diffusive phase, resulting in high peak in-cylinder temperatures, which leads to relatively high NOx emissions: the fraction of diffusive combustion is usually higher for biodiesel. On the other hand, the higher cetane number of biodiesel in contrast to diesel may decrease NOx emissions under premixed combustion, which dominates at low loads. The lower biodiesel volatility, which makes the evaporation process slower with respect to that of diesel fuel, also contributes to the reduction in premixed combustion [315]. In short, higher magnitudes of HRR in the premixed phase cause higher in-cylinder temperatures and higher NOx for petrodiesel [293].
Factors 1(a)–1(c), 2(a), 2(c), 2(f) and 2(g) penalize biodiesel; factor 2(e) increases NOx emissions for petrodiesel; and factors 1(d), 1(e), 2(b), 2(d) and 2(h) can be either in favor of or against biodiesel. As can be inferred, the factors which penalize biodiesel are more numerous. On the other hand, the original vegetable oil or fat feedstock, the examined engine test condition and the percentage of biodiesel in the blend can determine that some factors prevail over others [315] and can even induce higher NOx emissions for petrodiesel.
In [328], the highest NOx emissions have been found with the microalgae biodiesel, while the NOx engine-out emissions of animal biodiesel are slightly higher than those of petrodiesel. From the [O2] curves as a function of power, it can be seen that microalgae biodiesel features the largest amount of oxygen, and animal biodiesel, a slightly higher quantity than petrodiesel. Factor 2(a) therefore explains these trends for NOx. In [316], biodiesel blends and petrodiesel sharing the same cetane number have been compared, and the NOx engine-out emissions primarily depend on combustion phasing, independently of the fuel. On the other hand, in [352], even though the premixed combustion phases of biodiesel and diesel are matched, biodiesel has 10% more NOx emissions: this suggests that, beyond SOC and the premixed burn fraction, the other previously quoted factors can significantly affect the differences in NOx between the two fuels. Furthermore, in [352], a hydrocarbon fuel with the same ignition delay as biodiesel produced 10% lower load-averaged NOx than biodiesel. Finally, in [290], the differences in injection timing between a biodiesel blend (B40) and petrodiesel were eliminated, and the biodiesel blend produced slightly lower NOx under low loads, but higher NOx under high load (factor 2(h) seemed to be dominant one in this case).
The Environmental Protection Agency of US has conducted a statistical linear regression to correlate the NOx emissions with biodiesel percentage in blends for soybean, rapeseed and animal fat biodiesel (experimental data from 39 research investigations have been collected). The results are reported in Figure 138 [353]: the zero level corresponds to the engine-out emissions of petrodiesel and the same ECU maps of the petrodiesel-fueled engine are also applied to the tests with biodiesel. The 10% increase for B100, reported at the beginning of this section, is located almost in the middle, between the values for pure soybean biodiesel (around 16%) and for pure animal biodiesel (around 3.5%) and is therefore consistent with the EPA analysis. Furthermore, Figure 138 also shows that animal-based biodiesel generally gives better performances than vegetable-based biodiesel with respect to NOx emissions.
Figure 138.
Statistical trends of the NOx engine-out emissions with respect to the biodiesel percentage in the blend [353].
As can also be inferred from the previous analysis of the factors affecting NOx emissions, the engine architecture, especially with reference to the fuel injection system technology, has an important effect on the comparison between biodiesel and petrodiesel. In particular, the worst performances of biodiesel with regard to NOx emissions are obtained with mechanical fuel injection systems [294] or EUI systems. For example, in [354], the NOx emissions measured in a 13-mode test for soybean B100 increase up to 28.2% compared to petrodiesel with an electronic unit injector, and in [336], the NOx emissions pertaining to biodiesel increase by 20% at half of maximum load conditions for a rotary-type fuel pump. Inconsistent results are found with the CR system in [319], where the NOx emissions of biodiesel can be up to 35% higher than those of petrodiesel, but this happened because no optimized calibrations were compared.
As global emission regulations become more stringent, emissions such as NOx can become an issue when diesel engines burn biodiesel. Common countermeasures include optimizing the engine calibration for biodiesel and mixing different proportions of other fuels; in the past, additives or nanoparticles (cerium oxide, alone or with water; magnalium; and carbon nanotubes) were also added to biodiesel (reductions in NOx emissions up to 35–40% could be obtained). Another point is to design the ideal triglyceride feedstock for biodiesel. Biodiesel with a combination of zero or one double bond to minimize NOx production and a low pour point to improve cold weather operation would have both environmental and performance advantages. However, the high cost of the saturated methyl esters renders it economically unfeasible. The most efficient solution is the recalibration of the ECU, with the difficulty in adapting the operating conditions of the traditional mechanical injection systems to the kind of biodiesel or blend effectively overcome by employing a CR system. The fact that the injector opening is independent of speed and injection pressure in the CR apparatus has great potential in modulating combustion [294]. The easy application of a different injection strategy in the form of different timings, injection durations and EGR rates could compensate for the differences in the properties of biodiesel and counteract the primary mechanisms of NOx emission increase [315]. In [355], a waste cooking oil biodiesel B20 blend has been tested with the original petrodiesel calibration and with an optimized calibration, obtained with a statistical design of experiment procedure (injection pressure and injection timing were the inputs, and the outputs were NOx, PM and bsfc): an improvement up to 15% has been obtained for NOx. It has been stated that reductions in NOx from 20 to 30% can be feasible by optimizing more calibration parameters without penalties in other emissions and in fuel consumption [354]. There are extraordinary cases in which, for a mixture of biofuels, an initial penalty of 60% in NOx engine-out emissions, compared to petrodiesel, has been reversed into a benefit of 20% by means of a proper ECU recalibration. These examples point out the enormous potentiality of ECU recalibration and thus of CR engines. In particular, the management of injection timing is fundamental to counteract the increase in NOx engine-out emissions for biodiesel: for waste cooking oil at high loads and 800 rpm, Figure 139 [319] shows a monotonic increasing trend of NOx with advancing SOI, which is a well-established trend in diesel engines. An earlier SOI makes the ID increase. The fuel–air mixing therefore improves, and this results in more intense premixed combustion with higher peak in-cylinder pressures and temperatures [347]. When the SOI is delayed after TDC, a significant decrease in NOx engine-out emissions occurs [293] because of the diminished in-cylinder maximum temperatures.
Figure 139.
Effect of SOI on NOx engine-out emissions for biodiesel and petrodiesel (experimental results) [319].
The NOx emissions of biodiesel also increase by increasing the injection pressure [319]: the reason for this is that premixed combustion intensifies as fuel droplets vaporize quickly and form a more homogeneous mixture of fuel and air. In addition to higher temperatures, the higher injection pressure promotes earlier combustion, and there is also more time for thermal NOx kinetics.
The application of a pilot injection is another key point that has been widely used as a method to reduce NOx emissions in conventional combustion at low to medium speeds and loads even for biodiesel. Figure 140 [335], with BMEP = 4.4 bar and n = 1500 rpm, shows the effects of the pilot injection timing (Figure 140a) and quantity (Figure 140b) on the exhaust NOx emissions of petrodiesel and soybean oil (the engine is a single cylinder with ε = 17 and SOIpil values typical of both CDC and LTC). For comparison, the results from the single-injection mode are also included using dashed lines within the diagram. One constraint was that the addition of the pilot injection should not deteriorate the soot emissions compared to the single-injection case. In Figure 140a, when the pilot injection timing is delayed (SOImain is fixed at 10 CAD bTDC, prail is at 500 bar and pilot injected quantity is at 2 mg), a large amount of NOx is emitted. In particular, for later injection timings than 40 CAD bTDC, the formation of nitrogen oxides is higher than with the single-injection mode, and the solid line curves become steeper. In fact, the delayed pilot combustion affects the main combustion directly, increasing the in-cylinder temperature and the HRR during the second combustion [293,335]. On the other hand, with an advanced pilot injection timing, i.e., with a longer dwell time, the in-cylinder temperature is allowed to decrease through heat transfer prior to the main injection and ignition. In Figure 140b, where SOImain is fixed at 10 CAD bTDC, prail is at 500 bar and SOIpil is at 80 CAD bTDC, a large pilot injected quantity reduces the NOx engine-out emissions significantly compared to the single-injection case. In short, a large pilot shot with an early timing seems very advantageous for NOx emissions (the focus here is only on this point), confirming the potentiality of LTC for NOx reduction at constant PM.
Figure 140.
Effect of SOIpil and quantities on NOx engine-out emissions for biodiesel and petrodiesel (experimental results): (a) pilot injection timing; (b) pilot injection quantity [335].
As a future research direction, it is important to deepen the relation between biodiesel and modern catalytic devices (SCR and NOx adsorber catalysts) [315], in particular with regard to the potentialities of CR injection systems, which allow for flexible management of the aftertreatment. With the application of SCR devices, since the Euro 6 phase, the differences in NOx emissions between biodiesel and petrodiesel have become less important [280]. Furthermore, biodiesel’s virtually nil sulfur content would allow for the use of NOx control technologies that cannot be used with diesel engines. Hence, biodiesel NOx emission issues could be effectively counteracted by means of aftertreatment optimization.
However, in [356], where a DPNR is used as the aftertreatment, which has both the function of a DPF and a NOx storage reduction catalyst, the NOx reduction through the catalyst is very low for rapeseed biodiesel because the low volatility of RME in the exhaust line disturbs the function of the reducing agent. This highlights that the coupling with aftertreatment solutions optimized for diesel fuel can sometimes be problematic for biodiesel. Above all, the NOx aftertreatment installation has been minimized in the past for compression ignition engines (until in the Euro 5 phase) in order to keep the manufacturing costs of the diesel propulsion system low, which had already featured a higher technical content than the gasoline engine. Car makers have tried to save on the cost of NOx aftertreatment devices up to the Euro 5 phase by solving the problems of NOx by minimizing the engine-out emission levels. This could be achieved by designing an ECU calibration oriented toward NOx minimization (the possibly increased CO, HC and PM emissions were eliminated with the support of the DOC and the DPF). This approach cannot be followed for the design of Euro 7 CI engines, which require complete aftertreatment, as for Euro 6 engines.
4.2.8. PM Engine-Out Emissions
The PM is noticeably reduced with biodiesel: this is an almost unanimous trend [357]. On the other hand, the SOF increases with biodiesel (oxygen can also be present in the SOF of biodiesel, in the form of oxygenated hydrocarbons), due to the lower volatility and poor atomization of the biodiesel and to slower mixing with air of the heavy-fuel-related organic compounds that remain intact through combustion. This favors their condensation and adsorption on the particle surface [315]. Since the PM emissions of biodiesel are generally lower than those of petrodiesel [288,332] during both steady-state and fully warmed-up transients [358], the reduction in soot prevails over the increase in SOF.
Several mechanisms can contribute to lower soot formation in biodiesel: increased fuel-bound oxygen, decreased or absent concentrations of aromatics, advanced start of combustion, reduction in fuel-bound sulfur, possible differences in soot structure and ECU calibration shift due to lower LHV [307,328]. The oxygen content of the biodiesel molecule enables more complete combustion even in regions of the cylinder with fuel-rich diffusion flames [359] and promotes oxidation of the already formed soot. Oxygen helps to suppress soot nucleation early in the formation stage, reducing the generation of soot precursors, i.e., cracked hydrocarbons such as acetylene, ethane, ethylene and propene, and then of PAH. Furthermore, the presence of oxygen content in biodiesel molecules assists with oxidation of smoke formed during combustion [360]. The formation of soot is strongly dependent on the engine load, with higher loads promoting higher temperatures, larger fractions of diffusion combustion and lower overall oxygen availability (air-to-fuel ratio). The locally very low values of the air-to-fuel ratio experienced during turbocharger lag at the onset of each acceleration and load increase also trigger soot production. Therefore, the oxygen content of biodiesel is more effective in reducing PM at high loads and during turbocharger lags of acceleration [307]. The presence of oxygen in the fuel molecule also reduces the probability of fuel-rich regions in a non-uniform air/fuel mixture. In [361], it is shown, with the support of a kinetic model, that overall oxygen content in the fuel molecule should be about 30–40% to reduce soot precursors to zero. Considering that the oxygen content in biodiesel is around 10–15%, the oxygen-induced soot reduction is noticeable, but not extreme. Furthermore, the production of acetylene is not null with biodiesel because esters also form acetylene (soot precursor) in the decomposition reactions [307]. Finally, the biodiesel-bound oxygen may be underutilized for reducing soot precursors. This happens when a high content of CO2 is directly formed by the decarboxylation of the ester group of the methyl ester; experiments performed with di-butyl maleate in [362] showed a waste of 32% of the oxygen in the ester. Not all the oxygenated fuels are therefore equally effective in reducing PM, and the differences depend on the original feedstock.
The decreased or null aromatic concentration in biodiesel (it mostly includes long linear or slightly branched chained esters) is also a fundamental factor because aromatics are soot precursors. In general, any decrease in the fuel carbon content improves the soot, and the aromatics tend to increase the carbon concentration in the fuel [319]. Conventional diesel contains a significant aromatic fraction (around 35%), which is the main factor responsible for PM. Neat alkanes, such as hexadecane or dodecane, give 45–50% reductions in PM emissions compared to commercial petrodiesel: the improvement obtained with biodiesel can be significantly larger, and this proves that the content in aromatics is only one of the factors.
An advance in the start of combustion, which can occur in biodiesel, because of an earlier SOI and of a reduction in the ignition delay enlarges the residence time of soot particles in a high-temperature atmosphere, which in the presence of oxygen, promotes further oxidation. This, coupled with the shortened combustion duration, gives more time after diffusive burning for soot oxidation in a high-temperature environment. In other words, the injection and combustion advance act in favor of the soot destruction processes. These advantages prevail over the reduction in premixed combustion intensity that is generally observed with biodiesel and that tends to increase PM emissions.
The nil sulfur content of most biodiesel fuels prevents the generation of sulfur compounds, which are associated with the formation of soot nuclei. Furthermore, sulfur becomes an active center for hydrocarbon adsorption on the soot surface by means of a scrubbing effect. In [363], the increased oxygen content and decreased sulfur content of biodiesel were considered the most influential factors in PM reduction for biodiesel. However, the importance of the sulfur is progressively fading as the standards of sulfur content in petrodiesel fuels are being sharply reduced.
The different structures of particles between biodiesel and diesel fuel may favor the oxidation of soot derived from biodiesel. In the case of biodiesel, the primary particle diameter is lower since the oxygen in the ester molecule favors the oxidation of soot nuclei. The presence of oxygenated moieties on the biodiesel soot surface has been related to an enhanced reactivity [364], as the oxygen contained in these groups may participate in carbon oxidation reactions. In [365], it is argued that these surface oxygen groups provide the means for more rapid oxidation and drastic structural transformation during the oxidation process.
Finally, due to the lower heating value of biodiesel, the fuel injected mass must increase at a fixed engine point, and the ECU may dictate an earlier SOI and a decrease in EGR, both of which promote soot oxidation: these advantages prevail over the increase in ET, which tend to worsen soot.
In view of all these mechanisms, 90% of all transient and fully warmed-up steady-state measurements correspond to PM reductions when adding biodiesel in the blend [315]. Nevertheless, the percentage of PM emission change relative to the diesel operation can vary considerably in the literature, depending on the original vegetable oil or fat, on the examined test conditions and on the percentage of biodiesel in the fuel blend. For neat biodiesel, the measured percentage diminution in PM is about 75–85% in the tests performed in [280] and is up to 80% in the tests in [366], whereas it ranges from 20% to 40%, depending on load in [287], is around 55% in the measurements in [316] and is equal to 44% (average over different test conditions) in [319]: in general, the higher the technological level of the diesel engine, the lower the sensitivity of the engine-out emissions to the fuel typology. A few investigations even report lower PM emissions for petrodiesel than for biodiesel [318]. The recurrent situation in which the PM can increase significantly for biodiesel is the transient after cold-start because the higher viscosity and lower volatility of biodiesel make fuel spray atomization and fuel evaporation more difficult in these cold conditions. Both phenomena, which increase with the content of biodiesel in the blend, lead to worse air–fuel mixing and more intense PM formation at low temperatures; the increase in PM could be up to 80% for an automotive HDSI diesel engine when comparing B100 with petrodiesel [366]. As soon as the engine assumes its normal operating temperature, PM emissions typically decrease for biodiesel. In general, there is a benefit in using biodiesel for PM emissions because it is the fully warmed-up urban engine operation that usually prevails over a cold-start. The impressive 177% increase in PM emissions reported in [367] for a Euro 2 engine (equipped with a mechanical injection system), which was tested over NEDC with soybean biodiesel and petrodiesel, was ascribed to an anomalous increase in SOF during the cold-start UDC for biodiesel.
A statistical analysis of the effects of biodiesel blends during transients on PM engine-out emissions has been performed in Figure 141 [315], taking into account 77 cases (all the points are reported in the graph), and the trend line is plotted with a continuous line. The dashed and dotted lines refer to a regression analysis made by EPA [335] on 39 steady-state-condition studies on pure vegetable and animal biodiesels, respectively. A fundamental point is the oxygen content in the fuel molecule of biodiesel (both animal and vegetable): the higher this content, the lower the soot emissions [357]. The performance of different animal and vegetable biodiesels with soot also depends on their unsaturation degree. Vegetable biodiesel has generally a higher unsaturation degree than animal biodiesel. The higher the unsaturation degree, the higher the propensity to soot (this is not only true for biodiesel, but in general also for other fuels). In fact, with an increase in unsaturated species, such as acetylene and benzene, which are the main soot surface growth species according to the HACA mechanism, PM increases. However, no reliable correlation has been established between higher iodine number and PM. Finally, the dispersion in the PM performance of biodiesel is also related to the technology of the diesel engine: when last-generation CR engines for passenger cars are considered, data scattering is minimized, whereas this does not occur for heavy-duty and non-road mobile machinery (ships, tractors and locomotives) diesel engines.
Figure 141.
Statistical trends of the soot engine-out emissions with respect to the biodiesel percentage in the blend [315].
For biodiesel blends and pure biodiesel, Figure 142 documents a regression analysis on the soot–NOx trade-off during steady-state operations (the zero levels refer to petrodiesel); the regression curve reasonably also applies to transient operations [315]. The general reduction in PM due to biodiesel provides an interesting opportunity to re-optimize the NOx–PM trade-off with the injection parameters and the EGR, depending on the selected aftertreatment. Smoke from biodiesel decreases by increasing the injection pressure or by advancing the injection timing [318,329,355]. The PM reduces by increasing prail due to faster vaporization and improved fuel atomization, which promote homogeneous air–fuel mixing with a reduction in biodiesel-rich zones in the chamber [318,329]. The SOI advance also improves the air–fuel mixing because of the longer time available for this process. On the other hand, when SOI is delayed, PM increases because of the sluggish and diffusion combustion phase caused by a reduced fuel–air mixing chance [323]. The injection pressure has more impact on PM reduction than injection timing at middle and high loads, whereas PM engine-out emissions are more sensitive to the injection timing than to prail at low loads [356].
Figure 142.
Regression analysis on PM–NO trade-off data for B20 and B100 [315].
The opposite trends of PM engine-out emissions with respect to injection pressure and SOI, compared to NOx engine-out emissions (cf. also Section 4.2.7), are consistent with the well-known trade-off between PM and NOx, which is less critical for biodiesel than for conventional diesel combustion [318]. In general, until the application of NOx aftertreatment devices becomes no longer mandatory in CI engines, it has generally been reasonable to modify the engine calibration by applying a slightly higher level of EGR during biodiesel combustion in order to trade-off some of the significant PM benefits for lower NOx engine-out emissions. The EGR level normally has no significant influence on optimum SOI and prail [354], which can then be tuned for the biodiesel fueled engine.
Figure 143 [335] reports the effect of multiple injections on PM for a single-cylinder engine with a compression ratio ε = 17.1 (prail = 500 bar, BMEP = 4.4 bar, n = 1500 rpm and SOIMain = 10 CAD bTDC). The soot emission of petrodiesel is higher than that of soybean regardless of the pilot injection conditions.
Figure 143.
Effect of SOIpil and quantities on soot engine-out emissions for biodiesel and petrodiesel (experimental results): (a) pilot injection timing; (b) pilot injection quantity [335].
When a small pilot injection is implemented, the soot engine-out emissions of soybean improve, compared to the single-injection case, for both CDC and LTC, whereas the opposite occurs for petrodiesel, in line with the classic theory. The pilot injected fuel combustion raises the in-cylinder temperatures and improves fuel evaporation for the main injection but reduces oxygen availability during the main combustion. The presence of oxygen in the fuel molecule reduced the impact of the latter effect for biodiesel, while the benefits of the former effect on wall impingement were significant due to the poorer evaporation properties of biodiesel: this explains the benefits of the pilot injection on PM emissions for soybean in Figure 143. Instead, in the case of petrodiesel, the scarcity of oxygen, due to the pilot combustion, prevails over the quicker vaporization of the main injected fuel, and as a result, the pilot shot increases the PM emissions compared to the single injection. The dwell time does not seem to have any significant effect on biodiesel PM [293].
Diesel Particulate Filter Management
Since Euro specifications have become progressively stricter regarding PM, the use of biodiesel as a fuel in CI engines is not enough to conform to these standards. In fact, starting from the Euro 5 phase, DOC and DPF have been required [315], although there are several issues concerning aftertreatment devices such as high equipment costs, frequent maintenance requirements, reductions in fuel economy and increased engine complexities. The application of the DPF reduces the soot emissions to very low levels (the filtering of the traps is around 90%) and practically downgrades the biodiesel benefits on PM to a large extent [368]. Diesel particulate filters collect the soot formed during the combustion process (i.e., the loading process), and the soot collected is then oxidized in a regeneration process. When the engine backpressure reaches a threshold, due to the accumulation of PM in the filter, the regeneration is launched to burn the accumulated soot by means of post-injections. The oxidation rate of DPF and the regeneration process are strongly influenced by different factors such as the flow rate, the composition and temperature of the exhaust gases, the DPF characteristics and the soot physicochemical properties, such as structure, primary particle size, graphitization and reactivity, which primarily depend on the fuel [199]. One macroscopic consequence of the higher reactivity of the soot of biodiesel is that the balance point temperature (BPT), that is, the DPF inlet temperature at which the rate of particle oxidation approximately equals the rate of particle collection (a balance is reached), is significantly lower for biodiesel. As an example, in [369], the BPT is 45 °C and 112 °C lower, respectively, for B20 and pure biodiesel, than for petrodiesel during steady state operation.
Another most accepted trend in the literature is that when the engine is running with biodiesel or with biodiesel blends, the regeneration process is faster than with petrodiesel or paraffinic fuels [320,365], even when B5 blends are employed. The increased availability of NO2 at the engine exhaust, which is an effect of the presence of oxygen in the fuel molecule (NO2 forms in the flames where temperature is very high, and the oxygen in the fuel molecule triggers its production), the high exhaust O2 concentration and the enhanced biodiesel soot reactivity are the main causes for the faster regeneration process of biodiesel than that of petrodiesel.
The temperature upstream from the DPF is also an important variable. In [199], the regeneration times of biodiesel, petrodiesel and two paraffinic fuels (hydrotreated vegetable oil, namely HVO, and a Fisher–Tropsch fuel derived from a fossil source, namely GTL) are compared during an engine thermal transient. The lowest temperature upstream from DPF is reached with the biodiesel fuel (it is 30 °C lower than that of petrodiesel), in accordance with its lowest volumetric heating value, since the volume of fuel injected in the after injections was the same in the test. Despite having the lowest exhaust temperature, the fastest regeneration process is found for biodiesel: the operation is completed in less than 400 s, that is, around half of the time required for regeneration with the other fuels. Other works [370,371] with the same installation corroborate the idea of the lower exhaust temperature reached with biodiesel (around 60 °C lower than that of diesel), which prolongs the warm-up phase and reduces the soot oxidation (this becomes important below 400 °C).
The decrease in BPT and the higher regeneration rate might allow for passive DPF to be considered for biodiesel in lower-temperature parts of engine cycles (i.e., urban parts), avoiding the need for actively regenerated filters and their associated fuel economy penalties [369]. This could represent a benefit of biodiesel with respect to DPF management. There are few studies that have investigated the effects of biodiesel on DPF regeneration during transients in order to confirm the above speculation. However, there are also discrepancies: in [372], it was found that a soy methyl ester blend (B20) has a marginal impact on both the DPF regeneration rate and NOx adsorption catalyst lean-rich cycle development for a passenger car. Furthermore, in [373], a diesel vehicle operating under low-load conditions with cottonseed- or soybean-derived biodiesel had relatively too cool exhaust gases to adequately oxidize the accumulated soot on the DPF with NO2.
Independently of the fuel, variations in fuel injection parameters can alter the nanostructure of soot, and an optimized injection strategy obtained with a flexible electronically controlled fuel injection system can result in lower soot graphitization with higher soot reactivity. In the case of biodiesel, the injection strategy could be designed to exalt the fuel potentiality for efficient management of the DPF: in particular, the after injection can be optimized to make the exhaust temperature similar to that of diesel engine.
Particle Number and Particle Size Distributions
In CDC, PM engine-out emissions can be subdivided into three groups: nuclei (7–50 nm), accumulation particles or aggregates (50–1000 nm) [304] and coarse mode particles (>1000 nm), which only account for a tiny fraction (they are less than 0.05% of the total particle number) [374]. Ultrafine particles are those with lower diameter than 100 nm and can include nuclei as well as aggregates of the Aitken mode [375].
In Figure 144 [326], the accumulation mode has been plotted against the nucleation mode for more than 500 operating points measured on 18 different fuels with varying load, EGR, injection pressure, SOI, and engine load and speed: the dilution system arrangement and the dilution settings were fixed. There is no combination of fuel and operating conditions that results in concurrent near-zero values of both the PM modes. A second fundamental trade-off (the other is the well-known NOx–PM trade-off) is therefore joined by balancing nucleation and accumulation particles. This result confirms that the comparison between different fuels in terms of particle number size distributions as well as the outcomes of studies on the subdivision between nucleation and accumulation particles can lead to discrepant results.
Figure 144.
Accumulation mode versus nucleation mode (experimental results) [326].
Given the depicted framework, it seems almost impossible to give general trends for synthetic parameters such as the total number of particles or the particle mean size in the comparison between biodiesel and petrodiesel. Even in the case of the classic bimodal distribution (this refers to the operating points located closer to the bisector in Figure 144) with the nucleation mode particles that increase and the accumulation mode particles that decrease for biodiesel, the total particle number of biodiesel can be either higher or lower than that of petrodiesel. Additionally, it is difficult to predict whether the average size of the particles increases or decreases for biodiesel because this average is related to the integral of the particle number distribution with respect to the particle size and therefore includes both the effects of nucleation and accumulation modes.
There are reasons that can explain the discrepancies found in the literature about the comparison between the relative intensities of nucleation and accumulation modes for both biodiesel and diesel as well as the comparison between biodiesel and petrodiesel in terms of total number and size of the particles. On one hand, the higher viscosity and density of biodiesel would lead to larger spray droplet sizes, which form fewer larger particles. On the other hand, the oxygen content of biodiesel improves the oxidation of fuel droplets, and this would reduce the size and number of particles emitted [304]. Furthermore, the very low sulfur and aromatic content of biodiesel tends to reduce the number of smallest particles, compared to petrodiesel, although the increase in the diffusive portion of combustion induces an opposite effect.
The particle size distributions also vary significantly with fuel injection parameters and EGR and depend on the engine technology [318] as well as on the biodiesel feedstock. Biodiesels with higher unsaturation degree, i.e., vegetable biodiesel, give larger and higher numbers of soot particles than animal biodiesel [357].
The particle size number distributions reported in Figure 145 [374], which express particle number concentration as a function of particle diameter for a Euro V diesel urban bus engine tested along the Chinese city bus cycle and fueled with biodiesel blends, show two peaks (bimodal distribution). One is related to the nuclei mode (the peak is usually in the 10–25 nm range), and the other is related to the aggregate mode (the peak is usually in the 50–100 nm range). The nucleation mode particle peak is higher than the accumulation mode particle peak, in line with the results presented in [375] and in [347].
Figure 145.
Particle size distribution of a bus fueled with different biodiesel blends [374].
The higher the biodiesel fraction, the smaller the peak of accumulation mode particles and the larger the number of nucleation mode particles. The higher oxygen content of biodiesel (this effect is related to the content of oxygen in the biodiesel feedstock) effectively introduces more oxygen as an oxidizer into the fuel-rich regions during diffusive combustion and limit both the formation of carbonaceous aggregates and the coagulation process that increases the size of the primary soot particles. Furthermore, the absence of aromatics also decreases the formation of accumulation mode particles for biodiesel. On the other hand, the generally reduced ignition delay time and the generally less intense premixed combustion that occur in the case of biodiesel induce less nucleation mode particles during combustion development [376]. In conclusion, it has been stated that biodiesel leads to reduced PM emissions and to an increased number of nuclei, which are of concern because they can penetrate deeper into the lungs.
The data in [377] confirm the trends of the accumulation mode and nucleation mode with respect to biodiesel fraction and show that the nucleation mode is favored at low loads and idling when the diffusive combustion is reduced. In other words, the particle size distributions have a greater accumulation mode peak than the nucleation mode when biodiesel fraction is moderate (B30), i.e., diesel content prevails, and load is increased. This is in line with what happened in [378] for both petrodiesel, and the B20 and B40 biodiesel blends. When the tests are led on premixed flames, the particle size distributions of biodiesel and diesel only have a peak in the nucleation mode (D ≤ 50 nm), thus confirming that the accumulation mode is related to the diffusive combustion. As the load increases, more fuel is injected, and this favors the formation of larger particles, primarily due to the longer diffusion combustion duration. Higher combustion temperatures and reduced oxidation rate of the soot in the expansion stroke occur since there is less time available after the end of diffusion combustion and also lower oxygen availability. This argument is also supported in [376], where the accumulation mode impact increases at high loads and is also confirmed the higher propensity of petrodiesel and pure rapeseed for accumulation and nucleation mode, respectively.
However, a number of inconsistencies can be found in the literature with respect to the trends about the particle size distributions discussed in the previous figures. In [318], B20 and B40 (blends with soybean) show higher numbers of nucleation and accumulation mode particles than petrodiesel, whereas the opposite is obtained with soybean biodiesel in other works. The nuclei mode peak can also be absent in some cases, leading to a unimodal accumulation mode particle number–size distribution, as in [325] for both RME and petrodiesel and in [347] for both waste cooking oil biodiesel and petrodiesel. The trends are also ambiguous for the total number and mean size of the particles. In [377], the total number of particles is larger and the average diameter of the particle is lower for biodiesel, while in [302,344], the engine fueled with biodiesel blends emits a higher number of particles and larger particles, compared to petrodiesel. In [357,374,377], the particle diameter is smaller for biodiesel and the concentration of soot particles for biodiesels is significantly lower than that for D100. Finally, in [379], the number of particles decreases for biodiesel, and the average particle size is insensitive to biodiesel percentage in the blends, whereas in [380], the total number of particles is not correlated with the content of biodiesel.
As far as the influence of fuel injection parameters on the particulate number–size distributions is concerned, the effect of injection pressure and start of injection is analyzed in what follows. At low injection pressures, the presence of nuclei is negligible, and with increasing injection pressure, the particulate number concentration decreases and the particulate number–size distribution shifts toward smaller particle diameters. This is primarily due to improved fuel atomization, which results in more complete combustion and prevents particulate a coagulation tendency. Secondly, higher in-cylinder temperatures, due to improved combustion, lead to lower condensation of volatile species. The combined effect of these two phenomena resulted in lower emissions of bigger particles [318]. Therefore, the differences in accumulation mode particles between the fuels decrease with increasing injection pressure [344].
Advancing the SOImain with biodiesel can reduce the number of particles at the engine exhaust, due to more time being available for fuel–air mixing; in particular, the formation of fuel-rich zones during the premixed phase of combustion are the main source of PM nuclei formation [302]. However, the sensitivity of biodiesel to SOIMain is lower than that to injection pressure and can even be negligible [318].
There are few studies on understanding the effect of multiple injection on the particulate size–number distribution of diesel and biodiesel fueled engines. For diesel, the addition of a pilot injection reduces the premixed combustion intensity: there is more propensity to create aggregates during the longer diffusive combustion phase because of the higher presence of local rich zones, and therefore, the average size of the PM particles tends to increase [292]. For biodiesel, the inferior spray characteristics and the poor evaporation increases the time required for air–fuel mixing; therefore, the control of the dwell time between pilot and main shots is important and the benefits of the pilot shot are very sensitive to this parameter. In general, an increase in DT reduces both the number and mean size of biodiesel particles.
4.2.9. HC and CO Engine-Out Emissions
Biodiesel and blends lead to HC and CO reductions, compared to petrodiesel [280,347]. On one hand, CO and HC emissions should increase for biodiesel and its blends, due to poorer atomization and vaporization, which reduce combustion efficiency. In fact, CO and HC are formed for inefficient combustion, even though CO can also result from the dissociation of CO2 at high temperatures. Furthermore, biodiesel causes an increase in the risk of fuel impinging on the wall due to its longer spray penetration, thereby augmenting the possible concentration of unburned fuel on the walls. On the other hand, the oxygen content in the fuel molecule should promote the oxidation of CO and HC because it causes an increase in oxygen within the flame, which helps to complete the combustion [288,304]. A second argument in favor of biodiesel is the ignition delay reduction, when an important amount of HC for overmixing is formed.
In general, the series of effects in favor of biodiesel, and in particular the one related to oxygen content, largely prevails over the series in disfavor, and CO and HC emissions decrease for biodiesel. Figure 146 and Figure 147 [319] show the results on CO and HC emissions, which reduced by 63% and 61% (average values over the test conditions), respectively, for biodiesel, compared to petrodiesel. Both HC and CO decrease by increasing the engine load for each kind of fuel; this is consistent with the results in [381], where the HC and CO emissions of biodiesel are closer to those of petrodiesel at high loads. Indeed, the differences between biodiesel and petrodiesel in Figure 146 and Figure 147 generally decrease when prail is increased and SOI is delayed.
Figure 146.
CO emissions at (a) low load; (b) high load [319].
Figure 147.
HC emissions at (a) low load; (b) high load [319].
According to the EPA statistical report, CO decreases on average by 12% for B20 and by 48% for B100, whereas HC decreases on average by 20% for B20 and by 67% for B100 [316]. The percentage of emission change relative to neat diesel operation varies considerably, depending on the content of oxygen in biodiesel molecules, on the original feedstock (vegetable oil or animal fat), on the examined test conditions and on the percentage of biodiesel in the fuel blend. In [360], the results reported for a 13-mode steady-state test with soybean B100 give HC reductions up to 75%, compared to petrodiesel, and CO reductions up to 18%, while in [280], the reduction in HC can vary from 29% to 55% and the reduction in CO, from 25% to 49% depending on the biodiesel type (methyl palmitate, methyl soyate and methyl oleate are considered); in [98,382], THC emissions of biodiesel reduce by 50% and CO by 30–45%, compared to petrodiesel, whereas in [351], the CO emissions of diary scum biodiesel reduce by 50% with respect to petrodiesel. The HC emissions are generally lower for vegetable than for animal biodiesel due to the lower viscosity in the former case, which facilitates spray atomization and a more homogeneous mixture.
When the HC and CO engine-out emissions increase for biodiesel or its blends, as is in [383], in [384] or in [385] (these situations are rare), the biodiesel blends could suffer from low volatility, high viscosity and high surface tension, leading to poor atomization and evaporation of the injected liquid fuel, as well as from a higher amount of fuel impinging on the wall [384]. However, a relatively recent study found the molecular structure of biodiesel with particularly increased double bonds as a reason for the possible increased HC emissions [383], although there is no proved correlation between HC and iodine number.
During engine load transients, a decrease in HC and CO engine-out emissions is usually reviewed when the biodiesel ratio in fuel blends increases, in line with the observations during steady-state operations. It is worth noting that, unlike PM, CO and NOx, which peak only during load increases or acceleration in the presence of fuel-richer mixtures, the HC emissions for overmixing in turbocharged compression ignition engines are also noticed at the onset of deceleration or load decrease, since in the latter cases, turbocharger lag effects lead to instantaneously very high air–fuel ratios. During engine warm-up, biodiesel reduces the exhaust gas temperatures (cf. Section 4.2.5), and thus, the DOC efficiency decreases, resulting in higher HC emissions. The WLTC, which includes more cold-start runs, reduces the biodiesel-derived benefits on HC emissions due to the DOC low efficiency before reaching its light-off temperature [315]. The effect of the DOC is still more decisive on the CO emissions of biodiesel and reverses the trend, that is, an increase in CO emissions of biodiesel, measured downstream from the DOC, is observed, compared to petrodiesel, considering both cold-starts and even warmed-up steady-state operations.
The HC and CO engine-out emissions of biodiesel can be influenced significantly by changing the injection parameters with a flexible fuel injection system. HC and CO emissions decrease by increasing the injection pressure, due to faster vaporization and better atomization that lead to improved air–fuel mixing [22]. In other words, an increase in the injection pressure improves the combustion quality, and this reduces CO and HC engine-out emissions at all the conditions (cf. also Figure 146 and Figure 147 [319]).
The effect of the injection timing on the CO and HC engine-out emissions of biodiesel is generally much less obvious than that of the injection pressure [347]. Higher emissions of CO and HC at early injection timings can be due to quenching of the premixed charge at the walls and to incomplete combustion [383]. The HC emissions might also increase because more mixture is trapped inside the crevices [356]. In general, by advancing the injection timing, the production of HC for overmixing may increase due to the increase in the ignition delay. Furthermore, the evaporation of fuel is counteracted by lower in-cylinder pressures and temperatures, and therefore, the fuel impingement on the walls can increase with an increase in CO and HC emissions. For the abovementioned reasons, the CO and HC engine-out emissions of biodiesel tend to decrease as SOI is delayed. Some other investigations report a diminution in HC and CO emissions when the injection timing is advanced [287,329], and the reason is ascribed to the advance in the start of combustion. This effect enlarges the combustion duration and leads to higher temperatures, which in the presence of oxygen, promotes oxidation of HC and CO (the latter can be quickly oxidized to CO2 when the temperature exceeds 1400 K [326]).
Finally, with regard to multiple injections, the implementation of a pilot injection improves the CO and HC engine-out emissions of biodiesel because the pilot shot improves fuel atomization and main combustion [293]. A pilot shot with reduced DT gives the best results at low loads since it reduces the HC for overmixing.
4.3. Renewable Diesel (Green Diesel)
4.3.1. Injection, Spray, Combustion and Engine Performance
When electric SOI is fixed, the fuel injection is delayed for F-T diesel, compared to petrodiesel, due to the lower bulk modulus of F-T diesel: this effect is obvious when the comparison is made with in line–pump–nozzle injection systems, and the measured average delay of the injection timing for F-T diesel is around 0.1 ms [386], but it is also appreciable for CR injectors. The maximum injected mass flow rates of F-T fuel are lower than those of petrodiesel for fixed commands to the injector, due to the lower fuel density.
With regard to the spray, F-T diesel improves fuel atomization, which results in a more homogeneous air–fuel mixture [387]. The improved atomization results from the reduced values of viscosity, surface tension and density of F-T fuel compared to petrodiesel. A comparative analysis for liquid and vapor penetration lengths of F-T diesel and petrodiesel was developed in [388], based on the Schlieren and Mie-scattering techniques in a constant-volume chamber. Petrodiesel reaches saturation in a liquid length that maintains the same value during the remainder of the injection (the evaporation rate is the same as the fuel renovation rate, and stabilized conditions are reached [389]), while the vapor-phase fuel continues to penetrate across the chamber. F-T fuel performs similarly for vapor length but features a lower asymptotic liquid length.
When alternative fuels are used under petrodiesel conditions, there is a strong positive correlation between the liquid length of the jet and the fuel boiling point temperature [390]. A low-boiling-point fuel evaporates quickly, and therefore, the liquid length is shorter than that of a high-boiling-point fuel. In other words, the spray entrainment length to supply the additional energy for evaporation is increased for the less volatile petrodiesel, which leads to longer liquid lengths than F-T diesel. The other main factor that affects the liquid length is the fuel density. Liquid length is limited by mixing with air: sufficient ambient thermal energy and mass have been mixed into the spray to produce local thermodynamic conditions that induce the fuel vapor phase. Since not only the mass injected flow rate but also the ambient air entrainment rate depend on the fuel density [388], the resulting entrained air–fuel ratio is inversely correlated to the fuel density [104]. Hence, the higher fuel density of petrodiesel causes a decrease in the entrained air–fuel ratio, therefore, an increased liquid length. In addition to boiling point and fuel density, other liquid fuel properties such as heat of vaporization, surface tension, and viscosity may affect the liquid length [391], but their effect is minor.
While the jet velocity can be estimated using the pressure drop across the nozzle hole (Δp) and the fuel density (ρf) according to Torricelli’s formula , the momentum flux is given by Therefore, the fuel density is not correlated with the momentum flux for fixed pressure drops and nozzle areas and has no effect on the vapor penetration, which depends on the momentum flux.
At fixed injector layouts and environments, larger differences between vapor and liquid penetrations cause better fuel–air mixing of F-T, compared to petrodiesel, and this affects the CI combustion process significantly. Furthermore, the lower density and boiling point of F-T diesel may reduce wall wetting, especially when the steady phase comprises a significant part of the fuel injection [388]. The images obtained with a single-cylinder optical engine in [392] have revealed that there is appreciable, but not remarkable, differences in the macroscopic and microscopic characteristics of the fuel sprays between F-T diesel and petrodiesel. This means that the air entrainment and mixing processes with the two fuels will be similar. These results coincide with the engine in-cylinder imaging comparisons from other studies [393,394], which show petrodiesel and F-T fuel as having no remarkable differences in spray or flame structure when using a direct injection diesel engine. Figure 148 [386] reports HRR traces at high loads for blends of either F-T diesel or biodiesel with petrodiesel, including pure F-T (FT 100), B100 and BP325, which is a low-sulfur diesel fuel. Tests were performed on a single-cylinder engine (maximum power 5.8 hp) equipped with a pump–line–nozzle system: hydraulic injection conventionally starts when the injector needle lift exceeds a threshold of 0.02 mm. Early, mid and late timings are in the 349–346, 352–350 and 355–353 CAD ranges, respectively, depending on speed and load.

Figure 148.
HRR trace at 3600 rpm and 75% of maximum load for an (a) early, (b) mid, and (c) late SOI [386].
The premixed phase of combustion is dominant for all three injection timings (early, mid and late timings), as evidenced by the large bump in HRR that is followed by a smaller diffusion phase of combustion. For each fuel, there is a trend of decreasing maximum HRR as SOI is delayed (cf. graphs in Figure 148a–c). In all working conditions, F-T diesel has the minimum HRR peak, compared to other fuels and in particular to petrodiesel. Despite F-T diesel having higher LHV than the petroleum diesel, which is beneficial to increase the HRR peak, the higher cetane number of F-T diesel shortened the ignition delay [395] and played a prominent role in the HRR peak. The HRR peak value of hydrocarbon fuels correlates with the C/H ratio [386]: the higher such a ratio, the higher the HRR peak. Since petrodiesel, which has significantly higher aromatic content, has a higher C/H ratio than F-T, this also gives a higher HRR during the premixed burn.
Furthermore, FT100 features the earliest ignition, although it is the last fuel injected, and this indicates that the differences in start of combustion are, in this case, primarily determined by the ignition delay. In fact, both the chemical and physical ignition delays of F-T diesel are significantly lower than those of petrodiesel because of the higher cetane number and volatility, respectively (the total ignition delay of F-T in Figure 148 decreases by about 0.23 ms with respect to petrodiesel at all the analyzed conditions). This effect prevails over the one related to the postponed hydraulic injection timing, and therefore, the start of combustion is advanced for F-T fuel. This is the typical situation in CR systems, but with other types of mechanical injection apparatus, unlike in Figure 148, the two effects can also balance each other, and in this case, the SOC is almost the same for F-T fuel and petrodiesel, resulting in a less pronounced premixed combustion phase without affecting SOC, or even the effect of the lower bulk modulus can prevail, thus leading to a delayed SOC. Hence, the fate of the comparison between SOC values generally depends on different factors: the engine technology, the chemical composition of F-T and petrodiesel, and the engine working condition.
The lower-peak HRR of the premixed combustion for F-T diesel increases the proportion of diffusion combustion for F-T diesel, and the overall combustion process becomes longer and gentler [396]. Furthermore, such a lower premixed HRR peak reduces the combustion noise for F-T fuel.
As far as engine efficiency is concerned, most publications have reported slightly higher BTE for F-T diesel [387] or at least no loss of efficiency. As an example, in [396], the BTE of F-T diesel increased by 0.54% (average value over the different working conditions), compared to petrodiesel, and reached a maximum improvement of 1%. F-T diesel has slightly higher BTE due to its better spray quality and more homogeneous air–fuel mixtures, although it features a less important constant volume combustion attributed to a shorter ignition delay. The higher heating value of F-T fuel, coupled with the small improvement in BTE, leads to appreciable fuel savings. The fuel consumption results shown in Figure 149 indicate that the bsfc of the engine at mid loads and low speeds can be reduced by almost 20 g/kWh (around 6–7% of diminution), when using F-T diesel. It is worth remarking that the combustion settings considered for the tests in Figure 149 have been optimized in order to run the engine with petrodiesel, and recalibration has not been performed for F-T diesel. Therefore, the improvement could be still better if the ECU calibration is optimized for F-T fuel. However, the bsfc reduction can also be lower; in [397], it is lower than 5%.
Figure 149.
Engine working map with bsfc for petrodiesel and green diesel [398].
Independently of the ECU recalibration, because of the different LHVs, the injection system settings must be reconfigured for F-T fuel in order to have the same torque and power. Nevertheless, the lower density of F-T prevails over the higher LHV value; therefore, its volumetric energy density is lower by about 6% than that of petrodiesel and the durations of the electrical commands should be increased [395]. It is also worth observing that the size of the fuel tank in the vehicle should be enlarged to maintain the level of autonomy.
4.3.2. Engine-Out Emissions
F-T diesel fuel has been shown to be an effective alternative to oxygenated fuels for reducing PM, CO and HC emissions with respect to petrodiesel [387]. While the reduction in soot is mainly due to the oxygen content in oxygenated fuels, in F-T diesel, which has zero content of oxygen, the soot reduction is attributed to very low sulfur and aromatic content [398]. The percentage reduction in PM, compared to petrodiesel, varies with the fuel composition and with the technology [399], but the PM levels at the engine exhaust are generally higher than those obtained with biodiesel fuels [398]. As already mentioned, a theoretical work conducted with an engine model (1.4 L, 6 cylinder, turbocharged, EGR, intercooler was considered) showed that biodiesel reduced PM by about 73–83% compared to petrodiesel: more than neat alkanes, such as hexadecane or dodecane, which gave a 45–50% reduction.
No unanimous trends have been found in NOx emissions with FT fuels. While most authors found reductions, compared to petrodiesel, some found no significant changes [398] or even increases.
Figure 150 [399] shows the percent reduction in NOx and PM emissions, compared to petrodiesel, for a collection of results for different light- and heavy-duty engines. The majority of the data fall into the quadrant with both NOx and PM reductions and especially in those with PM reduction. The points lying outside the first quadrant are mainly from light-duty engine tests at low loads: the comparison was made with a special low-sulfur and low-aromatic-content diesel fuel, and the NOx emissions were so low that it was difficult to determine the significance of these increases for F-T fuel.
Figure 150.
Percentage reductions in NOx and PM with F-T diesel fuel compared to petrodiesel [399].
The mean reduction in the NOx emissions is around 15% in the diagram and is in line with the results reported in [280] for hexadecane and dodecane. The reasons that explain the NOx variations are numerous, and most of the factors were also considered to justify the differences in NOx emissions between biodiesel and petrodiesel. High cetane number fuels, such as F-T fuel, result in decreased NOx emissions for many CI engines because they lead to less intense premixed combustion. Such decreases have been shown on a variety of light- and heavy-duty engines. The adiabatic flame temperature is lower for F-T fuel, and this can also contribute to an appreciable decrease in NOx for F-T diesel [399]. Especially in the case of mechanically controlled fuel injection systems, the injection timing at a fixed electrical SOI can be appreciably delayed for F-T fuel, compared to petrodiesel, due to the lower bulk modulus of the former fuel. The NOx emissions decrease as SOI is delayed, and this is a well-established trend in direct injection engines for any fuel.
Furthermore, the engine calibration shift, due to the longer injection pulse width, can positively or negatively affect the NOx engine-out emissions since SOI is delayed and EGR is reduced for an F-T diesel-fueled engine with respect to the petrodiesel fueled one (the petrodiesel-calibrated ECU shows a higher load for the F-T fueled engine). Finally, effects 1(b) and 1(c) discussed in the section on the NOx engine-out emissions of biodiesel can also co-occur to improve NOx emissions from F-T diesel. On the other hand, the absence of aromatics in F-T diesel and the subsequent reduction in soot radiation can lead to higher maximum cylinder temperatures than in the case of petrodiesel, which could give a NOx penalty for F-T fuel. Furthermore, the typical advanced SOC of F-T diesel exposes exhaust gases to longer residences at high temperatures.
The average percentage reduction in PM emissions for F-T diesel compared to petrodiesel is around 40% in Figure 150. This datum is consistent with the experimental PM reductions of 45 and 49% found in [280] for hexadecane and dodecane, respectively, and with the measured reduction range (from 30% to 60%) found in [392] for F-T diesel. In addition to the low aromatic content of F-T diesel, which impacts the soot significantly, the distillation characteristics are also relevant in determining the PM reduction. In [400], the narrow distillation fuels (paraffins) had hydrocarbon distributions in the region with carbon numbers from 12 to 17 and the wide distillation fuels had those in the region with carbon numbers from 10 to 23. On the other hand, the SOF of each tested fuel had hydrocarbon distribution around carbon number 14 and beyond carbon number 18. The hydrocarbons beyond carbon number 18 seem to include the components from the lube oil.
However, it is obvious that the SOF with wide distillation fuels has large amounts of hydrocarbons beyond carbon number 18 compared to that of the narrow distillation fuels. High cetane number and narrow distillation, which eliminate the heavy hydrocarbon fraction of the SOF, are typical properties of F-T fuel. Exceptionally, in Figure 150, the soot emissions increased for F-T fuel, and in a few reported cases, these emissions can remain almost the same as for the case of petrodiesel. This is consistent with what is found in the literature, where a few exceptions can be found. The high cetane number of F-T fuel could promote the formation of soot, especially under light-load conditions because the diffusive phase becomes more extended [401]. In fact, the mixing of injected fuel and air would be promoted, and the soot formation would be effectively suppressed by an extension of the ignition delay, which is induced by the lower-cetane-number fuels and causes shorter diffusive combustion [402]. The soot can therefore increase at low loads by reducing the ignition delay [400]. From the viewpoint of trying to maintain ignition delay, it is undesirable that an excessively high-cetane-number fuel (CN ≈ 85) is selected for the utilization of F-T fuel for conventional diesel engines. Furthermore, a narrow range of distillation is effective for suppressing PM generation.
The illustrated effect of the ignition delay can be responsible for the exceptions that increase PM engine-out emissions for the case of F-T fuel at low loads. It should be considered that ignition delay becomes shorter at high engine loads, and the cetane number effect on the ignition delay therefore becomes smaller than at low-load conditions. This is confirmed by the results in [402], where F-T fuel is shown to produce more soot than conventional diesel at lower loads, but the situation reverses as the load increases.
As far as HC and CO is concerned, F-T fuels give reductions in HC emissions, especially under a cold-start, and in carbon monoxide emissions with respect to conventional petrodiesel fuel. In general, the results for HC are strongly dependent on the chain length of the fuel, with alkanes performing better than biodiesel: hexadecane gives a reduction of 62% compared to petrodiesel, methyl soyate of 44%, methyl oleate of 55% and methyl palmitate of 29%. Instead, CO is generally more reduced by biodiesel than by alkanes [280]: hexadecane gives a diminution of 28%, compared to petrodiesel, dodecane of 15%, methyl soyate of 25%, methyl oleate of 49% and methyl palmitate of 43%. The data on F-T generally indicate reductions between 15% and 60% for HC and CO engine-out emissions, respectively, compared to petrodiesel [392].
Table 6 reports general comparisons between the performance of F-T and petrodiesel fuels from numerous investigations in [387]. The results discussed in this or previous sections on brake-specific fuel consumption, thermal efficiency, NOx emissions and PM emissions of F-T fuels are confirmed. The lower power of F-T fuel (25 occurrences) at part loads is related to a phasing problem [402]. Due to the shorter ignition delay, in-cylinder pressure can peak too early, and this can result in lower torque and power. The possible decrease in maximum power output under a full load is in the 2–5% range and the possible decrease in peak torque is within 4–7%: these data are consistent with the lower calorific value of F-T fuels (compared to diesel fuels) on a volumetric basis [403].
Table 6.
Estimated number of publications which have reported increases, similarities or decreases in engine performance and emissions with F-T diesel fuels in comparison to conventional diesel fuel [387].
F-T diesel in Table 6 usually gives a reduction in CO2 emissions. This can be related to both less fuel energy consumed (better bsfc) over the drive cycles and/or lower C/H ratio compared to petrodiesel [404]. For HC and CO emissions, no cases of increases with respect to the values of petrodiesel are reported in Table 6. At low loads, lower cetane fuels produce higher HC, due to local over-lean mixtures caused by the longer ignition delay, hence resulting in incomplete combustion [405], whose occurrence increases under cold-start conditions. Furthermore, the difficulty in pyrolysis of HC containing aromatics should also be considered when explaining the better performance of F-T fuel at light loads. Finally, the lower liquid length of the spray reduces the incidence of wall wetting for F-T diesel, which can be another source of HC emissions.
In conclusion, biodiesel performs significantly better than F-T diesel for PM and CO, but the latter has a significant advantage with NOx and a slight advantage regarding HC.
State-of-the-art exhaust emission aftertreatment technologies, such as DPF, DOC and selective catalytic reduction device (SCR), used in conjunction with newer engines, cause the NOx, PM, HC and CO tailpipe emissions of any biodiesel, synthetic diesel or petrodiesel fuel to meet regulatory standards. Therefore, the differences discussed here could lose their significance [280]. However, the challenge is to try to simplify aftertreatment installation and management while maintaining the emission levels thanks to alternative fuels combined with the high technology of a fuel injection system and sophisticated combustion and control strategies. F-T fuel shows a very high potential for achieving a much more favorable NOx/PM trade-off than petrodiesel without the commonly observed associated penalties in fuel efficiency [387] and can facilitate fuel consumption saving management with aftertreatment technologies.
4.3.3. Influence of the Injection Parameters
There are relatively few studies on the effects of injection timing, rail pressure and multiple injections on the engine performance and combustion characteristics of F-T diesel [396]. The results for the effects of rail pressure and injection timing on the ignition delay are reported for both F-T diesel and petrodiesel because the ignition delay has been considered essential in previous discussions in order to understand the differences in engine performance and emissions between the two fuels. Figure 151 [396] shows that the ignition delay first decreases and then increases by delaying ignition timing. Reference is made to a rail pressure of 100 MPa and to three different BMEP values for both fuels. At early injection timings (in the context of conventional combustion), lower in-cylinder pressures and temperatures lead to prolonged ignition delays for both F-T and petrodiesel [406]; initially, ignition delay decreases for an injection timing delayed from 18 CAD to 10 CAD bTDC. With further delays, from 10 CAD to 2 CAD bTDC, the ignition delay generally increases due to the prevalence of low-temperature and low-pressure conditions during the expansion stroke [407]. At a fixed prail = 100 MPa, the ignition delay of F-T diesel in Figure 151 is lower on average by 31%, 30.1%, and 22.2% at low, medium, and high loads, respectively, than the corresponding one of petrodiesel.
Figure 151.
Effect of SOI on ignition delay at different prail [396].
Figure 152 shows that increasing the engine load results in a shorter ignition delay period due to elevated in-cylinder temperatures and high equivalence ratios: the differences in ID between F-T and petrodiesel also diminish with increasing load. Increasing the nominal rail pressure from 70 MPa to 100 MPa brings about a shorter ignition delay for both fuels; in particular, the ignition delay of F-T diesel decreases by 15.2%, 12.5% and 8.7% at low, medium, and high loads, respectively, and the differences with the corresponding ignition delay values of petrodiesel also decrease. In fact, the higher prail is, in this case, conducive to finer atomization and better air–fuel mixing in the cylinder [408]. Furthermore, increasing prail results in higher combustion temperatures, attributed to superior air–fuel mixing and improved premixed combustion [407].
Figure 152.
Effect of prail and fuel type on ignition delay at various loads [396].
Figure 153 [396] reports bsfc and BTE data of F-T and petrodiesel fuels at different SOI values for prail = 70 MPa and prail = 100 MPa (three load conditions are analyzed). Initially, bsfc decreases and BTE increases with advancing injection timing at fixed rail pressure; then, bsfc increases and BTE decreases, especially at low loads, due to conventional diesel combustion occurring too much earlier, which increases heat transfer losses, blow-by gas leakages and negative work during the compression stroke. Therefore, bsfc features a minimum point and BTE a maximum point with respect to injection timing at fixed rail pressure. The optimal point is around SOI = 6 CAD bTDC for the considered engine fueled with F-T and, although it corresponds to the zone of minimum ignition delay, the impact of the constant volume combustion is high since combustion occurs around TDC (the optimum SOI is 10 CAD bTDC for petrodiesel, due to the reduced cetane number and larger ignition delay). The bsfc and BTE of F-T and petrodiesel fuels improve if the rail pressure is increased, due to the enhanced quality of the combustion. As the injection pressure increases, the effect of the fuel, consistently with what is observed in Figure 152 for the ignition delays of petrodiesel and F-T fuel, whose values tend to converge, has a tendency to reduce [387]: a shorter combustion duration occurs for both petrodiesel and F-T fuel. However, at low loads, where the in-cylinder pressure and temperature are relatively low, excessively high injection pressures and early injection timings lead to a thicker fuel film deposited on the cylinder wall, more difficulty in fuel evaporation and complete combustion; therefore, the BTE will decrease and the bsfc will increase.
Figure 153.
Effect of SOI and prail on (a) bsfc and (b) BTE for petrodiesel and F-T diesel at various loads [396].
With regard to engine-out emissions, F-T fuel with optimized injection timing can make the PM–NOx and HC–NOx EGR trade-offs shift to lower values, compared to petrodiesel. The high cetane number F-T fuel has high reactivity at low combustion temperatures, resulting in a reduction in unburned species. Under a light load with a high EGR rate and delayed injection timing, the HC emissions decrease significantly [409].
The PM–NOx trade-off of F-T is an intermedium between those of petrodiesel and biodiesel. For F-T diesel, using delayed injection timings is effective to minimize NOx without significantly compromising PM emissions. In particular, the lower soot emissions of F-T fuel (and of its blends, for example, with biodiesel) could facilitate significant reductions in NOx emissions by exploiting a higher EGR tolerance [392].
Figure 154 [403] shows that the addition of a small pilot injection can still decrease NOx and PM when F-T fuel is compared to conventional diesel; moreover, the double injection offers more versatility to improve even the combustion noise (up to 4 dB) as well as the engine efficiency. F-T fuel demonstrates less penalties in smoke emissions under operation with pilot injection, although, as the pilot injection quantity increases beyond 2 mm3, the differences in NOx and combustion noise between diesel fuel and F-T become smaller or tend to vanish. In general, by recalibrating the EGR rate, start of main injection, dwell time between the pilot and main injections, and the pilot injected mass, it is possible to achieve, for the F-T fueled engine with an optimized calibration, more favorable regulated emissions than those of petrodiesel. DoE-optimized calibration could lead to the best results. Tailored engine optimization is a key step towards exploiting the potential of F-T fuels, and this has already been proved in [410]. Using the same engine controlled with an open ECU, the injection pressure and the start of the pilot injection (among other variables) were modified in order to have, for F-T and petrodiesel, the same combustion pattern associated with the main injection (this combustion pattern was the one optimized for petrodiesel). The combustion, due to the pilot injection, differed for the two fuels, but the majority of combustion processes occurred with the main injection: the main combustion process in terms of start, duration, phasing and premixed/diffusive ratio was the same for both the fuels. Under these conditions, the results showed that F-T fuels reduced both PM and gaseous emissions compared to conventional diesel, but the benefits were much lower than when the combustion process was not matched and optimized for F-T. As an example, for NOx emissions, a reduction of 50% (approximately) when the combustion process was optimized for F-T moved down to 20% when the combustion process was matched for the petrodiesel fuel. This highlights the potential of ECU calibration tailored to an F-T fueled engine and the fundamental role that last-generation CR systems can play.
Figure 154.
Effect of the pilot injected quantity on CN and emissions (2000 × 6, SOIpil = 24 CAD bTDC, SOImain = 2 CAD aTDC) [403].
Figure 155 [403] shows a comparison of the heat release rate between F-T fuel and petrodiesel fuel for various flow rate injection nozzles (ε = 15). The diameter of the injection holes and their number can be easily modified with the technology of CR injectors, and these parameters affect the injected flow rate remarkably: in the present case, the hole diameter was fixed at 0.14 mm, and the hole number passed from 6 to 7 and finally to 9. While the ignition timing of petrodiesel fuel is delayed and the heat release peak increases with higher flow rate nozzles, the ignition timing of F-T fuel is almost constant, regardless of the nozzle fueling capacity because it is primarily determined by the chemical aspects and droplet diameter, and the changes in the heat release are small. Hence, differences in the combustion development between F-T and petrodiesel fuels increase as the injection nozzle flow rate increases. In fact, the premixed combustion becomes more important for petrodiesel as the nozzle flow rate increases, whereas this does not occur for F-T fuel.
Figure 155.
Effect of the nozzle flow-rate (F/R) on the HRR (n = 2000 rpm, BMEP = 6 bar): (a) 650 cc/min, (b) 750 cc/min and (c) 1050 cc/min [403].
Figure 156 [403] reports a comparison of petrodiesel and F-T fuels in terms of PM engine-out emissions, combustion noise and maximum torque for various nozzle flow capacities at various working conditions (the engine geometrical compression ratio is ε = 15). The maximum torque at each condition was obtained by adjusting the SOI and fuel quantity. For petrodiesel fuel, PM deteriorates significantly when the nozzle flow rate increases because the increased number of fuel plumes makes air entrainment more difficult, and combustion noise also worsens because more fuel is injected. F-T fuel can suppress these disadvantages and keep PM and combustion noise at a low level with an increase in the engine torque: in particular, the intermedium nozzle flow number is the best. As a result, the benefits of F-T fuels are obtained especially with the higher flow rate injection used in high-power engines. The minor changes needed for the engine hardware, coupled with optimization of the ECU calibration, led to innovative F-T fueled CI engines capable of satisfying the Euro 6 limits [411]. Since engine efficiency and performance are not compromised, green diesel is one means by which one can comply with future, more stringent CO2 and pollutant emission regulations in a cost-effective manner [404].
Figure 156.
Effect of the flow capacity on torque, PM and CN at different engine working conditions: (a) full load, 4000 rpm, (b) BMEP = 1.9 bar, n = 1400 rpm and (c) BMEP = 6 bar, n = 2000 rpm [403].
5. Electrification in CR Diesel Engines
CR diesel engines are traditionally affected by significant PM and NOx emissions. Nevertheless, the CR diesel engine maintains its benefits in terms of efficiency, since it has fuel consumption benefits of 15–20% compared to gasoline engine, with this advantage especially benefitting larger vehicle classes and long-distance operations. An important focus of future activities towards CR diesel optimization will be on further reducing nitrogen oxides over the entire lifetime [412], while retaining or improving the benefit of low CO2 emissions: PM has already been minimized during the Euro 5 and 6 phases [413]. In fact, despite the introduction of Euro 6d vehicles contributing to NOX emission reductions, the abatement of NOX emissions in all driving conditions is crucial for overall improvements to air quality [414]. Although the current single Selective Catalytic Reduction (SCR) system layout is capable of meeting the current Euro 6d legislation limits on NOX emissions (80 mg/km), this is not enough if further improvements are considered, such those of the initial proposal of the Euro 7 standard with possible targets below 35 g/km. In this case, the employment of a second SCR system in underfloor positions coupled with a second AdBlue dosing system should be mandatory [415]. A steep increase in nitrogen oxides is usually produced over Phase 1 of the WLTP. This is followed by a rather moderate further increase in NOx emissions during Phase II of the WLTP, which is characterized by a warm exhaust gas aftertreatment system that ensures high conversion rates. During Phase II, it is fundamental to maintain a high exhaust gas temperature (EGT), and the CR fuel injection system can provide a high degree of flexibility for the calibration strategy (high injection pressure, injected mass accuracy and sophisticated injection patterns) as well as high stability of quantities and timings over the entire lifetime. For Phase I, the problem is represented by very low conversion rates of NOx in the catalyst: the goals are the minimization of engine-out emissions and SCR heating up. While a 12 V battery system can offer 2–3 kW of mechanical power to heat the aftertreatment, a 48 V battery system enables 8–12 kW of mechanical power for the same purpose and therefore represents an optimal solution for speeding up aftertreatment heating, especially for diesel CR engines with larger displacements than 2L. Above all, the main advantage of the 48 V system is its ability to enable mild hybridization for the CR diesel engine, thus also reducing CO2 emissions. When electrification does not involve hybridization, the term diesel–electric vehicle is used [416].
5.1. Benefits of CR Diesel–Electric Vehicles
Figure 157 [415] reports the engine-out and tail pipe NOx cumulated emissions obtained during the execution of Phase 1 of the WLTP cycle for a C-segment Euro 6b vehicle equipped with a 2.0 L mild hybrid CR diesel engine and an upgraded DOC/SCRF exhaust gas aftertreatment system. In the first 180 s, before the activation of the exhaust gas aftertreatment system, 90% of the total emitted emissions during Phase 1 of the WLTP cycle are generated. After the initial 180 s, the aftertreatment system works at 95% efficiency, thus abating the engine-out emissions. Hence, it is very important to minimize the activation time of the aftertreatment system independently from the engine working point. In the same way, the engine technology must be updated to limit the emissions during the first few seconds after start.
Figure 157.
Engine-out and tail pipe NOx emissions during Phase 1 of the WLTP cycle (C-segment vehicle with 2 L diesel engine) [415].
Figure 158 [415] shows the powertrain and the CR engine system layouts considered in the test of Figure 157. Concerning the powertrain configuration, a 48 V belt starter generator has been mounted on the engine and the related inverter, DC/DC converter and battery have also been installed in the vehicle: 48 V control strategies and functions have been integrated in the ECU. The serial lean NOx trap (LNT) and closely coupled DPF have been removed and replaced with a new exhaust aftertreatment configuration, based on a 48 V system, and an electrically heated catalyst (EHC) mounted upstream from the DOC. The electrically heated catalyst can be also installed downstream from the DOC: in fact, since the latter has a reduced thermal inertia, the EHC mounted downstream from the DOC maximizes the inlet temperature to the closely coupled SCR system and, as a result, the efficient abatement of NOx can start earlier. The electrically heated catalyst was a typical feature of the newly designed CR diesel mild hybrid engines for the initial proposal of the Euro 7 standard (this proposal has been then relaxed), whereas electrical heating is not necessary for the three-way catalyst in gasoline engines. A closely coupled metallic SCR and a ceramic SCRF are followed by an additional underfloor metallic SCR coupled to an ammonia slip catalyst (ASC) that finalizes the engine exhaust aftertreatment line. The first metallic SCR is active earlier than the SCRF (this system integrates the SCR technology coated on a DPF to control both NOx and PM emissions), due to the low inertia of metals compared to silicon carbide. The presence of three SCR units enlarges the operating temperature range of NOx abatement (180–700 °C) and allows for the simultaneous conversion of NOx and soot to be optimized at different working conditions. The two AdBlue dosing units (RDUs) have been respectively installed upstream from the closely coupled SCR-SCRF system and upstream from the underfloor SCR. The presence of two AdBlue dosing units guarantees increased flexibility for facing the soot–NOx trade-off: control strategies, based on the feedback coming from three NOX sensors, have also been developed for the RDUs.
Figure 158.
Diesel engine and CR system layout considered in the test on the WLTP cycle [415].
In Figure 159 [415], the NOX engine-out emissions and those measured downstream from the SCRF and at the tail pipe during the execution of the WLTP cycle have been reported: the two considered cases refer to activation and deactivation of the EHC. First of all, the application of three SCR systems with twin AdBlue dosing units allows the tail pipe NOX emissions to be reduced down to 21 mg/km; 90% of the total injected AdBlue mass is delivered upstream from the SCRF and the other 10% is injected upstream from the underfloor SCR.
Figure 159.
NOx emissions, vehicle speed and driven distance during the execution of the WTLP cycle [415].
The challenges are represented by a faster activation of the SCRF system and by the reduction in engine-out emissions when the aftertreatment system is not properly working. However, the underfloor SCR contributes to further abatements of the NOX emissions in the later phase of the WLTP cycle, when its temperature is closer to that of the closely coupled SCR. In this situation, the underfloor SCR works in perfect conditions in terms of temperature and space velocity, thus contributing to further reductions in NOx. In fact, the activation of the EHC also reduces the warm-up phase of the underfloor SCR. The split of AdBlue injection between the two RDUs not only allows for an overall NOX conversion efficiency above 95% with a reasonable consumption (1.1 l per 1000 km) but also avoids the problem of overdosing, which occurs in the case of a single SCR system, with negative consequence on the system durability, due to deposit formation. In conclusion, a value of 13 mg/km is achieved with an overall exhaust system NOX conversion efficiency above 95%. In particular, the benefit of EHC becomes clear looking at the results shown in Figure 160 [415], where, for Phase 1 of the WLTP cycle, the temperatures evolution of both the closely coupled SCRF and underfloor SCR catalysts are plotted. The AdBlue mass flow injected by the first (indicated as RDU1) dosing unit, placed upstream from the closely coupled SCR, the power provided by the EHC and its cumulated consumed energy are also shown. The activation of the EHC allows the target temperature for the AdBlue injection to be achieved about 150 s earlier compared to a test without the electrically heated catalyst being turned on: the benefit of EHC on the achievement of the target temperature for SCRF is similar. This obviously has a significant influence on the NOX emissions: Figure 161 shows that the implementation of the electrically heated catalyst improves the NOX emissions by more than 40%, leading to a final tailpipe value of 41 mg/km after only 3.1 km. The activation of EHC also brings a slight benefit in terms of CO2 (<1% in the WLTP, <2% in Phase 1 of WLTP), due to the faster activation of fuel-consumption-oriented engine calibrations. The electrical energy consumption absorbed by the EHC has been measured in the WLTP cycle. Its value is in the range between 60 and 70 Wh, but the total electrical energy available in the 48 V batteries coming from recuperation phases is in the order of 210 Wh, that is, well above the mentioned 70 Wh consumed by the EHC.
Figure 160.
SCRF and SCR temperatures, injected AdBlue mass, power at EHC and cumulated energy along Phase 1 of WLTP cycle [415].
Figure 161.
Effect of EHC on NOx emissions, vehicle speed and driven distance during Phase 1 of the WLTP cycle [415].
With the finally approved Euro 7, electrical heated catalysts are not necessary although the prototypal system in Figure 158 remains an interesting reference for a possible future scenario.
5.2. Mild Hybrid CR Engines
In [417], the tested light-duty CR diesel engine also incorporates the 48 V mild hybrid technology. A starter generator with a 10 kW electric motor is integrated, and the compact battery features a capacity of approximately 0.5 kWh for recuperation of kinetic energy. In addition to already discussed NOx benefits, the mild hybrid technology package is confirmed to enable a reduction in CO2 emissions by 7% along the NEDC, compared with a CR diesel engine for passenger cars equipped with the baseline start and stop functionality. This outcome is consistent with the general data about improvement in brake-specific fuel consumption, which is usually in the 7–15% range for mild hybrid CR engine diesel automobiles, depending on the vehicle technology and performed emission cycle. Figure 162 shows a quantitative analysis pertaining to the benefits of the 48V architecture for a light-duty CR engine mild hybrid application. The brake fuel consumption and CO2 improvements of the 48 V mild hybrid CR engine vehicles are mainly due to an enhancement in the engine organic efficiency, since additional functions are possible because of the increased availability of electric power. Such functions, which still pertain to the diesel–electric vehicle concept, include in general powered start and stop systems (the engine stops during braking once the vehicle speed comes under a threshold, e.g., 7 km/h), electric air conditioning, electric vacuum pump, electric power steering racks and fully flexible electric cooling pump speeds for improved cold-start characteristics (fast engine warm-up) and optimized warmed-up operations (the pump speed can be selected to optimize heat transfer to the coolant at each working point). Although the electrification of the auxiliaries and the EHC only needs a 48 V system but do not necessarily require a mild hybrid architecture, the latter can maximize the fuel consumption benefits with regenerative braking and torque assistance. Furthermore, CO2-optimized turbocharger calibration can be prepared for 48 V mild hybrid diesel engines because the reduced dynamic boost pressure provided by the VGT can be compensated by adding an electrical compressor; in fact, a leaner air–fuel ratio can be set during transients, and this supports a reduction in both bsfc and pollutant emissions. In general, driving a compressor with an electrical motor allows for an independent supercharging operation with respect to engine speed and load, compared to less flexible mechanically coupled configurations.
Figure 162.
Quantitative analysis on the fuel consumption of the 48V architecture in hybrid CR diesel engines [417].
Figure 163 [418] provides a typical layout of an electrically supercharged CR engine, where the electrically powered compressor (EPC) is installed downstream from the classic turbocharging system in order to reduce its mechanical inertia. Indeed, the air compressed by the single-stage turbocharger requires lower sizes of the E-booster unit than when the latter is installed upstream from the single-stage turbocharger, and this improves the dynamic response of the electric compressor. Instead, when the E-boost compressor is installed upstream from the single-stage turbocharger, the advantage is that one of the two intercoolers, i.e., CAC-1 and CAC-2, in Figure 163 is removed because it is not necessary to cool the air during delivery of the electric compressor. In fact, since the electric compressor is typically used in quick transients, the delivered air is not heated significantly due to the thermal inertia of the solid parts of the compressor. The EGR in Figure 163 is recirculated at the inlet of the electric compressor to avoid the scarce recirculated gases during engine transients, when the boost pressure can become higher than the engine exhaust pressure, due to the prompt dynamic response of the electric compressor. Alternatively, the EGR can be recirculated to the electric compressor delivery and the advantage of this solution is the presence of clean fluid through the electric compressor. The latter solution is more common than the former because EGR shortages during quick transients are not fundamental and such a reduced availability can only last for a few seconds. The power of the electric motor, which drives the compressor, is 7 kW in Figure 163, due to the high demands in terms of dynamics and electronic units. An on/off bypass valve (item 3) is also applied to allow for complete bypass of the e-booster and its intercooler. The electric powered compressor assists the conventional turbochargers, delivers a highly dynamic starting-off performance and during transients, delivers the charge pressure necessary for dynamic power response very rapidly, thus reducing the turbo-lag [419]. When the difference between the real and calculated dynamic nominal charge pressures exceeds a defined threshold, the EPC is activated and, as soon as the stationary design boost pressure is reached, is again deactivated. The EPC is active at the start of an acceleration: the air mass flow rate, increased by the EPC, enables a higher full load quantity, and thus a higher torque, than when running without EPC. This turns into a better vehicle dynamic response, leading to a 2.5 m longer travelled distance after 2.5 s in a start from standstill. Moreover, as already mentioned, leaner mixtures can be designed during engine transients, due to the reduced turbo lag, with benefits on pollution. Finally, Figure 164 [419] shows that the EPC (case new V8TDI) also enhances the maximum torque values in the low-end torque area with significant fuel consumption savings. In fact, EPC enables aggressive downsizing and downspeeding strategies, especially in heavy-duty engines [420]. Engine downsizing at a constant power output leads to higher BMEP at reduced friction mean effective pressure but requires advanced boosting to maintain the power output: an increase of 5–6% in the mechanical efficiency can be obtained for medium- and heavy-duty engines when adding an electric compressor downstream from the single-stage turbocharger. Even engine downspeeding, which again reduces fuel consumption through a reduction in friction, demands a significant increase in low-end torque to match the power curve of the base configuration (the maximum engine speed on the full load curve can be diminished up to 200 rpm) and hence requires a performance boosting system.
Figure 163.
Engine layout and air system configuration for an engine with downspeeding [418].
Figure 164.
EPC effects on torque and fuel consumption [419].
Figure 165 [418], which presents a mild hybrid CR downsped engine endowed with an EPC, confirms the general bsfc decrease observed over the working map compared with the baseline engine at the same power output. Engine downspeeding combined with the EPC can improve fuel consumption by an average of up to 4–5% along the FTP cycle and can appreciably reduce transient emissions for a medium-duty engine.
Figure 165.
bsfc reduction for the mild hybrid downsped CR engine with EPC when compared to the baseline one [418].
However, unlike the case in Figure 164, a bsfc penalty was observed at low speeds and high loads (region 2), due to electric compressor power consumption and the increased heat transfer, although the low-end torque is significantly increased. In fact, Figure 164 presents a strategy in which the e-booster is added and the single-stage turbocharger is not optimized for the new setup: as a result, the electric compressor support is obvious during quick transient and the steady-state benefits are high only in the low-end torque (low-speed area), where the risk of surging is high for the single-stage turbocharger. Instead, in Figure 165, the single-stage turbocharger has been optimized to work in conjunction with the EPC even during steady-state operations, and the EPC is therefore used in a much larger area than in Figure 164 with more distributed benefits. In particular, the sizing of the turbocharging system was optimized for the rated power, and benefits on fuel consumption become high at the peak power points in region 1, where the improvement in bsfc can reach 5–6%. As a result, the low-end torque is augmented but the bsfc has not been optimized in area 2.
When compared to the twin-stage turbocharger, an EPC, powered through energy recovered from vehicle braking and combined with a single-stage turbocharger, can provide packaging and cost advantages. In particular, both the dynamic response of the boosting system and the thermal inertia of the engine improve in the latter case. In fact, the electric compressor has a good effect on the recovered kinetic energy through the “lever” effect of the electric boost (1 J of electric energy stored in the battery gives rise, through the EPC, to 7–10 J of mechanical energy at the crankshaft), which therefore allows for a greater quantity of fuel to be injected during the transients, thus improving the combustion and emissions as well as the vehicle’s dynamic response. The mild hybrid technology, when combined with the flexibility and high performance of modern CR injection systems in terms of maximum injection pressure, sophisticated multiple injection patterns and accuracy in dosing the quantities, can guarantee a target of 8–10% bsfc reduction, compared to a standard Stop/Start 12V Micro-Hybrid system, with an additional cost of about 1 k€ [417]. The mild hybrid technology for premium passenger cars and light-duty diesel engine vehicles is quite popular in Europe since diesel engines have been, and still are, quite popular in this market, and customers like the range/fun-to-drive/cost ownership proposition it can achieve. The technical solution that is implemented is not that different from an equivalent gasoline application: electrification is generally performed by means of a parallel architecture via a belt-driven electrical machine at the P0 location according to a minimal mild hybrid solution (the P2 configuration is rarely used since the 48 V power/torque output would be too weak).
As far as full and plug-in hybrid diesel passenger cars and light-duty vehicles are concerned, only a few plug-in vehicles are on the European market and the arrangement is typically a parallel architecture featuring a P2 high-voltage electrical machine (300 V, about 90 kW), which is coupled with a battery of about 17 kWh: no particular modifications or upgrades to the base diesel engine are made. The plug-in option allows for a CO2 reduction, the impact of which depends on the battery size, as well as many features that provide customer benefits (fun to drive, low-end torque boost, electric-mode operation and four-wheel drive): Figure 166 provides an example of the performance of a plug-in CR diesel engine passenger car. Energy and power management optimization represents the real plus for this type of application, with high overall performance output and predictive operating strategy as the most interesting features. Another example of improved engine management is the particle filter regeneration, which is managed in a transparent way for customers. In fact, DPF or SCRF regeneration is a critical operation and cannot be managed together with other important functions in classic hybrid engines and, as a result, DPF regeneration limits the driver’s comfort and fun-to-drive; the presence of a large battery in plug-in hybrid vehicles enables more freedom in the management of other functions, such as start and stop events, and the supply to auxiliaries, during DPF regeneration.
Figure 166.
Plug-in CR diesel vehicle: power and torque [417].
With reference to the NEDC driving cycle, Figure 167 [75] shows that modern diesel mild and strong hybrid electric vehicles provide about 18% of the CO2 benefit compared to the average gasoline hybrid (fuel consumption and GHG emissions are the primary benefits of hybrid vehicles), in line with the advantage of conventional diesel drivetrains over conventional gasoline drivetrains (the former provides a 17–20% improvement). Given the higher price of modern diesel engines, diesel hybrids appear to be more suited to the premium car market. These cars joined the low fuel consumption of CR diesel engines on highways with the reduced pollutants and CO2 emissions of electric motors in cities, where restrictions on the usage of diesel engines often occur [421]. In fact, the NOx and PM requirements are in general not fully aligned with those pertaining to fuel consumption and a strong hybridization can improve the trade-off significantly. However, both reduced fuel consumption and increased hybridization costs of diesel CR engines, compared to gasoline ones, have resulted in the limited implementation of full and plug-in hybrid technologies in diesel passenger cars. In particular, such solutions should feature an electrical machine with larger sizes than in gasoline cars, due to the higher brake torque and friction losses of CR diesel engines, and this augments costs. Medium- and heavy-duty vehicles are candidates for hybridization in compliance with greenhouse gas emission standards: on average, 4–6% of fuel consumption savings can be obtained with 48 V P0 mild hybridization, and the bsfc improvement can reach 10% with the installation of an electric compressor on a medium-duty vehicle. While trucks operating in urban environments would clearly benefit from hybridization, even long-haul trucks operating mostly on the highway would also benefit from some level of hybridization. Differently from light-duty applications, base engine optimizations are forecasted and make economic sense (fuel savings repay them more rapidly). In particular, electric compressors enable downsizing and downspeeding with benefits on CO2 that the MD and HD sectors have not yet experienced.
Figure 167.
CO2 emissions of gasoline and diesel hybrid engines versus vehicle mass [75].
Figure 168 [422] illustrates the benefits of a high-voltage hybrid system with a 6.7 L diesel engine for trucks over the heavy heavy-duty diesel truck (HHDDT) transient cycle. Heavy-duty trucks typically feature batteries with voltage levels in the 800 V-1200 V range because the power that can be recovered during braking is much higher than in cars. The retrofitted diesel engine implements a hybrid solution with an additional electrical machine that is driven by the ICE via a power takeoff and moves the auxiliaries. In further upgrades, the start and stop functionalities have been added to the hybrid layout. Significant NOx and soot benefits as well as noteworthy fuel economy are possible, even after applying increased levels of thermal management required to ensure that the SCR catalyst remains active [423].
Figure 168.
CO2 effect of hybridization and start/stop over the HHDDT cycle for a 6.7L CR diesel engine [422].
5.3. Hybrid Solutions in Non-Road Applications
In recent years, there has been an increasing interest around hybrid solutions using high voltages, i.e., in the 400–800 V range, for applications such as agricultural tractors and excavators [421] (the high-voltage level is lower than in trucks, due to the reduced speed of these non-road applications) because full electrification today is critical, with the need to last the workday and their wide range of work tasks. In general, non-road applications are beneficiaries of the technological cascade from automotives and therefore have not introduced significant innovations in the context of thermal engines, including both technology of engine systems and their control strategy; in fact, the evolution trends illustrated in Section 2 also apply to this sector with a certain delay. However, the situation changes when dealing with thermal–electric hybrid solutions, where specific solutions for this sector exist. Urban driving adapts very well to energy recovery, due to frequent accelerations and stops, but building machines with repetitive movements, like excavators, are able to recover kinetic energy too. With an excavator, significant energy is required to swing the upper structure that is then dissipated as the swing motion is stopped. If the swing energy can be captured and reused, fuel savings are possible, and this is the primary goal of hybridization: the highest fuel savings occurs when the machine is frequently cycling through a swing motion such as in high-volume truck loading and trenching.
For agricultural tractors and machinery, two tasks have been identified to date [424] wherein energy recovery is possible: transportation and front-loading [425,426]. The field of agricultural machine electrification using high voltages can be divided into three main groups [427]: engine auxiliaries, traction drives and implements. A first milestone is to decouple traditional mechanical-driven non-propulsion loads, such as radiator cooling fans, water pumps and air-conditioning compressors, from the engine, this being in line with the previously discussed tendency for future diesel passenger cars. As an example, in [428], a state-of-the-art conventional cooling system was compared with another one featuring electric fans and water pumps: the latter system outperformed the former with regards to warm-up time, temperature tracking and energy consumption.
As far as traction drive is concerned, hybrid electric vehicles with a hybridization factor up to 0.5 and PHEVs with a hybridization factor in the 0.5–0.7 range are proposed. Charging a battery from the electric grid during the night is more efficient than charging via the tractor engine, and this can be made with PHEVs, which are therefore the preferred option [429]. In general, the energy management strategy adopted for the high-voltage hybrid architectures is as follows [430]: for higher battery states of charge than 30%, the powertrain operates in charge depleting mode; otherwise, the powertrain operates in the charge sustaining mode.
Since the application of hybrid technology is at its early stages on these machines, there is still not a clear answer about which architecture best fits a specific application [431]. Parallel, serial and complex hybrid thermal electric configurations have been considered. The diesel engine and the electrical motor can drive both the axles, or one propulsion system can be responsible for front-wheel drive and the other for rear-wheel drive (in this case, the electrical machine is in P4 position, that is, on the axle disconnected to the engine), or a direct mechanical link between engine and wheels can be absent and electric-in-wheel motors can be implemented to drive four wheels individually (this corresponds to the P5 location of the electrical machine) [429]. In general, an additive modality is applied to the management of the two propulsion systems and the interaction between the CR diesel engine and the electric machine is minimized, that is, each of them works almost independently of the other, unlike what instead happens in full and plug-in hybrid thermal-electric gasoline and diesel passenger cars. In [432], where a parallel hybrid tractor was considered (both the ICE and the electrical machine drive the transmission together), the electrical motor intervened when the torque demand was higher than a certain threshold. In other words, the intervention of the electrical machine occurs only when the CR diesel engine really needs it in order to limit the energy storage system sizes. In [433], a hybrid configuration of the diesel engine, where the thermal unit is not linked to the wheels that are driven by the electrical machine, was proposed for a tractor: a range extender solution was designed, and, therefore, the power peaks were covered by the electrical machine, which was fed by a photovoltaic system. Instead, a complex thermal–electric hybrid system was applied to a tractor in [434], and it could exploit the flexibility due to operation with different modes, i.e., parallel hybrid, series hybrid or power-split transmission paths. Nevertheless, most of the literature and commercial developments on power-split continuous variable transmission for tractors deal with the hydraulic pump–motor pair instead of the electric generator–motor pair [435]: in fact, the mechanical power is converted to hydraulic power by means of engine-driven pumps, and the pumped oil is delivered to hydraulic motors connected to the wheels. Although this configuration is not electrified, it allows the thermal engine to be decoupled from the wheels. Numerous applications of this powertrain have been realized on refusal trucks and excavators [436]. Indeed, hydraulic motors have much lower power-to-weight ratios than electrical motors and present the advantage that the own working fluid also acts as a coolant, although the electrical motors greatly outperform the hydraulic ones in efficiency (about 90% versus 70%), simple integration with control electronics and prompt dynamic response [429].
Thermal–electric–hydraulic hybrid architectures have also been investigated: the thermal and electrical motors are coupled in a parallel architecture upstream from the driveline (cf. Figure 169) [437], and the transmission features a hydraulic circuit, including a variable displacement pump and a hydraulic motor. Since a hydraulic energy accumulator is lacking, the architecture is not hybrid-hydraulic, but thermal–electric hybrid. Both the ICE and the electrical machine can drive the pump, which converts the mechanical power into a high-pressure flow (up to 300 bar), while the hydraulic motor converts it back into mechanical power at the output shaft. The solution mimics the benefits of the more traditional series hybrid architecture, but with the goal of using an electric machine to support the downsized engine, as in parallel hybrid architectures.
Figure 169.
CO2 schematic representation of the thermal-electric–hydraulic architecture [437].
In general, the application of the parallel hybrid thermal electric traction architecture to hybrid agricultural vehicles gives the best results in peak power capabilities, due to the cooperation between the CR diesel engine and the electric machine (the global maximum power is equal to the maximum powers of the ICE and the electrical machine) [438], whereas the serial hybrid thermal electric layouts gave the worst results due to the tandem configuration (the global power is limited to the maximum power of the lower size motor between ICE and electrical machine) double energy conversion. The peak power performance of the electric–thermal–hydraulic hybrid architectures was an intermedium between parallel and serial hybrid thermal–electric engines. The primary advantage of the electric–thermal–hydraulic hybrid architecture is its flexibility and the smooth transmission, although there is a penalty in the low efficiency of the off-design hydraulic operation. The third area of high-voltage electrification of agricultural machinery concerns the implements: energy can be saved through accurate and individual control of seed and chemical applications via their decoupling from the tractor diesel engine [439]. In this case, the goal of electrification is also related to increased functionality: this is a specific feature of agricultural machines, which have a large variety of functional drives [440]. For implements, it is argued [429] that the electric drive can be more finely controlled than hydraulic drive.
6. Future Sustainable On-Road Mobility and Role of the CR Engine
6.1. Roadmap for Passenger Cars
In the European Union (EU) and United Kingdom, about 15.5 million new cars were registered in 2019: 63% were gasoline, including hybrid-electric vehicles (6%); 32% were diesel; and 1.6% were gas ICE vehicles, including CNG and LPG cars. The rest was made up of battery electric vehicles (BEVs), with 2%, plug-in hybrid electric vehicles (PHEVs), with 1%, and, finally, fuel cell electric vehicles (FCEVs). These six powertrains have been compared across the EU’s most popular passenger car segments, namely the small (18% of the new registrations in 2019), lower-medium (23%) and sport utility vehicle or SUV (37%) segments. The average masses of cars in the small, lower medium and SUV segments are 1155 kg, 1382 kg and 1537 kg, respectively.
Figure 170 [441] reports the life cycle assessment (LCA) of greenhouse gas (GHG) emissions of lower-medium segment passenger cars registered in 2021. The GHG emissions, in grams of CO2,eq per kilometer, of different powertrains have been evaluated based on the conventional average lifetime mileages of the vehicles (250,000 km over 17 years of life) and compared. The GHG emissions related to production of fuel or electricity, those related to fuel consumption directly in the vehicle, and those corresponding to maintenance and to manufacturing of the vehicle are considered. The production of fuel or electricity consists of the fuel and electric power supply chains, respectively: for fuel, the chain includes producing crude oil, refining the crude oil into fuel and distributing it at terminals, whereas, for the electricity, the complete generation process starting from the crude oil or the renewable source and the subsequent distribution phase are considered. The CO2,eq emissions from car plants as well as from the fuel and electric power supply chains have also been taken into account. The Tank-To-Wheel (TTW) emissions here refer to fuel consumption emissions and have been measured along the NEDC for the different powertrains (the WLTP values are around 21% higher than the NEDC values reported in Figure 170). As far as maintenance during the use phase of vehicles is concerned, the replacement of components like tires; parts of the exhaust/aftertreatment system; and consumables like coolant, lubricant and urea also produce GHG emissions; since BEVs and FCEVs require only some of these materials, they correspond to slightly lower maintenance GHG emissions than ICE vehicles and PHEVs. Finally, vehicle manufacturing, including the production of the battery pack and hydrogen tank, gives rise to different life cycle GHG emissions for the various powertrains. In particular, the production of batteries used in BEVs and PHEVs (the latter also have batteries to enable kinetic energy recovery), include the extraction and processing of materials used in lithium-ion batteries. Battery recycling is likely to significantly reduce the GHG emission impact of batteries, but due to uncertainty regarding future recycling processes, the corresponding GHG emission credits are not included in Figure 170. For FCEVs, the hydrogen emissions corresponding to hydrogen tank manufacturing mostly come from the required carbon fiber-reinforced plastic for the vessel, which at the moment is not recycled.
Figure 170.
LCA for medium-segment passenger cars registered in Europe in 2019 [441].
Although the TTW emissions of diesel cars are notoriously lower than those of gasoline cars, the life cycle GHG emissions of these two powertrains are similar in Figure 170; this is due to the larger production of GHG emissions during diesel oil production. Furthermore, the GHG TTW emissions of gasoline and diesel engines are also related to N2O emissions. Due to its 265 times higher global warming potential (GWP) than CO2,eq, even small amounts of N2O emissions can significantly contribute to the GHG emissions related to fuel consumption: emissions of 2 mg N2O per km and 15 mg N2O per km have been considered for gasoline and diesel engine cars, respectively. This explains why the difference between TTW CO2,eq emissions of conventional diesel and gasoline powertrains is lower than 17–20%, which is the usual difference that is found in both urban and highway driving when only effective CO2 emissions are taken into account [75].
In Figure 170, gasoline includes 5% volume of ethanol (this is the current blend in Europe), and diesel includes 7% volume of biodiesel (the GHG emissions for blending gasoline and diesel oil with ethanol and biodiesel, respectively, are taken into account in the fuel production process). The addition of ethanol and biodiesel in the gasoline and diesel blends is not decisive in lowering GHG emissions. The problem is mainly related to indirect land use change (ILUC) of some feedstocks. The ILUC impact relates to the unintended consequence of releasing more carbon emissions, due to land use changes around the world induced by the expansion of croplands for ethanol or biodiesel production in response to the increased global demand for biofuels. As farmers worldwide respond to higher crop prices in order to maintain the global food supply-and-demand balance, pristine lands are cleared to replace the food crops that were diverted elsewhere for biofuel production. Because natural lands, such as rainforests and grasslands, store carbon in their soil, and biomass as plants grow each year, clearance of wilderness for new farms translates to a net increase in GHG emissions. Due to this off-site change in the carbon stock of the soil and the biomass, ILUC has consequences in the LCA greenhouse gas balance of a biofuel. For biodiesel, the production emissions due to ILUC of rapeseed, palm and soybean oil, which are the most important feedstocks, give higher final values than the corresponding life cycle emissions of fossil diesel. In particular, 7 vol. % of biodiesel gives an increase of 2% in GHG emissions, compared to fossil diesel fuel (the 5 vol% of ethanol in the gasoline blend lowers GHG emissions by only 2%). In fact, significant reductions in GHG emissions could be only achieved using waste- and residue-based feedstocks, but this strategy is limited by feedstock availability.
BEVs powered by the average electricity grid and with electricity produced only by wind and solar energy (green hydrogen) are shown, whereas FCEVs running on H2 from wind and solar energy and on natural gas-based H2 (grey hydrogen) are considered. For wind and solar energy, the GHG emissions corresponding to the construction and maintenance of plants are considered. The strong hybrid passenger cars (HEVs) and PHEVs are key technologies for reaching the CO2 2025 EU target. Both mild hybrid and plug-in diesel vehicles are a feasible solution for the premium passenger car market (there exists a number in EU). In general, diesel hybrids provide about 18% CO2 benefit over NEDC, compared to equivalent gasoline hybrids.
In Figure 170, the BEVs with electricity produced with a grid mix averaged over the 2021–2038 period have around 65% lower life cycle GHG emissions than gasoline cars. When solely using electricity from renewable energy (solar, wind and nuclear energy), the life cycle GHG emissions of BEVs are around 80% lower than those of gasoline cars; the life cycle GHG emissions for renewable energies mostly correspond to the construction of power plants. In general, the GHG emissions of BEVs are sensitive to the mode of generating electricity, and with the continuous decarbonization of electricity production, these are expected to dramatically decrease for future power plants, especially after 2030. Although BEVs are fundamental for satisfying the 2030 passenger car EU target on TTW CO2 emissions and to achieve the magnitude of life cycle GHG emission reductions needed to meet the Paris Agreement, COP26 and European Green Deal’s long-term objectives, a step transition towards BEVs is not a recommended strategy.
Figure 171 [442] performs a comparison between the life cycle CO2,eq emissions of a BEV and an equivalent ICE gasoline vehicle: either the 2020 global or the 2020 EU electricity mix has been considered, instead of the EU electricity grid mix averaged over the 2021–2038 period, as in Figure 170. The comparison of carbon footprints shows that the fully electric vehicle has a 15% lower carbon footprint than the gasoline vehicle for the global electricity mix and a 28% lower carbon footprint than the gasoline vehicle for the EU electricity mix. The advantage of the BEV with respect to a conventional gasoline car (the same outcome would be obtained with a conventional diesel car) is obvious. This result is mainly due to the dramatic improvement in the battery-manufacturing process that has reduced the CO2 emissions in this phase during recent years, and Li-ion battery technology is relatively young, implying a high potential for improvements. The higher CO2,eq emissions in the manufacturing of BEVs can be recovered during the use phase, when the BEV gives much lower CO2 emissions than the conventional ICE gasoline vehicle (the CO2,eq emissions of the BEV during usage are due to the production of electricity for car motion) and the break-even occurred at 110,000 km for a global electricity mix and at 77,000 km for the EU one, taking into account a life cycle of the vehicle of 250,000 km. Therefore, the next step will consist of producing electricity with lower carbon intensities.
Figure 171.
LCA of a BEV and an equivalent ICE passenger car [442].
Figure 172 [443] reports the LCA of BEVs considering different scenarios for the evolution of the EU electricity grid mix in the fictitious case of linear penetration of the BEVs from 0 to 100% over the 2020–2030 period (a rate of substitution of 10% of the ICE vehicles per year is assumed); a comparison is also performed with hybrid thermal–electric–gasoline vehicles, which are considered the benchmark today. The Sustainable Development Scenario (SDS) represents a gateway to the outcomes targeted by the Paris Agreement because it guarantees the well below 2 °C pathway. The projection of the Stated Policy Scenario (acronym STEP, previously known as the New Policies Scenario) is more conservative because it does not take for granted that governments will reach the announced goals but looks at what has actually been put in place to reach objectives by reflecting the impact of existing policy frameworks and today’s announced policy intentions. The Current Policies Scenario (acronym CPS) shows what happens if the world continues along its present path, without any additional changes in policy. Finally, the Static Scenario refers to the maintenance of the technology level at 2020 for both battery packs and electricity mixes: unlike the case of the CPS, the technology for the decarbonization of batteries and electricities will not evolve with the trend from recent years and remains frozen.
Figure 172.
LCA of BEVs according to different scenarios for the evolution of EU electricity [443].
The curves in Figure 172 initially increase with time because newly introduced BEVs have travelled for less distance than that corresponding to the break-even point. Furthermore, an increase in battery capacities (such a capacity is obviously much larger than that in HEVs) will be required to achieve longer autonomous ranges of passenger cars, and this will contribute to increases in the CO2 emissions for vehicle manufacturing. The life cycle GHG emissions of BEVs will improve with the progressive increase in the number of BEVs that surpass the break-even travelling distance, with the shift in electricity production towards renewable sources and also with the technological progress in manufacturing batteries. The break-even year with HEVs will depend on the considered scenario, but it seems that BEVs can become competitive over HEVs with respect to LCA GHG emissions only around 2030 if a substantial change in the production of electricity strategies is implemented. Therefore, the strategy for reducing LCA CO2 emissions consists of a progressive penetration of BEVs into the car market and of the simultaneous production of efficient gasoline and diesel engines. The results in Figure 171 and Figure 172 are consistent with those in Figure 170; in fact, in the latter case, the electricity grid mix is averaged over the 2021–2038 period and, since the entire life cycle of the vehicle is considered (17 years), the BEV is the best technology in line with Figure 171. Moreover, the projections in Figure 170 have been made according to the SDS, which is the most optimistic scenario.
Finally, hydrogen vehicles have also been considered in the analysis of Figure 170, but only in the form of fuel cell cars. The GHG emissions, due to the production of hydrogen and the fuel cell efficiency, are the main problems. In particular, producing H2 by electrolysis currently corresponds to an energy efficiency of 65% but is expected to increase to 70% in 2030; additional energy is then required during the compression of gaseous H2 for storage in the fueling stations. Since renewable electricity is a valuable resource, it should be used as efficiently as possible, and direct electricity use in the form of BEVs is more efficient than all other alternatives.
Independently of the shown scenario analyses made in 2021, the CO2 emissions of ICE passenger cars have remained at a high level since that year: the CO2 performance data published by the European Environment Agency for the years 2021 to 2023 show a CO2 reduction for ICEVs of only 0.5% per year [444]. In fact, car manufacturers achieved CO2 emission reductions primarily by increasing their share of plug-in hybrid vehicles (PHEVs) and battery–electric vehicles (BEVs) [445]. In order to meet the 2025 CO2 targets (94 g/km on WLTP), car manufacturers will need to reduce CO2 emissions by 12%, on average, compared with the emissions of their 2023 vehicle fleet [446]. In an extreme case of the CO2 emissions of combustion engine vehicles remaining constant, manufacturers would need to increase their battery–electric vehicle (BEV) market shares within 1 year, passing from 15% of registration shares in 2023 to 28% in 2025 [447,448]. Besides increasing the BEV market share, manufacturers can reduce the average CO2 emission levels of their internal combustion engine vehicles by adjusting their sales strategies away from heavy and high-emitting vehicles and by encouraging consumers to buy smaller and more efficient vehicles. In addition to this, deploying mild hybridization can reduce CO2 emissions by at least 7–15%, depending on the technology package [447]. Nevertheless, the current trends in the vehicle market appear similar to those during the previous strengthening of the CO2 targets in 2020. While the 2020 targets were adopted in 2014, the average CO2 emission level of new cars increased prior to 2019, before abruptly decreasing throughout 2020 and 2021. Comparing the time periods 2015–2019 and 2019–2021, average CO2 emission levels increased by approximately 1% per year until 2019 and decreased by about 1% per month between 2019 and 2021 when the new target came into effect. The historic experience from 2019 to 2020/21 demonstrates vehicle manufacturers’ ability to adapt their product portfolio and consumer marketing efforts, even within a few months, and suggests that 2025 CO2 targets are well within realization. In fact, the average CO2 reduction of 12% required from 2023 to 2025 is about half the 23% fleet-average CO2 reduction observed between 2019 and 2021. However, to support Europe’s automotive sector, which is experiencing the impact of rapid technological changes and increasing competition, the EU commission has approved a change offering manufacturers the possibility to comply with their obligations for the years 2025, 2026 and 2027 by averaging their performance over the three-year period, rather than each individual year. This approach would allow them to balance any excess annual emissions by outperforming the target in subsequent years. Instead, the previous rules set annual targets covering five-year periods for reducing average CO2 emissions from new cars across the EU fleet. From 2025, an annual CO2 emission reduction target of 15% compared to 2021 values should have been applied for the 2025–2029 period.
Based on the EU plan, there is space for CR engines in passenger cars only for the transition phase, in which electrical cars will be progressively introduced. This path seems to be traced, and the uncertainty is related to the duration of such a transition phase.
6.2. Roadmap for Light-Duty Commercial Vehicles
The battery pack size of light-duty commercial BEVs increases with respect to that of cars, and the LCA in Figure 173a [449] shows that BEVs with a 2030 electricity mix are not the most convenient solution for achieving the 2030 EU CO2 target. In fact, the higher CO2,eq emissions in the manufacture of BEVs can be recovered during the usage phase, but the break-even point occurs close to the assumed life of the vehicle. Moreover, Figure 173b [449] shows that the manufacturing costs of BEVs, and, in particular, of their battery packs, would be excessive compared to diesel vehicles, with only a gain of 7% in LCA CO2,eq emissions (cf. Figure 173a).
Figure 173.
Light-duty commercial vehicles registered in Europe: (a) LCA analysis; (b) production costs of powertrain and storage [449].
Figure 174 reports the efficiencies of a hydrogen SI ICE and of a fuel cell system as functions of the developed power. For the hydrogen SI ICE, different curves referring to distinct BMEP values are plotted, and along each curve, the engine speed is varied.
Figure 174.
Comparison between fuel cell and H2–ICE vehicles.
The fuel cell system features an efficiency that initially increases and then progressively reduces with power. On one hand, the incidence of the mechanical losses (such as the power absorbed by the compressors and that absorbed by the pump for cooling and lubrication) decreases with the produced power, and this tends to improve the fuel cell system mechanical efficiency. On the other hand, as the electric current provided by the fuel cell stack to the electrical motor increases linearly with the power request, the incidence of the Joule effect losses within the stack increases. Hence, the fuel cell system reaches the best fuel consumption when the vehicle works at part loads and then decreases as loads further increase. Instead, the hydrogen SI ICE has a brake thermal efficiency that increases with the load because the incidence of throttle losses decreases by increasing the load. Since light-duty commercial vehicles work close to the nominal power condition more than passenger cars do, the hydrogen ICE can become a feasible solution for the former. In fact, Figure 175 [449] indicates that the fuel consumption energy gain of the fuel cell system, compared to the H2 SI ICE, is 28% over the WLTP for a light-duty commercial vehicle. However, when steady-state working conditions beyond 80% of the nominal power are considered in Figure 174, the efficiency loss of the H2–ICE decreases to less than 10%. Furthermore, if a hybrid thermal–electric H2–ICE vehicle is considered, the gap in Figure 174 significantly decreases and the BTE at steady-state working conditions close to the nominal power can become even higher than the efficiency of the fuel cell system. Finally, the H2–ICE powertrain has production costs that are lower than the fuel cell costs and that are acceptable compared to a diesel conventional powertrain (cf. Figure 173b). The increase in the H2–ICE powertrain costs compared to those of a diesel engine is due to the H2 storage system (the storage system cost in H2–ICE and fuel cell vehicles is similar).
Figure 175.
Consumption energies along the WLTP for passenger cars [449].
Figure 173a shows that an ICE powertrain fueled by either “blue hydrogen” or “turquoise hydrogen” is a feasible solution for satisfying the 2030 EU CO2 target on light-duty commercial vehicles. On the other hand, grey hydrogen gives more life cycle CO2,e emissions than a conventional diesel powertrain in Figure 173a and is not a sustainable option. The path which is followed to produce hydrogen is therefore fundamental. Since the total hydrogen production throughout the world today mainly originates from fossil methane (in 2018, about 98% of the total hydrogen production originated from fossil fuels), similarly to the case of BEVs for passenger cars, the transition towards hydrogen light-duty commercial vehicles should be performed after the hydrogen production technologies have been decarbonized.
As a result, the objectives of CO2 reduction in 2025 for light-duty commercial vehicles will be reached by applying electric hybridization to CR diesel engines, by improving the efficiency of conventional CR diesel engines and by increasing the market penetration of CNG light-duty commercial vehicles. After 2030, the expected diminution in the manufacturing costs of fuel cell powertrains will open the market to FCVEs, in addition to H2–ICE vehicles, for the light-duty commercial vehicle sector. Carbon neutrality could be reached in the long term (2050) by adopting “green hydrogen” as a fuel in H2–ICE and fuel cell vehicles.
Actually, over 1.5 million new vans were registered in Europe in 2024, a 7% increase over 2023. Of the newly registered vans in 2024, 6% were battery–electric, a slight decrease from the 7% average in 2023 [450]. Shares of battery–electric vans in Europe increased by 1 to 2 percentage points in the first quarter of 2025 compared with the same period in 2024. None of the manufacturers are currently on track to meet their CO2 targets for 2025, and the average target gap is 18 g CO2/km [448]. The new legislation that allows the new CO2 targets for 2025 to be satisfied as an average value over 2025–2027 was more desirable for vans than for passenger cars.
6.3. Roadmap for Heavy-Duty Commercial Vehicles
Reference is made to a five-long haul (5-LH) heavy-duty vehicle. Figure 176 [451] reports the estimations of the LCA CO2 emissions of different heavy-duty powertrains for the 2015–2030 period. The 2025 EU target on CO2 TTW emissions can be reached by means of three main actions. First, the brake-specific fuel consumption of the CR diesel trucks could be improved up to +10–15%. Modern diesel heavy-duty engines have an average efficiency of 42.6% over the WHTC, and top models reach 45%: the increase in BTE can be obtained by applying waste heat recovery technologies, intelligent thermal management of the cab, phase change cooling concepts, increases in the injection pressure up to 3000 bar, advanced multiple injections and discrete rate shaping strategies with enhanced control of the injected mass. Second, mild hybrid CR diesel engines will spread, and this will lead to an additional average improvement in efficiency of about +7%. It is worth observing that thermal–electric hybridization, when applied to trucks, gives lower CO2 benefits than passenger cars because heavy-duty vehicles tend to work less under urban driving conditions than passenger cars do. Third, natural gas (NG)-fueled trucks will cover from 15% to 20% of the heavy-duty market by 2025. However, the TTW CO2 emissions of methane engines are lower by only 4–5% compared to diesel engines; this takes into account the differences in engine efficiency, which penalizes the natural gas engines. In fact, the best NG performing truck models only reach 38.1% over the WTHC.
Figure 176.
LCA of different heavy-duty powertrains for the 2025–2030 period [451].
This largely offsets the potential gains from the lower carbon content of natural gas. Therefore, CR diesel engine optimization will be the focus of the CO2 strategies of heavy-duty vehicles for 2025, and the state-of-the art strategies implemented or researched in SI passenger cars will be transposed to NG trucks. In general, independently of the improvement in the CNG engine efficiency, the NG can be a good actor neither for 2030 nor in a long-term sustainable scenario (beyond 2030) because it is affected by leakage emissions. These occur during different phases (production, processing, transmission and distribution) and since the GWP of NG is much higher than that of CO2, even an NG leakage of around 1% along the whole chain has critical effects.
The key powertrain for reaching the CO2 2030 target is expected to be H2–ICE. Figure 177 [449] shows that blue and turquoise H2-fueled ICEs can significantly decrease (from 21% to 48%) the LCA CO2 emissions compared to conventional diesel propulsion systems. The fuel cell trucks can give even better performances because of the lower TTW CO2 emissions. However, the differences in Figure 178 [449] between fuel cell and H2–ICE powertrains (14% according to the EU computer simulation tool called VECTO, which determines the CO2 emissions of new heavy-duty vehicles using measured values along a specific mission profile and a reference payload) are lower than for the case of light-duty commercial vehicles (cf. Figure 175).
Figure 177.
LCA of H2–ICE, H2–FCEV, BEV and diesel heavy-duty powertrains (projection for 2030) [449].
Figure 178.
Consumption energies along the WLTP for light-duty commercial vehicles [449].
Furthermore, these differences could be further recovered or overturned by selecting a mild hybrid H2 engine and by using a WHR system. Above all, Figure 179 [449] highlights that the manufacturing costs of a fuel cell systems are not competitive with those of an equivalent H2–ICE powertrain, at least up to 2030. After this term, the simultaneous spread of FCEVs in both the light-duty and heavy-duty commercial vehicle sectors will reduce their production costs due to an economy of scale, and fuel cells could partially recover the gap with respect to H2–ICEs. Hence, both H2–ICE and fuel cell powertrains could be fundamental to decarbonizing the heavy-duty sector in the long term, and the further step to approach global carbon neutrality by 2050 will consist of using green hydrogen as a fuel (cf. Figure 177).
Figure 179.
Production costs for powertrain and storage [449].
Battery trucks can only be a solution for short-range delivery (<300 km), and in fact, battery heavy-duty vehicles are already commercialized for urban delivery trucks. When long ranges are considered, such as in Figure 179, where reference is made to 800 km of range, the manufacturing costs of BEVs become unacceptable due to the sizes of the battery pack: the latter should feature a larger capacity than 1000 KWh and a weight between 2 and 4 tons. A feasible alternative to fully electric vehicles for 2050 could be overhead catenaries or e-roads equipped with high-efficiency (up to 90%) inductive recharge systems along heavily travelled freight corridors. The bimodal trucks would be powered by electricity within the corridor and by a H2–ICE or a fuel cell powertrain out of the corridor. Nevertheless, the overhead catenary and the e-roads will require massive infrastructure investments and therefore need incentivizing policies.
The production of green diesel, hydrotreated vegetable oil (HVO) and other e-fuels, which are produced from renewable electricity and atmospheric CO2 capture, will likely start to ramp up only in the 2030–2040 period (for this reason, they have not been considered in the scenario outlined by Figure 176 and Figure 177). Depending on the definite penetration of H2–ICE FCVS, BVEs, overhead catenary and e-roads, green diesel, HVO and e-fuels could be used as back-up options to reach carbon neutrality by 2050 in the heavy-duty sector.
Although green diesel, HVO and e-fuels cannot be considered a major response to the CO2 problem for land vehicles up to 2030, since the decarbonization process involves all the sectors (including that of refineries), refineries shall increase the production of these fuels in order to reach the EU objectives. Therefore, stocks of green diesel, HVO and e-fuels could also be available at fuel stations even for trucks and passenger cars in the next years.
The Council of the European Union finalized the revision of CO2 standards for trucks and buses in May 2024. The revised standards kept the 2025 CO2 reduction target at 15% relative to 2019 emissions, increased the 2030 target to a reduction of 45%, and mandated new 2035 and 2040 targets of 65% and 90%, respectively [452]. EU fleet-average emissions have decreased by 0.56% annually between 2019 and 2021, which is significantly below the 2.5% annual reduction needed to meet the 2025 targets [453]: with zero-emission trucks accounting for only 2% of all new registrations, this vehicle segment urgently needs an acceleration of the review of its CO2 standards to 2025. Zero-emission vehicles (ZEVs) were 4.1% of all HDV sales in the second quarter of 2024 compared with 3.2% in the first quarter. This increase is lower than that experienced in vans.
The H2 technology can significantly reduce tailpipe CO2 emissions, but its effect on nitrogen oxides is still being investigated. Several European truck and engine manufacturers have shown interest in developing hydrogen ICE vehicles during the 2022–2024 period, announcing prototypes that are ready for commercialization [454]. Different truck manufacturers confirmed the plan to include hydrogen ICEs in their future production mix and expand their research activities in this regard. There are also investigations to demonstrate high-pressure direct injection (HPDI) hydrogen ICEs for highway trucks: the results show a 51.5% brake thermal efficiency and engine-out nitrogen oxide emissions similar to a diesel engine [455]. North America also showed interest in hydrogen ICE technology for trucks.
7. Conclusions
Solenoid CR injectors endowed with a pressure-balanced pilot valve and equipped with a 2–3 cm3 minirail can reduce static leakage to 50% compared to standard samples and can also improve the dynamic response of the needle. Furthermore, three-way pilot valve layouts can be adopted to minimize the dynamic leakage. A reduction in the total leakage is mandatory to maximize the injection pressure, and a better injector dynamic response together with higher injection pressure can enhance fuel evaporation. In the context of indirect-acting injectors, solenoid-driven systems are preferred because of their reduced manufacturing costs. The piezoelectric actuation can be exploited to design direct-acting injectors, which can reach very high injection pressures. Instead, the benefits of boot injection in DAP injectors are lower than those coming from efficient multiple injections, which generalize the basic schemes of the pilot–main and main–after modes.
The maximum rail pressure has progressively increased in passenger cars from 1350 bar at the CR diesel engine debut to a maximum of 2700 bar in current commercial applications. At low engine loads, lower injection pressures minimize the parasitic loss related to pump compression, avoiding bsfc penalties, while at medium and high loads, such a loss become acceptable because of the improved combustion. In these cases, increasing the injection pressure up to 2000 bar can lead to better bsfc and, when coupled to large EGR rates, can improve the NOx–soot trade-off (the penalty is on CN). Injection pressures beyond 2000 bar increase the engine power density (downsizing) at the same peak firing pressure. Beyond 100 kW/L of power density, the engine is too heavy, and this prolongs the warm-up period, worsening bsfc and emissions. Many studies have been performed above 3000 bar, but the benefits do not seem to justify the efforts. For these challenging target pressures, DAP injectors should be applied to the possible commercial engines.
The CR injector nozzle has been subjected to continuous optimization. The diameter of the injection holes has been progressively reduced (from 200 µm to 110 µm), and their numbers have progressively increased (from 4 to 10) due to their benefits on soot and CN. Coupling higher rail pressures to more injection holes with lower diameters leads to shorter injection durations at rated power and better mixture formation at part loads. The k-factor of the injection holes is usually between 0 and 3, and the hydro-grinding level is in the 10–30% range: the higher either k-factor or He, the better the nozzle discharge coefficient and the more reduced the PM emissions. Divergent and counter-bore holes, which have been recently proposed, optimize the trade-off between air utilization and cooling loss. Furthermore, the nozzle sac volume should be minimized to reduce HC emissions but not eliminated because, together with hydro grinding, it guarantees a symmetry of the sprays, which limits soot. The nano-sac has a dead volume of 0.08 mm3 and, coupled with the injector integrated minirail, results in significantly reduced SMD of the fuel droplets during the needle–seat passage throttling periods. Finally, the design of the needle tip shape should avoid recirculation zones to improve the nozzle discharge coefficient. The outwardly opening pintle-type nozzle has been considered to improve air–fuel mixing and diminish penetration, while allowing for a reduction in the swirl motion that negatively affects heat transfer (reduced swirl is a consequence of better air-fuel mixing).
Flexible multiple injections, including up to 10 injections per engine cycle, have been key to the definite success of CR engines. Single pilot injections (pilot–main mode) can be used at low loads and speeds to limit HC and CO emissions, whereas they can reduce CN and NOx under medium-load and -speed conditions. Single pilot injections are also used during engine cranking to reduce the engine start time, and after a cold-start (up to −10 °C), to retain the cycle-to-cycle variability of the torque. Multiple pilot injections can further improve the trade-off between emissions, CN and bsfc at low to medium loads, while having less influence at medium to high loads; in general, the effectiveness of the multiple pilot injections decreases by increasing the rail pressure. Furthermore, double and triple pilot injections are used to improve COVIMEP during cold-starts at −20 °C. The main–after mode or multiple after injections are effective to speed up engine warm-up and to reduce the soot engine-out emissions: in the latter case, shorter main–after DTs can be more effective than longer ones, although excessively short values (DT ≤ 400 µs) should be avoided. Under full-load conditions, when maximum torque is smoke-limited, an after injection can benefit the performance. Unlike a pilot injection, the after injection mechanism is not fully understood, and there is still space for basic investigations: the most popular theories to explain the after injection effect are based on the split-flame concept and on the interaction between main and after combustion events. Strategies that combine pilot and after shots can be adopted at low and medium loads to simultaneously reduce PM and NOx, with a small penalty on bsfc: the presence of an after shot allows the pilot injection and EGR to be optimized for NOx engine-out emissions. Even the benefits of the pMa strategy decrease at high loads. Split injections, which consist of shots characterized by similar quantities and relatively short dwell angles (usually below 10 CAD), are impressive for CN reduction. However, they induce significant pressure wave disturbances, especially on the last shot, and their control is therefore challenging. Discrete rate shaping schedules can only be implemented with CR systems of the latest generation: the accumulated fuel during each ignition delay is small, and the maximum HRR is limited, although the global fraction of premixed burning is large due to the great number of small pilot injections. The advantages are significant CN and NOx reductions at medium loads and speeds; in particular, the CN reduction is due to the dampening effect of fuel evaporation on the ongoing combustion of the previously injected fuel. Instead, continuous rate shaping strategies benefit soot and bsfc at medium loads and speeds and perform better than boot injections. The weak point of both digital and continuous rate shaping techniques is the high COVIMEP, which can exceed 5%. Advanced injectors that dose the injected mass accurately in the short DT range have been manufactured, but their performance is still not fully satisfactory.
In general, the best results with multiple injections are reached when engine calibration is prepared using statistical techniques. If a DoE is implemented, the application of more sophisticated injection strategies leads to advantages compared to simpler ones (for example, a triple injection gives better results than a double injection, and a quadruple injection performs better than a triple one); otherwise, this may not be true. In modern diesel passenger cars, up to about ten different multiple injection patterns (most of them are statistically optimized) and up to a maximum of about ten shots per engine cycle can be implemented. Such injection patterns can be grouped into three categories: those pertaining to the warmed mode, which include pilot shots and rate shaping; those pertaining to the warm-up mode, which are primarily characterized by after injections; and those pertaining to the DPF regeneration mode, which use post injections. In particular, a specific CN reduction mechanism exists for optimized multiple injections, based on disruptive interference between in-cylinder pressure oscillations that pertain to the combustion events related to the different injections.
An objective of future diesel CR engines for automotive applications should be a significant reduction in NOx tailpipe emissions in all driving conditions, while retaining their traditional benefit of low CO2 emissions. A large amount of the NOx emitted from diesel passenger cars occurs in the initial phase of the WLTP when the SCR has not reached the light-off temperature. Hence, the employment of multiple SCR devices, which should be installed in both the closely coupled and underfloor positions, with distinct urea dosing units, seems necessary. Furthermore, 48 V battery systems are required to speed up the aftertreatment heating after cold-starts: an electrically heated catalyst, mounted upstream from the DOC, can reduce NOx tailpipe emissions to more than 40% and can also slightly improve (1–2%) CO2 emissions. Diesel–electric automobiles can also lead to other CO2 emission benefits by implementing the electrification of engine auxiliaries (5%) and the start and stop functionalities (6%). A mild hybrid technology, in addition to all the previous advantages, can enable a further CO2 emission decrease in the 7–15% range due to regenerative braking and torque assistance. Moreover, the installation of an electrical compressor optimizes the supercharging process with benefits on bsfc and pollutant emissions, especially during turbocharger transients, and increases the maximum BMEP in the low-end torque area, enabling aggressive downsizing and downspeeding strategies. The mild parallel hybrid technology with a belt-driven electrical machine in the P0 position has already been applied to diesel passenger cars and will be adopted in the next generation of medium- and heavy-duty engines with 800–1200 V batteries. Instead, a few strong and full hybrid diesel vehicles have only been commercialized in the premium car market, due to the high hybridization costs of CR engines compared to gasoline ones. Energy and power management optimization represents the real plus of these technologies, which lead to fuel consumption savings, high-performance over the whole engine working area and improved management of DPF regeneration. In recent years, an increasing interest has arisen around hybrid solutions using high voltages (400–800 V) for non-road applications, such as agricultural tractors and excavators. Electrification here acts on three groups: engine auxiliaries, traction driving systems and implements. For traction purposes, parallel, serial, complex and electric–hydraulic hybrid architectures are evaluated in studies.
In addition to either diesel vehicles or hybrid electric–thermal vehicles applying conventional diesel combustion, CR engines are also suitable for exploring innovative combustion concepts, such as PCCI combustion, since they provide superior control of the calibration parameters. Higher injection pressures can extend the working zone of LTC: EGR has to increase with the load, and an increased prail can guarantee enhanced air–fuel mixing. Furthermore, an increase in prail gives lower soot, NOx, HC and CO engine-out emissions up to a certain threshold value for early mixture formation LTC. The benefit of prail on soot is more important for late PCCI than for early PCCI and is progressive (there is no threshold), although NOx engine-out emissions grow with increasing prail in the former case. For the early PCCI mode, SOI should be scheduled after the in-cylinder temperature has exceeded the initial boiling point of the diesel fuel (around 250 °C) to minimize wall wetting. The optimal range for reductions in soot, NOx and CN is given by SOI ≥ 35 CAD bTDC, but torque is penalized: moderately early PCCI strategies are a compromise solution. Small pilot injected fuel burns together with the main injection in early PCCI, and unlike in the case of CDC, the pilot is used to increase air–fuel premixing: CO, soot and HC engine-out emissions are decreased with little expense to NOx, compared to single injections. Multiple pilot injections with earlier SOI than 90 CAD bTDC minimize the chances of fuel wall impingement. Furthermore, an after injection with proper timing can be considered in early PCCI to improve HC, CO and soot. In addition to this, the MPRR of main–after injections is lower than that of single injections because the main combustion becomes less vigorous. Multiple after injections can also be adopted in late PCCI to reduce fuel wall wetting. Finally, split injection strategies improve both CN and NOx as well as HC emissions for overmixing: the reduced ID, designed with the CR flexibility, should not compromise the LTC benefits on soot and NOx. At higher loads, split injection gives inadequate soot levels but enables PCCI strategies, which can allow the LTC region to be extended.
In modern CR diesel engines for passenger cars, LTC has become a calibration mode used in some working zones to simultaneously reduce soot and NOx engine-out emissions, rather than a combustion strategy for alternative engine architectures. If large EGR rates and low engine compression ratios are adopted, even in the presence of the soot–NOx trade-off (pseudo LTC), both soot and NOx engine-out emissions decrease significantly compared to CDC, although the best results occur when the soot–NOx trade-off is absent. Since LTC is currently limited to lower loads, dual combustion mode operation is necessary: the transition between LTC and CDC usually occurs within the 5–10 bar range of BMEP. During the transitional cycles, CR engines can easily adapt the fuel injection strategy to control the AFR value; in particular, SOI should be changed in the earlier cycles to contain torque fluctuations and CN. Further investigations are recommended on multiple injections, which limit the MPRR and reserve the acoustic tone of the engine during the transition.
With regard to alternative fuels, the CR apparatus can be efficiently adapted to work with biofuels and synthetic fuels. In fact, the properties of such fuels affect injection, spray breakup, combustion and emissions differently, compared to petrodiesel, and require adjustments in the calibration, which was a difficult task for mechanical injection systems.
Biodiesel gives worse fuel atomization than petrodiesel due to its higher viscosity, surface tension and density; moreover, spray penetration increases, and spray angle decreases. In general, the differences can be compensated by acting on injection parameters (ET, prail, SOI, EGR, boost and swirl factor). In spite of the increased diffusive burning (ID reduces), biodiesel has shorter combustion durations than petrodiesel since the presence of oxygen in the fuel molecule speeds up the burning rate. The rated power is lower and the bsfc at part loads is larger for biodiesel due to lower LHVs, although BTE at certain working conditions can be optimized with proper calibration. As global emission requirements become more stringent, NOx emissions can become an issue for diesel engines burning biodiesel. The percentage of NOx emission changes relative to petrodiesel can vary significantly, but statistical analyses report an increase of 3% for animal biodiesel and of about 10–15% for vegetal biodiesel: when a higher increase than 30% is reported, the CR engine calibration is probably not optimized. As a future research direction, it is fundamental to deepen the relationship between biodiesel and modern catalytic devices (SCR, LNT and DPNR), taking into account the potentialities of CR systems on aftertreatment management. PM is noticeably reduced for biodiesel, compared to petrodiesel, primarily because of the oxygen content in the fuel molecule: statistical analyses show an average reduction in PM of 45% and 50% for vegetal and animal biodiesel, respectively. This provides an interesting opportunity to re-optimize the NOx–PM trade-off, based on the selected aftertreatment. In particular, the pilot injection, which worsens PM for petrodiesel due to oxygen scarcity during the main combustion, improves even soot for biodiesel since it facilitates evaporation of the main injection (the presence of oxygen in the fuel molecule is exploited). Finally, biodiesel gives HC and CO engine-out emission reductions beyond 60% and 45%, respectively, compared to petrodiesel. However, during engine warm-up, biodiesel reduces the exhaust gas temperature and thus the DOC efficiency, resulting in worsened HC and CO tailpipe emissions.
Fischer–Tropsch diesel (also called green diesel, made with a bio-syngas obtained from renewable sources) features improved atomization and better air–fuel mixing compared to petrodiesel, due to its lower viscosity, surface tension and density. Furthermore, its lower boiling point and density reduce the risk of wall wetting. The shortened ID of F-T diesel increases the proportion of the diffusive phase, compared to petrodiesel. The BTE is equal to or slightly higher for F-T diesel than for petrodiesel, and this, coupled to the higher LHV of F-T diesel, leads to an appreciable fuel saving (up to 3%). F-T diesel significantly reduces PM engine-out emissions, compared to diesel fuel, due to its very low aromatic content, but the PM levels at the engine exhaust are generally higher than those obtained with biodiesel. The average reduction in NOx engine-out emissions is around 15% for F-T diesel, compared to petrodiesel, and both the CO and HC engine-out emissions of F-T are decreased by a lot (from 20 to 60%, depending on the typology of alkanes in the blend). In particular, F-T performs significantly better than biodiesel for CO engine-out emissions but is slightly worse with reference to HC. The effect of prail, SOI and multiple injections occurs primarily through modification of the ignition delay of F-T diesel. In general, as prail increases or multiple injections are adopted, the effect of the fuel nature tends to decrease. Nevertheless, if the ECU calibration is re-optimized for F-T fuel, a more favorable trade-off between pollutants, CN and bsfc can be achieved than for petrodiesel when multiple injections are implemented. Finally, using a delayed SOI and a large EGR is effective to minimize NOx engine-out emissions of F-T diesel without compromising PM engine-out emissions.
Although the state-of-the-art aftertreatment technologies cause NOx, PM, CO and HC tailpipe emissions of any biodiesel, synthetic diesel or petrodiesel fuel to meet regulatory standards, the challenge is to simplify aftertreatment installation and its management, while maintaining the pollutant and reducing CO2 levels, owing to high fuel injection technology, green fuels, combustion strategies and electrification. In the context of alternative fuels, there is still a demand for investigations about the application of CR engines to some promising renewable fuels, such as methanol or ammonia, in their possible usage in compression ignition engines.
In the framework of on-road sustainable mobility, hybrid and plug-in premium CR petrodiesel passenger cars can be part of the solution for reaching the 2025 target on CO2 emissions and for accompanying the progressive penetration of BEVs in the market. A somewhat similar scenario is feasible for the light-duty commercial vehicle sector, where hybrid CR petrodiesel vehicles can represent a temporary answer while waiting for a market governed by fuel cell and H2–ICE vehicles. Finally, CR petrodiesel engines will be a key solution for satisfying the CO2 targets scheduled for heavy-duty applications in 2025. Green–diesel- and biodiesel-fueled CR engines are expected to ramp up in the 2030–2040 period and could be strategic for reaching carbon neutrality in the heavy-duty sector by 2050, although the primary domain of application of these fuels will be applications in which decarbonization is more difficult (ships and airplanes).
Future research investigations could apply the most relevant injection and combustion strategies developed for diesel passenger car engines to large bore compression ignition engines that employ biofuels, synthetic fuels, methanol or ammonia. Electrical–thermal hybrid vehicles in which the internal combustion engine is powered by these innovative fuels should also be investigated and optimized.
Author Contributions
Conceptualization, A.F. and A.V.; methodology, A.F. and A.V.; formal analysis, A.F.; investigation, A.F. and A.V.; data curation, A.F.; writing—draft, A.F. and A.V. All authors have read and agreed to the published version of the manuscript.
Funding
This research received no external funding.
Conflicts of Interest
Author Vassallo A. was employed by the company Dumarey Torino S.p.A. The remaining author declares that the research was conducted in the absence of any commercial or financial relationships that could be construed as a potential conflict of interest.
Nomenclature
| Symbol | Description |
| αst | Stochiometric air-to-fuel ratio |
| Δp | Pressure drop across the nozzle hole |
| Ε | Compression ratio |
| Λ | Relative air-to-fuel ratio |
| ηgl | Engine global efficiency |
| ρf | Field density |
| Φ | Equivalent ratio |
| A | Cross-sectional area of a nozzle |
| AHRR | Apparent heat release |
| ASC | Ammonia slip catalyst |
| ASOI | After start of injection |
| aTDC | After top dead center |
| bsfc | Brake-specific fuel consumption |
| BEV | Battery–electric vehicle |
| BMEP | Brake mean effective pressure |
| BPT | Balance point temperature |
| bTDC | Before top dead center |
| BTE | Brake thermal efficiency |
| CA | Crank angle |
| CDC | Conventional diesel combustion |
| CN | Cetane number fuel |
| CO2,eq | Equivalent CO2 |
| COVIMEP | Coefficient of variance of indicated mean effective pressure |
| COVIMEPg | Coefficient of variance of gross indicated mean effective pressure |
| CPS | Current policy scenario |
| CR | Common Rail |
| D | Diameter |
| DAP | Direct-acting piezoelectric |
| DoE | Design of experiment |
| DOC | Diesel oxygen catalyst |
| DPF | Diesel particulate filter |
| DPNR | Diesel particulate and NOx reduction |
| DT | Dwell time |
| EDM | Electrical machine discharging |
| EGR | Exhaust gas recirculation |
| EGT | Exhaust gas temperature |
| EHC | Electrically heated catalyst |
| EOI | End of injection |
| EPC | Electrically powered compressor |
| ET | Energizing time |
| F-T | Fischer–Tropsch |
| FBP | Final boiling point |
| FCEV | Fuel cell electric vehicle |
| FMEP | Friction mean effective pressure |
| FSN | Filter smoke number |
| G | Mass flow rate |
| GDI | Gasoline direct injection |
| GHG | Greenhouse gas emissions |
| GTL | Fisher–Tropsch fuel derived from fossil fuel |
| GWP | Global warming potential |
| HCCI | Homogeneous charge compression ignition |
| HCN | Hollow cone nozzle |
| He | Hydro-grinding level |
| HEV | Hybrid electric vehicle |
| HF | Hydraulic flow through the nozzle |
| HHDDT | Heavy heavy-duty diesel truck |
| HPLI | Highly premixed late injection |
| HRR | Heat release rate |
| HTHR | High-temperature heat release |
| HVO | Hydrotreated vegetable oil |
| isfc | Indicated specific fuel consumption |
| ICE | Internal combustion engine |
| ILUC | Indirect land use change |
| ID1 | Raman spectrum intensity of the D1 band |
| IG | Raman spectrum intensity of the G band |
| IBP | Initial boiling point |
| ID | Ignition delay |
| IMEP | Indicated mean effective pressure |
| IT | Ignition time |
| IAP | Indirect-acting piezo |
| IAS | Indirect-acting solenoid |
| k | Hole conicity factor |
| LCA | Life cycle assessment |
| LHV/Hi | Low heating value |
| LNT | Lean NOx trap |
| LTC | Low-temperature combustion |
| LTHR | Low-temperature heat release |
| Mass flow rate | |
| mf | Injected mass |
| Mpilot | Pilot injected mass |
| MFB50 | 50% mass fraction burned |
| MHN | Multi-hole nozzle |
| MPRR | Maximum pressure rise rate |
| N | Engine speed |
| NEDC | New European driving cycle |
| NCD | Nozzle closure delay |
| NOD | Nozzle open delay |
| pEVI | Pressure in the EVI device |
| pinj | Injection pressure |
| pinj,in | Injection-inlet pressure |
| prail | Rail pressure |
| pbM | Pilot–boot–main |
| pfp | Peak firing pressure |
| Pmax | Maximum in-cylinder pressure |
| PCCI | Premixed charge compression ignition |
| PCI | Premixed compression ignition |
| PHEV | Plug-in hybrid electric vehicle |
| PPCI | Partially premixed compression ignition |
| PREDIC | Premixed lean diesel combustion |
| PRF70 | Primary reference fuel (gasoline-like fuel) |
| Qinj max early | Maximum injected mass before impingement |
| SCR | Selective catalytic reduction |
| SCRF | Selective catalytic reduction filter |
| SDS | Sustainable development scenario |
| SI | Spark ignition |
| SMD | Sauter mean diameter |
| SOC | Start of combustion |
| SOF | Soluble organic fraction |
| SOI/SOE | Start of injection |
| SOIafter | After injection start of injection |
| SOImain | Main injection start of injection |
| SOIpil | Pilot injection start of injection |
| STEP | Stated policy scenario |
| Sw | Swirl sweep |
| TCHA | Charge phase time interval |
| Tmax | Maximum in-cylinder temperature |
| THLD | Hold phase time interval |
| TDC | Top dead center |
| TTW | Tank to wheel |
| vf | Fuel jet velocity |
| Vinj | Fuel-injected volume |
| VCO | Valve-covered orifice |
| VGT | Variable geometry turbocharger |
| VVA | Variable valve actuation |
| WLTC | Worldwide harmonized light vehicle test cycle |
| WLTP | Worldwide harmonized light vehicle test procedure |
| WHR | Waste heat recovery |
| XEGR | Exhaust gas recirculation mass fraction |
References
- Minami, T.; Takeuchi, K.; Shimazaki, N. Reduction of Diesel Engine NOx Using Pilot Injection. J. Engines 1995, 104, 1104–1111. [Google Scholar]
- Henein, N.A.; Patterson, D.J. Emissions from Combustion Engines and Their Control; Ann Arbor Science Publishers: Ann Arbor, MI, USA, 1981. [Google Scholar]
- Tateishi, M.; Kushiyama, T.; Nagae, Y. Study on prevention of secondary injection in fuel injection systems of diesel engines. J. Jpn. Mech. Eng. Assoc. 1972, 75, 64. [Google Scholar]
- Takaishi, T.; Tateishi, M.; Kunimoto, E.; Matsuo, T.; Nagae, Y.; Oikawa, H. Prediction of Cavitation Erosion in Diesel Engine Fuel Injection Systems; SAE Technical Paper Series; SAE: Warrendale, PA, USA, 1987; p. 871631. [Google Scholar]
- Takaishi, T.; Tateishi, M.; Kunimoto, E. Dynamic Response of Fuel Injection System of Diesel Engines. In Proceedings of the I. Mech. E. Seminar on Engine Transient Performance, London, UK, 7 November 1990; pp. 5–12. [Google Scholar]
- Schommers, J.; Duvinage, F.; Stotz, M.; Peters, A.; Ellwanger, S.; Koyanagi, K.; Gildein, H. Potential of Common Rail Injection System for Passenger Car DI Diesel Engines. SAE Trans. 2000, 109, 1030–1038. [Google Scholar]
- Catania, A.E.; Ferrari, A. Advanced Mathematical Modeling of Electronic Unit-Injector Systems for Heavy Duty Diesel Engine Application. SAE Int. J. Commer. Veh. 2009, 1, 134–151. [Google Scholar] [CrossRef]
- Greeves, G.; Tullis, S.; Barker, B. Advanced Two-Actuator EUI and Emission Reduction for Heavy-Duty Diesel Engines. J. Engines 2003, 112, 914–931. [Google Scholar]
- Wu, Y.; Wang, P.; Farhan, S.M.; Yi, J.; Lei, L. Effect of post-injection on combustion and exhaust emissions in DI diesel engine. Fuel 2019, 258, 116131. [Google Scholar] [CrossRef]
- Krieger, K.; Hummel, H.G.; Naik, L.M. Diesel Fuel Injection Technology—An Essential Contribution Towards an Environment Friendly Powerful Diesel Engine; SAE Technical Paper 2000-01-1429; SAE: Warrendale, PA, USA, 2000. [Google Scholar]
- Schweimer, G.W.; Bader, T. EUI for Passenger Car DI-Diesel Engines; SAE Paper; SAE: Warrendale, PA, USA, 1992; p. 920628. [Google Scholar]
- Kim, Y.R.; Cho, S.H. New technologies for the super clean passenger car diesel engines. Auto J. 2009, 31, 14–24. [Google Scholar]
- Chung, M.; Kim, J.; Kim, S.; Sung, G.; Lee, J. Effects of hydraulic flow and spray characteristics on diesel combustion in CR direct-injection engine with indirect acting Piezo injector. J. Mech. Sci. Technol. 2015, 29, 2517–2528. [Google Scholar] [CrossRef]
- Moon, S.; Atac, O.F.; Bae, G.; Oh, H. Correlating armature and needle dynamics with voltage waveforms of solenoid-actuated GDI injector. Flow Meas. Instrum. 2023, 92, 102391. [Google Scholar] [CrossRef]
- d’Ambrosio, S.; Ferrari, A. Diesel engines equipped with piezoelectric and solenoid injectors: Hydraulic performance of the injectors and comparison of emissions, noise and fuel consumption. Appl. Energy 2018, 211, 1324–1342. [Google Scholar] [CrossRef]
- Payri, R.; Salvador, F.J.; Gimeno, J.; De la Morena, J. Influence of injector technology on injection and combustion development—Part 1: Hydraulic characterization. Appl. Energy 2011, 88, 1068–1074. [Google Scholar] [CrossRef]
- Yu, W.; Yang, W.; Zhao, F. Investigation of internal nozzle flow, spray and combustion characteristics fueled with diesel, gasoline and wide distillation fuel (WDF) based on a piezoelectric injector and a direct injection compression ignition engine. Appl. Therm. Eng. 2017, 114, 905–920. [Google Scholar] [CrossRef]
- Yu, W.; Yang, W.; Tay, K.; Mohan, B.; Zhao, F.; Zhang, Y. Macroscopic spray characteristics of kerosene and diesel based on two different piezoelectric and solenoid injectors. Exp. Therm. Fluid Sci. 2016, 76, 12–23. [Google Scholar] [CrossRef]
- Lee, K.; Oh, B.; Sunwoo, M. Development of a programmable driver for solenoid-Type 2-way-valve CR injectors. In Proceedings of the 13th International Pacific Conference on Automotive Engineering IPC13, Gyeongju, Republic of Korea, 22–24 August 2006. [Google Scholar]
- Zhao, J.; Fan, L.; Liu, P.; Grekhov, L.; Ma, X.; Song, E. Investigation on Electromagnetic Models of High-Speed Solenoid Valve for Common Rail Injector. Math. Probl. Eng. 2017, 2017, 9078598. [Google Scholar] [CrossRef]
- Oh, B.; Oh, S.; Lee, K.; Sunwoo, M. Development of an Injector Driver for Piezo Actuated CR Injectors; SAE Paper 2007-01-3537; SAE Paper; SAE: Warrendale, PA, USA, 2007. [Google Scholar]
- Zhao, J.; Yue, P.; Grekhov, L.; Ma, X. Hold current effects on the power losses of high-speed solenoid valve for common-rail injector. Appl. Therm. Eng. 2018, 128, 1579–1587. [Google Scholar] [CrossRef]
- Suh, H.K.; Park, S.W.; Lee, C.S. Effect of piezo-driven injection system on the macroscopic and microscopic atomization characteristics of diesel fuel spray. Fuel 2007, 86, 2833–2845. [Google Scholar] [CrossRef]
- Bae, G.; Choi, S.; Lee, S.; Moon, S.; Wang, J.; Kim, K.; Lee, J.; Kang, J. Experimental investigation of fuel temperature effects on transient needle motion and injection velocity of solenoid type diesel injector. Int. J. Heat Mass Transf. 2021, 181, 121838. [Google Scholar] [CrossRef]
- Jo, S.J.; Chung, M.C.; Kim, S.M.; Sung, G.S.; Lee, J.W. Experimental investigation and hydraulic simulation of dynamic effects on diesel injection characteristics in indirect acting piezo-driven injector with bypass circuit system. Int. J. Automot. Technol. 2015, 16, 173–182. [Google Scholar] [CrossRef]
- Yang, L.; Gao, T.; Du, X.; Zhai, F.; Lu, C.; Kong, X. Electromagnetic Characteristics Analysis and Structure Optimization of High-Speed Fuel Solenoid Valves. Machines 2022, 10, 964. [Google Scholar] [CrossRef]
- Ferrari, A.; Paolicelli, P.; Pizzo, P. The new-generation of solenoid injectors equipped with pressure-balanced pilot valves for energy saving and dynamic response improvement. Appl. Energy 2015, 151, 367–376. [Google Scholar] [CrossRef]
- Ueda, D.; Tanada, H.; Utsunomiya, A.; Kawamura, J.; Weber, J. 4th Generation Diesel Piezo Injector Realizing Enhanced High Response Injector; SAE Paper 2016-01-0846; SAE: Warrendale, PA, USA, 2016. [Google Scholar]
- Ferrari, A.; Paolicelli, F.; Pizzo, P. Hydraulic Performance Comparison Between the Newly Designed Common Feeding and Standard Common Rail Injection Systems for Diesel Engines. J. Eng. Gas Turbines Power 2016, 138, 092801. [Google Scholar] [CrossRef]
- Ferrari, A.; Mittica, A. Response of different injector typologies to dwell time variations and a hydraulic analysis of closely-coupled and continuous rate shaping injection schedules. Appl. Energy 2016, 169, 899–911. [Google Scholar] [CrossRef]
- d’Ambrosio, S.; Ferrari, A. Effects of exhaust gas recirculation in diesel engines featuring late PCCI type combustion strategies. Energy Convers. Manag. 2015, 105, 1269–1280, ISSN 0196-8904. [Google Scholar] [CrossRef]
- Payri, R.; Gimeno, J.; Mata, C.; Viera, A. Rate of injection measurements of a direct-acting piezoelectric injector for different operating temperatures. Energy Convers. Manag. 2017, 154, 387–393. [Google Scholar] [CrossRef]
- Wang, L.; Lowrie, J.; Ngaile, G.; Fang, T. High injection pressure diesel sprays from a piezoelectric fuel injector. Appl. Therm. Eng. 2019, 152, 807–824. [Google Scholar] [CrossRef]
- Marti-Aldaravi, P.; Saha, K.; Gimeno, J.; Som, S. Numerical Simulation of a Direct-Acting Piezoelectric Prototype Injector Nozzle Flow for Partial Needle Lifts; SAE Technical Paper 2017-24-0101; SAE: Warrendale, PA, USA, 2017. [Google Scholar]
- Catania, A.E.; Ferrari, A. Experimental analysis, modeling and control of volumetric radial-piston pumps. ASME Trans. J. Fluids Eng. 2011, 133, 081103. [Google Scholar] [CrossRef]
- Tay, K.L.; Yang, W.; Zhao, F.; Yu, W.; Mohan, B. A numerical study on the effects of boot injection rate-shapes on the combustion and emissions of a kerosene-diesel fueled direct injection compression ignition engine. Fuel 2017, 203, 430–444. [Google Scholar] [CrossRef]
- Ferrari, A.; Mittica, A. FEM modeling of the piezoelectric driving system in the design of direct-acting diesel injectors. Appl. Energy 2012, 99, 471–483. [Google Scholar] [CrossRef]
- Viera, J.P.; Payri, R.; Swantek, A.B.; Duke, D.J.; Sovis, N.; Kastengren, A.L.; Powell, C.F. Linking instantaneous rate of injection to X-ray needle lift measurements for a direct-acting piezoelectric injector. Energy Convers. Manag. 2016, 112, 350–358. [Google Scholar] [CrossRef]
- Payri, R.; Gimeno, J.; Bardi, M.; Plazas, A.H. Study Liquid Length Penetration Results Obtained with a Direct Acting Piezo Electric Injector. Appl. Energy 2013, 106, 152–162. [Google Scholar] [CrossRef]
- d’Ambrosio, S.; Ferrari, A. Direct Versus Indirect Acting Piezoelectric CR Injectors: Comparison of Hydraulic Performance, Pollutant Emissions, Combustion Noise, and Fuel Consumption. SAE Int. J. Engines 2018, 11, 585–612. [Google Scholar] [CrossRef]
- Desantes, J.M.; Benajes, J.; Molina, S.; Gonzales, C.A. The modification of the fuel injection rate in heavy-duty diesel engines. Part 1: Effects on engine performance and emissions. Appl. Therm. Eng. 2004, 24, 2701–2714. [Google Scholar] [CrossRef]
- Naruemon, I.; Liu, L.; Liu, D.; Ma, X.; Nishida, K. An Analysis on the Effects of the Fuel Injection Rate Shape of the Diesel Spray Mixing Process Using a Numerical Simulation. Appl. Sci. 2020, 10, 4983. [Google Scholar] [CrossRef]
- Liu, H.; Ma, S.; Zhang, Z.; Zheng, Z.; Yao, M. Study of the control strategies on soot reduction under early-injection conditions on a diesel engine. Fuel 2015, 139, 472–481. [Google Scholar] [CrossRef]
- Predelli, O.; Gratzke, R.; Sommer, A.; Marohn, R.; Atzler, F.; Schule, H.; Kastner, O.; Nozeran, N. Continuous injection-rate shaping for passenger-car diesel engines—Potential, limits and feasibility. In Proceedings of the 31st International Vienna Engine Symposium, Vienna, Austria, 29–30 April 2010. [Google Scholar]
- Kohketsu, S.; Tanabe, K.; Mori, K. Flexible controlled injection rate shape with next generation Common Rail system for heavy-duty DI diesel engines. J. Fuels Lubr. 2000, 109, 459–468. [Google Scholar]
- Niculae, A.L.; Chiriac, R.; Racovitza, A. Effects of Injection Rate Shape on Performance and Emissions of a Diesel Engine Fuelled by Diesel and Biodiesel B20. Appl. Sci. 2022, 12, 1333. [Google Scholar] [CrossRef]
- Mohan, B.; Yang, W.; Chlu, S.K. Fuel injection strategies for performance improvement and emission reduction in compression ignition engines—A review. Renew. Sustain. Energy Rev. 2013, 28, 664–676. [Google Scholar] [CrossRef]
- d’Ambrosio, S.; Ferrari, A. Boot injection dynamics and parametrical analysis of boot shaped injections in low-temperature combustion diesel engines for optimization of pollutant emissions and combustion noise. Energy 2017, 134, 420–437. [Google Scholar] [CrossRef]
- Salvador, F.J.; Gimeno, J.; Martín, J.; Carreres, M. Thermal effects on the diesel injector performance through adiabatic 1D modelling. Part I: Model description and assessment of the adiabatic flow hypothesis. Fuel 2020, 260, 116348. [Google Scholar] [CrossRef]
- d’Ambrosio, S.; Ferrari, A.; Mancarella, A.; Mancò, S.; Mittica, A. Comparison of the Emissions, Noise, and Fuel Consumption Comparison of Direct and Indirect Piezoelectric and Solenoid Injectors in a Low-Compression-Ratio Diesel Engine. Energies 2019, 12, 4023. [Google Scholar] [CrossRef]
- Yang, K.; He, Z.; Zhang, Y.; Nishida, K. Effect of single and split injection on combustion process of diesel spray injected into 2D piston cavity. Fuel 2023, 334, 126639. [Google Scholar] [CrossRef]
- O’Connor, J.; Musculus, M. Post Injections for Soot Reduction in Diesel Engines: A Review of Current Understanding. SAE Int. J. Engines 2013, 6, 400–421. [Google Scholar] [CrossRef]
- Najar, I.; Stengel, B.; Buchholz, B.; Hassel, E. Pilot Injection and Thermal Nitrogen Oxides: A Numerical and Experimental Study. SAE Int. J. Engines 2020, 13, 473–486. [Google Scholar] [CrossRef]
- Suh, K.H. Study on the twin-pilot-injection strategies for the reduction in the exhaust emissions in a ow-compression engine. Proc. IMechE Part D J. Automob. Eng. 2014, 228, 335–343. [Google Scholar] [CrossRef]
- Denny, M.; van den Ende, L.; Persson, H.; Andersson, Ö. Manipulating heat release features to minimize combustion noise. Fuel 2020, 263, 116613. [Google Scholar] [CrossRef]
- Lu, K.; Qiu, H.; Chen, Z.; Shi, L.; Deng, K. Environmental adaptability method for improving the cold start performance of the diesel engine based on pilot injection strategy. Energy 2023, 281, 128215. [Google Scholar] [CrossRef]
- Busch, S.; Zha, K.; Miles, P.C. Investigations of closely coupled pilot and main injections as a mean to reduce combustion noise. In Proceedings of the 8th Thiesel Conference, Valencia, Spain, 9–12 September 2014. [Google Scholar]
- d’Ambrosio, S.; Ferrari, A. Potential of double pilot injection strategies optimized with the design of experiments procedure to improve diesel engine emissions and performance. Appl. Energy 2015, 155, 918–932, ISSN 0306-2619. [Google Scholar] [CrossRef]
- Yun, H.H.; Sellnau, M.; Milovanovic, N.; Zuelch, S. Development of Premixed Low-Temperature Diesel Combustion in a HSDI Engine; SAE Paper No. 2008-01-0639; SAE: Warrendale, PA, USA, 2008. [Google Scholar]
- Brijesh, P.; Sreedhara, S. Exhaust emissions and its control methods in compression ignition engines: A review. Int. J. Automot. Technol. 2013, 14, 195–206. [Google Scholar] [CrossRef]
- Helmantel, A.; Golovitchev, V. Injection Strategy Optimization for a Light Duty DI Diesel Engine in Medium Load Conditions with High EGR Rates; SAE Paper No. 2009-01-1441; SAE: Warrendale, PA, USA, 2009. [Google Scholar]
- Yoon, S.J.; Park, B.; Park, J.; Park, S. Effect of pilot injection on engine noise in a single cylinder compression ignition engine. Int. J. Automot. Technol. 2015, 16, 571–579. [Google Scholar] [CrossRef]
- Torregrosa, A.J.; Broatch, A.; García, A.; Mónico, L.F. Sensitivity of combustion noise and NOx and soot emissions to pilot injection in PCCI Diesel engines. Appl. Energy 2013, 104, 149–157. [Google Scholar] [CrossRef]
- Biswas, S.; Bakshi, M.; Shankar, G.; Mukhopadhyay, A. Experimental Investigation on the Effect of Two Different Multiple Injection Strategies on Emissions, Combustion Noise and Performances of an Automotive CRDI Engine; SAE Technical Paper No. 2016-01-0871; SAE: Warrendale, PA, USA, 2016. [Google Scholar]
- Liu, L.; Horibe, N.; Tamur, T.K.I.; Ishiyama, T. An Experimental Study on Smoke Reduction Effect of Post Injection in Combination with Pilot Injection for a Diesel Engine. ASME J. Eng. Gas Turbines Power 2014, 136, 041502. [Google Scholar] [CrossRef]
- d’Ambrosio, S.; Ferrari, A. Effects of pilot injection parameters on low temperature combustion diesel engines equipped with solenoid injectors featuring conventional and rate-shaped main injection. Energy Convers. Manag. 2016, 110, 457–468, ISSN 0196-8904. [Google Scholar] [CrossRef]
- Ferrari, A.; Zhang, T. Influence of the injector setup on digital and continuous injection rate-shaping performance in diesel engine passenger cars. Energy Convers. Manag. 2020, 205, 112259. [Google Scholar] [CrossRef]
- Payri, F.; Broatch, A.; Salavert, J.M.; Martín, J. Investigation of Diesel combustion using multiple injection strategies for idling after cold start of passenger-car engines. Exp. Therm. Fluid Sci. 2010, 34, 857–865. [Google Scholar] [CrossRef]
- d’Ambrosio, S.; Ferrari, A.; Iemmolo, D.; Mittica, A. Dependence of combustion noise on engine calibration parameters by means of the response surface methodology in passenger car diesel engines. Appl. Therm. Eng. 2019, 163, 114209. [Google Scholar] [CrossRef]
- Hotta, Y.; Inayoshi, M.; Nakakita, K.; Fujiwara, K.; Sakata, I. Achieving Lower Exhaust Emissions and Better Performance in an HSDI Diesel Engine with Multiple Injection; SAE 2005-01-0928; SAE: Warrendale, PA, USA, 2005. [Google Scholar]
- Zhang, Z.; Liu, H.; Yue, Z.; Wu, Y.; Kong, X.; Zheng, Z.; Yao, M. Effects of Multiple Injection Strategies on Heavy-Duty Diesel Energy Distributions and Emissions Under High Peak Combustion Pressures. Front. Energy Res. 2022, 10, 857077. [Google Scholar] [CrossRef]
- Okude, K.; Mori, K.; Shiino, S.; Yamada, K.; Matsumoto, Y. Effects of Multiple Injections on Diesel Emissions and Combustion Characteristics; SAE Paper No. 2007-01-4178; SAE: Warrendale, PA, USA, 2007. [Google Scholar]
- Heywood, J. Internal Combustion Engine Fundamentals; McGraw-Hill: New York, NY, USA, 2018; p. 6106. ISBN 9781260116106. [Google Scholar]
- Lee, J.W.; Choi, S.M.; Yu, S.; Choi, H.; Min, K.D. Comparison of the effects of multiple injection strategy on the emissions between moderate and heavy EGR rate conditions: Part 1—Pilot injections. J. Mech. Sci. Technol. 2013, 27, 1135–1141. [Google Scholar] [CrossRef]
- DieselNet. Engine and Emission Technology Online, Since 1997. Available online: www.dieselnet.com (accessed on 25 October 2023).
- Mingfa, Y.; Hu, W.; Zunqing, Z.; Yan, Y. Experimental Study of Multiple Injections and Coupling Effects of Multi-Injection and EGR in a HD Diesel Engine; SAE Technical Paper No. 2009-01-2807; SAE: Warrendale, PA, USA, 2009. [Google Scholar]
- AlRamadan, A.S.; Houidi, M.B.; Nyrenstedt, G.; Johansson, B. Fuel Flexibility Study of a Compression Ignition Engine at High Loads; SAE Paper 2019-01-2193; SAE: Warrendale, PA, USA, 2019. [Google Scholar]
- Fatehi, H.; Persson, H.; Lucchini, T.; Ljungqvist, M.; Andersson, O. Effects of In-Cylinder Flow Structures on Soot Formation and Oxidation in a Swirl-Supported Light-Duty Diesel Engine; SAE Technical Paper 2019-24-0009; SAE: Warrendale, PA, USA, 2019. [Google Scholar]
- Desantes, J.; Arrègle, J.; López, J.; García, A. A Comprehensive Study of Diesel Combustion and Emissions with After-Injection; SAE Technical Paper 2007-01-0915; SAE: Warrendale, PA, USA, 2007. [Google Scholar]
- O’Connor, J.; Musculus, M. Effect of Load on Close-Coupled After-Injection Efficacy for Soot Reduction in an Optical Heavy-Duty Diesel Research Engine. ASME J. Eng. Gas Turbines Power 2014, 136, 101509. [Google Scholar] [CrossRef]
- Zhou, L.; Yang, K.; Ping, Z.; Nie, T.; Biao, X.; Huang, L. Experimental study on the effect of post-injection parameters on performance of extra-high pressure common-rail diesel engine. Energy Rep. 2022, 8 (Suppl. S7), 152–160. [Google Scholar] [CrossRef]
- Yun, H.; Reitz, R.D. An experimental investigation on the effect of post-injection strategies on combustion and emissions in the low-temperature diesel combustion regime. J. Eng. Gas Turb. Power 2007, 129, 279–286. [Google Scholar] [CrossRef]
- Dronniou, N.; Lejeune, M.; Balloul, I.; Higelin, P. Combination of High EGR Rates and Multiple Injection Strategies to Reduce Pollutant Emissions; SAE Technical Paper 2005-01-3726; SAE: Warrendale, PA, USA, 2005. [Google Scholar]
- Chen, P.; Ibrahim, U.; Wang, J. Experimental investigation of diesel and biodiesel post injections during active diesel particulate filter regenerations. Fuel 2014, 130, 286–295. [Google Scholar] [CrossRef]
- Farhan, S.M.; Wang, P. Post-injection strategies for performance improvement and emissions reduction in DI diesel engines—A review. Fuel Process. Technol. 2022, 228, 107145. [Google Scholar] [CrossRef]
- Barro, C.; Tschanz, F.; Obrecht, P.; Boulouchos, K. Influence of postinjection parameters on soot formation and oxidation in a common-raildiesel engine using multicolor-pyrometry. In Proceedings of the ASME 2012 Internal Combustion Engine Division Fall Technical Conference, Vancouver, BC, Canada, 23–26 September 2012; p. ICEF2012-92075. [Google Scholar]
- Sperl, A. The Influence of Post-Injection Strategies on the Emissions of Soot and Particulate Matter in Heavy Duty Euro V Diesel Engine; SAE Technical Paper 2011-36-0350; SAE: Warrendale, PA, USA, 2011. [Google Scholar]
- Jeftić, M.; Asad, U.; Han, X.; Xie, K.; Yu, S.; Wang, M.; Zheng, M. An Analysis of the Production of Hydrogen and Hydrocarbon Species by Diesel Post Injection Combustion. In Proceedings of the 2011 Internal Combustion Engine Division Fall Technical Conference, Morgantown, WV, USA, 2–5 October 2011; ICEF2011-60135. pp. 679–687. [Google Scholar]
- Liu, W.; Song, C. Effect of post injection strategy on regulated exhaust emissions and particulate matter in a HSDI diesel engine. Fuel 2016, 185, 1–9. [Google Scholar] [CrossRef]
- Horibe, N.; Komizo, T.; Mamizuka, Y.; Sumimoto, T.; Kawanabe, H.; Ishiyama, T. Analysis of Mixture Formation Process in a Diesel Engine with After Injection; SAE Technical Paper No. 2015-01-1836; SAE: Warrendale, PA, USA, 2015. [Google Scholar]
- Badami, M.; Mallamo, F.; Millo, F.; Rossi, E.E. Influence of Multiple Injection Strategies on Emissions, Combustion Noise and BSFC of a DI Common Rail Diesel Engine. J. Engines 2003, 111, 1118–1129. [Google Scholar]
- Bao, Z.; Kishigami, R.; Horibe, N.; Kawanabe, H.; Ishiyama, T. The effect of close after injection on combustion characteristics and cooling loss reduction. Fuel 2020, 268, 117294. [Google Scholar] [CrossRef]
- Horibe, N.; Tamura, I.; Hamada, T.; Liu, L.; Ishiyama, T. Smoke-Reduction Effect of After Injection in Combination with Pilot Injection. Trans. Soc. Automot. Eng. Jpn. 2012, 43, 1039–1044. [Google Scholar]
- Benajes, J.; Molina, S.; García, J. Influence of Pre-and Post Injection on the Performance and Pollutant Emissions in a HD Diesel Engine; SAE Technical Paper 2001-01-0526; SAE: Warrendale, PA, USA, 2001. [Google Scholar]
- Desantes, J.M.; Arrègle, J.; López, J.J.; García, A. A comprehensive study of diesel combustion and emissions with post-injection. J. Engines 2007, 116, 542–550. [Google Scholar]
- Osada, H.; Yuzo, A.; Kazuaki, S. Diesel Combustion Improvement Using High Boost, Wide Range and High Rate EGR in a Single Cylinder Engine (Third Report). Trans. Soc. Automot. Eng. Jpn. 2012, 43, 855–861. [Google Scholar]
- Inaba, K.; Masuko, Y.; Zhang, Y.; Kobashi, Y.; Ogawa, H. Thermal Efficiency Improvements with Split Primary Fuel Injections in Semi-Premixed Diesel Combustion with Multi-Peak Shaped Heat Release; SAE Technical Paper 2019-01-2170; SAE: Warrendale, PA, USA, 2019. [Google Scholar]
- Ghadikolaei, M.A.; Wei, L.; Cheung, C.S.; Yung, K.-F. Effects of engine load and biodiesel content on performance and regulated and unregulated emissions of a diesel engine using contour-plot map. Sci. Total Environ. 2019, 658, 1117–1130. [Google Scholar] [CrossRef]
- Farhan, S.M.; Pan, W.; Yan, W.; Jing, Y.; Lili, L. Impact of after-injection strategies on combustion and unregulated emissions during different loads in an HSDI diesel engine. Fuel 2020, 267, 117256. [Google Scholar] [CrossRef]
- Wang, Z.; Shen, L.; Lei, J.; Yao, G.; Wang, G. Impact characteristics of post injection on exhaust temperature and hydrocarbon emissions of a diesel engine. Energy Rep. 2022, 8, 4332–4343. [Google Scholar] [CrossRef]
- Gönül, M.; Kutlar, O.A.; Calik, A.T.; Parlak, F.O. Prediction of oil dilution formation rate due to post injections in engines by using Gaussian process. Fuel 2021, 305, 121608. [Google Scholar] [CrossRef]
- Wloka, J.A.; Pflaum, S.; Wachtmeister, G. Potential and challenges of a 3000 bar Common Rail injection system considering engine behavior and emission level. SAE Int. J. Engines 2010, 3, 801–813. [Google Scholar] [CrossRef]
- Vera-Tudela, W.; Haefeli, R.; Barro, C.; Schneider, B.; Boulouchos, K. An experimental study of a very high-pressure diesel injector (up to 5000 bar) by means of the optical diagnostics. Fuel 2020, 275, 117933. [Google Scholar] [CrossRef]
- Lei, Y.; Liu, J.; Qiu, T.; Mi, J.; Liu, X.; Zhao, N.; Peng, G. Effect of injection dynamic behavior on fuel spray penetration of common-rail injector. Energy 2019, 188, 116060. [Google Scholar] [CrossRef]
- Zhao, J.; Grekhov, L.; Yue, P. Limit of Fuel Injection Rate in the Common Rail system. Int. J. Automot. Technol. 2020, 21, 649–656. [Google Scholar] [CrossRef]
- Le, M.K.; Kook, S. Injection Pressure Effects on the Flame Development in a Light-Duty Optical Engine; SAE Technical Paper No. 2015-01-0791; SAE: Warrendale, PA, USA, 2015. [Google Scholar]
- Zhang, G.; Si, Z.; Zhai, C.; Luo, H.; Ogata, Y.; Nishida, K. Characteristics of wall-jet vortex development during fuel spray impinging on flat-wall under cross-flow conditions. Fuel 2022, 317, 123507. [Google Scholar] [CrossRef]
- Genzale, C.; Reitz, R.; Musculus, M. Effects of Piston Bowl Geometry on Mixture Development and Late-Injection Low Temperature Combustion in a Heavy-Duty Diesel Engine. SAE Int. J. Engines 2009, 1, 913–937. [Google Scholar] [CrossRef]
- Cowart, J.; Prak, D.L.; Hamilton, L. The effects of fuel injection pressure and fuel type on the combustion characteristics of a diesel engine. ASME J. Eng. Gas Turbines Power 2015, 137, 1015011–1015019. [Google Scholar] [CrossRef]
- Kuti, O.; Zhu, J.; Nishida, K.; Wang, X.; Huang, Z. Characterization of spray and combustion processes of biodiesel fuel injected by diesel engine common rail system. Fuel 2013, 104, 838–846. [Google Scholar] [CrossRef]
- Chen, P.C.; Wang, W.C.; Roberts, W.L.; Fang, T. Spray and atomization of diesel fuel and its alternatives from a single-hole injector using a common rail fuel injection system. Fuel 2013, 103, 850–861. [Google Scholar] [CrossRef]
- Kuti, O.; Zhang, W.; Nishida, K.; Wang Huang, Z. Effect of Injection Pressure on Ignition, Flame Development and Soot Formation Processes of Biodiesel Fuel Spray. SAE Int. J. Fuels Lubr. 2010, 3, 1057–1070. [Google Scholar] [CrossRef]
- Hekun, J.; Zhiyuan, L.; Bifeng, Y.; Xin, Z.; Yi, X. Visualization Research and Optimization Strategy for Combustion Process and Emissions Characteristics of Internal Exhaust Gas Recirculation Small Non-Road Diesel Engine. Int. J. Automot. Technol. 2020, 21, 481–492. [Google Scholar] [CrossRef]
- Badami, M.; Nuccio, P.; Trucco, G. Influence of Injection Pressure on the Performance of DI Diesel Engine with a Common Rail Fuel Injection System; SAE Paper No. 1999-01-0193; SAE: Warrendale, PA, USA, 1999. [Google Scholar]
- Mallamo, F.; Badami, M.; Millo, F. Effect of Compression Ratio and Injection Pressure on Emissions and Fuel Consumption of a Small Displacement Common Rail Diesel Engine; SAE Technical Paper No. 2005-01-0379; SAE: Warrendale, PA, USA, 2005. [Google Scholar]
- Pradeep, V.; Krishnasamy, A. Effect of Injection Parameters on the Premixed Charge Compression Ignition Combustion in a Small-Bore Light Duty Diesel Engine—A CFD Study; SAE Technical Paper 2021-01-1174; SAE: Warrendale, PA, USA, 2021. [Google Scholar]
- Rao, L.; Zhang, Y.; Kook, S.; Kim, K.S.; Kweon, C.-B. Understanding in-cylinder soot reduction in the use of high pressure fuel injection in a small-bore diesel engine. Proc. Combust. Inst. 2019, 37, 4839–4846. [Google Scholar] [CrossRef]
- Payri, R.; Salvador, F.J.; Manin, J.; Viera, A. Diesel ignition delay and lift-off length through different methodologies using a multi-hole injector. Appl. Energy 2016, 162, 541–550. [Google Scholar] [CrossRef]
- Nishida, K.; Zhu, J.; Leng, X.; He, Z. Effects of micro-hole nozzle and ultra-high injection pressure on air entrainment, liquid penetration, flame lift-off and soot formation of diesel spray flame. Int. J. Engine Res. 2017, 18, 51–65. [Google Scholar] [CrossRef]
- Palanisamy, M.; Lorch, J.; Truemner, R.; Baldwin, B. Combustion Characteristics of a 3000 Bar Diesel Fuel System on a Single Cylinder Research Engine; SAE Technical Paper No. 2015-01-2798; SAE: Warrendale, PA, USA, 2015. [Google Scholar]
- Kang, S.; Lee, S.; Hong, D.; Bae, C. Effect of nozzle orifice diameter and hole number on diesel combustion and engine performance. Int. J. Automot. Technol. 2022, 23, 481–494. [Google Scholar] [CrossRef]
- Takeuchi, M.I.; Ishizuka, K.; Uchiyama, K.; Sugawara, S.; Nakagawa, M.; Herrmann, O.E. Innovative technologies to realize the ultimate diesel system with high efficiency and low emissions. In Proceedings of the 38th Wien Motor Symposium, Vienna, Austria, 27–28 April 2017. [Google Scholar]
- Gumus, M.; Sayin, C.; Canakci, M. The impact of fuel injection pressure on the exhaust emissions of a direct injection diesel engine fueled with biodiesel-diesel fuel blends. Fuel 2012, 95, 486–494. [Google Scholar] [CrossRef]
- Di Blasio, G.; Beatrice, C.; Ianniello, R.; Pesce, F.C.; Vassallo, A.; Belgiorno, G.; Avolio, G. Balancing Hydraulic Flow and Fuel Injection Parameters for Low Emission and High-Efficiency Automotive Diesel Engines; SAE Technical Paper No. 2019-24-0111; SAE: Warrendale, PA, USA, 2019. [Google Scholar]
- Takeuchi, M.I.; Shinohara, Y.; Kojima, A.; Ishizuka, K.; Uchiyama, K.; Nakagawa, M.; Herrmann, O.E. Further innovations for the diesel engine management and aftertreatment system. In Proceedings of the 36th Wien Motor Symposium, Vienna, Austria, 7–8 May 2015. [Google Scholar]
- Thirouard, M.; Pacaud, P. Increasing Power Density in HSDI Engines as an Approach for Engine Downsizing. SAE Int. J. Engines 2010, 3, 56–71. [Google Scholar] [CrossRef]
- Di Blasio, G.; Beatrice, C.; Ianniello, R.; Pesce, F.C.; Vassallo, A.; Avolio, G. Key Fuel Injection System Features for Efficiency Improvement in Future Diesel Passenger Cars; SAE Technical Paper No. 2019-01-0547; SAE: Warrendale, PA, USA, 2019. [Google Scholar]
- Wloka, J.A. Experimentelle Numerische und Motorische Charakterisierung der 3000 bar Dieseleinspritzung. Ph.D. Thesis, TU München, München, Germany, 2016. [Google Scholar]
- Johnson, J.E.; Yoon, S.H.; Naber, J.D.; Lee, S.-Y.; Hunter, G.; Truemner, R.; Harcombe, T. Characteristics of 3000bar diesel spray injection under non-vaporizing and vaporizing conditions. In Proceedings of the ICLASS 2012, 12th Triennial International Conference on Liquid Atomization and Spray Systems, Heidelberg, Germany, 2–6 September 201.
- Rollbusch, C. Einfluss von Höchstdruckeinspritzung und Düsendurchfluss auf das Emissionsverhalten Eines Kleinen Nutzfahrzeug-Dieselmotors. Ph.D. Thesis, Universität Rostock, Rostock, Germany, 2015. [Google Scholar] [CrossRef]
- Riva, G.E.; Reggiori, A.; Daminelli, G. Diesel spray combustion rate enhancement by increasing injection pressure. In Proceedings of the SAE International Congress & Exposition, Detroit, MI, USA, 1–5 March 1993; SAE International: Warrendale, PA, USA, 1993. [Google Scholar]
- EU Horizon 2020. Project ID: 675528. Available online: https://cordis.europa.eu/project/rcn/198296/results/en (accessed on 3 April 2025).
- Rokni, H.B.; Moore, J.D.; Gupta, A.; McHugh, M.A.; Mallepally, R.R.; Gavaises, M. General method for prediction of thermal conductivity for well-characterized hydrocarbon mixtures and fuels up to extreme conditions using entropy scaling. Fuel 2019, 245, 594–604. [Google Scholar] [CrossRef]
- Vidal, A.; Rodriguez, C.; Koukouvinis, P.; Gavaises, M.; McHugh, M.A. Modelling of diesel fuel properties through its surrogates using perturbed-chain, statistical associating fluid theory. Int. J. Eng. Res. 2020, 21, 1118–1133. [Google Scholar] [CrossRef]
- Rokni, H.B.; Gupta, A.; Moore, J.D.; MHugh, M.A.; Bamgbade, B.A.; Gavaises, M. Purely predictive method for density, compressibility, and expansivity for hydrocarbon mixtures and diesel and jet fuels up to high temperatures and pressures. Fuel 2019, 236, 1377–1390. [Google Scholar] [CrossRef]
- Di Blasio, G.; Beatrice, C.; Pesce, F.C.; Vassallo, A.; Belgiorno, G.; Kastner, O.; Avolio, G.; Leuteritz, U. Exceeding 100 kW/L milestone: The next step towards defining high performance diesel engines. In Proceedings of the 25th Aachen Colloquium Automobile and Engine Technology, Aaachen, Germany, 5–7 October 2016. [Google Scholar]
- Atac, O.F.; Lee, S.; Moon, S. Development of simplified model for injection rate prediction of diesel injectors during transient and steady operation. Fuel 2022, 324, 124655. [Google Scholar] [CrossRef]
- Ferrari, A. Fluid dynamics of acoustic and hydrodynamic cavitation in hydraulic power systems. Proc. R. Soc. Lond. A Math. Phys. Eng. Sci. 2017, 473, 20160345. [Google Scholar] [CrossRef]
- Wang, Y.; Yu, Y.-S.; Li, G.-X.; Jia, T.-M. Experimental investigation on the characteristics of supersonic fuel induced shock waves. Sci. Rep. 2017, 7, 39685. [Google Scholar]
- Nakahira, T.; Komori, M.; Nishida, M.; Tsujimura, K. The Shock Wave Generation Around the Diesel Fuel Spray with High Pressure Injection. J. Engines 1992, 101, 741–746. [Google Scholar]
- Zhang, W.; Liu, H.; Liu, C.; Jia, M.; Xi, X. Numerical investigation into primary breakup of diesel spray with residual bubbles in the nozzle. Fuel 2019, 250, 256–276. [Google Scholar] [CrossRef]
- Nishida, K.; Zhang, W. Effects of micro-hole and ultra-high injection pressure on mixture properties of DI diesel spray. J. Fuels Lubr. 2007, 116, 421–429. [Google Scholar]
- Hiroyasu, H.; Arai, M. Structures of fuel spray in diesel engines. J. Engines 1990, 99, 1050–1061. [Google Scholar]
- López, J.; García-Oliver, J.; García, A.; Domenech, V. Gasoline effects on spray characteristics, mixing and auto-ignition processes in a ci engine under partially premixed combustion conditions. Appl. Therm. Eng. 2014, 70, 996–1006. [Google Scholar] [CrossRef]
- Zhai, C.; Jin, Y.; Wu, Q.; Nishida, K.; Ogata, Y. Diesel spray and combustion of multi-hole injectors with micro-hole under ultra-high injection pressure—Combustion characteristics. Fuel 2021, 300, 120949. [Google Scholar] [CrossRef]
- Wang, X.; Kuti, Z.H.H.; Zhang, W.; Nishida, K. An experimental investigation on spray, ignition and combustion characteristics of biodiesels. Proc. Combust. Inst. 2011, 33, 2071–2077. [Google Scholar] [CrossRef]
- Imperato, M.; Kaario, O.; Sarjovaara, T.; Larmi, M. Influence of the in-cylinder gas density and fuel injection pressure on the combustion characteristics in a large-bore diesel engine. Int. J. Engine Res. 2016, 17, 525–533. [Google Scholar] [CrossRef]
- Peters, N. Turbulent Combustion; Cambridge University Press: Cambridge, UK, 2000. [Google Scholar]
- Payri, R.; Viera, J.P.; Pei, Y.; Som, S. Experimental and numerical study of lift-off length and ignition delay of a two-component diesel surrogate. Fuel 2015, 158, 957. [Google Scholar] [CrossRef]
- Siebers, D.; Higgins, B. Flame lift-off on direct-injection diesel sprays under quiescent conditions. J. Engines 2001, 110, 400–421. [Google Scholar]
- Rollbusch, C. Effects of Hydraulic Nozzle Flow Rate and High Injection Pressure on Mixture Formation, Combustion and Emissions on a Single-Cylinder DI Light-Duty Diesel Engine. Int. J. Engine Res. 2012, 13, 323–339. [Google Scholar] [CrossRef]
- Catania, A.E.; Spessa, E.; Cipolla, G.; Vassallo, A. Combustion Analysis in PCCI Diesel Engines by Endoscopic and Pressure-Based Techniques. In Proceedings of the 31st Meeting of the Italian Section of The Combustion Institute, Turin, Italy, 17–20 June 2008. [Google Scholar]
- Okada, S.; Hamaoka, S.; Akimoto, S.; Masakawa, S.; Takeshita, K.; Seki, M.; Yoshikawa, S.; Yonezawa, T. The development of very low fuel consumption medium speed engine. In Proceedings of the CIMAC Congress 2001, Hamburg, Germany, 7–10 May 2001. [Google Scholar]
- Buratti, R.; Imarisio, R.; Peters, B. Experiences with Common Rail, a Technology Changing the Image of Diesel in Europe; SAE Technical Paper 2004-28-0072; SAE: Warrendale, PA, USA, 2004. [Google Scholar]
- d’Ambrosio, S.; Ferrari, A. Diesel injector coking: Optical-chemical analysis of deposits and influence on injected flow-rate, fuel spray and engine perfirmance. ASME J. Eng. Gas Turbines Power 2012, 134, 062801. [Google Scholar] [CrossRef]
- Qu, Z.; Yang, J.; Wu, L.; An, Y.; Liu, Y.; Yin, W.; Jin, S.; Yang, X.; Wang, Q.; Fang, R. Methodology for removing fouling within liquid-filled pipelines based on ultrasonic guided waves cavitation effect. Appl. Acoust. 2020, 157, 107018. [Google Scholar] [CrossRef]
- Desantes, J.M.; Lopez, J.J.; Carreres, M.; López-Pintor, D. Characterization and prediction of the discharge coefficient of non-cavitating diesel injection nozzles. Fuel 2016, 184, 371–381. [Google Scholar] [CrossRef]
- De la Morena, P.J.; Monsalve-Serrano, J.; Pagano, V.; Pesce, F.C.; Vassallo, A. Analysis of spray characteristics on a counter-bore fuel injector nozzle for diesel engine application. In Proceedings of the SIA Diesel Powertrain International Conference, Rouen, France, 16–17 May 2018; pp. 1–8. [Google Scholar]
- Payri, R.; De la Morena, J.; Monsalve-Serrano, J.; Pesce, F.C.; Vassallo, A. Impact of counter-bore nozzle on the combustion process and exhaust emissions for light-duty diesel engine application. Int. J. Engine Res. 2019, 20, 46–57. [Google Scholar] [CrossRef]
- Aleiferis, P.G.; Papadopoulos, N. Heat and mass transfer effects in the nozzle of a fuel injector from the start of needle lift to after the end of injection in the presence of fuel dribble and air entrainment. Int. J. Heat Mass Transf. 2021, 165, 120576. [Google Scholar] [CrossRef]
- Moro, A.; Zhou, Q.; Xue, F.; Luo, F. Comparative study of flow characteristics within asymmetric multi hole VCO and SAC nozzles. Energy Convers. Manag. 2017, 132, 482–493. [Google Scholar] [CrossRef]
- Mulemane, A.; Lai, M.C. Predicting Diesel Nozzle Flow Characteristics; SAE 2004-28-0014; SAE: Warrendale, PA, USA, 2004. [Google Scholar]
- Chiatti, G.; Chiavola, O.; Frezzolini, P.; Palmieri, F. On the Link between Diesel Spray Asymmetry and Off-Axis Needle Displacement. Appl. Sci. 2017, 7, 375. [Google Scholar] [CrossRef]
- Migliaccio, M.; Montanaro, A.; Beatrice, C.; Napolitano, P.; Allocca, L.; Fraioli, V. Experimental and numerical analysis of a high-pressure outwardly opening hollow cone spray injector for automotive engines. Fuel 2017, 196, 508–519. [Google Scholar] [CrossRef]
- Wang, L.; Wang, F.; Fang, T. Flash boiling hollow cone spray from a GDI injector under different conditions. Int. J. Multiph. Flow 2019, 118, 50–63. [Google Scholar] [CrossRef]
- Kawaharada, N.; Sakaguchi, D.; Ueki, H.; Ishida, M. Effect of Injection Pressure on Droplet Behaviour Inside Diesel Fuel Sprays; SAE Technical Paper 2015-01-1841; SAE: Warrendale, PA, USA, 2015. [Google Scholar]
- Carlucci, P.; Ficarella, A.; Laforgia, D. Effects on combustion and emissions of early and pilot fuel injections in diesel engines. Int. J. Engine Res. 2005, 6, 43–59. [Google Scholar] [CrossRef]
- Lee, J.; Jeon, J.; Park, J.; Bae, C. Effect of Multiple Injection Strategies on Emission and Combustion Characteristics in a Single Cylinder Direct-Injection Optical Engine; SAE Technical Paper No.2009-01-1354; SAE: Warrendale, PA, USA, 2009. [Google Scholar]
- Chu, H.; Qi, J.; Feng, S.; Dong, W.; Hong, R.; Qiu, B.; Han, W. Soot formation in high-pressure combustion: Status and challenges. Fuel 2023, 345, 128236. [Google Scholar] [CrossRef]
- Cha, J.; Yang, S.Y.; Naser, N.; Ichim, A.I.; Chung, S.H. High Pressure and Split Injection Strategies for Fuel Efficiency and Emissions in DI Diesel Engines; SAE Technical Paper No. 2015-01-1823; SAE: Warrendale, PA, USA, 2015. [Google Scholar]
- MacMillan, D.; La Rocca, A.; Shayler, P.J.; Morris, T.; Murphy, M.; Pegg, I. Investigating the Effects of Multiple Pilot Injections on Stability at Cold Idle for a Dl Diesel Engine. SAE Int. J. Engines 2009, 2, 370–380. [Google Scholar] [CrossRef]
- Park, H.; Bae, C.; Ha, C. A comprehensive analysis of multiple injection strategies for improving diesel combustion process under cold-start conditions. Fuel 2019, 255, 115762. [Google Scholar] [CrossRef]
- Oh, S.; Park, C.; Nguyen, D.; Kim, S.; Kim, Y.; Choi, Y.; Lee, J. Investigation on the operable range and idle condition of hydrogenfueled spark ignition engine for unmanned aerial vehicle (UAV). Energy 2021, 237, 121645. [Google Scholar] [CrossRef]
- Meng, H.; Ji, C.; Wang, S.; Wang, D.; Yang, J. Optimizing the idle performance of an n-butanol fueled Wankel rotary engine by hydrogen additio. Fuel 2021, 288, 119614. [Google Scholar] [CrossRef]
- Knauder, C.; Allmaier, H.; Sander, D.E.; Salhofer, S.; Reich, F.M.; Sams, T. Analysis of the Journal Bearing Friction Losses in a Heavy-Duty Diesel Engine. Lubricants 2015, 3, 142–154. [Google Scholar] [CrossRef]
- Ehleskog, R.; Ochoterena, R.L.; Andersson, S. Effects of Multiple Injections on Engine-Out Emission Levels Including Particulate Mass from an HSDI Diesel Engine; SAE Technical Paper 2007-01-0910; SAE: Warrendale, PA, USA, 2007. [Google Scholar]
- Zhang, Y.; Nishida, K. Vapor-Liquid Behaviours in Split-Injection D.I. Diesel Sprays in a 2-D Model Combustion Chamber; SAE Paper No. 2003-01-1837; SAE: Warrendale, PA, USA, 2003. [Google Scholar]
- Chen, S.K. Simultaneous Reduction of NOx and Particulate Emissions by Using Multiple Injections in a Small Diesel Engine; SAE Paper No. 2000-01-3084; SAE: Warrendale, PA, USA, 2000. [Google Scholar]
- Kook, S.; Park, C.; Bae, C. Effects of Multiple Injections in a HSDI Diesel Engine Equipped with Common Rail Injection System; SAE Paper No. 2004-01-0127; SAE: Warrendale, PA, USA, 2004. [Google Scholar]
- Tsurushima, T.; Zhang, L.; Ishii, Y. A Study of Unburnt Hydrocabon Emission in Small DI Diesel Engines; SAE Paper 1999-01-0512; SAE: Warrendale, PA, USA, 1999. [Google Scholar]
- Ferrari, A.; Novara, C.; Paolucci, E.; Vento, O.; Violante, M.; Zhang, T. A new closed-loop control of the injected mass for a full exploitation of digital and continuous injection-rate shaping. Energy Convers. Manag. 2018, 177, 629–639. [Google Scholar] [CrossRef]
- Denny, M.; Matamis, A.; Wang, Z.; Persson, H.; Tunestal, P.; Richter, M.; Andersson, O. Optical Investigation on the Combustion Process Differences Between Double-Pilot and Closely-Coupled Triple-Pilot Injection Strategies in a LD Diesel Engine; SAE Technical Paper 2019-01-0022; SAE: Warrendale, PA, USA, 2019. [Google Scholar]
- Mendez, S.; Thirouard, B. Using Multiple Injection Strategies in Diesel Combustion: Potential to Improve Emissions, Noise and Fuel Economy Trade-Off in Low CR Engines. SAE Int. J. Fuels Lubr. 2009, 1, 662–674. [Google Scholar] [CrossRef]
- Brands, T.; Huelser, T.; Hottenbach, P.; Koss, H.J.; Grunefeld, G. Optical Investigation of Combusting Split-Injection Diesel Sprays Under Quiescent Conditions. SAE Int. J. Engines 2013, 6, 1626–1641. [Google Scholar] [CrossRef]
- Wintrich, T.; Kohler, D. Clean Diesel Approach for Future Requirements; SIA Powertrain: Rouen, France, 2016. [Google Scholar]
- d’Ambrosio, S.; Ferrari, A.; Mancarella, A.; Mittica, A. Effects of rate-shaped and multiple injection strategies on pollutant emissions, combustion noise and fuel consumption in a low compression ratio diesel engine. Int. J. Automot. Technol. 2020, 21, 197–214. [Google Scholar] [CrossRef]
- Catania, A.E.; Ferrari, A.; Spessa, E. Numerical-Experimental Study and Solutions to Reduce the Dwell Time Threshold for Fusion-Free Consecutive Injections in a Multijet Solenoid-Type C.R. System. J. Eng. Gas Turbines Power 2009, 131, 022804, ISSN 0742-4795. [Google Scholar] [CrossRef]
- Martínez-Martínez, S.; de la Garza, O.A.; García-Yera, M.; Martínez-Carrillo, R.; Sánchez-Cruz, F.A. Hydraulic Interactions between Injection Events Using Multiple Injection Strategies and a Solenoid Diesel Injector. Energies 2021, 14, 3087. [Google Scholar] [CrossRef]
- Herrmann, O.; Nakagawa, M.; Kenhard, M.; Schwab, H.; Miyaki, M.; Shinohara, Y.; Takeuchi, K.; Uchiyama, K. Ultra high pressure and enhanced multiple injection—Potentials for the diesel engine and challenge for the fuel injection system. In Fuel Systems for IC Engines; Woodhead Publishing: Sawston, UK, 2012; pp. 103–114. [Google Scholar]
- Miyaura, T.; Morikawa, A.; Ito, Y.; Ishizuka, K.; Tsuiki, T. Development of Diesel Engine Using New Fuel Injection System—Direct Monitoring of Fuel Injection Pressure Using Injector with Built-In Sensor, and Its Applications; SAE Technical Paper 2013-01-1739; SAE: Warrendale, PA, USA, 2013. [Google Scholar]
- Hammer, J.; Raff, M.; Naber, D. Advanced diesel fuel injection equipment—A never ending BOSCH story. In Proceedings of the 14th Internationales Stuttgarter Symposium, Wiesbaden, Germany, 18–19 March 2014; Springer Vieweg: Wiesbaden, Germany, 2014. [Google Scholar]
- Voigt, P.; Schiffgens, H.J.; Daveau, C.; Ogé, J.C.; Béduneau, J.L.; Meissonnier, G.; Tapin, C.; Lalé, X. Delphi injector closed loop control strategy using the “Switch” technology for Diesel passenger cars—Injector hardware. In 10. Tagung Diesel- und Benzindirekteinspritzung; Springer Vieweg: Wiesbaden, Germany, 2016; pp. 41–66. [Google Scholar]
- Ferrari, A.; Novara, C.; Paolucci, E.; Vento, O.; Violante, M.; Zhang, T. Design and rapid prototyping of a closed-loop control strategy of the injected mass for the reduction of CO2, combustion noise and pollutant emissions in diesel engines. Appl. Energy 2018, 232, 358–367. [Google Scholar] [CrossRef]
- Xu, Z. Experimental Research on Idle Combustion Noise of a Diesel Engine. J. Phys. Conf. Ser. 2022, 2359, 012003. [Google Scholar] [CrossRef]
- Pruvost, L.; Leclère, Q.; Parizet, E. Diesel engine combustion and mechanical noise separation using an improved spectrofilter. Mech. Syst. Sig. Process. 2009, 23, 2072–2087. [Google Scholar] [CrossRef]
- Seifriedsberger, J.; Rumplmayr, P. Evaluation of the combustion noise of passenger car diesel engines. Automot. Engine Technol. 2016, 1, 47–56. [Google Scholar] [CrossRef]
- Du, J.; Chen, X.; Liu, L.; Liu, D.; Ma, X. Mechanism of Combustion Noise Influenced by Pilot Injection in PPCI Diesel Engines. Appl. Sci. 2019, 9, 1875. [Google Scholar] [CrossRef]
- Patel, C.; Lee, S.; Tiwari, N.; Agarwal, A.K.; Lee, C.S.; Park, S. Spray characterization, combustion, noise and vibrations investigations of Jatropha biodiesel fuelled genset engine. Fuel 2016, 185, 410–420. [Google Scholar] [CrossRef]
- Patel, C.; Agarwal, A.K.; Tiwari, N.; Lee, S.; Lee, C.S.; Park, S. Combustion, noise, vibrations and spray characterization for Karanja biodiesel fuelled engine. Appl. Therm. Eng. 2016, 106, 506–517. [Google Scholar] [CrossRef]
- Busch, S.; Zha, K.; Warey, A.; Pesce, F.; Peterson, R. On the Reduction of Combustion Noise by a Close-Coupled Pilot Injection in a Small-Bore DI Diesel Engine. In Proceedings of the ASME 2015 Internal Combustion Engine Division Fall Technical Conference ICEF2015, Houston, TX, USA, 8–11 November 2015. [Google Scholar]
- Fuyuto, T.; Taki, M.; Ueda, R.; Hattori, Y.; Kuzuyama, H.; Umehara, T. Noise and Emissions Reduction by Second Injection in Diesel PCCI Combustion with Split Injection; SAE Paper No. 2014-01-2676; SAE: Warrendale, PA, USA, 2014. [Google Scholar]
- Liu, Y.; Reitz, R.D. Optimizing HSDI Diesel Combustion and Emissions Using Multiple Injection Strategies; SAE Technical Paper 2005-01-0212; SAE: Warrendale, PA, USA, 2005. [Google Scholar]
- Park, S.; Kim, Y.; Woo, S.; Lee, K. Optimization and calibration strategy using design of experiment for a diesel engine. Applied Therm. Eng. 2017, 123, 917–928. [Google Scholar] [CrossRef]
- Kumar, T.S.; Vignesh, R.; Ashok, B.; Saiteja, P.; Jacob, A.; Karthick, C.; Jeevanantham, A.K.; Senthilkumar, M.; Usman, K.M. Application of statistical approaches in IC engine calibration to enhance the performance and emission Characteristics: A methodological review. Fuel 2022, 324, 124607. [Google Scholar] [CrossRef]
- d’Ambrosio, S.; Ferrari, A. Potential of multiple injection strategies implementing the after shot and optimized with the design of experiments procedure to improve diesel engine emissions and performance. Appl. Energy 2015, 155, 933–946. [Google Scholar] [CrossRef]
- Persson, H.; Babajimopoulos, A.; Helmantel, A.; Holst, F.; Stenmark, E. Development of the Combustion System for Volvo Cars Euro6d VEA Diesel Engine; SAE Technical Paper 2017-01-0713; SAE: Warrendale, PA, USA, 2017. [Google Scholar]
- Di Blasio, G.; Beatrice, C.; Pesce, F.C.; Vassallo, A.; Belgiorno, G.; Kastner, O.; Avolio, G. Usage of high fuel injection pressure as a powerful tool for improving diesel engine efficiency. In Proceedings of the 26th Aachen Colloquium Automobile and Engine Technology, Aachen, Germany, 9–11 October 2017. [Google Scholar]
- Agarwal, A.K.; Singh, A.P.; García, A.; Monsalve-Serrano, J. Challenges and Opportunities for Application of Reactivity-Controlled Compression Ignition Combustion in Commercially Viable Transport Engines. Prog. Energy Combust. Sci. 2022, 93, 101028. [Google Scholar] [CrossRef]
- Marasri, S.; Ewphun, P.-P.; Srichai, P.; Charoenphonphanich, C.; Karin, P.; Tongroon, M.; Kosaka, H. Combustion characteristics of hydrotreated vegetable oil-diesel blends under EGR and low temperature combustion conditions. Int. J. Automot. Technol. 2019, 20, 569–578. [Google Scholar] [CrossRef]
- Divekar, P.; Asad, U.; Han, X.; Chen, X.; Zheng, M. Study of cylinder charge control for enabling low-temperature combustion in diesel engines. ASME J. Eng. Gas Turbines Power 2014, 136, 0915031–0915037. [Google Scholar] [CrossRef]
- Lu, Y.; Yu, W.; Su, W. Using Multiple Injection Strategies in Diesel PCCI Combustion: Potential to Extend Engine Load, Improve Trade-Off of Emissions and Efficiency; SAE 2011-01-1396; SAE: Warrendale, PA, USA, 2011. [Google Scholar]
- Sun, C.; Kang, D.; Bohac, S.V.; Boehman, A.L. Impact of Fuel and Injection Timing on Partially Premixed Charge Compression Ignition Combustion. Energy Fuels 2016, 30, 4331–4345. [Google Scholar] [CrossRef]
- Ryan, T.W., III; Callahan, T.J. Homogeneous Charge Compression Ignition of Diesel Fuel. J. Fuels Lubr. 1996, 105, 928–937. [Google Scholar]
- Iwabuchi, Y.; Kawai, K.; Shoji, T.; Takeda, Y. Trial of New Concept Diesel Combustion System—Premixed Compression-Ignition Combustion; SAE Technical Paper 1999-01-0185; SAE: Warrendale, PA, USA, 1999. [Google Scholar]
- Shim, E.; Park, H.; Bae, C. Comparisons of advanced combustion technologies (HCCI, PCCI and dual fuel PCCI) on engine performance and emissions characteristics in heavy duty engines. Fuel 2020, 262, 116436. [Google Scholar] [CrossRef]
- Han, W.; Lu, Y.; Jin, C.; Tian, X.; Peng, Y.; Pan, S.; Liu, H.; Zhang, P.; Zhong, Y. Study on influencing factors of particle emissions from a RCCI engine with variation of premixing ratio and total cycle energy. Energy 2020, 202, 117707. [Google Scholar] [CrossRef]
- Park, Y.; Bae, C. Effects of Single and Double Post Injections on Diesel PCCI Combustion; SAE 2013-01-0010; SAE: Warrendale, PA, USA, 2013. [Google Scholar]
- Martin, J.; Boehman, A.; Topkar, R.; Chopra, S.; Subramaniam, U. Intermediate combustion modes between conventional diesel and RCCI. SAE Int. J. Engines 2018, 11, 835–860. [Google Scholar] [CrossRef]
- Kimura, S.; Aoki, O.; Kitahara, Y.; Aiyoshizawa, E. Ultra-Clean Combustion Technology Combining a Low Temperature and Premixed Combustion Concept for Meeting Future Emission Standards; SAE Technical Paper 2001-01-0200; SAE: Warrendale, PA, USA, 2001. [Google Scholar]
- Wimmer, A.; Eichlseder, H. Potential of HCCI concepts for DI diesel engines. Int. J. Vehicle Des. 2006, 41, 32–48. [Google Scholar] [CrossRef]
- Saxena, M.R.; Maurya, R.K. Effect of premixing ratio, injection timing and compression ratio on nano particle emissions from dual fuel non-road compression ignition engine fueled with gasoline/methanol (port injection) and diesel (direct injection). Fuel 2017, 203, 894–914. [Google Scholar] [CrossRef]
- Li, J.; Yang, W.; Zhou, D. Review on the management of RCCI engines. Renew. Sustain. Energy Rev. 2017, 69, 65–79. [Google Scholar] [CrossRef]
- Bittle, J.A.; Jacobs, T.J. On the relationship between fuel injection pressure and two-stage ignition behavior of low temperature diesel combustion. J. Energy Resour. Technol. 2012, 134, 042201. [Google Scholar] [CrossRef]
- Chen, H.; Shi, Z.; Liu, F.; Wu, Y.; Li, Y. Non-monotonic change of ignition delay with injection pressure under low ambient temperature for the diesel spray combustion. Energy 2022, 243, 123017. [Google Scholar] [CrossRef]
- Torregrosa, A.J.; Broath, A.; Novella, R.; Monico, L.F. Suitability analysis of advanced diesel combustion concepts for emissions and noise control. Energy 2011, 122, 825–838. [Google Scholar] [CrossRef]
- Liu, F.; Zhang, Z.; Wu, H.; Li, Y.; Ma, Y.; Li, X.; Ma, Y.; Li, X.; Du, W. An investigation on a diesel jet’s ignition characteristics under cold-start conditions. Appl. Therm. Eng. 2017, 121, 511–519. [Google Scholar] [CrossRef]
- Shi, Z.; Liu, F.; Shang, W.; Li, Y.; Sun, C.; Zhu, M. Numerical study on the influence of injection pressure on the ignition and combustion of n-dodecane spray at cold-start conditions. Fuel 2020, 264, 116882. [Google Scholar] [CrossRef]
- Kiplimo, R.; Tomita, E.; Kawahara, N.; Yokobe, S. Effects of spray impingement, injection parameters and EGR on the combustion and emission characteristics of a PCCI diesel engine. Appl. Therm. Eng. 2012, 37, 165–175. [Google Scholar] [CrossRef]
- Fang, T.; Coverdill, R.E.; Lee, C.F.; White, R.A. Low temperature combustion within a HSDI diesel engine using multiple injection strategies. ASME J. Eng. Gas Turbines Power 2009, 131, 0628031. [Google Scholar] [CrossRef]
- Jain, A.; Singh, A.P.; Agarwal, A.K. Effect of fuel injection parameters on combustion stability and emissions of a mineral diesel fueled partially premixed charge compression ignition (PCCI) engine. Appl. Energy 2017, 190, 658–669. [Google Scholar] [CrossRef]
- Kiplimo, R.; Tomita, E.; Kawahara, N.; Zhou, S.; Yokobe, S. Effects of Injection Pressure, Timing and EGR on Combustion and Emissions Characteristics of a Diesel PCCI Engine; SAE Technical Paper 2011-01-1769; SAE: Warrendale, PA, USA, 2011. [Google Scholar]
- Okude, K.; Mori, K.; Shiino, S.; Moriya, T. Premixed Compression Ignition (PCI) Combustion for Simultaneous Reduction of NOx and Soot in Diesel Engine; SAE Paper No. 2004-01-1907; SAE: Warrendale, PA, USA, 2004. [Google Scholar]
- Akihama, K.; Takatori, Y.; Inagaki, K.; Sasaki, S.; Dean, A.M. Mechanism of the Smokeless Rich Diesel Combustion by Reducing Temperature; SAE Paper No. 2001-01-0655; SAE: Warrendale, PA, USA, 2001. [Google Scholar]
- Maiboom, A.; Tauzia, X.; Hétet, J.-F. Experimental study of various effects of exhaust gas recirculation (EGR) on combustion and emissions of an automotive direct injection diesel engine. Energy 2008, 33, 22–34. [Google Scholar] [CrossRef]
- Fang, T.; Lee, C.F. Low sooting combustion of narrow-angle wall-guided sprays in an HSDI diesel engine with retarded injection timings. Fuel 2011, 90, 1449–1456. [Google Scholar] [CrossRef]
- Gan, S.; Kiat Ng, H.; Pang, K.M. Homogeneous charge compression ignition (HCCI) combustion: Implementation and effects on pollutants in direct injection diesel engines. Appl. Energy 2011, 88, 559–567. [Google Scholar] [CrossRef]
- Asad, U.; Zheng, M.; Ting, D.; Tjong, J. Implementation Challenges and Solutions for Homogeneous Charge Compression Ignition Combustion in Diesel Engines. ASME J. Eng. Gas Turbines Power 2015, 46162, 1015051–10150510. [Google Scholar] [CrossRef]
- Li, J.; Wang, X.; Yu, H.; Liu, Y.; An, X.; Ma, K.; Liang, Y.; Xu, H.; Zhang, H. The Investigation of the Mixture Formation and Combustion Characteristic of the Spray-wall Impingement. J. Phys. Conf. Ser. 2023, 2491, 012025. [Google Scholar] [CrossRef]
- Liang, X.; Zheng, Z.; Zhang, H.; Wang, Y.; Yu, H. A Review of Early Injection Strategy in Premixed Combustion Engines. Appl. Sci. 2019, 9, 3737. [Google Scholar] [CrossRef]
- Pandey, S.K.; Sarma Akella, S.R.; Ravikrishna, R.V. Novel fuel injection strategies for PCCI operation of a heavy-duty turbocharged engine. Appl. Therm. Eng. 2018, 143, 883–898. [Google Scholar] [CrossRef]
- Andrè, M.; Walter, B.; Bruneaux, G.; Foucher, F.; Mounaim-Rousselle, C. Optimizing Early Injection Strategy for Diesel PCCI Combustion; SAE 2009-01-2731; SAE: Warrendale, PA, USA, 2009. [Google Scholar]
- Pickett, L.M.; Kook, S.; Williams, T.C. Transient Liquid Penetration of Early-Injection Diesel Sprays; SAE Paper 2009-01-0839; SAE: Warrendale, PA, USA, 2009. [Google Scholar]
- Choi, D.; Miles, P.C.; Yun, H.; Reitz, R.D. A parametric study of low-temperature, late-injection combustion in an HSDI diesel engine. JSME Ser. B 2005, 48, 656–664. [Google Scholar] [CrossRef]
- Ewphun, P.-P.; Otake, M.; Nagasawa, T.; Kosaka, H.; Sato, S. Combustion Characteristic of Offset Orifice Nozzle under Multi Pulse Ultrahigh Pressure Injection and PCCI Combustion Conditions. SAE Int. J. Adv. Curr. Prac. Mobil. 2020, 2, 1002–1012. [Google Scholar] [CrossRef]
- Lachaux, T.; Musculus, M.; Singh, S.; Reitz, R.D. Optical diagnostics of late-injection low temperature combustion in a heavy-duty diesel engine. ASME J. Eng. Gas Turbines Power 2008, 130, 0328081–0328089. [Google Scholar] [CrossRef]
- Sun, C.; Martin, J.; Boehman, A.L. Impacts of advanced diesel combustion operation and fuel formulation on soot nanostructure and reactivity. Fuel 2020, 276, 118080. [Google Scholar] [CrossRef]
- de Ojeda, W.; Zoldak, P.; Espinosa, R.; Kumar, R. Development of a Fuel Injection Strategy for Partially Premixed Compression Ignition Combustion; SAE 2009-01-1527; SAE: Warrendale, PA, USA, 2009. [Google Scholar]
- Li, Y.; Jia, M.; Chang, Y.; Fan, W.; Xie, M.; Wang, T. Evaluation of the necessity of exhaust gas recirculation employment for a methanol/diesel reactivity controlled compression ignition engine operated at medium loads. Energy Convers. Manag. 2015, 101, 40–51. [Google Scholar] [CrossRef]
- Shen, M.; Lonn, S.; Johansson, B. Transition from HCCI to PPC Combustion by Means of Start of Injection; SAE Paper 2015-01-1790; SAE: Warrendale, PA, USA, 2015. [Google Scholar]
- Stanglmaier, R.H.; Ryan, T.W.; Mehta, D. Fuel introduction strategies for premixed compression-ignition combustion. In A New Generation of Engine Combustion Processes for the Future; Technip: Paris, France, 2001; pp. 69–77. [Google Scholar]
- Ferrari, A.; Pizzp, P. Injection Technologies and Mixture Formation Strategies for Spark-Ignition and Dual-Fuel Engines; SAE International: Warrendale, PA, USA, 2022; ISBN 978-1468603118. [Google Scholar]
- Han, S.; Kim, H.; Bae, C. Strategy for Mode Transition Between Low Temperature Combustion and Conventional Combustion in a Diesel Engine; SAE Technical Paper 2013-24-0058; SAE: Warrendale, PA, USA, 2013. [Google Scholar]
- Rohani, B.; Park, S.S.; Bae, C. Effect of Injection Strategy on Low Temperature—Conventional Diesel Combustion Mode Transition; SAE Technical Paper 2015-01-0836; SAE: Warrendale, PA, USA, 2015. [Google Scholar]
- Zhao, H.; Peng, Z.; Ladommatos, N. Understanding of controlled autoignition combustion in a four-stroke gasoline engine. Proc. Inst. Mech. Eng. G J. Aerosp. Eng. 2001, 215, 1297–1310. [Google Scholar] [CrossRef]
- Rohani, B.; Park, S.S.; Bae, C. Effects of injection strategy on smoothness, emissions and soot characteristics of PCCI-conventional diesel mode transition. Appl. Therm. Eng. 2016, 93, 1033–1042. [Google Scholar] [CrossRef]
- Banerjee, S.; Rutland, C. Numerical Investigation of High Powered Diesel Mode Transition Using Large Eddy Simulations; SAE Technical Paper 2012-01-0693; SAE: Warrendale, PA, USA, 2012. [Google Scholar]
- Li, X.; Xu, Z.; Guan, C.; Huang, Z. Impact of exhaust gas recirculation (EGR) on soot reactivity from a diesel engine operating at high load. Appl. Therm. Eng. 2014, 68, 100–106. [Google Scholar] [CrossRef]
- Seong, H.J.; Boehman, A.L. Impact of intake oxygen enrichment on oxidative reactivity and properties of diesel soot. Energy Fuels 2011, 25, 602–616. [Google Scholar] [CrossRef]
- Gao, J.; Wang, Y.; Wang, S.; Li, X.; Chang, X.; Wang, X.; Yang, C.; Xuan, R. Effect of catalytic reactions on soot feature evolutions in oxidation process. Chem. Eng. J. 2022, 443, 136392. [Google Scholar] [CrossRef]
- Lindner, S.; Massner, A.; Gaertner, U.; Koch, T. Impact of engine combustion on the reactivity of diesel soot from commercial vehicle engines. In Proceedings of the THIESEL 2014 Conference on Thermo- and Fluid Dynamic Processes in Direct Injection Engines, Valencia, Spain, 9–12 September 2014. [Google Scholar]
- d’Ambrosio, S.; Mancarella, A.; Manelli, A.; Mittica, A.; Hardy, G. Experimental Analysis on the Effects of Multiple Injection Strategies on Pollutant Emissions, Combustion Noise, and Fuel Consumption in a Premixed Charge Compression Ignition Engine. SAE Int. J. Engines 2021, 14, 611–630. [Google Scholar] [CrossRef]
- Singh, A.P.; Kumar, V.; Agarwal, A.K. Evaluation of comparative engine combustion, performance and emission characteristics of low temperature combustion (PCCI and RCCI) modes. Appl. Energy 2020, 278, 115644. [Google Scholar] [CrossRef]
- Imtenan, S.; Varman, M.; Masjuki, H.H.; Kalam, M.A.; Sajjad, H.; Arbab, M.I.; Fattah, I.M.R. Impact of low temperature combustion attaining strategies on diesel engine emissions for diesel and biodiesel: A review. Energy Convers. Manag. 2014, 80, 329–356. [Google Scholar] [CrossRef]
- Woo, C.; Goyal, H.; Kook, S.; Hawkes, E.R.; Chan, Q.N. Double Injection Strategies for Ethanol-Fuelled Gasoline Compression Ignition (GCI) Combustion in a Single-Cylinder Light-Duty Diesel Engine; SAE Technical Paper 2016-01-2303; SAE: Warrendale, PA, USA, 2016. [Google Scholar]
- Liu, H.; Wang, Z.; Li, B.; Wang, J.; He, X. Exploiting new combustion regime using multiple premixed compression ignition (MPCI) fueled with gasoline/diesel/PODE (GDP). Fuel 2016, 186, 41–45. [Google Scholar] [CrossRef]
- Xu, M.; Sun, Y.C.; Cui, Y.; Deng, K.Y.; Shi, L. One-dimensional model on fuel penetration in diesel sprays with gas flow. Int. J. Automot. Technol. 2016, 17, 109–118. [Google Scholar] [CrossRef]
- Desantes, J.M.; García-Oliver, J.M.; García, A.; Xuan, T. Optical study on characteristics of non-reacting and reacting diesel spray with different strategies of split injection. Int. J. Engine Res. 2019, 20, 606–623. [Google Scholar] [CrossRef]
- Doll, U.; Barro, C.; Todino, M.; Boulouchos, K. Impact of a split injection strategy on mixing, ignition and combustion in premixed charge compression ignition combustion. Fuel 2021, 294, 120511. [Google Scholar] [CrossRef]
- Zhang, M.; Derafshzan, S.; Richter, M.; Lundgren, M. Effects of different injection strategies on ignition and combustion characteristics in an optical PCCI engine. Energy 2020, 203, 117901. [Google Scholar] [CrossRef]
- Park, S.H.; Yoon, S.H.; Lee, C.S. Effects of multiple-injection strategies on overall spray behavior, combustion, and emissions reduction characteristics of biodiesel fuel. Appl. Energy 2011, 88, 88–98. [Google Scholar] [CrossRef]
- Agarwal, A.K.; Singh, A.P.; Kumar, V. Particulate characteristics of low-temperature combustion (PCCI and RCCI) strategies in single cylinder research engine for developing sustainable and cleaner transportation solution. Environ. Pollut. 2021, 284, 117375. [Google Scholar] [CrossRef] [PubMed]
- Belgiorno, G.; Di Blasio, G.; Beatrice, C. Advances of the Natural Gas/Diesel RCCI Concept Application for Light-Duty Engines: Comprehensive Analysis of the Influence of the Design and Calibration Parameters on Performance and Emissions. In Natural Gas Engines. Energy, Environment, and Sustainability; Srinivasan, K., Agarwal, A., Krishnan, S., Mulone, V., Eds.; Springer: Singapore, 2019. [Google Scholar]
- Catania, A.E.; d’Ambrosio, S.; Finesso, R.; Spessa, E. Effects of Rail Pressure, Pilot Scheduling and EGR Rate on Combustion and Emissions in Conventional and PCCI Diesel Engines; SAE 2010-01-1109; SAE: Warrendale, PA, USA, 2010. [Google Scholar]
- Su, W.; Wang, H.; Liu, B. Injection Mode Modulation for HCCI Diesel Combustion; SAE Paper No. 2005-01-0117; SAE: Warrendale, PA, USA, 2005. [Google Scholar]
- Lequien, G.; Andersson, O.; Johansson, B.; Wellander, R.; Rosell, J.; Richter, M.; Alden, M. Liquid Spray Penetration Length during Late Post Injection in an Optical Light-Duty Diesel Engine. In Proceedings of the Eighth International Conference on Modeling and Diagnostics for Advanced Engine Systems (COMODIA 2012), Okayama, Japan, 23–26 July 2012. [Google Scholar]
- Anand, K.; Reitz, R.D. Exploring the benefits of multiple injections in low temperature combustion using a diesel surrogate model. Fuel 2016, 165, 341–350. [Google Scholar] [CrossRef]
- Liu, H.; Tang, Q.; Yang, Z.; Ran, X.; Geng, C.; Chen, B.; Feng, L.; Yao, M. A comparative study on partially premixed combustion (PPC) and reactivity controlled compression ignition (RCCI) in an optical engine. Proc. Combust. Inst. 2019, 37, 4759–4766. [Google Scholar] [CrossRef]
- d’Ambrosio, S.; Ferrari, A.; Mancarella, A. Time frequency analysis for the evaluation of ignition delay in conventional and PCCI combustion modes. Therm. Sci. Eng. Prog. 2022, 33, 101352. [Google Scholar] [CrossRef]
- Makkawi, Y.; Khan, M.; Pour, F.H.; Moussa, O.; Mohamed, B.; Alnoman, H.; Elsayed, Y. A comparative analysis of second-generation biofuels and its potentials for large-scale production in arid and semi-arid regions. Fuel 2023, 343, 127893. [Google Scholar] [CrossRef]
- Soriano, J.A.; García-Contreras, R.; Gomez, A.; Mata, C. Comparative study of the effect of a new renewable paraffinic fuel on the combustion process of a light-duty diesel engine. Energy 2019, 189, 16337. [Google Scholar] [CrossRef]
- Zamani, A.S.; Saidi, M.; Najafabadi, A.T. Selective production of diesel-like alkanes via Neem seed oil hydrodeoxygenation over Ni/MgSiO3 catalyst. Renew. Energy 2023, 209, 462–470. [Google Scholar] [CrossRef]
- Nigam, P.S.; Singh, A. Production of liquid biofuels from renewable resources. Prog. Energy Combust. Sci. 2011, 37, 52–68. [Google Scholar] [CrossRef]
- Lam, M.K.; Lee, K.T. Microalgae biofuels: A critical review of issues, problems and the way forward. Biotechnol. Adv. 2012, 30, 673–690. [Google Scholar] [CrossRef] [PubMed]
- Parvate-Patil, G.; Vasquez, M.; Payne, M. Effects of different biodiesel blends on heat release and its related parameters. In Proceedings of the ASME Internal Combustion Engine Division 2006 Fall Technical Conference, Sacramento, CA, USA, 5–8 November 2006; p. ICEF2006-1582. [Google Scholar]
- Monyem, A.; Van Gerpen, J.; Canakci, M. The effect of timing and oxidation on emissions from biodiesel fueled engines. Trans. ASAE 2001, 44, 35–42. [Google Scholar] [CrossRef]
- Masera, K.; Hossain, A.K. Advancement of biodiesel fuel quality and NOx emission control techniques. Renew. Sustain. Energy Rev. 2023, 178, 113235. [Google Scholar] [CrossRef]
- Lapuerta, M.; Armas, O.; Rodrıguez-Fernandez, J. Effects of biodiesel fuels on diesel engine emissions. Prog. Energy Combust. Sci. 2008, 34, 198–223. [Google Scholar] [CrossRef]
- Canakci, M. Combustion characteristics of a turbocharged DI compression ignition engine fueled with petroleum diesel fuels and biodiesel. Bioresour. Technol. 2007, 98, 1167–1175. [Google Scholar] [CrossRef]
- Finesso, R.; Spessa, E.; Venditti, M.; Yang, Y. Offline and Real-Time Optimization of EGR Rate and Injection Timing in Diesel Engines. SAE Int. J. Engines 2015, 8, 2015. [Google Scholar] [CrossRef]
- Zhang, Y.; Boehman, A.L. Impact of biodiesel on NOx emissions in a common rail direct injection diesel engine. Energy Fuels 2007, 21, 2003–2012. [Google Scholar] [CrossRef]
- Srichai, P.; Chollacoop, N.; Chareonphonphanich, C.; Tongroon, M.; Karin, P. Injection Pressure Characteristics of Palm Methyl Ester and Diesel in Solenoid Injector Under CR System; SAE 2016-01-1729; SAE: Warrendale, PA, USA, 2016. [Google Scholar]
- Salvador, F.J.; Gimeno, J.; De la Morena, J.; Carreres, M. Using one-dimensional modeling to analyze the influence of the use of biodiesels on the dynamic behavior of solenoid-operated injectors in common rail systems: Results of the simulations and discussion. Energy Convers. Manag. 2012, 54, 122–132. [Google Scholar] [CrossRef]
- Su, H.K.; Roh, H.G.; Lee, C.S. Spray and combustion characteristics of biodiesel/diesel blended fuel in a direct injection Common Rail diesel engine. ASME JEGTP 2008, 130, 0328071-9. [Google Scholar]
- Su, X.; Chen, H.; Gao, N.; Ding, M.; Wang, X.; Xu, H.; Zhang, P. Combustion and emission characteristics of diesel engine fueled with diesel/cyclohexanol blend fuels under different exhaust gas recirculation ratios and injection timings. Fuel 2023, 332, 125986. [Google Scholar] [CrossRef]
- Postrioti, L.; Grimaldi, C.; Ceccobello, M.; Di Gioia, R. Diesel Common Rail Injection System Behavior with Different Fuels; SAE Technical Paper No. 2004-01-0029; SAE: Warrendale, PA, USA, 2004. [Google Scholar]
- Park, S.H.; Kim, H.J.; Suh, H.K.; Lee, C.S. A Study on the Fuel Injection and Atomization Characteristics of Soybean Oil Methyl Ester (SME). Int. J. Heat Fluid Flow 2009, 30, 108–116. [Google Scholar] [CrossRef]
- Plamondon, E.; Seers, P. Development of a simplified dynamic model for a piezoelectric injector using multiple injection strategies with biodiesel/diesel-fuel blends. Appl. Energy 2014, 131, 411–427. [Google Scholar] [CrossRef]
- Moon, S.; Tsujimura, T.; Gao, Y.; Park, S.; Wang, J.; Kurimoto, N.; Nishijima, Y.; Oguma, M. Biodiesel Effects on Transient Needle Motion and Near-Exit Flow Characteristics of a High-Pressure Diesel Injector. Int. J. Engine Res. 2014, 15, 504–518. [Google Scholar] [CrossRef]
- Pratama, R.H.; Huang, W.; Moon, S. Unveiling needle lift dependence on near-nozzle spray dynamics of diesel injector. Fuel 2021, 285, 119088. [Google Scholar] [CrossRef]
- Suh, H.; Roh, H.; Lee, C. Spray and combustion characteristics of biodiesel fuel in a direct injection common-rail diesel engine. J. Eng. Gas Turbines Power 2008, 130, 032807. [Google Scholar] [CrossRef]
- Boudy, F.; Seers, P. Impact of physical properties of biodiesel on the injection process in a common rail direct injection system. Energy Convers. Manag. 2009, 50, 2905–2912. [Google Scholar] [CrossRef]
- Singh, A.P.; Agarwal, A.K. Biodiesel spray characteristics and their effect on engine combustion and particulate emissions. ASME J. Energy Resour. Technol. 2020, 142, 0823031-9. [Google Scholar] [CrossRef]
- Mehra, K.S.; Pal, J.; Goel, V. A comprehensive review on the atomization and spray characteristics of renewable biofuels. Sustain. Energy Technol. Assess. 2023, 56, 103106. [Google Scholar] [CrossRef]
- Agarwal, A.K.; Park, S.; Dhar, A.; Lee, C.S.; Park, S.; Gupta, T.; Gupta, N.K. Review of Experimental and Computational Studies on Spray, Combustion, Performance, and Emission Characteristics of Biodiesel Fueled Engines. J. Energy Resour. Technol. 2018, 140, 120801. [Google Scholar] [CrossRef]
- Patel, C.; Hwang, J.; Chandra, K.; Agarwal, R.A.; Bae, C.; Gupta, T.; Agarwal, A.K. In-cylinder spray and combustion investigations in a heavy-duty optical engine fueled with waste cooking oil, Jatropha, and Karanja biodiesels. J. Energy Resour. Technol. 2019, 141, 012201. [Google Scholar] [CrossRef]
- Nguyen, T.; Pham, M.; Le Anh, T. Spray, combustion, performance and emission characteristics of a common rail diesel engine fueled by fish-oil biodiesel blends. Fuel 2020, 269, 117108. [Google Scholar] [CrossRef]
- Sun, J.; Caton, J.A.; Jacobs, T.J. Oxides of nitrogen emissions from biodiesel-fuelled diesel engines. Prog. Energy Combust. Sci. 2010, 36, 677–695. [Google Scholar] [CrossRef]
- Agarwal, A.K.; Som, S.; Shukla, P.C.; Goyal, H.; Longman, D. In-Nozzle Flow and Spray Characteristics for Mineral Diesel, Karanja, and Jatropha Biodiesels. Appl. Energy 2015, 156, 138–148. [Google Scholar] [CrossRef]
- Pandian, M.; Sivapirakasam, S.P.; Udayakumar, M. Investigation on the effect of injection system parameters on performance and emission characteristics of a twin cylinder compression ignition direct injection engine fuelled with pongamia biodiesel-diesel blend using response surface methodology. Appl. Energy 2011, 88, 2663–2676. [Google Scholar] [CrossRef]
- Lee, M.Y.; Lee, G.S.; Kim, C.J.; Seo, J.H.; Kim, K.H. Macroscopic and microscopic spray characteristics of diesel and gasoline in a constant volume chamber. Energies 2018, 11, 2056. [Google Scholar] [CrossRef]
- Liu, R.; Huang, K.; Qiao, Y.; Ji, H.; Wu, H. Atomization Characteristics of Low-Volatility Heavy Fuel for Low-Pressure Direct Injection Aviation Piston Engines. Energy Resour. Technol. 2023, 145, 042304. [Google Scholar] [CrossRef]
- Pham, P.X.; Pham, N.V.T.; Pham, T.V.; Nguyen, V.H.; Nguyen, K.T. Ignition delays of biodiesel-diesel blends: Investigations into the role of physical and chemical processes. Fuel 2021, 303, 121251. [Google Scholar] [CrossRef]
- Shahabuddin, M.; Liaquat, A.M.; Masjuki, H.H.; Kalam, M.A.; Mofijur, M. Ignition delay, combustion and emission characteristics of diesel engines fueled with biodiesel. Renew. Sustain. Energy Rev. 2013, 21, 623–632. [Google Scholar] [CrossRef]
- Pitz, W.J.; Mueller, C.J. Recent progress in the development of diesel surrogate fuels. Prog. Energy Combust. Sci. 2011, 37, 330–350. [Google Scholar] [CrossRef]
- Giakoumis, E.G.; Rakopoulos, C.D.; Dimaratos, A.M.; Rakopoulos, D.C. Exhaust emissions of diesel engines operating under transient conditions with biodiesel fuel blends. Prog. Energy Combust. Sci. 2012, 38, 691–715. [Google Scholar] [CrossRef]
- Moscherosch, B.W.; Polonowski, C.J.; Naber, J.D. Combustion and emissions characterization of soy methyl ester biodiesel blends in an automotive turbocharged diesel engine. ASME JEGTP 2010, 132, 0928061-7. [Google Scholar] [CrossRef]
- Bouaziz, M.; Harebi, M.; Mahfoudhi, M.; Jebeur, H.; Bouguerra Neji, S. Biodiesel Production from Raw Tunisian Castor Oil and Its Application as Alternative Fuel. Arch. Pet. Environ. Biotechnol. 2017, 118, 1–7. [Google Scholar]
- Singh, A.P.; Agarwal, A.K. Evaluation of fuel injection strategies for biodiesel fueled CRDI engine development and particulate studies. ASME J. Energy Resour. Technol. 2018, 140, 1022011-17. [Google Scholar] [CrossRef]
- Hwang, J.; Qi, D.; Jung, Y.; Bae, C. Effect of Injection Parameters on the Combustion and Emission Characteristics in a Compression Ignition Engine Fueled with Waste Cooking Oil Biodiesel; SAE 2013-01-2662; SAE: Warrendale, PA, USA, 2013. [Google Scholar]
- Kim, K.; Lee, W.; Wiersema, P.; Mayhew, E.; Temme, J.; Kweon, C.-B.M.; Lee, T. Effects of the cetane number on chemical ignition delay. Energy 2023, 264, 126263. [Google Scholar] [CrossRef]
- Kuti, O.; Nishida, K.; Sarathy, M.; Zhu, J. Fuel Spray Combustion of Waste Cooking Oil and Palm Oil Biodiesel: Direct Photography and Detailed Chemical Kinetics; SAE 2013-01-2554; SAE: Warrendale, PA, USA, 2013. [Google Scholar]
- Persson, H.; Andersson, O.; Egnell, R. Fuel effects on flame lift-off under diesel conditions. Combust. Flame 2011, 158, 91–97. [Google Scholar] [CrossRef]
- Bittle, J.A.; Knight, B.M.; Jacobs, T.J. The impact of biodiesel on injection timing and pulsewidth in a Common Rail medium-duty diesel engine. SAE Int. J. Engines 2009, 2, 312–325. [Google Scholar] [CrossRef]
- Sinha, S.; Agarwal, A.K. Combustion Characteristic of Ricebran Oil Derived Biodiesel in a Transportation Diesel Engine; SAE Paper No. 2005-26-356; SAE: Warrendale, PA, USA, 2005. [Google Scholar]
- Kawano, D.; Ishii, H.; Goto, Y.; Noda, A.; Aoyagi, Y. Application of biodiesel fuel to modern diesel engine. In Proceedings of the 2006 SAE World Congress, Detroit, MI, USA, 3–6 April 2006; p. SAE 2006-01-0233. [Google Scholar]
- Tompkins, B.T.; Song, H.; Jacobs, T.J. Low Temperature Heat Release of Palm and Soy Biodiesel in Late Injection Low Temperature Combustion; SAE 2014-01-1381; SAE: Warrendale, PA, USA, 2014. [Google Scholar]
- Stringer, V.L.; Cheng, W.L.; Lee, C.F.; Hansen, A.C. Combustion and Emissions of Biodiesel and Diesel Fuels in Direct Injection Compression Ignition Engines Using Multiple Injection Strategies; SAE 2008-01-1388; SAE: Warrendale, PA, USA, 2008. [Google Scholar]
- Yage, D.; Junjie, Z.; Shun, C.C.; Xuelong, M.; Jinbao, Z.; Haiyong, P.; Tao, W. Comparative study on combustion and particulate emissions for diesel-biodiesel and diesel-diglyme blends. Fuel 2022, 313, 122710. [Google Scholar] [CrossRef]
- Aydin, S. Comprehensive analysis of combustion, performance and emissions of power generator diesel engine fueled with different source of biodiesel blends. Energy 2020, 205, 118074. [Google Scholar] [CrossRef]
- Li, H.; Yang, W.; Zhou, D.; Yu, W. Numerical study of the effects of biodiesel unsaturation on combustion and emission characteristics in diesel engine. Appl. Therm. Eng. 2018, 137, 310–318. [Google Scholar] [CrossRef]
- Balakrishnan, A.; Parthasarathy, R.N.; Gollahalli, S.R. Effects of degree of fuel unsaturation on NOx emission from petroleum and biofuel flames. Fuel 2016, 182, 798–806. [Google Scholar] [CrossRef]
- Agarwal, A.K.; Das, L.M. Biodiesel development and characterization for use as a fuel in compression ignition engines. Trans. ASME J. Eng. Gas Turbines Power 2001, 123, 440–447. [Google Scholar] [CrossRef]
- Agarwal, A.K.; Chaudhury, V.H. Spray Characteristics of Biodiesel/Blends in a High Pressure Constant Volume Spray Chamber. Exp. Therm. Fluid Sci. 2012, 42, 212–218. [Google Scholar] [CrossRef]
- Palmondon, E.; Seers, P. Parametric study of pilot–main injection strategies on the performance of a light-duty diesel engine fueled with diesel or a WCO biodiesel–diesel blend. Fuel 2019, 236, 1273–1281. [Google Scholar] [CrossRef]
- Jeon, J.; Park, S. Effect of pilot injection strategies on the flame temperature and soot distributions in an optical CI engine fueled with biodiesel and conventional diesel. Appl. Energy 2015, 160, 581–591. [Google Scholar] [CrossRef]
- Senatore, A.; Credone, M.; Rocco, V.; Prati, M.V. A Comparative Analysis of Combustion Process in Direct Injection Engine Fueled with Biodiesel and Diesel Fuel; SAE 2000-01-0691; SAE: Warrendale, PA, USA, 2000. [Google Scholar]
- Lahane, S.; Subramanian, K.A. Effect of Different Percentages of Biodiesel–Diesel Blends on Injection, Spray, Combustion, Performance, and Emission Characteristics of a Diesel Engine. Fuel 2015, 139, 537–545. [Google Scholar] [CrossRef]
- Sathiyagnanam, A.P.; Saravanan, C.G. Experimental Studies on the Combustion Characteristics and Performance of a Direct Injection Engine Fueled with Biodiesel/Diesel Blends with SCR. In Proceedings of the World Congress on Engineering (WCE), London, UK, 6–8 July 2011; pp. 1–6. [Google Scholar]
- How, H.G.; Masjuki, H.H.; Kalam, M.A.; Teoh, Y.H. Engine Performance, Emission and Combustion Characteristics of a Common-Rail Diesel Engine Fuelled with Bioethanol as a Fuel Additive in Coconut Oil Biodiesel Blends. Energy Procedia 2014, 61, 1655–1659. [Google Scholar] [CrossRef]
- Paul, G.; Datta, A.; Mandal, B.K. An Experimental and Numerical Investigation of the Performance, Combustion and Emission Characteristics of a Diesel Engine Fueled with Jatropha Biodiesel. Energy Procedia 2014, 54, 455–467. [Google Scholar] [CrossRef]
- Senatore, M.; Cardone, M.; Buono, D.; Rocco, V.; Allocca, L.; Vitolo, S. Performances and Emissions Optimization of a CR Diesel Engine Fuelled with Biodiesel; SAE Paper No. 2006-01-0235; SAE: Warrendale, PA, USA, 2006. [Google Scholar]
- Dhar, A.; Agarwal, A.K. Experimental Investigations of the Effect of Pilot Injection on Performance, Emissions and Combustion Characteristicsof Karanja Biodiesel Fuelled CRDI Engine. Energy Convers. Manag. 2015, 93, 357–366. [Google Scholar] [CrossRef]
- Manojkumar, C.V.; Thomas, J.; Sabu, V.R.; Nagarajan, G. A reduced chemical kinetic mechanism for waste cooking oil bio-diesel/n-pentanol mixture for IC engine simulation. Energy Fuels 2018, 32, 12884e95. [Google Scholar] [CrossRef]
- Chaikool, P.; Intravised, K.; Patsin, P.; Laonapakul, T. A Study of the Effect of Biodiesel on CR Injection Nozzle; SAE 2016-01-9077; SAE: Warrendale, PA, USA, 2016. [Google Scholar]
- Thomas, J.J.; Sabu, V.R.; Nagarajan, G.; Kumar, S.; Basrin, G. Influence of waste vegetable oil biodiesel and hexanol on a reactivity controlled compression ignition combustion and emissions. Energy 2020, 206, 118199. [Google Scholar] [CrossRef]
- Gu, J.; Song, Y.; Wang, Y.; Meng, W.; Shi, L.; Deng, K. Prediction of heat release and NOx emissions for direct-injection diesel engines using an innovative zero-dimensional multi phase combustion model. Fuel 2022, 329, 125438. [Google Scholar] [CrossRef]
- Qi, D.; Lee, C.-F.; Lin, Y. Effect of Injection Parameters and EGR on the Particle Size Distributions and Exhaust Emissions for Diesel and Biodiesel Fuels in CRDI Engine; SAE 2014-01-1612; SAE: Warrendale, PA, USA, 2014. [Google Scholar]
- Mueller, C.J.; Boehman, A.L.; Martin, G.C. An Experimental Investigation of the Origin of Increased NOx Emissions when Fueling a Heavy-Duty Compression Ignition Engine with Soy Biodiesel; SAE Paper 2009-01-1792; SAE: Warrendale, PA, USA, 2009. [Google Scholar]
- Hossain, A.K.; Sharma, V.; Ahmad, G.; Awotwe, T. Energy outputs and emissions of biodiesels as a function of coolant temperature and composition. Renew. Energy 2023, 215, 119008. [Google Scholar] [CrossRef]
- Garner, S.; Sivaramakrishnan, R.; Brezinsky, K. The high-pressure pyrolysis of saturated and unsaturated C7 hydrocarbons. Proc. Combust. Inst. 2009, 32, 461–467. [Google Scholar] [CrossRef]
- Shareef, S.M.; Mohanty, D.K. Experimental investigations of dairy scum biodiesel in a diesel engine with variable injection timing for performance, emission and combustion. Fuel 2020, 280, 118647. [Google Scholar] [CrossRef]
- Cheng, A.S.; Upatnieks, A.; Mueller, C.J. Investigation of the impact of biodiesel fuelling on NOx emissions using an optical direct injection diesel engine. Int. J. Engine Res. 2006, 7, 297–318. [Google Scholar] [CrossRef]
- Korotney, D. A Comprehensive Analysis of Biodiesel Impacts on Exhaust Emissions; Environmental Protection Agency of US: Washington, DC, USA, 2002. [Google Scholar]
- Last, R.J.; Krüger, M.; Dürnholz, M. Emissions and Performance Characteristics of a 4-Stroke, Direct Injected Diesel Engine Fueled with Blends of Biodiesel and Low Sulfur Diesel Fuel; SAE Paper 950054; SAE: Warrendale, PA, USA, 1995. [Google Scholar]
- Hu, Q.-Y.; Lou, D.-M.; Tan, P.-Q.; Hu, Z.-Y.; Fang, Y. Study on Fuel Injection Parameters Optimization for CR Diesel Engine Fueled with B20 Biodiesel; SAE 2014-01-2655; SAE: Warrendale, PA, USA, 2014. [Google Scholar]
- Kawano, D.; Ishii, H.; Goto, Y.; Noda, A.; Aoyagi, Y. Effect of Exhaust Gas Recirculation on Exhaust Emissions from Diesel Engines Fueled with Biodiesel; SAE 2007-24-0128; SAE: Warrendale, PA, USA, 2007. [Google Scholar]
- Tian, B.; Liu, A.X.; Chong, C.T.; Fan, L.; Ni, S.; Ng, J.-H.; Rigopoulos, S.; Luo, K.H.; Hochgreb, S. Experimental and numerical study on soot formation in laminar diffusion flames of biodiesel and methyl esters. Proc. Combust. Inst. 2021, 38, 1335–1344. [Google Scholar] [CrossRef]
- Rakopoulos, C.D.; Dimaratos, A.M.; Giakoumis, E.G.; Rakopoulos, D.C. Investigating the emissions during acceleration of a turbocharged diesel engine operating with biodiesel or n-butanol diesel fuel blends. Energy 2010, 35, 5173–5184. [Google Scholar] [CrossRef]
- Wai, P.; Kanokkhanarat, P.; Oh, B.-S.; Wongpattharaworakul, V.; Depaiwa, N.; Pongaen, W.; Chollacoop, N.; Srisurangkul, C.; Kosaka, H.; Yamakita, M.; et al. Experimental investigation of the influence of ethanol and biodiesel on common rail direct injection diesel engine’s combustion and emission characteristics. Case Stud. Therm. Eng. 2022, 39, 102430. [Google Scholar] [CrossRef]
- Vermaa, P.; Jafaria, M.; Rahman, S.M.A.; Pickering, E.; Stevanovic, S.; Dowell, A.; Brown, R.; Ristovski, Z. The impact of chemical composition of oxygenated fuels on morphology and nanostructure of soot particles. Fuel 2020, 259, 116167. [Google Scholar] [CrossRef]
- Curran, H.J.; Fisher, E.M.; Glaude, P.-A.; Marinov, N.M.; Pitz, W.J.; Westbrook, C.K.; Layton, D.W.; Flynn, P.F.; Durrett, R.P.; Loye, A.O.Z.; et al. Detailed chemical kinetic modeling of diesel combustion with oxygenated fuels. SAE Trans.—J. Fuels Lubr. 2001, 110, 514–521. [Google Scholar]
- Mueller, C.; Pitz, W.; Pickett, L.; Martin, G.; Siebers, D.; Westbrook, C. Effects of oxygenates on soot processes in DI diesel engines: Experiments and numerical simulations. SAE Trans.—J. Fuels Lubr. 2003, 112, 964–982. [Google Scholar]
- Ullman, T.; Spreen, K.; Mason, R. Effects of cetane number, cetane improver, aromatics, and oxygenates on 1994 heavy-duty diesel engine emissions. SAE Trans.—J. Fuels Lubr. 1994, 103, 682–702. [Google Scholar]
- Lapuerta, M.; Rodríguez-Fernandez, J.; Sanchez-Valdepenas, J.; Salgado, M.S. Multi-Technique analysis of soot reactivity form conventional and paraffinic diesel fuels. Flow Turbul. Combust. 2016, 96, 327–341. [Google Scholar] [CrossRef]
- Lapuerta, M.; Rodríguez–Fernández, J.; Sánchez-Valdepeñas, J. Soot reactivity analysis and implications on diesel filter regeneration. Prog. Energy Combust. Sci. 2020, 78, 100833. [Google Scholar] [CrossRef]
- Armas, O.; Hernandez, J.J.; Cardenas, M.D. Reduction of diesel smoke opacity from vegetable oil methyl ester during transient operation. Fuel 2006, 85, 2427–2438. [Google Scholar] [CrossRef]
- Fontaras, G.; Karavalakis, G.; Kousoulidou, M.; Tzamkiozis, T.; Ntziachristos, L.; Bakeas, E.; Stournas, S.; Samaras, Z. Effects of biodiesel on passenger car fuel consumption, regulated and non-regulated pollutant emissions over legislated and realworld driving cycles. Fuel 2009, 88, 1608–1617. [Google Scholar] [CrossRef]
- Patel, C.; Hwang, J.; Bae, C.; Agarwal, A.K. Review of regulated, unregulated and particulate emissions from biodiesel fueled compression ignition engines. Int. J. Automot. Technol. 2022, 23, 1763–1785. [Google Scholar] [CrossRef]
- Williams, A.; McCormick, R.L.; Hayes, R.; Ireland, J. Biodiesel Effects on Diesel Particle Filter Performance; National Renewable Energy Laboratory Report, NREL/TP-540e39606; National Renewable Energy Laboratory: Golden, CO, USA, 2006. [Google Scholar]
- Lapuerta, M.; Hernandez, J.J.; Oliva, F. Strategies for active diesel particulate filter regeneration based on late injection and exhaust recirculation with different fuels. Int. J Engine Res. 2014, 15, 209–221. [Google Scholar] [CrossRef]
- Lapuerta, M.; Oliva, F.; Agudelo, J.R.; Boehman, A.L. Effect of fuel on the soot nanostructure and consequences on loading and regeneration of diesel particulate filters. Combust. Flame 2012, 159, 844–853. [Google Scholar] [CrossRef]
- Tatur, M.; Nanjundaswamy, H.; Tomazic, D.; Thornton, M. Effects of Biodiesel Operation on Light-Duty Tier 2 Engine and Emission Control Systems; SAE Paper SAE 2008-01-0080; SAE: Warrendale, PA, USA, 2008. [Google Scholar]
- Muncrief, R.L.; Rooks, C.W.; Cruz, M.; Harold, M.P. Combining biodiesel and exhaust gas recirculation for reduction in NOx and particulate emissions. Energy Fuels 2008, 22, 1285–1296. [Google Scholar] [CrossRef]
- Zhang, Y.; Lou, D.; Hu, Z.; Tan, P. Particle number, size distribution, carbons, polycyclic aromatic hydrocarbons and inorganic ions of exhaust particles from a diesel bus fueled with biodiesel blends. J. Clean. Prod. 2019, 225, 627–636. [Google Scholar] [CrossRef]
- Damayanti, S.; Harrison, R.M.; Pope, F.; Beddows, D.C.S. Limited impact of diesel particle filters on road traffic emissions of ultrafine particles. Environ. Int. 2023, 174, 107888. [Google Scholar] [CrossRef] [PubMed]
- Puzun, A.; Wanchen, S.; Guoliang, L.; Manzhi, T.; Chunjie, L.; Shibao, C. Characteristics of Particle Size Distributions About Emissions in A Common-rail Diesel Engine with Biodiesel Blends. Procedia Environ. Sci. 2011, 11, 1371–1378. [Google Scholar] [CrossRef][Green Version]
- Sun, W.; Wang, Q.; Guo, L.; Cheng, P.; Li, D.; Yan, Y. Influence of biodiesel/diesel blends on particle size distribution of CI engine under steady/transient conditions. Fuel 2019, 245, 336–344. [Google Scholar] [CrossRef]
- Singh, A.P.; Agarwal, A.K. Split injection strategies for biodiesel-fueled premixed charge compression ignition combustion engine—Part II: Particulate studies. ASME J. Energy Resour. Technol. 2020, 142, 1223041-12. [Google Scholar] [CrossRef]
- Wang, X.; Zhan, Z.; Hu, T.; Huang, Z. Influence of Biodiesel/Diesel Blends on Particulate Emissions in a Turbocharged Common Rail Diesel Engine; SAE 2014-01-2368; SAE: Warrendale, PA, USA, 2014. [Google Scholar]
- Tan, P.; Lou, D.; Hu, Z. Nucleation Mode Particle Emissions for a Diesel Engine with Biodiesel and Petroleum Diesel Fuels; SAE 2010-01-0787; SAE: Warrendale, PA, USA, 2010. [Google Scholar]
- Churkunti, P.; Mattson, J.M.S.; Depcik, C. Influence of Fuel Injection Pressure and Biodiesel Upon NOx Emissions; SAE 2016-01-0877; SAE: Warrendale, PA, USA, 2016. [Google Scholar]
- Shote, A.S.; Betiku, E.; Asere, A.A. Characteristics of CO and NOx emissions from combustion of transmethylated palm kernel oil-based biodiesel blends in a compression ignition engine. J. King Saud Univ.—Eng. Sci. 2019, 31, 178–183. [Google Scholar] [CrossRef]
- Woo, C.; Kook, S.; Rogers, P.; Marquis, C.; Hawkes, E.; Tupufia, S. A Comparative Analysis on Engine Performance of a Conventional Diesel Fuel and 10% Biodiesel Blends Produced from Coconut Oils; SAE 2015-24-2489; SAE: Warrendale, PA, USA, 2015. [Google Scholar]
- Sun, C.; Liu, Y.; Qiao, X.; Ju, D.; Tang, Q.; Fang, X.; Zhou, F. Experimental study of the effects of exhaust gas recirculation on combustion, performance and emissions of DME-biodiesel fueled engine. Energy 2020, 197, 117233. [Google Scholar] [CrossRef]
- Harsha, C.H.S.; Suganthan, T.; Srihari, S. Performance and emission characteristics of diesel engine using biodiesel-diesel-nanoparticle blends—An experimental study. Mater. Today Proc. 2020, 24, 1355–1364. [Google Scholar] [CrossRef]
- Szybist, J.P.; Kirby, S.R.; Boehman, A.L. NOx emissions of alternative diesel fuels: A comparative analysis of biodiesel and FT diesel. Energy Fuels 2005, 19, 1484–1492. [Google Scholar] [CrossRef]
- Cai, P.; Zhang, C.; Jing, Z.; Peng, Y.; Jing, J.; Sun, H. Effects of Fischer-Tropsch diesel blending in petrochemical diesel on combustion and emissions of a common-rail diesel engine. Fuel 2021, 305, 121587. [Google Scholar] [CrossRef]
- Kook, S.; Pickett, M. Liquid length and vapor penetration of conventional, Fischer–Tropsch, coal-derived, and surrogate fuel sprays at high-temperature and high-pressure ambient conditions. Fuel 2012, 93, 539–548. [Google Scholar] [CrossRef]
- Payri, R.; Gimeno, J.; Bracho, G.; Vaquerizo, D. Study of liquid and vapor phase behavior on Diesel sprays for heavy duty engine nozzles. Appl. Therm. Eng. 2016, 107, 365–378. [Google Scholar] [CrossRef]
- Canaan, R.E.; Dec, J.E.; Green, R.M.; Daly, D.T. The Influence of Fuel Volatility on the Liquid-Phase Fuel Penetration in a Heavy-Duty D.I. Diesel Engine; SAE Paper 980510; SAE: Warrendale, PA, USA, 1998. [Google Scholar]
- Pei, Y.; Qin, J.; Dai, Y.; Wang, K. Investigation on the spray development, the combustion characteristics and the emissions of Fischer–Tropsch fuel and diesel fuel from direct coal liquefaction. Proc. Inst. Mech. Eng. Part D J. Automob. Eng. 2017, 231, 1829–1837. [Google Scholar] [CrossRef]
- Schaberg, P.; Botha, J.; Schnell, M.; Hermann, H.O.; Pelz, N.; Maly, R. Emissions Performance of GTL Diesel Fuel and Blends with Optimized Engine Calibrations; SAE Paper 2005-01-2187; SAE: Warrendale, PA, USA, 2005. [Google Scholar]
- Gong, G.; Song, C.; Liu, L. Spray characteristics of diesel fuel, Fisher-Tropsch diesel fuel and their blend. In Proceedings of the International Conference on Electrical and Control Engineering, Yichang, China, 16–18 September 2011; pp. 4079–4082. [Google Scholar]
- Xia, H.; Wang, Z.; Liu, S. Research on fuel spray characteristics of coal-made Fisch-Tropsch process diesel/methanol. Energy Sources Part A Recovery Util. Environ. Eff. 2022, 44, 9074–9085. [Google Scholar] [CrossRef]
- Hürpekli, M.; Ozsezen, A.N. Determination of combustion and emission characteristics of liquid Fischer-Tropsch diesel fuel synthesized from coal in a diesel engine. Energy Convers. Manag. 2023, 292, 117351. [Google Scholar] [CrossRef]
- Geng, L.; Li, S.; Xiao, Y.; Xie, Y.; Chen, H.; Chen, X. Effects of injection timing and rail pressure on combustion characteristics and cyclic variations of a common rail DI engine fueled with F-T diesel synthesized from coal. J. Energy Inst. 2020, 93, 2148–2162. [Google Scholar] [CrossRef]
- Nabi, M.N.; Hustad, J.E.; Arefin, M.A. The influence of Fischer–Tropsch-biodiesel–diesel blends on energy and exergy parameters in a six-cylinder turbocharged diesel engine. Energy Rep. 2020, 6, 832–840. [Google Scholar] [CrossRef]
- Torregrosa, A.J.; Broatch, A.; Pla’, B.; Monico, L.F. Impact of Fischer-Tropsch and biodiesel fuels on trade-offs between pollutant emissions and combustion noise in diesel engines. Biomass Bioenergy 2013, 52, 22–33. [Google Scholar] [CrossRef]
- Alleman, T.L.; McCormick, R.L. Fischer-Tropsch Diesel Fuels—Properties and Exhaust Emissions: A Literature Review; SAE Technical Paper 2003-01-0763; SAE: Warrendale, PA, USA, 2003. [Google Scholar]
- Nishiumi, R.; Yasuda, A.; Tsukasaki, Y.; Tanaka, T. Effects of Cetane Number and Distillation Characteristics of Paraffinic Diesel Fuels on PM Emission from a DI Diesel Engine; SAE Paper 2004-01-2960; SAE: Warrendale, PA, USA, 2004. [Google Scholar]
- Abu-Jrai, A.; Tsolakis, A.; Theinnoi, K.; Cracknell, R.; Megaritis, A.; Wyszynski, M.L.; Golunski, S.E. Effect of gasto-liquid diesel fuels on combustion characteristics, engine emissions, and exhaust gas fuel reforming. Comparative study. Energy Fuels 2006, 20, 2377–2384. [Google Scholar] [CrossRef]
- Cowart, J.S.; Sink, E.M.; Slye, P.G.; Caton, P.A.; Hamilton, L.J. Performance, Efficiency and Emissions Comparison of Diesel Fuel and a Fischer-Tropsch Synthetic Fuel in a CFR Single Cylinder Diesel Engine During High Load Operation; SAE Paper 2008-01-2382; SAE: Warrendale, PA, USA, 2008. [Google Scholar]
- Kitano, K.; Misawa, S.; Mori, M.; Sakata, I.; Clark, R.H. GTL Fuel Impact on DI Diesel Emissions; SAE Paper 2007-01-2004; SAE: Warrendale, PA, USA, 2007. [Google Scholar]
- Geng, L.; Xiao, Y.; Li, S.; Chen, H.; Chen, X. Effects of injection timing and rail pressure on particulate size number distribution of a common rail DI engine fueled with Fischer-Tropsch diesel synthesized from coal. J. Energy Inst. 2021, 95, 219–230. [Google Scholar] [CrossRef]
- McMillian, M.H.; Gautam, M. Combustion and Emission Characteristics of Fischer-Tropsch and Standard Diesel Fuel in a Single E Cylinder Diesel Engine; SAE Paper 2001-01-3517; SAE: Warrendale, PA, USA, 2001. [Google Scholar]
- Kyunghyun, R. Effects of pilot injection timing on the combustion and emissions characteristics in a diesel engine using biodiesel-CNG dual fuel. Appl. Energy 2013, 111, 721–730. [Google Scholar]
- Shameer, P.M.; Ramesh, K. Assessment on the consequences of injection timing and injection pressure on combustion characteristics of sustainable biodiesel fueled engine. Renew. Sustain. Energy Rev. 2018, 81, 45–61. [Google Scholar] [CrossRef]
- Geng, L.M.; Wang, Y.J.; Wang, Y.Y.; Li, H.M. Effect of the injection pressure and orifice diameter on the spray characteristics of biodiesel. J. Traffic Transport. Eng. 2019, 6, 1–9. [Google Scholar] [CrossRef]
- Kitano, K.; Sakata, I.; Clark, R. Effects of GTL Fuel Properties on DI Diesel Combustion; SAE Paper 2005-01-3763; SAE: Warrendale, PA, USA, 2005. [Google Scholar]
- Armas, O.; Yehliu, K.; Boehman, A.L. Effect of alternative fuels on exhaust emissions during diesel engine operation with matched combustion phasing. Fuel 2010, 89, 438–456. [Google Scholar] [CrossRef]
- Schaberg, P.; Botha, J.; Schnell, M.; Herrmann, H.O.; Keppeler, S.; Friess, W. HSDI Diesel Engine Optimisation for GTL Diesel Fuel; SAE Paper 2007-01-0027; SAE: Warrendale, PA, USA, 2007. [Google Scholar]
- Kufferath, A.; Krüger, M.; Naber, D.; Mailänder, E.; Maier, R. The path to a negliglible NO2-Immission Contribution from the Diesel Powertrain. In Proceedings of the 39th International Vienna Motor Symposium, Vienna, Austria, 27–28 April 2018. [Google Scholar]
- Wintrich, T.; Rothe, S.; Bucher, K. RDE Step 2 and beyond—Bosch Diesel FIE System contribution. In Proceedings of the 30th SIA Powertrain Congress, Rouen, France, 17–18 May 2018. [Google Scholar]
- Bosteels, D. Diesel engines on pathway to low impact on local air quality in Europe. In Proceedings of the International Conference ECT, Pune, India, 26–27 October 2018. [Google Scholar]
- Avolio, G.; Brück, R.; Maiwald, O.; Rösel, G.; Zhang, H. Super Clean Electrified Diesel: Towards Real NOx Emissions below 35 mg/km. In Proceedings of the 27th Aachen Colloquium Automobile and Engine Technology, Aachen, Germany, 8–10 October 2018. [Google Scholar]
- Shea, T. Terex 33-19 Titan. Hemmings Motor News. 2012. Available online: https://www.hemmings.com/stories/terex-33-19-titan/ (accessed on 3 April 2025).
- Joshi, S. Reduce Costs and Maximize Efficiency in MD and HD Engines; Automotive World Webinar, 30 January; Stellantis: Auburn Hills, MI, USA, 2019. [Google Scholar]
- Dahodwala, M.; Joshi, S.; Krishnamoorthy, H.; Koehler, E.W.; Franke, M. Evaluation of System Configurations for Downsizing a Heavy-Duty Diesel Engine for Non-Road Applications. SAE Int. J. Engines 2016, 9, 2272–2285. [Google Scholar] [CrossRef]
- Mork, A.; Heimermann, C.; Schüttenhelm, M.; Frambourg, M.; Henn, M.; Lösche-ter Horst, T. CO2-Lighthouse Diesel Engine from Volkswagen Group Research. In Proceedings of the 27th Aachen Colloquium Automobile and Engine Technology, Aachen, Germany, 8–10 October 2018. [Google Scholar]
- Heiduk, T.; Weiß, W.; Fröhlich, A.; Helbig, J.; Zülch, S.; Lorenz, S. The new Audi V8 TDI engine. In Proceedings of the 37th Internationales Wiener Motorensymposium, Vienna, Austria, 28–29 April 2016. [Google Scholar]
- Joshi, S.; Dahodwala, M.; Koehler, E.; Franke, M. Engine Strategies to Meet Phase-2 Greenhouse Gas Emission Legislation for Heavy-Duty Diesel Engines. In Proceedings of the ASME Internal Combustion Engine Division Fall Technical Conference, Seattle, WA, USA, 15–18 October 2017; p. ICEF2017-3552. [Google Scholar]
- Cook, A.; Deter, D.; Karnick, C.; Perry, N.; Thompson, B. Effects of Hybridization on Selective Catalytic Reduction (SCR) Thermal Management of a Medium Heavy-Duty Hybrid Work Truck. SAE Int. J. Engines 2021, 14, 507–516. [Google Scholar] [CrossRef]
- Curran, S. Next-Generation Heavy-Duty Powertrains. In Proceedings of the 2021 DOE Vehicle Technologies Office Annual Merit Review and Peer Evaluation Meeting, Virtual, 21–24 June 2021; p. ACE133. [Google Scholar]
- Barthel, J.; Gorges, D.; Bell, M.; Munch, P. Energy management for hybrid electric tractors combining load point shifting, regeneration and boost. In Proceedings of the Vehicle Power & Propulsion Conference (VPCC), 2014 IEEE, Coimbra, Portugal, 27–30 October 2014. [Google Scholar]
- Somà, A. Effects of driveline hybridization on fuel economy and dynamic performance of hybrid telescopic heavy vehicles. In Proceedings of the Technologies for High Efficiency & Fuel Economy, Rosemont, IL, USA, 29–30 September 2013. [Google Scholar]
- Somà, A.; Boso, N.; Merlo, A. Electrohydraulic Hybrid Lifting Vehicle. US Patent 8,978,800 B2, 17 March 2015. [Google Scholar]
- Buning, E.A. Electric drives in agricultural machinery—Approach from the tractor side. In Proceedings of the 21st Annual Meeting of the Club of Bologna, Bologna, Italy, 13–14 November 2010. [Google Scholar]
- Mitchell, T.; Salah, M.; Wagner, J.; Dawson, D. Automotive thermostat valve configurations: Enhanced warm-up performance. J. Dyn. Syst. Meas. Contr. 2009, 131, 044501-1. [Google Scholar] [CrossRef]
- Moreda, G.P.; Munoz-Garcia, M.A.; Barreiro, P. High Voltage Electrification of Tractor and Agricultural Machinery—A Review. Energy Convers. Manag. 2016, 115, 117–131. [Google Scholar] [CrossRef]
- Gao, D.; Zhang, W.; Shen, A.; Wang, Y. Parameter Design and Energy Control of the Power Train in a Hybrid Electric Boat. Energies 2017, 10, 1028. [Google Scholar] [CrossRef]
- Mocera, F.; Martelli, S.; Somà, A. State of the Art and Future Trends of Electrification in Agricultural Tractors; SAE Technical Paper No. 2022-24-0002; SAE: Warrendale, PA, USA, 2022. [Google Scholar]
- Cwikowski, P.; Teodrorcyck, A. The latest achievements in gasoline and diesel injection technology for the internal combustion engines. J. KONES Powertrain Transp. 2009, 16, 79–90. [Google Scholar]
- Kelouwani, S.; Agbossov, K.; Dubé, Y.; Boulon, L. Fuel cell plug-in hybrid electric vehicle anticipatory and real-time blended-mode energy management for battery life preservation. J. Power Sources 2013, 221, 406–418. [Google Scholar] [CrossRef]
- Kiyota, K.; Kakishima, T.; Chiba, A. Comparison of test result and design stage prediction of switched reluctance motor competitive with 60-kW rare-earth permanent magnet motor. IEEE Trans. Ind. Electron. 2014, 61, 5712–5721. [Google Scholar] [CrossRef]
- Renius, K.T.; Resch, R. Continuously Variable Tractor Transmissions; ASAE Distinguished Lecture No. 29; ASAE: Louisville, KY, USA, 2005; pp. 1–37. [Google Scholar]
- Achten, P.A.J. A serial hydraulic hybrid drive train for off-road vehicles. In Proceedings of the International Exposition for Fluid Power (IFPE 2008) Technical Conference, Las Vegas, NV, USA, 11–15 March 2008; pp. 515–521. [Google Scholar]
- Mocera, F.; Martino, V.; Somà, A. Comparative Analysis of Hybrid Electric Architectures for Specialized Agricultural Tractors. Energies 2022, 15, 1944. [Google Scholar] [CrossRef]
- Sieg, C.; Küçükay, F. Benchmarking of Dedicated Hybrid Transmissions. Vehicles 2020, 2, 100–125. [Google Scholar] [CrossRef]
- Hoy, R.; Rohrer, R.; Liska, A.; Luck, J.; Isom, L.; Keshwani, D. Agricultural Industry Advanced Vehicle Technology: Benchmark Study for Reduction in Petroleum Use; Idaho National Laboratory: Idaho Falls, ID, USA, 2014. [Google Scholar]
- Karner, J.; Baldinger, M.; Schober, P.; Reichl, B.; Prankl, H. Hybrid systems for agricultural engineering. LandTechnik 2013, 68, 225. [Google Scholar]
- Bieker, G. A Global Comparison of the Life-Cycle Greenhouse Gas Emissions of Combustion Engine and Electric Passenger Cars; Technical Report of the International Council on Clean Transportation (ICCT) Europe; ICCT: Berlin, Germany, 2021. [Google Scholar]
- Volvo. Carbon Footprint Report—Volvo C40 Report. 2021. Available online: https://www.volvocars.com (accessed on 3 April 2025).
- Brancale, D. CO2 social & environmental impact: Towards a multi-technology portfolio. In Proceedings of the 15th International Conference on Engines & Vehicles, Capri, Italy, 12–16 September 2021. [Google Scholar]
- Tietge, U.; Dornoff, J.; Mock, P. CO2 Emissions from New Passenger Cars in Europe: Car Manufacturers’ Performance in 2023. International Council on Clean Transportation. 2024. Available online: https://theicct.org/publication/co2-emissions-new-pv-europe-car-manufacturers-performance-2023-sept24/ (accessed on 3 April 2025).
- European Environment Agency. Real-World CO2 Emissions from New Cars and Vans. 2024. Available online: https://climate-energy.eea.europa.eu/topics/transport/real-world-emissions/data (accessed on 3 April 2025).
- Mercedes-Benz. Mercedes-Benz GLC. 2024. Available online: https://www.mercedes-benz.de/passengercars/models/suv/glc/overview.html (accessed on 4 April 2025).
- Dornoff, J. Within Reach the 2025 CO2 Targets for New Passenger Cars in the European Union. International Council on Clean Transportation. 2024. Available online: https://theicct.org/publication/2025-co2manufacturers-targets-oct24/ (accessed on 4 April 2025).
- Monteforte, M.; Diaz, S. European Market Monitor: Cars and vans. International Council on Clean Transportation. 2025. Available online: https://theicct.org/publication/european-market-monitor-cars-vans-jan-2025-feb25/ (accessed on 4 April 2025).
- Sens, M.; Danzer, C.; von Essen, C.; Brauer, M.; Wascheck, R.; Seebode, J.; Kratzsch, M. Hydrogen Powertrains in Competition to Fossil Fuel based Internal Combustion Engines and Battery Electric Powertrains. In Proceedings of the 42nd International Vienna Motor Symposium, Virtual, 29–30 April 2021; pp. 1–78. [Google Scholar]
- Monteforte, M.; Diaz, S. European Market Monitor: Cars and Vans. International Council on Clean Transportation. 2024. Available online: https://theicct.org/publication/european-market-monitor-cars-vans-2024-feb25/ (accessed on 10 April 2025).
- Moultak, M.; Lutsey, N.; Hall, D. Transitioning to Zero Emission Heavy-Duty Freight Vehicles. Technical Report of the International Council on Clean Transportation (ICCT); ICCT: Washington, DC, USA, 2017. [Google Scholar]
- Mulholland. The Revised CO2 Standards for Heavy-Duty Vehicles in the European Union. International Council on Clean Transportation. 2024. Available online: https://theicct.org/publication/revised-co2-standards-hdvs-eu-may24/ (accessed on 10 April 2025).
- Musa, A.; Basma, H.; Mulholland, E.; Rodríguez, F. CO2 Emissions from Trucks in the European Union: An Analysis of the 2021 Reporting Period. International Council on Clean Transportation. 2024. Available online: https://theicct.org/publication/eu-co2-emissions-trucks-manufacturers-2021-reporting-dec24/ (accessed on 10 April 2025).
- Ananda, S.; Musa, A.; Basma, H. Race to Zero: European Heavy Duty Vehicle Market Development Quarterly (January–June 2024). International Council on Clean Transportation. 2024. Available online: https://theicct.org/publication/r2z-eu-hdv-market-development-quarterly-jan-june-2024-sept24/ (accessed on 10 April 2025).
- Shariff, S.; Au, W.; Mumford, D.; Lundqvist, U.; Olofsson, E.; Palmkvist, A.; Linderyd, J.; Pelz, M. Westport Fuel Systems H2 HPDI Technology Applied to the Scania CBE1 Engine. In Proceedings of the 45th Vienna Motor Symposium, Vienna, Austria, 24–26 April 2024. [Google Scholar]
Disclaimer/Publisher’s Note: The statements, opinions and data contained in all publications are solely those of the individual author(s) and contributor(s) and not of MDPI and/or the editor(s). MDPI and/or the editor(s) disclaim responsibility for any injury to people or property resulting from any ideas, methods, instructions or products referred to in the content. |
© 2025 by the authors. Licensee MDPI, Basel, Switzerland. This article is an open access article distributed under the terms and conditions of the Creative Commons Attribution (CC BY) license (https://creativecommons.org/licenses/by/4.0/).





















































































































































































