Performance Studies on a Scaled Model of Dual Oscillating-Buoys WEC with One Pneumatic PTO
Abstract
1. Introduction
2. Physical Model Approach
2.1. Experimental Setup of the BBDB-OB Model
2.2. Data Processing Method
3. Results Evaluation and Discussion
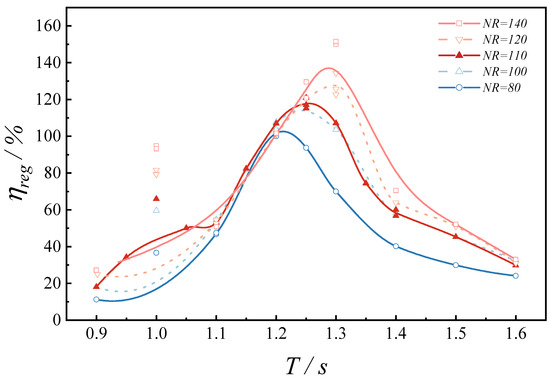
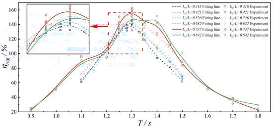
3.1. Effects of the Nozzle Ratio
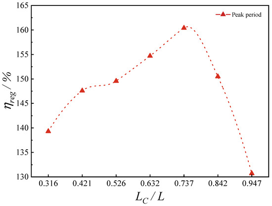
3.2. Effect of Distance Between OB and OWC
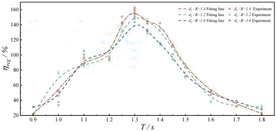
3.3. Effects of the Spherical Floater Draft
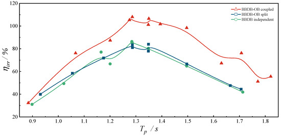
3.4. Influence of Motion Configuration in Irregular Waves
3.5. Effect of Floater Geometry
4. Conclusions
Author Contributions
Funding
Data Availability Statement
Conflicts of Interest
References
- United Nations Department for Economic and Social Affairs World Population Prospects 2024: Summary of Results; United Nations: New York, NY, USA, 2025; ISBN 978-92-1-003169-1.
- Krane, J. Climate change and fossil fuel: An examination of risks for the energy industry and producer states. MRS Energy Sustain. 2017, 4, E2. [Google Scholar] [CrossRef]
- Ritchie, H.; Roser, M. CO2 and Other Greenhouse Gas Emissions. Our World Data 2017. Available online: https://ourworldindata.org/co2-and-greenhouse-gas-emissions (accessed on 29 July 2025).
- Hassan, Q.; Viktor, P.; Al-Musawi, T.J.; Mahmood Ali, B.; Algburi, S.; Alzoubi, H.M.; Khudhair Al-Jiboory, A.; Zuhair Sameen, A.; Salman, H.M.; Jaszczur, M. The renewable energy role in the global energy Transformations. Renew. Energy Focus 2024, 48, 100545. [Google Scholar] [CrossRef]
- Gunn, K.; Stock-Williams, C. Quantifying the global wave power resource. Renew. Energy 2012, 44, 296–304. [Google Scholar] [CrossRef]
- Rusu, L.; Rusu, E. Evaluation of the Worldwide Wave Energy Distribution Based on ERA5 Data and Altimeter Measurements. Energies 2021, 14, 394. [Google Scholar] [CrossRef]
- Falnes, J. A review of wave-energy extraction. Mar. Struct. 2007, 20, 185–201. [Google Scholar] [CrossRef]
- Samsó, R.; Crespin, J.; García-Olivares, A.; Solé, J. Examining the potential of marine renewable energy: A net energy perspective. Sustainability 2023, 15, 8050. [Google Scholar] [CrossRef]
- Fredriksen, A. Tapered channel wave power plants. In Energy for Rural and Island Communities; Elsevier: Amsterdam, The Netherlands, 1986; pp. 179–182. [Google Scholar]
- Kofoed, J.P.; Frigaard, P.; Friis-Madsen, E.; Sørensen, H.C. Prototype testing of the wave energy converter wave dragon. Renew. Energy 2006, 31, 181–189. [Google Scholar] [CrossRef]
- Heath, T. The development and installation of the LIMPET Wave Energy Converter. In World Renewable Energy Congress VI; Elsevier: Amsterdam, The Netherlands, 2000; pp. 1619–1622. [Google Scholar]
- Falcão, A.F.; Sarmento, A.J.; Gato, L.M.; Brito-Melo, A. The Pico OWC wave power plant: Its lifetime from conception to closure 1986–2018. Appl. Ocean Res. 2020, 98, 102104. [Google Scholar] [CrossRef]
- Evans, D.V.; Porter, R. Efficient calculation of hydrodynamic properties of OWC-type devices. J. Offshore Mech. Arct. Eng. 1997, 119, 210–218. [Google Scholar] [CrossRef]
- Sarmento, A.J.; Falcão, A.F.d.O. Wave generation by an oscillating surface-pressure and its application in wave-energy extraction. J. Fluid Mech. 1985, 150, 467–485. [Google Scholar]
- Elhanafi, A.; Macfarlane, G.; Fleming, A.; Leong, Z. Scaling and air compressibility effects on a three-dimensional offshore stationary OWC wave energy converter. Appl. Energy 2017, 189, 1–20. [Google Scholar] [CrossRef]
- Gong, S.; Gao, J.; Yan, M.; Song, Z.; Shi, H. Effects of floater motion on wave loads during steady-state gap resonance occurring between two non-identical boxes. Ocean Eng. 2025, 323, 120649. [Google Scholar] [CrossRef]
- Song, Z.; Jiao, Z.; Gao, J.; Mi, C.; Liu, Y. Numerical investigation on the hydrodynamic wave forces on the three barges in proximity. Ocean Eng. 2025, 316, 119941. [Google Scholar] [CrossRef]
- Mi, C.; Gao, J.; Song, Z.; Liu, Y. Hydrodynamic wave forces on two side-by-side barges subjected to nonlinear focused wave groups. Ocean Eng. 2025, 317, 120056. [Google Scholar] [CrossRef]
- Li, B.; Li, C.; Zhang, B.; Deng, F.; Yang, H. The effect of the different spacing ratios on wave energy converter of three floating bodies. Energy 2023, 268, 126696. [Google Scholar] [CrossRef]
- Masuda, Y. Experiences in pneumatic wave energy conversion. Util. Ocean. Waves-Wave Energy Convers. 1986, 1986, 1–33. [Google Scholar]
- Masuda, Y.; Kuboki, T.; Ravindrum, M.; Pathak, A.; Jayashankar, V.; Liang, X. Development of backward bent duct buoy (BBDB). In Proceedings of the ISOPE International Ocean and Polar Engineering Conference, Brest, France, 30 May–4 June 1999; ISOPE: Brest, France, 1999; p. ISOPE-I-99-023. [Google Scholar]
- Masuda, Y.; Yamazaki, T.; Outa, Y.; McCormick, M. Study of backward bent duct buoy. In Proceedings of the OCEANS′87, Halifax, NS, Canada, 28 September–1 October 1987; pp. 384–389. [Google Scholar]
- Nagata, S.; Imai, Y.; Toyota, K.; Isshiki, H. Thrust generation by waves. In Proceedings of the Ninth ISOPE Pacific/Asia Offshore Mechanics Symposium, Busan, Republic of Korea, 14–17 November 2010; ISOPE: Beijing, China, 2010; p. ISOPE-P-10-057. [Google Scholar]
- Imai, Y.; Toyota, K.; Nagata, S.; Setoguchi, T.; Oda, J.; Matsunaga, N.; Shimozono, T. An experimental study of negative drift force acting on a floating OWC “backward bent duct buoy”. In Proceedings of the International Conference on Offshore Mechanics and Arctic Engineering, Estoril, Portugal, 15–20 June 2008; pp. 871–879. [Google Scholar]
- Wu, B.-j.; Li, M.; Wu, R.-k.; Zhang, Y.-q.; Peng, W. Experimental study on primary efficiency of a new pentagonal backward bent duct buoy and assessment of prototypes. Renew. Energy 2017, 113, 774–783. [Google Scholar] [CrossRef]
- Sheng, W. Power performance of BBDB OWC wave energy converters. Renew. Energy 2019, 132, 709–722. [Google Scholar] [CrossRef]
- Portillo, J.; Reis, P.; Henriques, J.; Gato, L.; Falcão, A. Backward bent-duct buoy or frontward bent-duct buoy? Review, assessment and optimisation. Renew. Sustain. Energy Rev. 2019, 112, 353–368. [Google Scholar] [CrossRef]
- Liu, Z.; Zhang, X.; Xu, C. Hydrodynamic and energy-harvesting performance of a BBDB-OWC device in irregular waves: An experimental study. Appl. Energy 2023, 350, 121737. [Google Scholar] [CrossRef]
- Chen, W.; Xie, W.; Zhang, Y.; Wang, C.; Wang, L.; Huang, L. Improving wave energy conversion performance of a floating BBDB-OWC system by using dual chambers and a novel enhancement plate. Energy Conv. Manag. 2024, 307, 118332. [Google Scholar] [CrossRef]
- Rao, X.; Wu, B.; Liu, P.; Zhang, F.; Yuan, Z. High Conversion Efficiency of Oscillating-Buoy WEC with Pneumatic PTO: Principle Analysis and Experimental Verification. Renew. Energy 2025, 252, 123384. [Google Scholar] [CrossRef]
- Chen, T.; Wu, B.; Zhang, Y.; Long, Z.; Jiang, C.; Xiao, S.; Zhou, L.; Yang, Y. Experimental research on three parallel backward bent duct buoys. Ocean Eng. 2022, 265, 112573. [Google Scholar] [CrossRef]
- Hu, J.; Zhou, B.; Vogel, C.; Liu, P.; Willden, R.; Sun, K.; Zang, J.; Geng, J.; Jin, P.; Cui, L. Optimal design and performance analysis of a hybrid system combing a floating wind platform and wave energy converters. Appl. Energy 2020, 269, 114998. [Google Scholar] [CrossRef]
- Piscopo, V.; Benassai, G.; Cozzolino, L.; Della Morte, R.; Scamardella, A. A new optimization procedure of heaving point absorber hydrodynamic performances. Ocean Eng. 2016, 116, 242–259. [Google Scholar] [CrossRef]
- Wu, S.; Liu, C.; Chen, X. Offshore wave energy resource assessment in the East China Sea. Renew. Energy 2015, 76, 628–636. [Google Scholar] [CrossRef]
- Gao, H.; Xiao, J. Effects of power take-off parameters and harvester shape on wave energy extraction and output of a hydraulic conversion system. Appl. Energy 2021, 299, 117278. [Google Scholar] [CrossRef]
- Colling, J.K.; Jafari Kang, S.; Dehdashti, E.; Husain, S.; Masoud, H.; Parker, G.G. Free-decay heave motion of a spherical buoy. Fluids 2022, 7, 188. [Google Scholar] [CrossRef]
- Pastor, J.; Liu, Y. Frequency and time domain modeling and power output for a heaving point absorber wave energy converter. Int. J. Energy Environ. Eng. 2014, 5, 101. [Google Scholar] [CrossRef]
- Chen, Z.-f.; Zhou, B.-z.; Zhang, L.; Zhang, W.-c.; Wang, S.-q.; Zang, J. Geometrical evaluation on the viscous effect of point-absorber wave-energy converters. China Ocean Eng. 2018, 32, 443–452. [Google Scholar] [CrossRef]
- Berenjkoob, M.N.; Ghiasi, M.; Soares, C.G. Influence of the shape of a buoy on the efficiency of its dual-motion wave energy conversion. Energy 2021, 214, 118998. [Google Scholar] [CrossRef]
- Azam, A.; Ahmed, A.; Li, H.; Tairab, A.M.; Jia, C.; Li, N.; Zhang, Z. Design and analysis of the optimal spinning top-shaped buoy for wave energy harvesting in low energy density seas for sustainable marine aquaculture. Ocean Eng. 2022, 255, 111434. [Google Scholar] [CrossRef]
- Chen, F.; Duan, D.; Han, Q.; Yang, X.; Zhao, F. Study on force and wave energy conversion efficiency of buoys in low wave energy density seas. Energy Conv. Manag. 2019, 182, 191–200. [Google Scholar] [CrossRef]
- Weber, J.; Mouwen, F.; Parish, A.; Robertson, D. Wavebob—Research & development network and tools in the context of systems engineering. In Proceedings of the Eighth European Wave and Tidal Energy Conference, Uppsala, Sweden, 7–10 September 2009; pp. 416–420. [Google Scholar]
- Majidi, A.; Bingölbali, B.; Akpınar, A.; Iglesias, G.; Jafali, H. Downscaling wave energy converters for optimum performance in low-energy seas. Renew. Energy 2021, 168, 705–722. [Google Scholar] [CrossRef]
- Kim, J.; Kweon, H.-M.; Jeong, W.-M.; Cho, I.-H.; Cho, H.-Y. Design of the dual-buoy wave energy converter based on actual wave data of East Sea. Int. J. Nav. Archit. Ocean Eng. 2015, 7, 739–749. [Google Scholar] [CrossRef]
- Li, D.; Dong, X.; Borthwick, A.G.; Sharma, S.; Wang, T.; Huang, H.; Shi, H. Two-buoy and single-buoy floating wave energy converters: A numerical comparison. Energy 2024, 296, 131219. [Google Scholar] [CrossRef]
- Zheng, S.; Zhang, Y. Analytical study on wave power extraction from a hybrid wave energy converter. Ocean Eng. 2018, 165, 252–263. [Google Scholar] [CrossRef]
- Cui, L.; Zheng, S.; Zhang, Y.; Miles, J.; Iglesias, G. Wave power extraction from a hybrid oscillating water column-oscillating buoy wave energy converter. Renew. Sustain. Energy Rev. 2021, 135, 110234. [Google Scholar] [CrossRef]
- Wan, C.; Yang, C.; Bai, X.; Bi, C.; Chen, H.; Li, M.; Jin, Y.; Zhao, L. Numerical investigation on the hydrodynamics of a hybrid OWC wave energy converter combining a floating buoy. Ocean Eng. 2023, 281, 114818. [Google Scholar] [CrossRef]
- Rao, X.; Wu, B.; Liu, P.; Zhang, F. Experimental research on a novel OWC with two chambers separated by a buoyancy module. Ocean Eng. 2024, 307, 118106. [Google Scholar] [CrossRef]
- Zhou, Y.; Zhang, C.; Ning, D. Hydrodynamic investigation of a concentric cylindrical OWC wave energy converter. Energies 2018, 11, 985. [Google Scholar] [CrossRef]
- Zhang, H.; Elsakka, M.; Liu, B.; Xu, S.; Shi, H. Dynamic response characteristics of the taut mooring system for integrated renewable energy devices. Energy 2025, 322, 135729. [Google Scholar] [CrossRef]
















| Device | Manufacturer | Parameter | Quantity | Function | |
|---|---|---|---|---|---|
| 1 | YWH200-DXX Digital wave height gauge | SINDASTONG Co., Ltd. Chengdu, China | Measure range: 0~900 mm Error range: ±0.3%FS | 2 | Collecting data on free surface elevation and periods |
| 2 | YWH201-A Numerical wave gauge | SINDASTONG Co., Ltd. Chengdu, China | Measure range: 0~500 mm Error range: ±0.3%FS | 1 | Collecting data on column heights and periods |
| 3 | HALO-FY-WG Air pressure gauge | HALO Co., Ltd. Taizhou, China | Measure range: −2~2 kPa Error range: 0.2%FS | 1 | Collecting data on air pressure in chamber |
| 4 | ZH-4223 Electric data acquisition card | RuiBoHua Control Co., Ltd. Beijing, China | Current range: 0–1 A Error range: 0–30 V | 1 | Analog-to-digital conversion |
| Parameter | Value |
|---|---|
| Length L (m) | 0.95 |
| Height H (m) | 0.64 |
| Capture width B (m) | 0.40 |
| Draft d (m) | 0.36 |
| Total mass (kg) | 20.35 |
| Chamber area (m2) | 0.08 |
| Buoy Shape | Spherical | Cylindrical | Semi-Capsule |
|---|---|---|---|
| Radius R (m) | 0.15 | 0.15 | 0.15 |
| Height | 0.40 | 0.40 | |
| Capture width (m) | 0.30 | 0.30 | 0.30 |
| Draft d (m) |
| Case | 1 | 2 | 3 | 4 | 5 |
|---|---|---|---|---|---|
| Nozzle ratio (NR) | 80 | 100 | 110 | 120 | 140 |
| Orifice area (mm2) | 10.00 | 8.00 | 7.27 | 6.67 | 5.71 |
| Period T (s) | 1.20 | 1.20 | 1.25 | 1.30 | 1.30 |
| CWR (%) | 101.56 | 106.28 | 117.72 | 127.64 | 150.74 |
Disclaimer/Publisher’s Note: The statements, opinions and data contained in all publications are solely those of the individual author(s) and contributor(s) and not of MDPI and/or the editor(s). MDPI and/or the editor(s) disclaim responsibility for any injury to people or property resulting from any ideas, methods, instructions or products referred to in the content. |
© 2025 by the authors. Licensee MDPI, Basel, Switzerland. This article is an open access article distributed under the terms and conditions of the Creative Commons Attribution (CC BY) license (https://creativecommons.org/licenses/by/4.0/).
Share and Cite
Liu, P.; Rao, X.; Wu, B.; Yuan, Z.; Zhang, F. Performance Studies on a Scaled Model of Dual Oscillating-Buoys WEC with One Pneumatic PTO. Energies 2025, 18, 4151. https://doi.org/10.3390/en18154151
Liu P, Rao X, Wu B, Yuan Z, Zhang F. Performance Studies on a Scaled Model of Dual Oscillating-Buoys WEC with One Pneumatic PTO. Energies. 2025; 18(15):4151. https://doi.org/10.3390/en18154151
Chicago/Turabian StyleLiu, Peiyu, Xiang Rao, Bijun Wu, Zhiwen Yuan, and Fuming Zhang. 2025. "Performance Studies on a Scaled Model of Dual Oscillating-Buoys WEC with One Pneumatic PTO" Energies 18, no. 15: 4151. https://doi.org/10.3390/en18154151
APA StyleLiu, P., Rao, X., Wu, B., Yuan, Z., & Zhang, F. (2025). Performance Studies on a Scaled Model of Dual Oscillating-Buoys WEC with One Pneumatic PTO. Energies, 18(15), 4151. https://doi.org/10.3390/en18154151

