Abstract
The diffusion of green energy technological innovation based on international green energy cooperation is a critical pathway to achieving global low-carbon emission reductions. However, few studies have considered the innovation diffusion pathways of green energy technologies under bilateral policy uncertainties. This paper constructs an evolutionary game model for the diffusion of green energy technological innovation in a complex network environment, with a focus on analyzing the impacts of key parameters such as policy spillover effects, technological heterogeneity, technical leakage risks, and free-riding risks on the equilibrium outcomes of evolutionary strategies. The results of the study are as follows: (1) Technological synergy and technological heterogeneity have a significant role in promoting the diffusion of green energy technological innovation, but when technological heterogeneity is too high, it is difficult for the two parties to find more common interests and areas of technological interaction, and the cooperative innovation will be turned into an empty shell that has a name but no reality. (2) Policy uncertainty has a significant impact on the diffusion of green energy technology innovation, and the specific impact depends on the type of policy, policy intensity, policy spillover effects, and other key parameters. (3) The risk of technological obsolescence has prompted countries to deeply participate in green energy international cooperation to realize the “curved road overtaking” of green energy technology based on technological locking and latecomer advantages; due to the existence of the phenomenon of “free-riding”, the logic of value creation based on win–win cooperation is replaced by the opportunism of “enjoying the benefits”, and cooperative innovation may be turned into a one-time “handshake agreement”. The existence of the risk of technology leakage can turn collaborative innovation into a “witch hunt” by the underdog against the overdog, and the diffusion process of green energy technology innovation is led in the wrong direction.
1. Introduction
The development of green energy technologies to drive the energy structure transition has been widely proven to be a key path to avoid falling into the dilemma of a zero-sum game in the development paradigm of industrial civilization and to achieve low carbon on a global scale [1,2,3,4,5,6]. As shown in Figure 1, the global energy landscape and the development trends of green energy are illustrated (data sourced from International Energy Agency and U.S. Energy Information Administration). As the level of green innovation increases globally, many countries have developed their own advantageous production capacity, technology, and equipment conditions for green energy development and utilization, which is characterized by great “unevenness” [7]. For example, China is leading in areas such as hydrogen fuel-cell stacks, but the development of catalysts, large-scale production of high-quality PEMs (Portable Emission Measurement Systems), and assembly techniques requires further research and development [8]. Considering that the current global green energy development is characterized by a diversified structure, strong technological dependence, unbalanced distribution, and weak geo-attributes, the development of green energy and the innovation of green energy technologies inevitably need to strengthen international cooperation [9,10], and the trend of countries cooperating in climate change mitigation technologies more than in other technological fields confirms this [11]. For example, in January 2025, the United Arab Emirates, Italy, and Albania signed a tripartite cross-border green energy cooperation agreement, which involves cooperation on hybrid solar PV, wind, and storage battery solutions.
Figure 1.
Global energy status and green energy development trends.
However, realizing the diffusion of green energy technology innovation through international cooperation is far from being as simple as it seems, and involves difficulties and challenges in two main areas:
(1) On the one hand, there are complex relations of interest behind international cooperation on green energy, and geopolitical conflicts are continuously complicating the existing order of cooperation [12], which has had a great negative impact on the innovation of green energy technologies.
Taking the U.S. Inflation Reduction Act (IRA) as an example, its “domestic content” requirements for clean energy equipment—such as the mandate that 40% of solar panel components must be manufactured in the United States by 2025—have led to the fragmentation of the global supply chain. According to research by the International Energy Agency, this has increased technology acquisition costs for developing countries by 15–20%. As a continuation of this policy, the United States imposed a 50% tariff on Chinese photovoltaic (PV) modules starting in 2024, escalating the comprehensive tax rate to 104% in April 2025, which effectively brought direct Chinese PV module exports to the U.S. market to a standstill. These policies, while hindering international cooperation and technology dissemination, have also significantly exacerbated global warming—the International Energy Agency (IEA) estimates that fragmented supply chains could reduce global renewable energy deployment by 12% and increase cumulative carbon emissions by 5% by 2030. Furthermore, the escalation of the Russia–Ukraine conflict (2023–2025) has significantly reshaped the landscape of green energy cooperation. For instance, a planned hydropower project between Albania and Russia was forced to become suspended, prompting Albania to seek alternative partners such as the United Arab Emirates (UAE)—as exemplified by the tripartite cross-border green energy cooperation agreement discussed above.
It has also been argued that, as each country seeks global dominance in the field of green energy technology, carbon neutrality and the transition of the energy structure have changed the focus of international conflicts from fossil energy to green energy, and the development of green energy and technological innovations will further exacerbate geopolitical conflicts and accelerate the breakdown of the cooperative order [13]. Therefore, it is of great significance to explore the diffusion path of green energy technology innovation under the complex and changing international environment and policies.
(2) On the other hand, the energy structure transformation faces enormous economic barriers and technical challenges. McKinsey notes that the global energy transition requires an estimated USD 12.7 trillion in investments, with 40% allocated to grid modernization and energy storage. These challenges are compounded by the intermittency of the green energy supply—for example, solar and wind outputs fluctuate by 20–30% annually, necessitating costlier grid stabilization measures.
As a global issue, addressing these economic and technical challenges requires more than just green energy development and technological innovation in individual countries or regions. Yet, the reality is that developing countries bear most of the energy-saving and emission-reduction burdens while having generally low green energy technology levels, with the vast majority of technological innovations and green capital concentrated in a few developed nations [14,15]. For instance, the UN Environment Programme (UNEP) 2025 report states that achieving a 45% green energy penetration by 2030 requires USD 2.3 trillion in energy storage investments, but developing regions like Africa secure only 8% of global green finance, making technological innovation even more difficult to achieve.
Under the dual influences of the negative externalities of environmental issues and the positive externalities of green energy development, advanced green energy technologies rarely transfer through international cooperation. Instead, they are replaced by opportunistic behaviors such as technological blockades and free-riding [16,17]. Therefore, the practical challenge of ensuring stable international cooperation on green energy and steadily achieving the genuine diffusion of green energy technological innovations urgently need to be addressed.
We construct an evolutionary game model on the basis of complex network theory and take green energy international cooperation as the entry point to carry out a systematic study on the diffusion of green energy technology innovations. The questions we focus on and want to address are as follows: (1) How do the nature, intensity, and cross-border impacts of policy uncertainties shape the spread of green energy technological innovations through international cooperation? (2) What are the core technological and structural factors influencing how green energy innovations spread across countries, and how do they interact within global cooperation networks? (3) How can coordinated policy interventions at the international level and strategic adjustments by firms enhance green energy cooperation and overcome barriers to technology diffusion (e.g., free-riding, technology leakage)?
2. Literature Review
2.1. Green Energy International Cooperation and Technology Innovation
There are two streams of the literature related to this topic. First, green energy technology innovation usually relies on cooperation and knowledge integration across different countries, and some studies have been conducted from the perspectives of environmental regulations and national policies [18,19,20]. However, these studies remain silent on at least one of the two analytical dimensions, the home and partner country, when examining the impact of macro-policy factors on green energy technology innovation. Indeed, there is a high degree of heterogeneity in environmental regulation and macro-policies across countries, and green energy technology innovation activities need to be responsive not only to their own country’s regulation, but also to that of partner countries. Traditional studies have generally focused on policy instruments of single countries, neglecting the spillover effects of bilateral policy interactions. Verdolini and Bosetti (2017) examined the overall role of policy distance between countries in international clean energy technology transfer [14]. They found that policy distance among OECD countries has a significant impact on technology transfer and diffusion [14]. While Corrocher and Mancusi (2021) explored the impact of environmental policy differences on cooperation, they did not incorporate policy spillover effects into the payoff function [11]. As mentioned earlier, in reality, the “domestic content” requirements of the U.S. Inflation Reduction Act (IRA) have exerted negative spillovers, increasing the export costs of Chinese photovoltaic modules to the United States and producing a significant impact on international cooperation in green energy.
Secondly, compared with fossil fuel technology innovation, green energy technology innovation is characterized by high sunk costs, long payback periods, and greater uncertainty. A large number of studies have disassembled the green energy technology innovation process and investigated the segmentation of the process from technology introduction, technology investment and financing, innovation incentives, innovation performance evaluation, and invention patent [21,22,23,24,25]. However, these studies have neglected the “double externality” that characterizes the introduction and diffusion phases of green energy technology innovations [26]. Considering the reality that a single country or a part of the region cannot solve the global energy problem, our study incorporates the characteristics of “double externality” into the analytical framework by integrating policy spillover effects, which contrasts with previous models that overlook bilateral policy impacts. This approach enables us to propose more practical and guiding solutions and pathways for the diffusion of green energy technological innovations.
2.2. Evolutionary Games and Green Energy International Cooperation
International energy cooperation is a long-term process involving multiple countries and stakeholders, often influenced by factors such as energy policies and technological development [3,16,27]. The strategies adopted by countries in energy cooperation are driven by historical experiences, mutual influences, and environmental changes, exhibiting dynamic characteristics. Evolutionary game theory provides a robust analytical framework for this context. Specifically, evolutionary game theory is a theoretical framework for studying the dynamic evolution of group behavior. By modeling the dynamic adaptation of strategies over time, evolutionary game theory has become an effective tool for understanding the increasingly complex evolution of cooperative behaviors in energy systems [28]. It effectively simulates countries’ strategic adjustments and evolutionary paths in long-term interactions, revealing the dynamic equilibrium between cooperation and competition. Additionally, evolutionary game theory emphasizes participants’ learning and imitation behaviors [29,30], which aligns with the real-world scenario where countries draw on others’ experiences and adjust their strategies in international energy cooperation. Based on this analytical framework, existing studies have explored areas such as cooperative innovation, technology adoption and diffusion, and energy structure transformation [31,32,33,34,35,36], yielding fruitful results.
2.3. Complex Network Theory
However, the analytical framework based on traditional evolutionary game theory has the following limitations: Firstly, traditional evolutionary game theory usually assumes that individuals in clusters are connected in a uniformly mixed manner, but in reality, especially in international cooperation, the interactions between individuals often exhibit specific topological network characteristics, and these intricate network structures are, on the one hand, an embodiment of the complex relationships in international cooperation, and on the other hand, an important channel for green energy technology diffusion [37,38]. Secondly, the traditional evolutionary game theory pays more attention to the individual’s interest maximization and its decision-making law, but pays less attention to the imitation and learning process among clusters [39,40]. From the literature review in Section 2.1, it can be seen that the solutions and paths based on the diffusion of green energy technological innovations are both the gaps in existing research and the focus of our analysis in this paper.
In fact, groups within complex social systems often exhibit specific hierarchical structures and functional differentiation, with their strategic evolution patterns closely intertwined with network topological features [41]. Complex network theory can precisely characterize the structural correlations (e.g., node degree, clustering coefficient) and functional coupling (e.g., information transmission, resource flow) of such systems, thereby providing a quantitative tool to reveal the diffusion mechanisms and evolutionary laws of group behaviors [42]. This methodology has demonstrated significant effectiveness in research on international cooperation for green energy technologies, regional low-carbon transition networks, and other domains. For example, Zhao et al. established a three-stage evolutionary game model and explored the promoting effect of government subsidies on the diffusion of NEVs (New Energy Vehicles) within four complex network structures [43]. Yu et al. established a dual-layer complex network to characterize the asymmetric competition and cooperation structure, and developed an evolutionary game model on the network, revealing the diffusion patterns and trends of new energy technologies [44]. The above advancements indicate that the interdisciplinary integration of complex networks and evolutionary game theory offers an analytical tool with both theoretical depth and practical explanatory power for characterizing the nonlinear diffusion process of green energy technologies among heterogeneous groups. Based on this, we optimize the traditional evolutionary game model by leveraging complex network theory to deeply characterize the network characteristics of international green energy cooperation, thereby better unraveling the laws of technology diffusion.
3. The Model
The green energy technology innovation diffusion model in this paper includes three parts: the game model, network structure, and evolution rules. The green energy technology innovation diffusion game model is constructed, the basic assumptions are put forward, and the revenue matrix is constructed in the first part; the BA scale-free network (a complex network model proposed by Hungarian physicists Albert-László Barabási and Réka Albert in 1999, used to characterize network structures with “scale-free” properties in the real world), which is constructed to characterize the complex relationship of green energy international cooperation and the diffusion of green energy technology innovation, and the game relationship between clusters, is portrayed in the second part; and lastly, the updating rules of the game strategy are set.
3.1. Game Modeling
3.1.1. Problem Description
The problem of concern in our paper is the diffusion of green energy technology innovation; the main body of the game is randomly selected from the countries committed to the development of green energy technology, and there are a total of two strategy choices. One choice involves green energy technology innovation through green energy international cooperation, hereinafter referred to as cooperative innovation; the second is not to participate in the international cooperation of green energy, hereinafter referred to as independent innovation.
Without the loss of generality, we assume that independent innovation cannot realize the diffusion of green energy technology innovation, while cooperative innovation can realize the diffusion of green energy technology innovation through the complementarity of green energy technologies and the sharing of resources. Therefore, unless otherwise specified, the diffusion of green energy technology innovation refers to the process in which countries committed to the development of green energy technology decide whether or not to collaboratively innovate through competitive games and interest trade-offs in a complex network structure. The individual player learns the strategy by playing with the neighboring nodes in the network, and his/her decision finally determines the degree of diffusion of green energy technology innovation.
3.1.2. Basic Assumptions
Hypothesis 1.
Basic gains.
For the game subjects, the basic benefits, direct benefits, and cooperative benefits are the three main types of benefits they can obtain from green energy technology innovation. The basic gain refers to the gain of green energy technology innovation independently, and the direct gain refers to the gain of absorbing the other party’s technological advantage in green energy technology innovation and using it to improve their own green energy technology level, so when the game partner chooses the strategy of cooperative innovation, the main body of the game can obtain the direct gain. The cooperative gain refers to the gain generated by knowledge integration and cooperative innovation when both parties choose cooperative innovation. The above gains are affected by parameters such as the degree of technology sharing, technology absorption capacity, and technology heterogeneity.
Hypothesis 2.
Costs and risks.
Cooperative innovation also incurs certain costs, which are related to the degree of technology sharing, cost coefficients, and the level of green energy technology. In addition, the game subjects also face three types of risks, respectively: the risk of technology leakage, the risk of opportunism, and the risk of technological obsolescence. Technology leakage risk refers to the risk of the loss of a proprietary knowledge advantage and leakage of core technology in cooperative innovation. Opportunism risk refers to the risk to partners due to one party’s free-riding in cooperative innovation; without the loss of generality, we assume that due to the existence of technological barriers, the independent innovation of green energy technology is of little effect. Finally, technological obsolescence risk refers to the technological level of green energy technology that is not able to be achieved when both parties of the game choose to innovate independently.
Hypothesis 3.
Bilateral policy uncertainty.
Collaborative innovation is not only affected by policy uncertainty in the home country, but also by policy changes in partner countries, which can have a significant impact. With reference to quantitative studies on environmental policies [11,14], policy intensity is normalized to the interval of to facilitate cross-policy-type comparisons. When , government policy is formulated with geopolitical policy and anti-globalization, and government policy creates negative incentives for cooperative innovation and the diffusion of green energy technological innovations; when , government policy is formulated with globalization and win–win cooperation, and government policy creates positive incentives for cooperative innovation and the diffusion of green energy technological innovations; and when , the government is neutral towards international cooperation in green energy. The larger the absolute value of is, the stronger the government policy intervention is. Taking into account the degree of economic interaction between countries, in reference [23], policy spillovers are normalized to an asymmetric interval of [0,1]. is used to characterize the degree of influence of partner countries’ policies on their own green energy technology innovation activities, referred to as the policy spillover effect.
3.1.3. Basic Parameters
Based on the above assumptions, the basic parameters and their value ranges are shown in the following Table 1.
Table 1.
Basic parameters.
3.1.4. Payoff Matrix Construction
Based on the strategy combinations, there are four scenarios in the game model, cooperative innovation, cooperative innovation (CC), cooperative innovation, independent innovation (CI), independent innovation, cooperative innovation (IC), and independent innovation, independent innovation (II). The intuitive mapping of payoff matrix entries is specifically as follows (Table 2):
Table 2.
Intuitive mapping of payoff matrix entries.
Based on the above discussion, the payoff matrix of the game model is shown in the following Table 3.
Table 3.
Payoff matrix.
3.2. Network Structure
Scale-free networks can reveal the self-growth and meritocracy characteristics exhibited by complex networks in the evolution process, which coincides with the adoption and diffusion process of green energy technology innovation. Therefore, our paper adopts a scale-free network to simulate the diffusion process of green energy technology innovation. Based on this, a green energy technology innovation diffusion network is constructed, , where denotes countries in the network, and denotes the set of relationships (edges) between countries in the network. The expression is as follows:
where denotes the relationship between node and node . If is a neighbor of , then ; otherwise, .
3.3. Evolution Rules
In each evolutionary cycle, each node plays a game with its neighbors, and the payoff of each player is the cumulative sum of the payoffs from its games with all its neighbors. Each node in the scale-free network has a pure strategy, and during the evolution process, converts its decision by comparing the strategies and gains of itself and its neighboring firms in the previous evolution time period and according to the Fermi Dirac rule, i.e., the probability that node follows the strategy that yields the maximum gain at the end of each round of the game is as follows:
Among the variables, represents the probability of node imitating the strategy of , and represent the cumulative benefits of node and node , and represents environmental noise, which is used to characterize the degree of irrationality of node . When , it represents that node tends to be rational, and node will only imitate the strategies of high-yield neighbors. As increases, the rationality of node decreases, and the possibility of node imitating the strategies of low-yield neighbors increases.
4. Simulation and Result Analysis of Diffusion of Green Energy Technology
4.1. Simulation Steps
Based on the above model settings and combined with existing research paradigms, the evolution process and results of green energy technology innovation diffusion on a scale-free network are analyzed using MATLAB R2024b. The analysis can be divided into the following four steps.
Step 1: Initialize a scale-free network containing nodes as the initial network;
Step 2: Randomly allocate the initial strategy to each node f in the network and set the parameter values of the game payment matrix;
Step 3: Conduct a game where node randomly selects neighboring nodes for profit comparison and updates the strategy according to the Fermi Dirac rule;
Step 4: Repeat step 3 until the predetermined number of games is reached and report the average to reduce errors caused by the random process.
4.2. Initial Parameterization
In January 2025, during Abu Dhabi Sustainability Week, the United Arab Emirates (UAE), Italy, and Albania signed a tripartite cross-border green energy cooperation agreement. The plan is to invest EUR 1 billion in building a gigawatt-scale solar–wind–storage project in Albania, which combines photovoltaic (PV), wind, and energy storage solutions. The generated power will be transmitted to Italy via a 430 km submarine cable across the Adriatic Sea. In this collaboration, the UAE contributes its photovoltaic technology, Albania provides wind energy resources, and Italy serves as the mature market counterpart. However, as a technology-catching-up nation, Albania faces challenges such as the spillover effects of the EU’s carbon tariff policies and risks of technology leakage. These issues exemplify the complex interactive scenario of “technological complementarity-policy coordination-risk management” that our study aims to address.
Based on the above case, we further construct a complex network for simulation research. The main basis for setting the initial parameters is as follows: certain parameters are drawn from public data of the International Energy Agency (IEA), United Nations Environment Programme (UNEP), etc., including , , , , and , and parameters such as , , , and follow the existing research and data in the actual market [3,9,14,20]. Adjustments and proofreading according to the opinions of experts in relevant fields are performed, and finally, the final data set for simulation analysis is formed. The initial values of the parameters are shown in Table 4.
Table 4.
Initial parameter settings.
4.3. Analysis of Simulation Results
4.3.1. Influence of Simulation Experiment Scale on the Diffusion of Green Energy Technology Innovation
Let . The impact of the simulation experiment scale on the diffusion of green energy technology innovation is shown in Figure 2. As the scale of simulation experiments increases, the overall trend of green energy technology innovation diffusion remains unchanged, indicating that the simulation analysis results exhibit statistical robustness.
Figure 2.
Influence of simulation experiment scale on diffusion of green energy technology innovation.
4.3.2. Influence of Technological Features on the Diffusion of Green Energy Technology Innovation
Let . The influence path of the technology synergy effect on the diffusion of green energy technology innovation is shown in Figure 3. With the increase in , the degree of diffusion of green energy technological innovation shows a gradual upward trend, and the degree of influence of shows the characteristic of a marginal increment, that is, with the enhancement of technological synergies, the increase in the degree of diffusion of green energy technological innovation becomes significantly larger. Let . The influence path of technical heterogeneity on the diffusion of green energy technology innovation is shown in Figure 4. With the increase in , the degree of diffusion of green energy technology innovation first presents a gradual upward trend; when exceeds a specific threshold, the degree of diffusion of green energy technology innovation reaches a stable state, and its stable state is no longer subject to changes in the value of .
Figure 3.
Influence of technological synergy on diffusion of green energy technology innovation.

Figure 4.
Influence of technological heterogeneity on diffusion of green energy technology innovation.
The reason for this is that the effectiveness of the diffusion of green energy technology innovation does not only depend on whether the international cooperation on green energy is achieved or not, but also depends on the degree of gain brought by the cooperation to both parties. If the green energy technologies of both parties can realize effective technological synergy and complementary advantages, cooperative innovation is a high-yield matter, where for both parties. For example, in the tripartite cooperation agreement among the United Arab Emirates (UAE), Italy, and Albania mentioned in the introduction, the UAE’s photovoltaic (PV) technology and Albania’s wind energy resources exemplify a classic case of “effective technological synergy”. The seasonal complementarity between PV power (peaking at 12:00–15:00) and wind power (peaking at 20:00–24:00) generates a “1 + 1 > 2” effect, reducing the annual power curtailment rate by 35% and increasing project revenue by EUR 350 million—this directly validates the model’s prediction that complementary technologies enhance cooperative gains.
However, if the degree of heterogeneity between green energy technologies is too high, it will be difficult for both parties to find more common interests and areas of technological interaction, and it will be impossible to find new points of interest, so cooperative innovation will be reduced to an empty shell with a name but no reality, and the diffusion of green energy technological innovations will become a “theoretical carnival”. A similar mechanism is also reflected in the stalled green hydrogen cooperation between Germany and South Africa: there exists systemic heterogeneity between Germany’s pushed cross-border green hydrogen pipeline transportation technology and South Africa’s brown coal-based blue hydrogen production route. The former relies on the “zero-carbon attribute” of renewable energy-based water electrolysis, while the latter requires supporting carbon capture and storage (CCS) technology. Conflicts between the two sides over EU carbon tariff rules and technical certification systems directly led to the project being shelved.
Essentially, the results of the model analysis and the above cases show that technical heterogeneity and technological synergy effects can make cooperative innovation a mutually beneficial win–win outcome when both are within appropriate ranges. Conversely, extreme technical heterogeneity and insufficient synergy effects will lead to the collapse of cooperation. These conclusions help us effectively distinguish between “substantive cooperation” and “superficial agreements”, and thus implement targeted measures.
4.3.3. Influence of Policy Uncertainty on the Diffusion of Green Energy Technology Innovation
To better characterize the interaction between policy spillover effects and policy uncertainty, based on the findings in the literature [11,14], we constructed two types of scenarios: (low policy spillover effect), (high policy spillover effect).
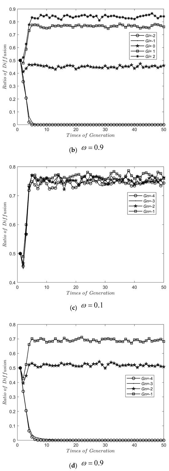
Figure 5 illustrates the impact of policy uncertainty on the diffusion of green energy technology innovation, which contains four scenarios based on different policy combinations: a two-party favorable policy, a two-party non-favorable policy, a favorable policy of the home side and non-favorable policy of the partner side, and a favorable policy of the partner side and non-favorable policy of the home side. The specific analysis is shown below:


Figure 5.
Influence of policy uncertainty on diffusion of green energy technology innovation.
Figure 5a,b demonstrate the analysis of the scenarios under the two-party favorable policy and the two-party non-favorable policy. When both parties’ policies shift from non-favorable policies to favorable policies, the degree of diffusion of green energy technology innovation increases from 0 to 0.7–0.9, and the degree of diffusion is further increased with the increase in policy spillovers. Further, comparing Figure 5a,b shows that with the increase in policy spillover effects from 0.1 to 0.9, the diffusion results are still robust. Figure 5c,d demonstrate the scenario analysis under the favorable policy of the home side and non-favorable policy of the partner side. When the policy spillover effect is small, as shown in Figure 5c, the partner country’s non-favorable policy has a less negative impact on cooperative innovation, and the degree of diffusion of green energy technology innovation remains at a high level. When the policy spillover effect is large, as shown in Figure 5d, the diffusion level of green energy technology innovation gradually approaches 0 as the partner country’s non-favorable policy increases. Figure 5e,f show the analysis of scenarios under the favorable policy of the partner side and non-favorable policy of the home side. When the policy spillover effect is small, as shown in Figure 5e, the favorable policies of partner countries are difficult to offset with the inhibitory effect of their own non-favorable policies on the diffusion of green energy technological innovation, and the degree of diffusion of green energy technological innovation will tend to be close to 0. On the contrary, when the policy spillover effect is large, as shown in Figure 5f, the degree of diffusion of green energy technological innovation will be elevated from 0 to a higher level.
The reason for this finding is that, in a certain sense, the relationship between the utility of green energy international cooperation and green energy technology innovation activities (the explanatory variables) and the relevant explanatory variables such as policy type and policy intensity presents a closely related and complex and variable function, while the policy spillover effect plays an important moderating role. When the two countries’ policies evolve in the same direction, the two countries form policy synergy, green energy international cooperation and green energy technology innovation activities will develop along the direction of policy synergy until they reach the policy expectations due to the behavioral law of being more sensitive to losses than gains, and the policy synergy of the negative policy incentives becomes greater. When the two countries’ policies evolve in the opposite direction, green energy international cooperation and green energy technology innovation activities are more sensitive to the policy incentives of the home country, green energy international cooperation and green energy technology innovation activities will evolve along the direction of the home country’s policy, and when the policy spillover effect is larger, the partner country’s policy can break through the home country’s policy barriers by virtue of the two countries’ complex network of relationships in the economy, trade, policy, and other aspects, so that the policy will be more effective and efficient. When the policy spillover effect is large, the partner country’s policy can break through its own policy barriers by virtue of the complex network of economic, trade, and policy relations between the two countries, thus exerting a heterogeneous pulling effect on the evolution of green energy international cooperation and green energy technology innovation activities. For example, under the EU’s Carbon Border Adjustment Mechanism (CBAM), starting in 2026, imported steel, cement, aluminum, and other products into the EU must pay carbon emission differences based on EU carbon prices. This policy drives exporting countries to adjust production methods through negative incentives (increased carbon costs). As a neighbor of the EU, Albania’s power, steel, and other export industries are directly affected by the CBAM. Thus, Albania has taken the initiative to adjust its technological roadmap to avoid future losses. By using Italy as a “mature market intermediary”, Albania transmits green electricity to the EU and uses RCEP rules to partially offset carbon tariff barriers, providing a viable path for countries facing policy uncertainties in international green energy cooperation.
In the current era of surging deglobalization trends, the above framework transforms the abstract models of complex network theory into actionable cooperation strategies. It not only addresses the epochal proposition of “how to sustain technology diffusion amid policy oppositions” but also reveals a critical law: the resilience of international technological cooperation does not stem from policy convergence but from the structured management of heterogeneity. Whether it is Albania breaking through carbon tariff barriers via Italian intermediaries or Chinese photovoltaic enterprises circumventing U.S. tariff policies by leveraging Southeast Asian markets, their essence lies in utilizing the nonlinear characteristics of policy spillover effects to identify “orderly windows” for cooperation within the “chaotic system” of policy conflicts. This transformation from theoretical models to practical frameworks not only provides a “crisis response toolkit” for green energy cooperation but also conveys methodological insights to international collaboration on all global issues.
4.3.4. Influence of Risk Mechanisms on the Diffusion of Green Energy Technology Innovation
Figure 6a–c demonstrate the impact of the technology obsolescence risk, free-riding risk, and technology leakage risk on the diffusion of green energy technology innovations, in that order. Figure 6a demonstrates the impact of the technology obsolescence risk on the diffusion of green energy technology innovation. With the increase in the technology obsolescence risk, the degree of green energy technology innovation diffusion will gradually increase, but the degree of increase shows a marginal decreasing trend. Figure 6b demonstrates the impact of free-riding on the diffusion of green energy technology innovation. As the damage of free-riding behavior to partners increases, the decline in the degree of diffusion of green energy technological innovation shows a significant marginal incremental characteristic and is ultimately maintained at a lower level. Figure 6c demonstrates the impact of the technology leakage risk on the diffusion of green energy technology innovation. As the risk of technological leakage increases, the diffusion of green energy technology innovation will change from the “full diffusion” state to the “no diffusion” state.
Figure 6.
Influence of risk mechanisms on the diffusion of green energy technology innovation. (a) Influence of technology obsolescence risk on diffusion of green energy technology innovation. (b) Influence of free-riding on diffusion of green energy technology innovation. (c) Influence of technology leakage risk on diffusion of green energy technology innovation.
The reason is that in the context of green energy technology, a race of innovation and iterative upgrading is emerging. In the case of not having the first-mover advantage of technological innovation and given that the technological elimination of the risk is increasing daily through the green energy international cooperation in green energy technological innovation, in order to complete the technological locking and master the technological innovation of the late advantage, the vast number of countries realize that the green energy technology “bend the road to overtake” path is the only path. Due to the existence of the phenomenon of “free-riding”, the technologically backward member countries will make even less of a contribution to cooperative innovation, and the logic of value creation based on win–win cooperation will be replaced by the opportunism of “Reap where one has not sown”. Cooperation and innovation will be reduced to a one-time “handshake agreement”. For example, in 2022, when South Korean companies such as LG Energy Solution and SK-ON collaborated with U.S. automakers like General Motors and Ford, the American side requested sensitive technical information from the Korean parties, including battery test data and material density, under the pretext of “confirming battery safety”. Meanwhile, Samsung SDI’s refusal to share battery technology details with U.S.-based Rivian led to the collapse of cooperation negotiations.
The existence of the risk of technical leakage will turn collaborative innovation into a “hunt” by those in a lower position against those in a higher position. Under the influence of the “crowding out” effect, although withdrawing from international energy cooperation will slow down the progress of technological innovation activities by those who possess advanced technologies, it will also save them from becoming “a lamb walking towards the slaughterhouse”. At this time, not participating in collaborative innovation will become the advanced wisdom of those who possess advanced technologies. As for those in a lower position, the only path to achieving a “leapfrog development” in green energy technologies will be blocked by their own greedy strategies. Moreover, it is difficult to achieve rapid technological breakthroughs through independent innovation. At this moment, those in a lower position will find themselves in a dilemma, caught between a rock and a hard place.
The “free-riding” phenomenon and other opportunistic behaviors is essentially the result of the absence of institutional constraints and the technological dependency trap in international cooperation. Against the backdrop of the green energy technology iteration cycle being shortened to 3–5 years, technologically backward countries face the existential pressure of “cooperate or be eliminated”. However, their limited R&D investment capabilities lead to the solidification of opportunistic behaviors. Ultimately, the sustainability of green energy technology cooperation essentially hinges on breaking free from the double fetters of “technological obsolescence risks and free-riding dilemmas” and “technical leakage risks”—the former stems from opportunism born of institutional constraints and technological dependency, while the latter is rooted in defensive gaming caused by technological disparities. This requires transcending the traditional one-way “technology transfer” model to build a three-dimensional cooperation framework encompassing institutional design, technological layering, and interest binding. Only through this can international green energy cooperation move beyond superficial “handshake agreements” to achieve the symbiosis of “technological locking” and “late-mover advantages”.
5. Research Findings and Management Implications
5.1. Research Findings
(1) The effectiveness of the diffusion of green energy technological innovation not only stems from whether international cooperation in green energy can be achieved, but also depends on the degree of benefits that the cooperation brings to both parties. The technological synergy effect and technological heterogeneity have a significant promoting effect on the diffusion of green energy technological innovation. Driven by technological synergy and complementary advantages, collaborative innovation is a high-yielding matter, with a result of for both parties. However, when the technological heterogeneity is too high, it will be difficult for the two parties to find more common interest points and technological interaction areas, let alone new growth points of interests. As a result, collaborative innovation will degenerate into an empty shell that exists only in name but not in reality, and the diffusion of green energy technological innovation will also turn into a “theoretical carnival”.
(2) Policy uncertainty has a remarkable impact on the diffusion of green energy technological innovation. The specific influence depends on key parameters such as the type of policy, the intensity of the policy, and the policy spillover effect. When the policies of two countries evolve in the same direction, international cooperation in green energy and green energy technological innovation activities will develop along the direction of the combined force of the policies until the policy expectations are met. Notably, the combined force of policies with negative incentives is even greater. When the policies of two countries evolve in opposite directions, international cooperation in green energy and green energy technological innovation activities will progress following the policy orientation of their respective countries. Moreover, when the policy spillover effect is significant, the policies of partner countries can break through the policy barriers of their own countries, thereby exerting a pulling effect in the opposite direction on the evolution of international cooperation in green energy and green energy technological innovation activities.
(3) The risk of technological obsolescence motivates numerous countries to deeply engage in international cooperation in green energy, thus achieving a “leapfrog development” in green energy technologies based on technological lock-in and the latecomer advantage. Due to the existence of the “free-rider”, the logic of value creation based on win–win cooperation has been replaced by the opportunism of “reap where one has not sown”. As a result, collaborative innovation has degenerated into a one-time “handshake agreement”. The risk of technological leakage will transform collaborative innovation into a “hunt” by those in a lower position against those in a higher position. Withdrawing from international energy cooperation will become advanced wisdom. For those in a lower position, the only path to achieving a “leapfrog development” in green energy technologies will be blocked by their own greedy strategies. Moreover, it is difficult to achieve rapid technological breakthroughs through independent innovation. At this moment, those in a lower position will find themselves in a dilemma, caught between a rock and a hard place.
5.2. Management Implications
(1) It is important to seek partners with moderate technological heterogeneity and explore mechanisms for technological synergy and result transformation. First, when conducting international cooperation in green energy and screening potential partners, it is necessary to conduct an in-depth assessment of the technical characteristics, research and development directions, and the degree of compatibility between the two parties. It is important to actively search for partners whose technological heterogeneity is within a moderate range, so as to fully leverage the synergistic effects and complementary advantages brought about by technological interaction. It is important to avoid choosing partners with excessively high technological heterogeneity to prevent the difficulty of forming an effective value co-creation relationship. In low-heterogeneity scenarios, where technologies are compatible, policymakers should prioritize deepening synergistic integration through measures like establishing joint R&D funds and implementing performance-based profit-sharing mechanisms. In medium-heterogeneity contexts, adaptive collaboration frameworks are key, including regional technology adaptation platforms and phased risk-sharing mechanisms. In high-heterogeneity cases where technologies are incompatible, third-party intermediation and technological layering strategies are essential, such as fostering neutral tech transfer hubs and implementing escrow-based technology release systems. Integrating intermittent energy sources with technologies that ensure a reliable energy supply while making positive environmental contributions—such as electrolyzers, batteries, or the catalytic reduction of carbon-containing greenhouse gases—offers viable solutions to the economic challenges and intermittency issues in the green energy transition. These systems can reduce existing pollutants and mitigate carbon emissions from ongoing fossil fuel use, thereby addressing both environmental and economic hurdles in transitioning to sustainable energy [45,46]. Across all scenarios, institutional safeguards like blockchain-based IP tracking systems and dynamic incentive calibration (e.g., R&D investment bonuses, tariff reductions for technology adopters) are critical to prevent collaboration from devolving into “theoretical carnivals”. By tailoring these policies to the specific dynamics of technological synergy and heterogeneity, green energy partnerships can transcend superficial agreements to deliver tangible, shared innovation outcomes.
(2) It is important to incorporate policy uncertainty into the analytical framework of international cooperation in green energy and the diffusion of green energy technological innovation, and flexibly adjust the cooperation strategy. Firstly, it is necessary to continuously track and conduct an in-depth analysis of the relevant policies of potential partners in the fields of green energy and international cooperation. It is important to comprehensively evaluate the degree of policy uncertainty and policy spillover of partners around key areas such as the domestic market, technological development, and the industrial chain, and formulate response strategies for different policy scenarios in advance. When policy directions are opposite and spillover effects are weak, cooperation is prone to falling into the trap of “domestic policy dominance”. In such cases, it is necessary to establish third-party policy buffering mechanisms and set up supporting flexible technical standard adaptation centers to protect resources and core competitiveness while awaiting improvements in the policy environment, so as to avoid external policies from inhibiting the diffusion of green energy technological innovation. In scenarios with significant policy spillover effects, it is essential to strengthen policy mutual recognition and cross-border transmission mechanisms, formulate expansionary strategies to increase investments in cooperation projects, leverage mutual recognition agreements to reduce institutional barriers, use transmission platforms to solidify policy dividends, and amplify synergistic effects through leveraged investments.
(3) It is important to improve the cooperation mechanism and risk prevention mechanism. In the cooperation agreement, it is important to list in detail the specific responsibilities of both parties in various aspects such as technological research and development, resource investment, and market expansion, as well as the expected phased achievements. It is important to establish contribution-based funding frameworks and deploy blockchain-based innovation credit ledgers to track patent contributions, data sharing, and risk management, automating penalties for low-effort participants. It is important to establish a technology confidentiality system centered on technology classification and grading standards, technology access rights, and technology monitoring and early warning systems to ensure that various technologies are properly protected during the cooperation process. By embedding these measures into a “commitment-transparency-reciprocity” framework, stakeholders can transform predatory dynamics into structured collaboration, ensuring that green energy cooperation remains a ladder for leapfrog development rather than a casualty of asymmetric incentives.
This article studied the relationship between the network topological structure and international cooperation in green energy from the perspective of a static network, but it did not explore how international cooperation in green energy affects and reshapes the relationship network between countries and the network structure of international cooperation. In the future, research can be carried out by adopting the method of dynamic network evolutionary games, incorporating the interactive influence between international cooperation in green energy and the diffusion of green energy technological innovation into the analytical framework.
Author Contributions
All authors contributed to the study conception and design. All authors commented on previous versions of the manuscript. Y.L.: methodology and writing—original draft. J.W.: writing—review and editing. X.-P.W.: writing—review and editing. All authors have read and agreed to the published version of the manuscript.
Funding
This work was supported by Xi’an University of Science and Technology’s Plan for the Prosperity of Philosophy and Social Sciences (Grant number: 2024SY04, 2024SY05).
Data Availability Statement
Data can be obtained from the corresponding author upon reasonable request.
Conflicts of Interest
Jun Wu was employed by the Shaanxi Coal Industry Co., Ltd. The remaining authors declare that the research was conducted in the absence of any commercial or financial relationships that could be construed as a potential conflict of interest.
References
- Xu, Y.; Zhao, F. Impact of energy depletion, human development, and income distribution on natural resource sustainability. Resour. Policy 2023, 83, 103531. [Google Scholar] [CrossRef] [PubMed]
- Rodriguez-Gonzalez, P.T.; Rico-Martinez, R.; Rico-Ramirez, V. An integrated stochastic economic-ecological-social model with stratified-population. Ecol. Model. 2018, 368, 15–26. [Google Scholar] [CrossRef]
- Wang, X.-P.; Zhang, Z.-M.; Guo, Z.-H.; Su, C.; Sun, L.-H. Energy structure transformation in the context of carbon neutralization: Evolutionary game analysis based on inclusive development of coal and clean energy. J. Clean. Prod. 2023, 398, 136626. [Google Scholar] [CrossRef]
- Gao, D.; Tan, L.; Chen, Y. Unlocking Carbon Reduction Potential of Digital Trade: Evidence from China’s Comprehensive Cross-border E-Commerce Pilot Zones. Sage Open 2025, 15, 21582440251319966. [Google Scholar] [CrossRef]
- Gao, D.; Tan, L.; Duan, K. Forging a path to sustainability: The impact of Fintech on corporate ESG performance. Eur. J. Financ. 2024, 1–19. [Google Scholar] [CrossRef]
- Lei, W.; Yang, Z.; Zhou, Z.; Zou, S.; Lin, Y.; Zhu, J. A cost-effective chance-constrained programming approach for designing resilient CCUS networks under uncertainties and disruption risks. Ind. Manag. Data Syst. 2025. [Google Scholar] [CrossRef]
- Zhang, Y.; Hong, X.; Wang, Y. Study on the coupled and coordinated development and evolution of digital economy and green technology innovation. Sustainability 2023, 15, 8063. [Google Scholar] [CrossRef]
- Hui, Y.; Wang, M.; Guo, S.; Akhtar, S.; Bhattacharya, S.; Dai, B.; Yu, J. Comprehensive review of development and applications of hydrogen energy technologies in China for carbon neutrality: Technology advances and challenges. Energy Convers. Manag. 2024, 315, 118776. [Google Scholar] [CrossRef]
- Zhao, X.; Huang, W. Global geopolitical changes and new/renewable energy game. Energies 2024, 17, 4115. [Google Scholar] [CrossRef]
- Jiang, Q.; Ma, X.; Wang, Y. How does the one belt one road initiative affect the green economic growth? Energy Econ. 2021, 101, 105429. [Google Scholar] [CrossRef]
- Corrocher, N.; Mancusi, M.L. International collaborations in green energy technologies: What is the role of distance in environmental policy stringency? Energy Policy 2021, 156, 112470. [Google Scholar] [CrossRef]
- Hanif, W.; El Khoury, R.; Arfaoui, N.; Hammoudeh, S. Are interconnectedness and spillover alike across green sectors during the COVID-19 and the Russia-Ukraine conflict? Energy Econ. 2025, 144, 108293. [Google Scholar] [CrossRef]
- Bazilian, M.; Bradshaw, M.; Gabriel, J.; Goldthau, A.; Westphal, K. Four scenarios of the energy transition: Drivers, consequences, and implications for geopolitics. Wiley Interdiscip. Rev. Clim. Change 2020, 11, e625. [Google Scholar] [CrossRef]
- Verdolini, E.; Bosetti, V. Environmental policy and the international diffusion of cleaner energy technologies. Environ. Resour. Econ. 2017, 66, 497–536. [Google Scholar] [CrossRef]
- Chao, Y.; Deng, N.; Du, Y.; Yao, G.; Zhou, Z. Promoting carbon neutrality through ultra-low energy buildings in China: Evidence from evolutionary game theory. Habitat Int. 2025, 156, 103281. [Google Scholar] [CrossRef]
- Yu, D.; Gu, B.; Zhu, K.; Yang, J.; Sheng, Y. Risk analysis of China’s renewable energy cooperation with belt and road economies. Energy 2024, 293, 130664. [Google Scholar] [CrossRef]
- del Rio, P.; Unruh, G. Overcoming the lock-out of renewable energy technologies in Spain: The cases of wind and solar electricity. Renew. Sustain. Energy Rev. 2007, 11, 1498–1513. [Google Scholar] [CrossRef]
- Quitzow, R.; Zabanova, Y. Geoeconomics of the transition to net-zero energy and industrial systems: A framework for analysis. Renew. Sustain. Energy Rev. 2025, 214, 115492. [Google Scholar] [CrossRef]
- Wetzel, M.; Gils, H.C.; Bertsch, V. Green energy carriers and energy sovereignty in a climate neutral European energy system. Renew. Energy 2023, 210, 591–603. [Google Scholar] [CrossRef]
- Veugelers, R. Which policy instruments to induce clean innovating? Res. Policy 2012, 41, 1770–1778. [Google Scholar] [CrossRef]
- Cao, X.; Hayyat, M.; Henry, J. Green energy investment and technology innovation for carbon reduction: Strategies for achieving SDGs in the G7 countries. Int. J. Hydrogen Energy 2025, 114, 209–220. [Google Scholar] [CrossRef]
- Lyu, R.; Zhang, C.; Li, Z.; Zou, X. Impact of regulatory intervention on green technology and innovation investment of the NEV automaker. Comput. Ind. Eng. 2023, 184, 109439. [Google Scholar] [CrossRef]
- Johnstone, N.; Hascic, I.; Popp, D. Renewable energy policies and technological innovation: Evidence based on patent counts. Environ. Resour. Econ. 2010, 45, 133–155. [Google Scholar] [CrossRef]
- Subhani, B.H.; Zunhuan, S.; Roni, N.N.; Farooq, U.; Khan, M.A. How environmental regulation imperatives introduce innovation in firm financing choice among selected asian economies. J. Clean. Prod. 2023, 427, 139194. [Google Scholar] [CrossRef]
- Gao, D.; Tan, L.; Chen, Y. Smarter is greener: Can intelligent manufacturing improve enterprises’ ESG performance? Humanit. Soc. Sci. Commun. 2025, 12, 529. [Google Scholar] [CrossRef]
- Rennings, K. Redefining innovation—Eco-innovation research and the contribution from ecological economics. Ecol. Econ. 2000, 32, 319–332. [Google Scholar] [CrossRef]
- Bega, F.; Lin, B. China’s belt & road initiative energy cooperation: International assessment of the power projects. Energy 2023, 270, 126951. [Google Scholar] [CrossRef]
- Taroni, A. Metric of cooperation. Nat. Phys. 2018, 14, 7. [Google Scholar] [CrossRef]
- Gao, J.; Tan, Q.; Cui, B. Evolutionary game analysis of new energy transition among government, traditional automobile enterprises, and research institutions under the dual carbon goals. Energies 2024, 17, 6029. [Google Scholar] [CrossRef]
- He, W.; Liu, R.; Han, T.; Zhang, J.; Lei, Y.; Xu, S.; Yu, H.; Li, Z. Cooperative construction of renewable energy and energy storage system: Research on evolutionary game model based on continuous strategy and random disturbance. Energies 2024, 17, 5858. [Google Scholar] [CrossRef]
- Yuan, N.; Li, M. Research on collaborative innovation behavior of enterprise innovation ecosystem under evolutionary game. Technol. Forecast. Soc. Change 2024, 206, 123508. [Google Scholar] [CrossRef]
- Luo, J.; Hu, M.; Huang, M.; Bai, Y. How does innovation consortium promote low-carbon agricultural technology innovation: An evolutionary game analysis. J. Clean. Prod. 2023, 384, 135564. [Google Scholar] [CrossRef]
- Feng, N.; Ge, J. How does fiscal policy affect the green low-carbon transition from the perspective of the evolutionary game? Energy Econ. 2024, 134, 107578. [Google Scholar] [CrossRef]
- Wang, X.; Guo, Z.; Zhang, Z.; Li, B.; Su, C.; Sun, L.; Wang, S. Game analysis of the evolution of energy structure transition considering low-carbon sentiment of the decision-makers in the context of carbon neutrality. Processes 2022, 10, 1650. [Google Scholar] [CrossRef]
- Su, C.; Zha, X.; Ma, J.; Li, B.; Wang, X. Dynamic optimal control strategy of CCUS technology innovation in coal power stations under environmental protection tax. Systems 2025, 13, 193. [Google Scholar] [CrossRef]
- Sun, L.; Li, X.; Su, C.; Wang, X.; Yuan, X. Analysis of dynamic strategies for decision-making on retrofitting carbon capture, utilization, and storage technology in coal-fired power plants. Appl. Therm. Eng. 2025, 264, 125371. [Google Scholar] [CrossRef]
- Delre, S.A.; Jager, W.; Bijmolt, T.H.A.; Janssen, M.A. Will It spread or not? The effects of social influences and network topology on innovation diffusion. J. Prod. Innov. Manag. 2010, 27, 267–282. [Google Scholar] [CrossRef]
- Wu, X.; Shu, E.; Ye, D.; Zhou, S.; Sun, H. Study on green packaging diffusion in logistics enterprise clusters based on complex network evolutionary game. J. Clean. Prod. 2025, 499, 145166. [Google Scholar] [CrossRef]
- Mansfield, E. Technical change and the rate of imitation. Econometrica 1961, 29, 741–766. [Google Scholar] [CrossRef]
- Reinganum, J.F. Market structure and the diffusion of new technology. Bell J. Econ. 1981, 12, 618–624. [Google Scholar] [CrossRef]
- Chen, F.; Wu, B.; Lou, W.-Q.; Zhu, B.W. Impact of dual-credit policy on diffusion of technology R & D among automakers: Based on an evolutionary game model with technology-spillover in complex network. Energy 2024, 303, 132019. [Google Scholar] [CrossRef]
- Yang, Y.; Yang, S.; Yang, Y.; Yun, X.; Wang, Y. Study on green transformation evolution of construction enterprises based on dissemination and complex network game. Sustainability 2024, 16, 10130. [Google Scholar] [CrossRef]
- Zhao, D.; Ji, S.-f.; Wang, H.-p.; Jiang, L.-w. How do government subsidies promote new energy vehicle diffusion in the complex network context? A three-stage evolutionary game model. Energy 2021, 230, 120899. [Google Scholar] [CrossRef]
- Yu, L.; Jiang, X.; He, Y.; Jiao, Y. Promoting the diffusion of new energy vehicles under dual credit policy: Asymmetric competition and cooperation in complex network. Energies 2022, 15, 5361. [Google Scholar] [CrossRef]
- Draz, U.; Di Bartolomeo, E.; Panunzi, A.P.; Laverdura, U.P.; Lisi, N.; Chierchia, R.; Duranti, L. Copper-enhanced CO2 electroreduction in SOECs. ACS Appl. Mater. Interfaces 2024, 16, 8842–8852. [Google Scholar] [CrossRef]
- Shi, X.; Peng, W.; Huang, Y.; Gao, C.; Fu, Y.; Wang, Z.; Yang, L.; Zhu, Z.; Cao, J.; Rao, F.; et al. Integrable utilization of intermittent sunlight and residual heat for on-demand CO2 conversion with water. Nat. Commun. 2024, 15, 10135. [Google Scholar] [CrossRef]
Disclaimer/Publisher’s Note: The statements, opinions and data contained in all publications are solely those of the individual author(s) and contributor(s) and not of MDPI and/or the editor(s). MDPI and/or the editor(s) disclaim responsibility for any injury to people or property resulting from any ideas, methods, instructions or products referred to in the content. |
© 2025 by the authors. Licensee MDPI, Basel, Switzerland. This article is an open access article distributed under the terms and conditions of the Creative Commons Attribution (CC BY) license (https://creativecommons.org/licenses/by/4.0/).