Research on the Diffusion of Green Energy Technological Innovation from the Perspective of International Cooperation
Abstract
1. Introduction
2. Literature Review
2.1. Green Energy International Cooperation and Technology Innovation
2.2. Evolutionary Games and Green Energy International Cooperation
2.3. Complex Network Theory
3. The Model
3.1. Game Modeling
3.1.1. Problem Description
3.1.2. Basic Assumptions
3.1.3. Basic Parameters
3.1.4. Payoff Matrix Construction
3.2. Network Structure
3.3. Evolution Rules
4. Simulation and Result Analysis of Diffusion of Green Energy Technology
4.1. Simulation Steps
4.2. Initial Parameterization
4.3. Analysis of Simulation Results
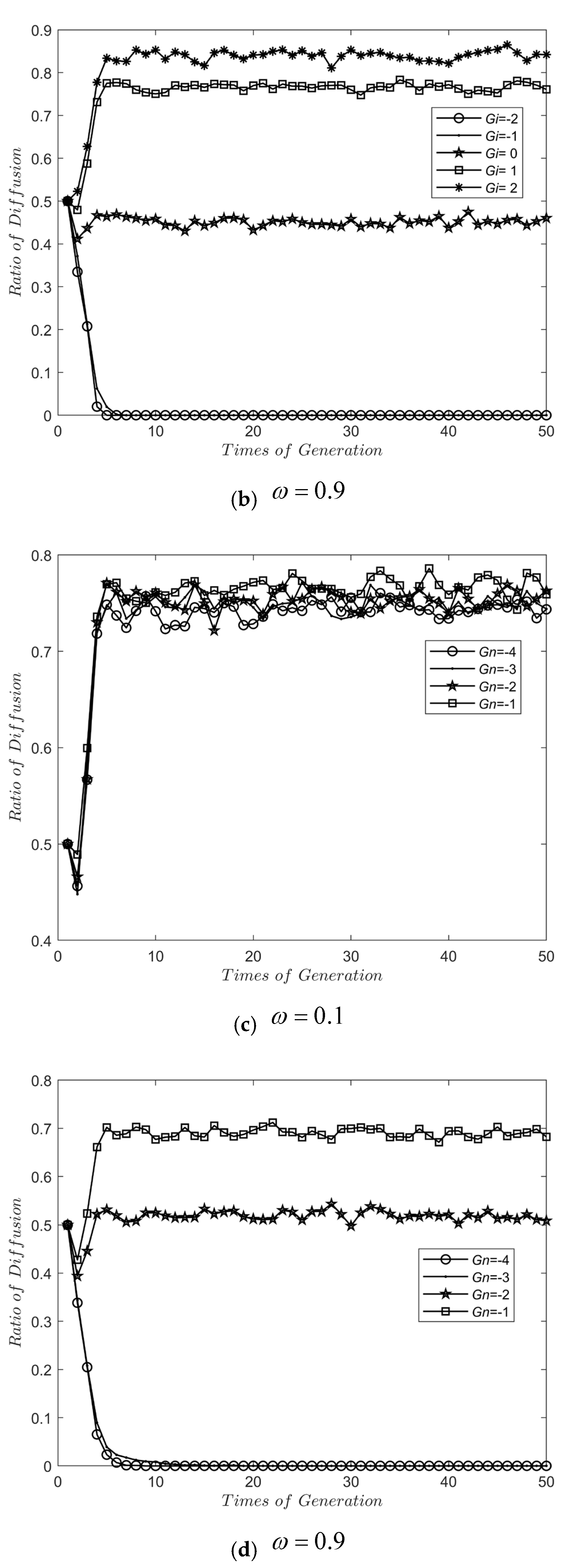
4.3.1. Influence of Simulation Experiment Scale on the Diffusion of Green Energy Technology Innovation
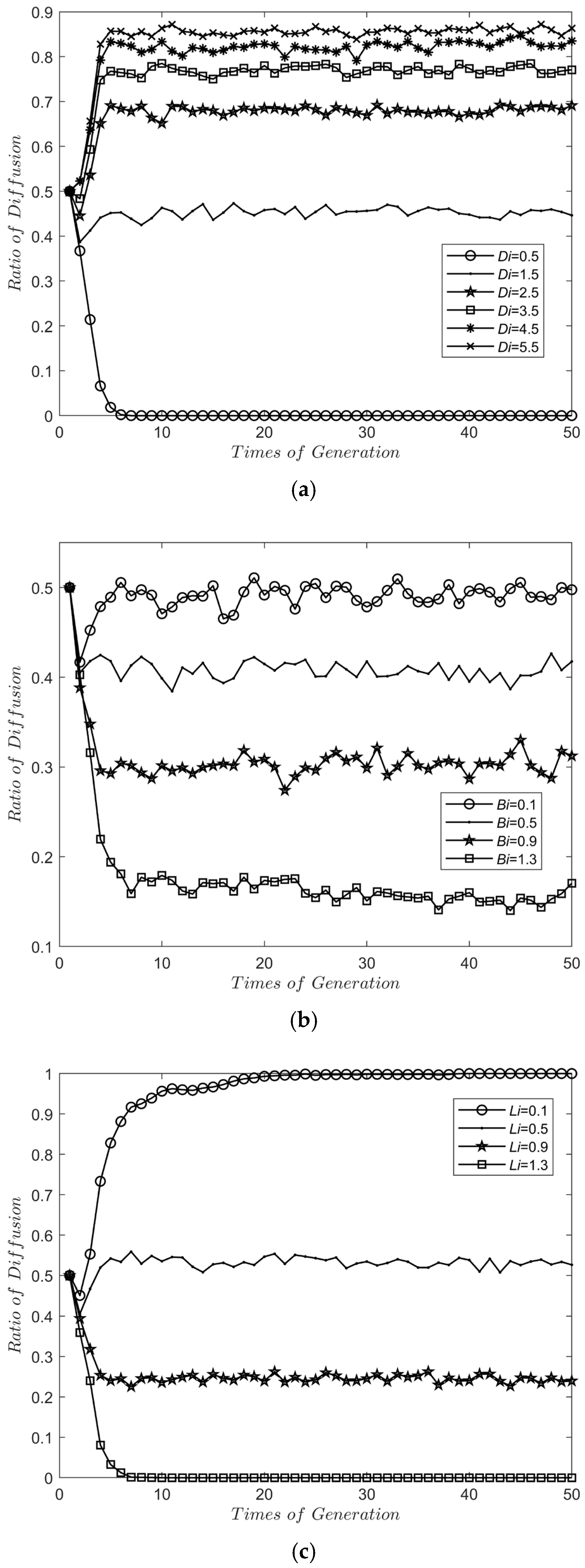
4.3.2. Influence of Technological Features on the Diffusion of Green Energy Technology Innovation
4.3.3. Influence of Policy Uncertainty on the Diffusion of Green Energy Technology Innovation
4.3.4. Influence of Risk Mechanisms on the Diffusion of Green Energy Technology Innovation
5. Research Findings and Management Implications
5.1. Research Findings
5.2. Management Implications
Author Contributions
Funding
Data Availability Statement
Conflicts of Interest
References
- Xu, Y.; Zhao, F. Impact of energy depletion, human development, and income distribution on natural resource sustainability. Resour. Policy 2023, 83, 103531. [Google Scholar] [CrossRef] [PubMed]
- Rodriguez-Gonzalez, P.T.; Rico-Martinez, R.; Rico-Ramirez, V. An integrated stochastic economic-ecological-social model with stratified-population. Ecol. Model. 2018, 368, 15–26. [Google Scholar] [CrossRef]
- Wang, X.-P.; Zhang, Z.-M.; Guo, Z.-H.; Su, C.; Sun, L.-H. Energy structure transformation in the context of carbon neutralization: Evolutionary game analysis based on inclusive development of coal and clean energy. J. Clean. Prod. 2023, 398, 136626. [Google Scholar] [CrossRef]
- Gao, D.; Tan, L.; Chen, Y. Unlocking Carbon Reduction Potential of Digital Trade: Evidence from China’s Comprehensive Cross-border E-Commerce Pilot Zones. Sage Open 2025, 15, 21582440251319966. [Google Scholar] [CrossRef]
- Gao, D.; Tan, L.; Duan, K. Forging a path to sustainability: The impact of Fintech on corporate ESG performance. Eur. J. Financ. 2024, 1–19. [Google Scholar] [CrossRef]
- Lei, W.; Yang, Z.; Zhou, Z.; Zou, S.; Lin, Y.; Zhu, J. A cost-effective chance-constrained programming approach for designing resilient CCUS networks under uncertainties and disruption risks. Ind. Manag. Data Syst. 2025. [Google Scholar] [CrossRef]
- Zhang, Y.; Hong, X.; Wang, Y. Study on the coupled and coordinated development and evolution of digital economy and green technology innovation. Sustainability 2023, 15, 8063. [Google Scholar] [CrossRef]
- Hui, Y.; Wang, M.; Guo, S.; Akhtar, S.; Bhattacharya, S.; Dai, B.; Yu, J. Comprehensive review of development and applications of hydrogen energy technologies in China for carbon neutrality: Technology advances and challenges. Energy Convers. Manag. 2024, 315, 118776. [Google Scholar] [CrossRef]
- Zhao, X.; Huang, W. Global geopolitical changes and new/renewable energy game. Energies 2024, 17, 4115. [Google Scholar] [CrossRef]
- Jiang, Q.; Ma, X.; Wang, Y. How does the one belt one road initiative affect the green economic growth? Energy Econ. 2021, 101, 105429. [Google Scholar] [CrossRef]
- Corrocher, N.; Mancusi, M.L. International collaborations in green energy technologies: What is the role of distance in environmental policy stringency? Energy Policy 2021, 156, 112470. [Google Scholar] [CrossRef]
- Hanif, W.; El Khoury, R.; Arfaoui, N.; Hammoudeh, S. Are interconnectedness and spillover alike across green sectors during the COVID-19 and the Russia-Ukraine conflict? Energy Econ. 2025, 144, 108293. [Google Scholar] [CrossRef]
- Bazilian, M.; Bradshaw, M.; Gabriel, J.; Goldthau, A.; Westphal, K. Four scenarios of the energy transition: Drivers, consequences, and implications for geopolitics. Wiley Interdiscip. Rev. Clim. Change 2020, 11, e625. [Google Scholar] [CrossRef]
- Verdolini, E.; Bosetti, V. Environmental policy and the international diffusion of cleaner energy technologies. Environ. Resour. Econ. 2017, 66, 497–536. [Google Scholar] [CrossRef]
- Chao, Y.; Deng, N.; Du, Y.; Yao, G.; Zhou, Z. Promoting carbon neutrality through ultra-low energy buildings in China: Evidence from evolutionary game theory. Habitat Int. 2025, 156, 103281. [Google Scholar] [CrossRef]
- Yu, D.; Gu, B.; Zhu, K.; Yang, J.; Sheng, Y. Risk analysis of China’s renewable energy cooperation with belt and road economies. Energy 2024, 293, 130664. [Google Scholar] [CrossRef]
- del Rio, P.; Unruh, G. Overcoming the lock-out of renewable energy technologies in Spain: The cases of wind and solar electricity. Renew. Sustain. Energy Rev. 2007, 11, 1498–1513. [Google Scholar] [CrossRef]
- Quitzow, R.; Zabanova, Y. Geoeconomics of the transition to net-zero energy and industrial systems: A framework for analysis. Renew. Sustain. Energy Rev. 2025, 214, 115492. [Google Scholar] [CrossRef]
- Wetzel, M.; Gils, H.C.; Bertsch, V. Green energy carriers and energy sovereignty in a climate neutral European energy system. Renew. Energy 2023, 210, 591–603. [Google Scholar] [CrossRef]
- Veugelers, R. Which policy instruments to induce clean innovating? Res. Policy 2012, 41, 1770–1778. [Google Scholar] [CrossRef]
- Cao, X.; Hayyat, M.; Henry, J. Green energy investment and technology innovation for carbon reduction: Strategies for achieving SDGs in the G7 countries. Int. J. Hydrogen Energy 2025, 114, 209–220. [Google Scholar] [CrossRef]
- Lyu, R.; Zhang, C.; Li, Z.; Zou, X. Impact of regulatory intervention on green technology and innovation investment of the NEV automaker. Comput. Ind. Eng. 2023, 184, 109439. [Google Scholar] [CrossRef]
- Johnstone, N.; Hascic, I.; Popp, D. Renewable energy policies and technological innovation: Evidence based on patent counts. Environ. Resour. Econ. 2010, 45, 133–155. [Google Scholar] [CrossRef]
- Subhani, B.H.; Zunhuan, S.; Roni, N.N.; Farooq, U.; Khan, M.A. How environmental regulation imperatives introduce innovation in firm financing choice among selected asian economies. J. Clean. Prod. 2023, 427, 139194. [Google Scholar] [CrossRef]
- Gao, D.; Tan, L.; Chen, Y. Smarter is greener: Can intelligent manufacturing improve enterprises’ ESG performance? Humanit. Soc. Sci. Commun. 2025, 12, 529. [Google Scholar] [CrossRef]
- Rennings, K. Redefining innovation—Eco-innovation research and the contribution from ecological economics. Ecol. Econ. 2000, 32, 319–332. [Google Scholar] [CrossRef]
- Bega, F.; Lin, B. China’s belt & road initiative energy cooperation: International assessment of the power projects. Energy 2023, 270, 126951. [Google Scholar] [CrossRef]
- Taroni, A. Metric of cooperation. Nat. Phys. 2018, 14, 7. [Google Scholar] [CrossRef]
- Gao, J.; Tan, Q.; Cui, B. Evolutionary game analysis of new energy transition among government, traditional automobile enterprises, and research institutions under the dual carbon goals. Energies 2024, 17, 6029. [Google Scholar] [CrossRef]
- He, W.; Liu, R.; Han, T.; Zhang, J.; Lei, Y.; Xu, S.; Yu, H.; Li, Z. Cooperative construction of renewable energy and energy storage system: Research on evolutionary game model based on continuous strategy and random disturbance. Energies 2024, 17, 5858. [Google Scholar] [CrossRef]
- Yuan, N.; Li, M. Research on collaborative innovation behavior of enterprise innovation ecosystem under evolutionary game. Technol. Forecast. Soc. Change 2024, 206, 123508. [Google Scholar] [CrossRef]
- Luo, J.; Hu, M.; Huang, M.; Bai, Y. How does innovation consortium promote low-carbon agricultural technology innovation: An evolutionary game analysis. J. Clean. Prod. 2023, 384, 135564. [Google Scholar] [CrossRef]
- Feng, N.; Ge, J. How does fiscal policy affect the green low-carbon transition from the perspective of the evolutionary game? Energy Econ. 2024, 134, 107578. [Google Scholar] [CrossRef]
- Wang, X.; Guo, Z.; Zhang, Z.; Li, B.; Su, C.; Sun, L.; Wang, S. Game analysis of the evolution of energy structure transition considering low-carbon sentiment of the decision-makers in the context of carbon neutrality. Processes 2022, 10, 1650. [Google Scholar] [CrossRef]
- Su, C.; Zha, X.; Ma, J.; Li, B.; Wang, X. Dynamic optimal control strategy of CCUS technology innovation in coal power stations under environmental protection tax. Systems 2025, 13, 193. [Google Scholar] [CrossRef]
- Sun, L.; Li, X.; Su, C.; Wang, X.; Yuan, X. Analysis of dynamic strategies for decision-making on retrofitting carbon capture, utilization, and storage technology in coal-fired power plants. Appl. Therm. Eng. 2025, 264, 125371. [Google Scholar] [CrossRef]
- Delre, S.A.; Jager, W.; Bijmolt, T.H.A.; Janssen, M.A. Will It spread or not? The effects of social influences and network topology on innovation diffusion. J. Prod. Innov. Manag. 2010, 27, 267–282. [Google Scholar] [CrossRef]
- Wu, X.; Shu, E.; Ye, D.; Zhou, S.; Sun, H. Study on green packaging diffusion in logistics enterprise clusters based on complex network evolutionary game. J. Clean. Prod. 2025, 499, 145166. [Google Scholar] [CrossRef]
- Mansfield, E. Technical change and the rate of imitation. Econometrica 1961, 29, 741–766. [Google Scholar] [CrossRef]
- Reinganum, J.F. Market structure and the diffusion of new technology. Bell J. Econ. 1981, 12, 618–624. [Google Scholar] [CrossRef]
- Chen, F.; Wu, B.; Lou, W.-Q.; Zhu, B.W. Impact of dual-credit policy on diffusion of technology R & D among automakers: Based on an evolutionary game model with technology-spillover in complex network. Energy 2024, 303, 132019. [Google Scholar] [CrossRef]
- Yang, Y.; Yang, S.; Yang, Y.; Yun, X.; Wang, Y. Study on green transformation evolution of construction enterprises based on dissemination and complex network game. Sustainability 2024, 16, 10130. [Google Scholar] [CrossRef]
- Zhao, D.; Ji, S.-f.; Wang, H.-p.; Jiang, L.-w. How do government subsidies promote new energy vehicle diffusion in the complex network context? A three-stage evolutionary game model. Energy 2021, 230, 120899. [Google Scholar] [CrossRef]
- Yu, L.; Jiang, X.; He, Y.; Jiao, Y. Promoting the diffusion of new energy vehicles under dual credit policy: Asymmetric competition and cooperation in complex network. Energies 2022, 15, 5361. [Google Scholar] [CrossRef]
- Draz, U.; Di Bartolomeo, E.; Panunzi, A.P.; Laverdura, U.P.; Lisi, N.; Chierchia, R.; Duranti, L. Copper-enhanced CO2 electroreduction in SOECs. ACS Appl. Mater. Interfaces 2024, 16, 8842–8852. [Google Scholar] [CrossRef]
- Shi, X.; Peng, W.; Huang, Y.; Gao, C.; Fu, Y.; Wang, Z.; Yang, L.; Zhu, Z.; Cao, J.; Rao, F.; et al. Integrable utilization of intermittent sunlight and residual heat for on-demand CO2 conversion with water. Nat. Commun. 2024, 15, 10135. [Google Scholar] [CrossRef]









| Parameters | Meaning and Its Value Range |
|---|---|
| Basic benefit, | |
| Marginal return per unit of technology empowerment, | |
| Cost coefficient, | |
| Green energy technology level, | |
| Technology absorptive capacity, | |
| Synergy coefficient, | |
| Yield rate, | |
| Technology synergy effectiveness, | |
| Technology Heterogeneity, | |
| Risk of technology leakage, | |
| Risk of free-riding, | |
| Risk transfer coefficient, | |
| Technology obsolescence risk, | |
| Policy, | |
| Policy spillovers, |
| Strategy Combination | Benefit Drivers | Factor Chain Decomposition of Complex Formulas |
| CC | Base Benefit + Direct Benefit + Cooperative Benefit − Cost − Risk + Policy Impact | Direct Benefit = Marginal Return per Unit × Yield Rate × Technology Absorption Efficiency × Green Technology Level |
| Cooperative Benefit = Marginal Return per Unit × Synergy Effect × Technology Heterogeneity Level × Green Technology Level | ||
| Cost = Unit Cost × Green Technology Level | ||
| Policy Impact = Domestic Policy Impact + Partner Policy Impact × Policy Spillover Coefficient | ||
| CI/IC | Independent Party: Base Benefit + Direct Benefit + Policy Impact | Direct Benefit for Independent Party = Marginal Return per Unit × Technology Absorption Efficiency × Green Technology Level |
| Cooperating Party: Base Benefit − Risk − Cost + Policy Impact | Risk for Cooperating Party = Risk Coefficient × Free-Riding Risk | |
| II | Base Benefit − Technological Obsolescence Risk | / |
| Subjects | Country | ||
|---|---|---|---|
| Cooperative Innovation | Independent Innovation | ||
| Country | Cooperative innovation | ||
| Independent innovation | |||
| Parameter | |||||||||||||
| Value | 3 | 3 | 0.3 | 0.3 | 5 | 10 | 10 | 0.4 | 0.4 | 0.3 | 0.3 | 0.5 | 4 |
| Parameter | |||||||||||||
| Value | 0.5 | 0.2 | 0.6 | 0.6 | 0.3 | 0.3 | 0.5 | 1.5 | 1.5 | 0 | 0 | 0.1 |
Disclaimer/Publisher’s Note: The statements, opinions and data contained in all publications are solely those of the individual author(s) and contributor(s) and not of MDPI and/or the editor(s). MDPI and/or the editor(s) disclaim responsibility for any injury to people or property resulting from any ideas, methods, instructions or products referred to in the content. |
© 2025 by the authors. Licensee MDPI, Basel, Switzerland. This article is an open access article distributed under the terms and conditions of the Creative Commons Attribution (CC BY) license (https://creativecommons.org/licenses/by/4.0/).
Share and Cite
Li, Y.; Wu, J.; Wang, X.-P. Research on the Diffusion of Green Energy Technological Innovation from the Perspective of International Cooperation. Energies 2025, 18, 2816. https://doi.org/10.3390/en18112816
Li Y, Wu J, Wang X-P. Research on the Diffusion of Green Energy Technological Innovation from the Perspective of International Cooperation. Energies. 2025; 18(11):2816. https://doi.org/10.3390/en18112816
Chicago/Turabian StyleLi, Yan, Jun Wu, and Xin-Ping Wang. 2025. "Research on the Diffusion of Green Energy Technological Innovation from the Perspective of International Cooperation" Energies 18, no. 11: 2816. https://doi.org/10.3390/en18112816
APA StyleLi, Y., Wu, J., & Wang, X.-P. (2025). Research on the Diffusion of Green Energy Technological Innovation from the Perspective of International Cooperation. Energies, 18(11), 2816. https://doi.org/10.3390/en18112816
