Abstract
Cadmium telluride (CdTe) photovoltaics is a promising and scalable technology, commanding over 90% of the thin film photovoltaics market. An appropriate window layer is crucial for high-efficiency CdTe solar cells. This study aimed to investigate a representative MgZnO (MZO) window layer and enhance device performance. We studied the properties of MZO films with different substrate temperatures and their application in CdSeTe/CdTe solar cells. Despite the high transmittance and wide band gap of MZO film, the device performance of MZO sputtered at room temperature is limited by excessive conduction band offset. Tailoring the substrate temperature for MZO sputtering helps optimize the band alignment of the MZO/CdSeTe interface, contributing to an improvement in the efficiency of CdTe solar cells.
1. Introduction
CdTe is an ideal photovoltaic material, possessing a high optical absorption coefficient and a direct band gap of 1.5 eV. The efficiency record of CdTe solar cells in the lab is above 22% [1]. Moreover, CdTe solar cells are suitable for large-scale production with simple fabrication processes, and the associated manufacturing costs are low.
However, there is still a long way to go to realize the theoretical calculation of the efficiency limit for CdTe solar cells. A challenge for CdTe solar cells is the selection of an appropriate window layer. The window layer is essential for a high transmittance in the absorption band of CdTe and good band alignment with the absorber layer to effectively separate the photo-carriers. CdS stands out as the most commonly employed window layer in CdTe solar cells, demonstrating commendable outcomes in terms of high open-voltage (VOC) and fill factor (FF) [2]. However, an inherent limitation arises from CdS’s light absorption in the 400–600 nm range with a band gap of 2.4 eV, leading to photocurrent loss at short wavelengths [3]. Over the past few decades, different approaches have been explored to solve photocurrent loss. These include introducing oxygen doping in CdS film to increase the band gap [4], applying a high-resistance layer (HRT) to reduce the thickness of the CdS layer [5], and searching for a substitute window layer [6]. MZO has emerged as a prominent candidate for a window layer in high-efficiency CdTe solar cells [7]. The high transmittance of MZO films allows more light to reach the absorber layer. The band gap of MZO film can be modulated by Mg content to get better band alignment with the absorber layer [8]. Furthermore, MZO also acts as a hole reflector to mitigate interface recombination. Despite these merits, many studies failed to reproduce high-efficiency devices with a single-layer MZO window layer [9]. Even though devices with MZO window layers exhibit elevated open-voltage, they often manifest a low fill factor, even exhibiting a so-called “s-kink” in I-V curves, resulting in poor device performance [10]. The discussion around the effect of MZO is dominated by the following aspects: (1) band alignment of MZO and absorber layer is crucial for carrier transport [11], as experimental and simulation data indicate that a slightly higher conduction band minimum of MZO than the absorber layer contributes to enhanced device performance [12,13]; (2) electron transport is constrained by the low carrier concentration of MZO, underscoring the importance of increasing the carrier concentration of MZO film for high-efficiency solar cells [14]. In our previous study, we showed that interface band alignment is more important for MZO/CdTe solar cells [15].
Here, a comparative study was conducted on MZO/CdSeTe/CdTe structure solar cells, considering MZO films sputtered at varying substrate temperatures. The introduction of the CdSeTe layer serves the purpose of reducing the band gap of the absorber layer and consequently enhancing photocurrent [16]. Our findings reveal that the device’s performance is limited by an inappropriate band alignment of MZO/CdSeTe interface with MZO sputtered at room temperature. The energy band structure of MZO film can be adjusted by substrate temperature variation, thus optimizing band alignment with the CdSeTe layer. Band alignment of the MZO/CdSeTe interface determines the separation and transport of the carrier, thereby affecting overall device performance. Furthermore, the effect of substrate temperature on the composition, crystal structure, optical transmission, and chemical bond state of MZO films have been studied.
2. Materials and Methods
2.1. Preparation and Characterization of MZO Film
MZO thin films were prepared on commercially available Corning 7059 glass by radio frequency (RF) magnetron sputtering. A rectangular MZO target (10.7 × 30.7 cm2) with 11% Mg atomic content, produced by Ningbo Sunlit Electronic Material Co., Ningbo, China, was employed. The 7059 glass was fixed on a graphite plate which was used for uniform heating. The graphite plate was radiatively heated during sputtering and the temperature of the graphite substrate (substrate temperature) was variously held at room temperature, 100 °C, 200 °C, 300 °C, and 400 °C. During the sputtering, a deposition pressure of 0.6 Pa was maintained, with a continuous flow of Ar/O2 mixtures (1% O2) at 30 sccm. The ratio-frequency power density was 1.67 W/cm2, and target bias was maintained at 100 V. The thickness of the MZO film was about 250 nm.
Film thickness was measured using a profilometer (Dektak 150, Bruker, Billerica, MA, USA). The crystal structure was investigated by X-ray diffraction (XRD) (D8 Advance, Bruker, Billerica, MA, USA). Composition was studied using an energy dispersive spectrometer (EDS). Optical transmission and reflection were characterized using UV–visible spectrometry (Cary 7000 UV-Vis-NIR, Agilent, Santa Clara, CA, USA). The chemical state and valence band spectrum analysis was performed with an ESCALAB 250 Xi (Thermo Fisher Scientific, Waltham, MA, USA) combined with Advantage X-ray photoelectron spectroscopy (XPS).
2.2. Device Fabrication and Characterization
All devices were produced on 7059 glass (Corning, NY, USA) with a glass/Cd2SnO4 (CTO)/MZO/CdSeTe/CdTe/ZnTe:Cu/Ni structure. The 180 nm transparent conductive CTO layer was deposited by RF magnetron sputtering. The deposited CTO was heated to 620 °C for 30 min, followed by sputtering of the MZO window layer with a thickness of 100 ± 5 nm. Next, 1 μm CdSeTe/3 μm CdTe absorber layers were deposited by a vapor-transport deposition system at the source and substrate temperature of 850 °C and 500 °C, respectively. Then the samples were annealed at 420 °C for 10 min in CdCl2 vapor for Cl treatment. A 90 nm ZnTe:Cu back contact was deposited by RF magnetron sputtering, followed by a Cu activation process. The sample was heated at 260 °C for 40 s to form p-type doping of the CdTe back contact by copper diffusion. 50 nm Ni was evaporated by electron beam as a back contact. Laser scribing was used to define the area of each cell as 0.076 cm2.
I-V test was conducted under AM l.5 irradiance using a Keithley 2400 source meter (Newport Oriel 92193A-1000 solar simulator, Welsh). The external quantum efficiency (EQE) was measured by a QEX7 solar cell quantum efficiency measurement system (PV Measurements, Inc., Boulder, CO, USA).
3. Results
3.1. Substrate Temperature Effect on Optical Property, Composition, Crystal Structure, and Chemical State of MZO Film
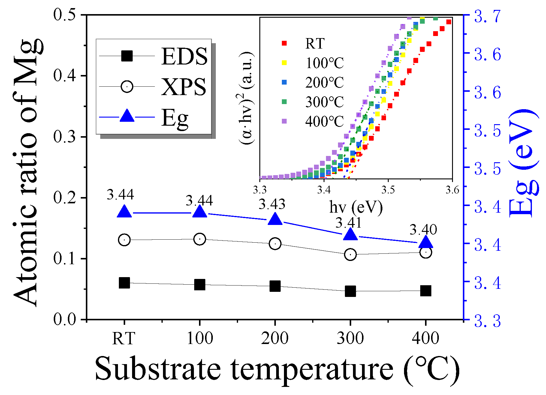
Figure 1 illustrates the Mg content and optical band gap variations in MZO films at different substrate temperatures. The composition analysis of MZO films was investigated by both EDS and XPS. EDS measurement, conducted at 15 kV accelerating voltage, was designed to capture signals throughout the bulk layer, inclusive of the glass substrate, providing comprehensive signal-depth insights. Conversely, the XPS signal is surface sensitive, probing the 3–10 nm surface layer [17]. In line with the EDS result, Mg contents slightly decreased from 6.0% to 4.7%, likely due to the increased Mg vapor pressure in the deposition temperature range of room temperature to 400 °C [18]. Mg content from XPS results shows the same trend, decreasing from 13.0% to 10.7%. Intriguingly, both analyses converge on the observation that the substrate temperature of 300 °C corresponds to the minimum Mg content, contrary to the prior reported increase in Mg content with elevated substrate temperature [19]. Additionally, the value of the Mg/(Mg + Zn) ratio from XPS always surpassed the corresponding EDS result, indicating a Mg-rich state on the surface of MZO films.
Figure 1.
Mg content and band gap of MZO films with different substrate temperature.
The optical band gap (Eg) of MZO films was determined by fitting the linear part as an absorption edge in the hv–(αhv)2 curve. The obtained Eg values are listed in Figure 1 and show a slight decrease from 3.44 eV to 3.40 eV as the substrate temperature increases. The band gaps of ZnO and MgO are reported to be 3.3 eV and 7.8 eV. Consequently, the band gap of MZO film demonstrates an increasing trend as Mg content rises [20]. The observed trend in band gap is consistent with the results of the composition analysis. As the substrate temperature rises, the Mg content decreases, and the band gap of the MZO film exhibits a corresponding decrease.
Figure 2 presents the XRD pattern of MZO films deposited across a substrate temperature range from room temperature to 400 °C. The discernible peaks observed at approximately 34° and 72° can be indexed to the (0 0 2) and (0 0 4) planes, respectively, indicative of the characteristics of the wurtzite structure of ZnO. Additionally, no MgO diffraction peak can be found in the pattern. The films exhibit a preferred orientation along the (0 0 2) plane, aligning closely with a standard position at 34.42° (pdf#36-1451). A noteworthy observation is that the intensity of the (0 0 2) peak increased significantly as the substrate temperature elevates to 300 °C, accompanied by a decrease in the full width half maximum (FWHM), as shown in Table 1. The reduction in FWHM suggests an enhancement in the crystallinity of MZO films with increasing substrate temperature in a certain range. However, as temperature further increased to 400 °C, the intensity of the (0 0 2) peak decreased, accompanied by an increase in FWHM, indicative of crystallinity degradation beyond a certain substrate temperature range. Detailed data of the (0 0 2) peak is listed in Table 1. The value of 2θ increased with substrate temperature in the range of room temperature to 300 °C, and decreased at 400 °C. The shift in 2θ may be due to the decrease in the interplanar spacing as the Mg content decreases, which is caused by the greater ion radius of Mg (141 pm) than Zn (121 pm) [21].
Figure 2.
XRD patterns of MZO films deposited at various substrate temperatures.
Table 1.
Structural parameters of MZO films deposited at various substrate temperatures.
The observed differences are likely attributable to defects formed during the deposition process. Substrate temperature plays a crucial role, providing ample diffusion energy for sputtered particles and thereby enhancing the crystallinity of the film within a specific range. The improvement in crystallinity underscores the positive impact of substrate temperature on film quality. However, the subsequent degradation in crystallinity at 400 °C may be ascribed to a mismatch of thermal expansion coefficient between the film and substrate [22].
The surface morphology of MZO films was investigated by SEM, as shown in Figure 3. The absence of the room temperature sample in the images is due to the sample’s small grain size and poor conductivity, rendering scanning unattainable. The SEM images reveal a discernible trend: the grain size experiences a slight increase and displays distinct boundaries as the substrate temperature ascends from 100 °C to 300 °C. This observation aligns with the enhancement in crystallinity noted in the XRD results. However, upon further elevation of the substrate temperature to 400 °C, the grain boundaries become indistinct once again, accompanied by a reduction in grain size. This is in line with the degradation in crystallinity observed in the XRD findings.
Figure 3.
SEM images of MZO films deposited at (a) 100 °C; (b)200 °C; (c) 300 °C; (d) 400 °C.
XPS was utilized to delve into the chemical bonding state of MZO films across varying substrate temperatures. The XPS spectra were calibrated using the C 1 s peak at 284.6 eV, and the impact of surface oxidation was mitigated by Ar+ ion etching (approximately 5 nm). The electrical character of ZnO typically manifests as n-type, primarily due to the presence of oxygen vacancies (VO) serving as deep donors [23]. The deconvolution of the oxygen XPS peaks facilitated a qualitative description of the trend of oxygen vacancy intensity.
Figure 4a depicts the detailed O 1 s binding energy curves of MZO films sputtered at different substrate temperatures. The O 1 s spectra correspond to three distinct peaks: the peak at 532.0 eV is associated with the OH group; the peak at 531.2 eV corresponds to oxygen vacancy; and the peak at 529.9 eV corresponds to O2−, indicative of Zn-O and Mg-O bonding. The peak at 532.0 eV can be attributed to Mg(OH)2 on the surface [24,25]. Mg(OH)2 is formed by the reaction of MgO with water in the air.
Figure 4.
(a) O 1 s spectra peak fitting of MZO at various substrate temperatures; (b) Intensity ratio between OH group, oxygen vacancy and lattice oxygen.
Figure 4b shows the proportional area occupied by the three peaks. It can be seen that the intensity of the oxygen vacancy peak exhibits an initial increase followed by a decrease as the substrate temperature increases, while the trend of the lattice oxygen intensity is observed to be the opposite. The intensity variation of -OH group intensity aligns with that of lattice oxygen, given that Mg(OH)2 is obtained from MgO. The observed reduction in oxygen vacancies with increasing substrate temperature is likely attributable to the elevated kinetic energy imparted to the sputtered particles at higher temperatures. This increased energy may facilitate the reaction of oxygen with metal species, resulting in the observed trends in oxygen vacancy and lattice oxygen intensities.
Figure 5a shows the XPS valence band spectra of MZO films at varying substrate temperatures. The position of the valence band maximum relative to the Fermi level (EF−EV) was determined through linear extrapolation of the valence band edge to zero [26]. A notable trend emerges as the substrate temperature increases: an initial shift of the valence band edge towards higher energy, followed by a subsequent shift towards lower energy. Figure 5b provides insight into the value of (EF−EV) and the intensity of oxygen vacancies. Both parameters exhibit an inverted V-shape with substrate temperature, indicating that the shift of (EF−EV) is associated with the trend of oxygen vacancy intensity. The interplay between the two factors is explored in the subsequent discussion.
Figure 5.
(a)Valence band spectrum of MZO films with different substrate temperatures; (b) the value of (EF−EV) and intensity of oxygen vacancy (VO) of MZO films with different substrate temperatures.
Combining valence band spectrum with transmittance spectrum, the schematic diagram of the energy band structure of MZO at various substrate temperatures is shown in Figure 6. The position of all Fermi levels is observed to be closer to the conduction band minimum, indicating that all the films are weakly n-type doped. As the substrate temperature increases from room temperature to 400 °C, the Fermi level of the MZO film initially shifts towards the conduction band minimum and then gradually moves towards the valence band maximum. This shift results in a discernible difference of 0.36 eV in the value of (EC−EF), reflecting the evolving energy band structure with changing substrate temperature.
Figure 6.
Schematic diagram of energy band structure of MZO film sputtered at (a) RT; (b) 100 °C; (c) 200 °C; (d) 300 °C; (e) 400 °C.
The observed shift in Fermi level is closely associated with the concentration of oxygen vacancies, as illustrated in Figure 4b. Oxygen vacancies are known as predominant donor-like native point defects in ZnO [27]. The reduction in the concentration of donor defects results in the Fermi energy level shifting towards the valence band maximum. The alteration in the energy band structure of the MZO film contributes to modification band alignment with the absorber layer.
3.2. I-V Test Result of MZO Films Applied in CdSeTe/CdTe Solar Cells
MZO films sputtered at different substrate temperatures were employed as the window layer for CdSeTe/CdTe solar cells. Figure 7 displays the I-V results of the solar cells; the box plots the top ten dot cells with highest efficiency for each sample. Additionally, the best and average values of each parameter are also listed. Remarkably, all I-V parameters exhibited notable improvement as the substrate temperature increased from room temperature to 200 °C. The best efficiency experienced an increase from 7.75% to 12.20%. The open-voltage (VOC) increased from 687 mV to 731 mV, and short-current (JSC) increased from 25.4 mA/cm2 to 30.8 mA/cm2. The JSC exceeding 30 mA/cm2 indicates favorable carrier transport at the MZO/CdSeTe interface. However, further elevation of the substrate temperature led to a decline in the device performance. The observed differences in device performance can likely be attributed to the variation of MZO films, with band alignment at the MZO/CdSeTe interface emerging as a key consideration, as elaborated upon in subsequent discussions.

Figure 7.
Box plots of (a)VOC; (b) JSC; (c) fill factor; (d) efficiency of CdSeTe/CdTe solar cells with different substrate temperatures of MZO.
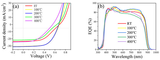
The representative I-V curves of CdTe solar cells with different MZO window layers are depicted in Figure 8a. The cell with MZO sputtered at room temperature exhibited a typical “s-kink” behavior, contributing to a relatively low fill factor. The “s-kink” in the I-V curve usually indicates inappropriate band alignment at the MZO/absorber interface. Elevating the substrate temperature to 100 °C effectively eliminates the “s-kink” and significantly improves both the short-current and fill factor. However, the reappearance of the “s-kink” occurs as the substrate temperature exceeds 300 °C. The device showed a further decline in open-voltage. The I-V result implies MZO films sputtered at 100 °C and 200 °C have better band alignment with the absorber layer.
Figure 8.
(a) I-V curves; (b) EQE spectra of CdSeTe/CdTe cells with different substrate temperatures of MZO.
Figure 8b shows the EQE spectra of the corresponding devices. The fluctuations in the short wavelength region can be attributed to substrate reflection. The CdSeTe layer extends the absorption edge to approximately 900 nm. EQE increases as substrate temperature rises from room temperature to 200 °C, and decreases as substrate temperature further increases, especially in the long wavelength region. Current loss in the long wavelength region is typically associated with interface recombination [28]. In other words, the device featuring MZO film sputtered at 200 °C demonstrates superior carrier extraction, contributing to enhanced overall device performance.
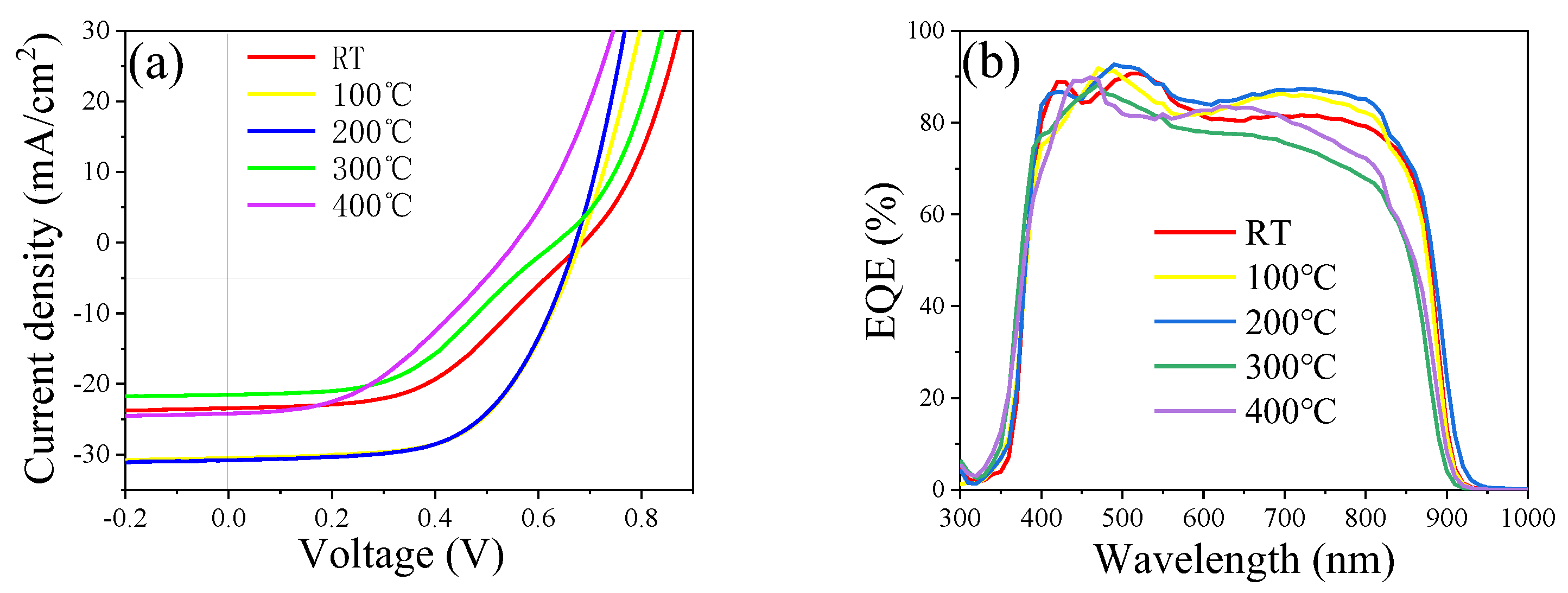
Temperature-dependent open-voltage (Voc) of CdTe solar cells with different MZO window layers was investigated, as shown in Figure 9. A notable difference can be seen from activation energy (EA), which was determined by the extrapolation of VOC to zero, according to the formula:
where A is the ideality factor, and J0 and J are reverse saturation current factor and photocurrent, respectively. The activation energy of the device increases from 1.37 eV to 1.47 eV as substrate temperature increases from room temperature to 200 °C, which is close to the band gap of CdSeTe. The activation energy is smaller than the band gap of the absorber layer, indicating the main recombination method is interface recombination instead of bulk recombination [28]. The results suggest a decrease in interface recombination as substrate temperature increases from room temperature to 200 °C. However, activation energy sharply decreases as the substrate temperature exceeds 300 °C, indicating severe interface recombination. The increased recombination is likely related to the barrier at the MZO/CdSeTe interface, a consideration that will be further discussed later.
Figure 9.
Temperature dependent open-voltage of CdSeTe/CdTe cells with different substrate temperatures of MZO.
4. Discussion
Figure 10a,b display the Tauc-plot and XPS valence band spectra of CdSeTe, respectively. The band gap and (EF−EV) value of CdSeTe film can be calculated by the method described above. Figure 10c illustrates the conduction band offset (ΔEC) for the MZO/CdSeTe interface at different substrate temperatures, alongside the average efficiency of the corresponding devices. The detailed energy band parameters are listed in Table 2. The conduction band offset initially decreases from 0.32 eV to 0.05 eV as the substrate temperature increases from room temperature to 100 °C, and then increases from 0.05 eV to 0.41 eV as the substrate temperature further increases from 100 °C to 400 °C. The best efficiency is achieved at 200 °C, corresponding to a conduction band offset of 0.15 eV. However, higher conduction band offsets appear to limit the performance of the device, as can be seen in Figure 6. This observation emphasizes the critical role of conduction band offset in influencing the overall efficiency of the solar cell.
Figure 10.
(a) Tauc plots; (b) XPS valence band spectra of CdSeTe film; (c) value of ΔEC and efficiency of CdSeTe/CdTe solar cell with different substrate temperatures of MZO.
Table 2.
Energy band parameters of MZO and CdSeTe film.
Figure 11 shows three typical schematic energy band diagrams for the MZO/CdSeTe interface to elucidate the effect of substrate temperature on device performance. Figure 10a–c correspond to devices of room-temperature, 100 °C, and 200 °C substrate temperature, respectively. In Figure 10a, the conduction band offset (ΔEC) of the room temperature device is 0.32 eV, indicating a high barrier at the MZO/CdSeTe interface. Such a high barrier at MZO/CdSeTe interface impedes electron transport, leading to low photo-current. This ineffective electron transport contributes to interface recombination due to the remaining electrons at the surface, and thereby reduces voltage in the meantime. As the substrate temperature exceeds 300 °C, the device performance further reduces due to a conduction band offset even higher than 0.32 eV. Higher barriers further damage the device performance. Figure 10b represents a device at 100 °C substrate temperature, showing the minimum conduction band offset at MZO/CdSeTe interface, which is conducive for electron transport, and which explains the highest average JSC. As the conduction band offset increases to 0.14 eV, as shown in Figure 10c, the built-in potential may be enhanced by increased band bending. Higher built-in potential improves carrier separation and reduces interface recombination, therefore the 200 °C device has higher open-voltage and fill factor compared to the 100 °C device. Contrary to reports suggesting that higher carrier concentration in MZO films is the decisive factor affecting device performance [9,14], in our study, the Fermi level of MZO at 100 °C substrate temperature is closest to the conduction band minimum, and should have the highest carrier concentration. However, this does not correspond to the best device performance. This suggests that the band alignment of the MZO/CdSeTe interface is more crucial for achieving high-efficiency devices. Compared to a MZO/CdTe device, the MZO/CdSeTe/CdTe device is suited for MZO film with higher electron affinity [15]. As the poor performance of the room temperature device is caused by excessive conduction band offset, perhaps reducing the Mg content in MZO films could achieve the same optimization.
Figure 11.
Schematic diagrams of energy band structure for typical devices with MZO films sputtered at (a) RT, (b) 100 °C, (c) 200 °C.
5. Conclusions
In conclusion, this study investigated the impact of substrate temperature on the properties of MZO films and their application in CdSeTe/CdTe solar cells. The substrate temperature was varied from room temperature to 400 °C. The increase in substrate temperature contributes to an improvement in the crystallinity of MZO thin films. Both the Mg content and band gap of MZO film were found to be insensitive to substrate temperature. The position of the valence band maximum relative to the Fermi level of MZO films exhibited an inverted V-shape as substrate temperature increased. The change in Fermi level position may be related to the concentration of oxygen vacancy in the MZO film. All the devices exhibited a “spike” in the conduction band offset at the MZO/CdSeTe interface. The conduction band offset of the room temperature device exceeded 0.3 eV; such a high barrier impeded the electron transition, leading to poor device performance. Optimal substrate temperatures helped modify the conduction band offset, reducing interface recombination while ensuring efficient electron transport. The optimal conduction band offset was approximately 0.14 eV, corresponding to a substrate temperature of 200 °C.
Author Contributions
Conceptualization, X.L. and Q.W.; methodology, Q.W.; validation, X.L., Q.W. and Y.Z.; formal analysis, Q.W. and R.L.; investigation, Q.W. and K.H.; resources, Q.W. and R.L.; data curation, Q.W., H.L. and R.L.; writing—original draft preparation, Q.W.; writing—review and editing, X.L.; project administration, X.L.; funding acquisition, X.L. All authors have read and agreed to the published version of the manuscript.
Funding
This research was funded by Lujiaxi International Team Project of CAS, grant number GJTD-2018-05, and the APC was funded by Lujiaxi International Team. National Natural Science Foundation of China, grant No. 62104228. Research Program of Institute of Electrical Engineering, CAS, grant No.E1551401.
Data Availability Statement
The data presented in this study are available on request from the corresponding author. The data are not publicly available due to privacy.
Conflicts of Interest
The authors declare no conflicts of interest. The funders had no role in the design of the study; in the collection, analysis, or interpretation of data; in the writing of the manuscript; or in the decision to publish the results.
References
- Scarpulla, M.A.; McCandless, B.; Phillips, A.B.; Yan, Y.; Heben, M.J.; Wolden, C.; Xiong, G.; Metzger, W.K.; Mao, D.; Krasikov, D.; et al. CdTe-based thin film photovoltaics: Recent advances, current challenges and future prospects. Sol. Energy Mater. Sol. Cells 2023, 255, 112289. [Google Scholar] [CrossRef]
- Ohyama, H.; Aramoto, T.; Kumazawa, S.; Higuchi, H.; Arita, T.; Shibutani, S.; Nishio, T.; Nakajima, J.; Tsuji, M.; Hanafusa, A.; et al. 16.0% efficient thin-film CdS/CdTe solar cells. In Proceedings of the Conference Record of the Twenty Sixth IEEE Photovoltaic Specialists Conference, Anaheim, CA, USA, 29 September–3 October 1997; pp. 343–346. [Google Scholar] [CrossRef]
- Romeo, A.; Artegiani, E. CdTe-Based Thin Film Solar Cells: Past, Present and Future. Energies 2021, 14, 1684. [Google Scholar] [CrossRef]
- Meysing, D.M.; Wolden, C.A.; Griffith, M.M.; Mahabaduge, H.; Pankow, J.; Reese, M.O.; Burst, J.M.; Rance, W.L.; Barnes, T.M. Properties of reactively sputtered oxygenated cadmium sulfide (CdS:O) and their impact on CdTe solar cell performance. J. Vac. Sci. Technol. A 2014, 33, 021203. [Google Scholar] [CrossRef]
- Kephart, J.; McCamy, J.; Ma, Z.; Ganjoo, A.; Alamgir, F.; Sampath, W. Band alignment of front contact layers for high-efficiency CdTe solar cells. Sol. Energy Mater. Sol. Cells 2016, 157, 266–275. [Google Scholar] [CrossRef]
- Kephart, J.M.; Kindvall, A.; Williams, D.; Kuciauskas, D.; Dippo, P.; Munshi, A.; Sampath, W.S. Sputter-Deposited Oxides for Interface Passivation of CdTe Photovoltaics. IEEE J. Photovoltaics 2018, 8, 587–593. [Google Scholar] [CrossRef]
- Munshi, A.H.; Kephart, J.; Abbas, A.; Raguse, J.; Beaudry, J.-N.; Barth, K.; Sites, J.; Walls, J.; Sampath, W. Polycrystalline CdSeTe/CdTe Absorber Cells With 28 mA/cm2 Short-Circuit Current. IEEE J. Photovoltaics 2017, 8, 310–314. [Google Scholar] [CrossRef]
- Pandey, R.; Munshi, A.; Shimpi, T.; Shah, A.; Bothwell, A.; Kuciauskas, D.; Sites, J.R. CdTe-Based Solar Cells with Variations in Mg Concentration in the MgZnO Emitter. Sol. RRL 2021, 5, 2100126. [Google Scholar] [CrossRef]
- Wang, T.; Ren, S.; Li, C.; Li, W.; Liu, C.; Zhang, J.; Wu, L.; Li, B.; Zeng, G. Exploring window buffer layer technology to enhance CdTe solar cell performance. Sol. Energy 2018, 164, 180–186. [Google Scholar] [CrossRef]
- Menossi, D.; Artegiani, E.; Bittau, F.; Barbato, M.; Meneghini, M.; Meneghesso, G.; Bowers, J.; Walls, M.; Piccinelli, F.; Romeo, A. High Efficiency CdTe Solar Cells by Low Temperature Deposition with MgZnO HRT Layer. In Proceedings of the 33rd European Photovoltaic Solar Energy Conference and Exhibition, Amsterdam, The Netherlands, 25–29 September 2017; pp. 1027–1030. [Google Scholar] [CrossRef]
- Ablekim, T.; Perkins, C.; Zheng, X.; Reich, C.; Swanson, D.; Colegrove, E.; Duenow, J.N.; Albin, D.; Nanayakkara, S.; Reese, M.O.; et al. Tailoring MgZnO/CdSeTe Interfaces for Photovoltaics. IEEE J. Photovoltaics 2019, 9, 888–892. [Google Scholar] [CrossRef]
- Song, T.; Kanevce, A.; Sites, J.R. Emitter/absorber interface of CdTe solar cells. J. Appl. Phys. 2016, 119, 233104. [Google Scholar] [CrossRef]
- Kanevce, A.; Reese, M.O.; Barnes, T.M.; Jensen, S.A.; Metzger, W.K. The roles of carrier concentration and interface, bulk, and grain-boundary recombination for 25% efficient CdTe solar cells. J. Appl. Phys. 2017, 121, 214506. [Google Scholar] [CrossRef]
- Ablekim, T.; Colegrove, E.; Metzger, W.K. Interface Engineering for 25% CdTe Solar Cells. ACS Appl. Energy Mater. 2018, 1, 5135–5139. [Google Scholar] [CrossRef]
- Wu, Q.; Zhang, Y.; Li, R.; Huang, K.; Zhao, W.; Liu, X. Effect of direct current bias on MZO window layer in CdTe solar cells. J. Phys. D Appl. Phys. 2023, 56, 41LT01. [Google Scholar] [CrossRef]
- Onno, A.; Reich, C.; Li, S.; Danielson, A.; Weigand, W.; Bothwell, A.; Grover, S.; Bailey, J.; Xiong, G.; Kuciauskas, D.; et al. Understanding what limits the voltage of polycrystalline CdSeTe solar cells. Nat. Energy 2022, 7, 400–408. [Google Scholar] [CrossRef]
- Briggs, D.; Seah, M.P. (Eds.) Surface Analysis; John Wiley & Sons, Inc.: Hoboken, NJ, USA, 2004. [Google Scholar]
- Hwang, D.-K.; Jeong, M.-C.; Myoung, J.-M. Effects of deposition temperature on the properties of Zn1−xMgxO thin films. Appl. Surf. Sci. 2004, 225, 217–222. [Google Scholar] [CrossRef]
- Bittau, F.; Potamialis, C.; Togay, M.; Abbas, A.; Isherwood, P.J.; Bowers, J.W.; Walls, J.M. Analysis and optimisation of the glass/TCO/MZO stack for thin film CdTe solar cells. Sol. Energy Mater. Sol. Cells 2018, 187, 15–22. [Google Scholar] [CrossRef]
- Liu, C.Y.; Xu, H.Y.; Wang, L.; Li, X.H.; Liu, Y.C. Pulsed laser deposition of high Mg-content MgZnO films: Effects of substrate temperature and oxygen pressure. J. Appl. Phys. 2009, 106, 073518. [Google Scholar] [CrossRef]
- Periodic Table of Elements [DB]. Available online: https://www.periodic-table.org/ (accessed on 2 December 2023).
- Gu, K.; Zhou, X.; Zhang, Z.; Tang, K.; Huang, J.; Wang, L. Tailoring microstructure and optical properties of MgZnO film on glass by substrate temperature. Mater. Lett. 2020, 278, 128416. [Google Scholar] [CrossRef]
- Zhao, L.; Shao, G.; Song, S.; Qin, X.; Han, S. Development on transparent conductive ZnO thin films doped with various impurity elements. Rare Met. 2011, 30, 175–182. [Google Scholar] [CrossRef]
- Tu, Y.; Chen, S.; Li, X.; Gorbaciova, J.; Gillin, W.P.; Krause, S.; Briscoe, J. Control of oxygen vacancies in ZnO nanorods by annealing and their influence on ZnO/PEDOT:PSS diode behaviour. J. Mater. Chem. C 2018, 6, 1815–1821. [Google Scholar] [CrossRef]
- Park, S.Y.; Kim, S.; Yoo, J.; Lim, K.-H.; Lee, E.; Kim, K.; Kim, J.; Kim, Y.S. Aqueous zinc ammine complex for solution-processed ZnO semiconductors in thin film transistors. RSC Adv. 2014, 4, 11295–11299. [Google Scholar] [CrossRef]
- Fuchs, A.; Schimper, H.-J.; Klein, A.; Jaegermann, W. Photoemission studies on undoped SnO2 buffer layers for CdTe thin film solar cells. Energy Procedia 2011, 10, 149–154. [Google Scholar] [CrossRef]
- Liu, L.; Mei, Z.; Tang, A.; Azarov, A.; Kuznetsov, A.; Xue, Q.-K.; Du, X. Oxygen vacancies: The origin ofn-type conductivity in ZnO. Phys. Rev. B 2016, 93, 235305. [Google Scholar] [CrossRef]
- Hegedus, S.S.; Shafarman, W.N. Thin-Film Solar Cells: Device Measurements and Analysis. Prog. Photovolt. Res. 2004, 12, 155–176. [Google Scholar] [CrossRef]
Disclaimer/Publisher’s Note: The statements, opinions and data contained in all publications are solely those of the individual author(s) and contributor(s) and not of MDPI and/or the editor(s). MDPI and/or the editor(s) disclaim responsibility for any injury to people or property resulting from any ideas, methods, instructions or products referred to in the content. |
© 2024 by the authors. Licensee MDPI, Basel, Switzerland. This article is an open access article distributed under the terms and conditions of the Creative Commons Attribution (CC BY) license (https://creativecommons.org/licenses/by/4.0/).