One-Pot Fast Electrochemical Synthesis of Ternary Ni-Cu-Fe Particles for Improved Urea Oxidation
Abstract
1. Introduction
2. Materials and Methods
2.1. Material Synthesis
2.2. Material Characterization
2.3. Electrochemical Characterization
3. Results
3.1. SEM + EDX
3.2. XRD
3.3. TEM
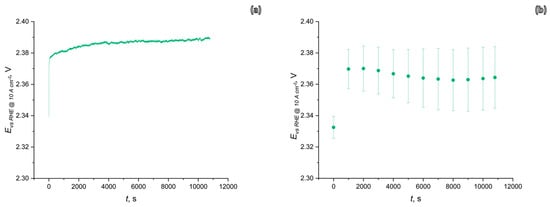
3.4. Electrochemical Measurements
| Sample | EpA, V | ipA, mA cm−2 | Reference |
|---|---|---|---|
| NiCu 20 | 1.731 | 3.92 | [26] |
| NiCuGO 20 | 1.736 | 5.88 | [26] |
| CNT/C@FeN | 1.500 | 3.50 | [39] |
| Ni0.9Cu0.1 | 1.595 | 32.00 | [40] |
| NiO/Gt 15 | 1.665 | 17.63 | [41] |
| Ni@C | 1.625 | 30.30 | [9] |
| Ni-NiO/Gr-450 °C | 1.525 | 38.24 | [42] |
| NiCu/ZnO@MWCNTs | 1.405 | 30.02 | [43] |
| Ni@GO | 1.475 | 17.10 | [44] |
| Ni-Cu-Fe | 1.695 ± 0.05 | 11.98 ± 0.00 | In this work |
3.5. EIS
4. Conclusions
Author Contributions
Funding
Data Availability Statement
Conflicts of Interest
References
- Bacon, F.T. Fuel cells, past, present and future. Electrochim. Acta 1969, 14, 569–585. [Google Scholar] [CrossRef]
- Pramuanjaroenkij, A.; Kakaç, S. The fuel cell electric vehicles: The highlight review. Int. J. Hydrogen Energy 2023, 48, 9401–9425. [Google Scholar] [CrossRef]
- Crespo Parrondo, A.; McPhie, T. Zero emission vehicles: First ‘Fit for 55’ deal will end the sale of new CO2 emitting cars in Europe by 2035. Eur. Comm.—Press Release 2022, IP/22/6462. Available online: https://ec.europa.eu/commission/presscorner/detail/en/ip_22_6462 (accessed on 22 May 2024).
- Wolf, D.D.; Smeers, Y. Comparison of Battery Electric Vehicles and Fuel Cell Vehicles. World Electr. Veh. J. 2023, 14, 262. [Google Scholar] [CrossRef]
- Halder, P.; Babaie, M.; Salek, F.; Shah, K.; Stevanovic, S.; Bodisco, T.A.; Zare, A. Performance, emissions and economic analyses of hydrogen fuel cell vehicles. Renew. Sustain. Energy Rev. 2024, 199, 114543. [Google Scholar] [CrossRef]
- Mansor, M.; Timmiati, S.N.; Lim, K.L.; Wong, W.Y.; Kamarudin, S.K.; Nazirah Kamarudin, N.H. Recent progress of anode catalysts and their support materials for methanol electrooxidation reaction. Int. J. Hydrogen Energy 2019, 44, 14744–14769. [Google Scholar] [CrossRef]
- Yuda, A.; Ashok, A.; Kumar, A. A comprehensive and critical review on recent progress in anode catalyst for methanol oxidation reaction. Catal. Rev.—Sci. Eng. 2022, 64, 126–228. [Google Scholar] [CrossRef]
- Sayed, E.T.; Eisa, T.; Mohamed, H.O.; Abdelkareem, M.A.; Allagui, A.; Alawadhi, H.; Chae, K.-J. Direct urea fuel cells: Challenges and opportunities. J. Power Sources 2019, 417, 159–175. [Google Scholar] [CrossRef]
- Tran, T.Q.N.; Park, B.J.; Yun, W.H.; Duong, T.N.; Yoon, H.H. Metal–organic framework–derived Ni@C and NiO@C as anode catalysts for urea fuel cells. Sci. Rep. 2020, 10, 278. [Google Scholar] [CrossRef]
- Shekhawat, A.; Samanta, R.; Panigrahy, S.; Barman, S. Electrocatalytic Oxidation of Urea and Ethanol on Two-Dimensional Amorphous Nickel Oxide Encapsulated on N-Doped Carbon Nanosheets. ACS Appl. Energy Mater. 2023, 6, 3135–3146. [Google Scholar] [CrossRef]
- Chakrabarty, S.; Offen-Polak, I.; Burshtein, T.Y.; Farber, E.M.; Kornblum, L.; Eisenberg, D. Urea oxidation electrocatalysis on nickel hydroxide: The role of disorder. J. Solid State Electrochem. 2020, 25, 159–171. [Google Scholar] [CrossRef]
- Li, J.; Wang, S.; Chang, J.; Feng, L. A review of Ni based powder catalyst for urea oxidation in assisting water splitting reaction. Adv. Powder Mater. 2022, 1, 100030. [Google Scholar] [CrossRef]
- Chen, X.; Wan, J.; Chai, J.; Zhang, L.; Zhang, F.; Zhang, Q.; Gu, L.; Zheng, L.; Yu, R. Nickel-iron in the second coordination shell boost single-atomic-site iridium catalyst for hight-performance urea electrooxidation. Nano Res. 2024, 17, 3919–3926. [Google Scholar] [CrossRef]
- Xie, J.; Qu, H.; Lei, F.; Peng, X.; Liu, W.; Gao, L.; Hao, P.; Cui, G.; Tang, B. Partially amorphous nickel-iron layered double hydroxide nanosheet arrays for robust bifunctional electrocatalysis. J. Mater. Chem. A 2018, 6, 16121–16129. [Google Scholar] [CrossRef]
- Shit, S.; Ghosh, S.; Bolar, S.; Murmu, N.C.; Kuila, T. Understanding the Synergistic Effect in Oxygen Evolution Reaction Catalysis from Chemical Kinetics Point of View: An Iron Oxide/Nickel Oxide Case Study. J. Electrochem. Soc. 2020, 167, 116514. [Google Scholar] [CrossRef]
- Maniam, K.K.; Chetty, R.; Thimmappa, R.; Paul, S. Progress in the Development of Electrodeposited Catalysts for Direct Liquid Fuel Cell Applications. Appl. Sci. 2022, 12, 501. [Google Scholar] [CrossRef]
- Das, M.; Khan, Z.B.; Banerjee, M.; Biswas, A.; Dey, R.S. Three-dimensional nickel and copper-based foam-in-foam architecture as an electrode for efficient water electrolysis. Catal. Today 2023, 424, 113836. [Google Scholar] [CrossRef]
- Wei, H.; Xu, Q.; Li, A.; Wan, T.; Huang, Y.; Cui, D.; Pan, D.; Dong, B.; Wei, R.; Naik, N.; et al. Dendritic core-shell copper-nickel alloy@metal oxide for efficient non-enzymatic glucose detection. Sens. Actuators B Chem. 2021, 337, 129687. [Google Scholar] [CrossRef]
- Ghosh, S.K.; Grover, A.K.; Dey, G.K.; Totlani, M.K. Nanocrystalline Ni-Cu alloy plating by pulse electrolysis. Surf. Coat. Technol. 2000, 126, 48–63. [Google Scholar] [CrossRef]
- Wala, M.M.; Szewczyk, A.K.K. Preparation of NiCuGO composite and investigation of its electrocatalytic properties in methanol oxidation. Electrochim. Acta 2022, 425, 140743. [Google Scholar] [CrossRef]
- Niu, S.; Li, S.; Du, Y.; Han, X.; Xu, P. How to Reliably Report the Overpotential of an Electrocatalyst. ACS Energy Lett. 2020, 5, 1083–1087. [Google Scholar] [CrossRef]
- Plowman, B.J.; Jones, L.A.; Bhargava, S.K. Building with bubbles: The formation of high surface area honeycomb-like films via hydrogen bubble templated electrodeposition. Chem. Commun. 2015, 51, 4331–4346. [Google Scholar] [CrossRef] [PubMed]
- Kozicki, M.N. Information in electrodeposited dendrites. Adv. Phys. X 2021, 6, 1920846. [Google Scholar] [CrossRef]
- Koh, J.H.; Won, D.H.; Eom, T.; Kim, N.K.; Jung, K.D.; Kim, H.; Hwang, Y.J.; Min, B.K. Facile CO2 Electro-Reduction to Formate via Oxygen Bidentate Intermediate Stabilized by High-Index Planes of Bi Dendrite Catalyst. ACS Catal. 2017, 7, 5071–5077. [Google Scholar] [CrossRef]
- Hu, B.; Yu, J.; Meng, J.; Xu, C.; Cai, J.; Zhang, B.; Liu, Y.; Yu, D.; Zhou, X.; Chen, C. Porous Ni-Cu Alloy Dendrite Anode Catalysts with High Activity and Selectivity for Direct Borohydride Fuel Cells. ACS Appl. Mater. Interfaces 2022, 14, 3910–3918. [Google Scholar] [CrossRef] [PubMed]
- Wala, M.; Blacha–Grzechnik, A.; Stolarczyk, A.; Bajkacz, S.; Dydo, P.; Simka, W. Unexpected electrochemical oxidation of urea on a new NiCuGO composite catalyst. Int. J. Hydrogen Energy 2023, 48, 34229–34243. [Google Scholar] [CrossRef]
- Wu, J.; Chen, J.; Yu, T.; Zhai, Z.; Zhu, Y.; Wu, X.; Yin, S. Boosting Electrochemical Kinetics of NiCo2 via MoO2 Modification for Biomass Upgrading Assisted Hydrogen Evolution. ACS Catal. 2023, 13, 13257–13266. [Google Scholar] [CrossRef]
- Jiang, W.; Zhuo, X.; Yu, T.; Lu, J.; Zhai, Z.; Wen, H.; Yin, S. Regulating Reaction Intermediate Adsorption of Co0.5NiS2-Ni3S2 Nanorods for Efficient Urea Electrolysis. ACS Sustain. Chem. Eng. 2024, 12, 998–1006. [Google Scholar] [CrossRef]
- Feng, B.; Jiang, W.; Deng, R.; Lu, J.; Tsiakaras, P.; Yin, S. Agglomeration inhibition engineering of nickel–cobalt alloys by a sacrificial template for efficient urea electrolysis. J. Colloid Interface Sci. 2024, 663, 1019–1027. [Google Scholar] [CrossRef]
- Sun, H.; Li, L.; Chen, Y.; Kim, H.; Xu, X.; Guan, D.; Hu, Z.; Zhang, L.; Shao, Z.; Jung, W.C. Boosting ethanol oxidation by NiOOH-CuO nano-heterostructure for energy-saving hydrogen production and biomass upgrading. Appl. Catal. B Environ. 2023, 325, 122388. [Google Scholar] [CrossRef]
- Taffa, D.H.; Balkenhohl, D.; Amiri, M.; Wark, M. Minireview: Ni–Fe and Ni–Co Metal–Organic Frameworks for Electrocatalytic Water-Splitting Reactions. Small Struct. 2023, 4, 2200263. [Google Scholar] [CrossRef]
- Shi, W.; Ding, R.; Li, X.; Xu, Q.; Liu, E. Enhanced performance and electrocatalytic kinetics of Ni-Mo/graphene nanocatalysts towards alkaline urea oxidation reaction. Electrochim. Acta 2017, 242, 247–259. [Google Scholar] [CrossRef]
- Mohamed, I.M.A.; Kanagaraj, P.; Yasin, A.S.; Iqbal, W.; Liu, C. Electrochemical impedance investigation of urea oxidation in alkaline media based on electrospun nanofibers towards the technology of direct-urea fuel cells. J. Alloys Compd. 2020, 816, 152513. [Google Scholar] [CrossRef]
- Xu, W.; Du, D.; Lan, R.; Humphreys, J.; Wu, Z.; Tao, S. Highly active Ni-Fe double hydroxides as anode catalysts for electrooxidation of urea. New J. Chem. 2017, 41, 4190–4196. [Google Scholar] [CrossRef]
- Gao, X.; Zhang, S.; Wang, P.; Jaroniec, M.; Zheng, Y.; Qiao, S.Z. Urea catalytic oxidation for energy and environmental applications. Chem. Soc. Rev. 2024, 53, 1552–1591. [Google Scholar] [CrossRef]
- Hopsort, G.; Pereira Do Carmo, D.; Latapie, L.; Groenen Serrano, K.; Tzedakis, T. Progress toward a better understanding of the urea oxidation by electromediation of Ni (II)/Ni (III) system in alkaline media. Electrochim. Acta 2023, 442, 141898. [Google Scholar] [CrossRef]
- Gnana kumar, G.; Farithkhan, A.; Manthiram, A. Direct Urea Fuel Cells: Recent Progress and Critical Challenges of Urea Oxidation Electrocatalysis. Adv. Energy Sustain. Res. 2020, 1, 2000015. [Google Scholar] [CrossRef]
- Tatarchuk, S.W.; Medvedev, J.J.; Li, F.; Tobolovskaya, Y.; Klinkova, A. Nickel-Catalyzed Urea Electrolysis: From Nitrite and Cyanate as Major Products to Nitrogen Evolution. Angew. Chem. Int. Ed. 2022, 61, e202209839. [Google Scholar] [CrossRef]
- Modak, A.; Mohan, R.; Rajavelu, K.; Cahan, R.; Bendikov, T.; Schechter, A. Metal−Organic polymer-derived interconnected Fe−Ni alloy by carbon nanotubes as an advanced design of urea oxidation catalysts. ACS Appl. Mater. Interfaces 2021, 13, 8461–8473. [Google Scholar] [CrossRef]
- Hefnawy, M.A.; Fadlallah, S.A.; El-Sherif, R.M.; Medany, S.S. Synergistic effect of Cu-doped NiO for enhancing urea electrooxidation: Comparative electrochemical and DFT studies. J. Alloys Compd. 2021, 896, 162857. [Google Scholar] [CrossRef]
- Abdel Hameed, R.M.; Medany, S.S. Enhanced electrocatalytic activity of NiO nanoparticles supported on graphite planes towards urea electro-oxidation in NaOH solution. Int. J. Hydrogen Energy 2017, 42, 24117–24130. [Google Scholar] [CrossRef]
- Wang, S.; Xu, P.; Tian, J.; Liu, Z.; Feng, L. Phase structure tuning of graphene supported Ni-NiO Nanoparticles for enhanced urea oxidation performance. Electrochim. Acta 2021, 370, 137755. [Google Scholar] [CrossRef]
- Basumatary, P.; Konwar, D.; Yoon, Y.S. A novel Ni–Cu/ZnO@MWCNT anode employed in urea fuel cell to attain superior performances. Electrochim. Acta 2018, 261, 78–85. [Google Scholar] [CrossRef]
- Munde, A.V.; Mulik, B.B.; Chavan, P.P.; Sathe, B.R. Hydrothermal Syntheses of NiO−GO Nanocomposite on 3D Nickel Foam as a Support for Pt Nanoparticles and its Superior Electrocatalytic Activity Towards Methanol Oxidation. Electrochim. Acta 2020, 349, 1484–1493. [Google Scholar] [CrossRef]
- Samdani, J.S.; Sanetuntikul, J.; Shanmugam, S. Self-supported iron-doped nickel sulfide as efficient catalyst for electrochemical urea and hydrazine oxidation reactions. Int. J. Hydrogen Energy 2022, 47, 27347–27357. [Google Scholar] [CrossRef]
- Nur Indah Sari, F.; Ke, M.T.; Huang, Y.J.; Zheng, T.M.; Su, Y.H.; Ting, J.M. NiFe sulfide electronic structure modulation via metal doping towards enhanced urea oxidation reaction performance. Appl. Surf. Sci. 2024, 649, 159187. [Google Scholar] [CrossRef]
- Cao, J.; Wang, G.; Hou, S.; Yu, W.; Yang, Z.; Wu, Y. Facile fabrication of amorphous NiFeP nanosheets to promote urea oxidation reaction for energy-saving hydrogen production. J. Mater. Sci. 2023, 58, 16019–16032. [Google Scholar] [CrossRef]
- Wang, K.; Hou, M.; Huang, W.; Cao, Q.; Zhao, Y.; Sun, X.; Ding, R.; Lin, W.; Liu, E.; Gao, P. F-decoration-induced partially amorphization of nickel iron layered double hydroxides for high efficiency urea oxidation reaction. J. Colloid Interface Sci. 2022, 615, 309–317. [Google Scholar] [CrossRef]
- Peng, K.; Liu, L.; Bhuvanendran, N.; Qiao, F.; Lei, G.; Lee, S.Y.; Xu, Q.; Su, H. Effective regulation on catalytic performance of nickel-iron-vanadium layered double hydroxide for urea oxidation via sulfur incorporation. Mater. Adv. 2023, 4, 1354–1362. [Google Scholar] [CrossRef]
- Chen, Z.; Zheng, R.; Zou, H.; Wang, R.; Huang, C.; Dai, W.; Wei, W.; Duan, L.; Ni, B.J.; Chen, H. Amorphous iron-doped nickel boride with facilitated structural reconstruction and dual active sites for efficient urea electrooxidation. Chem. Eng. J. 2023, 465, 142684. [Google Scholar] [CrossRef]
- Babar, P.; Patil, K.; Lee, D.M.; Karade, V.; Gour, K.; Pawar, S.; Kim, J.H. Cost-effective and efficient water and urea oxidation catalysis using nickel-iron oxyhydroxide nanosheets synthesized by an ultrafast method. J. Colloid Interface Sci. 2021, 584, 760–769. [Google Scholar] [CrossRef]
- Wang, L.; Zhu, Y.; Wen, Y.; Li, S.; Cui, C.; Ni, F.; Liu, Y.; Lin, H.; Li, Y.; Peng, H.; et al. Regulating the Local Charge Distribution of Ni Active Sites for the Urea Oxidation Reaction. Angew. Chem. 2021, 133, 10671–10676. [Google Scholar] [CrossRef]
- Gu, X.; Yang, D.; Liu, Z.; Wang, S.; Feng, L. Iron oxide promoted nickel/nickel oxide rough nanorods for efficient urea assisted water splitting. Electrochim. Acta 2020, 353, 136516. [Google Scholar] [CrossRef]
- Liu, H.; Wang, P.; Qi, X.; Liu, J.; Yin, A.; Wang, Y.; Ye, Y.; Luo, J.; Ren, Z.; Yu, S.; et al. An amorphous nickel carbonate catalyst for superior urea oxidation reaction. J. Electroanal. Chem. 2023, 949, 117856. [Google Scholar] [CrossRef]
- Lv, W.; Zhu, L.; Kong, X.; Shi, H.; Wang, C.; Zhang, R.; Wang, W. Enhancement effects of Fe-doped Ni3S2 on efficient electrochemical urea oxidation and mechanism insights. J. Alloys Compd. 2023, 965, 171292. [Google Scholar] [CrossRef]
- Cai, M.; Zhu, Q.; Wang, X.; Shao, Z.; Yao, L.; Zeng, H.; Wu, X.; Chen, J.; Huang, K.; Feng, S. Formation and Stabilization of NiOOH by Introducing α-FeOOH in LDH: Composite Electrocatalyst for Oxygen Evolution and Urea Oxidation Reactions. Adv. Mater. 2023, 35, 2209338. [Google Scholar] [CrossRef]
- Geng, S.K.; Zheng, Y.; Li, S.Q.; Su, H.; Zhao, X.; Hu, J.; Shu, H.B.; Jaroniec, M.; Chen, P.; Liu, Q.H.; et al. Nickel ferrocyanide as a high-performance urea oxidation electrocatalyst. Nat. Energy 2021, 69, 904–912. [Google Scholar] [CrossRef]
- Gao, X.; Bai, X.; Wang, P.; Jiao, Y.; Davey, K.; Zheng, Y.; Qiao, S.Z. Boosting urea electrooxidation on oxyanion-engineered nickel sites via inhibited water oxidation. Nat. Commun. 2023, 14, 5842. [Google Scholar] [CrossRef]
- Liu, G.; Xie, C.; Zhang, Y.; Du, Y.; Wang, J.; Lin, J.; Bai, J.; Li, J.; Zhou, C.; Zhou, T.; et al. Synergistic etching of nickel foam by Fe3+ and Cl− ions to synthesize nickel-iron-layered double hydroxide nanolayers with abundant oxygen vacancies for superior urea oxidation. J. Colloid Interface Sci. 2024, 668, 375–384. [Google Scholar] [CrossRef]
- Golmohammadi, F.; Amiri, M. Facile synthesis of nanofiber composite based on biomass-derived material conjugated with nanoparticles of Ni–Co oxides for high-performance supercapacitors. J. Mater. Sci. Mater. Electron. 2020, 31, 2269–2279. [Google Scholar] [CrossRef]











| Ingredient | Concentration |
|---|---|
| NiSO4 | 0.375 |
| CuSO4 | 0.125 |
| FeSO4 | 0.100 |
| Sodium citrate | 0.200 |
| Solution | EpA, V | ipA, mA cm−2 |
|---|---|---|
| 0.5 M KOH | 1.560 ± 0.014 | 1.12 ± 0.05 |
| 1 M KOH | 1.563 ± 0.029 | 1.42 ± 0.07 |
| 2 M KOH | 1.529 ± 0.019 | 1.34 ± 0.17 |
| Material | E@10 mA cm−2, Vvs RHE | Urea Concentration, mol dm−3 | Ref. |
|---|---|---|---|
| NiCuGO20 | 1.720 | 0.15 | [26] |
| NiCu20 | 1.750 | 0.15 | |
| NiFeOH | 1.47 for 50 mAcm−2 | 0.33 | [51] |
| Ni-WOx | 1.60 for 440 mA cm−2 | 0.33 | [52] |
| FeNi—oxide 2 | 1.380 | 0.33 | [53] |
| Fe-Ni/NF | 1.350 | 0.33 | [45] |
| NiFe-F-4 | 1.44 for 50 mA cm−2 | 0.33 | [48] |
| Fe-NiB | 1.290 | 0.5 | [50] |
| Nickel carbonate | 1.60 for 117.7 mA cm−2 | 0.33 | [54] |
| NiOx/CNx | 1.380 | 0.33 | [10] |
| Fe(EDTA)-Ni3S2 @NF | 1.36 for 50 mA cm−2 | 0.33 | [55] |
| NiOOH/(LDH/αFeOOH) | 1.350 | 0.33 | [56] |
| Ni2Fe(CN)6 | 1.35 for 100 mA cm−2 | 0.33 | [57] |
| Ni-SOx | 1.65 for 323.4 mA cm−2 | 0.33 | [58] |
| Ir-NiFe-OH | 1.38 for 100 mA cm−2 | 0.33 | [13] |
| NiFeTiS | 1.36 for 100 mA cm−2 | 0.33 | [46] |
| Fe-Ni3S2/NF | 1.3200 | 0.33 | [45] |
| OV-NiFe-LDH | 1.300 | 0.33 | [59] |
| NiFeP | 1.397 | 0.33 | [47] |
| NiFe | 1.462 | 0.33 | [47] |
| Ni-Cu-Fe | 1.650 ± 0.060 | 0.15 | In this research |
| Circuit Element | 1 M KOH | 0.15 M Urea in 1 M KOH |
|---|---|---|
| Rs, Ohm cm2 | 2.85 ± 0.04 | 3.18 ±0.04 |
| Q-Yo | 2.21 ± 0.10 × 10−3 | 2.47 ± 0.74 × 10−3 |
| Q-n | 8.74 ± 5.00 × 10−1 | 7.55 ± 1.25 × 10−1 |
| Rdif, Ohm cm2 | 5743.50 ± 601.50 | 8549.00 ± 5191.00 |
| Q-Yo | 9.78 ± 2.40 × 10−3 | 5.77 ± 5.00 × 10−3 |
| Q-n | 4.18 ± 0.04 × 10−1 | 5.64 ± 1.36 × 10−1 |
| RCT, Ohm cm2 | 31.06 ± 13.70 | 22.01 ± 17.44 |
Disclaimer/Publisher’s Note: The statements, opinions and data contained in all publications are solely those of the individual author(s) and contributor(s) and not of MDPI and/or the editor(s). MDPI and/or the editor(s) disclaim responsibility for any injury to people or property resulting from any ideas, methods, instructions or products referred to in the content. |
© 2024 by the authors. Licensee MDPI, Basel, Switzerland. This article is an open access article distributed under the terms and conditions of the Creative Commons Attribution (CC BY) license (https://creativecommons.org/licenses/by/4.0/).
Share and Cite
Wala-Kapica, M.; Gąsior, A.; Maciej, A.; Smykała, S.; Kazek-Kęsik, A.; Baghayeri, M.; Simka, W. One-Pot Fast Electrochemical Synthesis of Ternary Ni-Cu-Fe Particles for Improved Urea Oxidation. Energies 2024, 17, 5455. https://doi.org/10.3390/en17215455
Wala-Kapica M, Gąsior A, Maciej A, Smykała S, Kazek-Kęsik A, Baghayeri M, Simka W. One-Pot Fast Electrochemical Synthesis of Ternary Ni-Cu-Fe Particles for Improved Urea Oxidation. Energies. 2024; 17(21):5455. https://doi.org/10.3390/en17215455
Chicago/Turabian StyleWala-Kapica, Marta, Aleksander Gąsior, Artur Maciej, Szymon Smykała, Alicja Kazek-Kęsik, Mehdi Baghayeri, and Wojciech Simka. 2024. "One-Pot Fast Electrochemical Synthesis of Ternary Ni-Cu-Fe Particles for Improved Urea Oxidation" Energies 17, no. 21: 5455. https://doi.org/10.3390/en17215455
APA StyleWala-Kapica, M., Gąsior, A., Maciej, A., Smykała, S., Kazek-Kęsik, A., Baghayeri, M., & Simka, W. (2024). One-Pot Fast Electrochemical Synthesis of Ternary Ni-Cu-Fe Particles for Improved Urea Oxidation. Energies, 17(21), 5455. https://doi.org/10.3390/en17215455

