Abstract
Spent mushroom compost (SMC) is a waste byproduct generated by the mushroom industry, with the current disposal methods involving landfills or incineration, causing environmental problems. This study introduces a cascading valorization based on circular economy. A water-washing pretreatment is suggested to reduce the ash content and improve the calorific value. Furthermore, an oxidative torrefaction is proposed to enhance the physicochemical properties and evaluate the residence time, temperature, and initial weight effects. The investigation revealed that the calorific value increased by 49.46% in the best water washing scenario and the SMC contains laccase. During SMC torrefaction, mass and energy yields exceeded 80%, and the calorific value was improved. Finally, torrefaction in situ CO2 capture was achieved by forming CaCO3, with a mass fraction increase of up to 7.4%. The study describes the cascading innovation use of this residue on a TRL4 higher than previously reported studies, thereby contributing to gaining an understanding of sustainable industrial mushroom production.
1. Introduction
Spent mushroom compost (SMC) is a residual biomass generated by the mushroom production industry [1]. For mycelium growth and the subsequent fruiting body formation, significant quantities of compost are required [2,3,4], leading to the generation of 5 kg of SMC for every 1 kg of mushrooms produced [5,6]. SMC is a mixture of varying proportions of raw materials, including rice straw, sugarcane bagasse, palm husks, peat, and calcium carbonate (CaCO3) [3,5,7,8,9]. Considering the progressive global increase in mushroom consumption over recent years, it is projected that the SMC volume will reach approximately 104 million tons by 2026 [10]. However, since the processes employed for its management do not adequately address the generated volume, disposal is commonly carried out through either landfills or incineration [11], causing environmental imbalances due to the decomposition of this organic mass. This, in turn, affects the physicochemical properties of soils and water bodies, resulting in odorous emissions and Greenhouse Gas (GHG) releases, thereby impacting adjacent communities [11,12].
Importantly, the quantification of this biomass’ environmental impacts on health and resource depletion is largely absent in most studies, with GHG emissions often declared as neutral. In addition, such studies assume that this biomass possesses the necessary properties to be used for soil amendment purposes [13,14]. Although SMC indeed holds potential for such application, it also demonstrates deficiencies in essential nutrients and notably lacks stability studies to substantiate this use [15]. Consequently, its uncontrolled application in soils can substantially influence the physicochemical characteristics of the latter [16,17,18].
In Colombia, efforts to promote the implementation of circular economy principles have led to proposals aimed at enhancing the utilization of waste materials derived from biological sources. In particular, these proposals employ cascading use strategies to integrate waste materials into the same or different production cycles [19,20,21,22]. This, in turn, aligns with the National Circular Economy Strategy for the country, which regulates biomass flows and their management plans [23,24].
The challenge posed by SMC lies in its properties, which include high moisture, significant inorganic and ash content (approximately 40%), and a low fixed carbon content (10%) [25,26,27]. Hence, it becomes imperative to find solutions that efficiently leverage or adjust these characteristics through effective processes capable of handling the generated volumes. One of the avenues explored for such utilization involves thermochemical processes. Among these, combustion, pyrolysis, and gasification have been investigated as means to utilize residual biomasses, including SMC, at the laboratory scale. Another alternative is torrefaction, a process conducted at temperatures ranging from 200 to 300 °C, typically under inert atmospheres, and aimed at enhancing the properties of solids [28,29].
In the context of SMC, there is a lack of study and documentation on the use of torrefaction. In their study, Sygula et al. [30] assessed the effect of torrefaction time and temperature under a nitrogen atmosphere employing a muffle furnace as an experimental unit, achieving mass and energy yields of 98.5% and 120.3%, respectively. For industrial volumes of generated SMC, however, the cost associated with using inert atmospheres on an industrial scale poses a limitation [31,32].
Regarding the use of torrefied biomasses, research has been conducted on their application in combustion processes due to an increase in calorific value [33,34]. Furthermore, torrefied biomass has been investigated as a base material that, upon functionalization, can exhibit CO2 adsorption and/or absorption capacities [35,36]. In the case of SMC, Alves et al. [37] reported a CO2 adsorption capacity of 8 mmol/g at 1 atm and 25 °C through hydrothermal carbonization and hydrochar pelletization, although mechanical stability and scalability issues were observed. Building on this and under identical operational conditions, Almeida et al. [38] found that hydrochar from pinewood sawdust with 1% SMC as an additive achieved a CO2 adsorption capacity of 6.9 mmol/g. While these results hold promise, they are not currently scalable to commercial materials such as activated carbons, zeolites, and silicas, which feature carbon-rich and porous structures functionalized to show affinity for CO2 [39]. Thus, an alternative research avenue must be explored to ascertain SMC’s absorption capacity through chemical affinity with present inorganic materials.
Furthermore, the elevated ash content in biomasses, including SMC, imposes limitations on thermochemical processes due to adverse effects on yields and equipment performance [40,41]. From this perspective, washing procedures have been extensively investigated using a variety of strong and weak acids, as well as alkaline compounds [42,43]. These techniques significantly reduce ash content but yield liquid waste streams that pose challenges for proper disposal and adversely impact the environment. For instance, Toor et al. [44] achieved a 67% reduction in SMC ash content using citric acid but without considering the environmental implications. Likewise, Rodriguez-Machin et al. [45] employed the same acid treatment on sugarcane bagasse and identified an increase in the category of damage to human health through a life cycle assessment [46,47].
In their studies, Singhal et al. [48,49,50] examined the impact of washes using distilled and deionized water while varying factors such as time, temperature, particle size, and number of steps. Based on the results, the authors proposed an industrial-scale use of water at 50 °C, employing multiple steps and shorter times to reduce water consumption and enhance implementation. While this approach does not achieve the same level of ash content reduction as acid washes, it avoids the generation of challenging-to-manage acidic streams.
In terms of cascading use, the literature has also ventured into the biological realm by recognizing SMC as a source of ligninolytic enzymes secreted by mushrooms during their growth and present in their residue [51]. Zhou et al. [52] and Schallemberger et al. [53], for example, focused on determining the presence and activity of a range of enzymes in SMC and identified manganese peroxidase, lignin peroxidase, and laccase activity in it. This activity, particularly, is of industrial relevance because it is essential to numerous large-scale processes across diverse food industries, including bakery, beverages, and dairy, and even in innovations for meat packaging [54,55,56,57]. The use of SMC for cattle feed applications has also been investigated; however, its ash content has proven to be a limiting factor [9].
Upon a thorough review of the current state-of-the-art, it is evident that SMC exhibits intricate physicochemical properties and demonstrates significant potential for the development of materials and the extraction of enzymes with added value. However, the valuation processes have been conducted independently and at a laboratory scale, presenting an opportunity to implement a comprehensive approach that integrates multiple processes. Therefore, the main purpose of this study is to propose a cascading use method for industrially derived SMC. This involves identifying the presence of enzymes, selecting and evaluating SMC washing processes, conducting a proof-of-concept of oxidative torrefaction in a pilot-scale screw conveyor reactor (TRL4), and determining the CO2 capture potential during the SMC torrefaction process. Through this effort, it aims to promote its valorization within the context of the circular economy and contribute to gaining an understanding of sustainable and regenerative agriculture.
2. Materials and Methods
2.1. Biomass: Fractions and Sample Treatment
SMC samples from the cultivation of Agaricus bisporus species were obtained from Setas Colombianas (Yarumal, Colombia) after harvesting mushrooms twice and after bed pasteurization. Upon the unloading of mushroom-growing beds, two distinct components were identified and separated: the casing layer and substrate. To characterize the material with the highest potential in each process, the nomenclature shown in Figure 1 was used.
Figure 1.
Components of spent mushroom compost (SMC). Source: own work based on the industrial process followed by Setas Colombianas S.A.
Random production lots were chosen, and 20 kg of samples were collected from each component. The time elapsed between bed unloading and sample arrival at the laboratory was two days, with an ambient temperature of 20 °C ± 5 °C. Upon arrival, the samples were successively quartered to obtain between 1 and 2 kg of analytical samples, which were stored in high-barrier bags (OTR < 3 cm3/m2/day). These procedures adhered to the ASTM standards and publicly and privately available documents for solid fuel sample handling [58,59,60,61,62,63].
2.2. Qualitative Assessment of Laccase Enzyme Presence in SMC
The entire SMC was employed for this assessment. As references, the procedures used by Lim et al. [64] and Vats et al. [65] were followed to prepare crude extracts. To do this, the biomass was combined with distilled water in a 1:10 ratio at 4 °C while being stirred magnetically at 300 RPM for 60 min. Subsequently, vacuum filtration was carried out at pressures ranging from 50 to 100 hPa using Advantec grade no. 1 qualitative filter papers. The filtered solution was then centrifuged at 4 °C and 10,000 RPM for 15 min.
The resulting supernatant was subjected to a colorimetric analysis. Using quartz cells, a mixture of SMC crude extract and ABTS solution [2,2′-Azino-bis(3-ethylbenzthiazoline-6-sulfonic acid) from Sigma-Aldrich (St. Louis, MI, USA), (A3219)] in a 1:9 ratio was prepared. Laccase presence was indicated by a color change: from the initial yellow (extract color) to green, signifying ABTS oxidation. The reaction was monitored at room temperature for 20 min, and the assay was conducted in triplicate. For the purposes of this study, the enzymatic activity was not measured; the primary emphasis was to determine the presence or absence of the enzyme in SMC.
2.3. Ash Content Reduction
The substrate (S) was the biomass fraction chosen for this purpose. It was washed using distilled water at 50 °C, at a biomass–water ratio of 1:25, and with magnetic stirring at 800 RPM. Drawing on the studies by Singhal et al. [50,66], the effects of the number of washing steps (1 and 2) and time (10 and 20 min) on the ash content reduction and moisture-free gross calorific value were studied. Scheme 1 details the experiments that were performed.
Scheme 1.
Substrate (S) washing for ash content reduction. Source: Own work based on the study by Singhal et al. [50].
Upon the completion of each step and treatment, a sedimentation time of 30 min was used for all the cases, facilitating the vacuum filtration process using Advantec grade no. 1 qualitative filter papers. Each treatment was conducted in triplicate following a 2 × 2 factorial design, which was subjected to an analysis of variance (ANOVA) using Minitab 19.
2.4. Torrefaction Reactor Design and Setup
The experimental unit employed in this study was a screw reactor, specifically designed and customized for this purpose in collaboration between Instituto Tecnológico Metropolitano and Zenú S.A.S. (Medellín, Colombia) Figure 2 and Figure 3 depict the constructional layout and actual design of the reactor, which comprises four heating zones with a 1700 W resistance for a total thermal power of 6800 W and a mechanical power of 1500 W for the SMC conveying system. Such a conveying system is driven through a geared motor mechanism with a variable frequency drive and a 50 mm diameter auger with helical blades for biomass displacement.
Figure 2.
Torrefaction experimental setup. Source: own work.
Figure 3.
Experimental torrefaction reactor setup. Source: own work.
In the designed reactor, biomass is fed into a sealed hopper with a capacity of 300 g and adjusted for atmospheric gas ingress; in this case, compressed air was controlled by an Omega volumetric flow controller, which was validated and adjusted using a TSI 4100 (Shoreview, MN, USA) flow meter. The feeding hopper is attached to a reaction chamber, comprising a thermally insulated tube. The heating system consists of tubular electric resistances positioned externally to the reaction chamber. The wall temperature of each heating zone is automatically regulated by Maxthermo units, coupled to four J-type thermocouples.
The reactor boasts two outlet streams: one for solid products and the other for condensable and non-condensable gasses (CGs and NCGs). The solid products are collected in a 500 mL volumetric container, while the system gasses are channeled, prior to the exit of solids, through conduits leading to two tar traps designed using Drechsel gas washing bottles filled with water. Notably, the NCGs travel to a forced ventilation system.
2.5. Evaluation of Operating Parameters
The operating parameters evaluated during torrefaction were temperature (°C), residence time (min), and biomass mass (g) [30,67,68,69,70]. Preliminary experiments were conducted to determine the biomass mass and the flow of compressed air required to displace the atmosphere through the four heating zones and evacuate process gasses.
The chosen experimental design was a split-plot design with temperature as the blocking factor. This decision was made due to the extended temperature stabilization times resulting from factor changes. Each treatment was carried out in duplicate, amounting to a total of 24 runs. The results of the response variables were subjected to ANOVA. Table 1 provides a description of the factors, levels, and operating conditions used in the experimental design.
Table 1.
Experimental design for spent mushroom compost (SMC) torrefaction.
Subsequently, the effect of biomass fractions was studied using the operating conditions providing the highest mass and energy yields. Table 2 outlines the experimental design used in this study.
Table 2.
Experimental design for spent mushroom compost (SMC) torrefaction—biomass fractions.
Three replicates were performed for each treatment, and the results of the response variables were subjected to ANOVA.
2.6. Mass and Energy Yields of Solid and Gaseous Products
To determine the mass and energy yields of the torrefied solid products, mass and energy balances were performed. The equations are presented in Table 3.
Table 3.
Equations for determining mass and energy yields in torrefaction.
To perform the aforementioned calculations, the solid and liquid streams entering and leaving the reactor were characterized.
2.7. Sample Characterization
The treated and untreated (washing treatment and torrefaction) samples were characterized using instrumental techniques to estimate the specified response variables. Sample preparation for this purpose involved drying at 105 °C for 24 h, followed by grinding and sieving through a standard No. 60 mesh screen [72,73].
A proximate analysis was carried out employing an SDT Q600 thermogravimetric analyzer (TA Instruments, New Castle, DE, USA) to determine the moisture content, volatile matter, fixed carbon, and ash percentages according to ASTM E1131 [74]. For the analysis of material morphology and surface composition, micrographs were captured using a scanning electron microscope with energy-dispersive X-ray spectroscopy (JEOL JSM-7100 microscope, JEOL Ltd, Akishima, Tokyo, Japan). Before the analysis, the samples were prepared first and coated with gold in a Quorum Q300T D sputter coater (Quorum Technologies, Laughton, East Sussex, UK).
To calculate the energy content of the samples, the gross calorific value was determined using a Parr 6100 calorimeter (Parr Instrument Company, Moline, IL, USA), introducing between 2 and 3 g of samples into the combustion vessel. To identify changes in functional groups before and after torrefaction, an FTIR analysis was performed on 1% sample and 99% KBr pellets in an IRTracer-100 (Shimadzu Corporation, Kyoto, Japan). Finally, a color analysis was conducted on the torrefied samples. Images were captured using a Nikon D90 digital camera (Nikon Corporation, Tokyo, Japan) and the DigiPix 2.9. software. This allowed us to determine the a*, b*, and L* coordinates and calculate ΔE.
3. Results and Discussion
3.1. Qualitative Assessment of Laccase Presence in SMC
Figure 4 shows the qualitative results, indicating the presence of laccase in all three replicates performed (R1, R2 and R3). The color change reaction, or ABTS oxidation, started 5 min after the addition of the crude extract, with a strong green coloration observed at the 20 min mark.
Figure 4.
Colorimetric assay for ABTS oxidation analysis.
These findings align with those reported by Lim et al. [64], who conducted a comparative analysis of commercial laccase and SMC extracts using the same assay and electrophoresis. There, the researchers determined enzymatic activity for SMC from two mushroom species and quantified enzymatic activities for the assays up to 8.01 U/g, which was compared to commercial laccase, whose activity ranges from 0.3 to 10 U/mL.
The color change in the solution from yellow to green occurs because ABTS is a compound that features an unstable radical ion (ABTS+), which can be either reduced or oxidized depending on the solution in which it is found. In this case, the oxidizing activity of the enzyme laccase catalyzes the oxidation of the phenolic compounds present in the biomass, generating the ion ABTS+, which, under specific conditions, forms a colored complex that may appear green due to the presence of oxidation intermediates. These compounds, such as the phenolic structures identified in the biomass, could contribute to the observed color change in the reaction.
This observation makes sense considering that SMC is residual and may contain other enzymes and biological macromolecules. Similar outcomes were reported in the plate screening assay conducted in the study by Ghose et al. [75], wherein comparable green colorations resembling those in the present study were observed.
3.2. Effect of Number of Steps and Washing Time on Ash Content Reduction
Figure 5 presents the results of the ash content (%) and gross calorific value (MJ/kg) of the biomass after the washing treatments. The ANOVA for the ash content response variable indicates no statistically significant difference between the number of steps (p-value = 0.116) and treatment time (p-value = 0.249), or in double interactions (p-value = 0.726). However, in the two-step and 10 min treatment, a tendency towards ash content reduction and calorific value increase was observed. This behavior aligns with the findings reported in the study by Singhal et al. [50], where a 48% reduction in ash content in palm oil industry residues was achieved with three steps of 5 min. In our case, the maximum ash content reduction was 13.8%, decreasing from 38.8% to 33.5%.
Figure 5.
Effect of number of steps and washing time on ash content and calorific value.
Similarly, Figure 6 shows the factorial plots describing trends in the response variables. As can be seen, the two-step and 10 min treatment exhibited a reduction in ash content and an increase in gross calorific value. No improvement in responses was observed for the two-step and 20 min treatment.
Figure 6.
2 × 2 factorial plots of the relationship between washing time and number of steps. (a) Gross calorific value (MJ/kg) and (b) Ash content (%wt).
This effect may be associated with the type of elements and inorganic compounds present in the ashes; in the case of SMC, elements such as potassium, magnesium, and calcium were identified, as shown in Figure 7, and the oxides of these as reported in Table 4. These, exposed for longer periods, in contrast to those reported by Singhal et al. at temperatures of 50 °C, could precipitate and bind directly to the substrate instead of dissolving as in the case of potassium, sodium, and chlorine, also present in SMC. This hypothesis aligns with the findings reported by Y. Wang et al. [76], who analyzed leaching mechanisms for corn straw and found that depending on the inorganic compounds present, they would be susceptible to solubilization or precipitation. A similar phenomenon was observed by Singhal et al. [50].
Figure 7.
SEM-EDX micrographs of untreated substrate: (a) carbon, (b) silicon, (c) magnesium, (d) chlorine, (e) potassium, and (f) calcium.
Table 4.
Inorganic compounds present in the SMC.
Regarding the behavior of the gross calorific value response variable, the ANOVA also did not show a significant effect of the number of steps (p-value = 0.368), treatment time (p-value = 0.990), or double interaction (p-value = 0.328). Despite this finding, the calorific value increased by 49.46% in the two-step and 10 min treatment, rising from 8.29 to 12.39 MJ/kg when compared to the untreated substrate. A similar trend was identified by Liu et al. [77], who, using straw and pine wood residues, achieved a 21% increase in lower calorific value with one-step washing at room temperature for 3 h, a significantly longer time than that shown in the present study (10 or 20 min). In their study, Chen et al. [78] also reported an increase of 20% in the calorific value for SMC, along with a 36.2% ash content reduction using water washing.
3.3. Effect of Operating Parameters During SMC Torrefaction
The ANOVA results of the experimental design (Tables S1 and S2), both for the mass and energy yields of solid products, showed that the parameter with the greatest influence on oxidative torrefaction was residence time p-value = 0.000 for mass and energy yield, followed by temperature (p-value = 0.0175 for mass yield, and p-value = 0.1990 for energy yield), while mass had no effect on any of the variables.
These results differ from those of other studies on biomass torrefaction, which declare temperature as the predominant factor, with residence time being of secondary importance [28,67,79]. However, it is important to note that unlike in the present study, torrefaction in such studies occurred in an inert atmosphere, where there were no oxidation reactions with the atmosphere [80].
With respect to mass, it has not been reported in the literature to have a significant impact on torrefaction yields in screw reactors and inert atmospheres. The effect associated with mass has generally been attributed to particle size [81]. In our study, it was controlled by pre-grinding to a size < 5 mm.
Nevertheless, during reactor tuning, masses below 25% of the hopper (i.e., below 148 g) showed mass yields below 50%, which may be related to the volume of biomass available to react between each step of the screw. This effect causes the phenomena of heat transfer by conduction from the reactor wall to the biomass surface and from there to the biomass interior to present significant temperature deltas. In addition, it accelerates oxidation reactions mediated by the presence of oxygen when the biomass volume is lower [82,83].
On the other hand, Table 5 presents the results of mass and energy yields, proximate analysis, and gross calorific value for the different treatments. These properties can be used to estimate the energy recovery potential from the residual biomass. The oxidative torrefaction process involves a series of chemical reactions, including devolatilization, oxidation, depolymerization, and decomposition, which result in a decrease in the volatile material content. However, in the cases of low torrefaction severity, such as 10 min at 190 °C and 220 °C with 222 g of sample, a trend of increasing MV was observed, with a decrease in fixed carbon (Table 5). This decrease in fixed carbon indicates the occurrence of oxidation reactions mainly, as opposed to decomposition and devolatilization reactions.
Table 5.
Mass and energy yields, proximate analysis (db), and gross calorific value of treatments applied during oxidative torrefaction.
Conversely, at 250 °C, a decline in volatile material from 41.72% to 35.68% and an increase in fixed carbon from 6.81% to 10.48% was observed, indicating a reverse trend. Similarly, in the case of residence times of 30 min, a consistent trend of decreasing volatile material at all three process temperatures and an increase in fixed carbon were observed. This suggests that under these conditions, decomposition and devolatilization reactions were more relevant than oxidation reactions. For moderate and severe torrefaction conditions, an increase in the ratio of fixed carbon to volatile material was observed after torrefaction. This behavior can help alleviate the technical challenges encountered during the biomass co-combustion process, such as non-uniform heat distribution within the combustion chamber caused by the high volatile material content in the biomass.
It is noteworthy that the majority of the cases evaluated exhibit an increase in heating value, with the most substantial increase observed at 250 °C and 10 min, reaching up to 17%. Additionally, the high ash content obtained on the torrefacted samples underscores the necessity of using pretreatments to treat the ashes to enable the thermochemical valorization of this type of biomass.
An inversely proportional relationship was observed between mass and energy yields and time and temperature factors. This behavior has been reported by Sygula et al. [30] for SMC, Zhang et al. [84] for rice straw, and Bampenrat et al. [85] for sugarcane bagasse, the latter two in an inert atmosphere. Furthermore, Chen et al. [69] performed two 30 min processes and obtained mass yields of 62% at 220 °C and 45% at 300 °C for rice husks in an oxidative atmosphere. In this study, the condition with the lowest severity was 190 °C and 10 min, with a resulting mass yield of 93%. For the condition of 250 °C and 30 min, the mass yield was 68%, which means a 25% decrease.
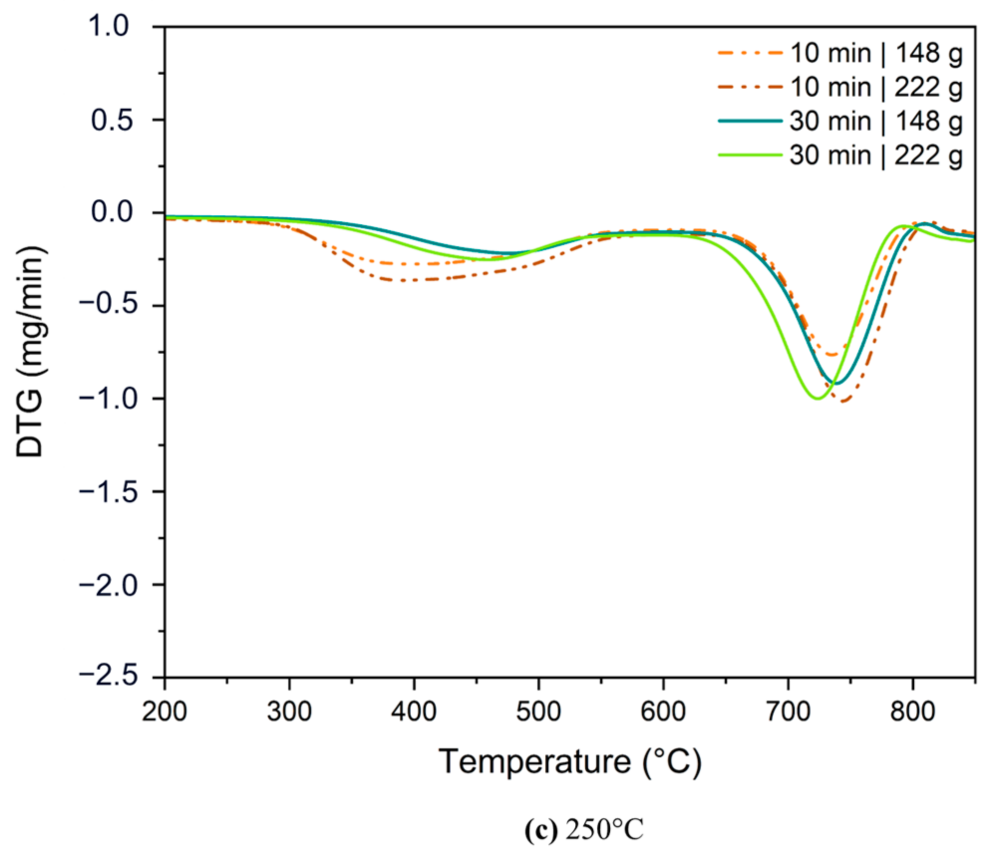
Linked to mass loss, Figure 8 presents the temperature on the X-axis and the change in mass loss as a function of time or DTG on the Y-axis. The graphs in this figure help to identify the degradation of lignin, cellulose, and hemicellulose, as each undergoes decomposition at temperatures unique to their chemical structure. Specifically, hemicellulose decomposes at 218.7 °C to 335.8 °C; cellulose, at 270 °C to 379.8 °C; and lignin, at 296.9 °C to 465.4 °C [86].

Figure 8.
Derivative Thermogravimetry (DTG) during SMC torrefaction at different temperatures.
With this knowledge base, trends were identified for each torrefaction temperature. Treatments at 190 °C were found to be less aggressive in terms of hemicellulose decomposition. This can be observed from 237 °C to the inflection point of 289 °C, with a greater depth for the 10 min times, compared to 30 min times, which clearly had a greater effect on biomass. In addition, cellulose decomposition began at 300 °C, and less intense lignin degradation was identified at inflection points near 450 °C. This means that at these temperatures, the main components of biomass underwent less degradation.
During the 220 °C and 250 °C torrefaction treatments, there was a decline in peak intensity. This indicates a greater hemicellulose and cellulose degradation, particularly intense in the 30 min treatments. Furthermore, mass loss at temperatures exceeding 400 °C suggests a possible reorganization of the molecular structure of lignin caused by the oxidation reactions during torrefaction.
Finally, it is important to note that the three graphs show a peak at 750 °C with varying degrees of intensity depending on the temperature and time. The region around this temperature suggests the presence of inorganic materials, specifically CaCO3, which is a basic component of one of the SMC fractions [7,87].
In terms of changes in functional groups during the oxidative torrefaction process, the FTIR results for the different treatments are shown in Figure 9.

Figure 9.
FTIR of torrefaction treatments at different temperatures, residence time, and initial weight of SMC.
Figure 9 depicts the infrared spectra of the fresh and torrefied biomass under varying residence times and temperatures. The O-H functional group band, associated with stretching in alcohols, phenols, or carboxylic acids, exhibits a slight decrease with increasing torrefaction temperature and time, indicating a shift towards more hydrophobic characteristics. The CH peaks groups, linked to the aliphatic fraction of hemicellulose, cellulose, and lignin, demonstrate a marginal decrease with rising torrefaction temperature and time, indicating partial degradation. Furthermore, the C=O peak, attributed to the presence of carboxylic acid in hemicelluloses such as xyloglucan, arabino glucuronoxylan, and galactoglucomannan, does not exhibit a clear trend in response to changes in the experimental parameters.
Changes in the intensity of the peaks around 2800 cm−1 and 2500 cm−1 can be visualized compared to non-torrefied SMC. At 2500 cm−1, this zone is associated with CO2 capture processes due to the formation of carbonate groups; in addition, the hydroxyl groups in the biomass are partially dehydrated, which prevents the formation of hydrogen bonds, thereby causing the torrefied biomass to become hydrophobic [88].
The region displaying the most pronounced alterations in functional groups, commonly referred to as the fingerprint region, was delineated within the spectral range spanning from 1000 cm−1 to 500 cm−1. This segment disclosed two discernible peaks, denoted at 876 cm−1 and 713 cm−1, representative of characteristic calcite features. These findings align seamlessly with the observed escalation in ash content across all the treatments, a trend that correlates positively with rising temperatures [89,90].
Figure 10 shows the color changes visualized in the SMC after the torrefaction process at different temperature, time, and mass conditions. In general, it can be seen that the least intense treatment was associated with the temperature of 190 °C and 10 min, taking into account the small variation in the intensity of the brown tones; the opposite is the case with the treatments of 250 °C and 30 min, where the change from brown to black is evident.
Figure 10.
Color comparison between untreated SMC and torrefied SMC at different temperature (°C), time (min), and mass (g) parameters.
In addition to this visualization of the intensity changes in the torrefaction seen from the color qualitatively, Figure 11 shows the change in the coordinates L*, a*, and b* and the result of ΔE, which is the indicator of the global color change and its perception by the human eye. These values made it possible to identify the impact of torrefaction through the increase in the tonality and intensity of the dark colors of the biomass as time and temperature increased.
Figure 11.
Changes in L*, a*, b*, and ΔE coordinates during the torrefaction process.
The impact on the color coordinates exhibited a decreasing trend. The colors went from light brown to dark brown and black in the case of the most intense treatments at 250 °C and 30 min. The L* coordinate predominated in the results of these treatments, with a tendency to decrease up to 68%. This indicates proximity to black tones and aligns with the findings of Chen et al. [91,92], who studied torrefactions in wood biomasses under both oxidative and inert conditions.
These color changes during torrefaction are driven by chemical reactions that take place during the residence time. One of these reactions is hemicellulose degradation. However, Maillard reactions can also occur with components such as sugars, phenolic compounds, and amino acids, which are present in SMC and were mentioned by Qin et al. [93,94]. The change in the a* and b* coordinates could not be attributed to a particular chemical reaction within torrefaction, despite the color variations. This same result was reported by Xi et al. [92], so further research is required to understand the changes in these coordinates.
3.4. Effect of Biomass Fraction During Torrefaction
Based on the results of the previous section, the selected treatment was at 220 °C, 10 min, and 148 g to assess the effect of the biomass fraction. The ANOVA revealed a statistically significant difference among biomass fractions in the mass yield of the solid products (p-value = 0.002), with the casing layer (CL) having a better yield (90.23%), followed by the SMC (78.90%), untreated substrate (UTS) (76.26%), and treated substrate (TS) (75.55%).
These differences are attributed to the heterogeneity of SMC, a phenomenon that multiple authors have documented [6,30,95]. SMC’s physicochemical composition is variable because it is a waste obtained from the composting of various waste biomasses that are continuously changing in formulation due to availability or prices. When separating the SMC fractions, differences in composition are also observed. CL is more moist and homogeneous due to its formative nature [96,97,98]. In contrast, UTS and TS are less moist, more heterogeneous, and woody as they are mainly composed of precursor biomasses, among which rice straw and sugarcane bagasse stand out [99].
In addition, Table 6 provides a summary of the results related to the mass and energy yields, proximate analysis, and gross calorific value of SMC and its fractions before and after oxidative torrefaction treatment. The oxidative torrefaction process reduced volatile material and increased ash content in all the samples. The analysis of the calorific value for the SMC fractions showed that CL had a calorific value of 6.06 MJ/kg, while the substrate had a calorific value of 8.43 MJ/kg. When blended in the SMC, an intermediate calorific value of 7.71 MJ/kg was obtained. A similar trend is observed with respect to mass and energy yields. For instance, SMC has a mass yield of 86.02%, which is intermediate to CL and US, with mass yields of 90.23% and 75.55%, respectively.
Table 6.
Mass and energy yields, proximate analysis, and gross calorific value of the different biomass fractions at 220 °C, 10 min, and 148 g.
Table 6 also shows an increasing trend in the energy yields for SMC, CL, and UTS explained by the increase in the calorific value after torrefaction. Nevertheless, the trend is inverse for the TS sample treated with water at 50 °C, where the calorific value decreased and, therefore, the energy yield. In the case of this sample (TS), it had the lowest initial ash content (33.50%). However, after the torrefaction process, the ash content increased by up to 37.8% (from 33.50% up to 46.16%), which penalized the calorific value significantly. In the other samples, the ash content also increased with the oxidative torrefaction, but to a much lesser extent: 7.7% for the SMC, 6.2% for the CL, and 18.36% for the US, so the heating value increased despite this increase in the ash content.
Although specific studies on the oxidative torrefaction of SMC fractions are not common, Krysanova et al. [100] analyzed CL—which is mainly composed of peat—at 230 °C in an inert atmosphere. They found mass yields of 92%, similar to those in the present study. The absence of literature in this area is due to the additional operation required to separate the fractions when unloading the mushroom-growing bed. Therefore, this study can serve as a reference on the subject.
In the case of CL, as it is mainly made up of peat, it is a biomass produced by plant decomposition due to soil microbial activity [99]. This decomposition process is associated with hemicellulose and a portion of cellulose, resulting in the formation of humic and fulvic acid [101,102]. These two complex macromolecules are rich in carbon, form stable complexes with inorganic materials, and have both hydrophilic and hydrophobic functional groups [102].
This biochemical phenomenon makes peat porous, humid, and rich in a type of carbon that is difficult to access for thermal degradation due to the impact on the structures of humic and fulvic acids at temperatures over 300 °C [103]. Therefore, the low amounts of hemicellulose and cellulose [103] compared to other fractions and the high mass yields of solids are consistent with the chemical nature of the material and its oxidative torrefaction. In contrast, the substrate, the main mass component of SMC, is characterized by containing a greater amount of hemicellulose and cellulose, which makes it more susceptible to degradation during oxidative torrefaction.
These degradation phenomena are shown in Figure 12, which displays the DTG for each biomass fraction before and after torrefaction. The complete degradation of hemicellulose is achieved at temperatures above 200 °C. Additionally, a peak is observed at 350 °C, indicating the partial degradation of cellulose. This peak is more pronounced in the UTS and TS fractions; that is, this biomass fraction has a higher composition of this polymer compared to CL and SMC. These results make sense because compost mainly consists of similar biomasses such as sugarcane bagasse and rice straw, whose DTG displays precise peaks in the mentioned temperature ranges [84,103,104,105,106].
Figure 12.
DTG during the torrefaction process of different SMC fractions.
Likewise, Figure 12 also exhibited a pronounced peak between 700 °C and 800 °C, which corresponds to the degradation of CaCO3, as previously explained, and was detectable in all the treatments. This means that during oxidative torrefaction, CaCO3 is produced as a result of a CO2 capture or absorption process of the torrefied biomass inside the reactor. This occurs in a higher proportion for the SMC (7.37% increase in mass with respect to the non-torrefied sample), casing layer (5.74%), and TS (3.01%), but not for UTS.
Additionally, the X-ray diffraction results of the same torrefacted fractions are presented in Figure 13, where the exact peaks of calcium carbonate present in the fractions are presented. The peaks corresponding to 23°, 29°, 36°, 39°, 43°, 47°, and 48° correspond to calcite, the 29° peak being more intense compared to the others and likewise presenting a greater intensity in the CL sample, followed by TS, SMC and UTS.
Figure 13.
X-ray diffraction during the torrefaction process of different SMC fractions.
This phenomenon can be explained by the following chain of reactions that occurred at temperatures of 220 °C:
- (I)
- Moisture evaporation from the biomass and water release from degraded chemical structures. This process occurs between zones 1 and 2 of the reactor and moves through its entire length due to the fluid dynamics of the equipment.
- (II)
- Hemicellulose degradation. This is the most labile component compared to cellulose and lignin and releases a larger amount of water because of its natural non-crystalline structure, providing greater water retention capacity. During exposure to torrefaction temperatures, the glycosidic bonds fracture, releasing water and polysaccharides [107].
- (III)
- The presence of ash and inorganic compounds such as calcium oxides in the SMC plays a significant role in the formation of CaCO3 in the presence of water through the formation of calcium hydroxide [108] (Equation (4)). This exothermic reaction occurs during torrefaction, thus accelerating the decomposition reactions in an oxidative atmosphere.
- (IV)
- Due to degradation reactions, significant amounts of CO2 are released. In the presence of calcium hydroxides, CO2 can form CaCO3 complexes in the warmest areas of the reactor. These particles exhibit higher temperatures inside the reactor due to accelerated conduction phenomena, thus favoring the reaction [107] (Equation (5)).
Results of this type have not been reported in the literature on SMC. However, they were described by Zhang et al. [108] during the mild pyrolysis of peanut shells and pine sawdust between 220 °C and 400 °C in the presence of CaO and CaCO3 as additives. This leads us to infer that during the oxidative torrefaction process, CaCO3 is being produced as a result of a CO2 capture or absorption process of the torrefied biomass inside the reactor. These results have not been referenced by the literature for SMC; however, they were visualized in the investigations carried out by Zhang et al. [108] during slow pyrolysis between 220 °C and 400 °C on peanut shells and pine sawdust in the presence of CaO and CaCO3 as additives.
This type of reaction in which CO2 is captured through calcium oxides resulting in CaCO3 is a part of the concept of CO2 capture technology with calcium looping or CaL for its acronym Calcium Looping. This is based on the use of reversible carbonation and calcination reactions between CaO/CaCO3 for the capture of this gas in environments at temperatures between 650 °C and 700 °C for carbonation and 800 °C and 900 °C for calcination [109].
While it has been extensively studied, it presents challenges from both technical and economic standpoints. Due to the high temperatures required for the reactions, the loss of stability in the capture capacity has been reported and the base materials have to be continuously replaced. These, in turn, are generally prepared through synthesis processes with the use of limestone and dolomite, which makes the process have opportunities in its economic viability on a large scale [109,110].
One of the options studied to decrease these operational costs and stability is through the reduction of CO2 partial pressure of the calcination environment, which can mean that the temperature can be reduced [110]; at this point, one of the strategies is the introduction of water vapor. Being the oxidative torrefaction of an environment rich in oxygen, the carbon dioxide released by the biomass, water vapor, and the SMC composed of 12% calcium oxides, a suitable environment is given for the generation of the previously mentioned reactions.
Industrial Approximation
In this paper, a cascading use approach for the valorization of SMC was proposed and the main streams were analyzed to demonstrate its potential to implement the principles of circular economy in terms of the biological cycle. In addition, this study enhanced the understanding of the physicochemical properties of this biomass, which will favor the design of scalable and accessible processes that take into account the volumes produced at the industrial level. The study revealed the presence of laccase, one of the most industrially valuable ligninolytic enzymes. Consequently, we suggest conducting further biological research to explore and exploit this enzyme that occurs naturally during mushroom growth and remains active even after SMC pasteurization. The proposed SMC pretreatment made it possible to obtain a solid product with reduced ash content, thanks to a neutral washing process, and low environmental impact. Furthermore, this solid product is practical and scalable at the industrial level, so it can be used in co-combustion processes in the presence of other solid fuels, thus reducing the extraction of fossil fuels for steam generation processes.
The findings of this study shed new light on the use of SMC oxidative torrefaction with a screw reactor in a TRL 4, surpassing the typical values observed for this type of biomass. The results showcase the process’s ability to generate torrefied material with reduced moisture levels; enhanced calorific value, homogeneity, and grindability; and increased hydrophobicity. Furthermore, the material is rich in inorganic components, especially CaCO3, which can be employed in agriculture. From the point of view of CO2 capture, it was possible to demonstrate a process of absorption during torrefaction as a result of carbonation reactions in humidity-rich environments at temperatures of 220 °C. This is a result of research potential due to the need to reduce the temperatures of the technology of Calcium Looping or CaL.
In the literature, other cascade approaches have been the subject of various studies, resulting in the production of diverse products. For instance, in the work by Chen et al. [111], products such as food, ethanol, and solid fuels were obtained. The study revealed that from one ton of initial birch substrate, it is feasible to yield up to 400 kg of fresh fruit bodies of Au. auricula-judae, 35 L of ethanol, and up to 300 kg of solid fuel suitable for heat production. Similarly, Ikeda et al. [112] reported the production of high-value products including food, biogas, and a second mushroom production cycle using the mushroom ‘enokitake’ (Flammulina velutipes). The researchers combined the solid product of the anaerobic digestion of SMC with an initial raw material composed of rice bran, achieving quality characteristics of the mushroom product comparable to those of the initial material. Moreover, Economou et al. [113] demonstrated a cascade application, yielding main products such as food and the potential for reusing the initial SMC for a second production cycle of oyster mushrooms (Pleurotus ostreatus), along with the extraction of the laccase enzyme from the SMC obtained from the second cycle.
The proposed cascade in this research is centered on the acquisition of food, extraction of the laccase enzyme, and the production of solid fuel through two procedures: washing to reduce ash content and oxidative torrefaction. These later processes aim to enhance the properties for favorable thermochemical valorization. The study presents an innovative approach by exploring the challenges associated with the oxidative torrefaction of the SMC in chemical reactions. Furthermore, in situ CO2 adsorption during torrefaction leads to the formation of calcium carbonate, offering potential for extending the cascade system towards applications in agriculture.
4. Conclusions
A method for the cascade valorization of spent mushroom compost (SMC) is proposed in this article. SMC presents challenges for its valorization due to its heterogeneity, high ash content, and low fixed carbon content, as well as biological products with high added value that are usually wasted during disposal. Based on the results, the following conclusions were drawn:
- -
- Lacasse was detected in the SMC (Agaricus bisporus) studied. Therefore, it is suggested to study the feasibility of extracting this enzyme before carrying out any thermal or biological treatments on this biomass to avoid wasting its biological potential. Further studies could determine the impact of implementing a sequential process to use the obtained residue after enzyme extraction.
- -
- Regarding the water washing pretreatments, it was observed that the number of steps (1 or 2) and the residence time (10 or 20 min) did not have a statistically significant impact on the reduction in ash content. Notably, the two-step, 10 min treatment resulted in a remarkable 13.8% reduction in ash content, which led to a significant 49.46% increase in calorific value. This observation highlights the promising potential of this pretreatment approach.
- -
- In the oxidative torrefaction process, residence time had a greater effect compared to temperature, while the amount of initial mass had no statistically significant effect. Mild torrefaction conditions (190 °C and 10 min) increased the content of volatile material and decreased fixed carbon, possibly because the devolatilization and decomposition reactions of the biomass were not as relevant as the oxidation reactions. Moderate and severe conditions favored a decrease in volatile material and an increase in fixed carbon. In most conditions evaluated, the calorific value increased, with up to a 17% increase observed for the conditions of 250 °C, 10 min, and 148 °C.
Supplementary Materials
The following supporting information can be downloaded at https://www.mdpi.com/article/10.3390/en17215458/s1, Table S1. Split-plot ANOVA results for mass yields of solid products. Table S2. Split-plot ANOVA results for energy yields of solid products.
Author Contributions
C.R.L.: research, conceptualization, experimental design, and writing—original draft. P.N.A.: project direction, experimental runs, data analysis, writing—review and editing, and funding. A.G.G.: research direction, conceptualization, experimental runs, writing—original draft, and project management after funding. A.M.: sample processing resources and data analysis. All authors have read and agreed to the published version of the manuscript.
Funding
This research was funded by Instituto Tecnológico Metropolitano through project P20216, as well as from internal resources of the companies Alimentos Cárnicos S.A.S., Industria de Alimentos Zenú S.A.S. and Setas Colombianas S.A.
Data Availability Statement
The original contributions presented in the study are included in the article/Supplementary Materials, further inquiries can be directed to the corresponding author.
Acknowledgments
The authors would like to thank Setas Colombianas and Negocio Cárnico for their technical and financial support during the execution of the project, as well as the educational institutions Instituto Tecnológico Metropolitano for their funding through project P20216 and Instituto Tecnológico Metropolitano and Universidad de Antioquia for their laboratory capabilities.
Conflicts of Interest
The authors declare no conflicts of interest.
References
- Antunes, F.; Marcal, S.; Taofiq, O.; Morais, A.; Freitas, A.; Ferreria, I.; Pintado, M. Valorization of Mushroom By-Products as a Source of Value-Added Compounds and Potential Applications. Molecules 2020, 25, 2672. [Google Scholar] [CrossRef] [PubMed]
- McGee, C.F. Microbial ecology of the Agaricus bisporus mushroom cropping process. Appl. Microbiol. Biotechnol. 2018, 102, 1075–1083. [Google Scholar] [CrossRef] [PubMed]
- Vieira, F.R.; Pecchia, J.A. Bacterial Community Patterns in the Agaricus bisporus Cultivation System, from Compost Raw Materials to Mushroom Caps. Microb. Ecol. 2022, 84, 20–32. [Google Scholar] [CrossRef] [PubMed]
- Ban, G.-H.; Kim, J.; Kim, S.; Rhee, M.; Choi, S.; Hwang, I.; Kim, S.R. Microbial succession during button mushroom (Agaricus bisporus) production evaluated via high-throughput sequencing. Food Microbiol. 2023, 114, 104307. [Google Scholar] [CrossRef]
- Umor, N.A.; Ismail, S.; Abdullah, S.; Huzaifah, M.; Huzir, N.; Mahmood, N.; Zahrim, A. Zero waste management of spent mushroom compost. J. Mater. Cycles Waste Manag. 2021, 23, 1726–1736. [Google Scholar] [CrossRef]
- Leong, Y.K.; Ma, T.-W.; Chang, J.-S.; Yang, F.-C. Recent advances and future directions on the valorization of spent mushroom substrate (SMS): A review. Bioresour. Technol. 2022, 344 Pt A, 126157. [Google Scholar] [CrossRef]
- Slezak, R.; Krzystek, L.; Ledakowicz, S. Thermogravimetric analysis coupled with mass spectrometry of spent mushroom substrate and its fractions. J. Anal. Appl. Pyrolysis 2018, 133, 1–8. [Google Scholar] [CrossRef]
- Dias, E.S.; Zied, D.C.; Pardo-Gimenez, A. Revisiting the casing layer: Casing materials and management in Agaricus mushroom cultivation. Ciênc. Agrotecnol. 2021, 45, e0001R21. [Google Scholar] [CrossRef]
- Urrego, J.M.G.; Jaramillo, S.A.Y. Caracterización nutricional del residuo del cultivo de la seta Agaricus bisporus como alimento potencial para bovinos. CES Med. Vet. Zootec. 2013, 8, 34–56. [Google Scholar]
- Atallah, E.; Zeaiter, J.; Ahmad, M.N.; Leahy, J.J.; Kwapinski, W. Hydrothermal carbonization of spent mushroom compost waste compared against torrefaction and pyrolysis. Fuel Process. Technol. 2021, 216, 106795. [Google Scholar] [CrossRef]
- Ruangjanda, S.; Iwai, C.B.; Greff, B.; Chang, S.W.; Ravindran, B. Valorization of spent mushroom substrate in combination with agro-residues to improve the nutrient and phytohormone contents of vermicompost. Environ. Res. 2022, 214 Pt 1, 113771. [Google Scholar] [CrossRef] [PubMed]
- Leong, Y.K.; Varjani, S.; Lee, D.-J.; Chang, J.-S. Valorization of spent mushroom substrate for low-carbon biofuel production: Recent advances and developments. Bioresour. Technol. 2022, 363, 128012. [Google Scholar] [CrossRef] [PubMed]
- Robinson, B.; Winans, K.; Kendall, A.; Dlott, J.; Dlott, F. A life cycle assessment of Agaricus bisporus mushroom production in the USA. Int. J. Life Cycle Assess. 2019, 24, 456–467. [Google Scholar] [CrossRef]
- Dorr, E.; Koegler, M.; Gabrielle, B.; Aubry, C. Life cycle assessment of a circular, urban mushroom farm. J. Clean. Prod. 2021, 288, 125668. [Google Scholar] [CrossRef]
- Paula, F.S.; Tatti, E.; Abram, F.; Wilson, J.; O’Flaherty, V. Stabilisation of spent mushroom substrate for application as a plant growth-promoting organic amendment. J. Environ. Manag. 2017, 196, 476–486. [Google Scholar] [CrossRef]
- Joniec, J.; Kwiatkowska, E.; Kwiatkowski, C.A. Assessment of the effects of soil fertilization with spent mushroom substrate in the context of microbial nitrogen transformations and the potential risk of exacerbating the greenhouse effect. Collect. FAO Agric. 2022, 12, 1190. [Google Scholar] [CrossRef]
- Rinker, D.L. Spent mushroom substrate uses. In Edible and Medicinal Mushrooms; John Wiley & Sons, Ltd.: Chichester, UK, 2017; pp. 427–454. [Google Scholar]
- Zou, D.; Jiuxiang, W.; Weijin, W.; Xiaoxin, Y.; Chenming, Y.; Fuqing, H.; Manyun, Z. Co-occurrences of soil nitrogen cycling and human-disease genes following spent mushroom substrate and nitrification inhibitor applications: A strategy for decreasing health risk. Land Degrad. Dev. 2022, 33, 2769–2782. [Google Scholar] [CrossRef]
- Romero, C.A.T.; Castro, D.F.; Ortiz, J.H.; Khalaf, O.I.; Vargas, M.A. Synergy between Circular Economy and Industry 4.0: A Literature Review. Sustain. Sci. Pract. Policy 2021, 13, 4331. [Google Scholar]
- Awasthi, M.K.; Patel, A.; Sarsaiya, S.; Juneja, A.; Singh, R.; Yan, B.; Awasthi, S.; Jain, A.; Liu, T.; Duan, Y.; et al. Refining biomass residues for sustainable energy and bio-products: An assessment of technology, its importance, and strategic applications in circular bio-economy. Renew. Sustain. Energy Rev. 2020, 127, 109876. [Google Scholar] [CrossRef]
- Mujtaba, M.; Fraceto, L.; Fazeli, M.; Mukherjee, S.; Savassa, S.; Medeiros, G.; Pereira, A.; Mancini, S.; Lipponen, J.; Vilaplana, F. Lignocellulosic biomass from agricultural waste to the circular economy: A review with focus on biofuels, biocomposites and bioplastics. J. Clean. Prod. 2023, 402, 136815. [Google Scholar] [CrossRef]
- El Diagrama de la Mariposa: Visualizando la Economía Circular. Available online: https://ellenmacarthurfoundation.org/es/el-diagrama-de-la-mariposa (accessed on 19 June 2023).
- Ministerio de Ambiente y Desarrollo Sostenible. Estrategia Nacional de Economía Circular. 2021. Available online: https://www.minambiente.gov.co/asuntos-ambientales-sectorial-y-urbana/estrategia-nacional-de-economia-circular/ (accessed on 21 June 2023).
- Flujo de Biomasa. Available online: https://economiacircular.minambiente.gov.co/index.php/lineas-de-accion/flujo-de-biomasa/ (accessed on 21 June 2023).
- Kojić, M.M.; Petrovic, J.; Petrovic, M.; Stankovic, S.; Porobic, S.; Cincovic, M.; Mihajlovic, M. Hydrothermal carbonization of spent mushroom substrate: Physicochemical characterization, combustion behavior, kinetic and thermodynamic study. J. Anal. Appl. Pyrolysis 2021, 155, 105028. [Google Scholar] [CrossRef]
- Jasińska, A. Spent mushroom compost (SMC)—Retrieved added value product closing loop in agricultural production. Agrártud. Közlemények 2018, 150, 185–202. [Google Scholar] [CrossRef] [PubMed]
- Huang, J.; Liu, J.; Xie, W.; Zhang, X.; Chang, K.; Buyakada, M.; Evrendilek, F. Kinetics, thermodynamics, gas evolution and empirical optimization of (co-)combustion performances of spent mushroom substrate and textile dyeing sludge. Bioresour. Technol. 2019, 280, 313–324. [Google Scholar] [CrossRef]
- Javanmard, A.; Patah, M.F.A.; Zulhelmi, A.; Daud, W.M.A.W. A comprehensive overview of the continuous torrefaction method: Operational characteristics, applications, and challenges. J. Energy Inst. 2023, 108, 101199. [Google Scholar] [CrossRef]
- Cahyanti, M.N.; Doddapaneni, T.R.K.C.; Kikas, T. Biomass torrefaction: An overview on process parameters, economic and environmental aspects and recent advancements. Bioresour. Technol. 2020, 301, 122737. [Google Scholar] [CrossRef]
- Syguła, E.; Koziel, J.A.; Białowiec, A. Proof-of-Concept of Spent Mushrooms Compost Torrefaction—Studying the Process Kinetics and the Influence of Temperature and Duration on the Calorific Value of the Produced Biocoal. Energies 2019, 12, 3060. [Google Scholar] [CrossRef]
- Zhao, Z.; Feng, S.; Zhao, Y.; Wang, Z.; Ma, J.; Xu, L.; Yang, J.; Shen, B. Investigation on the fuel quality and hydrophobicity of upgraded rice husk derived from various inert and oxidative torrefaction conditions. Renew. Energy 2022, 189, 1234–1248. [Google Scholar] [CrossRef]
- Barskov, S.; Zappi, M.; Buchireddy, P.; Dufreche, S.; Guillory, J.; Gang, D.; Hernandez, R.; Bajpai, R.; Baudier, J.; Cooper, R.; et al. Torrefaction of biomass: A review of production methods for biocoal from cultured and waste lignocellulosic feedstocks. Renew. Energy 2019, 142, 624–642. [Google Scholar] [CrossRef]
- Panahi, A.; Vorobiev, N.; Schiemann, M.; Tarakcioglu, M.; Delichatsios, M.; Levendis, Y.A. Combustion details of raw and torrefied biomass fuel particles with individually-observed size, shape and mass. Combust. Flame 2019, 207, 327–341. [Google Scholar] [CrossRef]
- Liu, Y.; Tan, W.; Liang, S.; Bi, X.; Sun, R.; Pan, X. Comparative study on the co-combustion behavior of torrefied biomass blended with different rank coals. Biomass Convers. Biorefinery 2022, 14, 781–793. [Google Scholar] [CrossRef]
- Mukherjee, A.; Okolie, J.A.; Niu, C.; Dalai, A.K. Experimental and Modeling Studies of Torrefaction of Spent Coffee Grounds and Coffee Husk: Effects on Surface Chemistry and Carbon Dioxide Capture Performance. ACS Omega 2022, 7, 638–653. [Google Scholar] [CrossRef] [PubMed]
- Mergbi, M.; Galloni, M.; Abagye, D.; Elimian, E.; Su, P.; Ikramy, B.; Nabgan, W.; Bedia, J.; Amor, H.; Contreras, S.; et al. Valorization of lignocellulosic biomass into sustainable materials for adsorption and photocatalytic applications in water and air remediation. Environ. Sci. Pollut. Res. Int. 2023, 30, 74544–74574. [Google Scholar] [CrossRef] [PubMed]
- Da Silva Alves, L.; Moreira, B.; Viana, R.; Días, E.; Rinker, D.; Gimenez, A.; Zied, D. Spent mushroom substrate is capable of physisorption-chemisorption of CO2. Environ. Res. 2022, 204, 111945. [Google Scholar] [CrossRef] [PubMed]
- De Almeida Moreira, B.R.; da Silva Alves, L.; Noble, R.; Zied, D.C. High-performance carbon-capturing lignocellulosic hydrochar with post-synthesis addition of spent mushroom substrate. Biomass Convers. Biorefinery 2022. [Google Scholar] [CrossRef]
- Petrovic, B.; Gorbounov, M.; Soltani, S.M. Influence of surface modification on selective CO2 adsorption: A technical review on mechanisms and methods. Microporous Mesoporous Mater. 2021, 312, 110751. [Google Scholar] [CrossRef]
- Dizaji, H.B.; Zeng, T.; Hölzig, H.; Bauer, J.; Klöß, G.; Enke, D. Ash transformation mechanism during combustion of rice husk and rice straw. Fuel 2022, 307, 121768. [Google Scholar] [CrossRef]
- Cen, K.; Zhang, J.; Ma, Z.; Chen, D.; Zhou, J.; Ma, H. Investigation of the relevance between biomass pyrolysis polygeneration and washing pretreatment under different severities: Water, dilute acid solution and aqueous phase bio-oil. Bioresour. Technol. 2019, 278, 26–33. [Google Scholar] [CrossRef]
- Ren, Y.; Wang, Z.; Chen, J.; Gao, H.; Guo, K.; Wang, X.; Wang, X.; Wang, Y.; Chen, H.; Zhu, J.; et al. Effect of water/acetic acid washing pretreatment on biomass chemical looping gasification (BCLG) using cost-effective oxygen carrier from iron-rich sludge ash. Energy 2023, 272, 127161. [Google Scholar] [CrossRef]
- Wang, Y.; Li, B.; Gao, A.; Ding, K.; Xing, X.; Wei, J.; Huang, Y.; Lam, J.C.-H.; Subramanian, K.; Zhang, S. Volatile-char interactions during biomass pyrolysis: Effect of biomass acid-washing pretreatment. Fuel 2023, 340, 127496. [Google Scholar] [CrossRef]
- Toor, S.S.; Jasiunas, L.; Xu, C.; Sintamarean, I.M.; Yu, D.; Nielsen, A.H.; Rosendahl, L.A. Reduction of inorganics from macroalgae Laminaria digitata and spent mushroom compost (SMC) by acid leaching and selective hydrothermal liquefaction. Biomass Convers. Biorefinery 2018, 8, 369–377. [Google Scholar] [CrossRef]
- Rodríquez-Machín, L.; Ronsse, F.; Casas-Ledón, Y.; Arteaga-Pérez, L.E. Fast pyrolysis of raw and acid-leached sugarcane residues en route to producing chemicals and fuels: Economic and environmental assessments. J. Clean. Prod. 2021, 296, 126601. [Google Scholar] [CrossRef]
- ISO 14040:2006; Environmental Management—Life Cycle Assessment—Principles and Framework. ISO: Geneva, Switzerland, 2022. Available online: https://www.iso.org/standard/37456.html (accessed on 19 June 2023).
- ISO 14044:2006; Environmental Management—Life Cycle Assessment—Requirements and Guidelines. ISO: Geneva, Switzerland, 2022. Available online: https://www.iso.org/standard/38498.html (accessed on 19 June 2023).
- Singhal, A.; Konttinen, J.; Joronen, T. Effect of different washing parameters on the fuel properties and elemental composition of wheat straw in water-washing pre-treatment. Part 2: Effect of washing temperature and solid-to-liquid ratio. Fuel 2021, 292, 120209. [Google Scholar] [CrossRef]
- Singhal, A.; Konttinen, J.; Joronen, T. Effect of different washing parameters on the fuel properties and elemental composition of wheat straw in water-washing pre-treatment. Part 1: Effect of washing duration and biomass size. Fuel 2021, 292, 120206. [Google Scholar] [CrossRef]
- Singhal, A.; Goossens, M.; Fantozzi, D.; Raiko, A.; Konttinen, J.; Joronen, T. Step washing: A modified pretreatment approach for industrial applications to improve chemical composition of agricultural residues. Bioresour. Technol. 2021, 341, 125753. [Google Scholar] [CrossRef]
- Pérez-Chávez, A.M.; Alberti, M.M.; Albertó, E. Evaluation of ligninolytic activity in spent mushroom substrate from four cultivated mushrooms. J. Bioresour. Bioprod. 2022, 7, 288–294. [Google Scholar] [CrossRef]
- Zhou, J.; Ge, W.; Zhang, X.; Wu, J.; Chen, Q.; Ma, D.; Chai, C. Effects of spent mushroom substrate on the dissipation of polycyclic aromatic hydrocarbons in agricultural soil. Chemosphere 2020, 259, 127462. [Google Scholar] [CrossRef]
- Schallemberger, J.B.; Libardi, N.; Dalari, B.L.S.K.; Chaves, M.B.; Hassemer, M.E.N. Textile azo dyes discolouration using spent mushroom substrate: Enzymatic degradation and adsorption mechanisms. Environ. Technol. 2023, 44, 1265–1286. [Google Scholar] [CrossRef]
- Backes, E.; Kato, C.G.; Corrêa, R.C.G.; Moreira, R.D.F.P.M.; Peralta, R.A.; Barros, L.; Ferreira, I.C.; Zanin, G.M.; Bracht, A.; Peralta, R.M. Laccases in food processing: Current status, bottlenecks and perspectives. Trends Food Sci. Technol. 2021, 115, 445–460. [Google Scholar] [CrossRef]
- Tian, X.; Wang, Y.; Duan, S.; Hao, Y.; Zhao, K.; Li, Y.; Dai, R.; Wang, W. Evaluation of a novel nano-size collagenous matrix film cross-linked with gallotannins catalyzed by laccase. Food Chem. 2021, 351, 129335. [Google Scholar] [CrossRef]
- Tang, P.; Zheng, T.; Ran, R.; Xiong, Y.; Li, G. Collagen films functionalized with gallic acid in the presence of laccase for beef preservation. Food Packag. Shelf Life 2023, 38, 101100. [Google Scholar] [CrossRef]
- Tang, P.; Zheng, T.; Yang, C.; Li, G. Enhanced physicochemical and functional properties of collagen films cross-linked with laccase oxidized phenolic acids for active edible food packaging. Food Chem. 2022, 393, 133353. [Google Scholar] [CrossRef] [PubMed]
- D2234/D2234M–20; ASTM Standard Practice for Collection of a Gross Sample of Coal. ASTM: West Conshohocken, PA, USA, 2020.
- E1757–19; ASTM Standard Practice for Preparation of Biomass for Compositional Analysis. ASTM: West Conshohocken, PA, USA, 2019.
- De Aburrá, Á. Guía Metodológica para la Caracterización y Evaluación de la Calidad de Combustibles Sólidos, Líquidos y Gaseosos; National University of Colombia at Medellin: Medellin, Colombia, 2006. [Google Scholar]
- De Carbón, E.C. Normas Generales Sobre Muestreo y Análisis de Carbones. Available online: https://repositoriobi.minenergia.gov.co/bitstream/handle/123456789/2330/3224.pdf?sequence=1 (accessed on 16 May 2023).
- Fang, W.; Ye, J.; Zhang, P.; Zhu, X.; Zhou, S. Solid-state anaerobic fermentation of spent mushroom compost for volatile fatty acids production by pH regulation. Int. J. Hydrogen Energy 2017, 42, 18295–18300. [Google Scholar] [CrossRef]
- Zhang, J.; Meng, G.; Zhai, G.; Yang, Y.; Zhao, H.; Jia, L. Extraction, characterization and antioxidant activity of polysaccharides of spent mushroom compost of Ganoderma lucidum. Int. J. Biol. Macromol. 2016, 82, 432–439. [Google Scholar] [CrossRef] [PubMed]
- Lim, S.-H.; Lee, Y.-H.; Kang, H.-W. Efficient Recovery of Lignocellulolytic Enzymes of Spent Mushroom Compost from Oyster Mushrooms, Pleurotus spp., and Potential Use in Dye Decolorization. Mycobiology 2013, 41, 214–220. [Google Scholar] [CrossRef] [PubMed]
- Vats, A.; Kurade, A.S.; Mutnuri, S. Recovery of Lignocellulolytic Enzymes and Valorization of Spent Mushroom Substrate. Environ. Nat. Resour. J. 2022, 20, 1–9. [Google Scholar] [CrossRef]
- Singhal, A.; Goossens, M.; Konttinen, J.; Joronen, T. Effect of basic washing parameters on the chemical composition of empty fruit bunches during washing pretreatment: A detailed experimental, pilot, and kinetic study. Bioresour. Technol. 2021, 340, 125734. [Google Scholar] [CrossRef]
- Thengane, S.K.; Kung, K.S.; Gomez-Barea, A.; Ghoniem, A.F. Advances in biomass torrefaction: Parameters, models, reactors, applications, deployment, and market. Prog. Energy Combust. Sci. 2022, 93, 101040. [Google Scholar] [CrossRef]
- Brachi, P.; Chirone, R.; Miccio, M.; Ruoppolo, G. Fluidized bed torrefaction of biomass pellets: A comparison between oxidative and inert atmosphere. Powder Technol. 2019, 357, 97–107. [Google Scholar] [CrossRef]
- Chen, D.; Chen, F.; Cen, K.; Cao, X.; Zhang, J.; Zhou, J. Upgrading rice husk via oxidative torrefaction: Characterization of solid, liquid, gaseous products and a comparison with non-oxidative torrefaction. Fuel 2020, 275, 117936. [Google Scholar] [CrossRef]
- Simonic, M.; Goricanec, D.; Urbancl, D. Impact of torrefaction on biomass properties depending on temperature and operation time. Sci. Total Environ. 2020, 740, 140086. [Google Scholar] [CrossRef]
- Singh, R.K.; Jena, K.; Chakraborty, J.P.; Sarkar, A. Energy and exergy analysis for torrefaction of pigeon pea stalk (Cajanus cajan) and eucalyptus (Eucalyptus tereticornis). Int. J. Hydrogen Energy 2020, 45, 18922–18936. [Google Scholar] [CrossRef]
- Huang, J.; Liu, J.; Chen, J.; Xie, W.; Kuo, J.; Lu, X.; Chang, K.; Wen, S.; Sun, G.; Cai, H.; et al. Combustion behaviors of spent mushroom substrate using TG-MS and TG-FTIR: Thermal conversion, kinetic, thermodynamic and emission analyses. Bioresour. Technol. 2018, 266, 389–397. [Google Scholar] [CrossRef] [PubMed]
- ASTM E11-20; Standard Specification for Woven Wire Test Sieve Cloth and Test Sieves. ASTM: West Conshohocken, PA, USA, 2020.
- Standard Test Method for Compositional Analysis by Thermogravimetry. Available online: https://www.astm.org/e1131-20.html (accessed on 22 June 2023).
- Ghose, A.; Gupta, D.; Nuzelu, V.; Rangan, L.; Mitra, S. Optimization of laccase enzyme extraction from spent mushroom waste of Pleurotus florida through ANN-PSO modeling: An ecofriendly and economical approach. Environ. Res. 2023, 222, 115345. [Google Scholar] [CrossRef]
- Wang, Y.; Guo, S.; Cao, F.; He, C.; Wei, Y.; Qin, Y.; He, Y.; Du, X.; Vassilev, S.V.; Vassileva, C.G. Leaching mechanisms of ash-forming elements during water washing of corn straw. Biomass Convers. Biorefinery 2022, 14, 133–146. [Google Scholar] [CrossRef]
- Liu, T.; Wen, C.; Li, C.; Yan, K.; Li, R.; Jing, Z.; Zhang, B.; Ma, J. Integrated water washing and carbonization pretreatment of typical herbaceous and woody biomass: Fuel properties, combustion behaviors, and techno-economic assessments. Renew. Energy 2022, 200, 218–233. [Google Scholar] [CrossRef]
- Chen, W.-H.; Aniza, R. Specific chemical bioexergy and microwave-assisted torrefaction optimization via statistical and artificial intelligence approaches. Fuel 2023, 333, 126524. [Google Scholar] [CrossRef]
- Orisaleye, J.I.; Jekayinfa, S.O.; Pecenka, R.; Ogundare, A.A.; Akinseloyin, M.O.; Fadipe, O.L. Investigation of the Effects of Torrefaction Temperature and Residence Time on the Fuel Quality of Corncobs in a Fixed-Bed Reactor. Energies 2022, 15, 5284. [Google Scholar] [CrossRef]
- Soria-Verdugo, A.; Cano-Pleite, E.; Panahi, A.; Ghoniem, A.F. Kinetics mechanism of inert and oxidative torrefaction of biomass. Energy Convers. Manag. 2022, 267, 115892. [Google Scholar] [CrossRef]
- Campbell, W.A.; Coller, A.; Evitts, R.W. Comparing severity of continuous torrefaction for five biomass with a wide range of bulk density and particle size. Renew. Energy 2019, 141, 964–972. [Google Scholar] [CrossRef]
- Kota, K.B.; Shenbagaraj, S.; Sharma, P.K.; Sharma, A.K.; Ghodke, P.K.; Chen, W.-H. Biomass torrefaction: An overview of process and technology assessment based on global readiness level. Fuel 2022, 324, 124663. [Google Scholar] [CrossRef]
- Piersa, P.; Unyay, H.; Szufa, S.; Lewandowska, W.; Modrzewski, R.; Ślężak, R.; Ledakowicz, S. An Extensive Review and Comparison of Modern Biomass Torrefaction Reactors vs. Biomass Pyrolysis—Part 1. Energies 2022, 15, 2227. [Google Scholar] [CrossRef]
- Zhang, C.; Yang, W.; Chen, W.-H.; Ho, S.-H.; Pétrissans, A.; Pétrissans, M. Effect of torrefaction on the structure and reactivity of rice straw as well as life cycle assessment of torrefaction process. Energy 2022, 240, 122470. [Google Scholar] [CrossRef]
- Bampenrat, A.; Sukkathanyawat, H.; Jarunglumlert, T. Agro-industrial Waste Upgrading via Torrefaction Process—A Case Study on Sugarcane Bagasse and Palm Kernel Shell in Thailand. J. Ecol. Eng. 2023, 24, 64–75. [Google Scholar] [CrossRef]
- Chen, D.; Cen, K.; Zhuang, X.; Gan, Z.; Zhou, J.; Zhang, Y. Insight into biomass pyrolysis mechanism based on cellulose, hemicellulose, and lignin: Evolution of volatiles and kinetics, elucidation of reaction pathways, and characterization of gas, biochar and bio-oil. Combust. Flame 2022, 242, 112142. [Google Scholar] [CrossRef]
- Kwon, E.E.; Lee, T.; Ok, Y.S.; Tsang, D.C.W.; Park, C.; Lee, J. Effects of calcium carbonate on pyrolysis of sewage sludge. Energy 2018, 153, 726–731. [Google Scholar] [CrossRef]
- Jäglid, R.Y.Y.U. Carbonation of Portland Cement Studied by Diffuse Reflection Fourier Transform Infrared Spectroscopy. Int. J. Concr. Struct. Mater. 2013, 7, 119–125. [Google Scholar]
- Vagenas, N.V.; Gatsouli, A.; Kontoyannis, C.G. Quantitative analysis of synthetic calcium carbonate polymorphs using FT-IR spectroscopy. Talanta 2003, 59, 831–836. [Google Scholar] [CrossRef]
- Varrica, D.; Tamburo, E.; Vultaggio, M.; Di Carlo, I. ATR-FTIR Spectral Analysis and Soluble Components of PM10 And PM2.5 Particulate Matter over the Urban Area of Palermo (Italy) during Normal Days and Saharan Events. Int. J. Environ. Res. Public Health 2019, 16, 2507. [Google Scholar] [CrossRef] [PubMed]
- Chen, W.-H.; Lin, B.-J.; Colin, B.; Chang, J.-S.; Pétrissans, A.; Bi, X.; Pétrissans, M. Hygroscopic transformation of woody biomass torrefaction for carbon storage. Appl. Energy 2018, 231, 768–776. [Google Scholar] [CrossRef]
- Yuan, X.; Tan, M.; Jiang, S.; Wang, Z.; Huang, Z.; Wang, H.; Jiang, L.; Li, H. Properties of oxidatively torrefied Chinese fir residue: Color dimension, pyrolysis kinetics, and storage behavior. Fuel Process. Technol. 2021, 213, 106663. [Google Scholar]
- Qin, H.; Dongmeng, H.; Wang, X.; Pan, S.; Liu, H.; Zhang, L.; Wang, Q. Study on Molecular Structure Model and Reactivity of Spent Mushroom Substrate: Experiment and Simulation. Waste Biomass Valor. 2023, 14, 2191–2209. [Google Scholar] [CrossRef]
- Wang, C.-Y. A Review on the Potential Reuse of Functional Polysaccharides Extracted from the By-Products of Mushroom Processing. Food Bioprocess Technol. 2020, 13, 217–228. [Google Scholar] [CrossRef]
- Gao, Y.; Wu, Z.; Li, W.; Sun, H.; Chai, Y.; Li, T.; Liu, C.; Gong, X.; Liang, Y.; Qin, P. Expanding the valorization of waste mushroom substrates in agricultural production: Progress and challenges. Environ. Sci. Pollut. Res. Int. 2023, 30, 2355–2373. [Google Scholar] [CrossRef] [PubMed]
- Paul, A.; Hussain, M.; Ramu, B. The physicochemical properties and microstructural characteristics of peat and their correlations: Reappraisal. Int. J. Geotech. Eng. 2018, 15, 692–703. [Google Scholar] [CrossRef]
- Falatehan, A.F.; Sari, D.A.P. Characteristics of Peat Biomass as an Alternative Energy and Its Impact on the Environment. Solid State Technol. 2020, 63, 4700–4712. [Google Scholar]
- Ahmad, A.; Sutanto, M.H.; Al-Bared, M.A.M.; Harahap, I.S.H.; Abad, S.V.A.N.K.; Khan, M.A. Physio-chemical properties, consolidation, and stabilization of tropical peat soil using traditional soil additives—A state of the art literature review. KSCE J. Civ. Eng. 2021, 25, 3662–3678. [Google Scholar] [CrossRef]
- Kamthan, R.; Tiwari, I. Agricultural wastes-potential substrates for mushroom cultivation. Eur. J. Exp. Biol. 2017, 7, 31. [Google Scholar]
- Krysanova, K.; Krylova, A.; Kulikova, M.; Kulikov, A.; Rusakova, O. Biochar characteristics produced via hydrothermal carbonization and torrefaction of peat and sawdust. Fuel 2022, 328, 125220. [Google Scholar] [CrossRef]
- Jarukas, L.; Ivanauskas, L.; Kasparaviciene, G.; Baranauskaite, J.; Marksa, M.; Bernatoniene, J. Determination of Organic Compounds, Fulvic Acid, Humic Acid, and Humin in Peat and Sapropel Alkaline Extracts. Molecules 2021, 26, 2995. [Google Scholar] [CrossRef]
- Gondar, D.; Lopez, R.; Fiol, S.; Antelo, J.M.; Arce, F. Characterization and acid–base properties of fulvic and humic acids isolated from two horizons of an ombrotrophic peat bog. Geoderma 2005, 126, 367–374. [Google Scholar] [CrossRef]
- Boguta, P.; Cybulak, M.; Sokołowska, Z.; Zarzycki, R.; Kacprzak, A.; Kobyłecki, R. Quality and quantity of humic-like and fulvic-like acids entrapped in biochars—The effect of various forestry feedstock and pyrolysis temperature of biochars. Fuel 2023, 333, 126405. [Google Scholar] [CrossRef]
- Chen, C.; Qu, B.; Wang, W.; Wang, W.; Ji, G.; Li, A. Rice husk and rice straw torrefaction: Properties and pyrolysis kinetics of raw and torrefied biomass. Environ. Technol. Innov. 2021, 24, 101872. [Google Scholar] [CrossRef]
- Manatura, K. Inert torrefaction of sugarcane bagasse to improve its fuel properties. Case Stud. Therm. Eng. 2020, 19, 100623. [Google Scholar] [CrossRef]
- Calixto, G.Q.; Melo, D.M.A.; Melo, M.A.F.; Braga, R.M. Analytical pyrolysis (Py–GC/MS) of corn stover, bean pod, sugarcane bagasse, and pineapple crown leaves for biorefining. Braz. J. Chem. Eng. 2022, 39, 137–146. [Google Scholar] [CrossRef]
- Werner, K.; Pommer, L.; Broström, M. Thermal decomposition of hemicelluloses. J. Anal. Appl. Pyrolysis 2014, 110, 130–137. [Google Scholar] [CrossRef]
- Zhang, L.; Zhang, B.; Yang, Z.; Yan, Y. Pyrolysis behavior of biomass with different Ca-based additives. RSC Adv. 2014, 4, 39145–39155. [Google Scholar] [CrossRef]
- Li, C.; Gong, X.; Zhang, H.; Zhang, Y.; Yang, M.; Chen, B. CO2 capture performance of CaO-based sorbent modified with torrefaction condensate during calcium looping cycles. Chem. Eng. J. 2023, 469, 144004. [Google Scholar] [CrossRef]
- Han, R.; Wang, Y.; Xing, S.; Pang, C.; Hao, Y.; Song, C.; Liu, Q. Progress in reducing calcination reaction temperature of Calcium-Looping CO2 capture technology: A critical review. Chem. Eng. J. 2022, 450, 137952. [Google Scholar] [CrossRef]
- Chen, F.; Grimm, A.; Eilertsen, L.; Martín, C.; Arshadi, M.; Xiong, S. Integrated production of edible mushroom (Auricularia auricula-judae), fermentable sugar and solid biofuel. Renew. Energy. 2021, 170, 172–180. [Google Scholar] [CrossRef]
- Ikeda, S.; Yamauchi, M.; Watari, T.; Hatamoto, M.; Yamada, M.; Maki, S.; Hara, H.; Yamaguchi, T. Development of enokitake (Flammulina velutipes) mushroom cultivation technology using spent mushroom substrate anaerobic digestion residue. Environ. Technol Innov. 2021, 24, 102046. [Google Scholar] [CrossRef]
- Economou, C.N.; Diamantopoulou, P.A.; Philippoussis, A.N. Valorization of spent oyster mushroom substrate and laccase recovery through successive solid state cultivation of Pleurotus, Ganoderma, and Lentinula strains. Appl. Microbiol. Biotechnol. 2017, 101, 5213–5222. [Google Scholar] [CrossRef]
Disclaimer/Publisher’s Note: The statements, opinions and data contained in all publications are solely those of the individual author(s) and contributor(s) and not of MDPI and/or the editor(s). MDPI and/or the editor(s) disclaim responsibility for any injury to people or property resulting from any ideas, methods, instructions or products referred to in the content. |
© 2024 by the authors. Licensee MDPI, Basel, Switzerland. This article is an open access article distributed under the terms and conditions of the Creative Commons Attribution (CC BY) license (https://creativecommons.org/licenses/by/4.0/).















