Effect of Potassium on the Co-Combustion Process of Coal Slime and Corn Stover
Abstract
1. Introduction
2. Materials and Methods
2.1. Raw Materials
2.2. Preparation of Raw Materials
2.3. Methods of Analysis
2.3.1. Thermogravimetric Analysis
2.3.2. XRF Analysis of Fuel Ash Samples under Different Conditions
2.3.3. XRD Analysis of Fuel Ash Samples
2.3.4. Thermogravimetric and Infrared Coupling
2.4. Combustion Characterization Parameters
3. Results and Discussion
3.1. Analysis of Combustion Results
3.1.1. Separate Combustion of Slime and Corn Stover
3.1.2. Combustion of Slime Mixed with Corn Stover
3.2. Fuel Gas Products
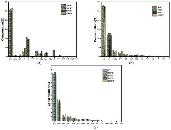
3.3. Compositional Analysis of Fuel Ash Samples
4. Conclusions
- (1)
- The addition of corn stover reduced the ignition temperature of the coal slurry by about 50 °C. The ignition temperature increased continuously with the increase in the blending ratio of corn stover. After the corn stover blending ratio was 40%, the ignition temperature was basically unchanged. By examining the comprehensive combustion characteristic curve under the corn stover blending ratio of more than 40%, the best combustion effect was obtained when the blending ratio was 20%.
- (2)
- The gaseous products during the combustion process were monitored in real time by TG-FTIR coupling. The formation of these gaseous products primarily occurred within the temperature range of 300–700 °C, which coincided with the main weight loss peaks observed during combustion. CO2 was identified as the predominant gaseous product. As the mixing ratio increased, the combustion process produced a greater variety of gaseous products. This can be attributed to the higher mixing ratio of corn stover, which leads to the release and combustion of a large amount of volatile compounds, creating an oxygen-deficient environment. As a result, many volatile compounds are not fully oxidized. Additionally, with an increase in corn stover content, the rate of volatile compound release accelerated, resulting in more unoxidized organic compounds being detected by FTIR.
- (3)
- The influence of combustion temperature on the release and transformation of K in the process of mixed combustion is significant, as evidenced by XRD and XRF analysis of the composition of the ash samples after combustion at different temperatures. The K element primarily combines with the organic matter in the corn stover to form the amorphous form of potassium. With the increase in combustion temperature, a fraction of the KCl is released in the form of volatile matter, and another fraction is combined with the components of coal slime, such as Al2O3 and SiO2, to generate silica–aluminate. On one hand, the substances in the coal slime play the role of fixing potassium, on the other hand, the release of volatile matter promotes the coal slime combustion. The formation of potassium-containing complexes between potassium in corn stover and coal slime mainly occurs in the temperature range of 800~1000 °C.
Author Contributions
Funding
Data Availability Statement
Conflicts of Interest
References
- Xing, Z.; Zhao, S.; Guo, W.; Meng, F.; Guo, X.; Wang, S.; He, H. Coal resources under carbon peak: Segmentation of massive laser point clouds for coal mining in underground dusty environments using integrated graph deep learning model. Energy 2023, 285, 128771. [Google Scholar] [CrossRef]
- Dong, C.; Qi, Y.; Nemet, G. A government approach to address coal overcapacity in China. J. Clean. Prod. 2021, 278, 123417. [Google Scholar] [CrossRef]
- Du, M.; Wang, S. Investigation of the segregation of a binary particle mixture in a square circulating fluidized bed with air staging. Particuology 2019, 47, 70–76. [Google Scholar] [CrossRef]
- Guo, H.; Zhao, S.; Xia, D.; Wang, L.; Lv, J.; Yu, H.; Jiao, X. Efficient utilization of coal slime using anaerobic fermentation technology. Bioresour. Technol. 2021, 332, 125072. [Google Scholar] [CrossRef]
- Balraj, A.; Krishnan, J.; Selvarajan, K.; Sukumar, K. Potential use of biomass and coal-fine waste for making briquette for sustainable energy and environment. Environ. Sci. Pollut. Res. 2021, 28, 63516–63522. [Google Scholar] [CrossRef]
- Liu, Q.; Zhong, W.; Zhou, J.; Yu, Z. Effects of S and Al on K Migration and Transformation during Coal and Biomass Co-combustion. ACS Omega 2022, 7, 15880–15891. [Google Scholar] [CrossRef]
- Wu, D.; Wang, Y.; Wang, Y.; Li, S.; Wei, X. Release of alkali metals during co-firing biomass and coal. Renew. Energy 2016, 96, 91–97. [Google Scholar] [CrossRef]
- Zhihua, W.; Siyu, L.; Wubin, W.; Yong, H.; Marcus, A.; Zhongshan, L. Alkali metal release in thermochemical conversion of biomass and coal: Optical measurements and modeling. Prog. Energy Combust. Sci. 2023, 100, 101131. [Google Scholar] [CrossRef]
- Wang, H.; Liu, H.; Zhao, K.; Yang, H.; Chen, J. Combustion characteristics of spherical particles mixed with coal slime and sawdust. Energy Sources Part A Recovery Util. Environ. Eff. 2022, 44, 535–549. [Google Scholar] [CrossRef]
- Guang, Y.; Yiran, L.; Lijuan, G.; Yingjie, S. Investigation of the synergistic effect and kinetic behavior of anthracite and biochar during co-combustion process in pure oxygen atmosphere. J. Energy Inst. 2021, 101, 1–18. [Google Scholar] [CrossRef]
- Zhanshi, N.; Haobo, B.; Hao, S.; Xiang, L.; Junjian, T.; Yurou, Y.; Liqun, H.; Kesheng, M.; Qizhao, L. Effect of lignin on coal slime combustion characteristics and carbon dioxide emission. J. Clean. Prod. 2024, 441, 140884. [Google Scholar] [CrossRef]
- Zhanshi, N.; Zhihui, S.; Haobo, B.; Chunlong, J.; Hao, S.; Zhicong, Q.; Liqun, H.; Qizhao, L. The effect of cellulose on the combustion characteristics of coal slime: TG-FTIR, principal component analysis, and 2D-COS. Fuel 2022, 333, 126310. [Google Scholar] [CrossRef]
- Liu, Y.; He, Y.; Wang, Z.; Xia, J.; Wan, K.; Whiddon, R.; Cen, K. Characteristics of alkali species release from a burning coal/biomass blend. Appl. Energy 2018, 215, 523–531. [Google Scholar] [CrossRef]
- Haigang, Z.; Zhongjie, S.; Jianliang, X.; Qinfeng, L.; Zhenghua, D.; Haifeng, L. New insight to migration and influence of potassium element on combustion of coal/biomass char-slag interface. Combust. Flame 2023, 257, 112969. [Google Scholar] [CrossRef]
- Zhou, J.; Liu, Q.; Zhong, W.-q.; Yu, Z.-w. Migration and transformation law of potassium in the combustion of biomass blended coal. J. Fuel Chem. Technol. 2020, 48, 929–936. [Google Scholar] [CrossRef]
- Song, Y.C.; Li, Q.T.; Li, F.Z.; Wang, L.S.; Hu, C.C.; Feng, J.; Li, W.Y. Pathway of biomass-potassium migration in co-gasification of coal and biomass. Fuel 2019, 239, 365–372. [Google Scholar] [CrossRef]
- Wei, W.; Romain, L.; Ammar, B.; Denis, L. Review on the catalytic effects of alkali and alkaline earth metals (AAEMs) including sodium, potassium, calcium and magnesium on the pyrolysis of lignocellulosic biomass and on the co-pyrolysis of coal with biomass. J. Anal. Appl. Pyrolysis 2022, 163, 105479. [Google Scholar] [CrossRef]
- Zeyu, X.; Zhaoping, Z.; Ping, L.; Feihong, G. Capture effect of K and Pb by kaolin during co-firing of coal and wheat straw: Experimental and theoretical methods. Fuel 2023, 360, 105479. [Google Scholar] [CrossRef]
- Zi-Meng, H.; Yu-Jie, D.; Jing-Pei, C.; Xiao-Yan, Z. Agglomeration and transformation of different types of inorganic potassium in biomass during co-gasification with coal. Fuel 2023, 357, 129728. [Google Scholar] [CrossRef]
- Sun, Y.; Sun, H.; Yang, T.; Zhu, Y.; Li, R. Combustion Characterization and Kinetic Analysis of Mixed Sludge and Lignite Combustion. ACS Omega 2024, 9, 6912–6923. [Google Scholar] [CrossRef]
- Zhuikov, A.V.; Glushkov, D.O. Characteristics of the Joint Combustion of Brown Coal and Sewage Sludge under Nonisothermal Heating Conditions. Solid Fuel Chem. 2022, 56, 353–359. [Google Scholar] [CrossRef]
- Dayton, D.C.; Belle-Oudry, D.; Nordin, A. Effect of Coal Minerals on Chlorine and Alkali Metals Released during Biomass/Coal Cofiring. Energy Fuels 1999, 13, 1203–1211. [Google Scholar] [CrossRef]
- Tao, J.; Liang, R.; Li, J.; Yan, B.; Chen, G.; Cheng, Z.; Li, W.; Lin, F.; Hou, L. Fast characterization of biomass and waste by infrared spectra and machine learning models. J. Hazard. Mater. 2019, 387, 121723. [Google Scholar] [CrossRef]
- Zhuang, J.; Li, M.; Pu, Y.; Ragauskas, A.; Yoo, C. Observation of Potential Contaminants in Processed Biomass Using Fourier Transform Infrared Spectroscopy. Appl. Sci. 2020, 10, 4345. [Google Scholar] [CrossRef]
- Xinjie, L.; Shihong, Z.; Xincheng, W.; Jinai, S.; Xiong, Z.; Xianhua, W.; Haiping, Y.; Hanping, C. Co-combustion of wheat straw and camphor wood with coal slime: Thermal behaviour, kinetics, and gaseous pollutant emission characteristics. Energy 2021, 234, 121292. [Google Scholar] [CrossRef]
- Liu, Y.; Wang, Z.; Xia, J.; Vervisch, L.; Wan, K.; He, Y.; Whiddon, R.; Bahai, H.; Cen, K. Measurement and kinetics of elemental and atomic potassium release from a burning biomass pellet. Proc. Combust. Inst. 2018, 37, 2681–2688. [Google Scholar] [CrossRef]
- Deng, L.; Jiang, J.; Tie, Y.; Ma, S.; Fan, G.; Zhu, T.; Che, D. Potassium transformation and release during biomass combustion. Can. J. Chem. Eng. 2022, 101, 337–346. [Google Scholar] [CrossRef]
- Zhang, H.; Li, J.; Yang, X.; Guo, S.; Zhan, H.; Zhang, Y.; Fang, Y. Influence of coal ash on potassium retention and ash melting characteristics during gasification of corn stalk coke. Bioresour. Technol. 2018, 270, 416–421. [Google Scholar] [CrossRef]






| Fuel | Elemental Analysis (%) | Industrial Analysis (%) | |||||||
|---|---|---|---|---|---|---|---|---|---|
| C | H | O | N | S | Mad | Aad | Vad | FCad | |
| Slime | 42.06 | 2.54 | 8.33 | 3.98 | 0.17 | 5.77 | 37.15 | 22.48 | 34.60 |
| Corn stover | 44.94 | 5.37 | 24.04 | 13.54 | 0.06 | 5.63 | 6.42 | 60.58 | 18.37 |
| Element (%) | Na | Mg | Al | Si | P | S | Cl | K | Ca | Fe |
|---|---|---|---|---|---|---|---|---|---|---|
| Slime | 1.89 | 1.97 | 22.35 | 48.94 | 0.67 | 1.24 | 0.24 | 3.90 | 7.27 | 10.13 |
| Corn stove | 0.59 | 7.75 | 1.98 | 40.68 | 3.80 | 3.30 | 1.24 | 25.57 | 11.31 | 1.39 |
| Blend Ratio/(%) | (dw/dt)max/(%/min) | (dw/dt)mean/(%/min) | Ts/°C | Tf/°C | S/(%2/(°C3 min2)) × 10−8 |
|---|---|---|---|---|---|
| 0 | 0.42 | 6.67 | 439.52 | 579.22 | 2.48 |
| 20 | 0.43 | 4.22 | 292.99 | 568.08 | 3.75 |
| 40 | 0.33 | 4.26 | 266.06 | 561.05 | 3.53 |
| 60 | 0.44 | 5.00 | 267.56 | 533.55 | 5.73 |
Disclaimer/Publisher’s Note: The statements, opinions and data contained in all publications are solely those of the individual author(s) and contributor(s) and not of MDPI and/or the editor(s). MDPI and/or the editor(s) disclaim responsibility for any injury to people or property resulting from any ideas, methods, instructions or products referred to in the content. |
© 2024 by the authors. Licensee MDPI, Basel, Switzerland. This article is an open access article distributed under the terms and conditions of the Creative Commons Attribution (CC BY) license (https://creativecommons.org/licenses/by/4.0/).
Share and Cite
Zheng, J.; Cai, C.; Ge, T.; Zhang, M. Effect of Potassium on the Co-Combustion Process of Coal Slime and Corn Stover. Energies 2024, 17, 5185. https://doi.org/10.3390/en17205185
Zheng J, Cai C, Ge T, Zhang M. Effect of Potassium on the Co-Combustion Process of Coal Slime and Corn Stover. Energies. 2024; 17(20):5185. https://doi.org/10.3390/en17205185
Chicago/Turabian StyleZheng, Jing, Chuanchuan Cai, Tao Ge, and Mingxu Zhang. 2024. "Effect of Potassium on the Co-Combustion Process of Coal Slime and Corn Stover" Energies 17, no. 20: 5185. https://doi.org/10.3390/en17205185
APA StyleZheng, J., Cai, C., Ge, T., & Zhang, M. (2024). Effect of Potassium on the Co-Combustion Process of Coal Slime and Corn Stover. Energies, 17(20), 5185. https://doi.org/10.3390/en17205185

