A Stochastic Multi-Objective Model for China’s Provincial Generation-Mix Planning: Considering Variable Renewable and Transmission Capacity
Abstract
:1. Introduction
2. The Proposed Power Source Optimization Model
2.1. Assumptions
- (a)
- Existing thermal power units will start carbon capture (CC) retrofitting in 2025. At the same time, newly installed thermal power units must be equipped with carbon capture equipment. CC retrofitting only considers the additive carbon capture equipment, while the subsequent carbon storage equipment is not included.
- (b)
- We divide China’s transmission network into six regions, as listed in Appendix A, Table A1. The provinces’ power transmission in the regions is not considered, due to a lack of available data.
- (c)
- With a focus on the optimal power generation mix, renewable energy resources are assumed to be used only for electricity generation, so other usage patterns, such as heat storage, hydrogen, and underground energy storage, are not considered.
2.2. Objective Functions
- (a)
- Minimization of the Total Cost
- (b)
- Maximizing total electricity sales revenue of power generation enterprises
- (c)
- Minimization of carbon emissions
2.3. Constraints
- (a)
- Regional power demand constraint
- (b)
- Reliability of the power supply constraint
- (c)
- Regional power generation potential constraints
- (d)
- Regional power transmission capacity constraints
- (e)
- Balance between the electricity transmitted-out and transmitted-in constraints
- (f)
- Total coal consumption of power generation constraints
- (g)
- Non-fossil energy share of installed capacity constraints
- (h)
- Nature of the decision variables
3. The Proposed Model Algorithm
3.1. Uncertainty Modeling of Wind and PV Power Output
- Step 1: Initialize the number of iterations .
- Step 2: Generate the annual utilization time of wind and PV from their corresponding random distribution.
- Step 3: Calculate values for the objectives and constraint violations.
- Step 4: Repeat steps 2 to 3 for the given times.
- Step 5: Return the expected values for objectives and constraint violations for all individuals.
3.2. The NSPSO Algorithm
3.3. Constraints Handling in NSPSO
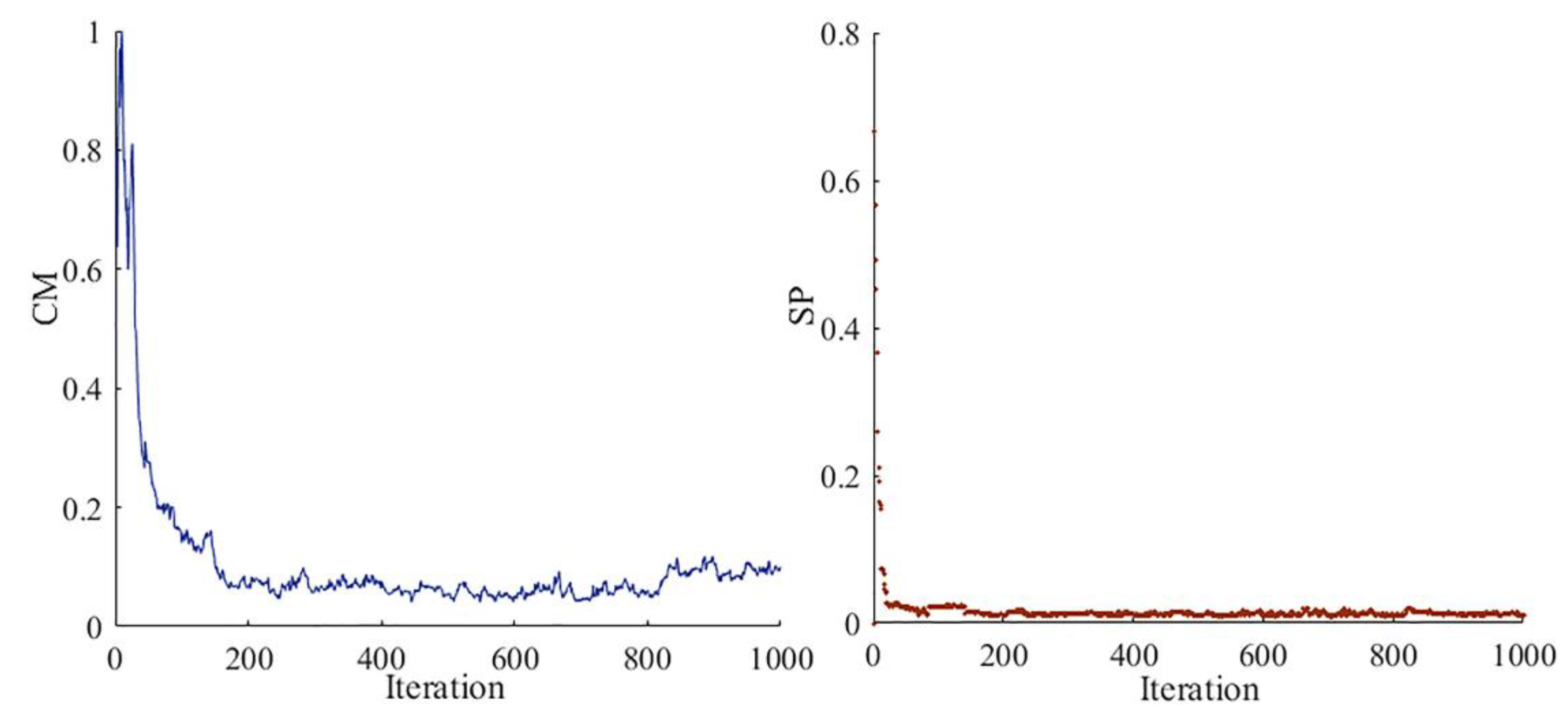
3.4. Performance Indicators
3.4.1. Convergence
3.4.2. Spacing
3.5. Selection of the Best Compromise Solution
4. China’s Power Generation Source Optimization
4.1. Data and Parameter Settings
4.1.1. Data
4.1.2. Model Parameters
4.1.3. Algorithm Parameters
4.2. Results and Discussion
4.2.1. Performance Analysis
4.2.2. Final Solution Selection
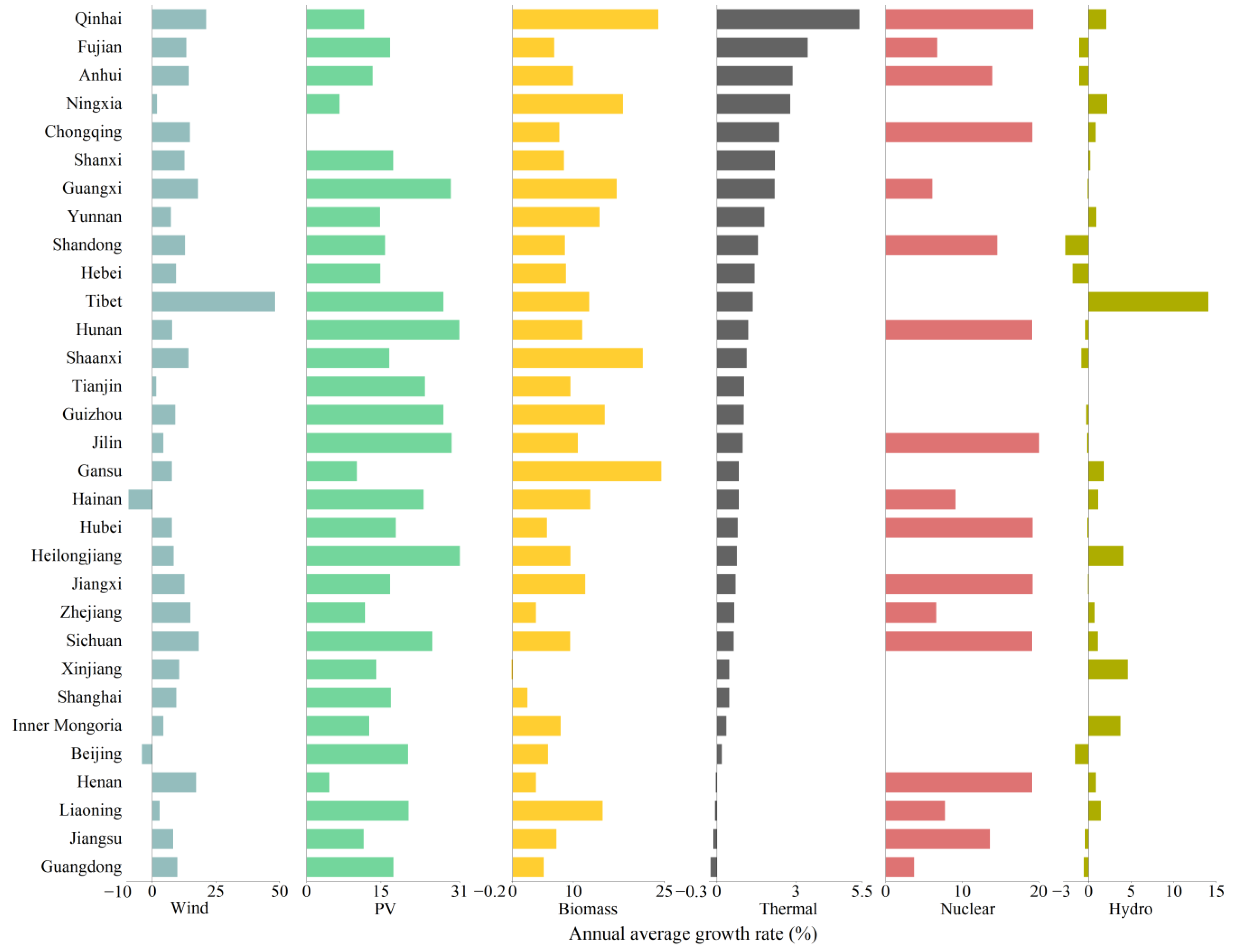
4.2.3. Optimized Power Generation Mix
4.2.4. Effects of Regional Power Transmission Capacity on the Power Generation Source Mix
4.2.5. Effects of Regional Power Consumption Demand on the Power Generation Source Mix
4.3. Sensitivity Analysis
5. Conclusions
- (a)
- The proposed model meets the stochastic nonlinear multi-objective decision-making requirements of power source mix optimization under variable renewable integration. In the model, MCS effectively simulates the uncertainty of variable renewable energy output. Nonlinear formulation successfully describes the complex relationship between each power source’s LCOE and installed capacity.
- (b)
- The proposed model integrated power transmission capacity constraints and set different scenarios for transmission capacity, which can better capture a region’s characteristics and avoid inadequate or excessive power installation more effectively than the traditional power structure optimization model. It provides a more feasible installation decision plan and obtains a more realistic optimal power generation structure. The results show that a 50% reduction in interregional power transmission capacity increases 134.9% in the total power generation in the southern grid area. At the same time, the reduction in interregional power transmission capacity caused a decline in the proportion of thermal power generation in the areas that mainly transmit power to others.
- (c)
- By 2040, the share of clean power in China’s optimal power generation structure will exceed 58%, achieved by transforming power generation to low carbonization. According to the results, clean electricity in China will reach 58.3% of total power production, including wind (17.1%), nuclear (15.6%), PV (12.4%), hydro (10.9%), and biomass (2.3%), which is an increase of 135.1% over 2016. While the proportion of thermal power decreased from 71.8% to 41.7% among all the provinces, 14 of them, including Heilongjiang, Sichuan, and Qinghai, accounted for more renewable electricity generation than thermal power. In particular, the average share of PV power generation in these provinces was as high as 30.2%. However, the other 17 provinces, including Beijing, Tianjin, and Hebei, were still dominated by thermal power.
- (d)
- According to the sensitivity analysis, the optimization results are not sensitive to the four key model parameters, such as the non-carbon external cost, the LCOE learning rate, the reserve factor, and the share of non-fossil energy in the total installed capacity. The growth rate in the share of power generation changes less than 2% when the parameter value increases or decreases by 10%.
Author Contributions
Funding
Institutional Review Board Statement
Informed Consent Statement
Data Availability Statement
Conflicts of Interest
Nomenclature
| Sets | |
| set of provinces | |
| set of power generation sources | |
| set of regions | |
| set of solutions | |
| set of objective functions | |
| set of years | |
| set of provinces that have development potential in nuclear power () | |
| Indices | |
| Province index. | |
| Power generation source index. represent thermal power, thermal power with carbon capture, nuclear power, hydropower, wind power, and solar PV power. | |
| region index. represents China’s North, Northeast, East, Central, Northwest, and South | |
| Solution index | |
| Objective function index | |
| Year index. represent the years 2017–2040, is 2016. | |
| Parameters | |
| On-grid price of power in province in year (yuan/kwh) | |
| Power consumption of per unit GDP in province in year (yuan/kwh) | |
| Progress rate of LCOE of power | |
| The levelized cost of electricity (LCOE) of power in year (yuan/kwh) | |
| Power demand in province in year (GWh) | |
| Life cycle carbon emission factor of power (gCO2-eq/kWh) | |
| Technology developable potential of power generation source in province in year (MW) | |
| GDP in province in base year (billion yuan) | |
| Maximum technology developable potential of power in province (MW) | |
| Annual average utilization hours of power in province in year (hour) | |
| Transmission utilization time (h) | |
| Maximum input transition capacity of region in year (MW) | |
| Transmission line loss rate in province in year | |
| Learning rate of LCOE of power | |
| Lifetime of power (year) | |
| Carbon price in year (yuan/ton) | |
| Maximum output transition capacity of region in year (MW) | |
| Peak load in region in year (GW) | |
| Interest rate | |
| Non-carbon external cost of power in year (yuan/kwh) | |
| Power transmission cost in province in year (yuan/kwh) | |
| Standard coal consumption of power generation in province in year (g/kwh) | |
| Greek Letters | |
| The lowest economic growth rate in province in year | |
| The maximum share of difference between power input and output in power output | |
| Decommissioning rate of existing thermal plants in province in year | |
| Experience parameter for capital cost of CC | |
| Capacity shrinking coefficient | |
| Energy penalty ratio caused by the CO2 capture | |
| Coal consumption cap of thermal power plants in year (Gt) | |
| Supply reserve factor | |
| The minimum share of non-fossil energy in total cumulative installed capacity in year | |
| Decision variables | |
| Electricity input in province in year (MWh) | |
| Electricity output in province in year (MWh) | |
| Newly installed capacity of power generation source in province in year (GW) | |
| Other variables | |
| Cumulative installed capacity of power in province in year (GW) | |
| The th () group constraint form () and constraint violation () for solution of region in year | |
| The 2th group constraint form () and constraint violation () for solution of power in province in year | |
| The th () group constraint form () and constraint violation () for solution in year | |
| Performance indicators | |
| Indicator applied to test the convergence of the solutions | |
| Value of CM in iteration | |
| Average value of the smallest normalized Euclidean distance of non-dominated solution to reference set in iteration | |
| Maximum value of | |
| Euclidean distance between solution and its nearest neighbor solution in the Pareto solution set | |
| Average value of | |
| Iteration | |
| Reference set | |
| Indicator applied to test the uniformity of the solutions | |
Appendix A
| Power Grid | Provinces, Municipalities or Autonomous Regions |
|---|---|
| Northeast (NE) | Liaoning, Jilin, Heilongjiang, Inner Mongolia |
| North (N) | Beijing, Tianjin, Hebei, Shanxi, Shandong |
| East (E) | Shanghai, Jiangsu, Zhejiang, Anhui, Fujian |
| Central (C) | Henan, Hubei, Hunan, Jiangxi, Chongqing, Sichuan |
| South (S) | Yunnan, Guizhou, Guangxi, Guangdong, Hainan |
| Northwest (NW) | Shaanxi, Gansu, Qinghai, Ningxia, Tibet, Xinjiang |
| Installation | Provinces, Municipalities or Autonomous Regions |
|---|---|
| Already installed | Liaoning, Shandong, Jiangsu, Zhejiang, Fujian, Guangdong, Guangxi, Hainan |
| Planned installation | Jilin, Anhui, Jiangxi, Henan, Hubei, Hunan, Chongqing, Sichuan Gansu, Qinghai |
| No installation conditions | Shanghai, Beijing, Tianjin, Hebei, Shanxi, Heilongjiang, Inner Mongolia, Yunnan, Guizhou, Shaanxi, Ningxia, Tibet, Xinjiang |
| Scenario | Direction | N | NE | E | C | NW | S |
|---|---|---|---|---|---|---|---|
| BAU | In (GW) | 107.48 | 0.00 | 340.10 | 250.18 | 0.00 | 104.48 |
| Out (GW) | 531.72 | 25.37 | 0.00 | 68.15 | 458.32 | 0.00 | |
| LTC-2 1 | In (GW) | 85.98 | 0.00 | 272.08 | 200.14 | 0.00 | 83.58 |
| Out (GW) | 425.38 | 20.30 | 0.00 | 54.52 | 366.66 | 0.00 | |
| LTC-5 | In (GW) | 53.74 | 0.00 | 170.05 | 125.09 | 0.00 | 52.24 |
| Out (GW) | 265.86 | 12.69 | 0.00 | 34.08 | 229.16 | 0.00 | |
| LTC-7 | In (GW) | 53.74 | 0.00 | 170.05 | 125.09 | 0.00 | 52.24 |
| Out (GW) | 265.86 | 12.69 | 0.00 | 34.08 | 229.16 | 0.00 | |
| HTC-2 1 | In (GW) | 128.98 | 0.00 | 408.12 | 300.22 | 0.00 | 125.38 |
| Out (GW) | 638.06 | 30.44 | 0.00 | 81.78 | 549.98 | 0.00 | |
| HTC-5 | In (GW) | 161.22 | 0.00 | 510.15 | 375.27 | 0.00 | 156.72 |
| Out (GW) | 797.58 | 38.06 | 0.00 | 102.23 | 687.48 | 0.00 | |
| HTC-7 | In (GW) | 182.72 | 0.00 | 578.17 | 425.31 | 0.00 | 177.62 |
| Out (GW) | 903.92 | 43.13 | 0.00 | 115.86 | 779.14 | 0.00 |
| Province | 2016–2020 | 2021–2025 | 2026–2030 | 2031–2035 | 2036–2040 | ||||||||||
|---|---|---|---|---|---|---|---|---|---|---|---|---|---|---|---|
| HGDP | BAU | LGDP | HGDP | BAU | LGDP | HGDP | BAU | LGDP | HGDP | BAU | LGDP | HGDP | BAU | LGDP | |
| Beijing | 6.5 | 5.8 | 4.8 | 6.0 | 5.0 | 4.0 | 5.2 | 4.2 | 3.2 | 4.4 | 3.4 | 2.4 | 3.6 | 2.6 | 1.6 |
| Tianjin | 8.5 | 7.8 | 6.8 | 8.0 | 7.0 | 6.0 | 7.2 | 6.2 | 5.2 | 6.4 | 5.4 | 4.4 | 5.6 | 4.6 | 3.6 |
| Hebei | 7.0 | 6.3 | 5.3 | 6.5 | 5.5 | 4.5 | 5.7 | 4.7 | 3.7 | 4.9 | 3.9 | 2.9 | 4.1 | 3.1 | 2.1 |
| Shanxi | 6.5 | 5.8 | 4.8 | 6.0 | 5.0 | 4.0 | 5.2 | 4.2 | 3.2 | 4.4 | 3.4 | 2.4 | 3.6 | 2.6 | 1.6 |
| Inner Mongolia | 7.5 | 6.8 | 5.8 | 7.0 | 6.0 | 5.0 | 6.2 | 5.2 | 4.2 | 5.4 | 4.4 | 3.4 | 4.6 | 3.6 | 2.6 |
| Liaoning | 6.6 | 5.9 | 4.9 | 6.1 | 5.1 | 4.1 | 5.3 | 4.3 | 3.3 | 4.5 | 3.5 | 2.5 | 3.7 | 2.7 | 1.7 |
| Jilin | 6.5 | 5.8 | 4.8 | 6.0 | 5.0 | 4.0 | 5.2 | 4.2 | 3.2 | 4.4 | 3.4 | 2.4 | 3.6 | 2.6 | 1.7 |
| Heilongjiang | 6.0 | 5.3 | 4.3 | 5.5 | 4.5 | 3.5 | 4.7 | 3.7 | 2.7 | 3.9 | 2.9 | 1.9 | 3.1 | 2.1 | 1.1 |
| Shanghai | 6.5 | 5.8 | 4.8 | 6.0 | 5.0 | 4.0 | 5.2 | 4.2 | 3.2 | 4.4 | 3.4 | 2.4 | 3.6 | 2.6 | 1.6 |
| Jiangsu | 7.5 | 6.8 | 5.8 | 7.0 | 6.0 | 5.0 | 6.2 | 5.2 | 4.2 | 5.4 | 4.4 | 3.4 | 4.6 | 3.6 | 2.6 |
| Zhejiang | 7.0 | 6.3 | 5.3 | 6.5 | 5.5 | 4.5 | 5.7 | 4.7 | 3.7 | 4.9 | 3.9 | 2.9 | 4.1 | 3.1 | 2.1 |
| Anhui | 8.5 | 7.8 | 6.8 | 8.0 | 7.0 | 6.0 | 7.2 | 6.2 | 5.2 | 6.4 | 5.4 | 4.4 | 5.6 | 4.6 | 3.6 |
| Fujian | 8.5 | 7.8 | 6.8 | 8.0 | 7.0 | 6.0 | 7.2 | 6.2 | 5.2 | 6.4 | 5.4 | 4.4 | 5.6 | 4.6 | 3.6 |
| Jiangxi | 8.5 | 7.8 | 6.8 | 8.0 | 7.0 | 6.0 | 7.2 | 6.2 | 5.2 | 6.4 | 5.4 | 4.4 | 5.6 | 4.6 | 3.6 |
| Shandong | 7.5 | 6.8 | 5.8 | 8.0 | 6.0 | 5.0 | 6.2 | 5.2 | 4.2 | 5.4 | 4.4 | 3.4 | 4.6 | 3.6 | 2.6 |
| Henan | 8.0 | 7.3 | 6.3 | 7.5 | 6.5 | 5.5 | 6.7 | 5.7 | 4.7 | 5.9 | 4.9 | 3.9 | 5.1 | 4.1 | 3.1 |
| Hubei | 8.5 | 7.8 | 6.8 | 8.0 | 7.0 | 6.0 | 7.2 | 6.2 | 5.2 | 6.4 | 5.4 | 4.4 | 5.6 | 4.6 | 3.6 |
| Hunan | 8.5 | 7.8 | 6.8 | 8.0 | 7.0 | 6.0 | 7.2 | 6.2 | 5.2 | 6.4 | 5.4 | 4.4 | 5.6 | 4.6 | 3.6 |
| Guangdong | 7.0 | 6.3 | 5.3 | 6.5 | 5.5 | 4.5 | 5.7 | 4.7 | 3.7 | 4.9 | 3.9 | 2.9 | 4.1 | 4.1 | 3.1 |
| Guangxi | 7.5 | 6.8 | 5.8 | 7.0 | 6.0 | 5.0 | 6.2 | 5.2 | 4.2 | 5.4 | 4.4 | 3.4 | 4.6 | 4.6 | 3.6 |
| Hainan | 7.0 | 6.3 | 5.3 | 6.5 | 5.5 | 4.5 | 5.7 | 4.7 | 3.7 | 4.9 | 3.9 | 2.9 | 4.1 | 3.1 | 2.1 |
| Chongqing | 9.0 | 8.3 | 7.3 | 8.5 | 7.5 | 6.5 | 7.7 | 6.7 | 5.7 | 6.9 | 5.9 | 4.9 | 6.1 | 5.1 | 4.1 |
| Sichuan | 7.0 | 6.3 | 5.3 | 6.5 | 5.5 | 4.5 | 5.7 | 4.7 | 3.7 | 4.9 | 3.9 | 2.9 | 4.1 | 3.1 | 2.1 |
| Guizhou | 10.0 | 9.3 | 8.3 | 9.5 | 8.5 | 7.5 | 8.7 | 7.7 | 6.7 | 7.9 | 6.9 | 5.9 | 7.1 | 6.1 | 5.1 |
| Yunnan | 8.5 | 7.8 | 6.8 | 8.0 | 7.0 | 6.0 | 7.2 | 6.2 | 5.2 | 6.4 | 5.4 | 4.4 | 5.6 | 4.6 | 3.6 |
| Tibet | 10.0 | 9.3 | 8.3 | 9.5 | 8.5 | 7.5 | 8.7 | 7.7 | 6.7 | 7.9 | 6.9 | 5.9 | 7.1 | 6.1 | 5.1 |
| Shannxi | 8.0 | 7.3 | 6.3 | 7.5 | 6.5 | 5.5 | 6.7 | 5.7 | 4.7 | 5.9 | 4.9 | 3.9 | 5.1 | 4.1 | 3.1 |
| Gansu | 7.5 | 6.8 | 5.8 | 7.0 | 6.0 | 5.0 | 6.2 | 5.2 | 4.2 | 5.4 | 4.4 | 3.4 | 4.6 | 3.6 | 2.6 |
| Qinghai | 7.5 | 6.8 | 5.8 | 7.0 | 6.0 | 5.0 | 6.2 | 5.2 | 4.2 | 5.4 | 4.4 | 3.4 | 4.6 | 3.6 | 2.6 |
| Ningxia | 7.5 | 6.8 | 5.8 | 7.0 | 6.0 | 5.0 | 6.2 | 5.2 | 4.2 | 5.4 | 4.4 | 3.4 | 4.6 | 3.6 | 2.6 |
| Xinjiang | 9.0 | 8.3 | 7.3 | 8.5 | 7.5 | 6.5 | 7.7 | 6.7 | 5.7 | 6.9 | 5.9 | 4.9 | 6.1 | 5.1 | 4.1 |
References
- IEA. Global Energy & CO2 Status Report; IEA: Paris, France, 2019. [Google Scholar]
- Thangavelu, S.R.; Khambadkone, A.M.; Karimi, I.A. Long-term optimal energy mix planning towards high energy security and low GHG emission. Appl. Energy 2015, 154, 959–969. [Google Scholar] [CrossRef]
- Kaushik, E.; Prakash, V.; Mahela, O.P.; Khan, B.; El-Shahat, A.; Abdelaziz, A.Y. Comprehensive overview of power system flexibility during the scenario of high penetration of renewable energy in utility grid. Energies 2022, 15, 516. [Google Scholar] [CrossRef]
- Asiaban, S.; Kayedpour, N.; Samani, A.E.; Bozalakov, D.; De Kooning, J.D.M.; Crevecoeur, G.; Vandevelde, L. Wind and solar intermittency and the associated integration challenges: A comprehensive review including the status in the Belgian power system. Energies 2021, 14, 2630. [Google Scholar] [CrossRef]
- Kahouli-Brahmi, S. Technological learning in energy–environment–economy modelling: A survey. Energy Policy 2008, 36, 138–162. [Google Scholar] [CrossRef]
- Huang, H.; Hui, J.; Cai, W.; Wang, C. Optimizing the power generation structure for low carbon development target in China: A comparison study of endogenous and exogenous technology improvements. Energy Procedia 2019, 158, 4055–4060. [Google Scholar] [CrossRef]
- Yao, Y.; Xu, J.-H.; Sun, D.-Q. Untangling global levelised cost of electricity based on multi-factor learning curve for renewable energy: Wind, solar, geothermal, hydropower and bioenergy. J. Clean. Prod. 2021, 285, 124827. [Google Scholar] [CrossRef]
- Hobbs, B.F. Optimization methods for electric utility resource planning. Eur. J. Oper. Res. 1995, 83, 1–20. [Google Scholar] [CrossRef]
- Park, Y.M.; Park, J.B.; Won, J.R. A hybrid genetic algorithm/dynamic programming approach to optimal long-term generation expansion planning. Int. J. Electr. Power Energy Syst. 1998, 20, 295–303. [Google Scholar] [CrossRef]
- Wang, J.; Sparrow, F.T. The cost of uncertainty in capacity expansion problems. Int. J. Energy Res. 1999, 23, 1187–1198. [Google Scholar] [CrossRef]
- Sadeghi, A.; Larimian, T. Sustainable electricity generation mix for Iran: A fuzzy analytic network process approach. Sustain. Energy Technol. Assess. 2018, 28, 30–42. [Google Scholar] [CrossRef]
- Atabaki, M.S.; Aryanpur, V. Multi-objective optimization for sustainable development of the power sector: An economic, environmental, and social analysis of Iran. Energy 2018, 161, 493–507. [Google Scholar] [CrossRef]
- Al Shidhani, T.; Ioannou, A.; Falcone, G. Multi-objective optimisation for power system planning integrating sustainability indicators. Energies 2020, 13, 2199. [Google Scholar] [CrossRef]
- Junne, T.; Cao, K.-K.; Miskiw, K.K.; Hottenroth, H.; Naegler, T. Considering life cycle greenhouse gas emissions in power system expansion planning for Europe and North Africa using multi-objective optimization. Energies 2021, 14, 1301. [Google Scholar] [CrossRef]
- Makhloufi, S.; Khennas, S.; Bouchaib, S.; Arab, A.H. Multi-objective cuckoo search algorithm for optimized pathways for 75% renewable electricity mix by 2050 in Algeria. Renew. Energy 2022, 185, 1410–1424. [Google Scholar] [CrossRef]
- Luz, T.; Moura, P.; de Almeida, A. Multi-objective power generation expansion planning with high penetration of renewables. Renew. Sustain. Energy Rev. 2018, 81, 2637–2643. [Google Scholar] [CrossRef]
- Yu, S.; Zhou, S.; Zheng, S.; Li, Z.; Liu, L. Developing an optimal renewable electricity generation mix for China using a fuzzy multi-objective approach. Renew. Energy 2019, 139, 1086–1098. [Google Scholar] [CrossRef]
- Yu, S.; Zhou, S.; Qin, J. Layout optimization of China’s power transmission lines for renewable power integration considering flexible resources and grid stability. Int. J. Electr. Power Energy Syst. 2022, 135, 107507. [Google Scholar] [CrossRef]
- Tekiner, H.; Coit, D.W.; Felder, F.A. Multi-period multi-objective electricity generation expansion planning problem with Monte-Carlo simulation. Electr. Power Syst. Res. 2010, 80, 1394–1405. [Google Scholar] [CrossRef] [Green Version]
- Hytowitz, R.B.; Hedman, K.W. Managing solar uncertainty in microgrid systems with stochastic unit commitment. Electr. Power Syst. Res. 2015, 119, 111–118. [Google Scholar] [CrossRef]
- Wang, C.; Ye, M.; Cai, W.; Chen, J. The value of a clear, long-term climate policy agenda: A case study of China’s power sector using a multi-region optimization model. Appl. Energy 2014, 125, 276–288. [Google Scholar] [CrossRef]
- Hui, J.; Cai, W.; Wang, C.; Ye, M. Analyzing the penetration barriers of clean generation technologies in China’s power sector using a multi-region optimization model. Appl. Energy 2017, 185, 1809–1820. [Google Scholar] [CrossRef]
- Chen, S.; Liu, P.; Li, Z. Multi-regional power generation expansion planning with air pollutants emission constraints. Renew. Sustain. Energy Rev. 2019, 112, 382–394. [Google Scholar] [CrossRef]
- Daş, G.S.; Gzara, F.; Stützle, T. A review on airport gate assignment problems: Single versus multi objective approaches. Omega 2020, 92, 102146. [Google Scholar] [CrossRef]
- Deb, K. Multi-objective optimization. In Search Methodologies; Springer: Berlin/Heidelberg, Germany, 2014; pp. 403–449. [Google Scholar]
- Handayani, K.; Krozer, Y.; Filatova, T. From fossil fuels to renewables: An analysis of long-term scenarios considering technological learning. Energy Policy 2019, 127, 134–146. [Google Scholar] [CrossRef]
- Yi, B.W.; Xu, J.H.; Fan, Y. Inter-regional power grid planning up to 2030 in China considering renewable energy development and regional pollutant control: A multi-region bottom-up optimization model. Appl. Energy 2016, 184, 641–658. [Google Scholar] [CrossRef]
- Wang, X.; Du, L. Study on carbon capture and storage (CCS) investment decision-making based on real options for China’s coal-fired power plants. J. Clean. Prod. 2016, 112, 4123–4131. [Google Scholar] [CrossRef]
- IEA. CO2 Emissions from Fuel Combustion 2018; IEA: Paris, France, 2018; p. 515. [Google Scholar]
- Reimers, A.; Cole, W.; Frew, B. The impact of planning reserve margins in long-term planning models of the electricity sector. Energy Policy 2019, 125, 1–8. [Google Scholar] [CrossRef]
- Pratama, Y.W.; Purwanto, W.W.; Tezuka, T.; McLellan, B.C.; Hartono, D.; Hidayatno, A.; Daud, Y. Multi-objective optimization of a multiregional electricity system in an archipelagic state: The role of renewable energy in energy system sustainability. Renew. Sustain. Energy Rev. 2017, 77, 423–439. [Google Scholar] [CrossRef]
- Wang, F.; Yin, H.; Li, S. China’s renewable energy policy: Commitments and challenges. Energy Policy 2010, 38, 1872–1878. [Google Scholar] [CrossRef]
- Mcintyre, T.J.; Kirby, B.J.; Kisner, R.A.; Van Dyke, J.W. Real Power Regulation for the Utility Power Grid via Responsive Loads. U.S. Patent 7,536,240, 19 May 2009. [Google Scholar]
- NDRC. The 13th Five-Year Plan for Energy Development; NDRC: Beijing, China, 2016. [Google Scholar]
- NDRC. The 13th Five-Year Plan for Electricity Development; NDRC: Beijing, China, 2016. [Google Scholar]
- Vithayasrichareon, P.; MacGill, I.F. A Monte Carlo based decision-support tool for assessing generation portfolios in future carbon constrained electricity industries. Energy Policy 2012, 41, 374–392. [Google Scholar] [CrossRef]
- Lei, D.; Yan, X. Multi-Objective Intelligent Optimization Algorithm and Application; Science Press: Beijing, China, 2009; p. 389. [Google Scholar]
- Li, X. A Non-Dominated Sorting Particle Swarm Optimizer for Multi-Objective Optimization; Springer: Berlin/Heidelberg, Germany, 2003; pp. 37–48. [Google Scholar]
- Deb, K. Multi-objective optimisation using evolutionary algorithms: An introduction. In Multi-Objective Evolutionary Optimisation for Product Design and Manufacturing; Springer: London, UK, 2011; pp. 3–34. [Google Scholar] [CrossRef]
- Deb, K.; Jain, S. Running performance metrics for evolutionary multi-objective optimization. In Proceedings of the Fourth Asia-Pacific Conference on Simulated Evolution and Learning (SEAL’02), Singapore, 3 February 2002; pp. 13–20. [Google Scholar]
- Schott, J.R. Fault Tolerant Design Using Single and Multicriteria Genetic Algorithm Optimization. Ph.D. Thesis, Massachusetts Institute of Technology, Cambridge, MA, USA, 1995. [Google Scholar]
- Yu, S.; Zheng, S.; Gao, S.; Yang, J. A multi-objective decision model for investment in energy savings and emission reductions in coal mining. Eur. J. Oper. Res. 2017, 260, 335–347. [Google Scholar] [CrossRef]
- Wang, L.; Wang, Y.; Zhou, Z.; Garvlehn, M.P.; Bi, F. Comparative assessment of the environmental impacts of hydro-electric, nuclear and wind power plants in China: Life cycle considerations. Energy Procedia 2018, 152, 1009–1014. [Google Scholar] [CrossRef]
- Wu, P.; Ma, X.; Ji, J.; Ma, Y. Review on life cycle assessment of greenhouse gas emission profit of solar photovoltaic systems. Energy Procedia 2017, 105, 1289–1294. [Google Scholar] [CrossRef]
- Zhang, D.; Liu, P.; Ma, L.; Li, Z.; Ni, W. A multi-period modelling and optimization approach to the planning of China’s power sector with consideration of carbon dioxide mitigation. Comput. Chem. Eng. 2012, 37, 227–247. [Google Scholar] [CrossRef]
- NEEDS. External Costs from Emerging Electricity Generation Technologies, Delievable no.6.1-RS1a, New Energy Externalities Developments for Sustainability; European Commission: Brussels, Belgium, 2009. [Google Scholar]
- de Boer, D.; Roldao, R.; Slater, H.; Guoqiang, Q. China Carbon Price Survey 2017; China Carbon Forum: Beijing, China, 2017. [Google Scholar]
- Slater, H.; de Boer, D.; Wang, S.; Qian, G. China Carbon Price Survey 2018; China Carbon Forum: Beijing, China, 2018. [Google Scholar]
- Feihong, W. Economic analysis of UHVAC transmission. Glob. Mark. 2016, 22, 184–186. [Google Scholar]
- He, J.; Liu, Y.; Lin, B. Should China support the development of biomass power generation? Energy 2018, 163, 416–425. [Google Scholar] [CrossRef]
- CNBS. China Statistical Yearbook; CNBS: Beijing, China, 2017. [Google Scholar]
- Jugen, L.; Lishan, S. Brief description of hydropower resources in China. Water Power 2006, 32, 3–7. (In Chinese) [Google Scholar]
- Song, K.; Zhou, J.; Zhang, P.; Kan, S. Assessment of biomass power potential on provincial scale and analysis on plan target quota. Forum Sci. Technol. China 2016, 1, 124–129. [Google Scholar] [CrossRef]
- Wang, Z. China Renewable Energy Outlook 2016; CIFF: Beijing, China, 2017. [Google Scholar]
- Guo, Z.; Ma, L.; Liu, P.; Jones, I.; Li, Z. A multi-regional modelling and optimization approach to China’s power generation and transmission planning. Energy 2016, 116, 1348–1359. [Google Scholar] [CrossRef]
- Zhang, Y.; Zhang, X.; Lan, L. Robust optimization-based dynamic power generation mix evolution under the carbon-neutral target. Resour. Conserv. Recycl. 2022, 178, 106103. [Google Scholar] [CrossRef]
- Gong, J.W.; Li, Y.P.; Lv, J.; Huang, G.H.; Suo, C.; Gao, P.P. Development of an integrated bi-level model for China’s multi-regional energy system planning under uncertainty. Appl. Energy 2022, 308, 118299. [Google Scholar] [CrossRef]
- Zhang, C.; He, G.; Johnston, J.; Zhong, L. Long-term transition of China’s power sector under carbon neutrality target and water withdrawal constraint. J. Clean. Prod. 2021, 329, 129765. [Google Scholar] [CrossRef]
- Von Hirschhausen, C.; Andres, M. Long-term electricity demand in China—From quantitative to qualitative growth? Energy Policy 2000, 28, 231–241. [Google Scholar] [CrossRef]











| Parameters | Values | Setting Methods or References |
|---|---|---|
| The people’s Bank of China | ||
| Average value of from 2011 to 2016 | ||
| Average value of from 2012 to 2016, PV and biomass takes the value of base year | ||
| Yi et al. [27] | ||
| Wang and Lei [28] | ||
| Zhang et al. [45] | ||
| NEEDS [46] | ||
| De et al. [47] and Slater et al. [48] | ||
| Feihong [49] | ||
| Estimated by data from 2013–2016 | ||
| Wang et al. [43], Wu et al. [44], and He et al. [50] | ||
| Average value of data from 2012 to 2016 | ||
| Estimated by data from 2005–2016 | ||
| CNBS [51] | ||
| Estimated by data from 2005–2016 | ||
| Li and Shi [52], Song et al. [53], and Wang and Shan [54] | ||
| Estimated by data from 2012–2016 | ||
| Wang and Du [28] | ||
| Guo et al. [55] | ||
| 4% increase every five years | ||
| Average value of from 2012 to 2016 | ||
| Estimated by data from 2010–2016 | ||
| Minimum of international standard 12–25% | ||
| Yi et al. [27] |
| Parameter | Description | Value |
|---|---|---|
| The size of the population | 100 | |
| The maximum number of iterations | 1000 | |
| cognitive coefficient and social coefficient | 0.8 | |
| The minimum and maximum inertia coefficient | 0.1, 1.2 |
| Indicators | Average | Standard Deviation | Best | Worst |
|---|---|---|---|---|
| 0.18 | 0.13 | 0.11 | 0.23 | |
| 0.02 | 0.04 | 0.02 | 0.05 |
Publisher’s Note: MDPI stays neutral with regard to jurisdictional claims in published maps and institutional affiliations. |
© 2022 by the authors. Licensee MDPI, Basel, Switzerland. This article is an open access article distributed under the terms and conditions of the Creative Commons Attribution (CC BY) license (https://creativecommons.org/licenses/by/4.0/).
Share and Cite
Zhou, S.; Yang, J.; Yu, S. A Stochastic Multi-Objective Model for China’s Provincial Generation-Mix Planning: Considering Variable Renewable and Transmission Capacity. Energies 2022, 15, 2797. https://doi.org/10.3390/en15082797
Zhou S, Yang J, Yu S. A Stochastic Multi-Objective Model for China’s Provincial Generation-Mix Planning: Considering Variable Renewable and Transmission Capacity. Energies. 2022; 15(8):2797. https://doi.org/10.3390/en15082797
Chicago/Turabian StyleZhou, Shuangshuang, Juan Yang, and Shiwei Yu. 2022. "A Stochastic Multi-Objective Model for China’s Provincial Generation-Mix Planning: Considering Variable Renewable and Transmission Capacity" Energies 15, no. 8: 2797. https://doi.org/10.3390/en15082797
APA StyleZhou, S., Yang, J., & Yu, S. (2022). A Stochastic Multi-Objective Model for China’s Provincial Generation-Mix Planning: Considering Variable Renewable and Transmission Capacity. Energies, 15(8), 2797. https://doi.org/10.3390/en15082797

