Next Article in Journal
The Influence of Biochar Augmentation and Digestion Conditions on the Anaerobic Digestion of Water Hyacinth
Previous Article in Journal
Economic Evaluation of Implementation of Power-to-Gas: Application to the Case of Spain
 
 
Font Type:
Arial Georgia Verdana
Font Size:
Aa Aa Aa
Line Spacing:
Column Width:
Background:
Article

Appraising the Optimal Power Flow and Generation Capacity in Existing Power Grid Topology with Increase in Energy Demand

by
Gideon Ude Nnachi
*,†,
Yskandar Hamam
*,† and
Coneth Graham Richards
*,†
Department of Electrical Engineering, Faculty of Engineering and the Built Environment, Tshwane University of Technology Private, Bag X680, Pretoria 0001, South Africa
*
Authors to whom correspondence should be addressed.
These authors contributed equally to this work.
Energies 2022, 15(7), 2522; https://doi.org/10.3390/en15072522
Submission received: 21 January 2022 / Revised: 7 March 2022 / Accepted: 8 March 2022 / Published: 30 March 2022

Abstract

:
Several socioeconomic factors such as industrialization, population growth, evolution of modern technologies, urbanization and other social activities do heavily influence the increase in energy demand. A thorough understanding of the effects of energy demand to power grid is highly essential for effective planning and operation of a power system network in terms of the available generation and transmission line capacities. This paper presents an optimal power flow (OPF) with the aim to determine the exact nodes through which the network capacities can be increased. The problem is formulated as a Direct Current (DC) OPF model, which is a linearized version of an Alternating Current (AC) OPF model. The DC-OPF model was solved as a single period OPF problem. The model was tested in several case studies using the topology of the IEEE test systems, and the computation speeds of the different cases were compared. The results suggested dual variables of the problem’s constraints as an extra tool for the network designer to see where to increase the network capacities.

Graphical Abstract

1. Introduction

Power system networks are vast and a highly sophisticated system with numerous branches interconnected together in web-like form, which in most cases are being supervised by one network operator [1,2]. Such numerous web-like branches of the system, which can also be viewed as power grid topology or energy internet, are commonly called power transmission lines in which the energy in-flow and out-flow must be in accordance with Kirchhoff’s current and voltage laws. However, the determination of the best operating levels of the network in terms of efficient energy delivery from generation nodes to demand nodes calls for an optimal power flow (OPF) approach.
The OPF in the power system was first introduced in 1962 by Carpentier [3,4]. It has a major aim of minimizing the total operating cost of energy generation in the power system subject to the system’s resource constraints. Such constraints include: the power flow limits in each branch of the network, generator capacity limits, voltage magnitudes and their angles, and, in most cases, can also consider the active transmission losses in either part of the network or the whole network system [5].
The OPF model majorly depends on the static optimization method for minimization of a scalar optimization function. The OPF for minimization purpose was introduced in 1968 by Dommel and Tinney [6], where the first-order gradient algorithm is subject to inequality and also equality constraints [7]. Other conventional methods applied to solve the OPF problem include the Newton method network flow programming, quadratic programming, the interior point algorithm, linear programming, nonlinear programming and the emerging nature inspired algorithms [8].
Furthermore, the OPF tends to optimize the static operating condition of a power generation–transmission system with several benefits such as: ensuring static security of quality of service by imposing limits on generation and transmission system’s operation; the optimization of reactive-power/voltage scheduling; improvements in the economy of operation through the full utilization of the system’s feasible operating range and the accurate coordination of transmission losses in the scheduling process [9]. For convergence purposes, the generator operating cost functions are usually approximated by either quadratic or linear functions. In most cases, the operating cost is a function of both the generation active and reactive power of the network [10].
Moreover, it is highly imperative and ideal to carry out OPF in either an existing transmission system or newly planned transmission system in order to obtain the network information in terms of the generation and line capacities, voltage levels, and their phases. The OPF does show exactly where there are bottlenecks in the system and hence the network reinforcements, addition of new lines and exploration of new corridors, which are known as Transmission Network Expansion Planning (TNEP), can be conducted with ease if the OPF results are readily available.
The OPF can be formulated as DC or AC OPF problems. The AC OPF formulation uses the actual AC power flow equations with the incorporation of the actual voltage magnitudes, active and reactive power management. This generates nonlinear terms in the expression of the power equations, which makes it difficult to solve by using the classical optimization techniques [11], and the accuracy of the trending nature inspired algorithms in handling the nonlinear terms has not been properly verified in a real situation.
A novel linear-programming approximation of AC power flow that handles the reactive power and voltage magnitudes was proposed in [12]. The model was developed in terms of a polyhedral relaxation of the cosine terms in the AC equations and Taylor series expansion was used in handling the rest of the nonlinear terms. A convex formulation for the OPF in radial power grids, for which the AC OPF equations, including the transverse parameters, are considered can be found in [13].
However, the establishment of a robust solution for AC OPF remains a challenge, despite the numerous nonlinear algorithms developed in literature.
The DC OPF model formulation uses the linearized version of AC power flow, without the consideration of the aspects of voltage support and reactive power management [14]. This brings convexity, which allows for faster computation time [15].
The linear OPF models, for which the DC model is the major representative, are widely adopted in the electricity market as a simplified version of the AC OPF model [16]. Almost every study of the OPF model for market related purposes adopts the DC OPF model [14].
The linear approximation of AC OPF that considers the accuracy of the transmission losses and reactive load flows was presented in [11]. The analysis of the assumptions of the DC OPF model and the attempts to quantify the assumptions’ degree of accuracy are the work done in [14]. Meanwhile, the technique for solving the DC OPF with the minimum error is presented in [16]. The work of [17] handled the formulation of a linear Mega-Watts-only power flow algorithm with losses for multi-terminal Voltage Source Converter (VSC) AC/DC systems and consistency in estimation of losses in the converters was guaranteed.
An OPF with an integrated approach of geographically indexed production, demand and grid modelling for large-area power systems was proposed in [18] to account for variance in the loading of transmission lines with the scenario for the development of wind power in Switzerland. The result showed that, in prospective regions of wind power development, Switzerland’s grid is capable of providing congestion-free dispatch in its current state.
Energy management problem in the power network system, with inter- disciplinary techniques, was investigated in [19]. The energy regulation issue was considered based on the operational principles of energy internet (EI). The problem was formulated as a constrained optimal control problem with multiple targets. A model-free deep reinforcement learning (DRL) approach was applied with real-world power data with no explicit mathematical model for renewable power generation devices and loads. The results were compared with that of the conventional OPF method, and they showed better performance than the OPF solution.
However, the results of the model-free DRL approach still need further comparison analysis with a model-based DRL approach, to further consolidate the better performance claim. This is due to the fact that model-free DRL uses trial and error approaches without taking into consideration the actual system’s model [19,20,21]. However, the peculiar feature of model-based DRL is that its objectives are finite-horizon based objectives [22,23,24,25], and it often yields improved sample efficiency [26].
A modified Successive Linear Programming (SLP) algorithm was applied in [27] to solve a relaxed AC OPF problem. The algorithm was tested in several large networks specified by the U.S. Department of Energy (DOE) ranging from 500-bus to 30,000-bus systems. The results show tractability of the algorithm, and up to 80% of the test cases were solved faster than an Interior Point Method (IPM) with less number of iterations.
A novel method to approximate the AC OPF into tractable linear/quadratic programming (LP/QP) based OPF problems to be used for power system planning and operation was proposed in [28]. The result showed that the methods drastically reduced the computational complexity compared to the nonlinear AC OPF, thereby making them a good choice for power system planning purposes.
The previous work of the author, Hamam [29], affirms that a well planned power supply system for any given planning horizon should have the total installed capacity exceeding the peak demand by a certain amount within the specified horizon. Such extra capacity is known as reserve.
In this paper, a novel DC OPF model that optimizes how much energy is produced, realizes how many economic benefits are saved in the process and predicts where to increase the capacity in an existing grid topology is proposed.
The major contribution of this paper is in the area of
  • the utilization of the dual variables of the constraints, which is known as the per unit cost of constraint relaxation to form an extra tool for the network designer to see where to increase the network capacities.
Such approach has not been covered in the literature for OPF analysis to the best of our knowledge. The chosen approach also has a primary concern of computational speed as required in real-time economic dispatch.
Moreover, the paper presents the matrix expansions of the developed model in terms of each decision variable’s relationship with other parameters of the network for proper representation of the model in any suitable optimization software.
The rest of the sections of the paper are organized as follows: Section 2 defines the OPF problem; the AC and DC formulations of the OPF problems are described in Section 2.1 and Section 2.2, respectively. The matrix expansion of the DC OPF Model is expressed in Section 2.3. The Duality Principle in Linear Programming is highlighted in Section 3, while Section 4 contains the results and discussions of the three different test cases, followed by conclusions, acknowledgements, appendices and references.

2. Optimal Power Flow (OPF) Problem

The determination of optimal power flow (OPF) is critical for proper power system planning and operation, owing to the fact that it is utilised in finding the optimal operating state of power network systems under certain constraints such as active and reactive power limits, loss of load limits and as well as thermal limits of the transmission network with other constraints posed by integration of renewable energy sources such as the wind and solar energy [7].
Moreover, it is highly imperative and ideal to carry out OPF in either an existing transmission system or a newly planned transmission system in order to obtain the network information in terms of the generation and line capacities.
However, the determination of the exact network nodes where the capacity of the network can be increased to satisfy any further increment in demand with minimum cost of energy production is eminent.

2.1. AC Optimal Power Flow Problem Formulation

The formulation of AC power flow problem adopts the exact power flow equations. The description of the problem takes into account the voltage magnitude and phase information at each bus for a particular load scenario with regard to the voltage level of each generator, active power output and real and reactive power at all available loads.
With such information, the active and reactive AC power flows in each branch of the network can be determined by finding the feasible solution to a set of nonlinear nodal balance equations as shown in (1) and (2), respectively:
g Ω g P G g V i i , j Ω V j ( G k cos δ k + B k sin δ k ) = d Ω d P D d
g Ω g Q G g V i i , j Ω V j ( G k sin δ k B k cos δ k ) = d Ω d Q D d
where P G g and Q G g are active and reactive power generated at generation bus g. P D d and Q D d are the real and reactive demands at load bus d. V i and V j are the voltages at buses i and j. G k , B k and δ k are the line conductance, suspectance and phase, respectively.
Based on the assumption of a quadratic cost curve of the generators, the AC OPF model can be represented as a quadratic programming model, which is easier to solve due to its convex nature [30]. The model’s objective function tends to minimize the total energy cost without the consideration of the unit commitment problem:
m i n g Ω g ( γ P G g 2 + β P G g + α ) Subject to :
g Ω g P G g + k Ω k P k k Ω k P k + = d Ω d P D d
g Ω g Q G g + k Ω k Q k k Ω k Q k + = d Ω d Q D d
k Ω k P k + V i i , j Ω V j ( G k cos δ k + B k sin δ k ) = 0
k Ω k P k + V i i , j Ω V j ( G k cos δ k + B k sin δ k ) = 0
k Ω k Q k V i i , j Ω V j ( G k sin δ k B k cos δ k ) = 0
k Ω k Q k + + V i i , j Ω V j ( G k sin δ k B k cos δ k ) = 0
P k 2 + Q k 2 S k m a x
P G g m i n P G g P G g m a x
Q G g m i n Q G g Q G g m a x
V m i n V i , V j V m a x
δ k m i n δ k δ k m a x
where γ , β and α are the constant coefficients of the generation cost function. P k and Q k are real and reactive power flows of the line. S k m a x is the maximum flow limit of each branch. The forward and the reverse direction of flow of the real and reactive power flows are represented as P k + , Q k + and P k Q k , respectively. The bus-to-bus phase angle difference δ k is kept small for security purposes.

2.2. DC Optimal Power Flow Problem Formulation

Despite the tremendous improvements in nonlinear programming (NLP) in terms of convex relaxations and reactive power handling, the AC OPF linear approximation still remains the major practice all over the world by system operators due to its computational simplicity and market benefits [31].
Such market benefits evolved from the fact that traditional AC OPF incorporates both active and reactive power flows in its process and management. However, the present day liberalized and deregulated electricity markets regard active power as a tradeable commodity and the reactive power as a subsidiary service from the system operator, and the costs are the responsibility of the system users. The decoupling idea of these two products enhances the high interest in active power flow compared to the reactive power flow [14].
Moreover, in terms of computational speed, the linear approximation of AC OPF is frequently in use to speed up multi-scenario steady state analysis [17]. This is mainly due to the superiority of linear programming (LP) in terms of computational efficiency and real-time reliability in market applications, where its capability to provide LMP at each node dominates [31].
Hence, the DC OPF, which is the parent linear approximation of the AC OPF model among others (such as transportation, disjunctive and hybrid models [2,32,33,34,35,36]), is the linearized version of AC power flow with some key assumptions as follows [37]:
  • The bus voltage magnitudes must be set to 1.0 pu.
  • The phase angle difference of the bus voltage is so small that sin δ k δ k
  • The algebraic sum of branch flow has to be zero ( P k + + P k = 0 ) hence, G k is negligible.
  • The reactive power flow has to be zero ( Q k = 0 ) and
  • The reactive generation has to be zero ( Q G g = 0 ).
Therefore, DC OPF undertakes fixed bus voltage magnitudes and negligible reactive power and network losses [37].
The AC OPF model’s forward and reverse active power flows constraints shown in (6) and (7), respectively, can be reformulated in terms of DC OPF model’s power flow (by neglecting the effect of the branch conductance, G k and considering s i n δ k δ k ) as shown below:
k Ω k P k + + k Ω k B k δ k = 0
k Ω k P k k Ω k B k δ k = 0
Similarly, the DC power flow nodal balance equation can be represented as follows:
g Ω g P G g k Ω B k δ k = d Ω d P D d
In the alternative DC power flow model, the voltage magnitudes can be set to real values other than 1.0 p.u., with active power losses included. However, the most commonly used model is the ideal lossless DC power flow model, which aims to find the solution to a set of linear equations. Hence, it is usually formulated as a linear programming problem shown below:
m i n g Ω g β P G g Subject to :
g Ω g P G g k Ω l P k = d Ω d P D d
P k = B k δ k
P G g m i n P G g P G g m a x
δ m i n δ k δ m a x
The DC OPF model represents only the linear term of the original quadratic model of the AC OPF and that brings convexity, which allows for faster computation time [15]. However, the effects of the system’s reactive power and losses remain non-salient in that case.

2.3. Matrix Expansion of the DC OPF Model

The expansion of the developed model in terms of matrices is essential for proper representation of the model in any suitable optimization software. The DC-OPF model in generic matrix form is represented in (23) to (29):
m i n β P G g Subject to :
C g P G g C t P k = P D d
P k + B k δ k = 0
δ k + C θ i = 0
P G g m i n P G g P G g m a x
2 π δ k 2 π
π θ i π
where C g is the node incident matrix of the generator buses, C t is node-branch incident matrix, C is the branch-node incident matrix and θ i is the angle at bus i. The angles’ limit factor, π , is in degrees.
The summary of the matrix expression of the model is shown in Table 1, and the detailed illustration of the formula derivation and calculation process using a 4-bus test system can be found in Appendix A.1, where I (in Table 1) represents the identity matrix corresponding to the sizes of the respective decision variables’ matrices.

3. Duality Principle in Linear Programming

Duality in optimization techniques is the principle that views one optimization problem in two perspectives viz: the primal problem and the dual problem. The main problem is usually called the primal problem while the sub-problem is the dual counterpart of the primal problem [38]. The primary purpose of the dual problem, which is always a convex LP problem [39], is to provide a lower bound to the solution of the primal minimization problem [40]. Its convexity implies that it can easily find a lower bound of the primal problem’s optimal solution [39].
Such lower bound can provide extra analysis for the correct interpretation of the optimal solution of the dual problem, which can strengthen the sensitivity of the model in question [38].
Consider the general notation of LP minimization problem formulation:
m i n c t x Subject to :
A x = b
x a
where c t is the transpose of row vector of the cost matrix, x is the decision variables, A is the equality constraint coefficients matrix, b is the right-hand side of the equality constraints and a is the lower bound of the decision variables.
This is the general representation of an LP type of problem with equality constraints only and that looks very similar to our defined problem in (23) to (29).
The dual problem on the other hand is formulated by maximizing the right-hand side of the primal problem’s constraints, b with a new cost coefficients denoted as u subject to a new constraints where the primal costs become the right-hand side of the constraints and u must be greater or equal to the lower bound of the primal problem (a) as follows:
m a x u b Subject to :
A u = c t
u a
The purpose of including the concept of duality in this work is due to the proposed dual variables of the DC OPF model’s constraints needed for obtaining the cost of constraint relaxation (CCR) for further analysis of the defined OPF problem. Hence, in terms of the developed DC OPF model:
x = | P G g P k δ k θ i | t ,   A = | C g C t 0 0 0 0 I C 0 I B k 0 |   a n d     b = | P D d 0 0 |
The yielded optimal solution of the dual is the per unit cost of relaxing the respective constraints and that can form an extra tool for the system designer to see where to increase the capacities of the power network.

4. Results and Discussion of the Test Cases

In this section, the simulation results of the proposed model are reported. The performance of the proposed model was tested in IEEE 6-, 9-, 24-, 39- and 118-bus systems from matpower 7.0.
CPLEX 20.1.0 was used as a solver in MATLAB 2021b installed in an Intel(R) Core(TM) i3-2310M CPU@2.10 GHz 4.00 GB RAM Computer with a 64-bit operating system.
The simulations were conducted in two scenarios of the power networks. The first simulation was conducted on the initial state of networks’ base year, while the second simulation was conducted with an increase in a demand scenario.
The upper and lower bounds of the generator capacities are set according to the maximum and minimum generation capacity of each generator in all the test cases.

4.1. The IEEE 6-Bus System

The IEEE 6-bus system test case as used in this paper has a total base-year energy demand of 210 MW located in buses 4, 5 and 6 as shown in Table 2 with the expected 257 MW increase in a demand scenario. Figure 1 shows the comparison of base load profile and that of the increase in demand scenario. The system also has a total maximum generation capacity of 530 MW located in generator buses 1, 2 and 3 as shown in Table 3.
Table 2 shows the OPF results of the 6-bus system network with respect to the base and the increase in demand scenarios, respectively. It can be noticed that both OPF results of each line of the two cases remain below their respective limits as shown in Table 3.
The optimal generation capacities as well as their operating costs with respect to the base and the increase in demand scenarios are shown in Table 4.
The novel feature in Table 4 is the CCR as discussed in Section 3 part of this work. It can be noticed that the CCR remains the same in each node of the network’s base year due to the low demand capacity. That indicates equal chances of increase in capacity at each bus. However, such increment in capacity heavily depends on the location and the quantity of electricity demanded, which does affect the unit price of energy production to satisfy such demand. Hence, the variations in the CCR in the increase in demand scenario show that the buses of the network do not have equal chances of increment in capacity to satisfy any further demand increase.
It can be noticed from Figure 2 that bus 4 has the highest per unit price of further increment in generation capacity, while bus 2 has the highest chance of further increment in capacity to satisfy any further increment in demand due its lowest CCR. Hence, such approach can become an extra tool for the system designer to know where to increase the capacities.

4.2. The IEEE 9-Bus System

The IEEE 9-bus system test case as used in this paper has a total base energy demand of 315 MW located in buses 5, 7 and 9 with the expected increase in demand of 310 MW as shown in Table 5. Figure 3 shows the comparison of base load profile and that of the increase in a demand scenario, and the corresponding values are in Table 5. The system also has a total maximum generation capacity of 820 MW located in generator buses 1, 2 and 3 as shown in Table 6.
Table 7 shows the OPF results of the 9-bus system network with respect to the base and the increase in demand scenarios, respectively. It can be noticed that both OPF results of each line of the two cases remain below their respective limits.
The optimal generation capacities as well as their operating costs with respect to the base and the increase in demand scenarios are shown in Table 6. Similarly, the CCR remains the same in each node of the network’s base year due to the low demand capacity, which also indicates equal chances of increase in capacity at each bus.
However, Figure 4 shows that bus 5 has the highest per unit price of further increment in capacity while buses 3, 6 and 2, respectively, have the highest chance of further increment in capacity to satisfy any further increment in demand due its lower CCR and that can form an extra tool for the system designer to know where to increase the capacities.

4.3. The IEEE 24-Bus System

The IEEE 24-bus system test case as used in this paper has a total base energy demand of 2003 MW and an expected increase in demand of 1947 MW as shown in Table 8.
Figure 5, shows the comparison of base load profile and that of the increase in demand scenario, which the corresponding values in Table 8.
The system also has a total maximum generation capacity of 4575 MW located in their respective generator buses as shown in Table 9. The results of the optimal generation capacities as well as their operating costs with respect to the base and the increase in demand scenarios are shown in Table 9. Similarly, the CCR remains the same in each node of the network’s base year due to the low demand capacity, which also indicates equal chances of increase in capacity at each bus.
However, Figure 6 shows that the 24-bus system’s nodes tend to have equal CRR tendency in all loading scenarios except in bus 7, which indicates viability in additional capacity supply for any further increment in demand due its low CCR.
Table 10 shows some of the OPF results of the 24-bus system network with respect to the base and the increase in demand scenarios, respectively. It can be noticed that both OPF results of each line of the two cases remain below their respective limits.

4.4. The IEEE 39-Bus System

The IEEE 39-bus system test case as used in this paper has a total energy demand of 7381.23 MW located in respective load buses as shown in Table 11.
Figure 7 shows the comparison of base load profile and that of the increase in demand scenario, and the corresponding values are in Table 11. The system also has a total maximum generation capacity of 7398.87 MW located in the respective generator buses as shown in Table 12. The result of the optimal generation capacities as well as their operating costs with respect to the base and the increase in demand scenarios are also shown in Table 12.
The CCR in this case (as plotted in Figure 8) tends to vary in each node of the network’s base year due to the low demand capacity, which indicates unequal chances of increase in capacity at each bus by default up to any level in load increments. However, the designer still has the choice of choosing an appropriate point of capacity increase based on the CCR’s information.
Moreover, Table 13 shows the OPF results of the 39-bus system network with respect to the base and the increase in demand scenarios, respectively. It can be noticed that both OPF results of each line of the two cases remain below their respective limits.

4.5. The IEEE 118-Bus System

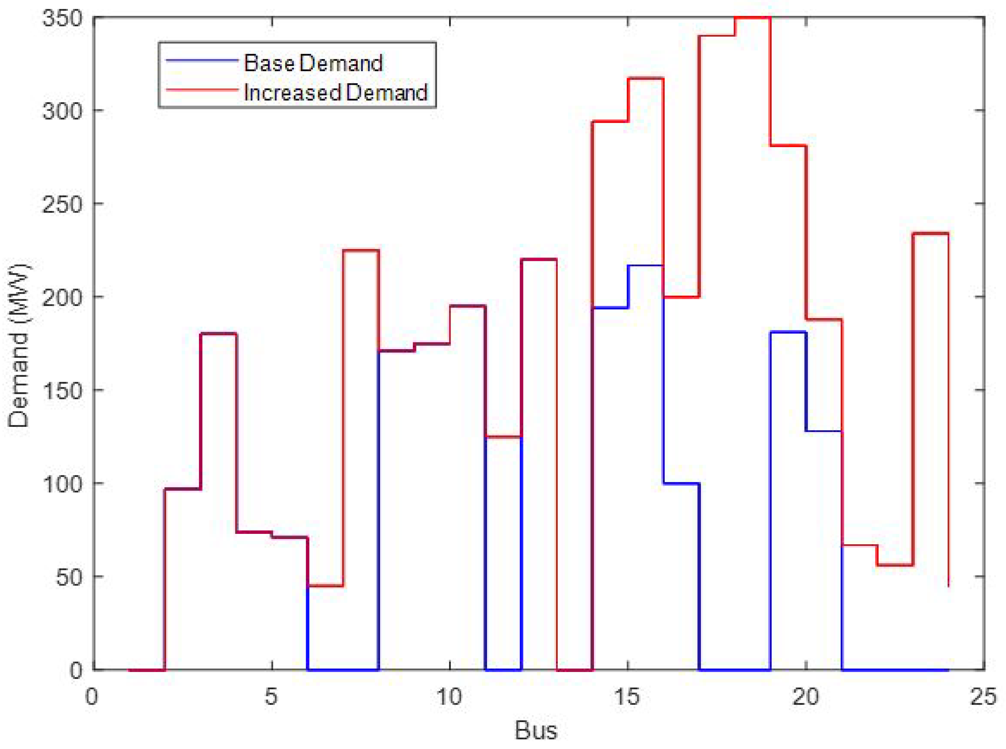
The IEEE 118-bus system test case as used in this paper has a total energy demand of 14,126.55 MW located in respective load buses. Figure 9, shows the base year energy demand versus the expected increase in energy demand scenarios in different buses of the 118-bus system.
The system also has a total maximum generation capacity of 14550 MW located in the respective generator buses.
The CCR remain the same for all the buses in a base demand scenario as shown in Figure 10, while increase in demand scenario indicates unequal chances of increase in capacity in major parts of the network. Hence, the designer can also vividly see an appropriate point of capacity increase based on the CCR’s information in this case.
The CPU computation times in terms of the different test cases of the IEEE test systems were recorded and compared as shown in Table 14 and the graphical representation is shown in Figure 11, which shows that the model can be applied in real and large network systems with acceptable computation times.

5. Conclusions and Future Work

An OPF model that can predict the exact nodes through which the network capacities can be increased in order to optimize how much energy is produced in the process has been presented. The problem was formulated as a Direct Current (DC) OPF model, which is a linearized version of the Alternating Current (AC) OPF model. The DC-OPF model was solved as a single period OPF problem, which was tested in several case studies using the fixed topology of the IEEE test systems and the computation speeds of the different cases were compared, which shows that the model can be applied in real and large network systems with acceptable computation times. In addition, the results also suggested dual variables of the problem constraints as an extra tool for the network designer to see where to increase the network capacities.
Therefore, this work has demonstrated the efficacy of the dual variables of the constraints in locating the exact nodes where the capacity expansion could be needed in a fixed network topology to satisfy already known increase in energy demand. However, the area of uncertainties in energy demand was not included in the work.
Hence, the recommendation for future work will be the inclusion of uncertainties and incorporation of stochastic and multi-period objectives in the proposed DC OPF analysis due to the current high penetration of renewable energy sources in the grid system.

Author Contributions

Formal analysis, G.U.N., Y.H. and C.G.R.; original draft preparation, G.U.N., Y.H. and C.G.R.; editing and writing—review, Y.H. and C.G.R. All authors have read and agreed to the published version of the manuscript.

Funding

This research was funded by National Research Foundation, South Africa 98398.

Institutional Review Board Statement

Not applicable.

Informed Consent Statement

Not applicable.

Data Availability Statement

The data used in this paper is IEEE test systems data from matpower 7.0, which can be found in https://matpower.org/ (accessed on 20 January 2022).

Acknowledgments

This research work was supported by the French South African Institute of Technology (F’SATI), Tshwane University of Technology, Pretoria, South Africa.

Conflicts of Interest

The authors declare no conflict of interest.

Abbreviations

The following abbreviations are used in this manuscript:
Set
Ω g Set of generator buses
Ω d Set of load buses
Ω k Transmission lines’ set
Parameters
γ , β and α Operating cost coefficients of generators
P D d Energy demand at load bus d
P G g m a x Maximum fossil fuel generation at bus g
P G g m i n Minimum fossil fuel generation at bus g
P k m a x Maximum power flow at k right of way
C t Branch–node incidence matrix of the network
CNode–branch incidence matrix of the network
δ k m a x Maximum phase angle of line k
δ k m i n Minimum phase angle of line k
B k Line k susceptance
G k Line k conductance
Variables
P G g Generation capacity
V i Voltage profile at bus i
V j Voltage profile at bus j
P k + Forward direction active power flow in transmission line k
P k Reverse direction active power flow in transmission line k
Q k + Forward direction reactive power flow in transmission line k
Q k Reverse direction reactive power flow in transmission line k
δ k Phase angle of transmission line k
θ i Phase angle of bus i
θ j Phase angle of bus j
Other abbreviations
CCRCost of constraint relaxation
OPFOptimal power flow
MPFMaximum power flow
OGCOptimal generation capacity
MGCMaximum generation capacity
OCOperating cost
MWMegawatts
fb-tbFrom bus to bus
secSeconds
bthe right-hand side of the constraints
DRLDeep reinforcement learning

Appendix A

Appendix A.1. Matrix Expansion of the DC OPF Model

It is quite difficult and time-consuming to express different network sizes in matrix form. However, this work tends to showcase how a small network size can be used as a benchmark to build the model, which can be used in any network size.
A 4-bus test system, for which the line diagram is shown in Figure A1, was used for the expansion of the DC OPF model to be expressed in matrix form in terms of the general linear equality constraints notation: A x = b .
Figure A1. The line diagram of a 4-Bus test system.
Figure A1. The line diagram of a 4-Bus test system.
Energies 15 02522 g0a1
The nodal power balance constraint in (19) can be expanded in terms of the sample 4-bus system as follows:
P G 1 P 12 P 13 = 0 P G 2 + P 12 P 23 P 24 = P D 2 P G 3 + P 13 + P 23 P 34 = P D 3 0 + P 24 + P 34 = P D 4
The expression of the nodal power balance equation in matrix form is as follows:
1 0 0 0 0 1 0 0 0 0 1 0 0 0 0 0 P G 1 P G 2 P G 3 P G 4 1 1 0 0 0 1 0 1 1 0 0 1 1 0 1 0 0 0 1 1 P 12 P 13 P 23 P 34 = 0 P D 2 P D 3 P D 4
The detailed relationship between the phase angles of the buses and the branch phase angles of the 4-bus test system is expressed as follows:
δ 12 + θ 1 θ 2 = 0 δ 13 + θ 1 θ 3 = 0 δ 23 + θ 2 θ 3 = 0 δ 24 + θ 2 θ 4 = 0 δ 34 + θ 3 θ 4 = 0
The expression of the bus phase angles versus branch angles in matrix form is as follows:
1 0 0 0 0 0 1 0 0 0 0 0 1 0 0 0 0 0 1 0 0 0 0 0 1 δ 12 δ 13 δ 23 δ 24 δ 34 + 1 1 0 0 1 0 1 0 0 1 1 0 0 1 0 1 0 0 1 1 θ 1 θ 2 θ 3 θ 4 = 0 0 0 0 0
The expansion of the active power flow in relation to the phase angle of the line is as follows:
P 12 + B 12 δ 12 = 0 P 13 + B 13 δ 13 = 0 P 23 + B 23 δ 23 = 0 P 24 + B 24 δ 24 = 0 P 34 + B 34 δ 34 = 0
The equivalent matrix:
1 0 0 0 0 0 1 0 0 0 0 0 1 0 0 0 0 0 1 0 0 0 0 0 1 P 12 P 13 P 23 P 24 P 34 + B 12 0 0 0 0 0 B 13 0 0 0 0 0 B 23 0 0 0 0 0 B 24 0 0 0 0 0 B 34 δ 12 δ 13 δ 23 δ 24 δ 34 = 0 0 0 0 0

References

  1. Hedman, K.W.; Ferris, M.C.; O’Neill, R.P.; Fisher, E.B.; Oren, S.S. Co-optimization of generation unit commitment and transmission switching with N-1 reliability. IEEE Trans. Power Syst. 2010, 25, 1052–1063. [Google Scholar] [CrossRef] [Green Version]
  2. Ude, N.G.; Yskandar, H.; Graham, R.C. A comprehensive state-of-the-art survey on the transmission network expansion planning optimization algorithms. IEEE Access 2019, 7, 123158–123181. [Google Scholar]
  3. Carpentier, J. Optimal power flows. Int. J. Electr. Power Energy Syst. 1979, 1, 3–15. [Google Scholar] [CrossRef]
  4. Cain, M.B.; O’neill, R.P.; Castillo, A. History of optimal power flow and formulations. Fed. Energy Regul. Comm. 2012, 1, 1–36. [Google Scholar]
  5. Glavitsch, H.; Bacher, R. Optimal power flow algorithms. Anal. Control Syst. Tech. Electr. Power Syst. 1991, 41, 135–206. [Google Scholar]
  6. Dommel, H.W.; Tinney, W.F. Optimal power flow solutions. IEEE Trans. Power Appar. Syst. 1968, PAS–87, 1866–1876. [Google Scholar] [CrossRef]
  7. Khan, B.; Singh, P. Optimal power flow techniques under characterization of conventional and renewable energy sources: A comprehensive analysis. J. Eng. 2017, 2017, 9539506. [Google Scholar] [CrossRef] [Green Version]
  8. Ebeed, M.; Kamel, S.; Jurado, F. Optimal power flow using recent optimization techniques. In Classical and Recent Aspects of Power System Optimization; Elsevier: Amsterdam, The Netherlands, 2018; pp. 157–183. [Google Scholar]
  9. Slimani, L.; Bouktir, T. Optimal power flow solution of the Algerian electrical network using differential evolution algorithm. Telkomnika 2012, 10, 199. [Google Scholar] [CrossRef]
  10. Sun, D.I.; Ashley, B.; Brewer, B.; Hughes, A.; Tinney, W.F. Optimal power flow by Newton approach. IEEE Trans. Power Appar. Syst. 1984, 2864–2880. [Google Scholar] [CrossRef]
  11. Li, Z.; Yu, J.; Wu, Q.H. Approximate Linear Power Flow Using Logarithmic Transform of Voltage Magnitudes With Reactive Power and Transmission Loss Consideration. IEEE Trans. Power Syst. 2018, 33, 4593–4603. [Google Scholar] [CrossRef]
  12. Coffrin, C.; Van Hentenryck, P. A linear-programming approximation of AC power flows. INFORMS J. Comput. 2014, 26, 718–734. [Google Scholar] [CrossRef] [Green Version]
  13. Nick, M.; Cherkaoui, R.; Le Boudec, J.Y.; Paolone, M. An exact convex formulation of the optimal power flow in radial distribution networks including transverse components. IEEE Trans. Autom. Control 2017, 63, 682–697. [Google Scholar] [CrossRef] [Green Version]
  14. Purchala, K.; Meeus, L.; Van Dommelen, D.; Belmans, R. Usefulness of DC power flow for active power flow analysis. IEEE Power Eng. Soc. Gen. Meet. 2005, 1, 454–459. [Google Scholar] [CrossRef]
  15. Overbye, T.J.; Cheng, X.; Sun, Y. A comparison of the AC and DC power flow models for LMP calculations. In Proceedings of the 37th Annual International Conference on System Sciences, Washington, DC, USA, 5–8 January 2004; IEEE: Piscataway, NJ, USA, 2004; p. 9. [Google Scholar]
  16. Yang, Z.; Xie, K.; Yu, J.; Zhong, H.; Zhang, N.; Xia, Q. A General Formulation of Linear Power Flow Models: Basic Theory and Error Analysis. IEEE Trans. Power Syst. 2019, 34, 1315–1324. [Google Scholar] [CrossRef]
  17. Fernandez-Perez, J.C.; Cerezo, F.M.E.; Rouco, L. Linear power flow algorithm with losses for multi-terminal VSC AC/DC power systems. IEEE Trans. Power Syst. 2021, 1, 1–10. [Google Scholar] [CrossRef]
  18. Singh, A.; Willi, D.; Chokani, N.; Abhari, R.S. Optimal power flow analysis of a Switzerland’ s transmission system for long-term capacity planning. Renew. Sustain. Energy Rev. 2014, 34, 596–607. [Google Scholar] [CrossRef]
  19. Hua, H.; Qin, Y.; Hao, C.; Cao, J. Optimal energy management strategies for energy Internet via deep reinforcement learning approach. Appl. Energy 2019, 239, 598–609. [Google Scholar] [CrossRef]
  20. Ye, Y.; Qiu, D.; Wu, X.; Strbac, G.; Ward, J. Model-free real-time autonomous control for a residential multi-energy system using deep reinforcement learning. IEEE Trans. Smart Grid 2020, 11, 3068–3082. [Google Scholar] [CrossRef]
  21. Yang, T.; Zhao, L.; Li, W.; Zomaya, A.Y. Dynamic energy dispatch strategy for integrated energy system based on improved deep reinforcement learning. Energy 2021, 235, 121377. [Google Scholar] [CrossRef]
  22. Hahn, E.M.; Perez, M.; Schewe, S.; Somenzi, F.; Trivedi, A.; Wojtczak, D. Omega-regular objectives in model-free reinforcement learning. In Proceedings of the International Conference on Tools and Algorithms for the Construction and Analysis of Systems; Springer: Berlin/Heidelberg, Germany, 2019; pp. 395–412. [Google Scholar]
  23. Fu, J.; Topcu, U. Probably approximately correct MDP learning and control with temporal logic constraints. arXiv 2014, arXiv:1404.7073. [Google Scholar]
  24. Lahijanian, M.; Andersson, S.B.; Belta, C. Temporal logic motion planning and control with probabilistic satisfaction guarantees. IEEE Trans. Robot. 2011, 28, 396–409. [Google Scholar] [CrossRef]
  25. Li, X.; Vasile, C.I.; Belta, C. Reinforcement learning with temporal logic rewards. In Proceedings of the 2017 IEEE/RSJ International Conference on Intelligent Robots and Systems (IROS), Vancouver, BC, Canada, 24–28 September 2017; pp. 3834–3839. [Google Scholar]
  26. Yarats, D.; Zhang, A.; Kostrikov, I.; Amos, B.; Pineau, J.; Fergus, R. Improving sample efficiency in model-free reinforcement learning from images. arXiv 2019, arXiv:1910.01741. [Google Scholar]
  27. Sadat, S.A.; Sahraei-Ardakani, M. Tuning successive linear programming to solve AC optimal power flow problem for large networks. Int. J. Electr. Power Energy Syst. 2022, 137, 107807. [Google Scholar] [CrossRef]
  28. Fortenbacher, P.; Demiray, T. Linear/quadratic programming-based optimal power flow using linear power flow and absolute loss approximations. Int. J. Electr. Power Energy Syst. 2019, 107, 680–689. [Google Scholar] [CrossRef] [Green Version]
  29. Hamam, Y.; Renders, M.; Trecat, J. Partitioning algorithm for the solution of long-term power-plant mix problems. Proc. Inst. Electr. Eng. IET 1979, 126, 837–839. [Google Scholar] [CrossRef]
  30. Zhang, H.; Vittal, V.; Heydt, G.T.; Quintero, J. A mixed-integer linear programming approach for multi-stage security-constrained transmission expansion planning. IEEE Trans. Power Syst. 2011, 27, 1125–1133. [Google Scholar] [CrossRef]
  31. Mhanna, S.; Mancarella, P. An exact sequential linear programming algorithm for the optimal power flow problem. IEEE Trans. Power Syst. 2021, 37, 666–679. [Google Scholar] [CrossRef]
  32. Freitas, P.F.; Macedo, L.H.; Romero, R. A strategy for transmission network expansion planning considering multiple generation scenarios. Electr. Power Syst. Res. 2019, 172, 22–31. [Google Scholar] [CrossRef]
  33. Rider, M.; Garcia, A.; Romero, R. Transmission system expansion planning by a branch-and-bound algorithm. IET Gener. Transm. Distrib. 2008, 2, 90–99. [Google Scholar] [CrossRef]
  34. Romero, R.; Monticelli, A.; Garcia, A.; Haffner, S. Test systems and mathematical models for transmission network expansion planning. IEE Proc. -Gener. Transm. Distrib. 2002, 149, 27–36. [Google Scholar] [CrossRef] [Green Version]
  35. Romero, R.; Monticelli, A. A hierarchical decomposition approach for transmission network expansion planning. IEEE Trans. Power Syst. 1994, 9, 373–380. [Google Scholar] [CrossRef]
  36. Romero, R.; Monticelli, A. A zero-one implicit enumeration method for optimizing investments in transmission expansion planning. IEEE Trans. Power Syst. 1994, 9, 1385–1391. [Google Scholar] [CrossRef]
  37. Zhang, H. Transmission Expansion Planning for Large Power Systems; ProQuest Dissertations Publishing; Arizona State University: Tempe, AZ, USA, 2013; p. 3595263. [Google Scholar]
  38. Wang, H.; Yu, C.; Wu, D. A duality-based approach for solving linear parabolic control constrained optimal control problems. arXiv 2022, arXiv:2201.07471. [Google Scholar]
  39. Vert, J.P. Nonlinear Optimization: Duality; Cornell University Publishing: New York, NY, USA, 2006. [Google Scholar]
  40. Lemaréchal, C.; Boyd, S.; Vandenberghe, L. Convex Optimization; Cambridge University Press: New York, NY, USA, 2004; ISBN 10:0521833787. [Google Scholar]
Figure 1. The 6-bus system’s load profile in base and increased demand scenarios.
Figure 1. The 6-bus system’s load profile in base and increased demand scenarios.
Energies 15 02522 g001
Figure 2. The 6-bus system’s per unit cost of relaxing the constraint in base and increased demand scenarios.
Figure 2. The 6-bus system’s per unit cost of relaxing the constraint in base and increased demand scenarios.
Energies 15 02522 g002
Figure 3. The 9-bus system’s load profile in base and increased demand scenarios.
Figure 3. The 9-bus system’s load profile in base and increased demand scenarios.
Energies 15 02522 g003
Figure 4. The per unit cost of relaxing the constraint in base and increased demand scenarios.
Figure 4. The per unit cost of relaxing the constraint in base and increased demand scenarios.
Energies 15 02522 g004
Figure 5. The 24-bus system’s load profile in base and increased demand scenarios.
Figure 5. The 24-bus system’s load profile in base and increased demand scenarios.
Energies 15 02522 g005
Figure 6. The per unit cost of relaxing the constraint in base and increased demand scenarios in a 24-bus system.
Figure 6. The per unit cost of relaxing the constraint in base and increased demand scenarios in a 24-bus system.
Energies 15 02522 g006
Figure 7. The 39-bus system’s load profile in base and increased demand scenarios.
Figure 7. The 39-bus system’s load profile in base and increased demand scenarios.
Energies 15 02522 g007
Figure 8. The per unit cost of relaxing the constraint in base and increased demand scenarios in a 39-bus system.
Figure 8. The per unit cost of relaxing the constraint in base and increased demand scenarios in a 39-bus system.
Energies 15 02522 g008
Figure 9. The 118-bus system’s load profile in base and increased demand scenarios.
Figure 9. The 118-bus system’s load profile in base and increased demand scenarios.
Energies 15 02522 g009
Figure 10. The per unit cost of relaxing the constraint in base and increased demand scenarios in the 118-bus system.
Figure 10. The per unit cost of relaxing the constraint in base and increased demand scenarios in the 118-bus system.
Energies 15 02522 g010
Figure 11. The network configurations of the base demand versus increase in demand computation times.
Figure 11. The network configurations of the base demand versus increase in demand computation times.
Energies 15 02522 g011
Table 1. The summary of the DC-OPF Matrix Model.
Table 1. The summary of the DC-OPF Matrix Model.
PG g P k δ k θ i b
C g C t 00 P D d
00 I C0
0I B k 00
Table 2. The 6-bus system of the base year demand versus increment in energy demand.
Table 2. The 6-bus system of the base year demand versus increment in energy demand.
Original Demand ( MW )Increased Demand ( MW )
BusLoad ( MW )BusLoad ( MW )
10168
20245
30336
4704108
5705110
6706100
Total210 257
Table 3. The results of the optimal power flow of the 6-bus system with increase in demand.
Table 3. The results of the optimal power flow of the 6-bus system with increase in demand.
Base Demand ScenarioIncreased Demand Scenario
fb-tbMPF( MW ) B k ( Mho ) OPF( MW )OPF( MW )
1-24050.7822.3
1-460525.5252
1-5403.3323.7040
2-340410.52−6.28
2-4601049.4960
2-5303.3323.1825.33
2-690532.5829.9
3-5703.8516.6435.27
3-6801038.8875.5
4-5202.55.014
4-6403.33−1.46−5.4
Table 4. Results of the base year—Optimal generation capacity versus optimal generation capacity with demand increase in a 6-bus system.
Table 4. Results of the base year—Optimal generation capacity versus optimal generation capacity with demand increase in a 6-bus system.
Base Demand ScenarioIncreased Demand Scenario
BusMGC ( MW )OGC ( MW )[OC   CCR] ( M $ )OGC ( MW )[OC   CCR] ( M $ )
12005058.35   1.033182212.38   1.167
2150115118.83   1.033131.96136.35   1.033
31804548.75   1.033153.04165.79   1.083
40000.00   1.0330000.00   1.351
50000.00   1.0330000.00   1.143
60000.00   1.0330000.00   1.081
Table 5. The 9-bus system—the base year demand versus increment in energy demand.
Table 5. The 9-bus system—the base year demand versus increment in energy demand.
Original Demand ( MW )Increased Demand ( MW )
BusLoad ( MW )BusLoad ( MW )
10150
20220
3030
40460
590550
60650
7100730
80850
912590
Total315 310
Table 6. Results of the base year—optimal generation capacity versus optimal generation capacity with demand increase in a 9-bus system.
Table 6. Results of the base year—optimal generation capacity versus optimal generation capacity with demand increase in a 9-bus system.
Base Demand ScenarioIncreased Demand Scenario
BusMGC ( MW )OGC ( MW )[OC   CCR] ( M $ )OGC ( MW )[OC   CCR] ( M $ )
125010050   1.2085.313426.56   5.00
230035042   1.20270324.00   1.20
3270270270   1.20270270.00   1.00
400000   1.200000.00   5.00
500000   1.200000.00   5.88
600000   1.200000.00   1.00
700000   1.200000.00   1.96
800000   1.200000.00   2.65
900000   1.200000.00   4.19
Table 7. The results of the optimal power flow of the 9-bus system with increase in demand.
Table 7. The results of the optimal power flow of the 9-bus system with increase in demand.
Base Demand ScenarioIncreased Demand Scenario
fb-tbMPF ( MW ) B k ( Mho ) OPF ( MW )OPF ( MW )
1-425017.3611035.313
4-525010.87−38.585−10
5-61505.882−128.59−150
3-630017.065270270
6-71509.920141.41 669.687
7-825013.88941.415-60.313
8-225016−35−250
8-92506.21176.415139.69
9-425011.765−48.58514.687
Table 8. The 24-bus system—the base year demand versus increment in energy demand.
Table 8. The 24-bus system—the base year demand versus increment in energy demand.
Original Demand ( MW )Increased Demand ( MW )
BusLoad ( MW )BusLoad ( MW )BusLoad ( MW )BusLoad ( MW )
1013010130
297141942014100
3180152173015100
474161004016100
5711705017340
6018064518350
7019181722519100
817120128892060
9175210902167
101952201002256
1102301112523234
122202401202445
Total 2003 1947
Table 9. Result of the base year optimal generation capacity versus optimal generation capacity with demand increase in a 24-bus system.
Table 9. Result of the base year optimal generation capacity versus optimal generation capacity with demand increase in a 24-bus system.
Base Demand ScenarioIncreased Demand Scenario
BusMGC ( MW )OGC ( MW )[OC   CCR] ( M $ )OGC ( MW )[OC   CCR] ( M $ )
1192162080   1.6119224,960   13.0
2192162080   1.6119224,960   13.0
38001752814.2   1.614006432.4   13.0
135915919503.9   1.615919503.9   13.0
1416000000.0   1.610000.00   13.0
152252.4312.0   1.6116020,800   13.0
1665565510,533   1.6165510,533   13.0
18400383.36163.9   1.614006432.4   13.0
214001004366.61   1.6140017,465   13.0
2130010436.61   1.6130013,098   13.0
2266054.32370.8   1.6166028,817   13.0
Table 10. Results of the optimal power flow of the 24-bus system with increase in demand.
Table 10. Results of the optimal power flow of the 24-bus system with increase in demand.
Base Demand ScenarioIncreased Demand Scenario
fb-tbMPF ( MW ) B k ( Mho ) OPF ( MW )OPF ( MW )
1-217571.94150.02735.68
1-31754.735−33.33458.5
1-517511.834−0.69397.82
2-41757.893−2.9279.744
2-61755.208−28.0650.935
3-91758.403−5.13−9.745
3-2440011.92−208.21−111.76
4-91759.643−76.925.744
5-1017511.325−71.69326.823
6-1017516.5291755.94
7-817516.53−1.82175
8-101756.065.823.698
9-1140011.92−158.210.302
9-1240011.92−100.65−81.95
10-1140011.925−173.25−93.35
10-1240011.925−115.68−75.271
11-1350021.01−220.25−86.668
Table 11. The 39-bus system increment in energy demand versus the base year demand.
Table 11. The 39-bus system increment in energy demand versus the base year demand.
Original Demand ( MW )Increased Demand ( MW )
BusLoad ( MW )BusLoad ( MW )BusLoad ( MW )
197.621274250
332223247.55120
450024308.6680
7233.825224913
8522261391210
96.5272811372
128.53282061485
1532029283.51797
16329319.21950
1815839110430550
20680
Total 6254.23 1127
Table 12. Result of the base year optimal generation capacity versus optimal generation capacity with demand increase in a 39-bus system.
Table 12. Result of the base year optimal generation capacity versus optimal generation capacity with demand increase in a 39-bus system.
Base Demand ScenarioIncreased Demand Scenario
BusMGC ( MW )OGC ( MW )[OC   CCR] ( M $ )OGC ( MW )[OC   CCR] ( M $ )
1192162080.0   1.6119224960   13.0
2192162080.0   1.6119224960   13.0
38001752814.2   1.614006432.4   13.0
135915919503.9   1.615919503.9   13.0
1416000000.0   1.6100000.0   13.0
152252.4312.00   1.6116020,800   13.0
1665565510,533   1.6165510,533   13.0
18400383.36163.9   1.614006432.4   13.0
214001004366.6   1.6140017,465   13.0
2130010436.61   1.6130013,098   13.0
2266054.32370.8   1.6166028,817   13.0
Table 13. The results of the optimal power flow of the 39-bus system with increase in demand.
Table 13. The results of the optimal power flow of the 39-bus system with increase in demand.
Base Demand ScenarioIncreased Demand Scenario
fb-tbMPF ( MW ) B k ( Mho ) OPF ( MW )OPF ( MW )
1-217571.94150.02735.68
1-31754.735−33.33458.5
1-517511.834−0.69397.82
2-41757.893−2.9279.744
2-61755.208−28.0650.935
3-91758.403−5.13−9.745
3-2440011.92−208.21−111.76
4-91759.643−76.925.744
5-1017511.325−71.69326.823
6-1017516.5291755.94
7-817516.53−1.82175
8-101756.065.823.698
9-1140011.92−158.210.302
9-1240011.92−100.65−81.95
10-1140011.925−173.25−93.35
10-1240011.925−115.68−75.271
11-1350021.01−220.25−86.668
Table 14. The comparison of the computation times of the 5 different network sizes.
Table 14. The comparison of the computation times of the 5 different network sizes.
Computation Time (s)
Network SizeBase Demand ScenarioIncreased Demand Scenario
60.0156250.046875
90.0156250.09375
240.0468750.015625
390.0781250.125
1180.1093750.1875
Publisher’s Note: MDPI stays neutral with regard to jurisdictional claims in published maps and institutional affiliations.

Share and Cite

MDPI and ACS Style

Nnachi, G.U.; Hamam, Y.; Richards, C.G. Appraising the Optimal Power Flow and Generation Capacity in Existing Power Grid Topology with Increase in Energy Demand. Energies 2022, 15, 2522. https://doi.org/10.3390/en15072522

AMA Style

Nnachi GU, Hamam Y, Richards CG. Appraising the Optimal Power Flow and Generation Capacity in Existing Power Grid Topology with Increase in Energy Demand. Energies. 2022; 15(7):2522. https://doi.org/10.3390/en15072522

Chicago/Turabian Style

Nnachi, Gideon Ude, Yskandar Hamam, and Coneth Graham Richards. 2022. "Appraising the Optimal Power Flow and Generation Capacity in Existing Power Grid Topology with Increase in Energy Demand" Energies 15, no. 7: 2522. https://doi.org/10.3390/en15072522

APA Style

Nnachi, G. U., Hamam, Y., & Richards, C. G. (2022). Appraising the Optimal Power Flow and Generation Capacity in Existing Power Grid Topology with Increase in Energy Demand. Energies, 15(7), 2522. https://doi.org/10.3390/en15072522

Note that from the first issue of 2016, this journal uses article numbers instead of page numbers. See further details here.

Article Metrics

Back to TopTop