A New Design of MP-HDCCB Topology Based on Hybrid Switching Device
Abstract
:1. Introduction
2. The Proposed MP-HDCCB
2.1. Topology of the Proposed MP-HDCCB
2.2. Working Principles of the Proposed MP-HDCCB
3. Analysis and Parameter Design
3.1. The Major Circuit Parameter Design
3.2. Economic Analysis
4. Simulation Results
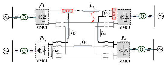
4.1. System Configuration
4.2. Simulation of Fault Isolation
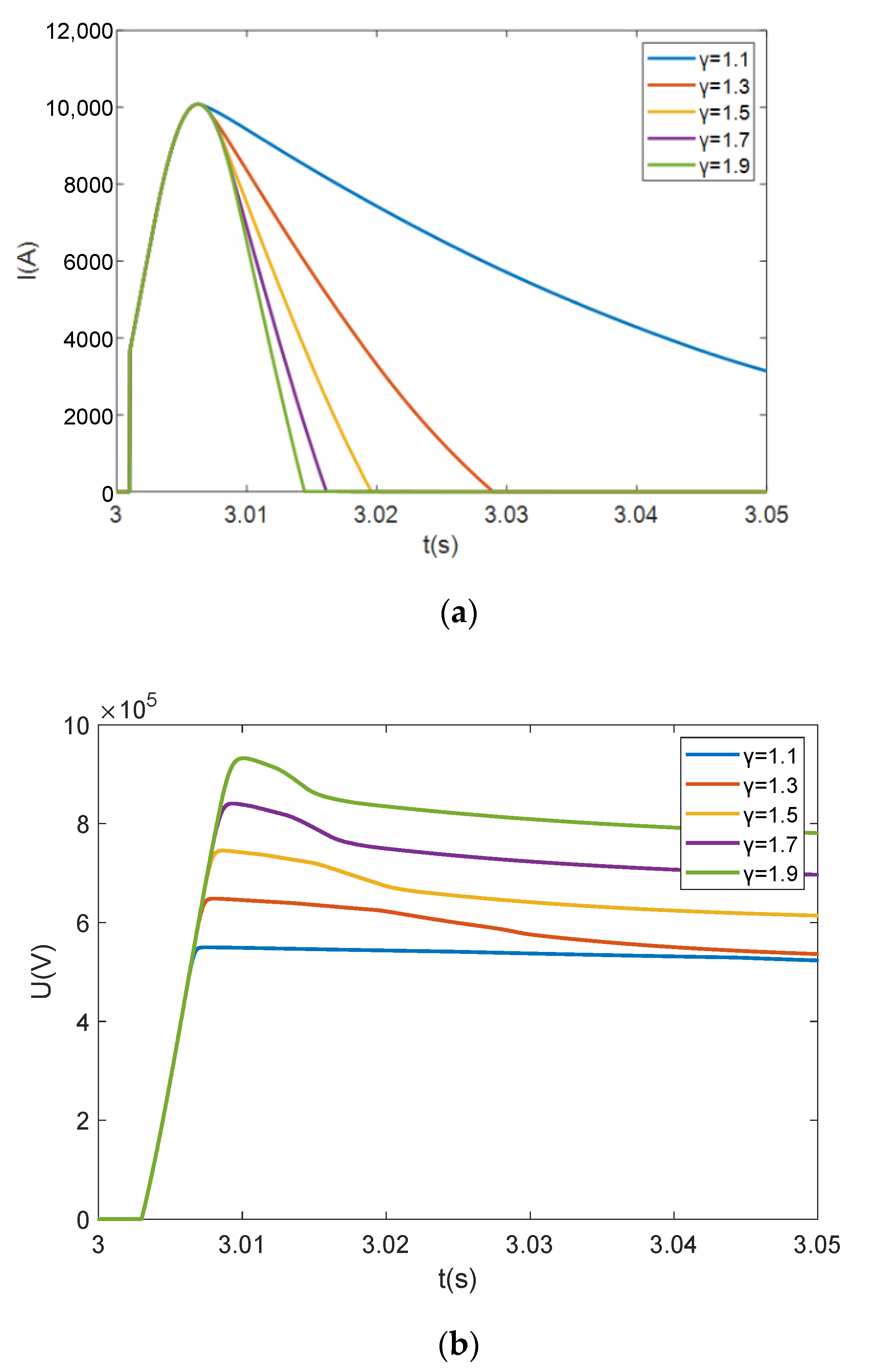
4.3. Parameter Influence Analysis
5. Experiment Results
6. Conclusions
Author Contributions
Funding
Conflicts of Interest
References
- Ahmed, N.; Ängquist, L.; Mahmood, S.; Antonopoulos, A.; Harnefors, L.; Norrga, S.; Nee, H.-P. Efficient Modeling of an MMC-Based Multiterminal DC System Employing Hybrid HVDC Breakers. IEEE Trans. Power Del. 2015, 30, 1792–1801. [Google Scholar] [CrossRef]
- Wang, S.; Ugalde-Loo, C.E.; Li, C.; Liang, J.; Adeuyi, O.D. Bridge-Type Integrated Hybrid DC Circuit Breakers. IEEE Trans. Emerg. Sel. Topics Power Electron. 2020, 8, 1134–1151. [Google Scholar] [CrossRef]
- Liu, G.; Xu, F.; Xu, Z.; Zhang, Z.; Tang, G. Assembly HVDC breaker for HVDC grids with modular multilevel converters. IEEE Trans. Power Electron. 2017, 32, 931–941. [Google Scholar] [CrossRef]
- Hassanpoor, A.; Häfner, J.; Jacobson, B. Technical Assessment of Load Commutation Switch in Hybrid HVDC Breaker. IEEE Trans. Power Electron. 2015, 30, 5393–5400. [Google Scholar] [CrossRef]
- Franck, C.M. HVDC circuit breakers: A review identifying future research needs. IEEE Trans. Power Deliv. 2011, 26, 998–1007. [Google Scholar] [CrossRef] [Green Version]
- Zhu, J.; Liu, D.; Yin, J.; Wei, T. Research on Hybrid DC Breaker Based on Modular Cascaded Structure. In Proceedings of the 2nd World Congress on Civil, Structural, and Environmental Engineering, Barcelona, Spain, 2–4 April 2017; Volume 37, pp. 1560–1567. [Google Scholar]
- Yan, J.; Xu, J.; Zhao, C. A Review of Design Methods for Energy Absorption Path Design in High Voltage Direct Current Circuit Breakers. In Proceedings of the 4th World Congress on Civil, Structural, and Environmental Engineering (CSEE’19), Rome, Italy, 7–9 April 2019; Volume 39, pp. 4301–4315. [Google Scholar]
- Li, C.; Liang, J.; Wang, S. Interlink Hybrid DC Circuit Breaker. IEEE Trans. Ind. Electron. 2018, 65, 8677–8686. [Google Scholar] [CrossRef]
- Hao, C.; Qin, Y.; Hua, H. Energy “Routers”, “Computers” and “Protocols”. In Energy Internet; Springer: Berlin/Heidelberg, Germany, 2020. [Google Scholar]
- Shi, Z.; Zhang, Y.; Jia, S.; Song, X.; Wang, L.; Chen, M. Design and numerical investigation of a HVDC vacuum switch based on artificial current zero. IEEE Trans. Dielectr. Electr. Insul. 2015, 22, 135–141. [Google Scholar] [CrossRef]
- Grieshaber, W.; Violleau, L. Development and test of a 120 kV direct current circuit breaker. Proc. CIGRÉ Sess. Paris Fr. 2014, 14, 111. [Google Scholar]
- Callavik, M.; Blomberg, A.; Jafner, J.; Jacobson, B. The hybrid HVDC breaker:An innovation breakthrough enabling reliable HVDC grids. ABB Grid Syst. 2012, 14, 7–13. [Google Scholar]
- Majumder, R.; Auddy, S.; Berggren, B.; Velotto, G.; Barupati, P.; Jonsson, T.U. An Alternative Method to Build DC Switchyard With Hybrid DC Breaker for DC Grid. IEEE Trans. Power Deliv. 2017, 32, 713–722. [Google Scholar] [CrossRef]
- Zhang, S.; Zou, G.; Wei, X.; Sun, C. Diode-Bridge Multiport Hybrid DC Circuit Breaker for Multiterminal DC Grids. IEEE Trans. Ind. Electron. 2021, 68, 270–281. [Google Scholar] [CrossRef]
- Kontos, E.; Schultz, T.; Mackay, L.; Ramirez-Elizondo, L.M.; Franck, C.M.; Bauer, P. Multiline Breaker for HVDC Applications. IEEE Trans. Power Deliv. 2018, 33, 1469–1478. [Google Scholar] [CrossRef]
- Belda, N.A.; Plet, C.A.; Smeets, R.P.P. Analysis of faults in multiterminal HVDC grid for definition of test requirements of HVDC circuit breakers. IEEE Trans. Power Deliv. 2018, 33, 403–411. [Google Scholar] [CrossRef]
- Koyama, Y.; Morikawa, R.; Ishiguro, T. Multiline Hybrid DC Circuit Breaker with Low Conduction Loss and Reduced Semiconductor Breaker. In Proceedings of the 21st Conference on Power Electronics and Applications (and Exhibition), EPE’19 ECCE (Energy Conversion Congress and Expo) Europe, Genova, Italy, 2–6 September 2019; pp. 1–10. [Google Scholar]
- Mokhberdoran, A.; Van Hertem, D.; Silva, N.; Leite, H.; Carvalho, A. Multiport hybrid HVDC circuit breaker. IEEE Trans. Ind. Electron. 2018, 65, 309–320. [Google Scholar] [CrossRef] [Green Version]
- Liu, W.; Liu, F.; Zha, X.; Chen, C.; Yu, T. A topology of the multi-port DC circuit breaker for multi-terminal DC system fault protection. In Proceedings of the 2017 IEEE Energy Conversion Congress and Exposition (ECCE), Cincinnati, OH, USA, 1–5 October 2017; pp. 3760–3763. [Google Scholar]
- He, J.; Luo, Y.; Li, M.; Zhang, Y.; Xu, Y.; Zhang, Q.; Luo, G. A High-Performance and Economical Multiport Hybrid Direct Current Circuit Breaker. IEEE Trans. Ind. Electron. 2020, 67, 8921–8930. [Google Scholar] [CrossRef]
- Liu, W.; Liu, F.; Zhuang, Y.; Zha, X.; Chen, C.; Yu, T. A Multiport Circuit Breaker-Based Multiterminal DC System Fault Protection. IEEE J. Emerg. Sel. Topics Power Electron. 2019, 7, 118–128. [Google Scholar] [CrossRef]
- Jamshidifar, A.; Jovcic, D. Design, modeling and control of hybrid DC circuit breaker based on fast thyristors. IEEE Trans. Power Deliv. 2018, 33, 919–927. [Google Scholar] [CrossRef] [Green Version]
- Shu, J.; Ma, J.; Wang, S.; Dong, Y.; Liu, T.; He, Z. A New Active Thyristor-Based DCCB With Reliable Opening Process. IEEE Trans. Power Electron. 2021, 36, 3617–3621. [Google Scholar] [CrossRef]
- Dongye, Z.; Qi, L.; Cui, X.; Qiu, P.; Lu, F. A New Approach to Model Reverse Recovery Process of a Thyristor for HVdc Circuit Breaker Testing. IEEE Trans. Power Electron. 2021, 36, 1591–1601. [Google Scholar] [CrossRef]
















| IGBT | SCR | C | |
|---|---|---|---|
| IGBT single port scheme | jm | 0 | j |
| IGBT multiport scheme | km | 0 | 1 |
| Hybrid switching device single port scheme | jm | jn | 2j |
| Line Parameters | Resistance Per Unit Length (Ω/km) | 0.014 |
| Inductance Per Unit Length (mH/km) | 0.22 | |
| MMC1-MMC2 (km) | 200 | |
| MMC1-MMC4 (km) | 100 | |
| MMC2-MMC3 (km) | 200 | |
| MMC3-MMC4 (km) | 200 | |
| MP-HDCCB Parameters | C1 (mF) | 1 |
| C2 (μF) | 60 | |
| C1 Pre-charge voltage (kV) | 10 | |
| MOV action voltage (kV) | 750 | |
| MMC Parameters | DC voltage Udc (kV) | ±500 |
| Rated Capacity (MW) | 1500 | |
| SM capacitor (μF) | 8000 | |
| Arm inductance Lx (mH) | 150 | |
| Arm resistance Rx (Ω) | 0.147 | |
| Limiting current inductance Lm (mH) | 300 | |
| Number of submodular N | 220 |
| Parameters | Value |
|---|---|
| UDC | 100 V |
| C1 | 220 uF |
| C2 | 220 uF |
| UC1-pre | 30 V |
| Thyristor Module | SKKT162 |
| IGBT Module | FF300R17KE3 |
Publisher’s Note: MDPI stays neutral with regard to jurisdictional claims in published maps and institutional affiliations. |
© 2022 by the authors. Licensee MDPI, Basel, Switzerland. This article is an open access article distributed under the terms and conditions of the Creative Commons Attribution (CC BY) license (https://creativecommons.org/licenses/by/4.0/).
Share and Cite
Jia, H.; Yin, J.; Wei, T.; Li, J.; Zhu, J.; Ye, Z. A New Design of MP-HDCCB Topology Based on Hybrid Switching Device. Energies 2022, 15, 903. https://doi.org/10.3390/en15030903
Jia H, Yin J, Wei T, Li J, Zhu J, Ye Z. A New Design of MP-HDCCB Topology Based on Hybrid Switching Device. Energies. 2022; 15(3):903. https://doi.org/10.3390/en15030903
Chicago/Turabian StyleJia, Haipeng, Jingyuan Yin, Tongzhen Wei, Jinke Li, Jin Zhu, and Zeyu Ye. 2022. "A New Design of MP-HDCCB Topology Based on Hybrid Switching Device" Energies 15, no. 3: 903. https://doi.org/10.3390/en15030903
APA StyleJia, H., Yin, J., Wei, T., Li, J., Zhu, J., & Ye, Z. (2022). A New Design of MP-HDCCB Topology Based on Hybrid Switching Device. Energies, 15(3), 903. https://doi.org/10.3390/en15030903

