Modeling of the Wind Potential in the Open Sea and Its Application to the Calculation of Energy
Abstract
:1. Introduction
1.1. Wind Profile in the MABL
1.2. Aerodynamic Roughness Length
1.3. Literature Review, Novelty, and Objectives of This Paper
- -
- A quantitative analysis of the atmospheric stratification, to ascertain the boundary conditions and assess their influence on the wind speed.
- -
- The calculation of the friction velocity and the aerodynamic roughness length as a function of the wind speed measured at the lower level.
2. Materials and Methods
2.1. Initial Parameters
2.2. Wind Speed at Hub Height
- -
- Neutral atmospheric stratification, , where Equation (4) reduces to Equation (2).
- -
- Unstable atmospheric stratification, , substituting Equation (7) in Equation (4), it results:where .
- -
- Stable atmospheric stratification, , substituting Equation (8) in Equation (4), we obtain:
2.3. Operating Parameters
- -
- Capacity Factor (CF) is the ratio between the useful energy, Eu,annual, produced by a wind turbine in a period of a year, T, and the energy that would have been produced if during this period it had been operating continuously at its rated power, Pn, which can be expressed by the following equation:
- -
- Usage Time (UT) is the number of hours that a wind turbine would have to operate at full load to produce the same energy in a year that would be obtained during its actual operation. It is given by the equation:
3. Results
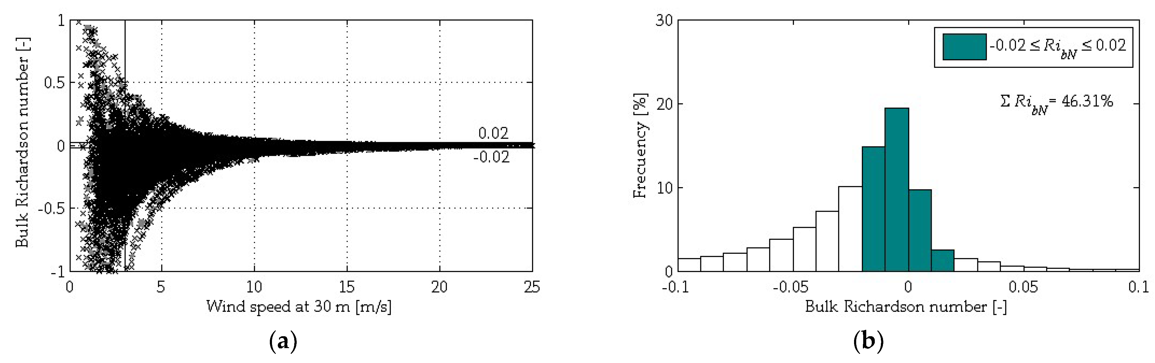
3.1. Atmospheric Stability
3.2. Friction Velocity
3.3. Aerodynamic Roughness Length
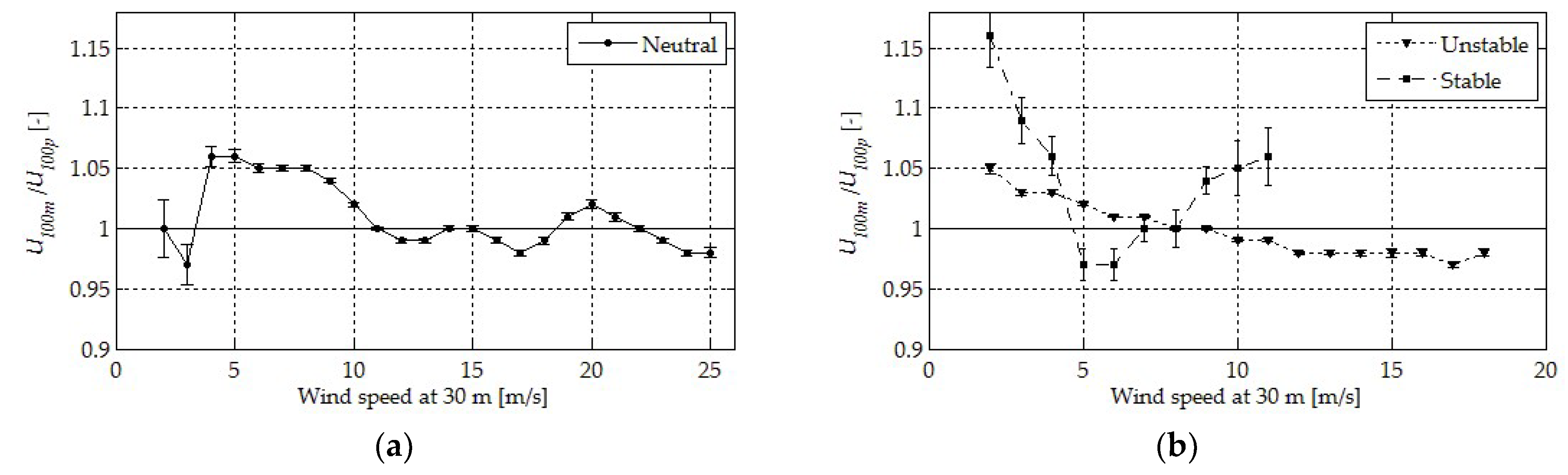
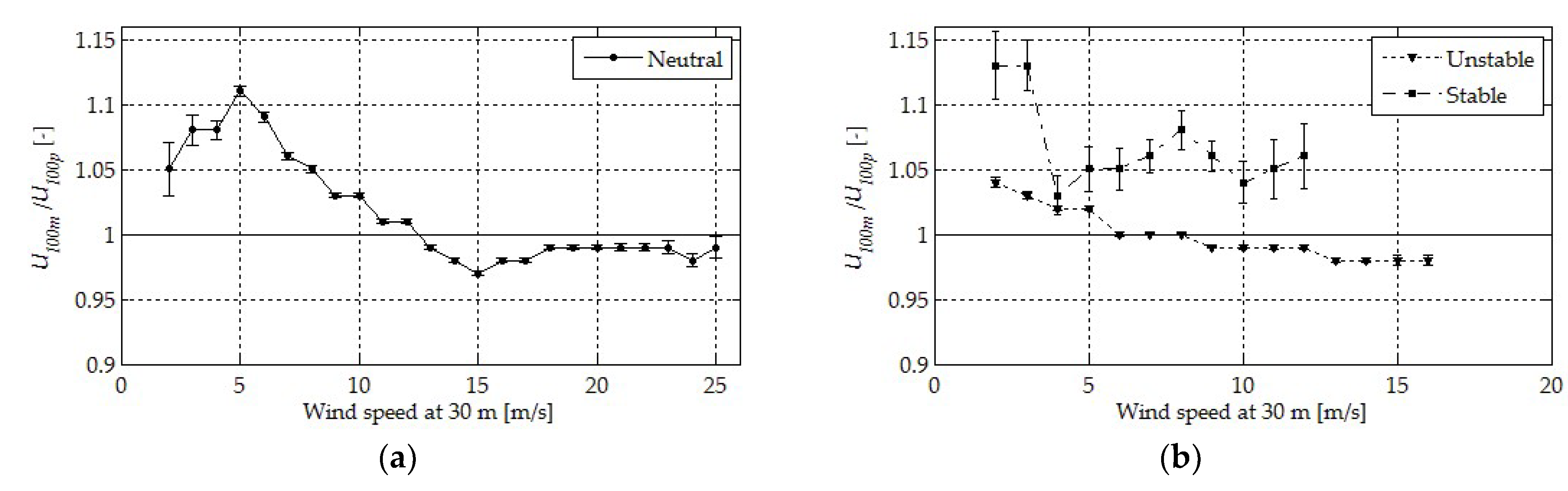
3.4. Ratio of Wind Speeds
3.5. Energy Production
4. Discussion
5. Conclusions
Author Contributions
Funding
Institutional Review Board Statement
Informed Consent Statement
Data Availability Statement
Acknowledgments
Conflicts of Interest
Nomenclature
| Coefficient of main transfer of sensible heat | (-) | |
| Power coefficient | (-) | |
| Capacity Factor | (-) | |
| Effective energy in the rotor of a wind turbine | (Wh/y) | |
| Available energy in the rotor of a wind turbine | (Wh/y) | |
| Useful energy of a wind turbine | (Wh/y) | |
| Heat kinematic flux | (K m/s) | |
| Acceleration due to gravity | (m/s2) | |
| Buoyancy | (m/s2K) | |
| height to the hub of a wind turbine | (m) | |
| Von Kármán constant | (-) | |
| Obukhov length | (m) | |
| Power | (W) | |
| Air pressure | (Pa) | |
| Rated power | (W) | |
| Reference pressure | (Pa) | |
| Mixing ratio | (-) | |
| Richardson number | (-) | |
| Bulk Richardson number | (-) | |
| Time | (h) | |
| Air temperature | (K) | |
| Water temperature on the sea surface | (K) | |
| Friction velocity | (m/s) | |
| Kinematic tension | (m2/s2) | |
| Wind speed as a function of height | (m/s) | |
| Wind speed for hub height | (m/s) | |
| Wind speed for hub height | (m/s) | |
| Usage Time | (h/y) | |
| Power of the incident wind on the turbine rotor | (W) | |
| Height above mean sea level | (m) | |
| Aerodynamic roughness length | (m) | |
| Greek Letters | ||
| Power law parameter | (-) | |
| Charnock parameter | (-) | |
| Potential temperature | (K) | |
| Average virtual potential temperature | (K) | |
| Air density | (kg/m3) | |
| Surface tension | (Pa) | |
| Kinematic molecular viscosity | (m2/s) | |
| Stability function | (-) | |
| Abbreviations | ||
| BSH | Bundesamt für Seeschifffahrt und Hydrographie | |
| DNV | Det Norske Veritas | |
| GL | Germanischer Lloyd | |
| GWEC | Global Wind Energy Council | |
| IEC | International Electrotechnical Commission | |
| MABL | Marine Atmospheric Boundary Layer | |
| NWP | Normal Wind Profile | |
| WMO | World Meteorological Organization | |
References
- Global Wind Energy Council (GWEC). Global Wind Report 2021; GWEC: Brussels, Belgium, 2021. [Google Scholar]
- World Meteorological Organization (WMO). Guide to Instruments and Methods of Observation. Volume I–Measurement of Meteorological Variables, 2018 ed.; WMO No. 8; World Meteorological Organization (WMO): Geneva, Switzerland, 2018. [Google Scholar]
- Stull, R.B. An Introduction to Boundary Layer Meteorology; Springer: Vancouver, BC, Canada, 2009; pp. 347–386. [Google Scholar]
- Barthelmie, R.J.; Sempreviva, S.; Pryor, S.C. The influence of humidity fluxes on offshore wind speed profiles. Ann. Geophys. 2010, 28, 1043–1052. [Google Scholar] [CrossRef] [Green Version]
- Csanady, G.T. Air-Sea Interaction: Laws and Mechanisms; Cambridge University Press: Cambridge, UK, 2004; pp. 9–15. [Google Scholar]
- Kalvig, S.; Gudmestad, O.T.; Winther, N. Exploring the gap between ‘best knowledge’ and ‘best practice’ in boundary layer meteorology for offshore wind energy. Wind Energy 2014, 17, 161–171. [Google Scholar] [CrossRef]
- International Electrotechnical Commission (IEC). Wind Turbines-Part 3: Design Requirements for Offshore Wind Turbines; IEC 61400-3; International Electrotechnical Commission: Geneva, Switzerland, 2009. [Google Scholar]
- Newman, J.F.; Klein, P.M. The impacts of atmospheric stability on the accuracy of wind speed extrapolation methods. Resources 2014, 3, 81–105. [Google Scholar] [CrossRef]
- Monin, A.S.; Obukhov, A.M. Basic laws of turbulent mixing in the surface layer of the atmosphere. Geophis. Inst. Acad. Sci. USSR 1954, 24, 163–187. [Google Scholar]
- Obukhov, A.M. Turbulence in an atmosphere with a non-uniform temperature. Geophis. Inst. Acad. Sci. USSR 1946, 1, 95–115. [Google Scholar] [CrossRef]
- Wallace, J.M.; Hobbs, P.V. Atmospheric Science: An Introductory Survey, 2nd ed.; Academic Press Publications: Cambridge, MA, USA, 2006; pp. 387–391. [Google Scholar]
- Bahamonde, M.I.; Litrán, S.P. Study of the energy production of a wind turbine in the open sea considering the continuous variations of the atmospheric stability and the sea surface roughness. Renew. Energy 2019, 135, 163–175. [Google Scholar] [CrossRef]
- Paulson, C.A. The mathematical representation of wind speed and temperature profiles in the unstable atmospheric surface layer. J. Appl. Meteorol. 1970, 9, 857–861. [Google Scholar] [CrossRef]
- Businger, J.A.; Wyngaard, J.C.; Izumi, Y.; Bradley, E.F. Flux-profile relationships in the atmospheric surface layer. J. Atmos. Sci. 1971, 28, 181–189. [Google Scholar] [CrossRef]
- Dyer, A.J. A review of flux-profile relationships. Boundary-Layer Meteorol. 1974, 7, 363–372. [Google Scholar] [CrossRef]
- Garratt, J.R. The Atmospheric Boundary Layer; Cambridge University Press: Cambridge, UK, 1992; pp. 40–62. [Google Scholar]
- Smith, S.D. Coefficients for sea surface wind stress, heat flux, and wind profiles as a function of wind speed and temperature. J. Geophys. Res. 1988, 93, 15467–15472. [Google Scholar] [CrossRef]
- Charnock, H. Wind stress on a water surface. Q. J. R. Meteorol. Soc. 1955, 81, 639–640. [Google Scholar] [CrossRef]
- Petersen, E.L.; Mortensen, N.G.; Landberg, L.; Hojstrup, J.; Frank, H.P. Wind power meteorology. Part II: Siting and Models. Wind Energy 1998, 1, 55–72. [Google Scholar] [CrossRef]
- Motta, M.; Barthelmie, R.J.; Vølund, P. The influence of non-logarithmic wind speed profiles on potential power output at Danish offshore sites. Wind. Energy 2005, 8, 219–236. [Google Scholar] [CrossRef]
- International Electrotechnical Commission (IEC). Wind Turbines-Part 1: Design Requirements Wind Turbines; IEC 61400-1; International Electrotechnical Commission: Geneva, Switzerland, 2005. [Google Scholar]
- Germanisher Lloyds. Guideline for the Certification of Offshore Wind Turbines; Germanisher Lloyds: Hamburg, Germany, 2012. [Google Scholar]
- Det Norske Veritas. Design of Offshore Wind Turbine Structures; DNV-OS-J101; Det Norske Veritas: Barium, Norway, 2013. [Google Scholar]
- Lange, B.; Larsen, S.; Højstrup, J.; Barthelmie, R.J. Importance of thermal effects and sea surface roughness for offshore wind resource assessment. J. Wind. Eng. Ind. Aerodyn. 2004, 92, 959–988. [Google Scholar] [CrossRef] [Green Version]
- Högström, U.; Smedman, A.S.; Bergström, H. Calculation of wind speed variation with height over the sea. Wind Eng. 2006, 30, 269–286. [Google Scholar] [CrossRef]
- FINO Datenbank. Available online: https://www.fino-offshore.de/de/index.html (accessed on 20 January 2021).
- Grachev, A.A.; Fairall, C.W. Dependence of the Monin-Obukhov stability parameter on the bulk Richardson number over the ocean. J. Appl. Meteorol. 1997, 36, 406–414. [Google Scholar] [CrossRef]
- Sanz, J.; Cantero, E.; García, B.; Borbón, F.; Irigoyen, U.; Lozano, S.; Hernandes, P.M.; Chávez, R.A. Atmospheric stability assessment for the characterization of offshore wind conditions. J. Phys. Conf. Ser. 2015, 625, 012044. [Google Scholar]
- Ebuchi, N.; Toba, Y.; Kawamura, H. Statistical study on the local equilibrium between wind and wind waves by using data from ocean data buoy stations. J. Oceanogr. 1992, 48, 77–92. [Google Scholar] [CrossRef]
- Hau, E. Wind Turbines: Fundamental, Technologies, Application, Economics, 2nd ed.; Springer: Berlin, Germany, 2006; pp. 528–531. [Google Scholar]
- Ashrafi, K.; Hoshyaripour, G. A model to determine the atmospheric stability and its correlation with CO concentration. Int. J. Civ. Environ. Eng. 2008, 2, 82–88. [Google Scholar]
- Woodward, J.L. Appendix A: Atmospheric stability classification schemes. In Estimating the Flammable Mass of a Vapor Cloud; American Institute of Chemical Engineers: New York, NY, USA, 1998; pp. 209–212. [Google Scholar]
- Businger, J.A. The Marine Boundary Layer, from Air-Sea Interfase to Inversion; Technical note 252; National Center for Atmospheric Research: Boulder, CO, USA, 1985; pp. 60–61. [Google Scholar]
















| Year | Efficacy Data | Near-Neutral (N) | Unstable (U) | Stable (S) | Total | |||
|---|---|---|---|---|---|---|---|---|
| No. | % | No. | % | No. | % | No. | ||
| 2016 | 0.823 | 20,085 | 46.31 | 20,607 | 47.51 | 2680 | 6.18 | 43,372 |
| 2017 | 0.881 | 23,965 | 51.77 | 19,603 | 42.35 | 2722 | 5.88 | 46,290 |
| 2018 | 0.763 | 17,397 | 43.36 | 17,019 | 42.42 | 5706 | 14.22 | 40,122 |
| Year | Near-Neutral R (NR) | Unstable R (UR) | Stable R (SR) | Total R | Total | |||
|---|---|---|---|---|---|---|---|---|
| No. | % | No. | % | No. | % | No. | No. | |
| 2016 | 19,979 | 49.24 | 18,454 | 45.48 | 2145 | 5.29 | 40,578 | 43,372 |
| 2017 | 23,890 | 55.22 | 17,112 | 39.55 | 2262 | 5.23 | 43,264 | 46,290 |
| 2018 | 17,303 | 45.51 | 16,072 | 42.28 | 4642 | 12.21 | 38,017 | 40,122 |
| Year | Energy in the Rotor with U(z) Predicted to 100 m (kWh/y) | Useful Energy with U(z) Predicted to 100 m (kWh/y) | Useful Energy with U(z) Measured to 100 m (kWh/y) | |
|---|---|---|---|---|
| Input | Output | |||
| 2016 | 106,053,334 | 23,364,724 | 23,243,654 | 23,715,902 |
| 2017 | 125,968,978 | 26,311,410 | 26,146,737 | 26,801,630 |
| 2018 | 106,507,350 | 21,665,150 | 21,535,364 | 21,884,986 |
| Year | Efficacy Data | Measurement Data | Prediction Data | Deviations | |||
|---|---|---|---|---|---|---|---|
| CFm (-) | UTm (h/y) | CFp (-) | UTp (h/y) | UTm-UTp (h/y) | 1-UTp/UTm (%) | ||
| 2016 | 0.823 | 0.450 | 3953 | 0.441 | 3874 | 79 | 1.99 |
| 2017 | 0.881 | 0.510 | 4467 | 0.497 | 4358 | 109 | 2.44 |
| 2018 | 0.763 | 0.416 | 3648 | 0.410 | 3589 | 59 | 1.61 |
Publisher’s Note: MDPI stays neutral with regard to jurisdictional claims in published maps and institutional affiliations. |
© 2022 by the authors. Licensee MDPI, Basel, Switzerland. This article is an open access article distributed under the terms and conditions of the Creative Commons Attribution (CC BY) license (https://creativecommons.org/licenses/by/4.0/).
Share and Cite
Bahamonde García, M.I.; Macías Macías, J.; Rodríguez González, C.; Litrán, S.P.; Sánchez Herrera, M.R. Modeling of the Wind Potential in the Open Sea and Its Application to the Calculation of Energy. Energies 2022, 15, 1157. https://doi.org/10.3390/en15031157
Bahamonde García MI, Macías Macías J, Rodríguez González C, Litrán SP, Sánchez Herrera MR. Modeling of the Wind Potential in the Open Sea and Its Application to the Calculation of Energy. Energies. 2022; 15(3):1157. https://doi.org/10.3390/en15031157
Chicago/Turabian StyleBahamonde García, Manuel I., José Macías Macías, César Rodríguez González, Salvador Pérez Litrán, and María R. Sánchez Herrera. 2022. "Modeling of the Wind Potential in the Open Sea and Its Application to the Calculation of Energy" Energies 15, no. 3: 1157. https://doi.org/10.3390/en15031157
APA StyleBahamonde García, M. I., Macías Macías, J., Rodríguez González, C., Litrán, S. P., & Sánchez Herrera, M. R. (2022). Modeling of the Wind Potential in the Open Sea and Its Application to the Calculation of Energy. Energies, 15(3), 1157. https://doi.org/10.3390/en15031157

