Abstract
Hydrogen is acknowledged as a potential and appealing energy carrier for decarbonizing the sectors that contribute to global warming, such as power generation, industries, and transportation. Many people are interested in employing low-carbon sources of energy to produce hydrogen by using water electrolysis. Additionally, the intermittency of renewable energy supplies, such as wind and solar, makes electricity generation less predictable, potentially leading to power network incompatibilities. Hence, hydrogen generation and storage can offer a solution by enhancing system flexibility. Hydrogen saved as compressed gas could be turned back into energy or utilized as a feedstock for manufacturing, building heating, and automobile fuel. This work identified many hydrogen production strategies, storage methods, and energy management strategies in the hybrid microgrid (HMG). This paper discusses a case study of a HMG system that uses hydrogen as one of the main energy sources together with a solar panel and wind turbine (WT). The bidirectional AC-DC converter (BAC) is designed for HMGs to maintain power and voltage balance between the DC and AC grids. This study offers a control approach based on an analysis of the BAC’s main circuit that not only accomplishes the function of bidirectional power conversion, but also facilitates smooth renewable energy integration. While implementing the hydrogen-based HMG, the developed control technique reduces the reactive power in linear and non-linear (NL) loads by 90.3% and 89.4%.
1. Introduction
Due to the rapid development of power electronic technology, the energy storage systems (ESS) dependent on applying renewable energy sources (RESs) emerged as the best and most cutting-edge way to electrify remote locations while addressing the dangers associated with the depletion of fossil fuels and pertinent environmental concerns [1]. Wind energy generation increased rapidly during the last few decades. Wind energy utilization climbed from 0.2% to 4.8% of total power output between 2000 and 2018, and is anticipated to reach more than 12% by 2040 [2]. The wind industry’s advancements in technology contributed to this quick expansion. Additionally, the solar future research explored the contribution of solar energy to the development of a carbon-free power grid. The solar futures study investigates the contribution of solar energy to the development of a carbon-free electric grid [3].
The National Renewable Energy Laboratory (NREL) and the Solar Energy Technologies Office (SETO) of the U.S. Department of Energy conducted research and found that solar energy could supply up to 40% of the country’s power by 2035 and 45% by 2050 [3]. The microgrid applications in logistics, Singapore islands, and buildings are represented in [4,5,6]. More than 85% of all cargo traffic worldwide is moved by sea, which gives marine logistics a vital role as global trade expands. Between 2000 and 2015, the energy demand for international shipping, including seaports, expanded on average by 1.6% per year [4]. There are several ways to integrate RES and storage systems, including direct integration, and employing virtual power plants or microgrids [5]. Distributed energy storage raises demand elasticity, which improves grid balancing services via smart meters. Specifically, energy storage increases the income stream from distributed generation by enhancing energy supply methods [6]. However, regulating supply and demand in the power network is becoming increasingly difficult due to the growing amount of solar and wind-based electricity. Additionally, the changing wind speeds and unpredictable future weather patterns make relying on the offshore wind a problematic venture. These factors make it difficult to make forward energy supply agreements. Further research is needed to determine the optimal operation and reconfiguring of HMG systems using RESs without batteries due to the intermittency of solar irradiance and wind speed. Following that, the hydrogen storage system (HSS) presents itself as a green and cutting-edge method [7].
Since the earliest internal combustion engines were powered by hydrogen energy and manufactured over 200 years ago, these two became crucial components of the current stationery and automobile industries [8]. When energy is created from naturally occurring substances, hydrogen is the perfect component for storing or delivering it [9]. No fuel has more energy per mass than hydrogen. However, due to its low density at room temperature, it has a low volumetric energy content. As a result, various storage and production techniques can be taken into account to achieve greater target energy densities [10]. In fuel cell (FC), hydrogen can also be utilized to generate electricity without emitting any pollutants, especially if it is created using renewable energy. Utilizing hydrogen has significant advantages. It can be utilized in industry, public transportation, and indoor heating [11]. Due to system integration and improved use of renewable energy sources, hydrogen energy storage systems provide a chance to improve the flexibility and resilience of sustainable energy systems while also possibly lowering total energy prices. Climate change, energy security, and the negative effects of bad air quality on health are all motivating factors for a more sustainable energy future [12].
Hydrogen storage technologies (HSTs) are major obstacles to the growth of the hydrogen economy. More sophisticated storage techniques based on carbon-based polymers and metal-organic frameworks hydrides are being explored as possible alternatives [13]. In order to provide a better energy density, improved HSTs must be developed [14]. These systems cover both material- and physically based storage. First, hydrogen could be kept in liquid or gas form. In order to store hydrogen as a vapor, adequate high-pressure tanks (between 350 and 700 bars) are often needed [15]. Although hydrogen has such a critical temperature of −252.8 °C, freezing temperatures are needed to keep it in a liquid [16]. Second, hydrogen may be held within solids, such as in metal hydride compounds on the edges of solids through adsorption. Liquid hydrogen has an energy density per volume of roughly 8 MJL-1, which is greater than hydrogen storage based on high-pressure tanks. However, gasoline and kerosene have energy densities per volume of 32 MJL-1 and 35 MJL-1, respectively.
The integrated power system of HMG will search for prospective advantages of HSS as well as the growth in wind and solar farms’ technological and economic efficiency [17]. In a future civilization that is carbon neutral, such facilities that concurrently run HSS, wind, and solar power production are expected to play a key role [18]. Profitability can be increased by jointly running an HSS and participating in the electricity market while making the greatest use of the circumstances of the electricity market and hydrogen gas-based use cases. As a consequence, the behavior of the Hydrogen based HMG that arises is complicated, and in order to revolutionize the global energy sector. The National Thermal Power Corporation (NTPC) supports the need for such an examination in Andrapradesh, India [19].
A schematic illustration of hydrogen applications taking into account nuclear and RES is shown in Figure 1. Distributed energy (DG) is quickly integrated into the grid as an HMG, as a result of breakthroughs in power electronic devices and the assistance of advancements on both the power source and load side. Additionally, BAC is required for HMGs to guarantee voltage stability and power equilibration between the DC and AC grids [20]. The coordinated control scheme allows for efficient power transfer across AC and DC connections, as well as reliable system performance under a variety of load and generating situations. In [21], an assessment and mitigation solutions for system-level dynamic interaction with control power converters in HMG are examined. To increase system stability, an efficient control strategy to modify the DC side admittance is performed. Hydrogen is a viable choice for energy storage, since it can be used for a variety of purposes, including power generation and the management of renewable hydrogen production [22].
Figure 1.
Applications of hydrogen energy [1].
Incorporating renewable energy sources, such as photovoltaic (PV), wind, diesel production, or a mix of these sources, HMGs are pushed to address a variety of electrical and energy-related concerns. Clean energy, improved grid stability, and decreased congestion are just a few advantages of using microgrids in the production of electric power. Despite these benefits, cost issues prevent the widespread adoption of microgrids. In order to deal with these financial issues, it is required to investigate the best microgrid configurations based on the number, quality, and accessibility of RES utilized to establish the microgrid as well as the best layout of microgrid elements.
The expense of initial management and operating energy is significantly impacted by the development of HSS as a possible kind of ESSs. It is often added to HMG as energy buffer area to stabilize power fluctuation and achieve autonomous operation [23]. If all distributed sources, together with the grid-connected operating mode’s peak load, cannot be met, inadequate electricity is supplied by the utility grid. If not, extra electricity is added to the electrical system [24]. Due to power assistance, the effect of ESS on the balance of power is not highlighted in this operating condition. Considerations such as operation costs, economy, serviceability, and power response time should be made while choosing an appropriate ESS. As an illustration, battery ESS has high efficiency but high power consumption. Large-scale applications of pumped hydro systems are possible, but utility grid deployment locations have some unique needs. Because it transforms chemical energy into electrical energy, an HSS is classified as a chemical storage system. Contrast to battery ESS, this power transmission method uses a fuel cell, an electrolyzer, and a hydrogen storage tank, and is therefore applicable to both power and energy.
The operating strategy and power management plan are crucial for delivering reliable operation in both grid-connected and standalone operating modes. The phrases “energy management” and “power management” have various meanings in microgrids when controlling activities and time scales. The ultimate aim of long-term energy management methods would be to optimally adapt the total generating capacity to the demand [25,26].
The actions of operators are influenced by several variables. First, the viability and economics of green hydrogen distribution routes have a significant influence, directly altering the incentives of operators [27]. It is possible that the current natural gas infrastructure will be upgraded, gaseous hydrogen will be delivered in tube trailers, or hydrogen will be transported by ships. Second, the future hydrogen market’s structure will be a key factor in the changes. For instance, the cost of hydrogen could well be controlled at the global, state, or even municipal levels. Hydrogen offtake contracts will be essential in determining the operator’s actions in such markets [28]. Third, power purchase agreements (PPAs) are used to operate offshore wind farms, owing to the combination of high initial costs and unpredictability in future payoffs [29]. According to a PPA, the seller must provide the contractual buyer with predetermined volumes of renewable power at predetermined times and specified costs. The operator’s actions are directly impacted by the PPA’s requirements for price, size, and timeliness.
Future markets for HSS systems, which provide electrical grid support services in addition to injecting hydrogen or green gas into gas pipelines, will be influenced by a number of potentially transformative factors, such as decarbonization, increased reliability and security, and higher levels of systems integration [30]. By introducing a previously unrecognized level of consumer choice, HSS systems give governments the chance to vary the ways in which consumers engage in green energy purchasing. Where green energy premiums are offered to providers of renewable electricity, HSS systems could be associated with greater to obtain green premiums for renewable gas.
The main objective of this paper is to review various hydrogen production methods, hydrogen energy storage technologies, energy management, and renewable energy integration of HMG. Initially, modeling and integrating RES, such as solar, wind, and hydrogen energy, are examined, while taking into account distributing power among the resources. Then, a distinct control strategy for the integrating converter to achieve a smooth integration of the AC bus is examined. Finally, a combined linear and NL load is taken into consideration to demonstrate the efficacy of the HMG. Additionally, the developed control strategy is used to incorporate the HMG into the proposed system while reducing the reactive power under linear and NL loads.
The structure of this paper is represented as follows: Section 2 discusses the related literature. Section 3 illustrates a general review of hydrogen generation techniques. Hydrogen storage systems are extensively covered in Section 4. Section 5 discusses the hydrogen-based HMG control strategy and energy management system. In Section 6, a case study of hydrogen-based HMG is examined using the control strategy. The future aspects of hydrogen energy are discussed in Section 7. Section 8 and Section 9 examine the discussions and the paper’s conclusion, respectively.
2. Literature Work
The fundamental issue of combining hydrogen energy storage devices with solar and wind power generation is the subject of a very small number of studies. In this paper, the operational issues with hydrogen energy systems are described. The linkages between research on hydrogen system operation and the related electrical markets, agreements, renewable energy resources, storage, energy management in HMG, and the possibilities of hydrogen energy globally can be evaluated.
Yue et al. [31] provided a summary of current advancements in hydrogen technologies and their utilization in power systems for the creation, storage, and re-electrification of hydrogen. Dawood et al. [32] evaluated these pathways as well in order to evaluate how different pathways for producing hydrogen interacted with one other and with other phases of the hydrogen square. Najjar [33] assessed the safety of hydrogen during its production, transfer, and use, but did not examine the many drawbacks of the various methods used to produce hydrogen. Their analysis indicates that safety concerns about the usage of hydrogen are mostly highlighted in reference to its ignition and burning characteristics, including its lower ionization energy, quick diffusion, relatively high flame velocities, and wide combustibility range explosions. Parra et al. [34] provided the cost-based evaluation of the evolution of hydrogen generation, but lacked a thorough analysis of the numerous trends in the advancement of the various technologies. Recently, Mengdi and Wang [35] provided a summary of the technologies used to produce hydrogen, which covers both sustainable and non-renewable resources. Additionally, they contrasted the environmental effect assessments for each technology’s life cycle. Lane et al. [36] discussed the prediction for renewable hydrogen technologies production shareholdings. This work indicates that in the early markets, biomass gasifiers are the dominant technology.
The chemical energy of a fuel and oxidizer agent is turned into electrical energy through electrochemical reaction FCs, which are electromechanical devices. The reagents are continually supplied, unlike batteries. Transportation, portable, and stationary industries can all benefit from the utilization of FCs [37]. The main technical obstacles of this technology are still the price, performance, and endurance. Platinum is the most expensive component in terms of the potential cost. One of the key obstacles to overcoming the technical hurdles and improving FC’s effectiveness, durability, and price is the development of materials that reduce the degradation mechanisms in FCs [38]. Furthermore, the cost of hydrogen must be equivalent to that of current fuels and technology.
Edathil et al. [39] looked at the best fuel alternatives while analyzing the practicality of HMG systems. An ant colony algorithm was used in the study to design multi-objective economic operations for three separate Egyptian island communities. Abo-Elyousr et al. [40] used several optimization strategies to find the hybrid PV/wind/diesel microgrid system’s ideal size while taking the battery banks into account as energy storage systems. The techno-economic viability of preserving energy in biomass-fired industrial boilers was examined by Diab et al. [41]. The cycle tempo program was used to determine how ecofriendly rice husk is as a fuel. Arévalo et al. [42], used HOMER software to examine the effects of five various storage technologies incorporated into hydrokinetics, a diesel generator, PV, and hybrid RES.
Mahani et al. [43] presented the HSS-based integrated transport network. The authors established HSS’s viability and its potential in Germany. Using HOMER software, Cai et al. [44] studied the techno-economic analysis of fuel cells for a vehicle system, hydrogen generation, and wind energy limitation. The excess wind power restriction was, however, best stored by the hydrogen fuel cell generator. El-Taweel et al. [45] planned privately owned hydrogen storage facilities and topologies. The PV battery hydrogen systems had an identity of higher than 54%, according to Coppitters et al. [46], who looked into the optimal design and stochastic performance of an on-grid PV system. These findings indicate that the generated system was less vulnerable to real-world uncertainties.
A proposed interface converter-based adaptive virtual inertia control approach for HMG is discussed by Luo et al. [47]. By reducing the rate of variation in AC frequency and DC voltage and increasing the variation in AC frequency and DC voltage, this control strategy dynamically modifies the system’s virtual momentum when the performance differs from the nominal voltage. Xia et al., [23] proposed an HMG configuration for a grid-connected microgrid with a DC link at back-to-back converters. An additional DC bus connection can make it easier to use the DC microsources than a back-to-back connection between two AC systems, which might provide a dependable, isolated, and effective coupling. In order to guarantee voltage stability and power equilibration between the AC and DC grids, a BAC is required for HMGs.
Majumder [48] created a flexible detection method that validates reaction time while taking into account detection performance. However, the grid voltage magnitude was impacted by the effectiveness of the detecting system. The identification impact is highly consistent, there are no complex matrix modifications needed. Based on the study of harmonic identification, the appropriate control method is required to perform the power transfer between the AC and DC sub microgrid [49]. Toghani et al. [50] implies a more effective droop control (DRC) strategy that puts BAC in a shutdown state and stops power electrical device activities. The DRC methods mentioned above are predicated on perfect conditions. NL loads in a grid are not taken into account. A NL load can generate further power outages and conflicts with equipment linked to the grid when it alters the current.
A harmonic rectification system of integrated converters is described by Tian et al. [51] using the NL control approach. The instantaneous depiction of the harmonic component on the PWM signal greatly reduces the influence of bandwidth management on harmonic voltage minimization. The above approach does not have a high compensating harmonic accuracy. Liu et al. [52] present the parallel functioning transformer with a mutual filter. This method provides a high attenuation capacity, a reduced resonance risk, and enhanced filtering performance. The aim of the multi-mode control scheme for combining interface converters is to address unbalanced power quality (PQ) problems in a targeted manner and within a limited area of application, as stated by Senthil Kumar et al. [53].
When a microgrid is cut off from the main grid and running autonomously with small sources and loads, it is referred to as being in island mode [54]. Power to the PCC is abruptly interrupted while switching from grid-connected mode to islanded mode. If this electricity goes to the microgrid before the changeover, there will be a power shortage in the microgrid after the system switches to island mode. The island mode HMG system is shown in Figure 2, where the DC bus is interconnected to the PV, wind turbine, and HSS. A hydrogen storage tank, an electrolyzer, and a FC make up the HSS. It is being examined if the HMG system can optimize each power source in accordance with the levelized cost of energy. Therefore, a load profile is a tool to aid in pointing the direction of HSS growth. Active and reactive power changes are effectively suppressed while current distortion is decreased when a percentage resonant controller is integrated with the BAC.
Figure 2.
Schematic layout of islanding mode of HMG with HSS.
In recent times, meta-heuristic optimizing techniques were applied to identify the best structure, scale, and energy management for hydrogen-based HMG systems. Mohseni et al. [55] evaluated the economics of designing hydrogen-based HMG using several meta heuristic-driven algorithms. Abdelshafy et al. [56] presented a non-sorting genetic algorithm (GA)-based optimum energy management technique for on-grid dual storage systems powered by PV and wind systems. There are several nature swarm techniques to address problems with HMG systems. Edathi et al. [57] used ant colony and cuckoo search-based metaheuristic optimization approaches to predict the best possible economic operation for HSS. Using multi-objective heuristic optimization techniques, Li et al. [58] investigated how energy storage may be integrated into isolated microgrids. According to the analysis of the aforementioned investigations, virtually a single evolutionary algorithm was tested, exposing the answer for local optima. Additionally, testing two hybridized meta-heuristic algorithms is a viable option with plenty of room for further study to address these issues.
In summary, this paper makes significant contributions to the literature by providing an in-depth analysis of the energy storage techniques used in hydrogen-based HMG, developing the BAC for reactive power consumption, and outlining strategies for integrated solar, wind, and hydrogen systems that work in concert with the HMG’s electricity and energy management systems.
3. Hydrogen Production
Numerous feedstocks, including fossil and sustainable energy, can be used to create hydrogen. Hydrogen can be produced using a variety of process methods, including catalytic, biologic, electrochemical, photochemical, and thermo-chemical [59]. A thorough overview of several hydrogen generating processes is provided in [60]
3.1. Coal and Other Hydrocarbon Gasification
The “gasification” method makes hydrogen from a diversity of hydrocarbon fuels, including lignite, heavy residue lubricants, and limited refining output [61]. Hydrogen generation is handled mostly by the condensing of fossil fuels and heavy oil, as well as the burning of coal, petroleum, and diesel oil [62].
3.2. Steam Reforming
The chemical method of making hydrogen from a combination of water and a hydrocarbon substrate, typically a fossil fuel, is known as steam reforming. Natural gas, usually methane, is the most prevalent substrate [63]. A chemical reaction takes place when steam and propane are mixed at a higher temperature and pressure, converting them to carbon monoxide and hydrogen. The calorific value of the hydrogen generated is really larger than that of the natural gas used, but because the reformer requires a significant amount of energy to function, the net conversion efficiency is often only approximately 65–70%. The environmental factor is also a key problem, since converting natural gas to hydrogen creates the same number of pollutants and CO2 as immediately burning natural gas. The technique of producing hydrogen from natural gas is well developed [64].
3.3. Electrolysis
Electrolysis is the process of sending a current over water to separate specific molecules into oxygen and hydrogen [65]. As it is a precise method and water is available, electrolysis garnered great interest while accounting for just a small proportion of modern hydrogen generation. However, at the moment, the process is only employed in small facilities at a cost of 2.40–3.60 USD/kg of gases produced. Electrolysis is now conducted at rates ranging from several kW to 2000 kW of each electrolysis cell. As a consequence of the electrolysis procedure, molecular oxygen and pure hydrogen are produced [66]. Although the benefits of generating highly pure hydrocarbons via electrolysis of water were known for nearly two centuries [67], its implementations are still restricted to simple scale and unique situations. A massive scale hydrocarbon processing facility is not feasible or cost-effective, such as for marine, rockets, spaceships, industrial application, farming industry, and healthcare. Water electrolysis now accounts for just 4% of global producing hydrogen [68].
3.4. Solar Hydrogen
The solar hydrogen paradigm proposes creating electricity directly from sunlight utilizing PVs, electrolyzing water to create hydrogen, and replacing this hydrogen for petrol as well as other fossil fuels now in usage [69]. The terminology is increasingly used much more generally to cover electrolysis relying on various renewable energy sources, such as wind. This concept is attracting a lot of interest, owing to the ecological benefits of using hydrogen rather than fossil fuels. It also tackles two impediments to the eventual realization of massive solar power use. Solar electricity cannot be immediately used for quasi purposes, such as internal combustion, and electricity is complicated and expensive to retain.
3.5. Thermochemical Process
Heat is used to divide hydrogen from water. The most basic type of such a process is thermal transformation, which involves boiling water to extreme temperatures, approximately 3400 K. Direct heat conversions, though, are still impracticable beyond the study due to the extreme heat necessary [70]. Chemical processes can be used to minimize the needed temperature. Several alternatives were investigated, generally including intricate multistep procedures.
3.6. Nuclear Energy
Hydrogen may well be generated using a variety of nuclear energy-based systems. This includes nuclear heat conversion of water utilizing specific chemical techniques, including the sodium-iodine cycle and nuclear power hydrolysis of water. Moreover, high-temperature electrolytic employs nuclear excess heat to reduce the amount of power needed for electrolysis [71]. Though the use of nuclear energy for hydrogen generation is appealing from a carbon reduction standpoint, it poses additional severe environmental and health problems connected to uranium extraction and smelting, the possibility of accidents, and the administration and disposal of hazardous waste.
3.7. Biomass
There are two types of conversion of biomass techniques: thermochemical and biological processes. Thermochemical operations are less costly because they can be run at higher temperatures and therefore produce quicker response rates. Biomass combustion is recognized as a potential technique for producing renewable hydrogen. It is advantageous to leverage biomass resources in order to build an extremely efficient clean method for massive production of hydrogen. Adhesives, carbon black, activated charcoal, polymers, fertilizers, ethanol, different acids, Friedel diesel, paraffin, and methanol can all be produced using many of the techniques available to produce hydrogen from biomass [72].
3.8. Off-Gas Cleanup
After steam generation, the cleaning of commercial off-gases is currently the most prevalent source of hydrogen. Many industries emit significant levels of hydrogen in their solid waste, including refineries, steel plants, and some chemical facilities. Most off-gas hydrogen is utilized by the industry that generates it [73]. However, it is doubtful that off-gas cleaning could be extended sufficiently to meet the increasing demand that would come from the extensive utilization of hydrogen as a fuel.
During the early stages of infrastructure development, biomass combustion is used in small, decentralized facilities, and later in larger centralized units. Steam reformation and electrolyzers can also be downscaled and installed on site at fueling stations, but coal gasification or nuclear energy is only for large-scale, centralized production and is hence limited to later stages with significant hydrogen consumption [74]. Natural gas combustion, coal liquefaction, and water electrolysis are established methods for hydrogen generation that are already used on a large scale across the world. Natural gas hydrogen production is the most widely utilized method in the petrochemical and chemical sectors. It is now the least expensive technique of generation and emits the least CO2 of any fossil fuel-producing route. Electrolysis, on the other hand, is more costly and only viable if high-purity hydrogen is desired. With natural gas prices predicted to rise, coal gasification is expected to become the most cost-effective alternative around 2030 [75]. A comparison of various hydrogen production methods and observations is shown in Table 1. It shows the possible ways to produce hydrogen, and the steam reforming method is a simple way to produce hydrogen.
Table 1.
Comparison of various hydrogen production methods.
4. Hydrogen Storage Technologies
Storage and transmission of hydrogen energy are ongoing and evolving concerns. Operations involving transportation and storage are at minimum as crucial as those involving manufacturing [76]. The hydrogen economy benefits greatly from these processes. The objective of conserving hydrogen energy is to make it safe, effective, and available at all times. Hydrogen has a lower volume power density and a large specific gravity energy density when it is purified [77].
There are two techniques for storing hydrogen. Physical storage methods include pressurized storage, and material-based hydrogen storage [78]. The various storage methods and their categorizations are shown in Figure 3. The most popular strategies are pressurized gas and liquid hydrogen preservation. The solid-state storage technology is in progress and anticipates increased application in the next decades. Hydrogen can be compressed to 700 bar in appropriate buildings and kept as a gas in cylinders, containers, and subterranean cavities.
Figure 3.
Types of HSTs [79].
4.1. Physcial Storage Methods
4.1.1. Compressed Gas Hydrogen Storage (CGHS)
Under normal circumstances, hydrogen has an extremely low density. The best method for storing hydrogen is high-pressure preservation. However, the biggest barriers to its democratization are the high development and production expenses [80]. In both the automotive and hydrogen storage industries, highly pressurized HS methods are used in about 80% of hydroformylation operations worldwide [81]. However, for vehicle use, an extremely high pressure of up to 700 bar or 1000 bar is required [82]. The power required for pressurizing hydrogen to 700 bar is equivalent to around 10% of the energy in the gas. The internal pressure needs to be raised to 70 MPa in order to meet industry standards, such as the volumetric capacity [83]. For small to moderate operations, pressure vessels over the ground might be used for hydrogen storage as a compressed gas. Salt is incredibly gas-tight and reactive to hydrogen. Furthermore, subsurface technology, especially salt cave systems, are better suited for large-scale storage or extended discharge rates [84]. Cost remains a barrier to a futuristic hydrogen economy in the realm of energy applications, despite the benefits of composite vessels. Economic analyzes are therefore very important for compressed hydrogen systems [85].
4.1.2. Cryo-Compressed Hydrogen Storage (CCHS)
The maximum system storage capacity will be provided by CCHS, which is expected to result in practical automobiles with ranges equivalent to those of today’s gasoline vehicles, as well as significant economic and safety benefits [86]. Cryo-compressed tanks consist of an outside metallic vacuum jacket, a high-pressure inner vessel that is generally constructed of metal wrapped in carbon fiber, a vacuum area that is filled with multiple sheets of highly reflective plastic, and the inner vessel. At 70 MPa and room temperature, hydrogen has a density of just 39.1 kg/m3, however, at 20 K and 0.4 MPa relative low pressures, liquid hydrogen has a density of 71.0 kg/m3. However, if held at a temperature close to the decomposition temperature, gaseous hydrogen over 15 MPa may have a larger volume than liquid hydrogen [87].
4.1.3. Liquid Hydrogen Storage (LHS)
Hydrogen can be maintained in either a liquid or a gaseous state. Gas storage frequently requires the use of high-pressure tanks (5000–10,000 psi tank pressure) [88]. The total amount of power used for LHS storage is around 35% of the energy contained in the hydrogen that is stored, which wastes a lot more energy than other hydrogen storage technologies. Despite its high energy consumption, LHS can only be used in aircraft and space applications where substantial volumetric and spectrometric energy storage concentrations are needed. Additionally, LHS is effectively employed for gas supply employing vehicles with up to 60,000 L of capacity [89].
These techniques have high energy loss that can reach up to 40% when the hydrogen is liquefied and up to 20% when the hydrogen is compressed. The public’s perception and acceptance of the use of pressurized air and the confinement of liquid hydrogen is a crucial issue that limits the usage of high pressure and cryogenic storage. A significant technical advance is needed to store hydrogen, and liquid hydrogen storage is the most practical option to compress the hydrogen. Because hydrogen must be liquefied at extremely low temperatures, its preservation in liquid form is challenging.
4.2. Over-Ground Storage
Standard fuels are now employed in over-ground pressurized networks, and comparable techniques are being explored for hydrogen. Storage was made easier and is now possible at greater pressures due to the creation of new composite materials. In the past, it was assumed that hydrogen would need to be kept as a liquid [90]. This idea led many to believe that hydrogen would take “a long time arriving” since producing and storing liquid hydrogen requires a lot of energy. Boil-off losses play a significant role in the transportation and handling of liquid hydrogen. The amount of energy lost can account for up to 40% of the total energy. Storage size, shape, layering, thermal refill, flashing, insulating, and material play important roles in over-ground storage [91]. Research is being conducted to address these problems and lessen the effect they have on losses.
4.3. Underground Storage
Underground storage is a common practice for storing different types of fuel. Hydrogen can be utilized in similar ways; these include geological storage on a wider scale, such as underground storage in caves, reservoirs, depleted gas fields, and man-made passageways. According to a recent analysis, compressed air energy storage (CAES), hydrogen is comparable with batteries and might be competing with CAES and pumped hydro in locations where those technologies are unfavorable. Additionally, one-third of the output energy from CAES is obtained from natural gas supplied to combustion engines, which contributes to extra emission of greenhouse gases [92]. This means that CAES must be situated close to appropriate geologic tunnels. A mountainous area, a sizable water storage facility, and possible adverse environmental consequences are often necessary for hydro. The main downsides to battery power storage are toxic, dangerous chemicals and the voltage-to-current ratio, which restricts the quantity of energy that can be recovered [93]. The same research revealed that hydrogen also has disadvantages, such as high cost, the need for expensive metal catalysts, and the potential impossibility of storage in geological formations other than salt tunnels.
4.4. Material-Based Hydrogen Storage
The creation of low-pressure energy storage, which would make it easier to employ hydrogen for transport and fuel cell technologies, received a lot of attention. Metal hydrides, hydrogen substances, and chemical hydrogen storage materials are the main themes of the United States Department of Energy (USDOE) initiatives. Adsorption and metal or chemical hydrides are two ways that modern materials conserve hydrogen. The new materials will need to get through challenges with respect to volume, price, weight, toughness, cyclic stability, and transient performance. The requirement for quick recycling is another issue that will influence the material’s feasibility. Another way to categorize the smart materials is into two groups, one of which is “on-board reversible.” These could be refueled on board at a hydrogen charging point and include large surface area adsorbent and metal hydrides. Another opposite system, referred to as “regenerable off board,” is made up of materials that need a lot of time and/or effort to refuel with hydrogen. To give details about current storage materials study and development, the USDOE subsequently created an extensive database of hydrogen storage elements. Producing the hydrogen on board by reformation is one method to allay storage-related worries. The utilization of hydrogen would be substantially sped up if the technicians were successful in creating such technologies at an affordable price [94].
In comparison to liquid hydrogen, a number of kinds of solid-state hydrogen storage materials have greater energy densities. To increase the hydrogen absorption/desorption properties of storage materials, however, more research is required. Materials that chemically link or physically absorb hydrogen at volumetric densities higher than liquid hydrogen are among the most viable hydrogen storage techniques. As storage mediums, several common bulk materials were investigated but rejected since they do not meet the criteria. The possibility for large surfaces and blended structures that allow for versatile performance, including such low-energy hydrogen particle disconnection on the surface and quick dispersion of atomic hydrogen into the interior is provided by nano science, which creates new possibilities for overcoming this problem [95]. The comparison of various hydrogen storage technologies is shown in Table 2. From that table, the CGHS method can be used for bulk transportation application and to make storage in HMG also simpler.
Table 2.
Comparison of various hydrogen storage technologies.
5. Hydrogen Based HMG
Integration of storage energy systems into grid-connected and standalone energy systems emerged as a promising research area. For both static and mobile applications, the use of hydrogen as a fuel for fuel cell technologies presents a significant difficulty [96]. Numerous studies concentrated on identifying the ideal size and design of HMG systems for practical energy management purposes, as well as conducting techno-economic analyzes in these areas. Utilizing renewable energy efficiently may be achieved by combining local load, hydrogen energy storage, PV, wind power generation, and HMG. The HMG may, however, also include alternative energy sources. Even still, the power’s properties are greatly worsened by its high reactive power under non-linear loads.
Figure 4 depicts the HMG, which comprises a DC grid, an AC grid, and an AC/DC power flow regulator, as well as stores hydrogen and batteries [97]. An AC/DC hybrid microgrid with hydrogen storage and battery storage was used to clarify the control approach. Both the AC sub grid and the DC sub grid consist of five components: PV, WT, HSS, battery ESS, and loads. Bidirectional converters are used to transfer power between the DC and AC sub grids and ensure steady operation of two sub grids. A DC/DC boost converter connects PV panels to the DC bus. A capacitor is used to reduce the high frequency voltage ripples from solar panels. In order to replicate AC sources, an AC bus is linked to a permanent magnet synchronous generator in a wind turbine. DC/DC converters are used to connect hydrogen tanks and fuel cells to both DC and AC buses. In order to ensure excellent PQ, HMG should offer voltage stability and power balancing. PQ is substantially impacted by harmonics and unbalanced load currents that arise when NL loads are present in the system. The identification and rectification of harmonic currents must be effective as a consequence [98].
Figure 4.
Multi energy storage system in HMG [94].
Energy Management of Hydrogen Based HMG
In recent years, there is a demand to integrate RES via microgrid systems. The energy management role is to provide information about system generation and distribution of energy supply at minimal operational costs. In energy management methodologies in microgrids, there are many methods based on linear programming, non-linear programming, and artificial intelligence methods. Figure 5 shows a summary of available energy management methodologies. To maximize the power output, maximize storage systems or minimize electricity costs optimization techniques that can be implemented are: linear and non-linear programming, dynamic programming, as well as stochastic and robust programming [99].
Figure 5.
Energy management methodologies [99].
Ahmad Khan [99] presented stochastic dynamic programming methods where mixed integer linear programming (MILP) solves problems to provide a global optimum solution, where the objective functions are not differentiable. In case of mixed integer non-linear programming, simple operations are used to solve complex problems where the drawback of the iteration number is high. In dynamic programming, the problems can be split into a number of sub problems and the number of recursive functions is higher. While using GA optimization, it proved an adequate convergence speed where it is necessary to set criteria parameters. The particle swarm optimization (PSO) model proved high computational complexities. Xie et al. [100] proposed a model predictive control (MPC) for a stand-alone microgrid. This system proved its effectiveness in terms of its robustness against forecast error and forecast models under an over-estimation state. The objectives of the initial plan are to harvest more PV generation and reschedule the system.
A control approach for the optimum management of microgrids was proposed by petrollese et al. [101]. The weather and load forecasting uncertainties are taken into account for optimal generation scheduling (OGS) in long-term energy management and load forecast and disconnection of controllable loads are accounted. For short-term energy management, the model predictive controller (MPC) performs the role of power dispatching among internal sources and loads. The MPC development was formulated with objectives, such as deep discharging and over discharging protection of the battery bank, FC and electrolyzer limitation on power rate, and battery bank usage as a default energy storage system in case of expected event occurrences.
A novel energy management system (EMS) based on a biogeography-based optimization (BBO) algorithm was developed for a hybrid battery electric vehicle charging station [102]. The algorithm is used to optimize hydrogen generation and consumption and to control the energy flow between components. The BBO algorithm optimizes fitness function, and energy flow among the components is managed. The FC and an elctrolyzer are there in the EMS, designed to optimize the generation and repositioning costs. The EMS is designed to calculate the expected lifetime, and equivalent operation hours and power limits are calculated for charging and discharging. The EMS system is capable of modifying the battery usage and helps in extended lifetime when the battery charge is about to end. Economic savings are obtained, as there is a reduced number of component replacements in the microgrid.
An EMS with reserve scheduling to reduce the scheduled energy demand is presented in [103]. The probability density functions for the forecasting errors were assumed in the model, where the harmony search algorithm is implemented to minimize the operating costs. For optimal reserve and energy provision from the stored/generated hydrogen for the given year, hourly optimizations are performed. In this system, intermittency of renewables in penetration and reduced uncertainty costs are countered using a hydrogen storage system and prove the role of hydrogen storage installations in the future. The ANSYS FLUENT software platform is used to verify the feasibility and superiority of the island hybrid model of a hydrogen-based microgrid and the MATLAB/Simulink software platform is used to check the effectiveness of the system [104]. The Nautilus equidistant spiral vertical axis wind turbine ensures good stability and reduces the impact on the power grid. The power generation efficiency and hydrogen production efficiency were reduced due to the impact of bad weather and were not taken into consideration.
In [105], optimal power scheduling based on robust optimal EMS-MPC was implemented for the different generators, including deferrable and dump loads, the constraints, such as power balance, battery, diesel generator, renewable sources, and load, are considered; here, the demand and power losses are not considered. The techniques, such as non-linear programming and mixed integer programming techniques, are used for optimization. In [106], three operating strategies, such as continuous run mode, power sharing mode, and ON/OFF mode, are considered for EMS, where the optimization technique of linear and MLIP are proposed, with generation dispatch and battery considered as the constraints, it is found that degradation costs in the optimization models are not considered. In [107], the constraints, such as DC/AC power, load availability, and distributed generators power, are considered with the implemented optimization technique of mixed integer non-linear programming. In the system, emission cost of distributed generation and battery storage systems are not taken into account and were addressed as drawbacks.
The objective of the energy internet is to bring some of the most cutting-edge characteristics of the internet to the power system so that any rightful subject can have unrestricted access to it and effectively exchange data and energy with other subjects. Additional intelligent devices were included into current energy systems as a result of the development of edge cloud computing, which adds to the difficulty of energy management issues in energy internet situations [108]. In [109], with the PSO algorithm implemented in the combination of two optimal storage energy units where the computation time was found to be less than GA, the constraints were generators power, power exchange with the grid, storage units charge/discharge, and supply/demand balance, and it was noted that conventional generator emission cost was not considered. In [110], the PSO variant new algorithm with Gaussian mutation was implemented with constraints, such as active power, voltage, and current, and found drawbacks, such as emissions, generation, and power losses, were not considered. In [111], to minimize the operational cost of a microgrid, a two-layer control model was implemented with an artificial bee colony, where the constraints considered were power balance, dispatchable/non-dispatchable resources and storage elements, and the drawbacks were found to be emission cost and complex formulation. In [112], fuzzy logic grey wolf optimization implemented with the size of the energy storage in the battery and generation plan considerations, where generator power, balance in power, and battery load were the constraints, and it is stated that the degradation cost of the battery was not considered. In [113], an energy hub model for the optimization of a multi career microgrid was discussed with PSO and an evolutionary algorithm, with constraints on transformer voltage and power balance and the drawbacks found that deterministic conditions assumed are limited. In [114], dynamic pricing and demand side management were considered for energy management planning with an artificial fish swarm optimization technique and it was found that the degradation cost of the battery needed to be focused.
In [115], operation cost, reliability, and impact of environment were considered with PSO and the degradation cost of the battery was to be taken into account. In [116], the constraints, such as power balance, distributed generator generation limits, and storage limits, were verified for optimized power exchange with the grid and the generators and set points for the battery with usage of the bacterial foraging algorithm. In [117], the forecast information dependency reduction and battery models were compared using a mixed-integer non-linear programming technique. The author’s support for the battery life time prediction was missing and the constraints considered were charge flow, generators dispatch, programming generator on/off, and batteries charge/discharge. In [118], a management system used in microgrids set different limits for the state of charge (SOC) of the batteries’ bank, where dynamic rules were used for optimization techniques and found that battery degradation and cost were not considered. The energy management component organizes and optimizes the flow of energy among energy users, the utility grid, and distributed energy resources by reducing the overall cost of energy purchasing, while taking into account various hourly energy pricing plans. Additionally, energy management guarantees that users’ hourly power needs are satisfied and that energy in the ESS is adequately controlled to prevent severe battery discharge [119]. In [120], multi agent optimization techniques, used for real time management of energy storage, were used for power mismatch, optimally with the constraints for load scheduling, power balance, battery charging/discharging, and battery ageing prediction. The comparison of various energy management system topologies is illustrated in Table 3. It shows that the greedy energy management strategy is a good control method for renewable integration in HMG
Table 3.
Comparison of various energy management system topologies.
6. Hydrogen Energy Integration in HMG
The establishment of an HSS to modernize separate HMG systems with a bidirectional converter for smooth integration of renewable energy, power transmission, and harmonic current reduction is the focus of this study. For this case study, the modelling of HMG for lagging and NL load is taken into account. The solar energy system, wind energy, hydrogen energy, batteries, and ultracapacitors with linear and NL demands are included in the DC power grid. The BAC functions as an inverting form and a rectifying phase to supply a grid system with consistent, uninterrupted electricity. The following standards can be followed when developing this structure. The non-saturated linear inductance is only kept in the filter part on the AC side, and the grid voltage is always kept in a steady state with three phases. Additionally, the optimal power electronic controls offered by the bidirectional converter unit eliminate the switching losses [121].
6.1. Modelling of HMG
In the HMG, renewable sources of energy become ever more cost-effective, secure, and clean. PVs, wind energy, and hydrogen energy are forms of renewable energy sources for this study. The PV, hydrogen energy, wind turbine, batteries storage facility, and integrated load are the five key components of this strategy. The whole set of component properties may be quickly discovered during the modelling phase. Through this modelling, the performance forecast is achieved. Either the probabilistic technique or the deterministic technique validates the entire performance of the modelling.
6.1.1. PV System
Due to their widespread accessibility, solar PV systems play a significant part in renewable energy development. The maximum power was attained as a result of variations in the sun’s solar irradiance. The following equation represents the modelling of the solar PV system [122].
where Vdc = normalized value of the open-circuit voltage Voc with respect to the thermal voltage and Isc0 = short-circuit current of the PV module under the standard solar irradiance.
The thermal voltage is written as,
6.1.2. Wind Turbine
The present wind modelling is discussed in the literature in order to boost the production of wind energy, wind plant construction, and tip speed ratio. The following equations depict the connection between wind output power and torque [123,124].
The NL variable is represented by the equation below [122],
where
The type of wind turbine determines the values of constants C1–C6.
6.1.3. Hydrogen Energy
The HSS functions as an energy storage device used with RESs during times of energy integration. An electrochemical component called the electrolyzer converts extra renewables into hydrogen, which is then stored in hydrogen tanks. In the absence of downtime, such hydrogen is converted into energy at the DC bus using the fuel cell [125,126].
At time t, the fuel cell’s acquired energy EFC is expressed in (8),
The electrochemical electrolyzer’s hydrogen output is represented in (9) [127],
The hydrogen within the tank is replenished in accordance with the load needs when the renewable energy generated by the hybrid PV/WT cannot fulfil the demand [128].
Finding the right amount of hydrogen tanks, FC output power, and total electrolyzers will help to reduce the levelized cost of energy, which will reduce the overall cost. The electrolyzer separates water to highly pure oxygen and hydrogen by an electrochemical reaction. Figure 6a depicts the electrolyzer’s characteristic curve as a consequence of current and operational temperature. The relation between reference current and voltage is described by the following expression [129]:
Figure 6.
(a) Electrolytic characteristics and (b) fuel cell characteristics.
The Nernst equation is the primary relationship utilized to describe the electrical activity of the electrolyzer or FC:
The fuel cell’s characteristic curve at a 50 °C operating temperature is shown in Figure 6b. By using a heat balance of the generator, the operating temperature of the fuel cell is calculated [130].
6.2. Control Scheme
In order to determine actual and reactive power, the bidirectional converter unit uses a combined proportional and integral control [131]. The real and reactive power is estimated in the following expressions:
The main responsibilities of the BAC are to maintain voltage stability, enable bidirectional power, and maintain the balance power in the HMG [132]. The droop characteristics are used to compute the relationship between transmitting actual power and voltage.
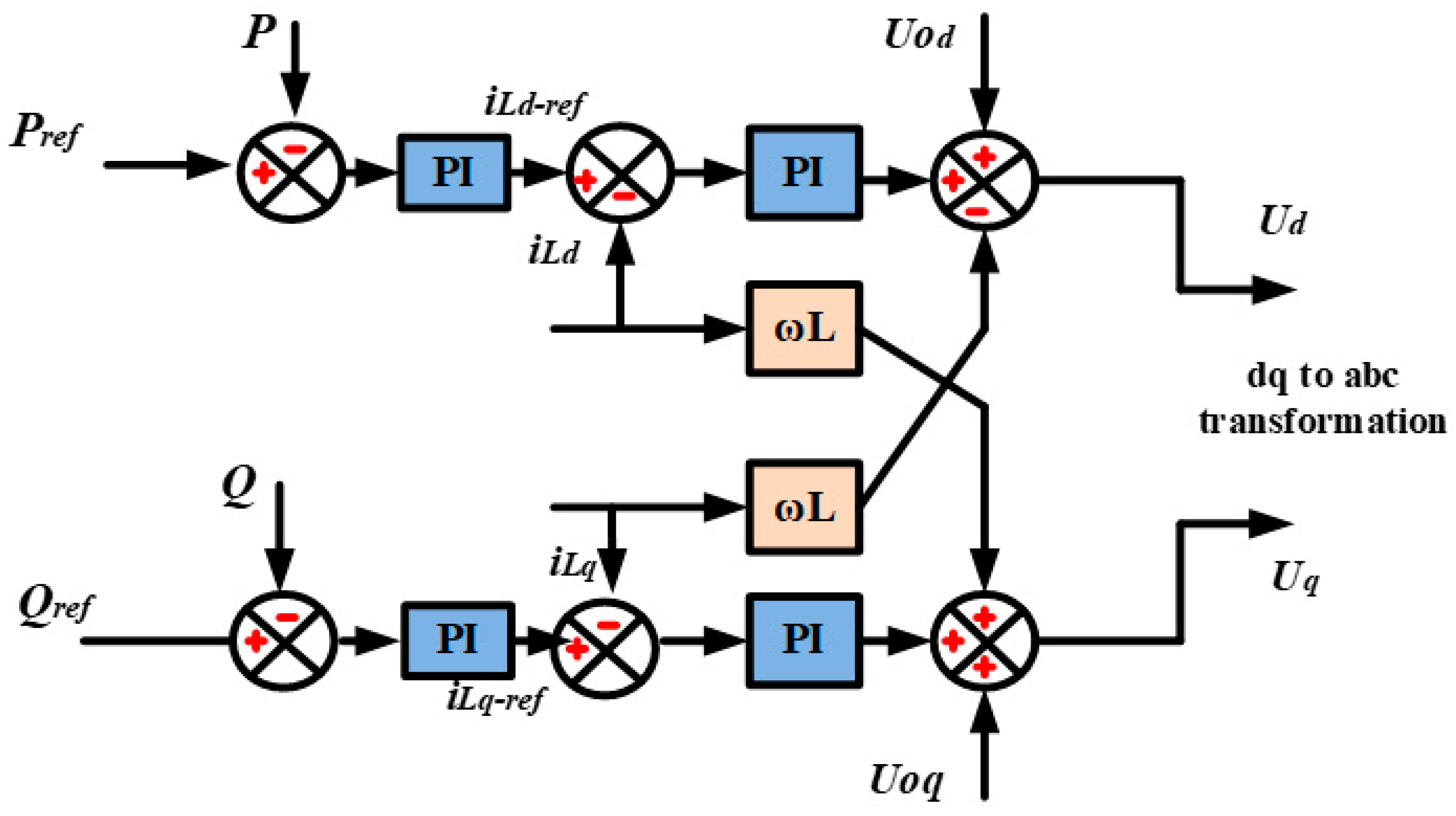
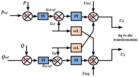
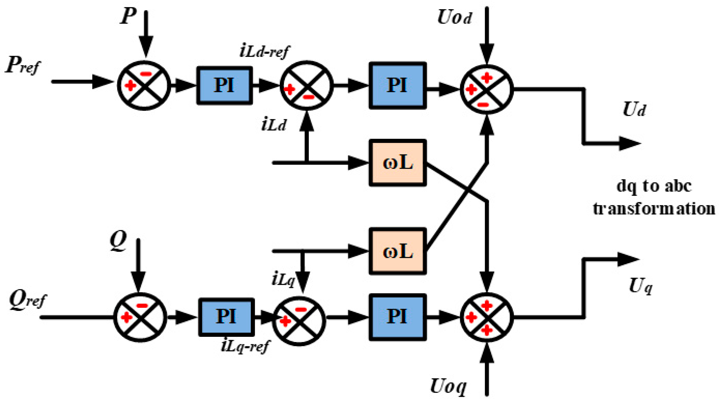
A double-loop control is used in the optimized control mechanism. A power loop that controls the flow of actual electricity is provided by the outer loop. The PI controller enables current measurement without static fluctuations in what is known as the inner loop. The BAC system control layout in HMG is shown in Figure 7. The BAC determines the reference value by sensing the DC link voltage. It is possible to write the BAC instantaneously with both active and reactive power.
Figure 7.
Control layout of BAC.
The decoupling equation is expressed as follows,
6.3. Simulation Results
The results of this study provide a roadmap for developing HHMG systems that include HSS during the course of the following two decades. The parameters of the HHMG are represented in Appendix A.
6.3.1. Scenario 1: Linear Load
The achievement of HHMG in this instance is regarded as a linear load. An 8 kVR load and a 5 kW are first fed in sequence by the grid. The standard bus is then connected to the microgrid by a breaker at 0.05 s. The simulated studies for grid voltage and grid current with lagging loads are shown in Figure 8. Figure 8a shows that even after establishing the microgrid for 0.05 s, the grid voltage of 320 V AC is kept at its stable equilibrium. The transient current is produced when linked to the microgrid at 0.05 s. The grid current achieves 45 A after 0.065 s and maintains high PQ which is shown in Figure 8b.
Figure 8.
(a) Grid voltage. (b) Grid current.
Figure 9 and Figure 10 depict how the solar and wind systems respond to the inclusion of renewable energy. Figure 9a shows an illustration of the DC-DC converter’s PWM pulses. The pulses are sent to the converter after 0.05 s. Due to the boost converter, the input of 200 V is increased to 400 V, which is represented in Figure 9b. Figure 10a displays the output response to the wind system. The connecting of the HMG at 0.05 s causes the wind generator to reach its maximum output. Figure 10b shows the voltage and current of DC bus waveforms.
Figure 9.
(a) PWM pulse. (b) Converter input and output voltage of PV.
Figure 10.
(a) Power output of wind turbine. (b) DC bus voltage and current from wind source.
Figure 11 illustrates the simulation response for overall grid and load side reliability for lagging load. Figure 11a displays the phase voltage and current on the load side. It demonstrates that even after connecting the HMG, the phase voltage and current stay in synchronization. It demonstrates that the intended BAC keeps synchronism both before and after attaching the HMG. Figure 11b displays the voltage and current response for the single-phase grid. It claims that while linked to the HMG at 0.05 s, the grid current cannot keep the synchronization. The performance of the proposed BAC allows the grid current to retain synchronization after a brief change.
Figure 11.
(a) Phase voltage and current of grid. (b) Load voltage and current.
The described method’s DC link voltage waveform, where the input is powered by sun, wind, and hydrogen, is shown in Figure 12a. It maintains a steady 1000 V DC from 0.065 s after joining the HMG. Figure 12b depicts the reaction of the grid’s active and reactive power both before and after the addition of the microgrid to the common bus. The AC sub grid uses greater loads from 0 to 0.05 s, consuming 7996 W of reactive electricity, whereas the DC grid did not use any loads. The 8 KVAR load is included into this model after 0.05 s. The reactive power in this instance dropped from 7996 W to 856.2 W. As a result, the described BAC reduces the reactive power usage by over 90.3% after 0.65 s. The converter operates in rectifying mode at this intersection. At the load side, the converter transmits from a 5 KW to 30 KW AC grid.
Figure 12.
(a) DC bus voltage. (b) Active and reactive power.
6.3.2. Scenario 2: NL load
With a three-phase uncontrollable AC-DC converter and the parameters L = 0.1 H, C = 600 µF, and R = 15 Ω, HMG’s performance is seen in this circumstance as a non-linear load. Harmonics are introduced to the load on the source side while integrating the non-linear load.
Figure 13 illustrates the simulated response of the load current and load voltage for a non-linear load. The slight increase in voltage can be seen at 0.05 s in Figure 13a. The HMG is then added after 0.05 s. The estimated BAC kept stability. Figure 13b shows how the load current’s performance changes when harmonics are introduced into the grid. Figure 14a displays the phase voltage and current on the load side. It demonstrates that even after connecting the HMG, the phase voltage and current remain in synchronism. The introduction of harmonics causes a tiny variation in the grid current’s current form. Figure 14b displays the voltage and current response for the single-phase grid. It suggests that while connecting the HMG at 0.05 s, the grid current is not kept in synchrony. The obtained results demonstrate that even after connecting the non-linear load, the suggested converter keeps its synchronism.
Figure 13.
(a) Load voltage. (b) Load current.
Figure 14.
(a) single phase load voltage and current. (b) Grid voltage and current.
The grid’s active and reactive power waveforms are depicted in Figure 15a. The AC sub grid uses a non-linear load with a 12.9 KW reactive power from 0 to 0.05 s. The zoomed version of Figure 15a for studying the reactive power data is shown in Figure 15b. In this instance, the 12.9 KW reactive power was decreased to 1.349 KW. As a result, employing the recommended BAC, the reactive power consumption is decreased after 0.65 s by 89.54% in hydrogen-based HMG.
Figure 15.
(a) Active and reactive power. (b) Zoom view of Figure 15a.
7. Future Aspects
Hydrogen offers significant potential as a future dream fuel, with numerous social, economic, and ecological impacts. It offers the long-term potential to diminish reliance on foreign oil while also lowering carbon and criterion emissions from mobility [133]. Recent research was undertaken on the generation of hydrogen using biofuel waste glycerol, water, and benzene, among other things. Initiatives are being undertaken to investigate new cost-effective hydrogen storage and transportation techniques [134].
The significant technological challenges must now be overcome in order to move away from a carbon-based energy system and toward a hydrogen-based market [135]. The cost of producing and delivering hydrogen must be cut significantly, and that is very crucial. It is necessary to create new generations of stationary and mobile hydrogen storage solutions [136]. Finally, it is necessary to lower the price of fuel cell as well as other hydrogen-based systems. The key marketplaces for hydrogen in the future are primarily influenced by four factors, such as the price of hydrogen in the future, the rate at which different technologies using hydrogen are developed, potential long-term limitations on greenhouse emissions, and the price of competing energy systems [137]. The primary objective of future studies will be to create cost-effective microgrid systems with hydrogen generation and CO2 data acquisition services by developing and applying novel evolutionary algorithms and microgrid infrastructure components that integrate sophisticated techniques and effective energy management tools [138].
Intensive R&D was necessary for the effective execution of the hydrogen strategy in order to solve the technical issues and advance the adoption of hydrogen as the future of environmentally friendly mobility. The bulk of hydrogen produced today comes from the conventional process of using fossil fuels, which produces a sizable amount of CO2. The main challenge is thus to produce hydrogen using renewable energy sources. This is a significant advancement toward green hydrogen [139]. There are not many charging stations in the world. Despite the fact that certain governments are ready to spend money on creating hydrogen charging stations, demand is still minimal, and these stations are now not adequately profitable [140]. When contrasted to hydrogen generated using natural gas, hydrogen made from renewable sources is extremely expensive and inefficient. Additionally, hydrogen is still extremely explosive. It needs to be stored and moved in large containers under pressure. Due to these difficulties, its use is still hindered in terms of security, logistics, and finances [141].
8. Discussion
Several things jump out from the results that were provided. If there is enough flexibility to export hydrogen, sustainable hydrogen plants that co-generate renewable energy and run hydrogen energy storage devices are operationally cost-effective. Combining the generation of renewable energy with an electrolyzer and a storage facility might result in a significant profit boost of 51% if a future hydrogen market emerges that functions similarly to the electricity market. Additionally, a system such as this one improves profitability by about 8% by taking advantage of price fluctuations in both the utility and hydrogen markets. This is in contrast to a system with no hydrogen growth markets but with energy modifications that are nearly lossless, which is an unrealistic scenario for the short term.
When the European Commission launched its EU hydrogen policy in 2020, it stated that hydrogen is a critical component to attaining the European Green Deal’s 2050 climatic neutrality objective and cited the obvious environmental benefits of hydrogen. The program aims to decarbonize hydrogen production by focusing on renewable energy sources, such as wind and solar energy, and expanding its use in sectors where hydrogen could replace coal.
The comparison of various energy conversion, converter configurations, and efficiency are represented in Table 4. From that, the EMS scheme, converter type, and control algorithm are decided for the smooth energy integration and converter efficiency HMGs. HMGs enable a flexible and effective electric grid by facilitating the integration of expanding deployments of distributed energy resources, such as PV, WT, and hydrogen energy. Utilizing local energy resources to meet local demand also reduces energy losses during transmission and distribution, further boosting the efficiency of the electrical delivery mechanism. The integration of renewable energy sources, including solar, wind, and hydrogen energy with HMG, is examined in this case study. The BAC is made for HMGs to keep the DC and AC grids’ power and voltage levels balanced. In practical applications, hydrogen is already acknowledged for its function as a facilitator in the decarbonization processes. Numerous elements, including processing, transportation, and storage, affect the hydrogen supply chain; as a consequence, local production and on-site transmission should be promoted. This transition to create electric energy is encouraged by the use of renewable resources, together with the use of electrolyzers to make hydrogen. Storage is the main obstacle to utilizing hydrogen as a fuel. Compressed gas, cryogenics, metal hydrides, and nanotubes are only a few of the suggested storage methods, and several research and development initiatives are in progress to find the most cost-effective and highly effective storage methods.
Table 4.
Comparison of renewable energy integration and multi energy conversions in HMG.
9. Conclusions
Technology for hydrogen and FCs advanced dramatically during the past fifteen years. Several crucial technological, financial, and infrastructure-related barriers still need to be overcome globally for FCs to realize their full potential. Policymakers who included hydrogen and FCs in the design of future power strategies already took into account the fact that fuel cells have a substantial amount of potential and can achieve competitive advantages for the technological, socioeconomic, and financial sectors, and help to address concerns from the perspective of the interdisciplinary sustainable development approach. In conclusion, hydrogen can be created from a number of non-renewable and renewable sources since it is a secondary power source. Particularly in the field of transportation, hydrogen is significant and may offer benefits over traditional fuels, such as gasoline, diesel, or oil. Storage is the main obstacle to utilizing hydrogen as a fuel. For the purpose of realizing the most affordable and highly effective storage methods, several works of research and development were discussed in this paper. In order to ensure the management of power in hydrogen-based HMG, the control approach for BAC is established in a case study. The hydrogen-based HMG can be operated with ease and accuracy because of the BAC’s plug-and-play functionality. The control technique decreases 90.3% and 89.4% of reactive power in the linear/NL load while incorporating the HMG in the developed framework. As a result, the control approach uses the BAC to guarantee power balance, enabling the microgrid to operate safely and dependably.
Future research on the development of storage and conversion hubs that integrate diverse storage technologies may be essential, particularly as we prepare to expand import/export hubs. This is while taking into account potential developments in the technologies of storage and conversion in HMG. In conclusion, this study provides a basic framework for new research paths on the best management of future HMG and can assist in laying the foundation for a society without carbon emissions.
Author Contributions
Conceptualization, S.K.R.; methodology, S.K.R.; investigation, G.D. and S.V.; writing—original draft preparation, S.K.R. and I.V.; writing—review and editing, S.K.R.; resources, A.A.; visualization and administration, I.V. and S.V.; funding acquisition, A.A. The published version of the work has been reviewed and approved by all authors. All authors have read and agreed to the published version of the manuscript.
Funding
This work was funded by under the Research Groups Funding program grant code (NU/RG/SERC/11/2).
Institutional Review Board Statement
Not applicable.
Informed Consent Statement
Not applicable.
Data Availability Statement
Not applicable.
Acknowledgments
The authors are thankful to the Deanship of Scientific Research at Najran University for funding this work under the Research Groups Funding program grant code (NU/RG/SERC/11/2). The authors would also like to express their sincere gratitude to Sri Krishna College of Technology, Coimbatore, India and the Vellore Institute of Technology, India for providing technical inputs and guidance.
Conflicts of Interest
There are no conflict of interest declared by the authors.
Abbreviations
| BAC | Bidirectional AC-DC converter |
| CAES | Compressed air energy storage |
| CGHS | Compressed gas hydrogen storage |
| CCHS | Cryo-compressed hydrogen storage |
| DG | Distributed energy |
| DRC | Droop control |
| EMS | Energy management system |
| ESS | Energy storage systems |
| FC | Fuel cell |
| GA | Genetic algorithm |
| HMG | Hybrid microgrid |
| HSS | Hydrogen storage system |
| HST | Hydrogen storage technologies |
| LHS | Liquid hydrogen storage |
| MILP | Mixed integer linear programming |
| MPC | Model predictive controller |
| NREL | National renewable energy laboratory |
| NTPC | National thermal power corporation |
| NL | Non-linear |
| OGS | Optimal generation scheduling |
| PSO | Particle swarm optimization |
| PV | Photo voltaics |
| PPA | Power purchase agreements |
| PQ | Power quality |
| RES | Renewable energy sources |
| SETO | Solar energy technologies office |
| SOC | State of charge |
| USDOE | United states department of energy |
| WT | Wind turbine |
Nomenclature
| K | Boltzmann constant |
| Vc0 | Open-circuit voltage, |
| Ideality factor | |
| T | PV module temperature |
| q | Charge |
| α | Photocurrent-producing factor |
| β | Dimensionless PV module coefficient |
| γ | Factor taking into account all non-linear effect of temperature |
| Pitch angle | |
| Air density | |
| Cp | Power coefficient |
| Tip Speed ratio | |
| R | Blade’s radium, |
| A | Blade’s area |
| ω0 | Optimal tip speed ratio |
| λ0 | Optimal power |
| ήfc | Fuel cell efficiency and |
| Consumed hydrogen level | |
| EFC | Fuel cell’s acquired energy |
| H2form | Electrochemical electrolyzer’s hydrogen output |
| Pele | Input power from renewables |
| ήele | Efficiency of electrolyzer |
| H2t | Hydrogen within the tank |
| PR | Real power |
| QR | Reactive power. |
| Kp | proportional constant |
| Ki | Integral constant of current loops |
| Reference inductance current for the d axis | |
| reference inductance current for the q axis |
Appendix A
Table A1.
HMG Parameters.
Table A1.
HMG Parameters.
| Variables | Values |
|---|---|
| Grid voltage | 415 V |
| Grid frequency | 50 Hz |
| Load active and reactive power | 5 KW, 800 VAR |
| Line resistance | 0.02 Ω |
| Line inductance | 0.06 mH |
| PV system | |
| Total modules (series and parallel per string). | 12.68 |
| Cells per module | 96 |
| Irradiance | 1000 W/m2 |
| WT system | |
| Wind speed | 13 m/s |
| Nominal power | 8.5 kW |
| Filter inductance | 0.6 µH |
| Filter capacitance | 2400 µF |
| Pitch gain | 600 |
| Hydrogen Energy system | |
| Power | 4 KW |
| Number of eletrolyzer | 1 |
| Controller | |
| Upper boundary | 400 |
| Lower boundary | −400 |
| Proportional and integral constant | 700, 1100 |
References
- Guilbert, D.; Vitale, G. Hydrogen as a Clean and Sustainable Energy Vector for Global Transition from Fossil-Based to Zero-Carbon. Clean Technol. 2021, 3, 881–909. [Google Scholar] [CrossRef]
- World Energy Outlook 2019. Available online: https://www.iea.org/reports/world-energy-outlook-2019 (accessed on 31 August 2022).
- Solar Futures Study. Available online: https://www.energy.gov/eere/solar/solar-futures-study (accessed on 31 August 2022).
- Iris, Ç.; Lam, J.S.L. A review of energy efficiency in ports: Operational strategies, technologies and energy management systems. Renew. Sustain. Energy Rev. 2019, 112, 170–182. [Google Scholar] [CrossRef]
- Kumtepeli, V.; Zhao, Y.; Naumann, M.; Tripathi, A.; Wang, Y.; Jossen, A.; Hesse, H. Design and analysis of an aging-aware energy management system for islanded grids using mixed-integer quadratic programming. Int. J. Energy Res. 2019, 43, 4127–4147. [Google Scholar] [CrossRef]
- Del Granado, P.C.; Pang, Z.; Wallace, S.W. Synergy of smart grids and hybrid distributed generation on the value of energy storage. Appl. Energy 2016, 170, 476–488. [Google Scholar] [CrossRef] [Green Version]
- Amara, S.; Toumi, S.; Salah, C.B.; Saidi, A.S. Improvement of techno-economic optimal sizing of a hybrid off-grid micro-grid system. Energy 2021, 233, 121166. [Google Scholar] [CrossRef]
- Islam, A.; Teo, S.H.; Awual, M.R.; Taufiq-Yap, Y.H. Improving the hydrogen production from water over MGO promoted Ni-Si/CNTs photocatalyst. J. Clean. Prod. 2019, 238, 117887. [Google Scholar] [CrossRef]
- Slam, A.; Teo, S.H.; Awual, M.R.; Taufiq-Yap, Y.H. Ultrathin Assembles of Porous Array for Enhanced H2 Evolution. Sci. Rep. 2020, 10, 2324. [Google Scholar]
- Islam, A.; Teo, S.H.; Awual, M.R.; Taufiq-Yap, Y.H. Assessment of clean H2 energy production from water using novel silicon photocatalyst. J. Clean. Prod. 2020, 244, 118805. [Google Scholar] [CrossRef]
- Staffell, I.; Scamman, D.; Abad, A.V.; Balcombe, P.; Dodds, P.E.; Ekins, P.; Ward, K.R. The role of hydrogen and fuel cells in the global energy system. Energy Environ. Sci. 2019, 12, 463–491. [Google Scholar] [CrossRef] [Green Version]
- Argyrou, M.C.; Christodoulides, P.; Kalogirou, S.A. Energy storage for electricity generation and related processes, Technologies appraisal and grid scale applications. Renew. Sustain. Energy Rev. 2018, 94, 804–821. [Google Scholar] [CrossRef]
- Chevalier, V.; Martin, J.; Peraltab, D.; Rousseyb, A.; Tardif, F. Performance of HKUST-1Metal-Organic Framework for a VOCs mixture adsorption at realistic. Environ. Sci. 2018, 67, 171–178. [Google Scholar]
- Hydrogen Storage. Available online: https://www.energy.gov/eere/fuelcells/hydrogen-storage (accessed on 12 August 2022).
- Zhao, L.; Zhao, Q.; Zhang, J.; Zhang, S.; He, G.; Zhang, M.; Su, T.; Liang, X.; Huang, C.; Yan, W. Review on studies of the emptying process of compressed hydrogen tanks. Int. J. Hydrogen Energy 2021, 46, 22554–22573. [Google Scholar] [CrossRef]
- Abohamzeh, E.; Salehi, F.; Sheikholeslami, M.; Abbassi, R.; Khan, F. Review of hydrogen safety during storage, transmission, and applications processes. J. Loss Prev. Process Ind. 2021, 72, 104569. [Google Scholar] [CrossRef]
- Schrotenboer, A.H.; Veenstra, A.A.; uit het Broek, M.A.; Ursavas, E. A Green Hydrogen Energy System, Optimal control strategies for integrated hydrogen storage and power generation with wind energy. Renew. Sustain. Energy Rev. 2022, 168, 112744. [Google Scholar] [CrossRef]
- Available online: https://www.shell.nl/media/venster/eerder-verschenen/hydrogen-makes-progression.html# (accessed on 5 July 2022).
- Available online: https://www.ntpc.co.in/en/media/press-releases/details/ntpc-awards-india%E2%80%99s-first-green-hydrogen-microgrid-project (accessed on 15 August 2022).
- Ramu, S.K.; Irudayaraj, G.C.R.; Paramasivam, S.K.; Murugesan, R.; Muthusamy, S.; Sundararajan, S.C.M.; Meena, R.S. A simplified methodology for renewable energy integration and harmonic current reduction in hybrid micro grid. Energy Sources Part A Recovery Util. Environ. Eff. 2021, 1–23. [Google Scholar] [CrossRef]
- Ghadrdan, M.; Peyghami, S.; Mokhtari, H.; Blaabjerg, F. Condition Monitoring of DC-link Electrolytic Capacitor in Back-to-Back Converters Based on Dissipation Factor. IEEE Trans. Power Electron. 2022, 37, 9733–9744. [Google Scholar] [CrossRef]
- Pandiyan, P.; Sitharthan, R.; Saravanan, S.; Prabaharan, N.; Tiwari, M.R.; Chinnadurai, T.; Devabalaji, K.R. A comprehensive review of the prospects for rural electrification using stand-alone and hybrid energy technologies. Sustain. Energy Technol. Assess. 2022, 52, 102155. [Google Scholar] [CrossRef]
- Xia, Y.; Wei, M.; Peng, Y.; Tang, J. Decentralized multi-time scale power control for a hybrid AC/DC microgrid with multiple subgrids. IEEE Trans. Power Electron. 2017, 33, 4061–4072. [Google Scholar] [CrossRef]
- Wu, W.; Taipabu, M.I.; Chang, W.C.; Viswanathan, K.; Xie, Y.L.; Kuo, P.C. Economic dispatch of torrefied biomass polygeneration systems considering power/SNG grid demands. Renew. Energy 2022, 196, 707–719. [Google Scholar] [CrossRef]
- Jithin, S.; Rajeev, T. Novel adaptive power management strategy for hybrid AC/DC microgrids with hybrid energy storage systems. J. Power Electron. 2022, 1–13. [Google Scholar] [CrossRef]
- Jani, A.; Karimi, H.; Jadid, S. Multi-time scale energy management of multi-microgrid systems considering energy storage systems: A multi-objective two-stage optimization framework. J. Energy Storage 2022, 51, 104554. [Google Scholar] [CrossRef]
- Mulder, M.; Perey, P.L.; Moraga, J.L. Outlook for a Dutch Hydrogen Market: Economic Conditions and Scenarois; Centre for Energy Economics Research, University of Groningen: Groningen, The Netherlands, 2019. [Google Scholar]
- Kreeft, G. Legislative and Regulatory Framework for Power-to-Gas in Germany, Italy and Switzerland Groningen; STORE&GO Project: Groningen, The Netherlands, 2018; pp. 22–28. [Google Scholar]
- Słotwiński, S. The Significance of the “Power Purchase Agreement” for the Development of Local Energy Markets in the Theoretical Perspective of Polish Legal Conditions. Energies 2022, 15, 6691. [Google Scholar] [CrossRef]
- Mahdi, D.S.; Al-Khdheeawi, E.A.; Yuan, Y.; Zhang, Y.; Iglauer, S. Hydrogen underground storage efficiency in a heterogeneous sandstone reservoir. Adv. Geo-Energy Res. 2021, 5, 437. [Google Scholar] [CrossRef]
- Yue, M.; Lambert, H.; Pahon, E.; Roche, R.; Jemei, S.; Hissel, D. Hydrogen energy systems: A critical review of technologies, applications, trends and challenges. Renew. Sustain. Energy Rev. 2021, 146, 111180. [Google Scholar] [CrossRef]
- Dawood, F.; Anda, M.; Shafiullah, G.M. Hydrogen Production for Energy: An Overview. Int. J. Hydrogen Energy 2020, 45, 3847–3869. [Google Scholar] [CrossRef]
- Najjar, Y.S. Hydrogen safety: The road toward green technology. Int. J. Hydrogen Energy 2013, 38, 10716–10728. [Google Scholar] [CrossRef]
- Parra, D.; Valverde, L.; Pino, F.J.; Patel, M.K. A review on the role, cost and value of hydrogen energy systems for deep decarbonisation. Renew. Sustain. Energy Rev. 2019, 101, 279–294. [Google Scholar] [CrossRef]
- Ji, M.; Wang, J. Review and comparison of various hydrogen production methods based on costs and life cycle impact assessment indicators. Int. J. Hydrogen Energy 2021, 46, 38612–38635. [Google Scholar] [CrossRef]
- Lane, B.; Reed, J.; Shaffer, B.; Samuelsen, S. Forecasting renewable hydrogen production technology shares under cost uncertainty. Int. J. Hydrogen Energy 2021, 46, 27293–27306. [Google Scholar] [CrossRef]
- Steinberger-Wilckens, R.; Radcliffe, J.; Al-Mufachi, N.; Abad, A.V. The Role of Hydrogen in Delivering Energy, H2FC Supergen. 2017. Available online: http://www.h2fcsupergen.com/wp-content/uploads/2015/08/IMPJ5213-H2FC-Supergen-Energy-Security-032017-WEB (accessed on 5 September 2022).
- Available online: https://www.energy.gov/eere/fuelcells/fuel-cells (accessed on 5 September 2022).
- Edathil, S.L.; Singh, S.P. ACO and CS-based hybrid optimisation method for optimum sizing of the SHES. IET Renew. Power Gener. 2019, 13, 1789–1801. [Google Scholar] [CrossRef]
- Abo-Elyousr, F.K.; Elnozahy, A. Bi-objective economic feasibility of hybrid micro-grid systems with multiple fuel options for islanded areas in Egypt. Renew. Energy 2018, 128, 37–56. [Google Scholar] [CrossRef]
- Diab AA, Z.; Sultan, H.M.; Mohamed, I.S.; Kuznetsov, O.N.; Do, T.D. Application of different optimization algorithms for optimal sizing of PV/wind/diesel/battery storage stand-alone hybrid microgrid. IEEE Access 2019, 7, 119223–119245. [Google Scholar] [CrossRef]
- Arévalo, P.; Benavides, D.; Lata-García, J.; Jurado, F. Energy control and size optimization of a hybrid system (photovoltaic-hidrokinetic) using various storage technologies. Sustain. Cities Soc. 2020, 52, 101773. [Google Scholar] [CrossRef]
- Mahani, K.; Liang, Z.; Parlikad, A.K.; Jafari, M. A Joint optimization of operation and maintenance policies for solar-powered microgrids. IEEE Trans. Sustain. Energy 2018, 10, 833–842. [Google Scholar] [CrossRef] [Green Version]
- Cai, G.; Kong, L. Techno-economic analysis of wind curtailment/hydrogen production/fuel cell vehicle system with high wind penetration in China. CSEE J. Power Energy Syst. 2017, 3, 44–52. [Google Scholar] [CrossRef]
- El-Taweel, N.A.; Khani, H.; Farag, H.E. Hydrogen storage optimal scheduling for fuel supply and capacity-based demand response program under dynamic hydrogen pricing. IEEE Trans. Smart Grid 2018, 10, 4531–4542. [Google Scholar] [CrossRef]
- Coppitters, D.; De Paepe, W.; Contino, F. Robust design optimization and stochastic performance analysis of a grid-connected photovoltaic system with battery storage and hydrogen storage. Energy 2020, 213, 118798. [Google Scholar] [CrossRef]
- Luo, F.; Loo, K.H.; Lai, Y.M. A hybrid AC/DC microgrid control scheme with voltage-source inverter-controlled interlinking converters. In Proceedings of the 2016 18th European Conference on Power Electronics and Applications IEEE, Karlsruhe, Germany, 5–9 September 2016; pp. 1–8. [Google Scholar]
- Majumder, R.A. hybrid microgrid with DC connection at back to back converters. IEEE Trans. Smart Grid 2013, 5, 251–259. [Google Scholar] [CrossRef]
- Li, P.; Guo, T.; Li, Y.; Han, X.; Wang, P.; Li, X.; Wang, Z. An adaptive coordinated optimal control method for parallel bidirectional power converters in AC/DC Hybrid Microgrid. Int. J. Electr. Power Energy Syst. 2021, 126, 106596. [Google Scholar] [CrossRef]
- Toghani Holari, Y.; Taher, S.A.; Mehrasa, M. Power management using robust control strategy in hybrid microgrid for both grid-connected and Islanding modes. J. Energy Storage 2021, 39, 102600. [Google Scholar] [CrossRef]
- Tian, H.; Wen, X.; Li, Y.W. A harmonic compensation approach for interlinking voltage source converters in hybrid ac-dc microgrids with low switching frequency. CSEE J. Power Energy Syst. 2018, 4, 39–48. [Google Scholar] [CrossRef]
- Liu, Q.; Li, Y. An inductive filtering-based parallel operating transformer with shared filter for power quality improvement of Wind Farm. IEEE Trans. Power Electron. 2020, 35, 9281–9290. [Google Scholar] [CrossRef]
- Kumar, R.S.; Raj, I.G.C.; Saravanan, S.; Leninpugalhanthi, P.; Pandiyan, P. Impact of power quality issues in residential systems. In Power Quality in Modern Power Systems; Academic Press: Cambridge, MA, USA, 2021; pp. 163–191. [Google Scholar]
- Wang, J.; Dong, C.; Jin, C.; Lin, P.; Wang, P. Distributed uniform control for parallel bidirectional interlinking converters for resilient operation of hybrid AC/DC Microgrid. IEEE Trans. Sustain. Energy 2021, 13, 3–13. [Google Scholar] [CrossRef]
- Mohseni, S.; Brent, A.C. Economic viability assessment of sustainable hydrogen production, storage, and utilisation technologies integrated into on-and off-grid micro-grids: A performance comparison of different meta-heuristics. Int. J. Hydrogen Energy 2020, 45, 34412–34436. [Google Scholar] [CrossRef]
- Abdelshafy, A.M.; Jurasz, J.; Hassan, H.; Mohamed, A.M. Optimized energy management strategy for grid connected double storage (pumped storage-battery) system powered by renewable energy resources. Energy 2020, 192, 116615. [Google Scholar] [CrossRef]
- Bukar, A.L.; Tan, C.W.; Lau, K.Y. Optimal sizing of an autonomous photovoltaic/wind/battery/diesel generator microgrid using grasshopper optimization algorithm. Solar Energy 2019, 188, 685–696. [Google Scholar] [CrossRef]
- Li, Y.; Yang, Z.; Zhao, D.; Lei, H.; Cui, B.; Li, S. Incorporating energy storage and user experience in isolated microgrid dispatch using a multi-objective model. IET Renew. Power Gener. 2019, 13, 973–981. [Google Scholar] [CrossRef] [Green Version]
- Younas, M.; Shafique, S.; Hafeez, A.; Javed, F.; Rehman, F. An overview of hydrogen production: Current status, potential, and challenges. Fuel 2022, 316, 123317. [Google Scholar] [CrossRef]
- Sharma, S.; Ghoshal, S.K. Hydrogen the future transportation fuel: From production to applications. Renew. Sustain. Energy Rev. 2015, 43, 1151–1158. [Google Scholar] [CrossRef]
- Cao, Y.; Hani, E.H.B.; Mansir, I.B.; Diyoke, C.; Dhahad, H.A. Exergy and exergo-economic investigation of a novel hydrogen production and storage system via an integrated energy system. Int. J. Hydrogen Energy 2022, 47, 26770–26788. [Google Scholar] [CrossRef]
- Qureshi, F.; Yusuf, M.; Kamyab, H.; Zaidi, S.; Khalil, M.J.; Khan, M.A.; Alam, M.A.; Masood, F.; Bazli, L.; Chelliapan, S.; et al. Current trends in hydrogen production, storage and applications in India: A review. Sustain. Energy Technol. Assess. 2022, 53, 102677. [Google Scholar] [CrossRef]
- Chandrasekar, M.; Gopal, P.; Kumar, C.R.; Geo, V.E. Effect of solar photovoltaic and various photovoltaic air thermal systems on hydrogen generation by water electrolysis. Int. J. Hydrogen Energy 2022, 47, 3211–3223. [Google Scholar] [CrossRef]
- Park, S.I.; Jung, S.M.; Kim, J.Y.; Yang, J. Effects of Mono-and Bifunctional Surface Ligands of Cu–In–Se Quantum Dots on Photoelectrochemical Hydrogen Production. Materials 2022, 15, 6010. [Google Scholar] [CrossRef] [PubMed]
- Dai, L.; Sun, F.; Fan, Q.; Li, H.; Yang, K.; Guo, T.; Fu, P. Carbon-based titanium dioxide materials for hydrogen production in water-methanol reforming: A review. J. Environ. Chem. Eng. 2022, 10, 107326. [Google Scholar] [CrossRef]
- Pushpalatha, N.; Naveenkumar, D.; Kishore, K.; Pravin, S.; Mohankumar, A. Vaccine Temperature Controller Equipment. In Proceedings of the 2022 8th International Conference on Smart Structures and Systems (ICSSS), Chennai, India, 21–22 April 2022; pp. 1–6. [Google Scholar]
- Hariharan, R.; Pushpalatha, N.; Rubikaa, M.; Jeeva, M.; Kunguma Divya, M.; Jayakumar, S. An Intelligence Gathering Cyborg Aided by the Internet of Things (IoT). In Proceedings of the 2022 8th International Conference on Smart Structures and Systems (ICSSS), Chennai, India, 21–22 April 2022; pp. 1–6. [Google Scholar]
- Arun, V.; Kannan, R.; Ramesh, S.; Vijayakumar, M.; Raghavendran, P.S.; Siva Ramkumar, M.; Anbarasu, P.; Sundramurthy, V.P. Review on Li-Ion Battery vs Nickel Metal Hydride Battery in EV. Adv. Mater. Sci. Eng. 2022, 2022, 7910072. [Google Scholar] [CrossRef]
- Yogeswari, B.; Khan, I.; Kumar, M.S.; Vijayanandam, N.; Devarani, P.A.; Anandaram, H.; Chaturvedi, A.; Misganaw, W. Role of Carbon-Based Nanomaterials in Enhancing the Performance of Energy Storage Devices: Design Small and Store Big. J. Nanomater. 2022, 2022, 4949916. [Google Scholar] [CrossRef]
- Gager, E.; Frye, M.; McCord, D.; Scheffe, J.; Nino, J.C. Reticulated porous lanthanum strontium manganite structures for solar thermochemical hydrogen production. Int. J. Hydrogen Energy 2022, 47, 31152–31164. [Google Scholar] [CrossRef]
- Milewski, J.; Kupecki, J.; Szczęśniak, A.; Uzunow, N. Hydrogen production in solid oxide electrolyzers coupled with nuclear reactors. Int. J. Hydrogen Energy 2021, 46, 35765–35776. [Google Scholar] [CrossRef]
- Taipabu, M.I.; Viswanathan, K.; Wu, W.; Hattu, N.; Atabani, A.E. A Critical review of the Hydrogen Production Biomass-based Feedstocks: Challenge, Solution, and Future Prospect. Process Saf. Environ. Prot. 2022, 164, 384–407. [Google Scholar] [CrossRef]
- Lee, S.M.; Xu, N.; Kim, S.S.; Li, A.; Grace, J.R.; Lim, C.J.; Schaadt, A. Palladium/ruthenium composite membrane for hydrogen separation from the off-gas of solar cell production via chemical vapor deposition. J. Membr. Sci. 2017, 541, 1–8. [Google Scholar] [CrossRef]
- Wu, W.; Pai, C.T.; Viswanathan, K.; Chang, J.S. Comparative life cycle assessment and economic analysis of methanol/hydrogen production processes for fuel cell vehicles. J. Clean. Prod. 2021, 300, 126959. [Google Scholar] [CrossRef]
- Tarhan, C.; Çil, M.A. A study on hydrogen, the clean energy of the future: Hydrogen storage methods. J. Energy Storage 2021, 40, 102676. [Google Scholar] [CrossRef]
- Zhang, F.; Zhao, P.; Niu, M.; Maddy, J. The survey of key technologies in hydrogen energy storage. Int. J. Hydrogen Energy 2016, 41, 14535–14552. [Google Scholar] [CrossRef]
- Mehrizi, M.Z.; Abdi, J.; Rezakazemi, M.; Salehi, E. A review on recent advances in hollow spheres for hydrogen storage. Int. J. Hydrogen Energy 2020, 45, 17583–17604. [Google Scholar] [CrossRef]
- Li, Q.; Lin, X.; Luo, Q.; Chen, Y.A.; Wang, J.; Jiang, B.; Pan, F. Kinetics of the hydrogen absorption and desorption processes of hydrogen storage alloys: A review. Int. J. Miner. Metall. Mater. 2022, 29, 32–48. [Google Scholar] [CrossRef]
- Aljafari, B.; Subramanian, V.; Indragandhi, V.; Rhanganath, V. Optimization of DC, AC, and Hybrid AC/DC Microgrid-Based IoT Systems: A Review. Energies 2022, 15, 6813. [Google Scholar] [CrossRef]
- Yamamura, T.; Nakanishi, T.; Lee, J.; Yamate, S.; Otomo, J. Design and Evaluation of Hydrogen Energy Storage Systems Using Metal Oxides. Energy Fuels 2022, 36, 9745–9756. [Google Scholar] [CrossRef]
- Barthélémy, H.; Weber, M.; Barbier, F. Hydrogen storage: Recent improvements and industrial perspectives. Int. J. Hydrogen Energy 2017, 42, 7254–7262. [Google Scholar] [CrossRef]
- Kothali, A.; Bhapkar, U.; Bhat, J. Finite element analysis of bursting pressure in FRP pressure vessel. Mater. Today Proc. 2022, 56, 2932–2937. [Google Scholar] [CrossRef]
- Matos, C.R.; Carneiro, J.F.; Silva, P.P. Overview of large-scale underground energy storage technologies for integration of renewable energies and criteria for reservoir identification. J. Energy Storage 2019, 21, 241–258. [Google Scholar] [CrossRef]
- He, C.; Yu, R.; Sun, H.; Chen, Z. Lightweight multilayer composite structure for hydrogen storage tank. Int. J. Hydrogen Energy 2016, 41, 15812–15816. [Google Scholar] [CrossRef]
- Moreno-Blanco, J.; Petitpas, G.; Espinosa-Loza, F.; Elizalde-Blancas, F.; Martinez-Frias, J.; Aceves, S.M. The storage performance of automotive cryo-compressed hydrogen vessels. Int. J. Hydrogen Energy 2019, 44, 16841–16851. [Google Scholar] [CrossRef]
- Yanxing, Z.; Maoqiong, G.; Yuan, Z.; Xueqiang, D.; Jun, S. Thermodynamics analysis of hydrogen storage based on compressed gaseous hydrogen, liquid hydrogen and cryo-compressed hydrogen. Int. J. Hydrogen Energy 2019, 44, 16833–16840. [Google Scholar] [CrossRef]
- Sakamoto, J.; Nakayama, J.; Nakarai, T.; Kasai, N.; Shibutani, T.; Miyake, A. Effect of gasoline pool fire on liquid hydrogen storage tank in hybrid hydrogen–gasoline fueling station. Int. J. Hydrogen Energy 2016, 41, 2096–2104. [Google Scholar] [CrossRef] [Green Version]
- Amrouche, S.O.; Rekioua, D.; Rekioua, T.; Bacha, S. Overview of energy storage in renewable energy systems. Int. J. Hydrogen Energy 2016, 41, 20914–20927. [Google Scholar] [CrossRef]
- Schönauer, A.-L.; Glanz, S. Hydrogen in future energy systems: Social acceptance of the technology and its large-scale infrastructure. Int. J. Hydrogen Energy 2022, 47, 12251–12263. [Google Scholar] [CrossRef]
- Miller, E.L.; Papageorgopoulos, D.; Stetson, N.; Randolph, K.; Peterson, D.; Cierpik-Gold, K.; Satyapal, S. US Department of energy hydrogen and fuel cells program: Progress, challenges and future directions. MRS Adv. 2016, 42, 2839–2855. [Google Scholar] [CrossRef]
- Rosen, M.A.; Koohi-Fayegh, S. The prospects for hydrogen as an energy carrier: An overview of hydrogen energy and hydrogen energy systems. Energy Ecol. Environ. 2016, 1, 10–29. [Google Scholar] [CrossRef] [Green Version]
- Bartela, Ł.; Ochmann, J.; Waniczek, S.; Lutyński, M.; Smolnik, G.; Rulik, S. Evaluation of the energy potential of an adiabatic compressed air energy storage system based on a novel thermal energy storage system in a post mining shaft. J. Energy Storage 2022, 54, 105282. [Google Scholar] [CrossRef]
- da Silva Lima, L.; Quartier, M.; Buchmayr, A.; Sanjuan-Delmás, D.; Laget, H.; Corbisier, D.; Dewulf, J. Life cycle assessment of lithium-ion batteries and vanadium redox flow batteries-based renewable energy storage systems. Sustain. Energy Technol. Assess. 2021, 46, 101286. [Google Scholar] [CrossRef]
- Hassan, I.A.; Ramadan, H.S.; Saleh, M.A.; Hissel, D. Hydrogen storage technologies for stationary and mobile applications: Review, analysis and perspectives. Renew. Sustain. Energy Rev. 2021, 149, 111311. [Google Scholar] [CrossRef]
- Atilhan, S.; Park, S.; El-Halwagi, M.M.; Atilhan, M.; Moore, M.; Nielsen, R.B. Green hydrogen as an alternative fuel for the shipping industry. Curr. Opin. Chem. Eng. 2021, 31, 100668. [Google Scholar] [CrossRef]
- Abo-Elyousr, F.K.; Guerrero, J.M.; Ramadan, H.S. Prospective hydrogen-based microgrid systems for optimal leverage via metaheuristic approaches. Appl. Energy 2021, 300, 117384. [Google Scholar] [CrossRef]
- Yang, H.; Li, Q.; Zhao, S.; Chen, W.; Liu, H. A hierarchical self-regulation control for economic operation of AC/DC hybrid microgrid with hydrogen energy storage system. IEEE Access 2019, 7, 89330–89341. [Google Scholar] [CrossRef]
- Ramu, S.K.; Irudayaraj, G.C.R.; Subramani, S.; Subramaniam, U. Broken rotor bar fault detection using Hilbert transform and neural networks applied to direct torque control of induction motor drive. IET Power Electron. 2020, 13, 3328–3338. [Google Scholar] [CrossRef]
- Ahmad Khan, A.; Naeem, M.; Iqbal, M.; Qaisar, S.; Anpalagan, A.A. compendium of optimization objectives, constraints, tools and algorithms for energy management in microgrids. Renew. Sustain. Energy Rev. 2016, 58, 1664–1683. [Google Scholar] [CrossRef]
- Xie, Y.; Ueda, Y.; Sugiyama, M. Greedy energy management strategy and sizing method for a stand-alone microgrid with hydrogen storage. J. Energy Storage 2021, 44, 103406. [Google Scholar] [CrossRef]
- De Oliveira-Assis, L.; García-Triviño, P.; Soares-Ramos, E.P.P.; Sarrias-Mena, R.; García- Vázquez, C.A.; Ugalde-Loo, C.E.; Fernández-Ramírez, L.M. Optimal energy management system using biogeography based optimization for grid-connected MVDC microgrid with photovoltaic, hydrogen system, electric vehicles and Z-source converters. Energy Convers. Manag. 2021, 248, 114808. [Google Scholar] [CrossRef]
- García, P.; Torreglosa, J.P.; Fernández, L.M.; Jurado, F.; Langella, R.; Testa, A. Energy management system based on techno economic optimization for microgrids. Electr. Power Syst. Res. 2016, 131, 49–59. [Google Scholar] [CrossRef]
- Konstantinopoulos, S.A.; Anastasiadis, A.G.; Vokas, G.A.; Kondylis, G.P.; Polyzakis, A. Optimal management of hydrogen storage in stochastic smart microgrid operation. Int. J. Hydrogen Energy 2018, 43, 490–499. [Google Scholar] [CrossRef]
- Li, Z.; Dong, H.; Hou, S.; Cheng, L.; Sun, H. Coordinated control scheme of a hybrid renewable power system based on hydrogen energy storage. Energy Rep. 2021, 7, 5597–5611. [Google Scholar] [CrossRef]
- Taha, M.S.; Mohamed, Y.A.R.I. Robust MPC-based energy management system of a hybrid energy source for remote communities. In Proceedings of the IEEE Electrical Power and Energy Conference (EPEC), Ottawa, ON, Canada, 12–14 October 2016; pp. 12–14. [Google Scholar]
- Sukumar, S.; Mokhlis, H.; Mekhilef, S.; Naidu, K.; Karimi, M. Mix-mode energy management strategy and battery sizing for economic operation of grid-tied microgrid. Energy 2017, 118, 1322–1333. [Google Scholar] [CrossRef]
- Helal, S.A.; Najee, R.J.; Hanna, M.O.; Shaaban, M.F.; Osman, A.H.; Hassan, M.S. An energy management system for hybrid microgrids in remote communities. In Proceedings of the 2017 IEEE 30th Canadian Conference on Electrical and Computer Engineering, Windsor, ON, Canada, 30 April–3 May 2017. [Google Scholar]
- Hua, H.; Qin, Z.; Dong, N.; Qin, Y.; Ye, M.; Wang, Z.; Cao, J. Data-driven dynamical control for bottom-up energy Internet system. IEEE Trans. Sustain. Energy 2021, 13, 315–327. [Google Scholar] [CrossRef]
- Li, H.; Eseye, A.T.; Zhang, J.; Zheng, D. Optimal energy management for industrial microgrids with high-penetration renewable. Prot. Control. Mod. Power Syst. 2017, 2, 12. [Google Scholar] [CrossRef] [Green Version]
- Abedini, M.; Moradi, M.H.; Hosseinian, S.M. Optimal management of microgrids including renewable energy sources using GPSO-GM algorithm. Renew. Energy 2016, 90, 430–439. [Google Scholar] [CrossRef]
- Marzband, M.; Azarinejadian, F.; Savaghebi, M.; Guerrero, J.M. An optimal energy management system for islanded microgrids based on multiperiod artificial bee colony combined with markov chain. IEEE Syst. J. 2017, 11, 1712–1722. [Google Scholar] [CrossRef] [Green Version]
- Ei-Bidairi, K.S.; Nguyen, H.D.; Jayasinghe, S.D.G.; Mahmoud, T.S. Multiobjective Intelligent Energy Management Optimization for Grid-Connected Microgrids. In Proceedings of the 2018 IEEE International Conference on Environment and Electrical Engineering and 2018 IEEE Industrial and Commercial Power Systems Europe (EEEIC/I&CPS Europe), Palermo, Italy, 12–15 June 2018; pp. 12–15. [Google Scholar]
- Wasilewski, J. Optimisation of multicarrier microgrid layout using selected metaheuristics. Int. J. Electr. Power Energy Syst. 2018, 99, 246–260. [Google Scholar] [CrossRef]
- Kumar, K.P.; Saravanan, B. Day ahead scheduling of generation and storage in a microgrid considering demand Side management. J. Energy Storage 2019, 21, 78–86. [Google Scholar] [CrossRef]
- Azaza, M.; Wallin, F. Multi objective particle swarm optimization of hybrid micro-grid system: A case study in Sweden. Energy 2017, 123, 108–118. [Google Scholar] [CrossRef]
- Ahmed, D.; Ebeed, M.; Ali, A.; Alghamdi, A.S.; Kamel, S. Multi-objective energy management of a micro-grid considering stochastic nature of load and renewable energy resources. Electronics 2021, 10, 403. [Google Scholar] [CrossRef]
- Shuai, H.; Fang, J.; Ai, X.; Wen, J.; He, H. Optimal Real-Time Operation Strategy for Micro grid: An ADP-Based Stochastic Nonlinear Optimization Approach. IEEE Trans. Sustain. Energy 2018, 10, 931–942. [Google Scholar] [CrossRef] [Green Version]
- Almada, J.B.; Leão, R.P.S.; Sampaio, R.F.; Barroso, G.C. A centralized and heuristic approach for energy management of an AC microgrid. Renew. Sustain. Energy Rev. 2016, 60, 1396–1404. [Google Scholar] [CrossRef]
- Iris, Ç.; Lam, J.S.L. Optimal energy management and operations planning in seaports with smart grid while harnessing renewable energy under uncertainty. Omega 2021, 103, 102445. [Google Scholar] [CrossRef]
- Anvari-Moghaddam, A.; Rahimi-Kian, A.; Mirian, M.S.; Guerrero, J.M. A multi-agent based energy management solution for integrated buildings and microgrid system. Appl. Energy 2017, 203, 41–56. [Google Scholar] [CrossRef] [Green Version]
- Loganathan, D.; Rajkumar, M.; Vigneshwaran, M.; Senthilkumar, R. An enhanced time effective particle swarm intelligence for the practical economic load dispatch. In Proceedings of the 2014 IEEE 2nd International Conference on Electrical Energy Systems (ICEES), Chennai, India, 7–9 January 2014; pp. 44–50. [Google Scholar]
- Saravanan, S.; Babu, N.R. Maximum power point tracking algorithms for photovoltaic system–A review. Renew. Sustain. Energy Rev. 2016, 57, 192–204. [Google Scholar] [CrossRef]
- Paramasivam, S.K.; Ramu, S.K.; Mani, S.; Muthusamy, S.; Sundararajan, S.C.M.; Panchal, H.; Sadasivuni, K.K. Solar photovoltaic based dynamic voltage restorer with DC-DC boost converter for mitigating power quality issues in single phase grid. Energy Sources Part A Recovery Util. Environ. Eff. 2022, 44, 91–115. [Google Scholar] [CrossRef]
- Aljafari, B.; Ramu, S.K.; Devarajan, G.; Vairavasundaram, I. Integration of Photovoltaic-Based Transformerless High Step-Up Dual-Output–Dual-Input Converter with Low Power Losses for Energy Storage Applications. Energies 2022, 15, 5559. [Google Scholar] [CrossRef]
- Gil-González, W.; Montoya, O.D.; Garces, A. Modeling and control of a small hydro-power plant for a DC microgrid. Electr. Power Syst. Res. 2020, 180, 106104. [Google Scholar] [CrossRef]
- Suresh, K.P.; Ramesh, S. Grid-interconnected solar photovoltaic system for power quality improvement using extended reference signal generation strategy. J. Test. Eval. 2019, 49, 20180924. [Google Scholar] [CrossRef]
- Ogunjuyigbe, A.S.O.; Ayodele, T.R.; Akinola, O.A. Optimal allocation and sizing of PV/Wind/Split-diesel/Battery hybrid energy system for minimizing life cycle cost, carbon emission and dump energy of remote residential building. Appl. Energy 2016, 171, 153–171. [Google Scholar] [CrossRef]
- Maleki, A. Design and optimization of autonomous solar-wind-reverse osmosis desalination systems coupling battery and hydrogen energy storage by an improved bee algorithm. Desalination 2018, 435, 221–234. [Google Scholar] [CrossRef]
- Cau, G.; Cocco, D.; Petrollese, M. Modeling and simulation of an isolated hybrid micro-grid with hydrogen production and storage. Energy Procedia 2014, 45, 12–21. [Google Scholar] [CrossRef]
- Hernández-Gómez, Á.; Ramirez, V.; Guilbert, D.; Saldivar, B. Cell voltage static-dynamic modeling of a PEM electrolyzer based on adaptive parameters: Development and experimental validation. Renew. Energy 2021, 163, 1508–1522. [Google Scholar] [CrossRef]
- Xia, Y.; Wei, W.; Yu, M.; Wang, X.; Peng, Y. Power management for a hybrid AC/DC microgrid with multiple subgrids. IEEE Trans. Power Electron. 2017, 33, 3520–3533. [Google Scholar] [CrossRef]
- Ramu, S.K.; Paramasivam, S.; Muthusamy, S.; Panchal, H.; Sadasivuni, K.K.; Noorollahi, Y. A novel design of switched boost action based multiport converter using dsPIC controller for renewable energy applications. Energy Sources Part A Recovery Util. Environ. Eff. 2022, 44, 75–90. [Google Scholar] [CrossRef]
- Sharma, S.; Agarwal, S.; Jain, A. Significance of hydrogen as economic and environmentally friendly fuel. Energies 2021, 14, 7389. [Google Scholar] [CrossRef]
- Yusaf, T.; Fernandes, L.; Abu Talib, A.R.; Altarazi, Y.S.; Alrefae, W.; Kadirgama, K.; Laimon, M. Sustainable aviation—Hydrogen is the future. Sustainability 2022, 14, 548. [Google Scholar] [CrossRef]
- Saravanan, S.; Pandiyan, P.; Chinnadurai, T.; Ramji, T.; Prabaharan, N.; Senthil Kumar, R.; Lenin Pugalhanthi, P. Reconfigurable battery management system for microgrid application. In Microgrid Technologies; Scrivener Publishers: Beverly, MA, USA, 2021; pp. 145–176. [Google Scholar]
- Huang, W.; Dai, J.; Xiong, L. Towards a sustainable energy future: Factors affecting solar-hydrogen energy production in China. Sustain. Energy Technol. Assess. 2022, 52, 102059. [Google Scholar] [CrossRef]
- Viswanathan, K.; Abbas, S.; Wu, W. Syngas analysis by hybrid modeling of sewage sludge gasification in downdraft reactor: Validation and optimization. Waste Manag. 2022, 144, 132–143. [Google Scholar] [CrossRef]
- Alturki, A.A. Optimal design for a hybrid microgrid-hydrogen storage facility in Saudi Arabia. Energy Sustain. Soc. 2022, 12, 24. [Google Scholar] [CrossRef]
- Chakraborty, S.; Dash, S.K.; Elavarasan, R.M.; Kaur, A.; Elangovan, D.; Meraj, S.T.; Said, Z. Hydrogen Energy as Future of Sustainable Mobility. Front. Energy Res. 2022, 10, 893475. [Google Scholar] [CrossRef]
- Foorginezhad, S.; Mohseni-Dargah, M.; Falahati, Z.; Abbassi, R.; Razmjou, A.; Asadnia, M. Sensing advancement towards safety assessment of hydrogen fuel cell vehicles. J. Power Sources 2021, 489, 229450. [Google Scholar] [CrossRef]
- Thiyagarajan, S.; Varuvel, E.; Karthickeyan, V.; Sonthalia, A.; Kumar, G.; Saravanan, C.G.; Saravanan, B.; Dhinesh, B.; Pugazhendhi, A. Effect of hydrogen on compression-ignition (CI) engine fueled with vegetable oil/biodiesel from various feedstocks: A review. Int. J. Hydrogen Energy 2022. [Google Scholar] [CrossRef]
Publisher’s Note: MDPI stays neutral with regard to jurisdictional claims in published maps and institutional affiliations. |
© 2022 by the authors. Licensee MDPI, Basel, Switzerland. This article is an open access article distributed under the terms and conditions of the Creative Commons Attribution (CC BY) license (https://creativecommons.org/licenses/by/4.0/).














