Abstract
Helical gears are widely used in powertrain systems. The computerized design of a new type of non-generated external helical gears based on critical control points at the transverse tooth profile is presented. The entire tooth profile is divided into different parts including the active tooth profile and fillet by control points. Involutes, circular arcs and Hermite curves are defined between two critical control points and smoothly connected with each other at those control points. The parametric equations for the tooth surfaces are derived considering the position of the mentioned control points. The basic design parameters and equations of the geometric sizing are proposed. The contact patterns, variation of the maximum stresses and peak-to-peak level of loaded transmission errors for six cases of design of the proposed new geometry of helical gear drives are studied with two cases of traditional helical gear drives as a reference, including gears with and without micro-geometry modifications. One case of an external helical gear drive designed with a combination of a circular arc and an involute to form the active tooth profile for both the pinion and the gear shows a much lower maximum bending stress and similar lower peak-to-peak level of loaded transmission errors with respect to the other cases of design. The proposed design method of tooth profiles based on critical control points lays the foundation for the topological optimization of helical gear drives.
1. Introduction
The application of helical gears can be found in planetary gear trains for turbine gearboxes [1], wave energy converters [2] and automobiles [3], to cite only a few cases. The involute profile is mainly applied for all these applications because of its merits such as its transmission stability, accurate transmission ratio, center distance separability and manufacturing convenience [4]. The manufacturing of helical gears depends on cutting tools such as rack cutters or gear cutter hobs. The profiles of the cutting tools can be slightly modified to apply micro-geometry modifications on the generated gears and thus, if done conveniently, to reduce the vibration and noise of the manufactured gears. However, some issues such as friction, wear, scuffing and heating caused by relative sliding cannot be avoided. Besides, the minimum number of teeth is limited by undercutting according to the generated method of helical gears. These issues may restrict the further improvement of the meshing performance and mechanical behavior of the gears for powertrain systems [5].
Many researchers have investigated different aspects of gear design as described below to improve the meshing performance and to reduce the energy loss of powertrain systems. Chen [6] derived a formula to calculate the sliding rate of involute gears. Du et al. [7] proposed the method of selecting the modification coefficient of cylindrical gears according to balanced specific sliding based on the AGMA standard tooth surface to improve the anti-wear, scuffing and pitting ability of gears. Wang et al. [8] proposed a preliminary geometric design method for tooth profiles based on a given sliding coefficient. Xue et al. [9] proposed a numerical calculation method of gear thermal gluing bearing capacity. Huseyin et al. [10] experimentally studied the relationship between wear and the tooth width of a spur gear. Osman et al. [11] established a numerical simulation model for wear prediction of a spur and helical gear. Zhang et al. [12] proposed a state assessment method of gear pair wear based on data mining technology. Zhou et al. [13,14,15] proposed and applied an accurate measurement method to obtain a tooth surface model for digital tooth contact analysis. The above studies started from the analysis of the sliding rate of an involute tooth surface and its influencing factors, the study of tooth surface scuffing mechanism, the friction and wear experiment of gear pairs and numerical simulation to reduce the relative sliding, scuffing failure and wear and friction of tooth surfaces. However, the possible transmission failures caused by the relative sliding between tooth surfaces were not fundamentally solved, and the contact and bending strength were difficult to improve.
In contrast to the design method based on the generation method, theory of space curve meshing was investigated to provide an alternative way of designing gear tooth surfaces based on conjugated curves [16,17,18,19]. Besides this, Yu et al. [20] introduced the master–slave concept for conjugate surface modeling and established the first free-form conjugation design in gearing, based on splines controlled by a set of control points that form a control polygon. Meanwhile, an alternative and convenient way to design pure rolling gears based on the active design of the meshing line function has been proposed recently [21,22,23,24,25,26], which was applied for transmissions between parallel shafts, intersecting shafts and rack and pinion. This new design method can be used for the free design of non-generated gear tooth surfaces by setting a pair of transverse curves such as circular arcs in a mesh at the pitch point to form the active tooth profile according to the chosen meshing line function. Thus, the meshing type of parallel shaft transmissions is changed from line contact in non-modified involute gears to point contact for non-generated external gears [23,25]. Meanwhile, the recent development of additive manufacturing allows for the free design of gear tooth surfaces including non-generated gear tooth surfaces as proposed in this work. The design of tooth profiles is no longer limited to the involute profiles generated by gear hobbing or shaping. Furthermore, different kinds of materials can be used for the additive manufacturing of gears with different kinds of metallic and non-metallic materials, such as polymers, ceramics, metals, nanocomposite materials, etc. [27,28,29,30]. With the improvement of precision and productivity, 3D printing will become the preferred method for the manufacture of special-shaped non-generated gears.
The geometric design, simulation of meshing and mechanical behavior of new types of external helical gear drives based on critical control points of the transverse tooth profile for parallel shafts are studied in this paper. Six design cases of critical control points with and without micro-geometry modifications are proposed. Then, the simulation of meshing stress analysis is compared with two cases of traditional helical gear drives, by means of contact patterns, contact and bending stresses as well as the unload and loaded functions of transmission errors (TE) obtained by the application of tooth contact analysis and the finite element method. The proposed design of helical gears designed by control points may lay the foundation for the design of the topological optimization of helical gear drives.
2. Transverse Tooth Profiles Designed by Critical Control Points
For external helical gears with parallel shafts, the applied coordinate systems are shown in Figure 1. , and are fixed to the frame. and are fixed to the pinion and the gear, respectively, and rotate with them. At the beginning of the meshing process, coincides with , and coincides with . The driving and driven tooth profiles contact at the point M, which is the meshing point, and when these two gears rotate, M forms the meshing line K–K in the fixed coordinate system as well as the contact curves and on the cylindrical axodes of the gear pair, respectively.
Figure 1.
Applied coordinate systems for the design of external helical gears based on the meshing line function.
In this study, the traditional design method of gear tooth surfaces based on the generation by a cutting tool is replaced by the active design method of the meshing line function [21,22,23,24,25,26], where the tooth profiles are designed by the position of their critical control points. The entire transverse tooth profile is formed by several control points, as illustrated in Figure 2, which is divided into different parts including the active tooth profile and the fillet by control points. The length, shape and curvature of the combined curves of the tooth profile are determined by the position of the control points. From the top to the root of the left tooth profile, the critical control points are denoted as , , , and . denotes the pinion and denotes the gear. The active tooth profile is combined by curves and , which are smoothly connected at . The curve connects and the root circle at control points and , respectively, providing the geometry of the fillet. The control points are selected considering the meshing line function and dimensions of the gears. Point is the pitch point, which is selected as a critical control point since the meshing line function is described at this point. Point is selected as the connecting point between two curves. The other control points are chosen based on the radii of the root and addendum circles as well as the fillet starting point. If the positions of the control points are determined, the curves of , and can be selected from many types of curves such as circular arcs, parabolas, ellipses, involutes or Hermite curves. In this paper, circular arcs and involutes are selected to form the active profiles because of their widespread applications, and Hermite curves are applied for the fillet transition curves since their shapes can be adjusted easily to low down the bending stress [31]. Curves , and indicate a circular arc, an involute and a Hermite curve, respectively.
Figure 2.
Transverse tooth profiles decided by control points.
The transverse section of a pair of external helical gears in a mesh under perfect alignment condition is shown in Figure 3, where the angle of engagement is denoted as , which is also the transverse pressure angle. Angles and indicate the angles between the position vector of of the left tooth profile and axis . Similarly, angles and indicate the angles between the position vector of of the right tooth profile and axis . The right-side active tooth profile of the pinion is in a mesh with the right-side active tooth profile of the gear at the pitch point of the gear drive. So, the pitch point becomes the meshing point M in Figure 1 when the two gears are in a mesh without misalignments. The meshing point M moves along the meshing lines K–K with the rotation of the gear pair. According to [23,24,25], the law of motion of the meshing point M along K–K providing a uniform velocity along the fixed axis is defined as
where and t refer to the motion coefficient and the motion parameter, respectively.
Figure 3.
Transverse tooth profiles and applied local coordinate systems.
The relationships between , and t are expressed by Equation (2) [23,25].
where is the coefficient of motion and is the gear ratio.
Here, the left tooth profiles of the gear pair are considered as an example of derivation of the formulas for , and the transition fillet curve . The Cartesian coordinate system is shown in Figure 4 for the definition of the parametric equations of . Auxiliary local coordinate systems are also established at points to express . The axes are parallel to . The points are set on the normal lines of the points , at a distance from the tangent points of the normal lines and the basic circles of the pinion and gear.
Figure 4.
Cartesian coordinates for involute profiles.
2.1. Definition of Circular Arc Tooth Profiles
The circular arc tooth profiles of the pinion and the gear are formed by control points and , as shown in Figure 4. The control point may change its position, and it depends on the radius of the radial vector of denoted as in Figure 2. The parametric equations of the circular arc in coordinate systems are given by
where denotes the radius of , refers to the pinion, and refers to the gear.
In Equation (3), is the angular parameter of the circular arc . The value of depends on the radius of the addendum circle. When the entire active tooth profile is defined by an involute curve and a circular arc , is equal to 0. However, if the entire active tooth profile is defined by a circular arc, the fillet transition curve will smoothly connect the circular arc at point , and point will coincide with point . At this time, will depend on the length of the radial vector of and the radius of the circular arc .
The homogeneous coordinate transformation matrices from to , from to , and from to are given, respectively, by
Here,
where denotes the variation of , the angle of , and i refers to the pinion () or the gear (), j refers to the pinion () or the gear (), is half of the pitch angle of the pinion, and is for the gear:
Here, is the number of teeth of the pinion () or the gear ().
The position vectors of arcs are expressed in as
Similarly, the position vectors of arcs are expressed in as
The right tooth profile of can be deduced by mirroring around axis after rotating it an angle in a clockwise direction around axis . Therefore, the position vectors of arcs can be expressed in as follows:
where represents the homogeneous transformation matrix for a clockwise rotation around axis through an angle and represents the homogeneous mirror transformation matrix around axis .
Similarly, are expressed in as follows:
2.2. Definition of the Involute Profiles
The involute tooth profiles of the pinion and the gear are formed by the control points , and , as shown in Figure 4. The parametric equations of the involute in coordinate system are given by
where is the parameter of the involute curve , and and are obtained based on the values of and , respectively.
The calculation of the involute parameters for different radii are given as follows:
where indicates the involute parameter at the addendum circle, indicates the involute parameter at control point , indicates the involute parameter at pitch point , and indicates the involute parameter at control point .
The position vectors of arcs and for the left-side profiles of the pinion and gear are expressed in and as follows:
The position vectors of arcs and for the right-side profiles of pinion and gear are expressed in and by
2.3. Definition of the Fillet Transition Curves
The fillet transition curves of the pinion and the gear are formed by the control points and , which are chosen as Hermite points as shown in Figure 4. The location of control point depends on the chosen form radii that define the start of the fillet profiles for the pinion and the gear, and , respectively. depends on and . The Hermite curve of is defined by points and and their unit tangent vector and . According to [25], the position vector of is given by
with coefficients , , and given by
and , and being the coordinates of the Hermite point ; , and for the Hermite point ; , and being the components of the unit tangent vector at the point ; , and for the point ; and being the Hermite profile parameter (); being the tangent weight (), which can be used for the shape control of the Hermite curves.
According to [25], the position vector of is given by
where , and are the coordinates of the Hermite point ; , and are for the Hermite point ; , and are for the point ; , and are for the point , is the tangent weight ().
The position vectors of arcs and are expressed in and , respectively, as follows:
3. Mathematical Model of External Helical Gear Pair Based on Control Points
The tooth surfaces of the pinion and gear are formed by the spiral motion of their transverse tooth profiles along their contact curves. The mentioned spiral motion should be coordinated with the law of motion expressed in Equation (1). The position vectors of the left side of the pinion tooth surfaces, , and , are given by Equation (27). Similarly, the position vectors for the left side of the gear tooth surfaces, , and , are given by Equation (28). The subscripts 1 and 2 represent of the pinion and of the gear, respectively.
where subscript refers to the surfaces , and , and refers to the surfaces , and , respectively.
The position vector for the right-side tooth surfaces is given by similar equations to the above in which is replaced by , and therefore they are omitted here.
4. Basic Design Parameters and Geometric Sizing of the Helical Gears
Six types of helical gear pairs consider different positions of the critical control points and types of curves between them. For Case 1, the control point is located between the pitch point and control point . A circular arc is considered between control points and , and an involute curve is considered between control points and . Case 2 is obtained by applying a parabolic crowning of 5 μm as a lead modification on Case 1. For Case 3, the control point coincides with the pitch point . Case 4 is obtained by applying the same parabolic crowning of 5 μm as the lead modification on Case 3. For Case 5, the control point coincides with the pitch point , and a circular arc is considered for the active tooth profile by control points , and . Case 6 is obtained by applying a parabolic crowning of 5 μm as a lead modification on Case 5. In addition, a case of the traditional involute helical gear pair denoted as Case 7 is introduced, and Case 8 is obtained by applying a parabolic crowning of 5 μm as a lead modification and a lead modification of circular crowning of 10 μm as a profile modification on Case 7.
The basic design parameters are listed in Table 1. Eight cases of designs of helical gears are compared in terms of the contact patterns, variation of the maximum stresses and their corresponding unloaded/loaded functions of TE, considering micro-geometry modifications and different misalignments.
Table 1.
Basic design parameters for eight cases.
According to [23,25], the geometric sizing parameter calculations for external helical gear drives are expressed as follows:
The main radii of the transverse tooth profiles are given by
where is the radius of control point and is the radius of control point .
According to [23,25], the axial contact ratio is expressed by
The angles of , and are expressed as follows:
where denotes the coefficient of the angle .
The different design parameters for six cases of design based on control points are listed in Table 2. The geometric derived parameters of the eight cases of designs of external helical gear drives are listed in Table 3, and the details of micro-geometry modifications for the cases of designs 2, 4, 6 and 8 are listed in Table 4.
Table 2.
Basic design parameters based on control points for Cases 1 to 6.
Table 3.
Geometric derived parameters of external helical gear drives for cases 1 to 8.
Table 4.
Microgeometry modifications applied for the design cases.
Figure 5 shows the 3D model of an external helical gear drive corresponding to case 1, according to the parameters listed in Table 1, Table 2 and Table 3.
Figure 5.
Geometric model of an external helical gear pair designed by control points.
5. Tooth Contact Analysis
An algorithm of tooth contact analysis (TCA) has been applied to obtain the contact patterns on the tooth surfaces and the unloaded function of TE, according to [32]. Two pitch angles of the pinion of rotation are considered for tooth contact analysis. Besides, 21 consecutive and uniformly distributed contact positions are considered along three pitch angles. The contact patterns of the pinion for cases 1 to 8 are shown in the following Figure 6 with the correct alignment condition of their shafts.
Figure 6.
Contact patterns of the pinion for cases 1 to 8 without misalignments.
The instantaneous contact ellipses of the pinion for each contact position of cases 1 and 2 cover most of the whole active tooth surface in Figure 6, while the instantaneous contact ellipses for each contact position of cases 3 to 6 are centered along the pitch radius of the active tooth surfaces for pure rolling meshing. Cases 3 to 6 show contact ellipses with the shortest major axes among the eight design cases, whereas cases 1, 2 and 8 yield a similar major axis length of the contact ellipses. For these design cases, except case 7, the instantaneous contact ellipses do not reach the top edge of both the tooth surfaces, meaning that severe edge contacts are avoided, and all contact ellipses except on both ends of the tooth remain instant along the contact path because of the uniform law of motion design of the meshing point. Case 7 represents an involute helical gear drive without any modification on the active surfaces of its members, yielding line contact from top to bottom and covering the entire active tooth surfaces of the gear pair.
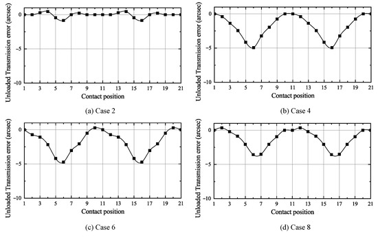
The unloaded functions of TE for cases 1, 3, 5 and 7 (without micro-geometry modifications) are not shown here since they show zero TE due to the consideration of perfect alignment conditions and no micro-geometry modifications. However, the unloaded functions of TE for cases 2, 4, 6 and 8 (with micro-geometry modifications) are not zero, and they are shown in Figure 7. Due to the consideration of a lead modification consisting of a parabolic crowning on the pinion active tooth surface, the unloaded functions of TE for the mentioned four cases of design follows a parabolic function.
Figure 7.
Unloaded functions of TE for Cases 2, 4, 6, and 8.
The peak-to-peak level of the functions of unloaded TE for cases 1 to 8 are listed in Table 5 considering different errors of alignment, according to [33]. In Table 5, indicates the center distance error, indicates the intersecting shaft angle error and refers to the crossing shaft angle error. The contact patterns for cases 2, 4, 6 and 8 considering an intersecting shaft angle error are shown in Figure 8, and the contact patterns for a crossing shaft angle error are shown in Figure 9. The center distance error for all design cases causes the contact patterns to move a little toward the top of the tooth surfaces.
Table 5.
Peak-to-peak level of unloaded functions of TE for cases 1 to 8 considering misalignments.
Figure 8.
Contact patterns of the pinion for cases 2, 4, 6 and 8 considering an intersecting shaft angle error .
Figure 9.
Contact patterns of the pinion tooth surfaces for cases 2, 4, 6 and 8 considering a crossing shaft angle error .
As shown in Table 5, the center distance error yields no TE in cases 1 and 7. The intersecting shaft angle error and the crossing shaft angle error have the lowest influence in case 7 among the four cases of design without micro-geometry modifications. However, the intersecting shaft angle errors and the crossing shaft angle errors have similar influences in cases 3 and 5. For cases 2, 4, 6 and 8 in which micro-geometry modifications were considered, the peak-to-peak level of the unloaded functions of TE is reduced compared with cases 1, 3, 5 and 7, respectively. Besides, case 2 has the lowest peak-to-peak level of unloaded TE among the four cases of design with micro-geometry modifications. Among the three errors of alignment being considered, the crossing shaft angle error has the largest influence on all design cases and should be limited to a very low level in real industry applications.
6. Stress Analysis
Finite element analysis has been carried out according to [34], and seven pairs of contacting teeth models have been generated for cases 1 to 8, considering that the influence of the boundary conditions is avoided and the load sharing between adjacent teeth is taken into account. In addition, 21 consecutive and uniformly distributed contact positions are considered corresponding to three angular pitches of rotation of the pinion that goes from −22.5 degrees to 22.5 degrees to capture the whole process of meshing on the central tooth.
Figure 10 shows the finite element model of Case 1. The finite element mesh considers 60 elements in the longitudinal direction and 35 elements along the active tooth profile for the gear tooth surfaces, with 15 elements in the fillet for both the pinion and the gear. Linear 8-node hexahedral elements enhanced by incompatible deformation modes to improve their bending behavior have been used [34]. The material of the gears is steel with a Poisson’s ratio of 0.3 and elastic modulus of 207 GPa. A torque of 350 Nm is applied to the pinion for the eight design cases. The maximum von Mises stress on the tooth surfaces is considered as the contact stress, and the maximum principal stress obtained at the fillet is considered as the bending stress in this study.
Figure 10.
Finite element model of one design case at the contact position number 11.
Figure 11 shows the variation of the maximum contact stresses of the pinion tooth surfaces with 21 contact positions considered. Figure 12 and Figure 13 show the field of the contact stresses for cases 1 to 8 at the contact position 11. Cases 1, 2 and 8 have similar contact patterns that are longer than those of cases 3 to 6, as predicted by TCA. However, for case 7 in Figure 13, the contact patterns extend to the top edge of the pinion tooth surfaces, causing the appearance of areas of edge contact that yield the largest contact stresses among the eight cases of design. The reason is that the active tooth profiles of both the pinion and the gear of case 7 are standard involutes without profile crowning or tip relief. For cases 1 and 2, the active tooth profiles are formed by a circular arc combined with an involute curve at the control point , avoiding the appearance of edge contacts on the top edge of the active tooth surface. For cases 3 and 4, the active tooth profiles are formed by a circular arc combined with an involute curve at , providing pure rolling meshing with a theoretical point contact type. For cases 5 and 6, the active tooth profiles are formed by a circular arc, providing pure rolling meshing with point contact at . Therefore, the contact patterns of case 3 to case 6 are located on the pitch circle and have a smaller major axis length than those of the other design cases. The maximum von Mises stresses of the pinion for cases 1 to 6 and case 8 are reduced by 28.02%, 24.05%, 18.30%, 16.46%, 10.24%, 9.47% and 38.08% compared with case 7, respectively. Besides, the maximum contact stresses of the pinion surface for cases 1 to 7 are increased by 16.23%, 22.65%, 31.94%, 34.90%, 44.95%, 46.19% and 61.49% compared with case 8, respectively. The longitudinal modification consisting of a parabolic crowning causes a small increment on the maximum contact stresses for cases 2, 4 and 6, at about 5.51%, 2.24% and 0.85%, respectively, with respect to their corresponding cases of design without any longitudinal micro-geometry modification as shown in Figure 11. However, the profile modification consisting of a circular crowning combined with a longitudinal modification of parabolic crowning (Case 8) results in a sharp decrement of the maximum contact stress (about 38.08%) for the traditional helical gears without micro-geometry modifications (Case 7).
Figure 11.
The variation of maximum contact stresses of pinion tooth surfaces for case 1 to case 8.
Figure 12.
Field of von Mises stresses of pinion surface for case 1 to case 4.
Figure 13.
Field of von Mises stresses of pinion surface for case 5 to case 8.
Figure 14 and Figure 15 show the variation of the maximum bending stresses for the eight gear pairs. As shown in Figure 14 and Figure 15, the maximum bending stresses of the pinion are higher than those of the gears for all eight design cases. Case 7, with the traditional design of helical gears without micro-geometry modifications, shows the lowest value of maximum bending stresses among all design cases, while case 5 has the largest value of maximum bending stress. In addition, cases 3 to 6 have similar maximum bending stresses for both the gear drive. Compared with case 7, the maximum bending stresses of the pinion are increased by 2.13% for case 1, 10.82% for case 2, 70.05% for case 3, 66.02% for case 4, 79.32% for case 5, 72.25% for case 6 and 41.90% for case 8. Compared with case 8, the maximum bending stresses of the pinion is increased by 17.00% for case 4 and 21.39% for case 6. However, the maximum bending stresses of the pinion are decreased by 21.90% for case 2. Similarly, compared with case 7, the maximum bending stresses of the gear are increased by 6.38% for case 1, 11.82% for case 2, 72.46% for case 3, 65.83% for case 4, 80.59% for case 5, 72.32% for case 6 and 29.56% for case 8. Compared with case 8, the maximum bending stresses of the gear are increased by 28.01% for case 4 and 31.99% for case 6. However, the maximum bending stresses of the gear are decreased by 13.69% for case 2. The reason is that the line contact between the tooth surfaces of case 1 and case 7 causes a much lower maximum bending stress compared with the point contact type of cases 3 to 6. In addition, the consideration of a profile circular crowning combined with a longitudinal parabolic crowning for case 8 results in a sharp increment of maximum bending stresses due to the localization of contact, whereas a longitudinal parabolic crowning contributes only slightly to increasing the maximum bending stresses for cases 1 to 6.
Figure 14.
Variation of the maximum bending stress of the pinion fillet for case 1 to case 8.
Figure 15.
Variation of the maximum bending stress of the gear fillet for case 1 to case 8.
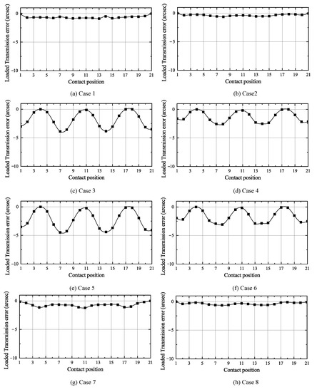
According to [33], the loaded functions of TE are shown in Figure 16. All the eight design cases have a very low peak-to-peak level of loaded TE that is always under 5 arc-seconds. Case 2 has the lowest peak-to-peak level of TE with 0.64 arc-seconds among the eight cases of design. Case 8 has a similar peak-to-peak level of TE to case 2. The loaded functions of TE of cases 3 to 6 have similar parabolic functions of loaded TE, with the largest peak-to-peak level being 4.47 arc-seconds for case 5. The peak-to-peak level of loaded TE for the remaining design cases are 0.89 arc-seconds for case 1, 3.88 arc-seconds for case 3, 2.59 arc-seconds for case 4, 3.07 arc-seconds for case 6, 1.22 arc-seconds for case 7 and 0.65 arc-seconds for case 8. As shown in Figure 16, the same longitudinal parabolic crowning shows different effects on the eight cases of design. For cases 3 to 6 of pure rolling helical gear drives, larger peak-to-peak levels of loaded TE are found compared with the line contact helical gear pairs of cases 1 to 2 and cases 7 to 8.
Figure 16.
Loaded functions of TE for all cases.
According to the results obtained, case 2, based on the control points used to form the active tooth profiles for both the gear drives, is the best design among the eight design cases considered, allowing the larger reduction of the maximum bending stresses for both the pinion and the gear as well as a low peak-to-peak level of loaded TE.
7. Conclusions
The following conclusions can be drawn based on the performed research work:
- The design of helical gear drives based on critical control points can achieve line contact or point contact in pure rolling meshing. It allows edge contacts to be avoided and parabolic functions of transmission errors to be designed, with very limited increments of contact and bending stresses with respect to the traditional design of helical gears with an involute profile and no micro-geometry modifications.
- Considering similar contact patterns and parabolic crowning as lead modification, case 2 based on critical control points showed the lowest maximum bending stress and similar low peak-to-peak level of loaded transmission errors, compared with traditional helical gears with the same basic design parameters and modifications.
- Considering different errors of alignment, case 2, in which the transverse tooth profile is formed by a circular arc connected to an involute curve and a parabolic crowning of 5 μm, is considered, as the lead modification has a lower peak-to-peak level of unloaded transmission errors than the other cases of design.
- The proposed design method of tooth profiles based on control points lays the foundation for the topological optimization of helical gear drives to reduce the noise and vibration of the proposed gear drives and to increase the endurance and life of powertrain systems.
Author Contributions
Formal analysis, G.Q.; Investigation, L.Q.; Methodology, B.L.; Software, A.F.-A.; Supervision, A.F.-A.; Writing—original draft, Z.C.; Writing—review & editing, A.F.-A. All authors have read and agreed to the published version of the manuscript.
Funding
This research was supported by the Open Fund of Guangdong Provincial Key Laboratory of Precision Gear Flexible Manufacturing Equipment Technology Enterprises, (Zhongshan MLTOR Numerical Control Technology Co., Ltd., Zhongshan, 528437, China and South China University of Technology, Guangzhou, 510641, China) (No. 2021B1212050012).
Institutional Review Board Statement
Not applicable.
Informed Consent Statement
Not applicable.
Data Availability Statement
Not applicable.
Acknowledgments
The authors would like to thank the editor and the reviewers for their helpful comments and suggestions.
Conflicts of Interest
The authors declare no conflict of interest.
References
- Nie, Y.; Li, F.; Wang, L.; Li, J.; Sun, M.; Wang, M.; Li, J. A mathematical model of vibration signal for multistage wind turbine gearboxes with transmission path effect analysis. Mech. Mach. Theory 2022, 167, 104428. [Google Scholar] [CrossRef]
- Dai, Y.; Chen, Y.; Xie, L. A study on a novel two-body floating wave energy converter. Ocean Eng. 2017, 130, 407–416. [Google Scholar] [CrossRef]
- Emmanuel, S.; Yihun, Y.; Ahmedabadi, Z.; Boldsaikhan, E. Planetary gear train microcrack detection using vibration data and convolutional neural networks. Neural Comput. Appl. 2021, 33, 17223–17243. [Google Scholar] [CrossRef]
- Litvin, F.L.; Fuentes-Aznar, A. Gear Geometry and Applied Theory; Cambridge University Press: New York, NY, USA, 2004. [Google Scholar]
- Qin, D. Review of research on internal gear transmission. J. Chongqing Univ. 2014, 37, 1–10. [Google Scholar]
- Chen, N. Curvatures and sliding ratios of conjugate surfaces. ASME J. Mech. Des. 1998, 120, 126–132. [Google Scholar] [CrossRef]
- Du, X.; Lin, T.; Li, R.; Liu, W. Principle of Selecting the Modification Coefficient of Gear with Balanced Specific Sliding in AGMA Standard. J. Chongqing Univ. 2007, 30, 6–9. [Google Scholar]
- Wang, J.; Luo, S.; Wu, Y.A. A method for the preliminary geometric design of gear tooth profiles with small sliding coefficients. ASME J. Mech. Des. 2010, 132, 054501. [Google Scholar] [CrossRef]
- Xue, J.; Li, W. Research on gear system scuffing load capacity and its numerical calculation methods. Trans. Beijing Inst. Technol. 2014, 34, 901–906. [Google Scholar]
- Huseyin, I.; Hayrettin, D. Relation between wear and tooth width modification in spur gears. Wear 2007, 262, 390–394. [Google Scholar]
- Osman, T.; Velex, P. Static and dynamic simulations of mild abrasive wear in wide-faced solid spur and helical gears. Mech. Mach. Theory 2010, 45, 911–924. [Google Scholar] [CrossRef]
- Zhang, H.; Liu, S.; Zou, B. Assessment Method of Gear Wear Condition Based on Data Mining. J. Southwest Jiaotong Univ. 2015, 50, 710–716. [Google Scholar]
- Wang, S.; Zhou, Y.; Tang, J.; Tang, K.; Li, Z. Digital tooth contact analysis of face gear drives with an accurate measurement model of face gear tooth surface inspected by CMMs. Mech. Mach. Theory 2022, 167, 104498. [Google Scholar] [CrossRef]
- Tang, Z.; Zhou, Y.; Wang, S.; Zhu, J.; Tang, J. An innovative geometric error compensation of the multi-axis CNC machine tools with non-rotary cutters to the accurate worm grinding of spur face gears. Mech. Mach. Theory 2022, 169, 104664. [Google Scholar] [CrossRef]
- Zhou, Y.; Tang, Z.; Shi, X.; Tang, J.; Li, Z. Efficient and accurate worm grinding of spur face gears according to an advanced geometrical analysis and a closed-loop manufacturing process. J. Cent. South Univ. 2022, 29, 1–13. [Google Scholar] [CrossRef]
- Peng, S.; Chen, B.K.; Liang, D.; Zhang, L.H.; Qin, S.L. Mathematical Model and Tooth Contact Analysis of an Internal Helical Gear Pair with Selectable Contact Path. Int. J. Precis. Eng. Manuf. 2018, 19, 837–848. [Google Scholar] [CrossRef]
- Liang, D.; Li, W.B.; Chen, B.K. Mathematical model and meshing analysis of internal meshing gear transmission with curve element. J. Mech. Sci. Technol. 2020, 34, 5155–5166. [Google Scholar] [CrossRef]
- Chen, Y.Z.; Lin, Y.F. A calculation method for friction coefficient and meshing efficiency of plastic line gear pair under dry friction conditions. Friction 2021, 9, 1420–1435. [Google Scholar] [CrossRef]
- Lin, Y.F.; Chen, Y.Z.; Ye, C.K.; Lyu, Y.L. A Calculation Method of Surface Wear of Plastic Line Gear Pair Under Dry Friction Conditions. J. Tribol. 2022, 144, 021705. [Google Scholar] [CrossRef]
- Yu, B.W.; Ting, K.I. Free-Form Conjugation Modeling and Gear Tooth Profile Design. J. Mech. Robot. Trans. ASME 2013, 5, 011001. [Google Scholar] [CrossRef]
- Chen, Z.; Zeng, M. Nonrelative sliding of spiral bevel gear mechanism based on active design of meshing line. Proc. Inst. Mech. Eng. Part C J. Mech. Eng. Sci. 2019, 233, 1055–1067. [Google Scholar] [CrossRef]
- Chen, Z.; Zeng, M. Design of pure rolling line gear mechanisms for arbitrary intersecting shafts. Proc. Inst. Mech. Eng. Part C J. Mech. Eng. Sci. 2019, 233, 5515–5531. [Google Scholar] [CrossRef]
- Chen, Z.; Zeng, M.; Fuentes-Aznar, A. Geometric design, meshing simulation, and stress analysis of pure rolling cylindrical helical gear drives. Proc. Inst. Mech. Eng. Part C J. Mech. Eng. Sci. 2020, 234, 3102–3115. [Google Scholar] [CrossRef]
- Chen, Z.; Zeng, M.; Fuentes-Aznar, A. Geometric Design, Meshing Simulation, and Stress Analysis of Pure Rolling Rack and Pinion Mechanisms. ASME J. Mech. Des. 2020, 142, 031122. [Google Scholar] [CrossRef]
- Chen, Z.; Zeng, M.; Fuentes-Aznar, A. Computerized design, simulation of meshing and stress analysis of pure rolling cylindrical helical gear drives with variable helix angle. Mech. Mach. Theory 2020, 153, 1–19. [Google Scholar] [CrossRef]
- Wen, L.; Chen, Z.; Fuentes-Aznar, A. Computerized design, simulation of meshing and stress analysis of non-generated double circular-arc helical gear drives with different combinations of transverse pressure angle. Mech. Mach. Theory 2022, 170, 1–19. [Google Scholar] [CrossRef]
- Schwentenwein, M.; Homa, J. Additive manufacturing of dense alumina ceramics. Int. J. Appl. Ceram. Technol. 2015, 12, 1–7. [Google Scholar] [CrossRef]
- Fu, X.S.; Zou, B.; Xing, H.Y.; Li, L.; Li, Y.S.; Wang, X.F. Effect of printing strategies on forming accuracy and mechanical properties of ZrO2 parts fabricated by SLA technology. Ceram. Int. 2019, 45, 17630–17637. [Google Scholar] [CrossRef]
- Gbadeyan, O.J.; Mohan, T.P.; Kanny, K. Processing and characterization of 3D-printed nanoclay/acrylonitrile butadiene styrene (abs) nanocomposite gear. Int. J. Adv. Manuf. Technol. 2020, 109, 619–627. [Google Scholar] [CrossRef]
- Lakhdar, Y.; Tuck, C.; Binner, J.; Terry, A.; Goodridge, R. Additive manufacturing of advanced ceramic materials. Prog. Mater. Sci. 2021, 116, 1–50. [Google Scholar] [CrossRef]
- Fuentes-Aznar, A.; Iglesias-Victoria, P.; Eisele, S.; Gonzalez-Perez, I. Fillet geometry modeling for nongenerated gear tooth surfaces. In Proceedings of the International Conference on Power Transmissions 2016, Chongqing, China, 27–30 October 2016; pp. 431–436. [Google Scholar]
- Sheveleva, G.I.; Volkov, A.E.; Medvedev, V.I. Algorithms for analysis of meshing and contact of spiral bevel gears. Mech. Mach. Theory 2007, 42, 198–215. [Google Scholar] [CrossRef]
- Fuentes-Aznar, A.; Ruiz-Orzaez, R.; Gonzalez-Perez, I. Computerized design, simulation of meshing, and finite element analysis of two types of geometry of curvilinear cylindrical gears. Comput. Methods Appl. Mech. Eng. 2014, 272, 321–339. [Google Scholar] [CrossRef]
- ABAQUS/Standard User’s Manual; Simulia: Providence, RI, USA, 2021.
Publisher’s Note: MDPI stays neutral with regard to jurisdictional claims in published maps and institutional affiliations. |
© 2022 by the authors. Licensee MDPI, Basel, Switzerland. This article is an open access article distributed under the terms and conditions of the Creative Commons Attribution (CC BY) license (https://creativecommons.org/licenses/by/4.0/).















