Amphiphilic Block Copolymers with Vinyl Caprolactam as Kinetic Gas Hydrate Inhibitors
Abstract
1. Introduction
Micellization and the Critical Micelle Concentration (CMC)
2. Materials and Methods
2.1. Materials
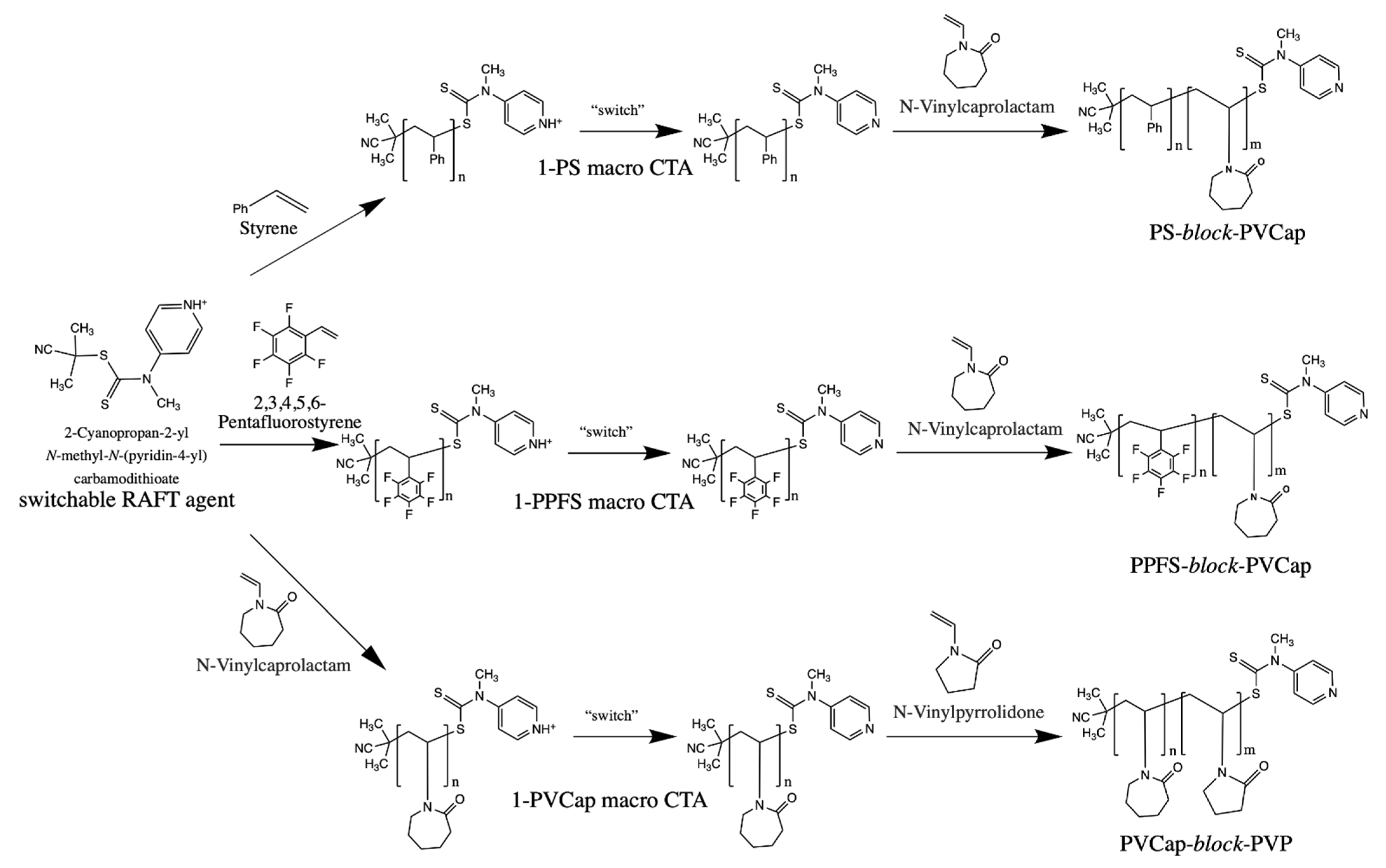
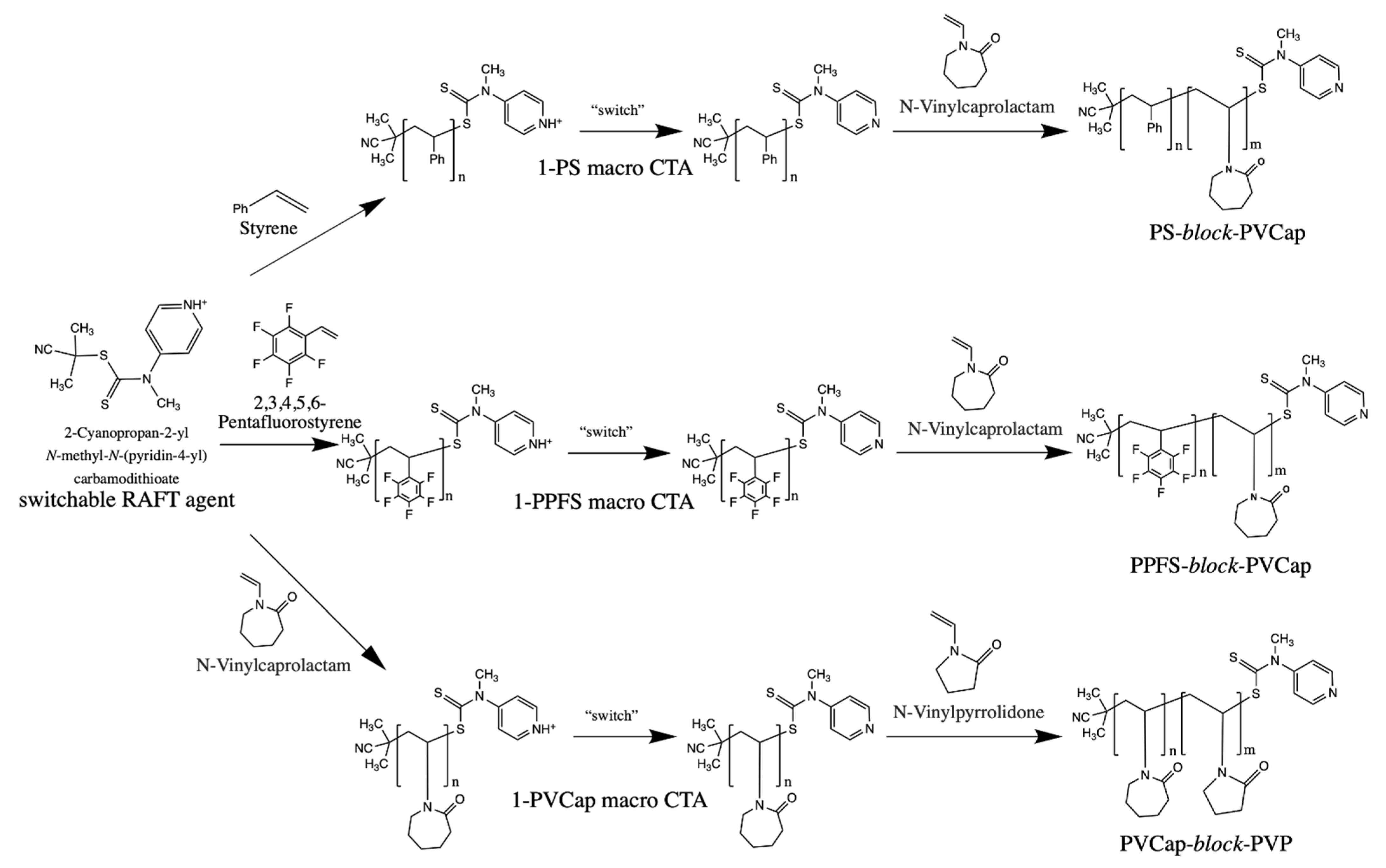
2.2. Synthesis of Macro Chain Transfer Agent (Macro CTA) and Subsequent Chain Extension
2.3. Characterization
2.3.1. 1H-NMR
2.3.2. CMC
2.3.3. Hydrate Growth Experiments
3. Results and Discussion
3.1. Synthesis of 1-PS, 1-PPFS, and 1-PVCap Macro-CTAs
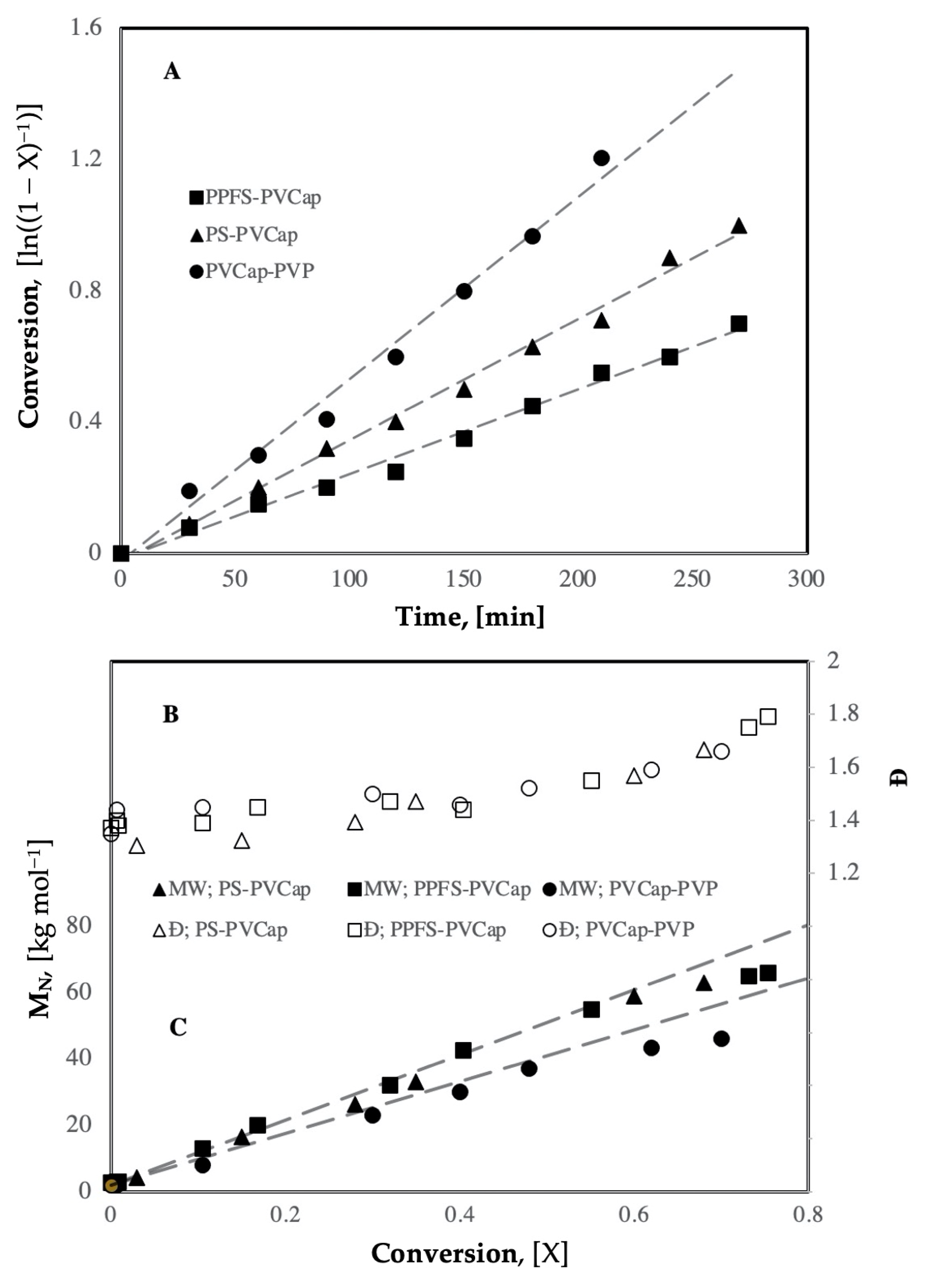
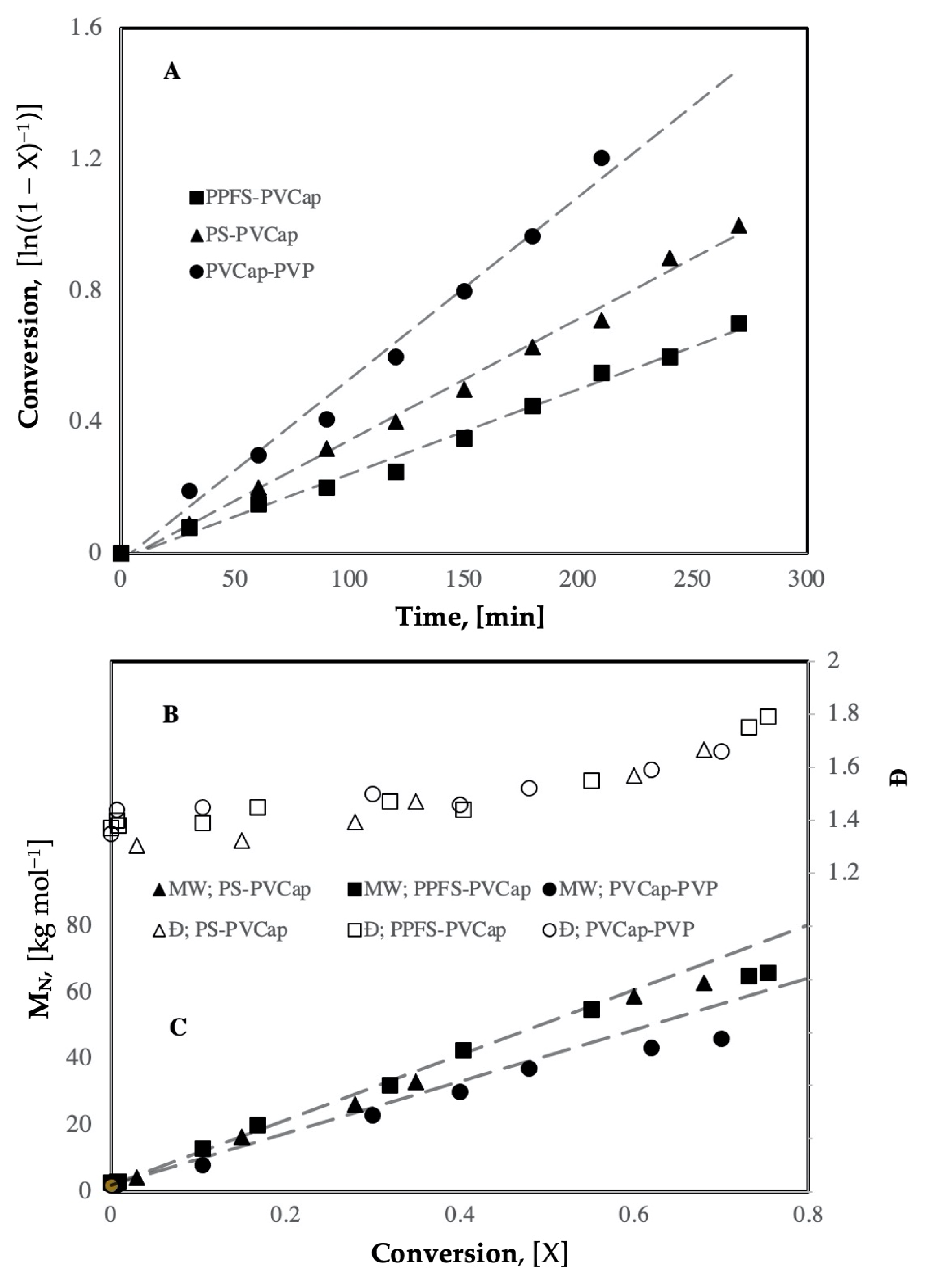
3.2. Chain Extension of 1-PS and 1-PPFS with VCap
3.3. CMC
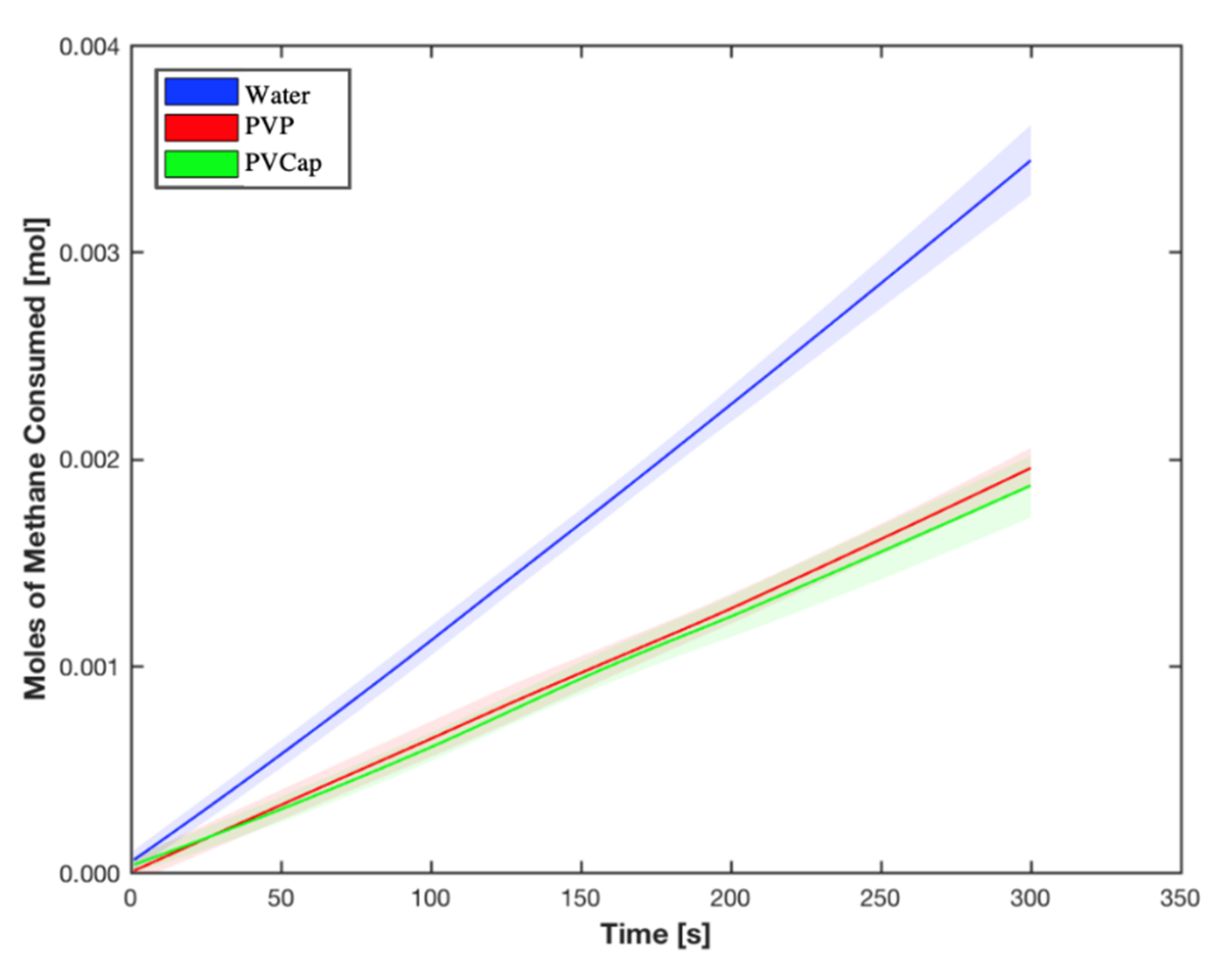
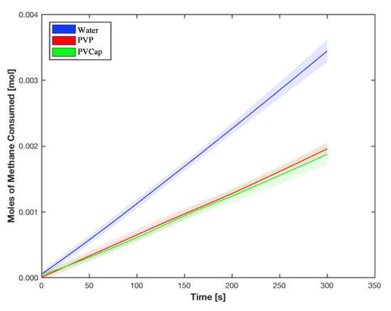
3.4. Methane Hydrate Growth
4. Conclusions
Author Contributions
Funding
Institutional Review Board Statement
Informed Consent Statement
Data Availability Statement
Conflicts of Interest
References
- Sloan, E.D.; Koh, C. Clathrate Hydrates of Natural Gases, 3rd ed.; CRC Press: Boca Raton, FL, USA, 2008. [Google Scholar]
- Sloan, E.D. Fundamental principles and applications of natural gas hydrates. Nat. Cell Biol. 2003, 426, 353–359. [Google Scholar] [CrossRef] [PubMed]
- Hammerschmidt, E.G. Formation of Gas Hydrates in Natural Gas Transmission Lines. Ind. Eng. Chem. 1934, 26, 851–855. [Google Scholar] [CrossRef]
- Crone, T.J.; Tolstoy, M. Magnitude of the 2010 Gulf of Mexico Oil Leak. Science 2010, 330, 634. [Google Scholar] [CrossRef] [PubMed]
- Mokhatab, S.; Wilkens, R.J.; Leontaritis, K.J. A Review of Strategies for Solving Gas-Hydrate Problems in Subsea Pipelines. Energy Sources Part A Recover. Util. Environ. Eff. 2007, 29, 39–45. [Google Scholar] [CrossRef]
- Sun, C.; Chen, G.; Guo, T. Study of hydrate inhibition in multi-phase pipelines. Tianranqi Gongye Nat. Gas Ind. 2003, 5, 105–108. [Google Scholar]
- Anderson, F.E.; Prausnitz, J.M. Inhibition of gas hydrates by methanol. AIChE J. 1986, 32, 1321–1333. [Google Scholar] [CrossRef]
- Perrin, A.; Musa, O.M.; Steed, J.W. The chemistry of low dosage clathrate hydrate inhibitors. Chem. Soc. Rev. 2013, 42, 1996–2015. [Google Scholar] [CrossRef]
- Koh, C.A. Towards a fundamental understanding of natural gas hydrates. Chem. Soc. Rev. 2002, 31, 157–167. [Google Scholar] [CrossRef]
- Ree, L.; Kelland, M.A.; Haddleton, D.M.; Alsubaie, F. Comparison of the Kinetic Hydrate Inhibition Performance of Block and Statistical N-Alkylacrylamide Copolymers. Energy Fuels 2017, 31, 1355–1361. [Google Scholar] [CrossRef]
- King, H.E.; Hutter, J.L.; Lin, M.Y.; Sun, T. Polymer conformations of gas-hydrate kinetic inhibitors: A small-angle neutron scattering study. J. Chem. Phys. 2000, 112, 2523–2532. [Google Scholar] [CrossRef]
- Reyes, F.T.; Kelland, M.A.; Kumar, N.; Jia, L. First Investigation of the Kinetic Hydrate Inhibition of a Series of Poly(β-peptoid)s on Structure II Gas Hydrate, Including the Comparison of Block and Random Copolymers. Energy Fuels 2015, 29, 695–701. [Google Scholar] [CrossRef]
- Lederhos, J.; Long, J.; Sum, A.; Christiansen, R.; Sloan, E. Effective kinetic inhibitors for natural gas hydrates. Chem. Eng. Sci. 1996, 51, 1221–1229. [Google Scholar] [CrossRef]
- Rajput, F.; Colantuoni, A.; Bayahya, S.; Dhane, R.; Servio, P.; Marić, M. Poly(styrene/pentafluorostyrene)-block-poly(vinyl alcohol/vinylpyrrolidone) amphiphilic block copolymers for kinetic gas hydrate inhibitors: Synthesis, micellization behavior, and methane hydrate kinetic inhibition. J. Polym. Sci. Part A Polym. Chem. 2018, 56, 2445–2457. [Google Scholar] [CrossRef]
- Piirma, I. Polymeric Surfactants; Informa UK Limited: Colchester, UK, 2012. [Google Scholar]
- Riess, G. Micellization of block copolymers. Prog. Polym. Sci. 2003, 28, 1107–1170. [Google Scholar] [CrossRef]
- Ruckenstein, E.; Nagarajan, R. Critical micelle concentration. Transition point for micellar size distribution. J. Phys. Chem. 1975, 79, 2622–2626. [Google Scholar] [CrossRef]
- Song, Y.; Sun, R.; Zhao, K.; Pan, X.; Zhou, H.; Li, D. An induction current method for determining the critical micelle concentration and the polarity of surfactants. Colloid Polym. Sci. 2015, 293, 1525–1534. [Google Scholar] [CrossRef]
- Bergeron, S.; Servio, P. Reaction rate constant of CO2hydrate formation and verification of old premises pertaining to hydrate growth kinetics. AIChE J. 2008, 54, 2964–2970. [Google Scholar] [CrossRef]
- Bergeron, S.; Servio, P. Reaction rate constant of propane hydrate formation. Fluid Phase Equilibria 2008, 265, 30–36. [Google Scholar] [CrossRef]
- Benaglia, M.; Chen, M.; Chong, Y.K.; Moad, G.; Rizzardo, E.; Thang, S.H. Polystyrene-block-poly(vinyl acetate) through the Use of a Switchable RAFT Agent. Macromolecules 2009, 42, 9384–9386. [Google Scholar] [CrossRef]
- Junkers, T.; Voll, D.; Barner-Kowollik, C. Determination of vinyl acetate propagation rate coefficients via high frequency pulsed laser polymerization. Polymers 2009, 9, 931–938. [Google Scholar] [CrossRef]
- Yoshida, E. Control of Micellar Size and Critical Micelle Concentration for “Nonamphiphilic” Poly(vinyl phenol)-block-Polystyrene Diblock Copolymers. Polym. J. 2003, 35, 965–971. [Google Scholar] [CrossRef]
- Zana, R. Dimeric and oligomeric surfactants. Behavior at interfaces and in aqueous solution: A review. Adv. Colloid Interface Sci. 2002, 97, 205–253. [Google Scholar] [CrossRef]
- Nakayama, M.; Okano, T. Polymer Terminal Group Effects on Properties of Thermoresponsive Polymeric Micelles with Controlled Outer-Shell Chain Lengths. Biomacromolecules 2005, 6, 2320–2327. [Google Scholar] [CrossRef] [PubMed]
- Otulakowski, Ł.; Gadzinowski, M.; Slomkowski, S.; Basinska, T.; Forys, A.; Dworak, A.; Trzebicka, B. Micellisation of polystyrene-b-polyglycidol copolymers in water solution. Eur. Polym. J. 2018, 99, 72–79. [Google Scholar] [CrossRef]
- Posteraro, D.; Ivall, J.; Maric, M.; Servio, P. New insights into the effect of polyvinylpyrrolidone (PVP) concentration on methane hydrate growth. 2. Liquid phase methane mole fraction. Chem. Eng. Sci. 2015, 126, 91–98. [Google Scholar] [CrossRef]
- Erfani, A.; Varaminian, F.; Muhammadi, M. Gas Hydrate Formation Inhibition Using Low Dosage Hydrate Inhibitors. In Proceedings of the 2nd National Iranian Conference on Gas Hydrate, Semnan, Iran, 15 May 2013. [Google Scholar]









| Experiment ID | Monomer | Reaction Temperature | Reaction Duration a (min) | Mn,th (kg mol−1) b |
|---|---|---|---|---|
| 1-PS | styrene | 60 °C | 300 | 10 |
| 1-PPFS | 2,3,4,5,6-pentafluorostyrene | 60 °C | 300 | 10 |
| 1-PVCap | vinyl caprolactam | 90 °C | 180 | 10 |
| Experiment ID | Macro Chain-Transfer Agent a (Mn [kg mol−1], Đ) | Monomer b | Reaction Temperature | Reaction Duration (h) | Target MW c Mn,th (kg mol−1) |
|---|---|---|---|---|---|
| PS-PVCap | 1-PS (4.8, 1.39) | VCap | 90 °C | 3 | 80 |
| PPFS-PVCap | 1-PPFS (4.7, 1.41) | VCap | 90 °C | 3 | 80 |
| PVCap-PVP | 1-PVCap (5.3, 1.52) | VP | 70 °C | 3 | 100 |
| Experiment ID | Monomer Conversion a (%) | Overall MW b (Mn, kg mol−1) | Đ |
|---|---|---|---|
| PS mCTA | 45.1 | 4.6 | 1.37 |
| PPFS mCTA | 43.5 | 4.8 | 1.42 |
| PVCap mCTA | 44.3 | 5.1 | 1.47 |
| Experiment ID a | Overall MW (Mn, kg mol−1) | Mole Fraction of Macro CTA in Polymer [PS, PPFS, PVCap] | Đ | MW of Macro CTA in Polymer [PS, PPFS, PVCap] (Mn, kg mol−1) |
|---|---|---|---|---|
| PS-PVCap(0.05) | 77.1 | 0.06 | 1.39 | 4.6 |
| PS-PVCap(0.10) | 42.6 | 0.11 | 1.41 | 4.6 |
| PS-PVCap(0.20) | 23.9 | 0.19 | 1.42 | 4.6 |
| PPFS-PVCap(0.05) | 90.5 | 0.05 | 1.45 | 4.8 |
| PPFS-PVCap(0.10) | 46.2 | 0.10 | 1.50 | 4.8 |
| PPFS-PVCap(0.15) | 30.0 | 0.16 | 1.52 | 4.8 |
| PPFS-PVCap(0.20) | 23.8 | 0.20 | 1.53 | 4.8 |
| PVCap-PVP(0.10) | 53.1 | 0.10 | 1.50 | 5.1 |
| PVCap-PVP(0.20) | 28.0 | 0.18 | 1.55 | 5.1 |
| Experiment ID | CMC (×10−4 M) |
|---|---|
| PS-PVCap(0.05) | 2.9 |
| PS-PVCap(0.10) | 4.0 |
| PS-PVCap(0.20) | 7.0 |
| PS-PVCap(0.25) | - |
| PPFS-PVCap(0.05) | 1.3 |
| PPFS-PVCap(0.10) | 3.7 |
| PPFS-PVCap(0.15) | 4.9 |
| PPFS-PVCap(0.20) | 6.0 |
| PVCap-PVP(0.10) | 45.9 |
| PVCap-PVP(0.20) | 58.0 |
| Experiment ID | Methane Consumption Rate (×10−5 mol s−1) | Hydrate Inhibition Percentage (%) |
|---|---|---|
| Water | 1.14 | - |
| PS-PVCap(0.05) | 0.57 | 50 |
| PS-PVCap(0.10) | 0.50 | 56 |
| PS-PVCap(0.20) | 0.44 | 61 |
| PS-PVCap(0.25) | 0.40 | 65 |
| PPFS-PVCap(0.05) | 0.38 | 67 |
| PPFS-PVCap(0.10) | 0.31 | 73 |
| PPFS-PVCap(0.15) | 0.32 | 72 |
| PPFS-PVCap(0.20) | - | - |
| PVCap-PVP(0.10) | 0.47 | 59 |
| PVCap-PVP(0.20) | 0.49 | 57 |
Publisher’s Note: MDPI stays neutral with regard to jurisdictional claims in published maps and institutional affiliations. |
© 2021 by the authors. Licensee MDPI, Basel, Switzerland. This article is an open access article distributed under the terms and conditions of the Creative Commons Attribution (CC BY) license (http://creativecommons.org/licenses/by/4.0/).
Share and Cite
Rajput, F.; Maric, M.; Servio, P. Amphiphilic Block Copolymers with Vinyl Caprolactam as Kinetic Gas Hydrate Inhibitors. Energies 2021, 14, 341. https://doi.org/10.3390/en14020341
Rajput F, Maric M, Servio P. Amphiphilic Block Copolymers with Vinyl Caprolactam as Kinetic Gas Hydrate Inhibitors. Energies. 2021; 14(2):341. https://doi.org/10.3390/en14020341
Chicago/Turabian StyleRajput, Faraz, Milan Maric, and Phillip Servio. 2021. "Amphiphilic Block Copolymers with Vinyl Caprolactam as Kinetic Gas Hydrate Inhibitors" Energies 14, no. 2: 341. https://doi.org/10.3390/en14020341
APA StyleRajput, F., Maric, M., & Servio, P. (2021). Amphiphilic Block Copolymers with Vinyl Caprolactam as Kinetic Gas Hydrate Inhibitors. Energies, 14(2), 341. https://doi.org/10.3390/en14020341

