Study on Outlet Temperature Control of External Receiver for Solar Power Tower
Abstract
1. Introduction
2. Model Description
2.1. Designed Receiver Model
2.2. Material Properties
2.3. Dynamic Model
- (1)
- Tube-to-tube conduction and radiation exchange is ignored;
- (2)
- Axial conduction between the adjacent control volumes is neglected because the convection between the inner wall of the tube and the molten salt dominates the heat transfer in the tube.
2.3.1. Energy Collection
2.3.2. Tube Wall Conduction
2.3.3. Internal Convection
2.3.4. Thermal Stress
2.4. Control Strategy
2.5. Simulation Method
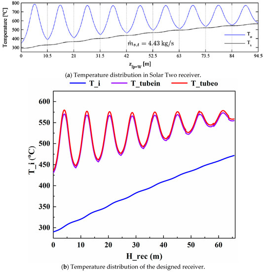
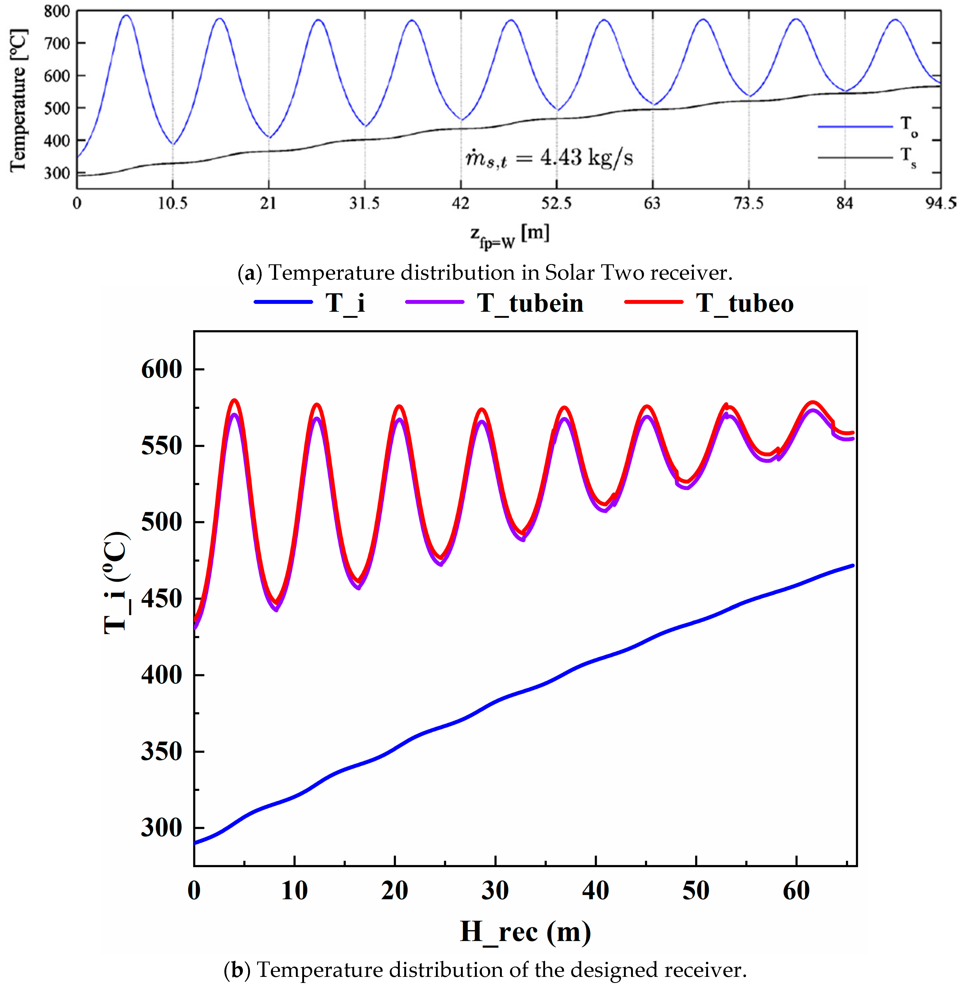
2.6. Model Validation
3. Results with Analysis
3.1. Case A. DNI Disturbance
3.1.1. Step DNI Disturbance Influence
3.1.2. The Influence of Clouds Covering in a Short Period
3.2. Case B. Molten Salt Inlet Temperature Disturbance
3.3. Case C. The Influence of the Real-Time DNI during a Day
4. Conclusions
Author Contributions
Funding
Institutional Review Board Statement
Informed Consent Statement
Data Availability Statement
Conflicts of Interest
Nomenclature
| a | comprehensive correction factor of heat transfer coefficient |
| A | area, m2 |
| D | diameter, m |
| fD | coefficient of friction |
| F | force, N |
| F* | angle factor |
| g | gravity coefficient |
| Gr | mass transfer Grashof number |
| h | specific enthalpy, kJ/kg |
| h* | coefficient of heat transfer, kW/m2·K |
| H | receiver height, m |
| mass flux, kg/s | |
| M | mass, kg |
| N | tube number in each panel |
| Nu | Nusselt number |
| P | pressure, MPa |
| ΔP | drop of pressure, Pa |
| Pfield | heat flux density upon the receiver, kJ/m2 |
| q | heat flow, kW |
| R | thermal resistance, K/kW |
| t | time, s |
| T | temperature, °C |
| u | internal energy, kJ/(kg·°C) |
| v | velocity, m/s |
| x | control volume dimension, m |
| Greek symbols | |
| α | tube hemispherical absorptance |
| β | air expansivity |
| ε | Pyromark emittance |
| μ | Gaussian position parameter |
| ρ | density, kg/m3 |
| σ | heat stress, MPa |
| σG | Gaussian scaling parameter |
| σ* | Boltzmann constant |
| υ | dynamic viscosity, Pa·s |
| Subscripts | |
| amb | ambient |
| fo | forced convection |
| in | inlet |
| inc | incident |
| n | natural convection |
| o | outlet |
| rec | receiver |
| Abbreviations | |
| CSP | concentrated solar power |
| CV | control volume |
| DNI | direct normal irradiation |
| HTF | heat transfer fluid |
| SPT | solar power tower |
| TES | thermal energy storage |
References
- Rashid, K.; Mohammadi, K.; Powell, K. Dynamic simulation and techno-economic analysis of a concentrated solar power (CSP) plant hybridized with both thermal energy storage and natural gas. J. Clean. Prod. 2020, 248, 119193. [Google Scholar] [CrossRef]
- Hsieh, I.Y.L.; Pan, M.S.; Chiang, Y.M.; Green, W.H. Learning only buys you so much: Practical limits on battery price reduction. Appl. Energy 2019, 239, 218–224. [Google Scholar] [CrossRef]
- Budischak, C.; Sewell, D.; Thomson, H.; Mach, L.; Veron, D.E.; Kempton, W. Cost-minimized combinations of wind power, solar power and electrochemical storage, powering the grid up to 99.9% of the time. J. Power Sources 2013, 225, 60–74. [Google Scholar] [CrossRef]
- Heide, D.; Greiner, M.; Bremen, L.; Hoffmann, C. Reduced storage and balancing needs in a fully renewable European power system with excess wind and solar power generation. Renew. Energy 2011, 36, 2515–2523. [Google Scholar] [CrossRef]
- Sánchez-González, A.; Rodríguez-Sánchez, M.R.; Santana, D. Allowable solar flux densities for molten-salt receivers: Input to the aiming strategy. Results Eng. 2020, 5, 100074. [Google Scholar] [CrossRef]
- Wang, W.Q.; Qiu, Y.; Li, M.J.; He, Y.L.; Cheng, Z.D. Coupled optical and thermal performance of a fin-like molten salt receiver for the next-generation solar power tower. Appl. Energy 2020, 272, 115079. [Google Scholar] [CrossRef]
- Ying, Z.; He, B.; Su, L.; Kuang, Y.; He, D.; Lin, C. Convective heat transfer of molten salt-based nanofluid in a receiver tube with non-uniform heat flux. Appl. Therm. Eng. 2020, 181, 115922. [Google Scholar] [CrossRef]
- Du, B.C.; He, Y.L.; Zheng, Z.J.; Cheng, Z.D. Analysis of thermal stress and fatigue fracture for the solar tower molten salt receiver. Appl. Therm. Eng. 2016, 99, 741–750. [Google Scholar] [CrossRef]
- Yang, M.; Yang, X.; Yang, X.; Ding, J. Heat transfer enhancement and performance of the molten salt receiver of a solar power tower. Appl. Energy 2010, 87, 2808–2811. [Google Scholar] [CrossRef]
- Yu, Q.; Fu, P.; Yang, Y.; Qiao, J.; Wang, Z.; Zhang, Q. Modeling and parametric study of molten salt receiver of concentrating solar power tower plant. Energy 2020, 200, 117505. [Google Scholar] [CrossRef]
- Zhang, Q.; Wang, Z.; Li, X.; Li, Z.; Li, J.; Liu, H.; Ruan, Y.; Xu, L. Preliminary discussion on test method for time constant of molten salt receiver based on two-lumped-elements model. Sol. Energy 2020, 195, 552–564. [Google Scholar] [CrossRef]
- Zhang, Q.; Li, X.; Wang, Z.; Zhang, J.; El-Hefni, B.; Xu, L. Modeling and simulation of a molten salt cavity receiver with Dymola. Energy 2015, 93, 1373–1384. [Google Scholar] [CrossRef]
- Zhang, Q.; Li, X.; Wang, Z.; Li, Z.; Liu, H. Function testing and failure analysis of control system for molten salt receiver system. Renew. Energy 2018, 115, 260–268. [Google Scholar] [CrossRef]
- Fernández-Torrijos, M.; Sobrino, C.; Marugán-Cruz, C.; Santana, D. Experimental and numerical study of the heat transfer process during the startup of molten salt tower receivers. Appl. Therm. Eng. 2020, 178, 115528. [Google Scholar] [CrossRef]
- Li, Z.; Zhang, Q.; Wang, Z.; Li, J.; Ruan, Y. Numerical and experimental study of solidification dangers in a molten salt receiver for cloudy conditions. Sol. Energy 2019, 193, 118–131. [Google Scholar] [CrossRef]
- Zhang, Q.M. Study and Design of Heat Transfer Characteristics of Molten Salt Receiver in Solar Tower Power Plant; Zhe Jiang University: Zhejiang, China, 2014. (In Chinese) [Google Scholar]
- Zhang, Q.; Cao, D.; Ge, Z.; Du, X. Response characteristics of external receiver for concentrated solar power to disturbance during operation. Appl. Energy 2020, 278, 115709. [Google Scholar] [CrossRef]
- Dong, X.; Bi, Q.; Yao, F. Experimental investigation on the heat transfer performance of molten salt flowing in an annular tube. Exp. Therm. Fluid. Sci. 2019, 102, 113–122. [Google Scholar] [CrossRef]
- Siebers, D.L.; Kraabel, K.J. Estimating Convective Energy Losses from Solar Central Receivers; Sandia National Laboratories: Albuquerque, NM, USA, 1984. [Google Scholar]
- Wagner, M. Simulation and Predictive Performance Modeling of Utility-Scale Central Receiver System Power Plants; University of Wisconsin-Madison: Madison, WI, USA, 2008. [Google Scholar]
- Eloy, C.; Doare, O.; Duchemin, L.; Schouveiler, L. A Unified Introduction to Fluid Mechanics of Flying and Swimming at High Reynolds Number. Exp. Mech. 2010, 50, 1361–1366. [Google Scholar] [CrossRef]
- Bradshaw, R.W.; Dawson, D.B.; Rosa, D.L.; Gilbert, R.; Goods, S.H.; Hale, M.J.; Jacobs, P.; Jones, S.A.; Kolb, G.J.; Pacheco, J.E.; et al. Final Test and Evaluation Results from the Solar Two Project; National Renewable Energy Laboratory (NREL): Golden, CO, USA, 2002. [Google Scholar]
- Sanchez-Gonzalez, A.; Rodriguez-Sanchez, M.R.; Santana, D. Aiming strategy model based on allowable flux densities for molten salt central receivers. Sol. Energy 2017, 157, 1130–1144. [Google Scholar] [CrossRef]











| Key Parameters | Designed Value |
|---|---|
| Heat load, MW | 100 |
| Area, m2 | 192.49 |
| Aspect ratio | 1.11 |
| Tube external diameter, m | 0.0209 |
| Tube internal diameter, m | 0.0185 |
| Unit width, m | 1.463 |
| Tube number/unit | 70 |
| Receiver diameter, m | 7.499 |
| Receiver height, m | 8.223 |
| Panel number | 16 |
| Heliostat field efficiency, % | 51.026 |
| Mirror aperture, m2 | 20 |
| Rated DNI, W/m2 | 800 |
| Number of heliostats | 15,310 |
| Property | Function |
|---|---|
| Coefficient of thermal expansion, °C | |
| Specific heat, kJ/kg, °C | |
| Density, kg/m3 |
| Index | Simulation | DNI (W/m2) | Inlet Temperature (°C) | Mass Flux (kg/s) |
|---|---|---|---|---|
| A | DNI disturbance | --- | 290 | --- |
| B | Inlet temperature disturbance | 800 | 290–280 | --- |
| C | Operation on cloudy day | --- | 290 | --- |
Publisher’s Note: MDPI stays neutral with regard to jurisdictional claims in published maps and institutional affiliations. |
© 2021 by the authors. Licensee MDPI, Basel, Switzerland. This article is an open access article distributed under the terms and conditions of the Creative Commons Attribution (CC BY) license (http://creativecommons.org/licenses/by/4.0/).
Share and Cite
Zhang, Q.; Jiang, K.; Kong, Y.; Wu, J.; Du, X. Study on Outlet Temperature Control of External Receiver for Solar Power Tower. Energies 2021, 14, 340. https://doi.org/10.3390/en14020340
Zhang Q, Jiang K, Kong Y, Wu J, Du X. Study on Outlet Temperature Control of External Receiver for Solar Power Tower. Energies. 2021; 14(2):340. https://doi.org/10.3390/en14020340
Chicago/Turabian StyleZhang, Qiang, Kaijun Jiang, Yanqiang Kong, Jiangbo Wu, and Xiaoze Du. 2021. "Study on Outlet Temperature Control of External Receiver for Solar Power Tower" Energies 14, no. 2: 340. https://doi.org/10.3390/en14020340
APA StyleZhang, Q., Jiang, K., Kong, Y., Wu, J., & Du, X. (2021). Study on Outlet Temperature Control of External Receiver for Solar Power Tower. Energies, 14(2), 340. https://doi.org/10.3390/en14020340

