Robust Temperature Control of a Variable-Speed Refrigeration System Based on Sliding Mode Control with Optimal Parameters Derived Using the Genetic Algorithm
Abstract
1. Introduction
2. Design of SMC with Kalman State Observer
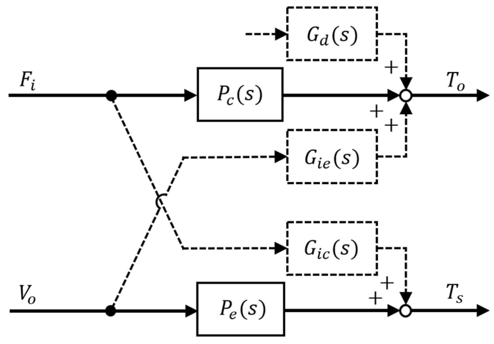
2.1. Two-Dimensional State-Space Modeling for VSRS
2.2. Design of SMC with Kalman State Observer
2.3. Optimization of SMC Based on the GA
3. Results of Simulations and Experiments
3.1. Results of MATLAB/Simulink Simulations and Experiments
3.2. Behavior Analysis of State Variables in the Phase Plane
3.3. Performance of the Disturbance Estimation Based on the Kalman State Observer
3.4. Comparison of the Control Performance with a PI Controller
4. Conclusions
- (1)
- The proposed sliding mode controller with a Kalman state observer and feedforward controller exhibits a robust control performance by strictly controlling the target temperature within the allowable steady-state error range of ±0.1 °C, even in the presence of model uncertainty and disturbance;
- (2)
- The optimization of the design parameters of the saturation function with the GA helped enhance the optimal control performance by reducing the chattering and vulnerability of the SMC and eliminating the tediousness of repeated trials;
- (3)
- The use of a low-dimensional state-space nominal model transformed from a practical transfer function obtained through dynamic experiments can facilitate the controller design and reduce model uncertainty, thereby ensuring a robust control performance;
- (4)
- The proposed SMC with a two-dimensional sliding surface can enhance the control performance by facilitating the analysis of the behavior of the state variables in the phase plane.
Author Contributions
Funding
Institutional Review Board Statement
Informed Consent Statement
Data Availability Statement
Conflicts of Interest
Nomenclature
| coefficient matrix | |
| dead time (s) | |
| control error (°C) | |
| gain of feedforward controller | |
| reference of inverter frequency (Hz) | |
| gain of PI controller | |
| switching gain | |
| DC gain | |
| gain of Kalman filter | |
| state variable in phase plane | |
| controlled variable (°C) | |
| continuous control input (V) | |
| discontinuous control input (V) | |
| feedforward control input (V) | |
| reference of EEV opening angle (step) | |
| variation | |
| gradient of sliding line | |
| sliding function | |
| time constant (s) | |
| measurement noise | |
| process noise | |
| Subscript & Superscript | |
| compressor | |
| EEV | |
| interference effect | |
| oil outlet | |
| superheat | |
| ′ | transpose of matrix |
| estimated value | |
| set value | |
References
- Kim, J.G.; Han, C.H.; Jeong, S.K. Disturbance observer-based robust control against model uncertainty and disturbance for a variable speed refrigeration system. Int. J. Refrig. 2020, 116, 49–59. [Google Scholar] [CrossRef]
- Jeong, S.K.; Lee, D.B.; Hong, K.H. Comparison of System Performance on Hot-gas Bypass and Variable Speed Compressor in an Oil Cooler for Machine Tools. J. Mech. Sci. Technol. 2014, 28, 721–727. [Google Scholar] [CrossRef]
- Jeong, S.K. Optimum robust control for an oil cooler system with variable speed drive of machine tools. J. Korean Soc. Power Syst. Eng. 2019, 23, 18–26. [Google Scholar] [CrossRef]
- Li, H.; Jeong, S.K.; You, S.S. Feedforward control of capacity and superheat for a variable speed refrigeration system. Appl. Therm. Eng. 2009, 29, 1067–1074. [Google Scholar] [CrossRef]
- Li, H.; Jeong, S.K.; Yoon, J.I.; You, S.S. An empirical model for independent control of variable speed refrigeration system. Appl. Therm. Eng. 2008, 28, 1918–1924. [Google Scholar] [CrossRef]
- Jeong, S.K.; Han, C.H.; Li, H.; Wahyu, K.W. Systematic design of membership functions for fuzzy logic control of variable speed refrigeration system. Appl. Therm. Eng. 2018, 142, 303–310. [Google Scholar] [CrossRef]
- Cao, J.P.; Jeong, S.K.; Jung, Y.M. Fuzzy logic controller design with unevenly distributed membership function for high performance chamber cooling system. J. Cent. South Univ. 2014, 21, 2684–2692. [Google Scholar] [CrossRef]
- Quansheng, Z.; Canova, M. Modeling and output feedback control of automotive air conditioning system. Int. J. Refrig. 2015, 58, 207–218. [Google Scholar] [CrossRef]
- Yang, Y.; Wu, M.D.; Chang, Y.C. Temperature control of the four-zone split inverter air conditioners using LMI expression based on LQR for mixed H2/H∞. Appl. Energy 2014, 113, 912–923. [Google Scholar] [CrossRef]
- Schurt, L.C.; Hermes, C.J.; Neto, A.T. A model-driven multivariable controller for vapor compression refrigeration systems. Int. J. Refrig. 2009, 32, 1672–1682. [Google Scholar] [CrossRef]
- Aprea, C.; Mastrullo, R.; Renno, C. Fuzzy control of the compressor speed in a refrigeration plant. Int. J. Refrig. 2004, 27, 639–648. [Google Scholar] [CrossRef]
- Willatzen, M.; Pettit, N.B.O.L.; Ploug-Sorensen, L. A general dynamic simulation model for evaporators and condensers in refrigeration. Part I: Moving-boundary formulation of two-phase flows with heat exchange. Int. J. Refrig. 1998, 21, 398–403. [Google Scholar] [CrossRef]
- Alfonso, D.; Gianluca, L.; Ignazio, M.; Alessandro, P. Second-Order Sliding-Mode Control of DC Drives. IEEE Trans. Ind. Electron. 2004, 51, 364–373. [Google Scholar] [CrossRef]
- Utkin, V.I. Sliding Mode Control Design Principles and Applications to Electric Drives. IEEE Trans. Ind. Electron. 1993, 40, 23–26. [Google Scholar] [CrossRef]
- Utkin, V.I. Variable structure systems with sliding modes. IEEE Trans. Autom. Control 1977, 22, 212–222. [Google Scholar] [CrossRef]
- Lee, S.D.; Lee, B.K.; You, S.S. Sliding Mode Control with Super-Twisting Algorithm for Surge Oscillation of Mooring Vessel System. J. Korean Soc. Mar. Environ. Saf. 2018, 24, 953–959. [Google Scholar] [CrossRef]
- Kim, N.H.; Park, Y.K.; Sun, J.E.; Shin, S.J.; Min, B.H.; Park, H.J.; Kang, S.H.; Hur, H.; Ha, M.Y.; Lee, M.C. Robust sliding mode control of a vapor compression cycle. Int. J. Control Autom. Syst. 2018, 16, 62–78. [Google Scholar] [CrossRef]
- Shah, A.; Huang, D.; Huang, T.; Farid, U. Optimization of BuildingsEnergy Consumption by Designing Sliding Mode Control for Multizone VAV Air Conditioning Systems. Energies 2018, 11, 2911. [Google Scholar] [CrossRef]
- Huang, Y.; Khajepour, A.; Ding, H.; Bagheri, F.; Bahrami, M. An energy-saving set-point optimizer with a sliding mode controller for automotive air-conditioning/refrigeration systems. Appl. Energy 2017, 188, 576–585. [Google Scholar] [CrossRef]
- Kessal, A.; Rahmani, L. Ga-Optimized Parameters of Sliding-Mode Controller Based on Both Output voltage and Input Current with an Application in the PFC of AC/DC Converters. IEEE Trans. Power Electron. 2014, 29, 3159–3165. [Google Scholar] [CrossRef]
- Navale, R.L.; Nelson, R.M. Use of genetic algorithms and evolutionary strategies to develop an adaptive fuzzy logic controller for a cooling coil-Comparison of the AFLC with a standard PID controller. Energy Build. 2012, 45, 169–180. [Google Scholar] [CrossRef]
- Huang, W.; Lam, H.N. Using genetic algorithms to optimize controller parameters for HVAC systems. Energy Build. 1997, 26, 277–282. [Google Scholar] [CrossRef]
- Goldberg, D.E.; Holland, J.H. Genetic Algorithms and Machine Learning. Mach. Learn. 1988, 3, 95–99. [Google Scholar] [CrossRef]
- Rawlins, G.J.E. Foundations of Genetic Algorithms; Elsevier: Amsterdam, The Netherlands, 1991; Volume 1, pp. 1–341. [Google Scholar] [CrossRef]
- Kalman, R.E.; Bucy, R.S. New Results in Linear Filtering and Prediction Theory. J. Basic Eng. 1961, 83, 95–108. [Google Scholar] [CrossRef]
- Kalman, R.E. A New Approach to Linear Filtering and Prediction Problems. J. Basic Eng. 1960, 82, 35–45. [Google Scholar] [CrossRef]
- Luenberger, D. An introduction to observers. IEEE Trans. Autom. Control 1971, 16, 596–602. [Google Scholar] [CrossRef]
- Jung, Y.M.; Jeong, S.K.; Yang, J.H. PI Controller Design of the Refrigeration System Based on Dynamic Characteristic of the Second Order Model. J. Korea Soc. Power Syst. Eng. 2014, 18, 200–206. [Google Scholar] [CrossRef][Green Version]
- Lin, J.L.; Yeh, T.J. Modeling identification and control of air-conditioning systems. Int. J. Refrig. 2007, 30, 202–220. [Google Scholar] [CrossRef]

















| Plant | Designed Parameters and Gains | ||||
|---|---|---|---|---|---|
| compressor | 0.0230 | −812 | 1.1 | [−1.27 × 10−5 7.51 × 10−9] | 0.6280 |
| EEV | 0.0595 | −262 | 7.0 | [−1.26 × 10−7 1.89 × 10−9] | - |
| Component | Description |
|---|---|
| Compressor | Rotary type, 30–90 (Hz), 0.86 (kW) |
| EEV | 0–2000 (step), 12 (V) |
| Condenser | Air-cooled fin and tube type, 5.24 (kW) |
| Evaporator | Bare tube coil type, Immersion type, 2.1 (kW) (max.) |
| Refrigerant | R-22, 0.9 (kg) (max.) |
| Component | Description |
|---|---|
| Inverter | 4.5 (VA), 3-phase, PWM, V/f = c type |
| EEV drive | 4 (W), 24 (V), Bipolar type |
| Heater | 4.5 (kW) (max.) |
| Oil tank | 400 mm × 400 mm × 385 mm |
| Oil | ISO VG 10, Velocite oil no. 6, 40 (L) |
| Plant | Designed Parameters and Gains | ||
|---|---|---|---|
| P Gain | I Gain | Anti-Windup Gain | |
| compressor | −17.0 | −0.080 | −8.50 |
| EEV | −10.0 | −0.200 | −5.00 |
Publisher’s Note: MDPI stays neutral with regard to jurisdictional claims in published maps and institutional affiliations. |
© 2021 by the authors. Licensee MDPI, Basel, Switzerland. This article is an open access article distributed under the terms and conditions of the Creative Commons Attribution (CC BY) license (https://creativecommons.org/licenses/by/4.0/).
Share and Cite
Lee, J.; Jeong, S. Robust Temperature Control of a Variable-Speed Refrigeration System Based on Sliding Mode Control with Optimal Parameters Derived Using the Genetic Algorithm. Energies 2021, 14, 6321. https://doi.org/10.3390/en14196321
Lee J, Jeong S. Robust Temperature Control of a Variable-Speed Refrigeration System Based on Sliding Mode Control with Optimal Parameters Derived Using the Genetic Algorithm. Energies. 2021; 14(19):6321. https://doi.org/10.3390/en14196321
Chicago/Turabian StyleLee, Jieun, and Seokkwon Jeong. 2021. "Robust Temperature Control of a Variable-Speed Refrigeration System Based on Sliding Mode Control with Optimal Parameters Derived Using the Genetic Algorithm" Energies 14, no. 19: 6321. https://doi.org/10.3390/en14196321
APA StyleLee, J., & Jeong, S. (2021). Robust Temperature Control of a Variable-Speed Refrigeration System Based on Sliding Mode Control with Optimal Parameters Derived Using the Genetic Algorithm. Energies, 14(19), 6321. https://doi.org/10.3390/en14196321

