Next Article in Journal
A Novel Predictive Control Method with Optimal Switching Sequence and Filter Resonance Suppression for Two-Stage Matrix Converter
Previous Article in Journal
Improving Performance of Seismic Fault Detection by Fine-Tuning the Convolutional Neural Network Pre-Trained with Synthetic Samples
 
 
Font Type:
Arial Georgia Verdana
Font Size:
Aa Aa Aa
Line Spacing:
Column Width:
Background:
Article

Links between Process Performance and Microbial Community of Pennisetum Hybrid Co-Digested with Municipal Solid Waste

1
School of Life Science and Engineering, Lanzhou University of Technology, Lanzhou 730050, China
2
Guangzhou Institute of Energy Conversion, Chinese Academy of Sciences, Guangzhou 510640, China
3
University of Chinese Academy of Sciences, Beijing 100049, China
4
CAS Key Laboratory of Renewable Energy, Guangzhou Institute of Energy Conversion, Chinese Academy of Sciences, Guangzhou 510640, China
5
Guangdong Key Laboratory of New and Renewable Energy Research and Development, Guangzhou 510640, China
*
Authors to whom correspondence should be addressed.
Energies 2021, 14(12), 3651; https://doi.org/10.3390/en14123651
Submission received: 14 April 2021 / Revised: 12 June 2021 / Accepted: 15 June 2021 / Published: 19 June 2021

Abstract

In this study, the links between performance and microbial communities were investigated with municipal solid waste (MSW) at two feedstock ratios and eight organic loading rates (OLRs). The co-digestion systems were stably operated at OLRs of 2.0–6.0 g VS/(L·d). The performance of the co-digestion system varied with the feedstock ratio. Compared with the 50:50 (hybrid Pennisetum:MSW) system, the 75:50 system, GM31, obtained increases of 1.93–17.68% and 0.29–23.29% for the specific biogas and methane yields, respectively. Whereas a shift in bacterial and methanogen communities occurred as the operating conditions changed, particularly with OLR variations. The genera Saccharofermentans, Prevotella, Clostridium, Syntrophomonas, and Proteiniphilum became the dominant bacteria for the conversion of carbohydrates and nitrogen compounds as the OLR increased. Meanwhile, a shift from acetoclastic to hydrogenotrophic or multifunctional methanogens was observed.

Graphical Abstract

1. Introduction

Anaerobic digestion is a technology applied worldwide. Many kinds of waste, such as manure and kitchen waste, have been used as renewable energy sources, but the limiting factor of widespread application is supply. One of the most efficient and sustainable feedstocks for producing bioenergy are perennial energy crops, which are a type of artificially cultivated biomass with an advantageous perennial nature and superior quality and yield [1,2]. The potential of biogas yield for some energy crops has been studied and specific methane yields (SMY) of 174–202 mL/g volatile solids (VS), 247–267 mL/g VS, and 191–309 mL/g VS have been reported for reed canarygrass, Miscanthus, and switchgrass, respectively [3,4,5]. However, the mono-digestion systems of energy grass crops fail because of mechanical breakdown and nutrient deficiency [6,7]. One method to overcome these shortcomings is co-digestion [8]. An improvement in methane yield was observed for Indian grass (Eleusine indica (L.)) co-digested with sewage sludge, as compared with the mono-digestion of the Indian grass [9]. Further, subsequent life cycle assessments showed that a greater potential for lower phosphorus eutrophication and reduced global warming was achieved when using a co-digestion system of grass and manure, as compared with the mono-digestion of dairy cow manure [10]. From the perspective of biogas yield and environmental performance, co-digestion is an alternative strategy for stabilizing anaerobic digestion and improving ecological efficiency.
Municipal solid waste (MSW) is conventional biomass with a complex composition and season/site-dependence [11,12]. However, it has great potential for producing renewable energy, such as biogas production via anaerobic digestion [13]. Specific biogas yields (SBYs) of 158–553 mL/g VS have been reported for MSW [14]. Factors such as the mixture ratio of different materials and pretreatment methods have been studied. A ratio of 2:1 was found to be optimal for the co-digestion of MSW and rice straw with better biodegradability and higher methane potential [15]. A maximum biogas yield of 558.5 mL/g VSadded was obtained for the co-digestion system of rice straw, organic fraction of municipal solid waste (OFMSW), and thickened waste-activated sludge at a ratio of 0.5:3:0.5 [16]. The OFMSW after extrusion press treatment achieved stable operation with optimum TS content of 15–20% and 30 days of hydraulic retention time (HRT) [14]. Accelerating the bacteria contributing to hydrolysis and acidification promoted the hydrolysis of OFMSW by co-digestion with food waste [17]. However, further research is necessary to determine the optimal operating performance and potential variation in microbial communities of co-digested MSW with other materials in a semi-continuous mode.
Hybrid Pennisetum, perennial C4 grass, is considered to be an alternative perennial energy crop [1]. The reported maximum biomass yield reached 88 metric ton/ha/year for Pennisetum purpureum [18]. Its SMY ranges from 104–356 mL/g VS [19,20]. In our previous study, a mono-digestion system feeding Pennisetum hybrid failed at an organic loading rate (OLR) of 2.0 g VS/(L⋅d) [21]. In addition, the microbial communities during the anaerobic digestion corresponded to the operation conditions, such as bioreactor type, pretreatments technology, feeding ratios, and digestate recirculation [22,23,24] A shift of dominant phylum from Firmicutes to Bacteroidetes occurred with the pretreated methods being changed from protease to carbohydrase-pretreated for anaerobic digestion of microalgae [25]. Similarly, a change in the dominated methanogens from Methanosaeta to Methanosarcina and Methanosphaera was observed in the co-digestion system of straw and manure with operation conditions varying from well-run to inhibited conditions [26]. Therefore, the effect of the operating status on the performance of anaerobic digestion and the link with microbial communities must be further studied.
Therefore, co-digestion is a feasible strategy for enhancing the performance of anaerobic digestion. MSW, an optimal feedstock for anaerobic digestion, might be a potential mixture material for hybrid Pennisetum. Accordingly, in this study, a system of hybrid Pennisetum co-digested with MSW was constructed to investigate the links between the performance and microbial community of anaerobic digestion at different conditions in a semi-continuous mode. As research related to the microbial community, particularly for systems feeding the perennial energy grass or MSW, is scarce, this study analyzed the microbial communities using high throughput sequencing.

2. Materials and Methods

2.1. Materials and Inocula

One mixture material was silage samples of a Pennisetum hybrid planted in Guangzhou, China [27]. The other mixture material was MSW, which was collected from Heyuan district, Guangdong Province, China. The MSW was manually sorted to remove impurities, such as stones, plastics, glass, foam, and metal products. After sorting, the materials were crushed and stored in a refrigerator. The characteristics of the materials are listed in Table 1.
The inoculum was collected from a laboratory-scale reactor; that reactor was fed with microcrystalline cellulose and peptone, and operated at the temperature of 37 ± 1 °C. The total solid (TS) and VS contents were 1.87 ± 0.03% and 1.10 ± 0.01%, respectively.

2.2. Experimental Setup and Procedure

A continuously stirred tank reactor (2 L; Bioprocess Control AB, Sweden) was used for the experiments. The operating temperature of the reactor was 37 ± 0.5 °C, and the semi-continuous mode was used [21,28]. Previous studies showed that Pennisetum hybrid co-digested with pig or cow manure increased the stable operational OLRs to 4.5–6.0 g VS/(L⋅d) [28,29]. On the basis of our previous studies, two hybrid Pennisetum: MSW ratios were used: 50:50 (GM11) and 75:25 (GM31). Initially, inoculum (1.8 L) was placed into each reactor. The operative OLR gradually increased from 2.0 to 7.0 g VS/(L⋅d) for GM11 and GM31. The hydraulic retention time was 30, 29, 26, and 22 days for the OLRs of 2.0–5.0, 5.5, 6.0, and 7.0 g VS/(L⋅d), respectively. During the experiment, the operation time with OLRs of 2.0–6.0 g VS/(L⋅d) was 28–32 d according to the daily biogas yield [30], whereas the reactors operated for 11–12 d at an OLR of 7.0 g VS/(L⋅d). The entire experiment lasted for 257–258 days.

2.3. Analytical Methods

The methods employed for measuring the content of TS, VS, elemental C, elemental N, pH, total ammonia nitrogen (TAN), volatile fatty acids (VFAs, including butyric acid (Ba), propionic acid (Pa), and acetic acid (Aa)), alkalinity (intermediate alkalinity (IA), partial alkalinity (PA), and total alkalinity (TA)), and CH4 were described in a previous study [28,29].

2.4. Analytical Methods for Microbial Communities

Samples for determining the microorganism communities during co-digestion were collected on days 13 (GM11-2 and GM31-2), 51 (GM11-2.5 and GM31-2.5), 83 (GM11-3.5 and GM31-3.5), 112 (GM11-4 and GM31-4), 144 (GM11-4.5 and GM31-4.5), 172 (GM11-5 and GM31-5), 198 (GM11-5.5 and GM31-5.5), and 235 (GM11-6 and GM31-6) at OLRs of 2.0, 2.5, 3.5, 4.0, 4.5, 5.0, 5.5, and 6.0 g VS/(L⋅d), respectively. DNA extraction, polymerase chain reaction amplification, and phylogenetic analysis were performed as described previously [29].

3. Results and Discussion

3.1. Performance, Process Parameters, and the Microbial Community of GM11

3.1.1. GM11 Performance

For the GM11 reactor, the system was steady at OLRs of 2.0–6.0 g VS/(L·d). The specific biogas yields (SBY) ranges were 382.83 ± 66.43–515.73 ± 58.95 mL/g VS (Table 2, Figure S1A,B). Correspondingly, the specific methane yields (SMY) ranges were 199.81 ± 33.00–279.53 ± 33.81 mL/g VS. The volumetric biogas yields (VBY) increased from 1.03 ± 0.12 m3/(m3·d) to 2.67 ± 0.24 m3/(m3·d) as the OLR increased (Table 2 and Figure S1C). At an OLR of 7.0 g VS/(L·d), the system only operated for 12 days before crashing because of anaerobic foaming, with SBY and SMY of 403.94 ± 21.90 and 224.27 ± 12.16 mL/g VS, respectively. The anaerobic foaming is a key factor that leads to the instability or failure of the anaerobic digestion process [31]. Similarly, anaerobic foaming was observed at the OLR of 7.0 g VS/(L·d) for a co-digestion system of animal manure and rice straw [32].
During the process, the average pH remained between 7.00 and 7.28 (Figure S2A). The maximum concentrations of Aa (667.64 mg/L), Pa (280.28 mg/L), and Ba (252.22 mg/L) were obtained at OLRs of 4.0–5.0 g VS/(L·d) (Figure 1A and Figure S2C). For different systems, the TAN and VFA inhibition thresholds varied depending on the feedstock and operating conditions. Previous studies have reported that TAN and VFA concentrations of more than 4100 mg/L and 3500 mg/L, respectively, could result in the toxicity or inhibition of anaerobic digestion [33,34]. For this co-digestion system, the highest VFAs and TAN concentrations were 1154.14 and 390 mg/L, respectively (Figure 2A and Figure S2B), which were lower than the reported inhibition thresholds. Some parameters, such as the IA/PA and VFAs/TA ratios, are used as stable indicators. Regarding the IA/PA ratios, values less than or equal to 0.3 suggested that the stability is preserved [35,36]. For a mesophilic reactor treating sewage sludge, a stable performance occurred at an IA/PA ratio of 0.9 [37]. For the VFAs/TA ratio, a system feeding food waste was stable at values of less than 0.4, instability increased at values of 0.4–0.6, and the system destabilized and completely acidized at values greater than 0.6 [38]. Slightly different critical VFAs/TA values were reported for the operation manual of anaerobic sludge digestion, which was stable at a value of less than 0.4, experienced some instability from 0.4–0.8, and was significantly destabilized at values greater than 0.8 [39]. Therefore, the stability threshold based on the process parameters was related to many factors, including material and operating conditions. For this system, the VFAs/TA ratio varied from 0.00 to 0.25, and the IA/PA ratios ranged from 0.17 to 0.52 (Figure S3A,B). Considering all the process parameters, including IA/PA, VFAs, TAN, and VFAs/TA, the system was stable at OLRs of 2.0–6.0 g VS/(L·d).

3.1.2. Changes in Microbial Community during Digestion

For the GM11 bacteria, the relative abundance including the phylum Firmicutes, Bacteroidetes, Proteobacteria, Chloroflexi, and Synergistetes reached 91.38–98.10% of the total reads of bacteria at OLRs of 2.0–6.0 g VS/(L·d) (Table S2 and Figure S4A). For Bacteroidetes, the relative abundance increased to 49.96–65.76% with the OLRs raised to 2.5–4.0 g VS/(L·d), and then the values decreased to 39.03–58.47% with OLRs further increased. For Firmicutes, the relative abundance reached 22.21–47.87% at OLRs of 4.0–6.0 g VS/(L·d). Whereas the relative abundance of Proteobacteria and Chloroflexi both decreased by 96%. For archaea, the dominant microorganisms, including Methanomicrobiales, Methanosarcinales, Methanobacteriales, and Desulfurococcales, accounted for 93.30–98.59% of the total archaea reads (Table S2 and Figure S4B). The relative abundance of Methanomicrobiales reached a peak value of 74.17% at the OLR of 4.0 g VS/(L⋅d), and then gradually decreased with OLRs further increased. The relative abundance of Methanobacteriales increased to 13.43–26.09% as OLRs were raised to 4.5–6.0 g VS/(L⋅d). The relative abundance of Methanosarcinales reached a high value of 51.84–61.15% at the OLR of 2.0–2.5 g VS/(L⋅d), and then decreased to 9.92–19.51%.
At the genus level, the bacteria included Ruminococcus, Anaerophaga, Mariniphaga, Saccharofermentans, Bacteroides, Intestinimonas, Meniscus, Prevotella, Thermogutta, Puniceicoccus, Clostridium, Geobacter, Smithella, Ornatilinea, Levilinea, Syntrophorhabdus, Syntrophobacter, Syntrophomonas, Sedimentibacter, Proteiniphilum, Leptolineas, Aminivibrio, Anaerovorax, Pseudomonas, and Cloacibacillus. Among these bacteria, Ruminococcus, Anaerophaga, Mariniphaga, Saccharofermentans, Bacteroides, Intestinimonas, Meniscus, Prevotella, Thermogutta, Puniceicoccus, and Clostridium participated in the hydrolysis/acidogenesis phase of GM11. The relative abundances of these bacteria varied as OLRs changed (Figure 1B–D). The relative abundance of Ruminococcus ranged from 0.06 to 1.47%. Increases in the relative abundances of Anaerophaga (a peak value of 1.79%) and Saccharofermentans (a maximum value of 9.72%) were observed as OLRs increased to 6.0 g VS/(L·d), coupled with a decrease for Mariniphaga and Meniscus.
Among the aforementioned bacteria, Clostridium, Intestinimonas, and Prevotella were related to the accumulation of VFAs. The total relative abundance of these bacteria reached 5.05% with OLRs increased to 6.0 g VS/(L⋅d), coupled with a shift in the dominant bacteria (Figure 1C). The relative abundance decreased by 96–99% for Clostridium sensu stricto as OLRs increased to 6.0 g VS/(L⋅d), while the relative abundance increased for Prevotella, Clostridium XlVa, and Clostridium III. For Prevotella, the relative abundance increased to 1.27–2.42%. For Clostridium XlVa and Clostridium III, the relative abundance increased by 181–692% in comparison with values at OLRs of 2.0 and 6.0 g VS/(L⋅d). The results showed that the increment in the concentrations of Pa and Ba of GM11 at higher OLRs was attributed to the increase in the relative abundances of Prevotella, Clostridium XlVa, and Clostridium III.
A steadily operated anaerobic digestion system or reactor is often accompanied by low concentrations of Pa or Ba, which can be converted by Geobacter, Smithella, Syntrophorhabdus, Syntrophobacter, and Syntrophomonas (Figure 1D). As the OLRs increased from 2.0–3.0 to 3.5–6.0 g VS/(L⋅d), the relative abundance of these bacteria decreased from 4.35–9.85% to 1.04–3.88%. Notably, the relative abundances of Smithella, Syntrophobacter, and Syntrophorhabdus decreased by 96–99%, whereas the value of Syntrophomonas increased from 1.06% to 3.75% as the OLRs were raised from 2.0 to 6.0 g VS/(L⋅d). Therefore, there was a shift in the propionate/butyrate oxidization bacteria with OLR changed.
The genera Sedimentibacter, Ornatilinea, Proteiniphilum, Leptolineas, Levilinea, Intestinimonas, Aminivibrio, Anaerovorax, Pseudomonas, and Cloacibacillus contributed to the conversion of nitrogen compounds during anaerobic digestion. The total relative abundance of these bacteria ranged from 10.80 to 35.46% at OLRs of 2.0–6.0 g VS/(L⋅d) (Figure 2B). Among these bacteria, Proteiniphilum became the primary protein-degrading bacteria as OLRs increased, with the relative abundance reaching 13.54–25.05%. In contrast, the relative abundances of Ornatilinea, Levilinea, and Sedimentibacter decreased by 98%, 96%, and 98%, respectively. The results indicated that the change in OLRs caused the succession of bacteria related to the conversion of nitrogen compounds.
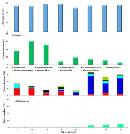
For GM11, the methane content averaged 50.26–57.95%. The formation of methane was completed by various methanogens, including the genera Methanothrix, Methanolinea, Methanobacterium, Methanospirillum, Methanomassiliicoccus, Methanosphaerula, Methanoculleus, Methanomethylovorans, Methanoregula, Methanobrevibacter, and Methanosarcina (Figure 3). The dominant methanogens varied as OLRs increased, suggesting that a shift in the methane-forming pathway appeared. Methanothrix was the dominant methanogen at OLRs of 2.0–3.5 g VS/(L·d) and accounted for 36.34–60.88% of the total reads of archaea, indicating that the acetoclastic mode was the main conversion pathway. When OLRs increased to 5.0–6.0 g VS/(L·d), the total relative abundance of hydrogenotrophic methanogens, including the genera Methanolinea, Methanobacterium, Methanomassiliicoccus, Methanosphaerula, Methanoculleus, Methanomethylovorans, Methanoregula, and Methanobrevibacter increased to 26.77–34.01%, with a particularly notable increase in Methanobacterium. The relative abundance of Methanothrix decreased to 5.63–14.12%.

3.2. Performance, Process, and Microbial Community of GM31

3.2.1. GM31 Performance

For GM31, the system was in a steady state at OLRs of 2.0–6.0 g VS/(L·d). The SBY ranged from 404.10 ± 38.93 to 538.79 ± 49.43 mL/g VS (Table 2, Figure S5A,B); correspondingly, the SMY ranges were 233.48 ± 50.45–290.67 ± 30.33 mL/g VS. The VBY increased from 1.08 ± 0.10 to 2.55 ± 0.26 m3/(m3·d) as the OLR increased (Table 2 and Figure S5C). At an OLR of 7.0 g VS/(L·d), the system operated for 11 days before crashing because of sludge bulking, with SBY and SMY of 387.78 ± 18.74 and 241.89 ± 11.69 mL/g VS, respectively. During the process, the average pH ranges were 7.00–7.27 (Figure 4A and Figure S6A). The total VFAs concentration achieved a maximum value of 2308.67 mg/L at an OLR of 5.5 g VS/(L·d), with Aa, Pa, and Ba concentrations of 1206.99, 334.98, and 766.71 mg/L, respectively (Figure 4A and Figure S6C). The TAN concentration was less than 509 mg/L (Figure 2C and Figure S6B). The VFAs/TA ratio ranges were 0.00–0.34, whereas the IA/PA ratio ranges were 0.08–0.92 (Figure S7). The results of these process parameters indicated that the system was in a stable state.

3.2.2. Changes of Microbial Community of GM31 during the Process

For GM31, the bacterial community at the phylum level was similar to that of the GM11 system. The relative abundance of these bacteria reached 86.92–97.20% of the total reads of bacteria (Table S3 and Figure S4A). As OLRs increased, the relative abundance of Bacteroidetes and Firmicutes achieved a high value of 43.98–66.65% and 1.20–29.40%, respectively. Whereas the relative abundance of Proteobacteria and Chloroflexi decreased. The archaeal community was dominated by Methanobacteriales, Methanosarcinales, Methanomicrobiales, and Desulfurococcales, which accounted for 88.73–98.33% of the total reads of archaea (Table S3 and Figure S4B). As OLRs increased to 4.5–6.0 g VS/(L⋅d), the relative abundance of Methanomicrobiales and Methanobacteriales increased to 49.02–63.09% and 8.22–14.90%, respectively, while a decrease for Methanosarcinales appeared.
At the genus level, the bacterial community of GM31 was similar to that of GM11, coupled with the same bacteria participating in the VFAs accumulation, oxidation of Pa or Ba, and conversion of nitrogen compounds. The total relative abundance for these bacteria ranged from 32.01% to 69.43% at OLRs of 2.0–6.0 g VS/(L·d) (Figure 4B–D). For bacteria that participated in the hydrolysis/acidogenesis phase, the relative abundance of Mariniphaga, Meniscus, and Puniceicoccus decreased by 91–99% as the OLRs increased to 6.0 g VS/(L·d), and the value of Saccharofermentans reached a maximum relative abundance of 4.01%.
The total relative abundance of bacteria contributing to VFA accumulation obtained a value of 5.55% at an OLR of 6.0 g VS/(L·d) (Figure 4C). Meanwhile, the relative abundance of Clostridium sensu stricto decreased by 96%, whereas the values of Prevotella, Clostridium XlVa, and Clostridium III increased by 182–693%. Therefore, the main contributors to the increase in Pa and Ba of GM31 at higher OLRs included Prevotella, Clostridium XlVa, and Clostridium III.
For the bacteria contributing to the consumption of Pa or Ba, the total relative abundance of these bacteria gradually decreased from 3.86–8.58% to 1.61–2.91% with OLRs raised from 2.0–4.0 to 4.5–6.0 g VS/(L⋅d) (Figure 4D). Among these genera, the relative abundances of Smithella, Geobacter, and Syntrophorhabdus decreased, whereas the value of Syntrophomonas increased from 0.80% to 1.52%. The results suggested that a shift of bacteria related to propionate/butyrate oxidation appeared as OLRs increased.
The total relative abundance of bacteria involved in the metabolism of nitrogen compounds was 10.88–54.63% at OLRs of 2.0–6.0 g VS/(L⋅d) (Figure 2D). Proteiniphilum (50.88%) became the primary protein-degrading bacteria as OLRs increased to 6.0 g VS/(L⋅d). Meanwhile, a decrease of 96%, 73%, and 89% in the relative abundance of Levilinea, Cloacibacillus, and Sedimentibacter occurred.
For GM31, the average methane content ranges were 51.51–62.38% (Figure 5). The communities of methanogens were similar to those observed in the GM11 system. As OLRs increased to 4.5–6.0 g VS/(L·d), the relative abundance of Methanothrix decreased, whereas the values of hydrogenotrophic methanogens and Methanosarcina increased to 24.32–39.69% and 9.14–24.97%, respectively.

3.3. Comparison of the Performance and Shift of Microorganisms at Different Mixture Ratios and OLRs

Comparing the performance of the two systems, the mixture ratio of material could influence the biogas yields of anaerobic digestion. For GM31, higher values of 3.37–17.80% and 1.93–17.68% in VBY and SBY were obtained at OLRs of 2.0–5.0 g VS/(L·d) compared to GM11. However, a decrease of 4.00–4.66% in the biogas yield appeared as OLRs increased further. Moreover, an increase of 0.29–23.29% in methane yield for GM31 was observed at OLRs of 4.5–7.0 g VS/(L·d), indicating that the mixture ratio also influenced the methane content. Wei et al. [40] found that the biogas yield of maize straw co-digested with cow manure averaged 613.8 mL/g VS at a mixing ratio of 1:1 and a feed concentration of 15 g VS/L. The cumulative methane yield of co-digested cow manure and oat straw reached 841.77 mL/g VSadded at optimum ratios of 1:2 [41].
The same bacteria participated in the hydrogenesis/acidogenesis/acetogenesis phase in both systems, coupled with similar change trends as OLRs increased. The bacteria related to the hydrolysis of macromolecular organic matter, such as cellulose or hemicellulose, included Ruminococcus, Saccharofermentans, Anaerophaga, and Mariniphaga. Ruminococcus, a hydrolytic bacterium, can ferment cellulosic and hemicellulosic compounds [42]. Saccharofermentans converts polysaccharides and hexoses into lactate, fumarate, and acetate [43]. Anaerophaga, a strictly anaerobic fermentative microorganism, shows xylanase activity [44]. Mariniphaga, a facultative anaerobic bacterium, can ferment a variety of polysaccharides [45]. For both systems, the relative abundance of Anaerophaga and Saccharofermentans increased as OLRs increased, while a decrease was obtained for Mariniphaga and Meniscus.
For both systems, the main contributors to the VFAs accumulation shifted from Clostridium IV to Prevotella, Clostridium XlVa, and Clostridium III as OLRs increased. The genus Prevotella is a main producer of Pa [46,47]. The genus Clostridium, particularly Clostridium cluster XIVa, is a main producer of Ba [42,48]. The main bacteria for converting Pa and Ba changed from Smithella, Geobacter, and Syntrophorhabdus to Syntrophomonas as OLRs increased. Syntrophobacter, Smithella, Syntrophorhabdus, and Syntrophomonas have been reported as propionate/butyrate oxidizers via syntrophic processes with methanogens [49], and Syntrophomonas became the key bacteria at higher OLRs [50]. With the combination of the variation in the bacteria related to VFAs accumulation and propionate/butyrate oxidation, the genera Clostridium IV, Smithella, Geobacter, and Syntrophorhabdus are responsible for VFAs production and consumption at low OLRs, whereas Prevotella, Clostridium XlVa, Clostridium III, and Syntrophomonas became the dominant bacteria as OLRs increased.
For both co-digestion systems, there was a shift in protein-degradation bacteria that appeared as the OLR changed. Proteiniphilum has the ability to convert peptone, arginine yeast, glycine, and extract to NH3 and acetate [43,47]. Levilinea converts amino acids to lactate, acetate, and H2 [47]. Ornatilinea ferments carbohydrates and polypeptides, including microcrystalline cellulose, with the production of H2, ethanol, and acetate [51]. Sedimentibacter ferments proteins to produce VFAs through Stickland-type reactions [47]. Regarding the variation of relative abundance, the dominant bacteria included Ornatilinea, Sedimentibacter, and Levilinea at an OLR of 2.0 g VS/(L·d), Ornatilinea and Levilinea at an OLR of 2.5–3.5 g VS/(L·d), and Proteiniphilum with further increased OLRs. He et al. [52] found that Proteiniphilum became the dominant genus in a system of digested kitchen waste.
For both co-digestion systems, the relative abundance of Methanothrix decreased as OLRs increased, whereas the values of hydrogenotrophic methanogens, particularly Methanobacterium, increased. Additionally, the relative abundance of Methanosarcina also increased. The results indicated that a shift from acetoclastic to hydrogenotrophic or multifunctional methanogens appeared as the OLRs increased. Feng et al. [53] reported that for a system in which MSW was digested with a COD concentration of 300–6000 mg/L recirculation, the dominant methanogens shifted from acetotrophic Methanothrix to hydrogenotrophic Methanobacterium. Shi et al. [54] also observed that the methanogenesis pathway shifted from acetoclastic to hydrogenotrophic when perturbations occurred in a mesophilic reactor feeding the mixture of food waste and wheat straw.
In conclusion, an obvious effect of OLRs on the microorganism community was observed for both co-digestion systems (Figure 6). The microorganisms responsible for the hydrolysis/acidogenesis/acetogenesis phase of carbohydrate degradation, such as Saccharofermentans, Prevotella, Clostridium, and Syntrophomonas, became the dominant microbes as the OLR increased. Similarly, for conversion of nitrogen compounds, Proteiniphilum and Levilinea became the dominant genera. For methanogens, the dominant genus shifted from Methanothrix to hydrogenotrophic and multifunctional methanogens. Similarly, Kim et al. [55] found that Petrimonas, Syntrophomonas, Proteiniphilum, and Fastidiosipila were the dominant bacterial genera that contributed to hydrolysis and fermentation in a system treating food waste-recycling wastewater.

4. Conclusions

In this study, the possible links between the performance and microbial community of hybrid Pennisetum co-digested with MSW were investigated. Overall, the mixture ratios influenced the biogas yield, whereas a shift in the bacterial and methanogen communities occurred as the OLR changed. Further, the systems were stably operated at OLRs of 2.0–6.0 g VS/(L⋅d). Compared with GM11, an increase of 1.93–17.68% and 0.29–23.29% in SBY and SMY, respectively, were obtained for GM31. The genera Saccharofermentans, Prevotella, Clostridium, Syntrophomonas, Proteiniphilum, and Levilinea participated in the hydrolysis/acidogenesis/acetogenesis phase and became the dominant microbes as OLR increased. Simultaneously, there was a shift from Methanothrix to hydrogenotrophic and multifunctional methanogens.

Supplementary Materials

The following are available online at https://www.mdpi.com/article/10.3390/en14123651/s1, Figure S1: Performance of GM11 reactor at semi-continuous mode, Figure S2: Variation of pH, TAN and VFAs of GM11 reactor at semi-continuous mode, Figure S3: The IA/PA and VFAs/TA ratio of GM11 reactor at semi-continuous mode, Figure S4: The bacteria community at phylum level (A) and archaea community at order level (B) of GM11 and GM31, Figure S5: Performance of GM31 reactor at semi-continuous mode, Figure S6: Variation of pH, TAN and VFAs of GM31 reactor at semi-continuous mode, Figure S7: The IA/PA and VFAs/TA ratio of GM31 reactor at semi-continuous mode, Table S1: Experiment condition setting, Table S2: The diversity analysis of bacteria and archaea for GM11 reactor, Table S3: The diversity analysis of bacteria and archaea for GM31 reactor.

Author Contributions

Conceptualization, Q.Z. and L.L.; methodology, Q.Z.; software, Q.Z. and H.R.; validation, H.R.; formal analysis, Q.Z., S.H. and L.L.; investigation, S.H.; resources, Y.S.; writing—original draft preparation, Q.Z. and S.H.; writing—review and editing, Q.Z. and L.L.; visualization, Q.Z. and S.H.; supervision, L.L. and Y.S.; project administration, Y.S.; funding acquisition, L.L. and Y.S. All authors have read and agreed to the published version of the manuscript.

Funding

This work was financially supported by the National Key R&D Program (grant no. 2018YFE0111000) and the Strategic Priority Research Program of Chinese Academy of Sciences (grant no. XDA21050400).

Institutional Review Board Statement

Not applicable.

Informed Consent Statement

Not applicable.

Data Availability Statement

The data presented in this study are available on request from the corresponding author.

Acknowledgments

The authors would like to give thanks for the experimental equipment support provided by the Guangzhou Institute of Energy Conversion, Chinese Academy of Sciences. We are also grateful for the major bio-related testing services provided by the Analysis and Testing Center of Guangzhou Institute of Energy Conversion, Chinese Academy of Sciences.

Conflicts of Interest

The authors declare no conflict of interest. The funders had no role in the design of the study; in the collection, analyses, or interpretation of data; in the writing of the manuscript, or in the decision to publish the results.

References

  1. Surendra, K.C.; Ogoshi, R.; Zaleski, H.M.; Hashimoto, A.G.; Khanal, S.K. High yielding tropical energy crops for bioenergy production: Effects of plant components, harvest years and locations on biomass composition. Bioresour. Technol. 2018, 251, 218–229. [Google Scholar] [CrossRef] [PubMed]
  2. Sun, Y.; Zhang, Z.; Sun, Y.; Yang, G. One-pot pyrolysis route to Fe−N-Doped carbon nanosheets with outstanding electrochemical performance as cathode materials for microbial fuel cell. Int. J. Agric. Biol. Eng. 2020, 13, 207–214. [Google Scholar]
  3. Masse, D.; Gilbert, Y.; Savoie, P.; Belanger, G.; Parent, G.; Babineau, D. Methane yield from switchgrass and reed canarygrass grown in Eastern Canada. Bioresour. Technol. 2011, 102, 10286–10292. [Google Scholar] [CrossRef]
  4. Masse, D.; Gilbert, Y.; Savoie, P.; Belanger, G.; Parent, G.; Babineau, D. Methane yield from switchgrass harvested at different stages of development in Eastern Canada. Bioresour. Technol. 2010, 101, 9536–9541. [Google Scholar] [CrossRef] [PubMed]
  5. Peng, X.W.; Li, C.; Liu, J.; Yi, Z.L.; Han, Y.J. Changes in composition, cellulose degradability and biochemical methane potential of Miscanthus species during the growing season. Bioresour. Technol. 2017, 235, 389–395. [Google Scholar] [CrossRef] [PubMed]
  6. Thamsiriroj, T.; Nizami, A.S.; Murphy, J.D. Why does mono-digestion of grass silage fail in long term operation? Appl. Energy 2012, 95, 64–76. [Google Scholar] [CrossRef]
  7. Wall, D.M.; Allen, E.; Straccialini, B.; O’Kiely, P.; Murphy, J.D. The effect of trace element addition to mono-digestion of grass silage at high organic loading rates. Bioresour. Technol. 2014, 172, 349–355. [Google Scholar] [CrossRef] [PubMed]
  8. Siddique, M.N.I.; Ab Wahid, Z. Achievements and perspectives of anaerobic co-digestion: A review. J. Clean. Prod. 2018, 194, 359–371. [Google Scholar] [CrossRef]
  9. Hidaka, T.; Wang, F.; Sakurai, K.; Tsumori, J.; Minamiyama, M. Anaerobic codigestion of grass and sewage sludge: Laboratory experiments and feasibility analysis. Water Environ. Res. 2016, 88, 2070–2081. [Google Scholar] [CrossRef] [PubMed]
  10. Pehme, S.; Veromann, E.; Hamelin, L. Environmental performance of manure co-digestion with natural and cultivated grass—A consequential life cycle assessment. J. Clean. Prod. 2017, 162, 1135–1143. [Google Scholar] [CrossRef]
  11. Zhou, H.; Meng, A.H.; Long, Y.Q.; Li, Q.H.; Zhang, Y.G. An overview of characteristics of municipal solid waste fuel in China: Physical, chemical composition and heating value. Renew. Sustain. Energy Rev. 2014, 36, 107–122. [Google Scholar] [CrossRef]
  12. Gu, B.X.; Jiang, S.Q.; Wang, H.K.; Wang, Z.B.; Jia, R.F.; Yang, J.; He, S.; Cheng, R. Characterization, quantification and management of China’s municipal solid waste in spatiotemporal distributions: A review. Waste Manag. 2017, 61, 67–77. [Google Scholar] [CrossRef] [PubMed]
  13. Panigrahi, S.; Dubey, B.K. A critical review on operating parameters and strategies to improve the biogas yield from anaerobic digestion of organic fraction of municipal solid waste. Renew. Energy 2019, 143, 779–797. [Google Scholar] [CrossRef]
  14. Mu, L.; Zhang, L.; Zhu, K.; Ma, J.; Li, A. Semi-continuous anaerobic digestion of extruded OFMSW: Process performance and energetics evaluation. Bioresour. Technol. 2018, 247, 103–115. [Google Scholar] [CrossRef]
  15. Negi, S.; Dhar, H.; Hussain, A.; Kumar, S. Biomethanation potential for co-digestion of municipal solid waste and rice straw: A batch study. Bioresour. Technol. 2018, 254, 139–144. [Google Scholar] [CrossRef]
  16. Abudi, Z.N.; Hu, Z.Q.; Sun, N.; Xiao, B.; Rajaa, N.; Liu, C.X.; Guo, D.B. Batch anaerobic co-digestion of OFMSW (organic fraction of municipal solid waste), TWAS (thickened waste activated sludge) and RS (rice straw): Influence of TWAS and RS pretreatment and mixing ratio. Energy 2016, 107, 131–140. [Google Scholar] [CrossRef]
  17. Zhang, W.L.; Zhang, L.; Li, A.M. Anaerobic co-digestion of food waste with MSW incineration plant fresh leachate: Process performance and synergistic effects. Chem. Eng. J. 2015, 259, 795–805. [Google Scholar] [CrossRef]
  18. Somerville, C.; Youngs, H.; Taylor, C.; Davis, S.C.; Long, S.P. Feedstocks for lignocellulosic biofuels. Science 2010, 329, 790–792. [Google Scholar] [CrossRef]
  19. Yang, M.; Wang, J.F.; Hou, X.C.; Wu, J.Y.; Fan, X.F.; Jiang, F.; Tao, P.; Wang, F.; Peng, P.; Yang, F.X.; et al. Exploring surface characterization and electrostatic property of Hybrid Pennisetum during alkaline sulfite pretreatment for enhanced enzymatic hydrolysability. Bioresour. Technol. 2017, 244, 1166–1172. [Google Scholar] [CrossRef] [PubMed]
  20. Zhang, Y.; Li, L.H.; Kang, X.H.; Sun, Y.M.; Yuan, Z.H.; Xing, T.; Lin, R.C. Improving methane production from Pennisetum hybrid by monitoring plant height and ensiling pretreatment. Renew. Energy 2019, 141, 57–63. [Google Scholar] [CrossRef]
  21. Li, L.H.; Li, Y.; Sun, Y.M.; Yuan, Z.H.; Kang, X.H.; Zhang, Y.; Yang, G.X. Effect of bioaugmentation on the microbial community and mono-digestion performance of Pennisetum hybrid. Waste Manag. 2018, 78, 741–749. [Google Scholar]
  22. Zhou, S.; Geng, B.; Li, M.; Li, Z.; Liu, X.; Guo, H. Comprehensive analysis of environmental factors mediated microbial community succession in nitrogen conversion and utilization of ex situ fermentation system. Sci. Total Environ. 2021, 769, 145219. [Google Scholar] [CrossRef] [PubMed]
  23. Liu, Y.; Li, X.; Kang, X.; Yuan, Y.; Du, M. Short chain fatty acids accumulation and microbial community succession during ultrasonic-pretreated sludge anaerobic fermentation process: Effect of alkaline adjustment. Int. Biodeterior. 2014, 94, 128–133. [Google Scholar] [CrossRef]
  24. Shi, R.; Han, Z.; Li, H.; Wang, S.; Guo, N.; Zhang, Y. Carbon emission and energy potential of a novel spatiotemporally anaerobic/semi-aerobic bioreactor for domestic waste treatment. Waste Manag. 2020, 114, 115–123. [Google Scholar] [CrossRef] [PubMed]
  25. Llamas, M.; Magdalena, J.A.; Greses, S.; Tomás-Pejó, E.; González-Fernández, C. Insights on the microbial communities developed during the anaerobic fermentation of raw and pretreated microalgae biomass. Chemosphere 2021, 263, 127942. [Google Scholar] [CrossRef]
  26. Zheng, Z.; Cai, Y.; Zhao, Y.; Meng, X.; Zhang, Y.; Lu, C.; Hu, Y.; Cui, Z.; Wang, X. Achieve clean and efficient biomethane production by matching between digestate recirculation and straw-to-manure feeding ratios. J. Clean. Prod. 2020, 263, 121414. [Google Scholar] [CrossRef]
  27. Li, L.H.; Sun, Y.M.; Yuan, Z.H.; Kong, X.Y.; Wang, Y. Influence of harvest period and frequency on methane yield of Pennisetum hybrids. J. Energy Eng. 2016, 142, 04015033. [Google Scholar] [CrossRef]
  28. Li, L.H.; Li, Y.; Sun, Y.M.; Yuan, Z.H.; Lv, P.M.; Kang, X.H.; Zhang, Y.; Yang, G.X. Influence of the feedstock ratio and organic loading rate on the Co-digestion performance of Pennisetum hybrid and cow manure. Energy Fuel 2018, 32, 5171–5180. [Google Scholar] [CrossRef]
  29. Li, L.; He, S.; Sun, Y.; Kang, X.; Jiang, J.; Yuan, Z.; Liu, D. A comparative study of performance and microbial community at different mixture ratio and organic loading rate. Chemosphere 2020, 247, 125871. [Google Scholar]
  30. Streitwieser, D.A. Comparison of the anaerobic digestion at the mesophilic and thermophilic temperature regime of organic wastes from the agribusiness. Bioresour. Technol. 2017, 241, 985–992. [Google Scholar] [CrossRef]
  31. Yang, P.; Peng, Y.; Tan, H.; Liu, H.; Wu, D.; Wang, X.; Li, L.; Peng, X. Foaming mechanisms and control strategies during the anaerobic digestion of organic waste: A critical review. Sci. Total Environ. 2021, 779, 146531. [Google Scholar] [CrossRef] [PubMed]
  32. Li, D.; Mei, Z.; He, W.; Yuan, Y.; Yan, Z.; Li, J.; Liu, X. Biogas production from thermophilic codigestion of air-dried rice straw and animal manure. Int. J. Energy Res. 2016, 40, 1245–1254. [Google Scholar] [CrossRef]
  33. Xu, R.; Zhang, K.; Liu, P.; Khan, A.; Xiong, J.; Tian, F.K.; Li, X.K. A critical review on the interaction of substrate nutrient balance and microbial community structure and function in anaerobic co-digestion. Bioresour. Technol. 2018, 247, 1119–1127. [Google Scholar] [CrossRef] [PubMed]
  34. Mehariya, S.; Patel, A.K.; Obulisamy, P.K.; Punniyakotti, E.; Wong, J.W.C. Co-digestion of food waste and sewage sludge for methane production: Current status and perspective. Bioresour. Technol. 2018, 265, 519–531. [Google Scholar] [CrossRef] [PubMed]
  35. Li, L.; Peng, X.Y.; Wang, X.M.; Di Wu, D. Anaerobic digestion of food waste: A review focusing on process stability. Bioresour. Technol. 2018, 248, 20–28. [Google Scholar] [CrossRef]
  36. Martin-Gonzalez, L.; Font, X.; Vicent, T. Alkalinity ratios to identify process imbalances in anaerobic digesters treating source-sorted organic fraction of municipal wastes. Biochem. Eng. J. 2013, 76, 1–5. [Google Scholar] [CrossRef]
  37. Ferrer, I.; Vazquez, F.; Font, X. Long term operation of a thermophilic anaerobic reactor: Process stability and efficiency at decreasing sludge retention time. Bioresour. Technol. 2010, 101, 2972–2980. [Google Scholar] [CrossRef]
  38. Ma, X.X.; Yu, M.; Song, N.; Xu, B.H.; Gao, M.; Wu, C.F.; Wang, Q.H. Effect of ethanol pre-fermentation on organic load rate and stability of semi-continuous anaerobic digestion of food waste. Bioresour. Technol. 2020, 299, 122587. [Google Scholar] [CrossRef]
  39. Mashava, A. Operations Manual: Anaerobic Sludge Digestion Pilot Plant Ethekwini Municipality Department of Water and Sanitation—Southern Wastewater Treatment Plant; EPA: Washington, DC, USA, 2017.
  40. Wei, L.L.; Qin, K.; Ding, J.; Xue, M.; Yang, C.Y.; Jiang, J.Q.; Zhao, Q.L. Optimization of the co-digestion of sewage sludge, maize straw and cow manure: Microbial responses and effect of fractional organic characteristics. Sci. Rep. UK 2019, 9, 1–10. [Google Scholar] [CrossRef]
  41. Zhao, Y.B.; Sun, F.R.; Yu, J.D.; Cai, Y.F.; Luo, X.S.; Cui, Z.J.; Hu, Y.G.; Wang, X.F. Co-digestion of oat straw and cow manure during anaerobic digestion: Stimulative and inhibitory effects on fermentation. Bioresour. Technol. 2018, 269, 143–152. [Google Scholar] [CrossRef]
  42. Jehlee, A.; Khongkliang, P.; Suksong, W.; Rodjaroen, S.; Waewsak, J.; Reungsang, A.; Thong, S.O. Biohythane production from Chlorella sp biomass by two-stage thermophilic solid-state anaerobic digestion. Int. J. Hydrogen. Energy 2017, 42, 27792–27800. [Google Scholar] [CrossRef]
  43. Cardinali-Rezende, J.; Rojas-Ojeda, P.; Nascimento, A.M.A.; Sanz, J.L. Proteolytic bacterial dominance in a full-scale municipal solid waste anaerobic reactor assessed by 454 pyrosequencing technology. Chemosphere 2016, 146, 519–525. [Google Scholar] [CrossRef]
  44. Gao, Z.M.; Liu, X.; Ruan, L.W. Genome sequence of Anaerophaga sp. strain HS1, a novel, moderately thermophilic, strictly anaerobic bacterium isolated from hot spring sediment. J. Bacteriol. 2011, 193, 5572. [Google Scholar] [CrossRef] [PubMed][Green Version]
  45. Wang, F.Q.; Shen, Q.Y.; Chen, G.J.; Du, Z.J. Mariniphaga sediminis sp. nov., isolated from coastal sediment. Int. J. Syst. Evol. Micr. 2015, 65, 2908–2912. [Google Scholar] [CrossRef] [PubMed]
  46. Liu, C.; Meng, Q.H.; Chen, Y.X.; Xu, M.S.; Shen, M.; Gao, R.; Gan, S.Q. Role of age-related shifts in rumen bacteria and methanogens in methane production in cattle. Front. Microbiol. 2017, 8, 1563. [Google Scholar] [CrossRef] [PubMed]
  47. Maspolim, Y.; Zhou, Y.; Guo, C.H.; Xiao, K.K.; Ng, W.J. The effect of pH on solubilization of organic matter and microbial community structures in sludge fermentation. Bioresour. Technol. 2015, 190, 289–298. [Google Scholar] [CrossRef] [PubMed]
  48. Zhou, A.J.; Liu, W.Z.; Varrone, C.; Wang, Y.Z.; Wang, A.J.; Yue, X.P. Evaluation of surfactants on waste activated sludge fermentation by pyrosequencing analysis. Bioresour. Technol. 2015, 192, 835–840. [Google Scholar] [CrossRef]
  49. Ma, K.L.; Li, X.K.; Wang, K.; Meng, L.W.; Liu, G.G.; Zhang, J. Establishment of thermophilic anaerobic terephthalic acid degradation system through one-step temperature increase startup strategy—Revealed by Illumina Miseq Sequencing. Chemosphere 2017, 184, 951–959. [Google Scholar] [CrossRef]
  50. Xia, X.X.; Zhang, J.C.; Song, T.Z.; Lu, Y.H. Stimulation of Smithella-dominating propionate oxidation in a sediment enrichment by magnetite and carbon nanotubes. Environ. Microbiol. Rep. 2019, 11, 236–248. [Google Scholar] [CrossRef]
  51. Podosokorskaya, O.A.; Bonch-Osmolovskaya, E.A.; Novikov, A.A.; Kolganova, T.V.; Kublanov, I.V. Ornatilinea apprima gen. nov., sp. nov., a cellulolytic representative of the class Anaerolineae. Int. J. Syst. Evol. Micr. 2013, 63, 86–92. [Google Scholar] [CrossRef]
  52. He, Q.M.; Li, L.; Peng, X.Y. Early warning indicators and microbial mechanisms for process failure due to organic overloading in food waste digesters. J. Environ. Eng. 2017, 143, 04017077. [Google Scholar] [CrossRef]
  53. Feng, S.S.; Hong, X.J.; Wang, T.; Huang, X.; Tong, Y.J.; Yang, H.L. Reutilization of high COD leachate via recirculation strategy for methane production in anaerobic digestion of municipal solid waste: Performance and dynamic of methanogen community. Bioresour. Technol. 2019, 288, 121509. [Google Scholar] [CrossRef] [PubMed]
  54. Shi, X.C.; Guo, X.L.; Zuo, J.N.; Wang, Y.J.; Zhang, M.Y. A comparative study of thermophilic and mesophilic anaerobic co-digestion of food waste and wheat straw: Process stability and microbial community structure shifts. Waste Manag. 2018, 75, 261–269. [Google Scholar] [CrossRef] [PubMed]
  55. Kim, E.; Lee, J.; Han, G.; Hwang, S. Comprehensive analysis of microbial communities in full-scale mesophilic and thermophilic anaerobic digesters treating food waste-recycling wastewater. Bioresour. Technol. 2018, 259, 442–450. [Google Scholar] [CrossRef] [PubMed]
Figure 1. The pH, VFAs concentration, and the bacteria in genus level for GM11. (A) The values of pH and VFAs during the process. (B) The bacteria participated in the hydrolysis/acidogenesis phase. (C) The bacteria contributed to the accumulation of VFAs. (D) The bacteria involved in converting Pa and Ba.
Figure 1. The pH, VFAs concentration, and the bacteria in genus level for GM11. (A) The values of pH and VFAs during the process. (B) The bacteria participated in the hydrolysis/acidogenesis phase. (C) The bacteria contributed to the accumulation of VFAs. (D) The bacteria involved in converting Pa and Ba.
Energies 14 03651 g001
Figure 2. The NH3-N concentration and the bacteria in genus level for GM11 and GM31. (A) The NH3-N concentration of GM11. (B) The bacteria contributed to the nitrogen conversion of GM11. (C) The NH3-N concentration of GM31. (D) The bacteria contributed to the nitrogen conversion of GM31.
Figure 2. The NH3-N concentration and the bacteria in genus level for GM11 and GM31. (A) The NH3-N concentration of GM11. (B) The bacteria contributed to the nitrogen conversion of GM11. (C) The NH3-N concentration of GM31. (D) The bacteria contributed to the nitrogen conversion of GM31.
Energies 14 03651 g002
Figure 3. Methane contents and the methanogens in genus level for GM11.
Figure 3. Methane contents and the methanogens in genus level for GM11.
Energies 14 03651 g003
Figure 4. The pH, VFAs concentration and the bacteria in genus level for GM31. (A) The values of pH and VFAs during the process. (B) The bacteria participated in the hydrolysis/acidogenesis phase. (C) The bacteria contributed to the accumulation of VFAs. (D) The bacteria involved in converting Pa and Ba.
Figure 4. The pH, VFAs concentration and the bacteria in genus level for GM31. (A) The values of pH and VFAs during the process. (B) The bacteria participated in the hydrolysis/acidogenesis phase. (C) The bacteria contributed to the accumulation of VFAs. (D) The bacteria involved in converting Pa and Ba.
Energies 14 03651 g004
Figure 5. Methane contents and the methanogens in genus level for GM31.
Figure 5. Methane contents and the methanogens in genus level for GM31.
Energies 14 03651 g005
Figure 6. Shift of microorganism during the process of co-digestion system.
Figure 6. Shift of microorganism during the process of co-digestion system.
Energies 14 03651 g006
Table 1. Characteristics of Pennisetum hybrid and MSW.
Table 1. Characteristics of Pennisetum hybrid and MSW.
MaterialTS/%VS/% pHC/%N/%C/N
Pennisetum hybrid17.64 ± 0.6816.55 ± 0.663.4841.76 ± 0.250.975 ± 0.03542.86 ± 1.81
15.87 ± 0.6212.81 ± 0.45-39.59 ± 0.040.915 ± 0.02143.28 ± 0.96
20.94 ± 0.8418.17 ± 0.815.0443.41 ± 0.540.695 ± 0.0262.50 ± 2.68
19.05 ± 1.1516.48 ± 1.184.8840.51 ± 0.330.655 ± 0.02161.88 ± 2.51
16.68 ± 0.4913.61 ± 0.964.3538.98 ± 0.570.735 ± 0.02153.06 ± 2.31
MSW29.42 ± 0.1920.21 ± 0.06-35.97 ± 0.511.25 ± 0.2829.57 ± 6.14
28.11 ± 1.03 20.55 ± 0.85-32.84 ± 1.171.46 ± 0.0122.49 ± 1.02
32.62 ± 0.5924.02 ± 0.22-35.27 ± 0.511.75 ± 0.0420.16 ± 0.78
26.82 ± 0.0319.51 ± 1.70-37.13 ± 1.030.92 ± 0.1241.01 ± 6.52
“-” means no analysis.
Table 2. Anaerobic digestion performance of GM11 and GM31 at semi-continuous mode.
Table 2. Anaerobic digestion performance of GM11 and GM31 at semi-continuous mode.
OLR
/VS·L−1·d−1
GM11GM31
Volumetric Biogas Yield
/m3·m−3·d−1
Specific Biogas Yield
/mL·g VS−1
Specific Methane Yield
/mL·g VS−1
Volumetric Biogas Yield
/m3·m−3·d−1
Specific Biogas Yield
/mL·g VS−1
Specific Methane Yield
/mL·g VS−1
2.0 1.03 ± 0.12512.60 ± 57.95279.53 ± 33.811.08 ± 0.10538.79 ± 49.43290.67 ± 30.33
2.5 1.25 ± 0.14515.73 ± 58.95278.01 ± 33.021.44 ± 0.16525.70 ± 70.81272.18 ± 51.79
3.5 1.67 ± 0.15471.78 ± 42.68271.17 ± 28.291.69 ± 0.13502.29 ± 44.98262.75 ± 27.98
4.0 1.70 ± 0.15424.62 ± 37.84246.15 ± 23.121.76 ± 0.30439.46 ± 75.19233.48 ± 50.45
4.5 1.78 ± 0.12395.21 ± 27.61199.81 ± 33.001.84 ± 0.18404.10 ± 38.93236.23 ± 21.78
5.0 1.91 ± 0.33382.83 ± 66.43210.35 ± 41.772.25 ± 0.31450.52 ± 61.48259.35 ± 37.18
5.5 2.36 ± 0.22428.90 ± 40.37241.62 ± 33.872.48 ± 0.17421.04 ± 30.04238.66 ± 34.34
6.0 2.67 ± 0.24445.43 ± 40.23249.31 ± 22.752.55 ± 0.26424.67 ± 44.01250.04 ± 30.21
7.0 2.83 ± 0.15403.94 ± 21.90224.27 ± 12.162.71 ± 0.13387.78 ± 18.74241.89 ± 11.69
Publisher’s Note: MDPI stays neutral with regard to jurisdictional claims in published maps and institutional affiliations.

Share and Cite

MDPI and ACS Style

Zhao, Q.; He, S.; Li, L.; Sun, Y.; Ren, H. Links between Process Performance and Microbial Community of Pennisetum Hybrid Co-Digested with Municipal Solid Waste. Energies 2021, 14, 3651. https://doi.org/10.3390/en14123651

AMA Style

Zhao Q, He S, Li L, Sun Y, Ren H. Links between Process Performance and Microbial Community of Pennisetum Hybrid Co-Digested with Municipal Solid Waste. Energies. 2021; 14(12):3651. https://doi.org/10.3390/en14123651

Chicago/Turabian Style

Zhao, Quanlin, Shuibin He, Lianhua Li, Yongming Sun, and Haiwei Ren. 2021. "Links between Process Performance and Microbial Community of Pennisetum Hybrid Co-Digested with Municipal Solid Waste" Energies 14, no. 12: 3651. https://doi.org/10.3390/en14123651

APA Style

Zhao, Q., He, S., Li, L., Sun, Y., & Ren, H. (2021). Links between Process Performance and Microbial Community of Pennisetum Hybrid Co-Digested with Municipal Solid Waste. Energies, 14(12), 3651. https://doi.org/10.3390/en14123651

Note that from the first issue of 2016, this journal uses article numbers instead of page numbers. See further details here.

Article Metrics

Back to TopTop