A New Analytical Model for Calculating Transient Temperature Response of Vertical Ground Heat Exchangers with a Single U-Shaped Tube
Abstract
:1. Introduction
2. Analytical Composite Line Source Model
2.1. Assumptions
- The radius of the borehole is rb, and depth is H. The properties of the grout and soil are homogeneous and isotropic. These properties include soil thermal conductivity λs, soil volume heat capacity cs, grout thermal conductivity λg, and volume heat capacity cg.
- The two legs of the U-tube are symmetrically arranged with respect to the center of the borehole. The distance between the two legs is 2D. The fluid is pumped into the descending leg with an inlet temperature Tin, and flows out of the ascending leg with an outlet temperature Tout. The temperature at the bottom of the U-tube is Tm. The average heat rates of the descending leg and ascending leg are qp1 and qp2, respectively.
- The total heat rate of the GHE qG is assumed to be a constant. The fluid flows in the tube with a constant volumetric flow rate wf, the volume heat capacity of the fluid is cf, and the average heat rates of fluid in the two legs are qf1 and qf2, respectively. Thus, we can have:
2.2. Composite Line Source Model
3. Results and Discussion
3.1. Model Verification
3.2. Early Thermal Response Analysis
3.2.1. Effect of Fluid Thermal Storage
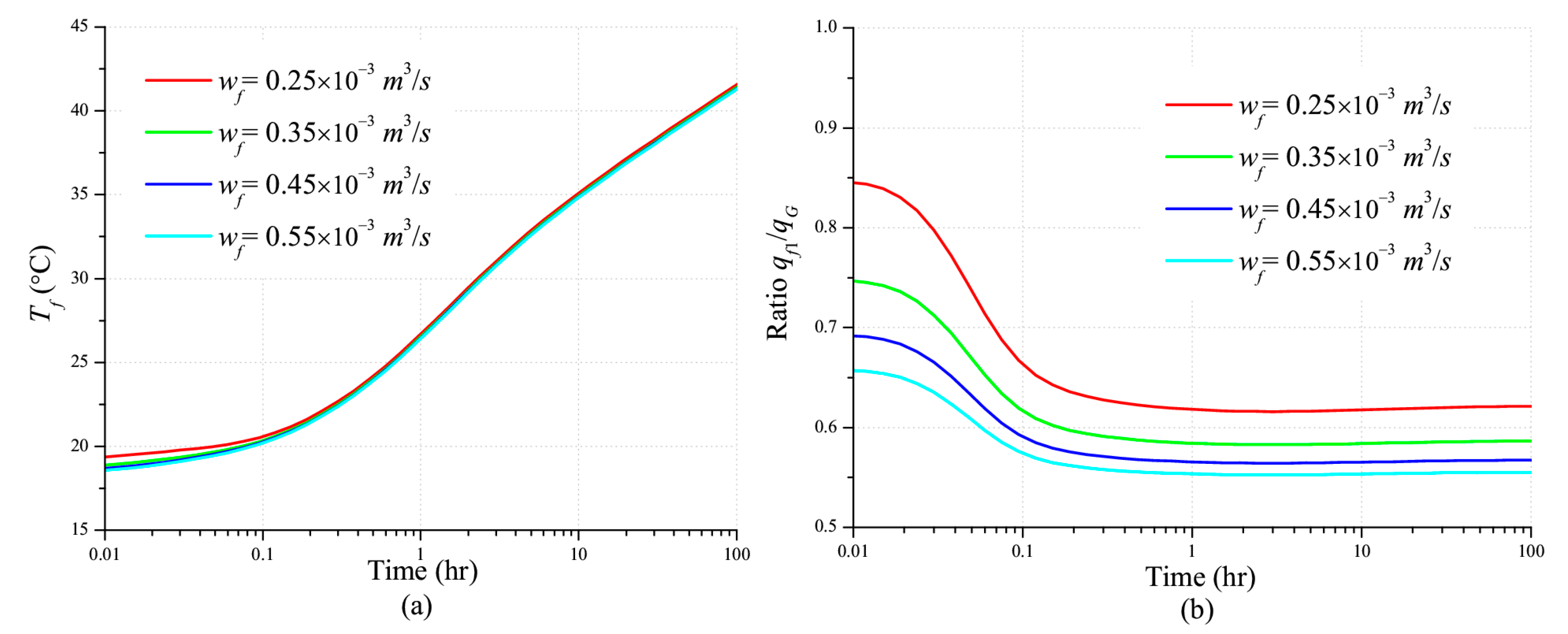
3.2.2. Effect of Fluid Flow Rate
3.2.3. Effect of Distance between the Two Legs
4. Conclusions
Author Contributions
Funding
Conflicts of Interest
Nomenclature
| 2D | Distance between centers of pipe, m |
| H | Length of borehole, m |
| t | time, s |
| s | Laplace variable with respect to time t |
| Laplace variable with respect to dimensionless time tD | |
| r | radius or radial distance, m |
| R | thermal resistance, m∙K/W |
| T0 | initial ground temperature, °C |
| T | temperature, °C |
| Tu | line source function |
| c | volumetric specific heat, J/(K∙m3) |
| q | heat rate, W |
| w | volumetric flow rate, L/s |
| S | distance, m |
| Kn/In | the modified Bessel functions of the nth order of the first and second kinds |
| b | borehole |
| f | fluid |
| g | grout |
| h | heat source |
| pi | inner of pipe |
| po | outer of pipe |
| p | pipe |
| s | soil |
| t | total |
| in | inlet |
| out | outlet |
| D | dimensionless |
| G | ground heat exchanger |
| 1/2 | descending/ascending leg of the single U-tube, inner/outer region |
| ω | fluid thermal storage coefficient, J/K |
| α | coefficient |
| β | coefficient |
| λ | thermal conductivity, W/(K∙m) |
| θ | angle |
Appendix A. Composite-Medium Line Source Model for Ground Heat Exchangers with a Single U-Tube
Appendix A.1. The Average Temperature of the Fluid Inside the Two Legs
Appendix A.2. Equations of Inlet and Outlet Fluid Temperature
Appendix B. Temperature Response Function in a Composite Medium

References
- Rees, S. Advances in Ground-Source Heat Pump Systems; Woodhead Publishing Ltd.: Cambridge, UK, 2016. [Google Scholar]
- Yang, H.; Cui, P.; Fang, Z. Vertical-borehole ground-coupled heat pumps: A review of models and systems. Appl. Energy 2010, 87, 16–27. [Google Scholar] [CrossRef]
- Li, M.; Lai, A.C.K. Review of analytical models for heat transfer by vertical ground heat exchangers (GHEs): A perspective of time and space scales. Appl. Energy 2015, 151, 178–191. [Google Scholar] [CrossRef]
- Yavuzturk, C.; Spitler, J.D. A short time step response factor model for vertical ground loop heat exchangers. ASHRAE Trans. 1999, 105, 475–485. [Google Scholar]
- Yang, Y.; Li, M. Short-time performance of composite-medium line-source model for predicting responses of ground heat exchangers with single U-tube. Int. J. Therm. Sci. 2014, 82, 130–137. [Google Scholar] [CrossRef]
- Javed, S.; Claesson, J. New analytical and numerical solutions for the short-term analysis of vertical ground heat exchangers. ASHRAE Trans. 2011, 117, 3–12. [Google Scholar]
- Ingersoll, L.R.; Zobel, O.J.; Ingersoll, A.C. Heat Conduction with Engineering, Geological, and Other Applications, revised ed.; The University of Wisconsin Press: Madison, WI, USA, 1954. [Google Scholar]
- Hellstrom, G. Ground Heat Storage: Thermal Analyses of Duct Storage Systems 1: Theory; Department of Mathematical Physics, University of Lund: Lund, Switzerland, 1991. [Google Scholar]
- Kavanaugh, S.P. Simulation and Experimental Verification of Vertical Ground Coupled Heat Pump Systems. Ph.D. Thesis, Oklahoma State University, Stillwater, OK, USA, 1985. [Google Scholar]
- Claesson, J.; Dunand, A. Heat Extraction from the Ground by Horizontal Pipes: A Mathematical Analysis; Swedish Council for Building Research: Stockholm, Sweden, 1983. [Google Scholar]
- Gu, Y.; O’Neal, D.L. Development of an equivalent diameter expression for vertical U-tubes used in ground-coupled heat pumps. ASHRAE Trans. 1998, 104, 347–355. [Google Scholar]
- Paul, N.D. The Effect of Grout Thermal Conductivity on Vertical Geothermal Heat Exchanger Design and Performance. Master’s Thesis, South Dakota State University, Brookings, SD, USA, 1996. [Google Scholar]
- Javed, S.; Spitler, J. Accuracy of borehole thermal resistance calculation methods for grouted single U-tube ground heat exchangers. Appl. Energy 2017, 187, 790–806. [Google Scholar] [CrossRef]
- Claesson, J.; Hellstrom, G. Multi-pole method to calculate borehole thermal resistances in a borehole heat exchanger. HVAC R Res. 2011, 17, 895–911. [Google Scholar]
- Beier, R.A.; Smith, M.D. Minimum duration of in-situ tests on vertical boreholes. ASHRAE Trans. 2003, 109, 475–486. [Google Scholar]
- Gu, Y.; O’Neal, D.L. An analytical solution to transient heat conduction in a composite region with a cylindrical heat source. J. Sol. Energy Eng. 1995, 117, 242–248. [Google Scholar] [CrossRef]
- Lamarche, L.; Beauchamp, B. New solutions for the short-time analysis of geothermal vertical boreholes. Int. J. Heat Mass Transf. 2007, 50, 1408–1419. [Google Scholar] [CrossRef]
- Li, M.; Lai, A.C.K. New temperature response functions (G functions) for pile and borehole ground heat exchangers based on composite-medium line-source theory. Energy 2012, 38, 255–263. [Google Scholar] [CrossRef]
- Li, M.; Lai, A.C.K. Analytical model for short-time responses of ground heat exchangers with U-tubes: Model development and validation. Appl. Energy 2013, 104, 510–516. [Google Scholar] [CrossRef]
- Abramowitz, M.; Stegun, I.A. Handbook of mathematical functions with formulas, graphs, and mathematical tables, national bureau of standards. Appl. Math. Ser. 1964, 55, 484. [Google Scholar]
- Carslaw, H.S.; Jaeger, J.C. Conduction of Heat in Solids, 2nd ed.; Claremore Press: Oxford, UK, 1959. [Google Scholar]
- Stehfest, H. Algorithm 368: Numerical inversion of Laplace transforms. Commun. ACM 1970, 13, 47–49. [Google Scholar] [CrossRef]
- Beier, R.A.; Smith, M.D.; Spitler, J.D. Reference data sets for vertical borehole ground heat exchanger models and thermal response test analysis. Geothermics 2011, 40, 79–85. [Google Scholar] [CrossRef]
- Beier, R.A. Vertical temperature profile in ground heat exchanger during in-situ test. Renew. Energy 2011, 36, 1578–1587. [Google Scholar] [CrossRef]
- Chen, C.; Raghavan, R. Modeling a Fractured Well in a Composite Reservoir. SPE Form. Eval. 1995, 10, 241–246. [Google Scholar] [CrossRef]





| Parameters | Symbol | Value |
|---|---|---|
| Initial ground temperature | T0 | 22 °C |
| Borehole radius | rb | 0.063 m |
| Length of borehole | H | 18.3 m |
| Outer radius of U-tube, | rpo | 0.0167 m |
| Inner radius of U-tube | rpi | 0.013665 m |
| Distance between centers of pipe | 2D | 0.053 m |
| Thermal conductivity of pipe | λp | 0.39 W/(K∙m) |
| Thermal conductivity of soil | λs | 2.82 W/(K∙m) |
| Volumetric heat capacity of soil | cs | 3.2 × 106 J/(K∙m3) |
| Thermal conductivity of grout | λg | 0.73 W/(K∙m) |
| Volumetric heat capacity of grout | cg | 3.8 × 106 J/(K∙m3) |
| Volumetric heat capacity of the fluid | cf | 4.19 × 106 J/(K∙m3) |
| GHE heat rate | qG | 1053 W |
| Fluid volumetric flow rate | wf | 0.197 L/s |
| Parameters | Symbol | Value |
|---|---|---|
| Initial ground temperature | T0 | 18 °C |
| Borehole radius | rb | 0.75 m |
| Length of borehole | H | 120 m |
| Outer radius of U-tube, | rpo | 0.016 m |
| Inner radius of U-tube | rpi | 0.013 m |
| Distance between centers of pipe | 2D | 0.050 m |
| Thermal conductivity of pipe | λp | 0.4 W/(K∙m) |
| Thermal conductivity of soil | λs | 1.5 W/(K∙m) |
| Volumetric heat capacity of soil | cs | 2 × 106 J/(K∙m3) |
| Thermal conductivity of grout | λg | 0.9 W/(K∙m) |
| Volumetric heat capacity of grout | cg | 2 × 106 J/(K∙m3) |
| Volumetric heat capacity of the fluid | cf | 4.19 × 106 J/(K∙m3) |
| GHE heat rate | qG | 6000 W |
| Fluid volumetric flow rate | wf | 2.5 × 10−7 m3/s |
© 2020 by the authors. Licensee MDPI, Basel, Switzerland. This article is an open access article distributed under the terms and conditions of the Creative Commons Attribution (CC BY) license (http://creativecommons.org/licenses/by/4.0/).
Share and Cite
Gao, S.; Tang, C.; Luo, W.; Han, J.; Teng, B. A New Analytical Model for Calculating Transient Temperature Response of Vertical Ground Heat Exchangers with a Single U-Shaped Tube. Energies 2020, 13, 2120. https://doi.org/10.3390/en13082120
Gao S, Tang C, Luo W, Han J, Teng B. A New Analytical Model for Calculating Transient Temperature Response of Vertical Ground Heat Exchangers with a Single U-Shaped Tube. Energies. 2020; 13(8):2120. https://doi.org/10.3390/en13082120
Chicago/Turabian StyleGao, Shichen, Changfu Tang, Wanjing Luo, Jiaqiang Han, and Bailu Teng. 2020. "A New Analytical Model for Calculating Transient Temperature Response of Vertical Ground Heat Exchangers with a Single U-Shaped Tube" Energies 13, no. 8: 2120. https://doi.org/10.3390/en13082120
APA StyleGao, S., Tang, C., Luo, W., Han, J., & Teng, B. (2020). A New Analytical Model for Calculating Transient Temperature Response of Vertical Ground Heat Exchangers with a Single U-Shaped Tube. Energies, 13(8), 2120. https://doi.org/10.3390/en13082120

