Performance and Exergy Transfer Analysis of Heat Exchangers with Graphene Nanofluids in Seawater Source Marine Heat Pump System
Abstract
1. Introduction
2. Research Methods and Experiments
2.1. Heat Pump Heat Exchanger Test-Bed
2.2. Properties of Graphene Nanofluid
3. Exergy Transfer Model and Data Reduction
4. Results and Discussion
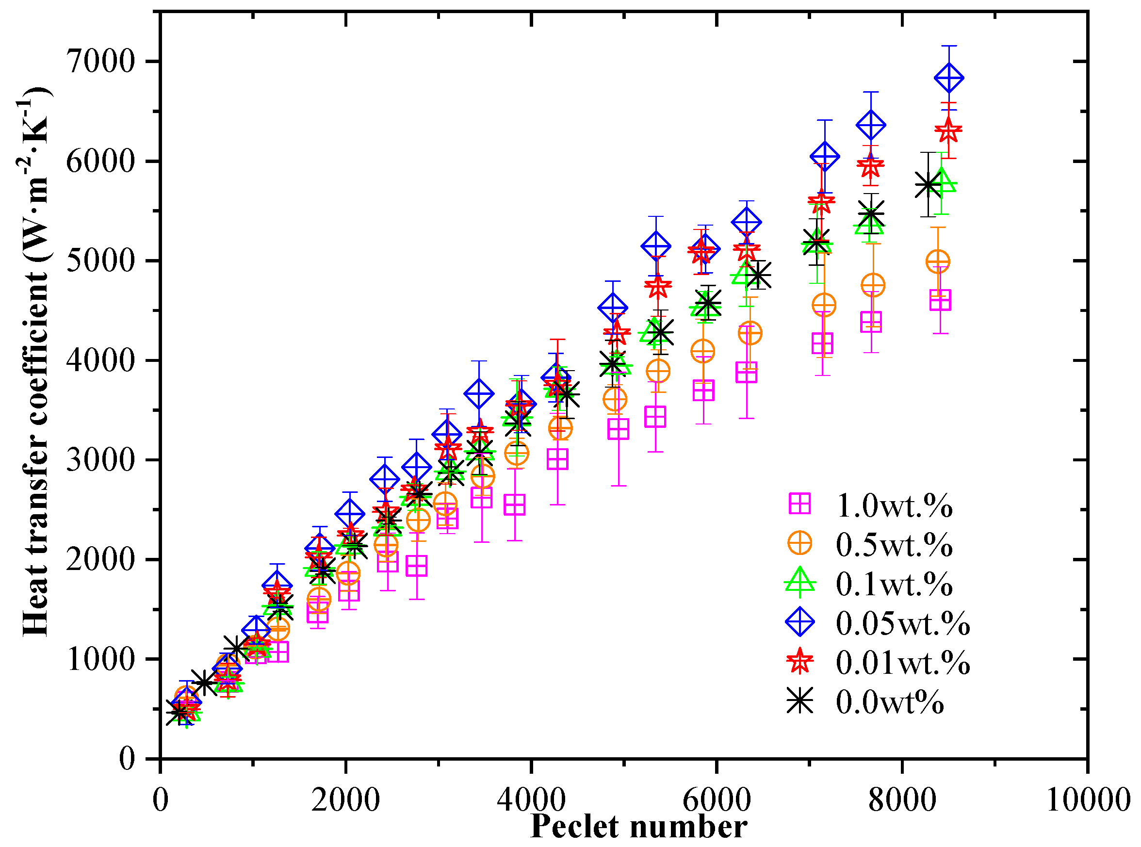
4.1. Performance Analysis of Heat Exchanger
4.2. Energy Transfer Efficiency Analysis
5. Conclusions
Author Contributions
Funding
Conflicts of Interest
Nomenclature
| A | area of surface-heat transfer (m2) |
| cp | heat capacity (J·kg−1·K−1) |
| d | hydraulic diameter (m) |
| D | heat capacity ratio |
| e | exergy (W) |
| ΔE | specific exergy (W) |
| f | friction factor |
| h | heat transfer coefficient (W·m−2·K−1) |
| L | heat transfer length (mm) |
| k | thermal conductivity (W·m−1·K−1) |
| m | mass flow rate (kg·s−1) |
| Nu | Nusselt number |
| ΔP | pressure drop (kPa) |
| Pe | Peclet number |
| Pr | Prandtl number |
| q | heat (W) |
| Q | heat flux (W) |
| Re | Reynolds number |
| s | cross-sectional area (m2) |
| T | temperature (K) |
| U | overall heat transfer coefficient (W·m−2·K−1) |
| v | specific volume (m3·kg−1) |
| Pw | pump power (kW) |
| μ | dynamic viscosity (Pa·s) |
| u | velocity (m·s−1) |
| Greek symbols | |
| εE | exergy transfer effectiveness |
| ρ | density (kg·m−3) |
| ϕ | volume concentration |
| φ | thermal efficiency |
| Subscripts | |
| bf | base fluid |
| exp | experimental |
| c, h | cold or hot side |
| nf | nanofluid |
| i, o | inlet or outlet |
| Θ | environment |
| Abbreviations | |
| EGW | ethylene glycol-water |
| GnP | graphene nanoplatelets |
| CHTC | convective heat-transfer coefficient |
| ID/OD | inner tube/outer tube |
| HVAC | heating ventilation air conditioning |
| TC | thermocouple |
| DP | differential pressure |
| HE | heat exchanger |
| RMSE | root-mean-square error |
References
- Han, F.; Wang, Z.; Ji, Y.; Li, W. Energy analysis and multi-objective optimization of waste heat and cold energy recovery process in LNG-fueled vessels based on a triple organic Rankine cycle. Energy Convers. Manag. 2019, 195, 561–572. [Google Scholar] [CrossRef]
- Trivyza, N.L.; Rentizelas, A.; Theotokatos, G. Impact of carbon pricing on the cruise ship energy systems optimal configuration. Energy 2019, 175, 952–966. [Google Scholar] [CrossRef]
- Benamara, H.; Hoffmann, J.; Youssef, F. Maritime Transport: The Sustainability Imperative. In Sustainable Shipping; Springer: Cham, Switzerland, 2019; pp. 1–31. [Google Scholar]
- Goldsworthy, B.; Goldsworthy, L. Assigning machinery power values for estimating ship exhaust emissions: Comparison of auxiliary power schemes. Sci. Total Environ. 2019, 657, 963–977. [Google Scholar] [CrossRef] [PubMed]
- Valencia Ochoa, G.; Acevedo Peñaloza, C.; Duarte Forero, J. Thermoeconomic optimization with PSO Algorithm of waste heat recovery systems based on organic rankine cycle system for a natural gas engine. Energies 2019, 12, 4165. [Google Scholar] [CrossRef]
- Zhao, Z.; Zhang, Y.; Mi, H.; Zhou, Y.; Zhang, Y. Experimental research of a water-source heat pump water heater system. Energies 2018, 11, 1205. [Google Scholar] [CrossRef]
- Valarezo, A.S.; Sun, X.Y.; Ge, T.S.; Dai, Y.J.; Wang, R.Z. Experimental investigation on performance of a novel composite desiccant coated heat exchanger in summer and winter seasons. Energy 2019, 166, 506–518. [Google Scholar] [CrossRef]
- Fossa, M. The temperature penalty approach to the design of borehole heat exchangers for heat pump applications. Energy Build. 2011, 43, 1473–1479. [Google Scholar] [CrossRef]
- Andrei, P. Study Regarding Marine Heat Pump; Analele Universitatii Maritime Constanta: Constanta, Romania, 2012; Volume 13, pp. 143–146. [Google Scholar]
- Zheng, W.; Zhang, H.; You, S.; Ye, T. Numerical and experimental investigation of a helical coil heat exchanger for seawater-source heat pump in cold region. Int. J. Heat Mass Transf. 2016, 96, 1–10. [Google Scholar] [CrossRef]
- Liu, L.; Wang, M.; Chen, Y. A practical research on capillaries used as a front-end heat exchanger of seawater-source heat pump. Energy 2019, 171, 170–179. [Google Scholar] [CrossRef]
- Ezgi, C.; Girgin, I. Design and thermodynamic analysis of a steam ejector refrigeration/heat pump system for naval surface ship applications. Entropy 2015, 17, 8152–8173. [Google Scholar] [CrossRef]
- Yun, S.K. Study on the performance characteristics of a new CO2 auto-cascade heat pump system. J. Korean Soc. Mar. Eng. 2017, 41, 191–196. [Google Scholar] [CrossRef]
- Priarone, A.; Silenzi, F.; Fossa, M. Modelling Heat Pumps with Variable EER and COP in EnergyPlus: A Case Study Applied to Ground Source and Heat Recovery Heat Pump Systems. Energies 2020, 13, 794. [Google Scholar] [CrossRef]
- Hafner, I.A.; Gabrielii, C.H.; Widell, K. Refrigeration Units in Marine Vessels: Alternatives to HCFCs and High GWP HFCs; Nordic Council of Ministers: Copenhagen, Denmark, 2019; pp. 1–90.
- Chen, X.; Li, Z.; Zhao, Y.; Jiang, H.; Liang, K.; Chen, J. Modelling of refrigerant distribution in an oil-free refrigeration system using R134a. Energies 2019, 12, 4792. [Google Scholar] [CrossRef]
- Bobbo, S.; Fedele, L.; Curcio, M.; Bet, A.; De Carli, M.; Emmi, G.; Poletto, F.; Tarabotti, A.; Mendrinos, D.; Mezzasalma, G.; et al. Energetic and exergetic analysis of low global warming potential refrigerants as substitutes for R410A in ground source heat pumps. Energies 2019, 12, 3538. [Google Scholar] [CrossRef]
- López Paniagua, I.; Jiménez Álvaro, Á.; Rodríguez Martín, J.; González Fernández, C.; Nieto Carlier, R. Comparison of transcritical CO2 and conventional refrigerant heat pump water heaters for domestic applications. Energies 2019, 12, 479. [Google Scholar] [CrossRef]
- Wang, Z.; Li, Y. Layer pattern thermal design and optimization for multistream plate-fin heat exchangers—A review. Renew. Sustain. Energy Rev. 2016, 53, 500–514. [Google Scholar] [CrossRef]
- Zhao, Z.; Zhou, Y.; Ma, X.; Chen, X.; Li, S.; Yang, S. Effect of different zigzag channel shapes of PCHEs on heat transfer performance of supercritical LNG. Energies 2019, 12, 2085. [Google Scholar] [CrossRef]
- Pons, M. Exergy Analysis and process optimization with variable environment temperature. Energies 2019, 12, 4655. [Google Scholar] [CrossRef]
- Lillo, G.; Mastrullo, R.; Mauro, A.W.; Trinchieri, R.; Viscito, L. Thermo-economic analysis of a hybrid ejector refrigerating system based on a low grade heat source. Energies 2020, 13, 562. [Google Scholar] [CrossRef]
- Bejan, A.; Lorente, S. Constructal theory of generation of configuration in nature and engineering. J. Appl. Phys. 2006, 100, 041301. [Google Scholar] [CrossRef]
- Alic, F. Entransy dissipation analysis and new irreversibility dimension ratio of nanofluid flow through adaptive heating elements. Energies 2020, 13, 114. [Google Scholar] [CrossRef]
- Sun, Y.; Wang, X.; Long, R.; Yuan, F.; Yang, K. Numerical Investigation and Optimization on Shell Side Performance of a Shell and Tube Heat Exchanger with Inclined Trefoil-Hole Baffles. Energies 2019, 12, 4138. [Google Scholar] [CrossRef]
- Shen, S.; Qian, Z.; Ji, B. Numerical Analysis of Mechanical Energy Dissipation for an Axial-Flow Pump Based on Entropy Generation Theory. Energies 2019, 12, 4162. [Google Scholar] [CrossRef]
- Preißinger, M.; Brüggemann, D. Thermoeconomic evaluation of modular organic Rankine cycles for waste heat recovery over a broad range of heat source temperatures and capacities. Energies 2017, 10, 269. [Google Scholar] [CrossRef]
- Wu, Z.; You, S.; Zhang, H.; Fan, M. Mathematical Modeling and Performance Analysis of Seawater Heat Exchanger in Closed-Loop Seawater-Source Heat Pump System. J. Energy Eng. 2019, 4, 04019012. [Google Scholar] [CrossRef]
- Alam, T.; Kim, M.H. A comprehensive review on single phase heat transfer enhancement techniques in heat exchanger applications. Renew. Sustain. Energy Rev. 2018, 81, 813–839. [Google Scholar] [CrossRef]
- Sun, X.H.; Yan, H.; Massoudi, M.; Chen, Z.H.; Wu, W.T. Numerical simulation of nanofluid suspensions in a geothermal heat exchanger. Energies 2018, 11, 919. [Google Scholar] [CrossRef]
- Aprea, C.; Greco, A.; Maiorino, A.; Masselli, C. Enhancing the heat transfer in an active barocaloric cooling system using ethylene-glycol based nanofluids as secondary medium. Energies 2019, 12, 2902. [Google Scholar] [CrossRef]
- Kristiawan, B.; Wijayanta, A.T.; Enoki, K.; Miyazaki, T.; Aziz, M. Heat Transfer Enhancement of TiO2/water nanofluids flowing inside a square minichannel with a microfin structure: A numerical investigation. Energies 2019, 12, 3041. [Google Scholar] [CrossRef]
- Ramirez-Tijerina, R.; Rivera-Solorio, C.; Singh, J.; Nigam, K.D.P. Numerical study of heat transfer enhancement for laminar nanofluids flow. Appl. Sci. 2018, 8, 2661. [Google Scholar] [CrossRef]
- Qi, C.; Liu, M.; Wang, G.; Pan, Y.; Liang, L. Experimental research on stabilities, thermophysical properties and heat transfer enhancement of nanofluids in heat exchanger systems. Chin. J. Chem. Eng. 2018, 26, 2420–2430. [Google Scholar] [CrossRef]
- Ghozatloo, A.; Rashidi, A.; Shariaty-Niassar, M. Convective heat transfer enhancement of graphene nanofluids in shell and tube heat exchanger. Exp. Therm. Fluid Sci. 2014, 53, 136–141. [Google Scholar] [CrossRef]
- Sadeghinezhad, E.; Mehrali, M.; Saidur, R.; Mehrali, M.; Latibari, S.T.; Akhiani, A.R.; Metselaar, H.S.C. A comprehensive review on graphene nanofluids: Recent research, development and applications. Energy Convers. Manag. 2016, 111, 466–487. [Google Scholar] [CrossRef]
- Arshad, A.; Jabbal, M.; Yan, Y.; Reay, D. A review on graphene based nanofluids: Preparation, characterization and applications. J. Mol. Liq. 2019, 279, 444–484. [Google Scholar] [CrossRef]
- Wang, Z.; Gong, Y.; Wu, X.H.; Lu, Y. Thermodynamic analysis and experimental research of transcritical CO2 cycle with internal heat exchanger and dual expansion. Int. J. Air Cond. Refrig. 2013, 21, 1350005. [Google Scholar] [CrossRef]
- Wang, Z.; Han, F.; Sundén, B. Parametric evaluation and performance comparison of a modified CO2 transcritical refrigeration cycle in air-conditioning applications. Chem. Eng. Res. Des. 2018, 131, 617–625. [Google Scholar] [CrossRef]
- Wu, Z.; Wang, L.; Sunden, B. Pressure drop and convective heat transfer of water and nanofluids in a double-pipe helical heat exchanger. Appl. Therm. Eng. 2013, 60, 266–274. [Google Scholar] [CrossRef]
- Wang, Z.; Wu, Z.; Han, F.; Wadsö, L.; Sundén, B. Experimental comparative evaluation of a graphene nanofluid coolant in miniature plate heat exchanger. Int. J. Therm. Sci. 2018, 130, 148–156. [Google Scholar] [CrossRef]
- Tariq, R.; Zhan, C.; Ahmed Sheikh, N.; Zhao, X. Thermal performance enhancement of a cross-flow-type Maisotsenko heat and mass exchanger using various nanofluids. Energies 2018, 11, 2656. [Google Scholar] [CrossRef]
- Wang, Z.; Li, Y. Irreversibility analysis for optimization design of plate fin heat exchangers using a multi-objective cuckoo search algorithm. Energy Convers. Manag. 2015, 101, 126–135. [Google Scholar] [CrossRef]









| Items | Coaxial Tube Heat Exchanger |
|---|---|
| Structure tube ID/OD | Double-pipe 16 single row 9.5 mm/16 mm |
| Total heat exchange area | 1.9 m2 |
| Material ID/OD | Stainless steel/Nickel cupronickel |
| Items | Units | Measuring Range | Accuracy |
|---|---|---|---|
| Temperature | °C | −35.0–200.0 | ±0.2 |
| Pressure | bar | 0–100 | ±1.0% |
| Pressure drop | bar | 0–10 | ±1.0% |
| Sea water flow rate | m3/h | 0–5 | ±0.5% |
| Refrigerant mass flow rate | kg/s | 0–0.5 | ±0.5% |
| Pump power | kW | 0–10 | ±0.5% |
| Item | |||||
|---|---|---|---|---|---|
| Mass fraction | 0.01 | 0.05 | 0.1 | 0.5 | 1.0 |
| Volume fraction | 0.0048% | 0.024% | 0.048% | 0.24% | 0.48% |
| knf/kbf | 1.017 | 1.019 | 1.021 | 1.102 | 1.211 |
| µnf/µbf | 1.001 | 1.034 | 1.058 | 1.488 | 3.0 |
| NO. | Items | Note |
|---|---|---|
| 1 | Equivalent diameter: | |
| 2 | Heat flux | |
| 3 | Logarithmic mean temperature difference | |
| 4 | Convective heat transfer coefficient | |
| 5 | Thermal efficiency of heat exchanger | |
| 6 | Pump power | |
| 7 | Nusselt number | |
| 8 | Reynolds number | |
| 9 | Prandtl number | |
| 10 | Peclet number | |
| 11 | Number of Transfer Units |
© 2020 by the authors. Licensee MDPI, Basel, Switzerland. This article is an open access article distributed under the terms and conditions of the Creative Commons Attribution (CC BY) license (http://creativecommons.org/licenses/by/4.0/).
Share and Cite
Wang, Z.; Han, F.; Ji, Y.; Li, W. Performance and Exergy Transfer Analysis of Heat Exchangers with Graphene Nanofluids in Seawater Source Marine Heat Pump System. Energies 2020, 13, 1762. https://doi.org/10.3390/en13071762
Wang Z, Han F, Ji Y, Li W. Performance and Exergy Transfer Analysis of Heat Exchangers with Graphene Nanofluids in Seawater Source Marine Heat Pump System. Energies. 2020; 13(7):1762. https://doi.org/10.3390/en13071762
Chicago/Turabian StyleWang, Zhe, Fenghui Han, Yulong Ji, and Wenhua Li. 2020. "Performance and Exergy Transfer Analysis of Heat Exchangers with Graphene Nanofluids in Seawater Source Marine Heat Pump System" Energies 13, no. 7: 1762. https://doi.org/10.3390/en13071762
APA StyleWang, Z., Han, F., Ji, Y., & Li, W. (2020). Performance and Exergy Transfer Analysis of Heat Exchangers with Graphene Nanofluids in Seawater Source Marine Heat Pump System. Energies, 13(7), 1762. https://doi.org/10.3390/en13071762
