Abstract
The EU has implemented targets to achieve a 20% share of energy from renewable sources by 2020, and 32% by 2030. Additionally, in the EU countries by 2050, more than 80% of electrical energy should be generated using non-greenhouse gases emission technology. At the same time, energy cost remains a crucial economic issue. From a practical point of view, the most effective technology for energy conversion is based on a gas turbine combined cycle. This technology uses natural gas, crude oil or coal gasification product but in any case, generates a significant amount of toxic gases to the atmosphere. In this study, the environmentally friendly power generation system composed of a high-temperature nuclear reactor HTR integrated with gas turbine combined cycle technology and cogeneration unit is thermodynamically analysed. The proposed solution is one of the most efficient ways for energy conversion, and what is also important it can be easily integrated with HTR. The results of analysis show that it is possible to obtain for analysed cycles thermal efficiency higher than 50% which is not only much more than could be proposed by typical lignite or hard coal power plant but is also more than can be offered by nuclear technology.
1. Introduction
Hard coal and lignite coal, after oil, are the second most important energy source, accounting for about 30% of the world’s total primary energy consumption. This type of fuel is the second most common energy source used for the generation of electrical energy [1]. However, coal-based power plants have some unfavourable characteristics and limitations on performance. The traditional power plant of this type may have a relatively low fuel conversion efficiency. In the existing power plants, about 75% of power generation units are operating in a subcritical regime. It means that, independent of exhaust-gas cleaning systems, at least 1000 kg CO2/MWh is emitted to the atmosphere [2]. The use of advanced technology for electricity production not only allows CO2 reductions but also allows for fuel-consumption reduction, as well as much lower toxic gas emission [3]. In theory, CO2 capture and storage system can decrease carbon dioxide emissions further below 60–70 kgCO2/MWh, but such systems are still in an underdeveloped phase, and implementation of them may increase the cost of energy above customer acceptance level. Nowadays, it is possible to implement coal gasification, which permits most of the impurities to be removed before the fuel enters the combustion chamber as well as it also increases the performance of combustion processes [4,5]. However, the gas-cleaning process implementation, similarly to the gasification process, significantly increases the investment cost. That raises the price of the energy and often makes the system much less competitive in reference to the other technology. In any case, the coal-powered plant generates a significant amount of CO2, and, in the case of most developed systems, the amount generated is about 740 kg CO2/MWh for supercritical plants and potentially 600 kg CO2/MWh for the most developed coal technologies.
For those reasons, in the European Union, a long-term decarbonisation strategy plan has been implemented. One of the carbon-free and high-efficiency solutions with high potential is the combined heat and power generation, which includes nuclear energy [6]. Cogeneration usually positively influences plant efficiency and causes a significant decrease in primary energy consumption [7,8]. Currently, working nuclear power plants have thermal efficiency around 33% [9,10], which is similar to the efficiency that a coal-based power plant achieved half a century ago. Based on the experience and knowledge from the first generation (Gen I) of the power plants, the second generation (Gen II) for nuclear technology has been proposed [11]. The examples of next-generation technology in reference to the current one are listed in Table 1.
Table 1.
Different types of nuclear technology-general parameters.
In order to enhance nuclear power plant efficiency, various solutions have been proposed [12,13,14,15]. It is, for example, possible to use excess heat for district heating, and this idea was analysed for the first time in the 1970s. From that time, a large number of studies were done, analysing systems which produce heat and power, using the pressurized water reactor Canadian CANDU reactor, light water-cooled graphite moderated reactor, or water–water energetic reactors [16].
Recently, the International Atomic Energy Agency (IAEA) has taken this solution into consideration. IAEA launched a project to assess the economics and role of cogeneration [2] for a no-emission, low-carbon, and environmentally friendly power plant. Currently, there is a very limited number of available technologies which can be used for nuclear power plant development. Interesting research studies on the potential of nuclear power plant working in cogeneration have been proposed by Hanuszkiewicz-Drapala and Jedrzejewski [17,18]. The promising option can be a connection of two small modular reactors (SMR), which guarantees a significant improvement in efficiency, as well as nuclear reactor flexibility [19,20]. In [21], the authors proposed a new promising solution for an intermediate heat exchanger, which is applicable to the gas turbine high-temperature reactor system and is implemented to cogenerate electric power generation, hydrogen production, and heat. A new power cycle is being developed by the Japan Atomic Agency for GTHTR300C unit.
Another direction is the use of high-temperature gas nuclear reactor, which can be considered as an ideal reactor for energy, process applications, and district heating.
The outlet temperature of the helium gas coolant for the high-temperature reactor is as high as 750 °C. A number of research studies on the HTR implementation were conducted in France, Japan Russia, and the United States [22,23], and, currently, this reactor development program is under development in many places. HTR technology [24,25] provides access to the energy conversion with performance higher than offered by classical available today’s nuclear technology and fully resolves the issue of safety. For this reason, HTR can be considered to be an ideal solution not only for the power generation sector but also for the industry sector, as well as for district heating purposes [26,27,28]. A new generation of high-temperature reactors is the most innovative solution among all available nuclear technologies. Gas-cooled reactor systems possess several essential features that distinguish them from all other types of nuclear reactors and provide an important operational advantage. The reactor fuel in the form of ceramic-coated particles is able to operate at temperatures higher than 1800 °C; the coolant can be carbon dioxide or helium both inert for neutrons and graphite moderator [19]. In [22], the authors proposed an approach to reduce the overall dependence on fixed burnable poisons during high-reactivity periods within a high-temperature graphite-moderated reactor.
The prototype of the next-generation nuclear power plant which assumes construction similar to the steam-cycle high-temperature gas-cooled reactor AREVA, with the target of using about 30% of heat energy to produce hydrogen is likely to be deployed by 2030 [29]. In another programme, China plans to start operation of the first HTR in 2020 [30]. Very practical research studies were done in [31]. Authors show a first step in the validation of the numerical code applied to gas-cooled reactors. Validation was based on measurements from two facilitates, Oberhausen I and Oberhausen II, and focused on direct Brayton cycle, as well as turbo-machinery modelling. Presented results comparison permits an accurate way for numerical codes validation. Analyses were performed for steady and transient cases and included turbo-machinery detailed validation under different load conditions. Results of the numerical analysis show good agreement against experimental measurements. With the use of the same numerical code Saez et al. [32] analysed deblading accidents in a system with HTR. Authors concluded that there is an important safety concern to examine the consequences of such danger missiles and for safety reasons in case of blade failure, it is recommended for the turbomachinery a horizontal shaft aligned with the nuclear reactor. In case of deblading other blades may be also damaged due to impact with the previous blade and as a consequence, the entire rotor may become unstable.
Two different dynamic models of a nuclear gas turbine power plant for the high-temperature nuclear reactor using a direct Brayton cycle were presented in [33]. The nuclear reactor model has been used in both models, utilising a kinetic model evaluated directly from a nuclear reactor model. The results for the power plant were compared for transient cases. The first case was based on load rejection, and the second one with the system at part load. The authors showed that, when the power plant operates at a load rejection working point, the model for the turbine is critical and becomes the main source for the differences between data. The authors also showed that substantial changes in mass flow rate were observed and that the recuperator models have a minor impact on results. For all cases, the numerical results were in good agreement.
The high-temperature gas reactor has the potential to operate as an inherently safe reactor. The idea of “inherently safe” is usually considered as the reactor feature to obtain a steady-state, where products of radioactive fission are set free before they reach defined levels. In such a case, the usage of passive systems is required which rely on natural convection processes in order to limit maximum reactor temperature in the case when all active control systems fail. Passive systems usually also do not need any human action. In order to improve part-load efficiency, backpressure adjustable gas turbine cycle was proposed [34]. A method based on adjusting the gas turbine exhaust pressure with an induced draft fan arranged downstream of the heat recovery steam generator. The proposed solution is able to expand the operating load range and results in higher than typical part-load efficiency. Presented results have shown that reducing the backpressure neither impact inlet and outlet Mach numbers on the last stage of the turbine nor turbine performance.
The aim of the present study is to investigate new combined power cycles for heat and electrical power generation using the gas turbine and steam turbine coupled with a high-temperature nuclear reactor. The objective is to find the optimal configuration for the cases with cogeneration and a different number of pressure Heat Recovery Steam Generator units (HRSG) summarised in Table 2. In the analysed systems, twelve various advances configurations were taken into consideration: 1st-scenario, with single-, dual-, and triple-pressure heat-recovery steam-generator units; 2nd-scenario, with inter-stage steam superheat system with single/dual/triple-HRSG-pressure heat-recovery system; 3rd-scenario, with steam regeneration system with single/dual/triple-HRSG-pressure heat-recovery system; and the last one, the 4th-scenario, with a regeneration system and inter-stage steam superheat with single/dual/triple-HRSG-pressure heat-recovery system to show influence of the proposed solutions on the final results.
Table 2.
The lists of analysed scenarios.
2. Mathematical Model and Assumptions
The mathematical model for the thermodynamic analysis of the cycles presented in Figure 1 and Figure 2 consists of the equations for high-temperature reactor coupled with a steam turbine, gas turbine, steam regeneration, heat recovery steam generation, and a large number of minor components. An analysed cycle can be calculated by using the various methodology presented in the literature [35,36,37]. In this research study, the following equations were used. The high-temperature reactor thermal power was calculated as follows:
where and are reactor outlet and inlet temperature; and and are helium mass flow rate and specific heat. The heat flux in the primary helium loop, , is equal to the following:
where and are specific enthalpies for helium at the inlet and outlet of the high-temperature heat exchanger IHX hot side. The heat flux, , in the secondary helium loop is calculated as follows:
where and are specific enthalpies at the inlet and outlet of the heat exchanger cold side, and is cooling gas mass flowrate. The enthalpies balance for the high-temperature heat exchanger IHX can be written in the following form:
where is reference temperature; T1 and T2 are inlet and outlet temperatures at heat exchanger hot side; T3 and T4 are inlet and outlet temperatures at the heat exchanger cold side; and and are helium mass flow at the hot and cold side. Electrical power for the steam turbine was evaluated from the following equation:
where and are isentropic efficiencies for steam turbine and pump; and are generator mechanical and electrical efficiencies; is water pumps work; is steam mass flowrate; is water mass flow; and is high/middle/low-pressure steam turbine work. The gas turbine electrical power was calculated from the following equation:
where , , and are gas turbine electrical, isentropic, and mechanical efficiency; is compressor isentropic efficiency; and and denote gas turbine work and compressor work, respectively. The cycle thermal efficiency was evaluated by using the following equations:
where is steam turbine first/second/third step electrical power, is gas turbine electrical power, are fan energy demand and pumps energy demand, respectively.
Figure 1.
The HTR coupled with a gas turbine combined cycle and with 3P-HRSG unit.
Figure 2.
The HTR coupled with a gas turbine combined cycle with 3P HRSG and inter-stage steam superheated system.
The calculations were made by using software provided by Steag Energy Services—Ebsilon Professional. A mathematical model for the key components of a high-temperature nuclear reactor coupled with the advanced gas turbine combined cycle is presented in Table 3 and Table 4 [37,38,39,40,41].
Table 3.
General model formulations.
Table 4.
General model formulations.
The model parameters for the main components of the power cycle, as well as assumptions for numerical analysis for all configurations analysed in this work, are shown in Table 5. The calculations were done by using Ebsilon. The detailed calculation procedure and additional system components description with remaining governing equations can be found in other authors work [38,39].
Table 5.
Working parameters and assumptions for thermodynamic analysis.
In the analysed systems the HRSG (heat-recovery steam generator) unit is a key system component. Any HRSG modification or different configuration may have a remarkable impact on the performance of the steam turbine loop, and as a consequence, the performance of the whole thermal cycle. It is worth to notice that the highest heat transfer takes place in the evaporator part for the high-pressure level, as well as in the economiser part for the low-pressure level. The remaining heat from the exhaust gases of the gas turbine is used in an HRSG unit in order to produce high-temperature steam. High-quality steam is then used for industrial processes purposes or for electrical energy generation. In the analysed systems, twelve various scenarios were considered: first scenario with single/dual/triple-pressure heat-recovery steam-generator units (Figure 1); second scenario with inter-stage steam superheat system with single/dual/triple-HRSG-pressure heat-recovery system; third scenario steam regeneration system with single/dual/triple-HRSG-pressure heat-recovery system; and the last one scenario with a regeneration system and inter-stage steam superheat with single/dual/triple-HRSG-pressure heat-recovery system (Figure 2), to show the influence of the proposed solutions on the final results. A computational model for the HRSG unit and selected other units with heat-transfer equations is presented in details in [41].
The analysed systems independent on particular case operates with three independent loops. The first main HTR nuclear reactor loop of the system is a helium loop where helium at a rate of 128 kg/s and a pressure of 7 MPa is heated to a temperature equal to 850 °C and enters the main helium-to-helium heat exchanger (IHX). In this heat exchanger heat from the high-temperature helium gas is transported to the secondary loop, where the working fluid is helium. Colder helium is circulated back to the nuclear reactor using a compressor or a helium blower. In the nuclear reactor, helium gas is reheated. It is important to notice that the nuclear reactor is constructed as a very safety reactor so that, if the compressor—due to any reasons—does not work properly or at all, generated in reactor core heat can transfer to the surroundings using only natural convection. During normal operation, working gas enters the HTR core at the bottom and flows up through the vessel. Next helium is redirected at the top to flow through the reactor core from top to bottom, providing as high as possible temperature for outlet gas. That exposes the core barrel to the cooler inlet helium, rather than the hotter outlet helium, thereby reducing the operating temperature of the barrel material, but also preventing natural convection and decreasing heat losses from the reactor walls. The HTR to be safe reactor cannot be thermally isolated. It is also essential to keep the gas inlet temperature relatively low and the system has to provide an inlet temperature precisely at the value required by nuclear reactor specification.
The second loop employs gas turbine and heat recovery steam generator that uses exhaust gas from a gas turbine (GT) in order to produce high-quality steam, which is then supplied to an LP/MP/HP steam turbine unit. The primary constraint in operation of the presented power plants is HRSG which is installed directly after gas turbine where changes in pressure and temperature of the exhaust gases can generate significant mechanical and thermal stresses. The most common type of heat recovery steam generator contains two or three subsections of heat exchanger modules—for low pressure, intermediate pressure and high-pressure steam. After exiting the gas turbine, the working gases flow (depend on exact configuration) through a superheater, an evaporator and an economiser where steam is produced under pressure and temperature. The exact values vary depending on the reactor temperature and GT, compressor compression ratio and the number of HRSG units. The steam generated in the system passes through high, medium and low-pressure turbines, where sequential expansions occur to pressure about 80 kPa and a temperature above 120 °C. After exiting the turbine, the steam enters the condenser and additional heat exchanger for cogeneration.
When the power plant is operated in a common load-following operation mode, this can lead to large mechanical stress. Operating conditions of the steam turbine are somehow directly connected to the gas turbine and heat-recovery steam system. The situation has become even more complicated since the additional heat exchanger is installed for cogeneration (district heating). Determining the proper thermodynamic and mechanical conditions for all components to ensure efficient work of the cycle has become a very complex problem.
3. Results and Discussion
Before the thermodynamic investigations were performed, the numerical model was validated against experimental data. A system validation was performed based on a comparison of selected thermodynamic parameters with the operating system, taking into account experimental results [42]. The system used in the experimental measurement was partially modelled. The evaluated results are very close to experimental measurements, confirming that the mathematical and numerical formulas ensure proper results [4].
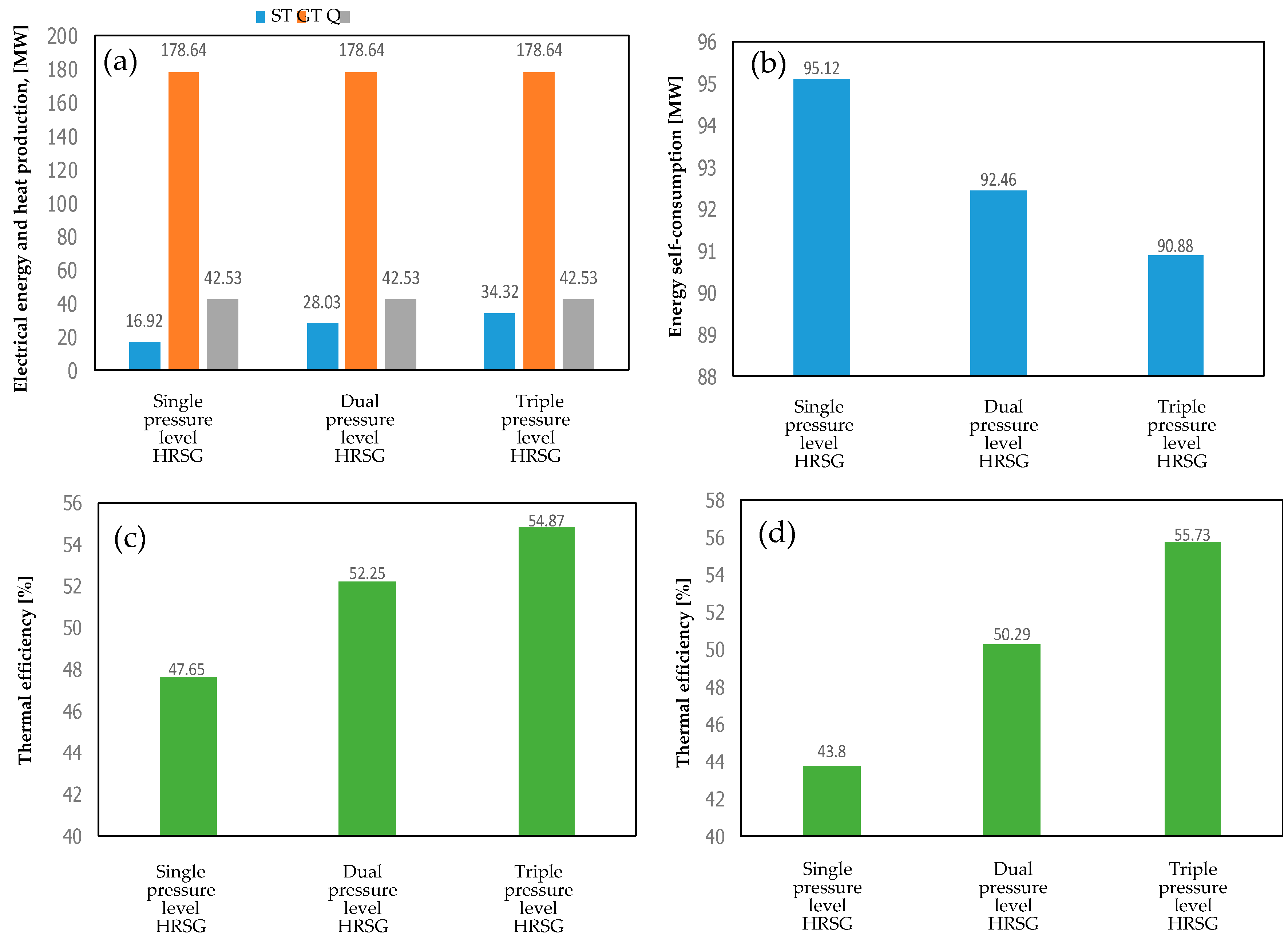
The results presented in Figure 3 and Figure 4 and summarised in Table 6 are based on the layout of GTCC (see Figure 1 and Figure 2) with single, dual, and triple-pressure heat-recovery steam-generation system with cogeneration coupled with HTR and with various sub-configurations. One can infer from Figure 3a that the triple-pressure HRSG system without inter-stage steam overheating is able to generate more than 212.9 MWe of electrical power. When the system is simplified and equipped with only a single or dual heat-recovery steam-generation unit, then electrical energy production is about 195.6 and 206.7 MWe, respectively, as shown in Figure 3a. In that case, a decrease in the electrical power generation for single- or dual-pressure HRSG is observed.
Figure 3.
Electrical energy from GT, ST and heat production Q (a), energy self-consumption (b) and overall system thermal efficiency for the system with 1P, 2P, and 3P HRSG without (c) and with (d) inter-stage steam overheating.
Figure 4.
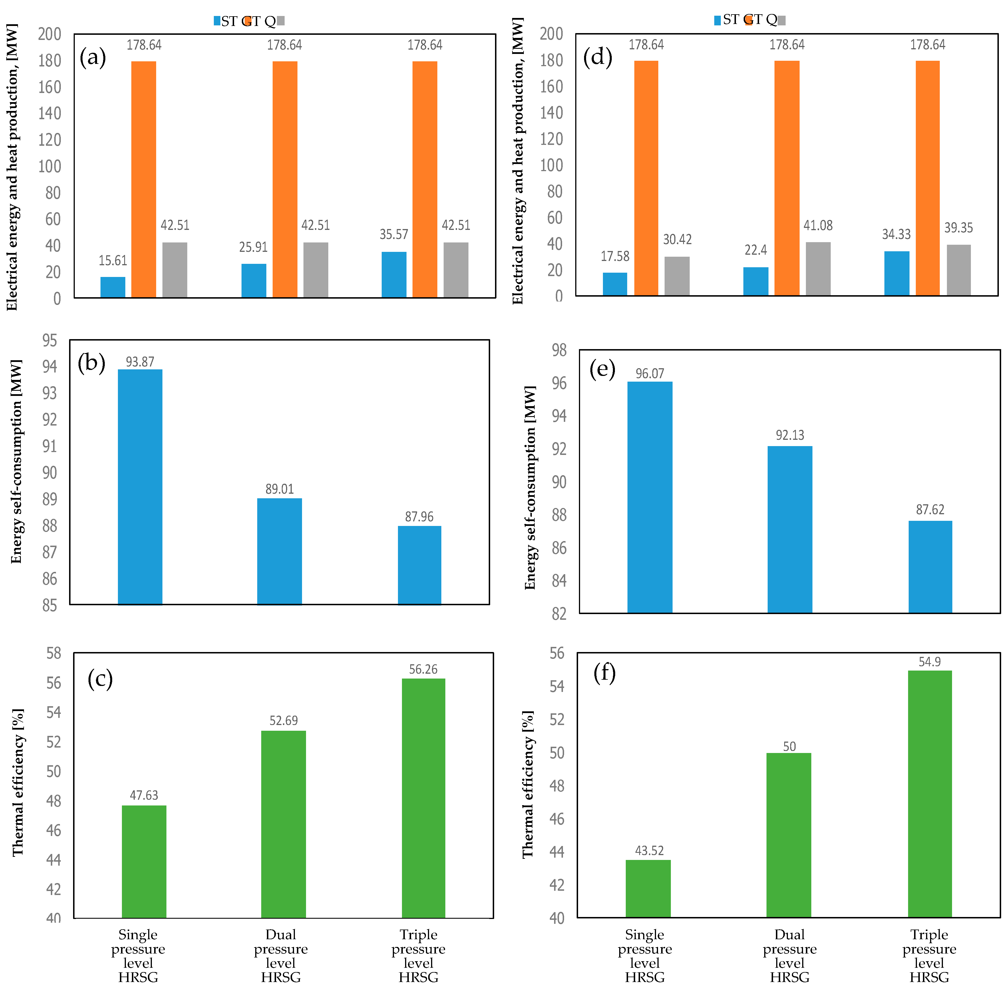
Electrical energy generation from GT, ST and heat production Q (a,d), energy self-consumption, (b,e) and the overall system thermal efficiency (c,d) for the system with 1P, 2P, and 3P HRSG with a steam regeneration system (a–c) and with inter-stage superheating and regeneration of steam (d–f).
Table 6.
Working parameters and assumptions for thermodynamic analysis.
The investigated thermodynamic cycle with cogeneration is able to generate electrical power with thermal efficiency of 54.9% 52.2%, and 47.7%, depends on the configuration, i.e., triple-3P, dual-2P and single-1P, pressure level HRSG respectively while for the setting with inter-stage steam overheating unit obtain higher thermal efficiencies equal to 55.7%, 50.3%, and 43.8%, respectively. Because nuclear reactor power is fixed heat transported from the first loop to the second loop is constant. Independent of the number of HRGS units and pressure drops in the secondary loop utilise the same amount of primary heat. The proposed system independent of the number of HRSG unit gas turbine generate the same amount of electrical energy equal to 178.6 MW. As a consequence, the power generated by the HP/MP/LP steam turbines differs significantly. That allows following at some level to the grid system, as well as heat for cogeneration requirements. An increasing number of HRSG units increase significantly pressure drop. As a consequence, higher energy consumption by the compressors or blowers is observed. A larger number of units also makes a system more sensitive to any local changes and causes problems when keeping thermodynamic parameters at a predefined level. More HRSG units, particularly evaporators, in the case of complex systems with inter-stage steam superheat or steam regeneration or both, generate significant problems to evaluate or to maintain parameters at the level which ensures safety but also system efficiency. Inter-stage superheating, even with steam regeneration, is a worse solution than steam regeneration only.
The results for the system with a cogeneration and steam regeneration unit and with inter-stage superheating and regeneration of the steam are presented in Figure 4a–c and Figure 4d–f, respectively. The systems with steam regeneration are able to generate about 214.2, 204.5, and 194.2 MWe for 3P, 2P, and 1P configurations, respectively (presented in Figure 4a), while the system with inter-stage superheating and regeneration of steam obtained power equal to 212.9, 201.0, and 196.2 MWe for 3P, 2P, and 1P configurations, respectively (see Figure 4d). The investigated power cycles thermal efficiency for sub-configuration with triple, dual, or single HRSG unit obtain value in the range from 43.6% up to 56.3%. The detailed information for all sub-configurations analysed in this work is summarised in Table 6.
4. Conclusions
The high-temperature gas nuclear reactor–HTR integrated with gas turbine combined cycle is a very promising novel solution in the field of emission-free energy production. All twelve presented solutions are characterised by very high power-plant performance. The industrial application of proposed in this work power cycle is one of the most efficient ways for energy conversion. Presented results show that it is possible to obtain thermal efficiency higher than could be offered not only by typical brown coal or hard coal power plant, but also more than can be offered by the current nuclear technologies used. The electrical energy and thermal efficiency depend on the exact sub-solution considered here, including single/dual/triple pressure heat recovery steam generator units; inter-stage steam superheat system; steam regeneration system and regeneration system and inter-stage steam superheat.
Presented results of the analysis show that the triple-pressure HRSG system without inter-stage steam overheating is able to generate more than 212.9 MWe of electrical power, and when the system is simplified and equipped with only single or dual heat-recovery steam-generation unit, then its electrical energy production is about 195.6 and 206.7 MWe, respectively. The power plant with cogeneration is able to generate electrical power with the thermal efficiency of 54.9%, 52.2%, and 47.6%, depending on the configuration, i.e., triple-3P, dual-2P, and single-1P, pressure level HRSG, respectively. The configuration with inter-stage steam overheating unit obtained higher thermal efficiencies equal to 55.7%, 50.3%, and 43.8%, respectively. On the other hand, the system with inter-stage superheating and regeneration of steam obtained power equal to 212.9, 201.0, and 196.2 MWe while with steam regeneration evaluated power is 214.2, 204.5, and 194.2 MWe for 3P, 2P, and 1P configurations, respectively.
The results of the analysis show that it is possible to obtain the thermal efficiency 52.2% for the simple system with cogeneration and with dual pressure-level HRSG, which is the best solution from an economic point of view. The system with the triple-pressure-level HRSG unit offers efficiency 2.6 p.p. higher; however, additional cost it is not always economically justified. At the same time, the system with cogeneration and with inter-stage steam overheating can obtain efficiency as high as 55.7%. The highest efficiency achieved for configuration with the steam regeneration system in the range from 43.6% up to 56.3%. The increasing number of HRSG units increase significantly pressure drop and energy consumption by the compressors or blowers. A complex system with a larger number of units also generates a solution more sensitive to any local changes in thermodynamic parameters. More than one HRSG unit in case of complex systems with inter-stage steam superheat or steam regeneration or both generate significant problems to evaluate and to maintain thermodynamic parameters at a predefined level which ensure system safety and efficiency.
Recently, renewable energy and nuclear energy have been deployed and widely expanded globally in order to reduce harmful gases emissions and significantly improve the air and environment quality. The fossil-fuel-dominated power systems decrease, and the decrease of coal-fired power plants is observed; on the other hand, the electrical energy production based on renewable energy create the power system with a severe problem caused by the instability and unpredictability. For this reason, nuclear systems with new safe reactor type have aroused substantial attention as an essential component of the national power systems. The proposed cycles are based on one of the most advanced technologies, giving the possibility to generate electrical power, as well as high-temperature technological heat, while being suitable due to very safe construction, which makes them different from currently available district heating cycles.
Author Contributions
Conceptualization, M.J.; methodology and software, M.D.; supervision, Z.K. and M.J.; writing original draft and review and editing, M.J. All authors have read and agreed to the published version of the manuscript.
Funding
The present work was supported by the Polish Ministry of Science (Grant AGH No. 16.16.210.476).
Conflicts of Interest
The authors declare no conflicts of interest.
Abbreviations
| SMR | Small Modular Reactors |
| HTR | High-Temperature Reactor |
| HRSG | Heat Recovery Steam Generator units |
| GT | Gas Turbine |
| ST | Steam Turbine |
| Symbols | |
| Tout | Reactor outlet temperature (K) |
| Tin | Reactor inlet temperature (K) |
| Ti | Working fluid temperature at point i (K) |
| hi | Working fluid enthalpy at point i (MJ) |
| pi | Working fluid pressure at point i (MPa) |
| Helium mass flow rate (kg/s) | |
| Steam mass flow rate (kg/s) | |
| Water mass flow rate (kg/s) | |
| Helium specific heat (J/kgK) | |
| Qr, | Reactor thermal power (MW) |
| η | Cycle thermal efficiency |
| ηi | Steam turbine isentropic efficiency |
| ηip | Pump isentropic efficiency |
| ηmech | Generator mechanical efficiency |
| ηgen | Generator electrical efficiency |
| ηiGT | Gas turbine isentropic |
| ηmechGT | Gas turbine mechanical efficiency |
| ηiC | Compressor isentropic efficiency |
| Gas turbine work (MJ) | |
| Compressor work (MJ) | |
| Pumps work (MJ) | |
| Steam turbine electrical power (MW) | |
| Gas turbine electrical power (MW) | |
| Fan energy demand (MW) | |
| Pumps energy demand (MW) | |
References
- van der Westhuizen, S. World Energy Resources Coal; World Energy Council: London, UK, 2016. [Google Scholar]
- IAEA Nuclear Energy. Opportunities for Cogeneration with Nuclear Energy Series; NP-T-4.1. STI/PUB/1749; IAEA Nuclear Energy: Vienna, Austria, 2017. [Google Scholar]
- Méndez-Vigo, I.; García Peña, F. Puertollano IGCC Plant: Operating experience and potential for further technology development. In Proceedings of the POWER-GEN Europe, Brussels, Belgium, 29–31 May 2001. [Google Scholar]
- Jaszczur, M.; Dudek, M.; Rosen, M.A.; Kolenda, Z. An analysis of integration of a power plant with a lignite superheated steam drying unit. J. Clean. Prod. 2020, 243, 1–14. [Google Scholar] [CrossRef]
- Jaszczur, M.; Rosen, M.A.; Śliwa, T.; Dudek, M.; Pieńkowski, L. Hydrogen production using high temperature nuclear reactors: Efficiency analysis of a combined cycle. Int. J. Hydrog. Energy 2016, 41, 7861–7871. [Google Scholar] [CrossRef]
- World Energy Council. World Energy Resources; World Energy Council: London, UK, 2016. [Google Scholar]
- Urbanucci, L.; D’Ettorre, F.; Testi, D. A Comprehensive Methodology for the Integrated Optimal Sizing and Operation of Cogeneration Systems with Thermal Energy Storage. Energies 2019, 12, 875. [Google Scholar] [CrossRef]
- Carrero, M.M.; Sanchez, I.R.; De Paepe, W.; Parente, A.; Contino, F. Is There a Future for Small-Scale Cogeneration in Europe? Economic and Policy Analysis of the Internal Combustion Engine, Micro Gas Turbine and Micro Humid Air Turbine Cycles. Energies 2019, 12, 413. [Google Scholar] [CrossRef]
- International Energy Agency. Energy Technology Perspectives; International Energy Agency: Paris, France, 2015. [Google Scholar]
- Jaskólski, M.; Reński, A.; Minkiewicz, T. Thermodynamic and economic analysis of nuclear power unit operating in partial cogeneration mode to produce electricity and district heat. Energy 2017, 141, 2470–2483. [Google Scholar] [CrossRef]
- Elektrownia Jądrowa a Konwencjonalna. Energetyka Cieplna I Zawodowa; WNT: Warszawa, Poland, 2005. [Google Scholar]
- Mitenkov, F.M.; Kusmartsev, E.V. Nuclear Heat Applications in Russia: Experience, status and prospects. OKB Mech. Eng. 1998, 29, 291–312. [Google Scholar]
- Dudek, M.; Kolenda, Z.; Jaszczur, M.; Stanek, W. Thermodynamic Analysis of Power Generation Cycles with High-Temperature Gas-Cooled Nuclear Reactor and Additional Coolant Heating Up to 1600 °C. J. Energy Resour. Technol. 2018, 140, 020910. [Google Scholar] [CrossRef]
- Terazi, R.; Kurt, E. Improving the Efficiency of a Nucler Power Plant Using a Thermoelectric Cogeneration System. Int. J. Renew. Energy Dev. 2018, 7, 77–84. [Google Scholar] [CrossRef]
- Jaszczur, M.; Dudek, M.; Kolenda, Z. Numerical investigation of advanced gas turbine combined cycle coupled with high-temperature nuclear reactor and cogeneration unit. E3s Web Conf. 2019, 128, 03005. [Google Scholar] [CrossRef]
- Nuclear Energy Agency. On the Role and Economics of Nuclear Cogeneration in a Low Carbon Energy Future; Nuclear Energy Agency: Paris, France, 2012. [Google Scholar]
- Jędrzejewski, J.; Hanuszkiewicz-Drapała, M. Analyses of the Efficiency of a High-Temperature Gas-Cooled Nuclear Reactor Cogeneration System Generating Heat for the Sulfur–Iodine Cycle. J. Energy Resour. Technol. 2018, 140, 112001. [Google Scholar] [CrossRef]
- Hanuszkiewicz-Drapała, M.; Jędrzejewski, J. Thermodynamic analysis of a co-generation system with a high-temperature gas cooled nuclear reactor. J. Power Technol. 2015, 95, 32–41. [Google Scholar]
- Atkinson, S.; Litskevich, D.; Merk, B. Variable Reactivity Control in Small Modular High Temperature Reactors Using Moderation Manipulation Techniques. Energies 2018, 11, 1897. [Google Scholar] [CrossRef]
- Pieńkowski, L.; Jaszczur, M.; Dudek, M.; Skolik, K. CCGT and small nuclear SMR hybrids system for flexible energy generation. E3s Web Conf. 2019, 108, 01023. [Google Scholar] [CrossRef]
- Hirota, N.; Terada, A.; Yan, X.; Tanaka, K. A Concept of Intermediate Heat Exchanger for High-Temperature Gas Reactor Hydrogen and Power Cogeneration System. Next Generation Nuclear Plant Research and Development Program Plan. In Proceedings of the 2018 26th International Conference on Nuclear Engineering, London, UK, 22–26 July 2018. [Google Scholar]
- Zhou, X.; Tang, Y.; Lu, Z.; Zhang, J.; Liu, B. Nuclear graphite for high temperature gas-cooled reactors. New Carbon Mater. 2017, 32, 193–204. [Google Scholar] [CrossRef]
- McDonald, C.F. Power conversion system considerations for a high efficiency small modular nuclear gas turbine combined cycle power plant concept (NGTCC). Appl. Eng. 2014, 73, 82–103. [Google Scholar] [CrossRef]
- Zuoyi, Z.; Dong, Y.; Li, F. The Shandong Shidao Bay 200 MWe high-temperature gas-cooled reactor pebble-bed module (HTR-PM) demonstration power plant: An engineering and technological innovation. Engineering 2016, 2, 112–118. [Google Scholar]
- Luo, C.; Zhao, F.; Zhang, N. A novel nuclear combined power and cooling system integrating high temperature gas-cooled reactor with ammonia–water cycle. Energy Convers. Manag. 2014, 87, 895–904. [Google Scholar] [CrossRef]
- Locatelli, G.; Mancini, M.; Todeschini, N. Generation IV nuclear reactors: Current status and future prospects. Energy Policy 2013, 61, 1503–1520. [Google Scholar] [CrossRef]
- Jaszczur, M.; Dudek, M.; Kolenda, Z. Thermodynamic analysis of high temperature nuclear reactor coupled with advanced gas turbine combined cycle. Therm. Sci. 2019, 4, 1187–1197. [Google Scholar] [CrossRef]
- Marsden, B.; Fok, S.L.; Hall, G. High temperature gas-cooled reactor core design future material consideration. In Proceedings of the International Conference on Global Environment and Advanced Nuclear Power Plants (GENES4/ANP2003), Kyoto Research Park, Kyoto, Japan, 15–19 September 2003. [Google Scholar]
- Mylavarapu, S.K.; Sun, X.; Glosup, R.E.; Christensen, R.N.; Patterson, M.W. Thermal hydraulic performance testing of printed circuit heat exchangers in a high-temperature helium test facility. Appl. Eng. 2014, 65, 605–614. [Google Scholar] [CrossRef]
- Benato, A.; Bracco, S.; Stoppato, A.; Mirandola, A. Dynamic simulation of combined cycle power plant cycling in the electricity market. Energy Convers. Manag. 2016, 107, 76–85. [Google Scholar] [CrossRef]
- Bentivoglio, F.; Tauveron, N. Validation of CATHARE2 against OBERHAUSEN II data. Nucl. Technol. 2008, 164, 55–75. [Google Scholar] [CrossRef]
- Saez, M.; Tauveron, M.; Chataing, T.; Geffraye, G.; Briottet, L.; Alborghetti, N. Analysis of the turbine deblading in an HTGR with the CATHARE code. Nucl. Eng. Des. 2006, 236, 574–586. [Google Scholar] [CrossRef]
- Verkerk, E.C.; Kikstra, J.F. Comparison of two models for a high temperature reactor coupled to a gas turbine. Nucl. Eng. Des. 2003, 220, 51–65. [Google Scholar] [CrossRef]
- Li, Y.; Zhang, G.; Bai, Z.; Song, X.; Wang, L.; Yang, Y. Backpressure adjustable gas turbine combined cycle: A method to improve part-load efficiency. Energy Convers. Manag. 2018, 74, 739–754. [Google Scholar] [CrossRef]
- Benato, A.; Bracco, S.; Stoppato, A.; Mirandola, A. LTE: A procedure to predict power plants dynamic behavior and components lifetime reduction during transient operation. Appl. Energy 2016, 162, 880–891. [Google Scholar] [CrossRef]
- Benato, A.; Stoppato, A.; Mirandola, A. Dynamic behavior analysis of a three pressure level heat recovery steam generator during transient operation. Energy 2015, 90, 1595–1605. [Google Scholar] [CrossRef]
- Dudek, M.; Jaszczur, M. An analysis of the thermodynamic cycles with high-temperature nuclear reactor for power generation and hydrogen co-production. E3s Web Conf. 2017, 14, 1–12. [Google Scholar] [CrossRef]
- Jaszczur, M.; Dudek, M.; Śliwa, T.; Kolenda, Z. An analysis of high-temperature nuclear reactor coupled with gas turbine combined cycle. Matec. Web Conf. 2018, 240, 05010. [Google Scholar] [CrossRef]
- Dudek, M.; Podsadna, J.; Jaszczur, M. An numerical analysis of high-temperature helium reactor power plant for co-production of hydrogen and electricity. J. Phys. Conf. Ser. 2016, 745, 032009. [Google Scholar] [CrossRef]
- Dudek, M.; Jaszczur, M.; Skolik, K.; Malicki, M.; Pieńkowski, L. High-temperature nuclear reactor power plant cycle for hydrogen and electricity production–numerical analysis. E3s Web Conf. 2016, 10, 1–6. [Google Scholar] [CrossRef]
- Dudek, M. An Analysis of the Thermodynamic Cycles with High Temperature Nuclear Reactor, Application for Power Generation, Cogeneration, Hydrogen Production and Industrial Application. Ph.D. Thesis, AGH University of Science and Technology, Kraków, Poland, 2018. [Google Scholar]
- Promes, E.J.O.; Woudstra, T.; Schoenmakers, L.; Oldenbroek, V.; Thattai, A.T.; Aravind, P.V. Thermodynamic evaluation and experimental validation of 253 MW Integrated Coal Gasification Combined Cycle power plant in Buggenum, Netherlands. Appl. Energy 2015, 155, 181–194. [Google Scholar] [CrossRef]
© 2020 by the authors. Licensee MDPI, Basel, Switzerland. This article is an open access article distributed under the terms and conditions of the Creative Commons Attribution (CC BY) license (http://creativecommons.org/licenses/by/4.0/).











