Role of Inflow Turbulence and Surrounding Buildings on Large Eddy Simulations of Urban Wind Energy
Abstract
1. Introduction
2. Methodology
2.1. Framework of the Research
2.2. Wind Tunnel Validation
2.3. Numerical Simulation
2.3.1. Computational Domains
2.3.2. Boundary Conditions
2.3.3. Computational Grid
2.3.4. WM-LES Setup
3. Results
3.1. Inlet Turbulence
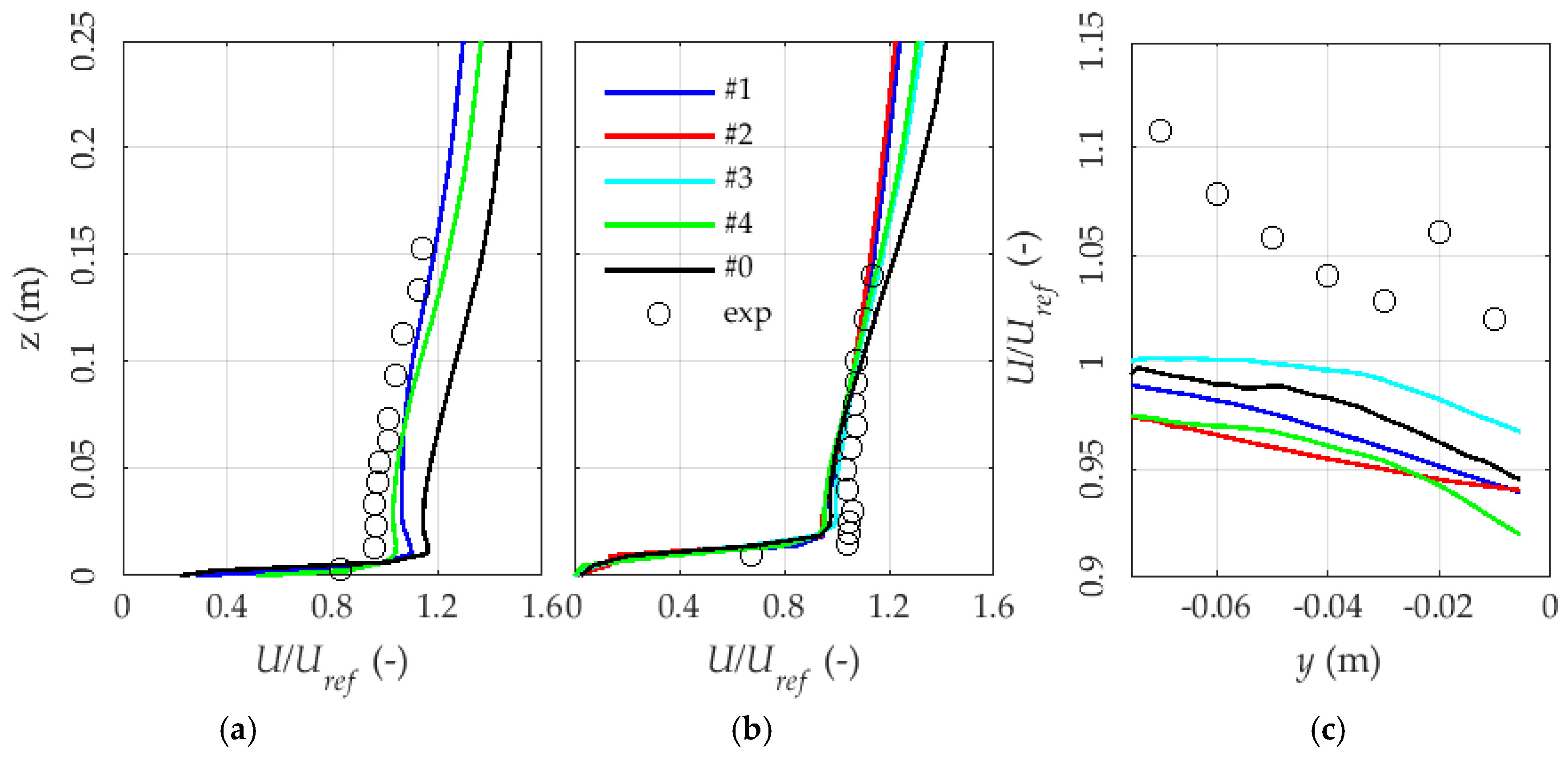
3.2. Flow Pattern
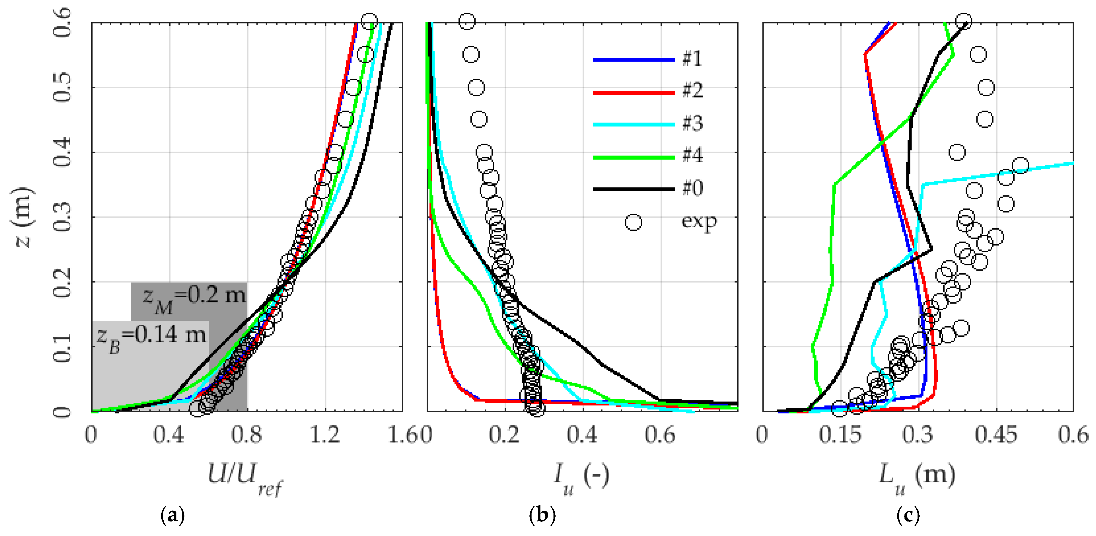
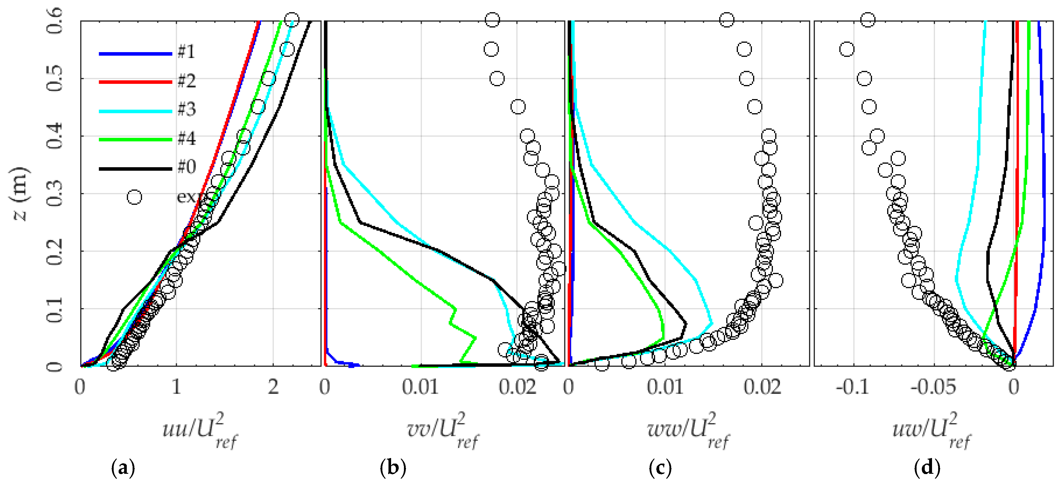
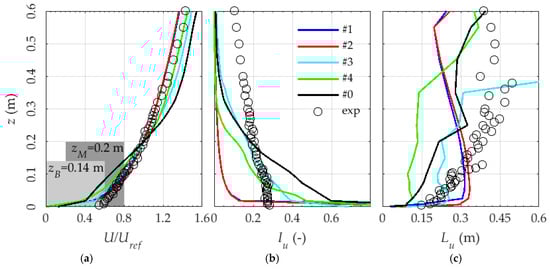
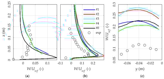
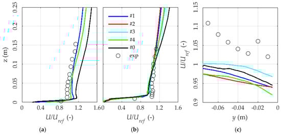
3.3. Mean Wind Speed
3.4. Turbulence Intensity
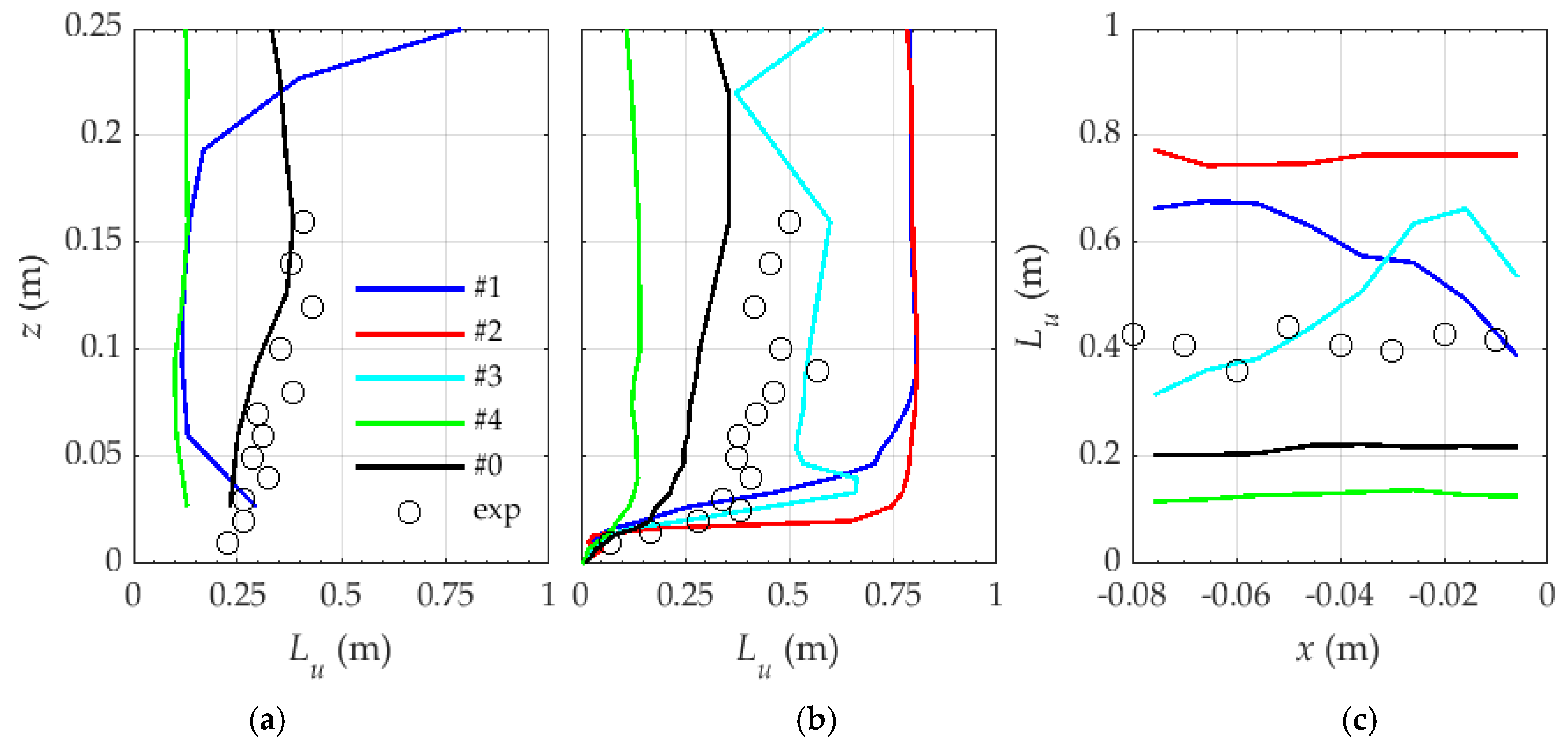
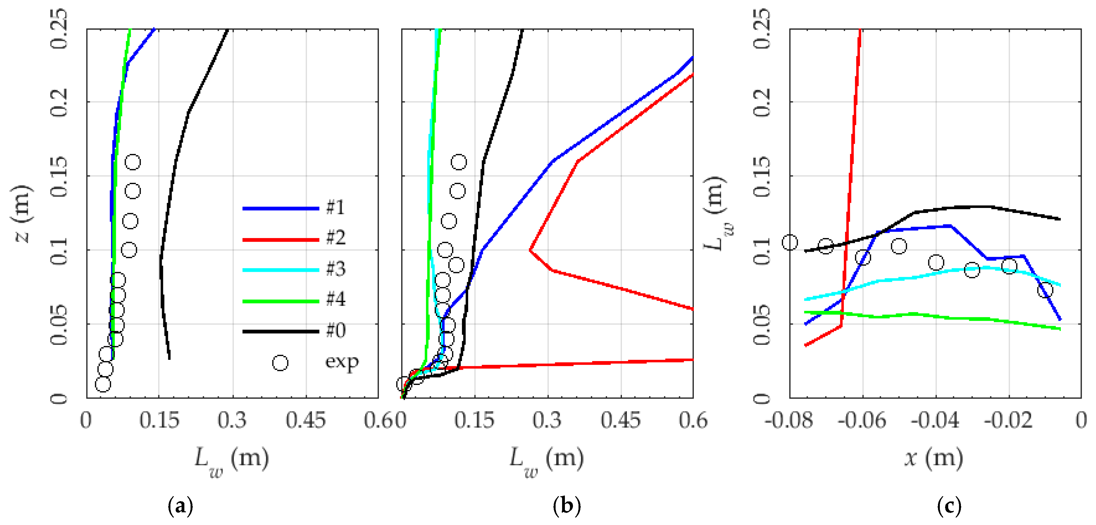
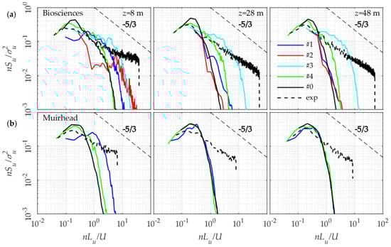
3.5. Integral Length Scale of Turbulence
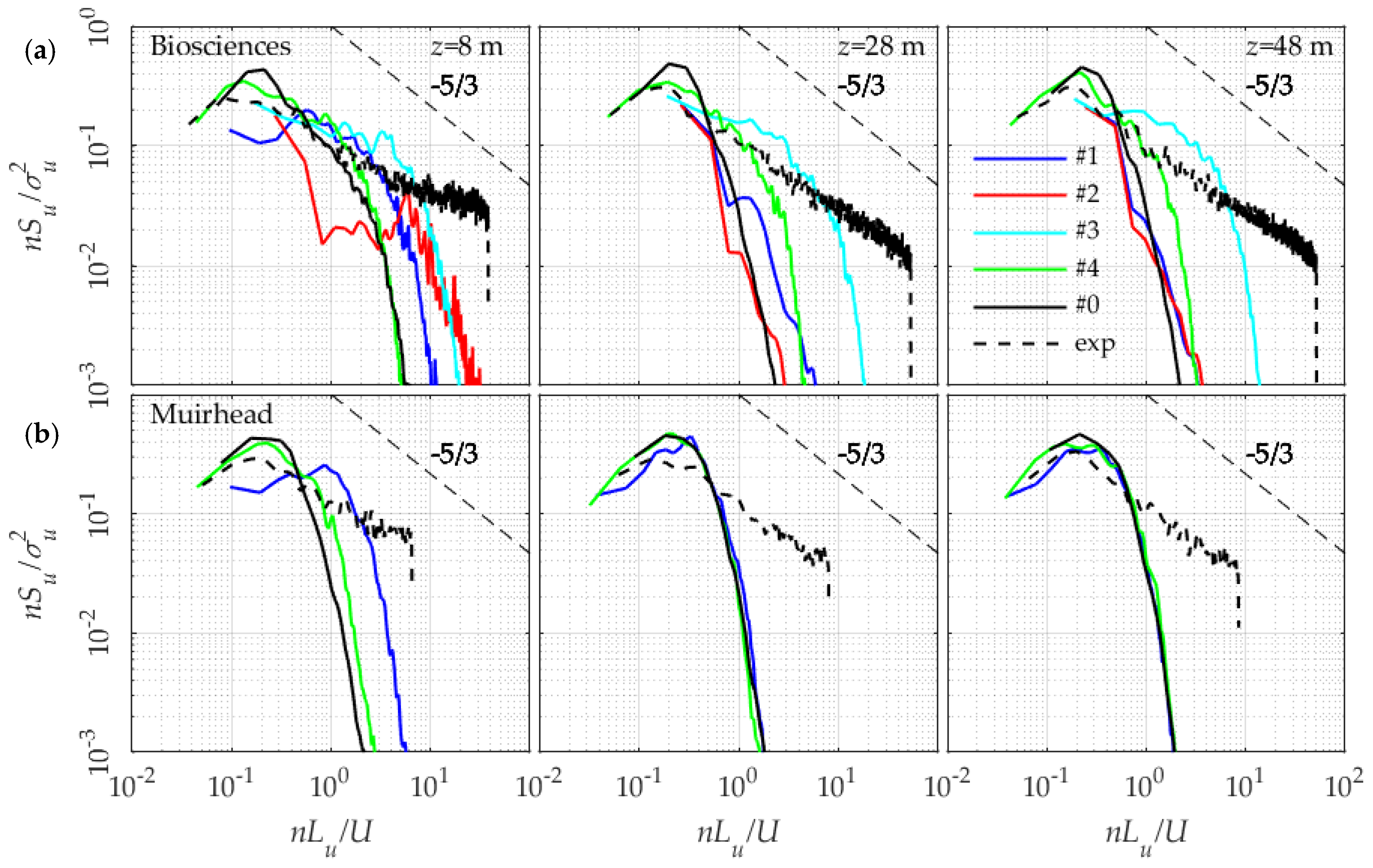
3.6. Energy Spectra
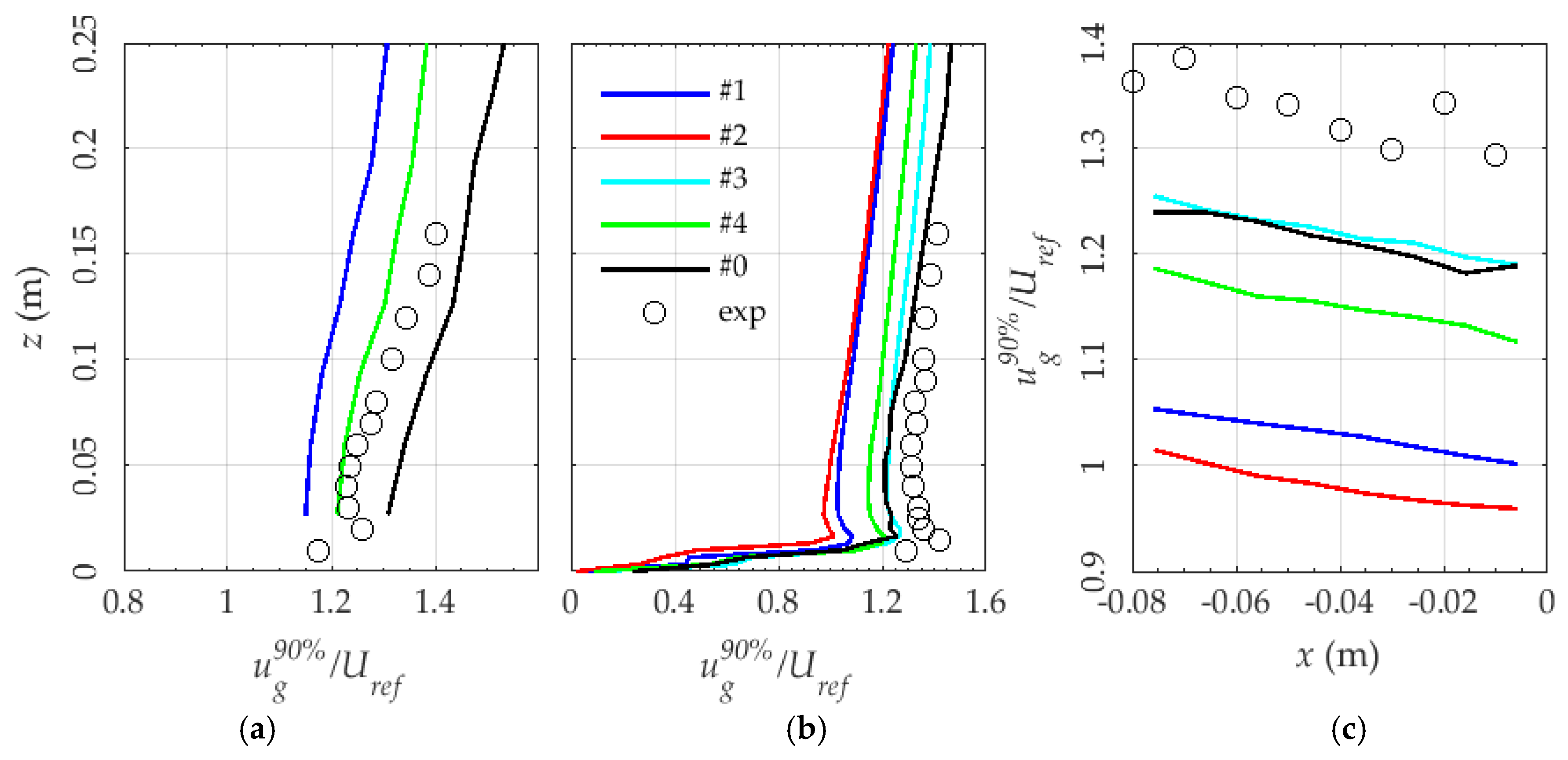
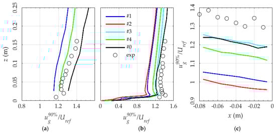
3.7. Gust Wind Speed
3.8. Probability Density Function
3.9. Quadrant Analysis
4. Discussion and Conclusions
- The randomness of the wind conditions implies a random angle of attack and asymmetry of the geometry of the high-rise building;
- The roughness distribution around the high-rise, which fluctuates significantly depending on the immediate surroundings of the building and the built environment around.
- Modelling inflow turbulence is essential to the accuracy of the simulation;
- Matching the real inflow turbulence characteristics is not of utmost importance to obtain an acceptable description of the local flow, especially close to the building surfaces;
- Close to the roof, the behavior is only affected by the leading edge generated coherent structures, and not by the inflow characteristics;
- The turbulence intensity is the most sensitive parameter to differences in the turbulent inflow;
- The integral length scale is also sensitive, but to a lesser extent;
- The mean wind speed is rather insensitive to variations in the turbulent inlet;
- Surrounding buildings also need to be modelled, but their role is limited in generating local turbulence. Hence, if a turbulent inlet is present, isolated buildings can also be modelled to obtain a reasonable estimate of the wind energy resource;
- Vice versa, if a turbulent inflow is absent, modelling surrounding buildings improves accuracy due to the generation of local turbulence. However, a larger area should to be modelled, as shown for the Muirhead Tower in the present study, placed downstream of the testing platform and showing in general a better match in absence of turbulence than found for the Biosciences Tower.
- The wake of modelled buildings is heavily affected by inflow turbulence, while it looks insensitive to the presence of surrounding buildings, suggesting wakes depend mostly on the inflow rather than the local geometric and flow features.
Author Contributions
Funding
Acknowledgments
Conflicts of Interest
References
- Evans, B.; Parks, J.; Theobald, K. Urban wind power and the private sector: Community benefits, social acceptance and public engagement. J. Environ. Plan. Manag. 2011, 54, 227–244. [Google Scholar] [CrossRef]
- Stathopoulos, T.; Alrawashdeh, H. Urban Wind Energy: A Wind Engineering and Wind Energy Cross-Roads; Springer: Cham, Switzerland, 2019; pp. 3–16. [Google Scholar]
- Stathopoulos, T.; Alrawashdeh, H.; Al-Quraan, A.; Blocken, B.; Dilimulati, A.; Paraschivoiu, M.; Pilay, P. Urban wind energy: Some views on potential and challenges. J. Wind Eng. Ind. Aerodyn. 2018, 179, 146–157. [Google Scholar] [CrossRef]
- Toja-Silva, F.; Kono, T.; Peralta, C.; Lopez-Garcia, O.; Chen, J. A review of computational fluid dynamics (CFD) simulations of the wind flow around buildings for urban wind energy exploitation. J. Wind Eng. Ind. Aerodyn. 2018, 180, 66–87. [Google Scholar] [CrossRef]
- Millward-Hopkins, J.T.T.; Tomlin, A.S.S.; Ma, L.; Ingham, D.; Pourkashanian, M. The predictability of above roof wind resource in the urban roughness sublayer. Wind Energy 2012, 15, 225–243. [Google Scholar] [CrossRef]
- Blocken, B. LES over RANS in building simulation for outdoor and indoor applications: A foregone conclusion? Build. Simul. 2018, 11, 821–870. [Google Scholar] [CrossRef]
- Bontempo, R.; Manna, M. Highly accurate error estimate of the momentum theory as applied to wind turbines. Wind Energy 2017. [Google Scholar] [CrossRef]
- Micallef, D.; van Bussel, G. A Review of Urban Wind Energy Research: Aerodynamics and Other Challenges. Energies 2018, 11, 2204. [Google Scholar] [CrossRef]
- Tolias, I.C.; Koutsourakis, N.; Hertwig, D.; Efthimiou, G.C.; Venetsanos, A.G.; Bartzis, J.G. Large Eddy Simulation study on the structure of turbulent flow in a complex city. J. Wind Eng. Ind. Aerodyn. 2018, 177, 101–116. [Google Scholar] [CrossRef]
- Hertwig, D.; Patnaik, G.; Leitl, B. LES validation of urban flow, part II: Eddy statistics and flow structures. Environ. Fluid Mech. 2017, 17, 551–578. [Google Scholar] [CrossRef]
- Šarkić Glumac, A.; Hemida, H.; Höffer, R. Wind energy potential above a high-rise building influenced by neighboring buildings: An experimental investigation. J. Wind Eng. Ind. Aerodyn. 2018, 175, 32–42. [Google Scholar] [CrossRef]
- Franke, J.; Hellsten, A.; Schlunzen, K.H.; Carissimo, B. The COST 732 Best Practice Guideline for CFD simulation of flows in the urban environment: A summary. Int. J. Environ. Pollut. 2011, 44, 419. [Google Scholar] [CrossRef]
- Kubota, T.; Miura, M.; Tominaga, Y.; Mochida, A. Wind tunnel tests on the relationship between building density and pedestrian-level wind velocity: Development of guidelines for realizing acceptable wind environment in residential neighborhoods. Build. Environ. 2008, 43, 1699–1708. [Google Scholar] [CrossRef]
- Tsang, C.W.; Kwok, K.C.S.; Hitchcock, P.A. Wind tunnel study of pedestrian level wind environment around tall buildings: Effects of building dimensions, separation and podium. Build. Environ. 2012, 49, 167–181. [Google Scholar] [CrossRef]
- Vita, G.; Šarkić-Glumac, A.; Hemida, H.; Salvadori, S.; Baniotopoulos, C. On the Wind Energy Resource Above High-Rise Buildings. Energies 2020, 13, 3641. [Google Scholar] [CrossRef]
- Hemida, H.; Šarkic Glumac, A.; Vita, G.; Kostadinović Vranešević, K.; Höffer, R. On the flow over high-rise building for wind energy harvesting: An experimental investigation of wind speed and surface pressure. Appl. Sci. 2020, 5283, In review. [Google Scholar] [CrossRef]
- Kanda, M. Progress in Urban Meteorology: A Review. J. Meteorol. Soc. Jpn. 2007, 85B, 363–383. [Google Scholar] [CrossRef]
- Toparlar, Y.; Blocken, B.; Maiheu, B.; van Heijst, G.J.F. A review on the CFD analysis of urban microclimate. Renew. Sustain. Energy Rev. 2017, 80, 1613–1640. [Google Scholar] [CrossRef]
- Yoshie, R.; Mochida, A.; Tominaga, Y.; Kataoka, H.; Harimoto, K.; Nozu, T.; Shirasawa, T. Cooperative project for CFD prediction of pedestrian wind environment in the Architectural Institute of Japan. J. Wind Eng. Ind. Aerodyn. 2007, 95, 1551–1578. [Google Scholar] [CrossRef]
- Vita, G.; Shu, Z.; Jesson, M.; Quinn, A.; Hemida, H.; Sterling, M.; Baker, C. On the assessment of pedestrian distress in urban winds. J. Wind Eng. Ind. Aerodyn. 2020, 203, 104200. [Google Scholar] [CrossRef]
- Vita, G. The Effect of Turbulence in the Built Environment on Wind Turbine Aerodynamics; University of Birmingham: Birmingham, UK, 2020. [Google Scholar]
- Ricci, A.; Kalkman, I.; Blocken, B.; Burlando, M.; Freda, A.; Repetto, M.P. Large-scale forcing effects on wind flows in the urban canopy: Impact of inflow conditions. Sustain. Cities Soc. 2018, 42, 593–610. [Google Scholar] [CrossRef]
- Tominaga, Y.; Mochida, A.; Shirasawa, T.; Yoshie, R.; Kataoka, H.; Harimoto, K.; Nozu, T. Cross Comparisons of CFD Results of Wind Environment at Pedestrian Level around a High-rise Building and within a Building Complex. J. Asian Archit. Build. Eng. 2004, 3, 63–70. [Google Scholar] [CrossRef]
- Vasaturo, R.; Kalkman, I.; Blocken, B.J.E.; van Wesemael, P.J.V.J.V. Large eddy simulation of the neutral atmospheric boundary layer: Performance evaluation of three inflow methods for terrains with different roughness. J. Wind Eng. Ind. Aerodyn. 2018, 173, 241–261. [Google Scholar] [CrossRef]
- Ricci, A.; Burlando, M.; Repetto, M.P.; Blocken, B. Simulation of urban boundary and canopy layer flows in port areas induced by different marine boundary layer inflow conditions. Sci. Total Environ. 2019. [Google Scholar] [CrossRef] [PubMed]
- ASCE Wind tunnel testing for buildings and other structures. ASCE Stand. 2012, 1–54. [CrossRef]
- Hanjalic, K. Will RANS Survive LES? A View of Perspectives. J. Fluids Eng. 2005, 127, 831. [Google Scholar] [CrossRef]
- Blocken, B. Computational Fluid Dynamics for urban physics: Importance, scales, possibilities, limitations and ten tips and tricks towards accurate and reliable simulations. Build. Environ. 2015, 91, 219–245. [Google Scholar] [CrossRef]
- Ansys Inc. ANSYS CFX-Solver Theory Guide; Ansys Inc.: Canonsburg, PA, USA, 2011. [Google Scholar]
- Launder, B.E.; Spalding, D.B. The numerical computation of turbulent flows. In Numerical Prediction of Flow, Heat Transfer, Turbulence and Combustion; Pergamon: London, UK, 1983; pp. 96–116. [Google Scholar]
- Blocken, B.; Stathopoulos, T.; Carmeliet, J. CFD simulation of the atmospheric boundary layer: Wall function problems. Atmos. Environ. 2007, 41, 238–252. [Google Scholar] [CrossRef]
- Tabor, G.R.; Baba-Ahmadi, M.H. Inlet conditions for large eddy simulation: A review. Comput. Fluids 2010, 39, 553–567. [Google Scholar] [CrossRef]
- Conan, B.; Chaudhari, A.; Aubrun, S.; van Beeck, J.; Hämäläinen, J.; Hellsten, A. Experimental and Numerical Modelling of Flow over Complex Terrain: The Bolund Hill. Bound. Layer Meteorol. 2016, 158, 183–208. [Google Scholar] [CrossRef]
- NUMECA International Ltd. HEXPRESS/Hybrid 6.2 User Guide; NUMECA International Ltd.: Brussels, Belgium, 2017. [Google Scholar]
- Bearman, P.W.; Morel, T. Effect of free stream turbulence on the flow around bluff bodies. Prog. Aerosp. Sci. 1983, 20, 97–123. [Google Scholar] [CrossRef]
- Shur, M.L.; Spalart, P.R.; Strelets, M.K.; Travin, A.K. A hybrid RANS-LES approach with delayed-DES and wall-modelled LES capabilities. Int. J. Heat Fluid Flow 2008, 29, 1638–1649. [Google Scholar] [CrossRef]
- Nicoud, F.; Ducros, F. Subgrid-scale stress modelling based on the square of the velocity gradient tensor. Flow, Turbul. Combust. 1999, 62, 183–200. [Google Scholar] [CrossRef]
- Hradisky, M. Turbulence Modeling of Strongly Heated Internal Pipe Flow Using Large Eddy Simulation. Ph.D. Thesis, Utah State University, Logan, UT, USA, 2011. [Google Scholar]
- Auvinen, M.; Boi, S.; Hellsten, A.; Tanhuanpää, T.; Järvi, L. Study of realistic urban boundary layer turbulence with high-resolution large-eddy simulation. Atmosphere 2020, 201. [Google Scholar] [CrossRef]
- Nakayama, H.; Takemi, T.; Nagai, H. Large-eddy simulation of urban boundary-layer flows by generating turbulent inflows from mesoscale meteorological simulations. Atmos. Sci. Lett. 2012, 13, 180–186. [Google Scholar] [CrossRef]
- Hradisky, M.; Hauser, T. Evaluating LES subgrid-scale models for high heat flux flows. In Proceedings of the 2007 ASME/JSME Thermal Engineering Heat Transfer Summer Conference, Vancouver, BC, Canada, 8–12 July 2007; pp. 415–421. [Google Scholar] [CrossRef]
- Chatzimichailidis, A.E.; Argyropoulos, C.D.; Assael, M.J.; Kakosimos, K.E. Qualitative and quantitative investigation of multiple large eddy simulation aspects for pollutant dispersion in street canyons using OpenFOAM. Atmosphere 2019, 17. [Google Scholar] [CrossRef]
- Papi, F.; Cappugi, L.; Salvadori, S.; Carnevale, M.; Bianchini, A. Uncertainty Quantification of the Effects of Blade Damage on the Actual Energy Production of Modern Wind Turbines. Energies 2020, 3785. [Google Scholar] [CrossRef]
















, and the building test-cases are colored by
for the Biosciences tower and by
for the Muirhead tower.
, and the building test-cases are colored by
for the Biosciences tower and by
for the Muirhead tower.| Case | Computational Domain | Uref m/s | Iref % | Lref cm | Cell smln. | |
|---|---|---|---|---|---|---|
| #0 | ![]() | 5.11 (4.00) | 18.7 (29.8) | 21.5 (19.0) | 6.57 × 2 | 8.4 |
| #1 | ![]() | 5.59 (4.95) | 2.15 (3.0) | 29.5 (30.5) | 3.90 × 2 | 6.9 |
| #2 | ![]() | 5.61 (5.00) | 2.15 (3.0) | 31.0 (32.0) | 3.90 × 2 | 6.4 |
| #3 | ![]() | 5.20 (4.50) | 17.00 (21.0) | 22.5 (23.5) | 6.57 × 2 | 7.9 |
| #4 | ![]() | 5.32 (4.50) | 11.25 (16.5) | 13.5 (11.5) | 6.57 × 2 | 8.5 |
| Grid | Cell Size Bioscience (mm) | Cell Size Freestream (mm) | Nr. Cells b.l. Pedestrian (m) | y+ Pedestrian (-) | Cell Size Pedestrian (mm) | Turbulence Model | SGS Model | Time Step Iterations | CFL Number (Mean; Max) | |
|---|---|---|---|---|---|---|---|---|---|---|
| Coarse | 0.17 | 1.67 | 7 | ~5 | 0.07 | 6.69 | WM-LES | WALE | 0.0005 | 3; 16 |
| Medium | 0.10 | 0.67 | 7 | ~2 | 0.03 | 16.9 | WM-LES | WALE | 0.0005 | ; 12 |
| Fine | 0.07 | 0.33 | 15 | ~2 | 0.03 | 27.9 | WM-LES | WALE | 0.0005 | ; 6 |
| Case | Mean Wind Speed U | Standard Deviation σu | Instantaneous Speed uinst |
|---|---|---|---|
| #0 base | ![]() | ||
| #1 no turb. | ![]() | ||
| #2 no turb.& no build. | ![]() | ||
| #3 no build. | ![]() | ||
| #4 roughness | ![]() | ||
![]() | |||
© 2020 by the authors. Licensee MDPI, Basel, Switzerland. This article is an open access article distributed under the terms and conditions of the Creative Commons Attribution (CC BY) license (http://creativecommons.org/licenses/by/4.0/).
Share and Cite
Vita, G.; Hashmi, S.A.; Salvadori, S.; Hemida, H.; Baniotopoulos, C. Role of Inflow Turbulence and Surrounding Buildings on Large Eddy Simulations of Urban Wind Energy. Energies 2020, 13, 5208. https://doi.org/10.3390/en13195208
Vita G, Hashmi SA, Salvadori S, Hemida H, Baniotopoulos C. Role of Inflow Turbulence and Surrounding Buildings on Large Eddy Simulations of Urban Wind Energy. Energies. 2020; 13(19):5208. https://doi.org/10.3390/en13195208
Chicago/Turabian StyleVita, Giulio, Syeda Anam Hashmi, Simone Salvadori, Hassan Hemida, and Charalampos Baniotopoulos. 2020. "Role of Inflow Turbulence and Surrounding Buildings on Large Eddy Simulations of Urban Wind Energy" Energies 13, no. 19: 5208. https://doi.org/10.3390/en13195208
APA StyleVita, G., Hashmi, S. A., Salvadori, S., Hemida, H., & Baniotopoulos, C. (2020). Role of Inflow Turbulence and Surrounding Buildings on Large Eddy Simulations of Urban Wind Energy. Energies, 13(19), 5208. https://doi.org/10.3390/en13195208












