Abstract
The introduction of cool outdoor air can help in reducing the energy consumption for cooling during summer. Ventilative cooling potentials (VCPs) have been defined in various ways in the literature to represent potential cooling hours in specified outdoor temperature ranges. However, the energy-saving potential of ventilative cooling can differ between buildings in the same climatic zone depending on the buildings’ thermal characteristics and system operations. In this study, new VCPs are introduced with an index of temperature shift based on adaptive thermal comfort. This index can be determined based on the balance temperature difference of the buildings, which is defined as the heat gain in the building divided by the thermal transmission and air exchange characteristics of the building envelope under quasi-steady state conditions. The proposed method was also compared with those reported in the literature, including a computer-based VCP tool. It is the objective of the present study to investigate the correlation between VCPs and actual energy savings via ventilative cooling. Simulations were conducted in an office building for a four-month period during summer to calculate the energy saved via ventilative cooling in comparison with that achieved with a mechanical cooling system. Eight cities representing four different climatic conditions were considered: tropical, dry, temperate, and continental. Our results revealed a strong correlation between the energy savings and the proposed VCPs in the case of a proper temperature shift estimation in all climatic zones. The computerized VCP tool also exhibited good correlation with the calculated energy savings and with the VCPs proposed herein.
1. Introduction
Research on exploiting the climatic cooling potential is progressively increasing toward achieving buildings with low energy consumption. In most modern buildings, the highest amount of energy is consumed for cooling purposes. Ventilative cooling in which natural or mechanical ventilation is used when adequate outdoor air is available is a way to reduce the operation of mechanical cooling [1]. Thus, it is necessary to quantify the potential of ventilative cooling in a specific climate with a standard index.
Several indices for quantifying the climatic cooling potential have been introduced in accordance with the energy saving [2,3]. Yao [4] assessed an index of the natural ventilation cooling potential (NVCP) for an office building—the ratio of the number of hours within the comfort zone to the total occupied hours. Building characteristics, ventilation type, and internal heat load must be defined in advance to match the natural ventilation with the expected occupancy thermal comfort. Without including the building model, Causone [5] proposed an index of the climatic potential for natural ventilation (CPNV). The index is based on the number of hours that natural ventilation agreed with the temperature and humidity constraints. The defined acceptable supply air conditions were within the lower and upper temperature limits of 10 °C and 3.5 °C higher than the adaptive thermal comfort temperature, respectively, and the humidity level was within 30% and 70% relative humidity (RH). However, the wide acceptable temperature range in CPNV may create overcapacity in the design of ventilation systems or cause occupant dissatisfaction. A climatic cooling potential (CCP) has been introduced by Campanico [6,7] as a climatic index in the unit of kWh. The index represents the climatic condition for passive cooling systems depending on the airflow rate, the comfort set point, and various building characteristics. In the Annex 62 project, experts from 13 countries developed a VCP tool to assess the VCPs considering the building characteristics, loads, and ventilation systems [8].
However, research on assessing the actual energy savings based on VCPs is yet to be conducted. This study investigates the correlation between various VCP models and actual energy savings. Energy simulations were conducted to calculate the energy savings of a model office building in four climates during the daytime of summer.
2. Methodology
2.1. Balance Temperature Difference
The balance temperature difference (BTD) is defined as the indoor–outdoor equilibrium temperature difference when the total heat gain of an indoor space equals the heat losses through the building as formulated in Equation (1). The heat losses comprise heat transmission through envelopes and heat infiltration due to ventilation air exchange.
where is the overall heat transmission factor through the building envelope; Q is the ventilation rate; WIHG is the indoor heat generation rate; and ρ and Cp are the density and specific heat of air, respectively. The BTD expresses the overall thermal characteristics of a building with a single parameter and can be calculated by rearranging and simplifying Equation (1) into Equation (2):
The overall BTD is half of the harmonic mean of the BTD caused by wall transmission and that caused by air exchange. The BTD caused by transmission (Equation (3)) indicates the temperature difference when there is no infiltration and/or ventilation, whereas the BTD by air exchange (Equation (4)) is the temperature difference when there is no heat transmission through the building envelopes.
For a given internal heat generation, well-insulated but leaky buildings have high but low , whereas poorly insulated but air-tight buildings have low but high . The BTD distribution in a parametric zone of and is shown in Figure 1.
Figure 1.
Balance temperature difference dependence on a building’s thermal characteristics.
2.2. Definition of VCPs
The VCP term used to evaluate climatic data is defined as the number of potential ventilative cooling hours divided by the total hours, although the potential cooling hours has varied in the literature depending on the application. The VCP can be formulated as follows:
where H is the total observed hours; hvc is the number of hours when ventilative cooling is possible; d and h are the standard time parameters for day and hour, respectively; and the subscripts i and f denote the initial and final time variables for day and hour, respectively. Although this definition is widely accepted in the community, the resulting value widely varies depending on the varying temperature ranges and durations of the VCP model used.
To standardize and better represent the energy-saving potential, new VCPs are proposed based on the thermal comfort zone shifted by the amount of BTD representing the thermal characteristics of a building. Two VCPs, that is, VCP1 and VCP2, were calculated and compared with the CPNV proposed by Causone [5] and the VCP tool developed by IEA Annex 62 [9]. VCP1 was defined as the number of hours in the comfort zone shifted to a lower temperature by ΔTbal; both the lower and upper limits were shifted. To calculate VCP2, the lower limit of the comfort zone (Tlc) was shifted to a lower temperature by ΔTbal and the upper limit (Tuc) was shifted by half of ΔTbal, as shown in Figure 2. The figure shows an example of hourly climate data for one year in Seoul on a psychrometric chart. The number of data points in the zone represents the VCP2 during the period of interest.
Figure 2.
Shift zone for ventilative cooling potential (VCP2) and adaptive thermal comfort zone along with hourly climatic data shown on a psychrometric chart.
The thermal comfort zones for VCP1 and VCP2 were determined according to the adaptive thermal comfort model of ASHRAE standard 55 [10] for a naturally ventilated building, as originally proposed by de Dear and Brager [11]. Occupant acceptability was set to 80% with a ±3.5 °C band gap, as shown in Equation (6), where Ta,out represents the mean outdoor air temperature. Occupants were assumed to adapt their clothing to the thermal conditions and be sedentary, with a metabolic rate of 1.0~1.3.
Two other climate cooling approaches were investigated for comparative purposes. The first approach is the CPNV defined as the region above a lower limit of 10 °C and below an upper limit of Tuc, which counts the number of hours of thermal comfort in the region for a naturally ventilated building. The temperature comfort range is the same as given in Equation (6), but the humidity constraints by Causone [5] are not considered.
The second approach is the VCP tool of which the evaluation criteria is based on user inputs, including building thermal model and climatic data on an hourly basis. Summer hours are categorized into four modes, which is related to indoor, outdoor, and set temperature, as well as cooling rate by ventilation. Only “mode 2”, in which the outdoor temperature can meet the indoor comfort with increased ventilation rate, was evaluated in the VCP tool herein. Thus, out of the output datasets provided by the tool, only some of datasets were selected in the range compatible with the other approaches. The VCP tool refers to the adaptive thermal comfort model in the EN 1521:2007 standard [11] with a ±3 °C band gap, which is expressed as follows:
where Trm is the outdoor running mean temperature. Evaluation was conducted within office hours (08:00~16:00). An illustration of the comfort zone and four climate evaluation approaches are shown in Figure 3.
Figure 3.
Ventilative cooling potential (VCP) evaluation methods based on temperature ranges. CPNV—climatic potential for natural ventilation.
2.3. Climates
The Köppen climate classification [12] specifies five main climate groups: tropical, dry, temperate, continental, and polar. The fifth group, polar, is not considered herein because ventilative cooling is not quite necessary. Thus, eight cities were analyzed to include two of each of the four main climate groups studied. A list of the cities considered herein and their climates are summarized in Table 1. The table also lists the average summertime outdoor temperature and wind speed.
Table 1.
Climate data for the eight cities analyzed (data source: Energyplus [13]).
2.4. Building and Energy Simulation Model
A medium-sized, three-story, 4982 m2 office building [14] with a 5 m long central atrium and 3 m ceilings was used for simulation, as shown in Figure 4. The total load produced by occupants, lights, and equipment was 31.24 W/m2 and lasted from 08.00 to 16.00. The glazed and open areas represented 33% and 11%, respectively, of the wall per floor area ratio. The building was located in a rural area with low buildings and faced 90° to the north.
Figure 4.
Building model for validation.
Two cooling schemes were separately run to perform the energy-saving analysis. The first operated as the control in which an air conditioner with a COP of 3.0 was used to meet all cooling requirements. In the second, a mechanical fan cooled the indoor space using outdoor air at a constant flow rate of 14 m3/s when the internal temperature was between 22 °C and Tuc. If the indoor temperature rose above Tuc, the fan was replaced with air conditioning. The energy consumption and indoor conditions were calculated using the CoolVent software package [15] from June to September on an hourly basis. ΔTbal was manually calculated by considering the energy balance between the internal heat gain and the building heat transfer. The UA value of the building was estimated to be 3600 W/K ( = 43 °C), and the ρCpQ value was 16,800 W/K ( = 9 °C). In practice, users can use the maximum fan capacity to define the air exchange rate for balance temperature difference calculation. The natural infiltration has not been taken into account because the rates are not controlled and can be neglected compared with the mechanical ventilation rates for cooling purposes. Solar radiation was not included in the calculation for simplification, but it can be included as a part of the indoor heat generation rate in Equation (1). It is a matter of how to model complicated solar heat gains varying considerably depending on various parameters into a single parameter. In this paper, ΔTbal was thus calculated to be approximately 7 °C without considering solar gains. A ventilation rate of 2.81 L/s·m2 was employed in the VCP tool.
3. Results
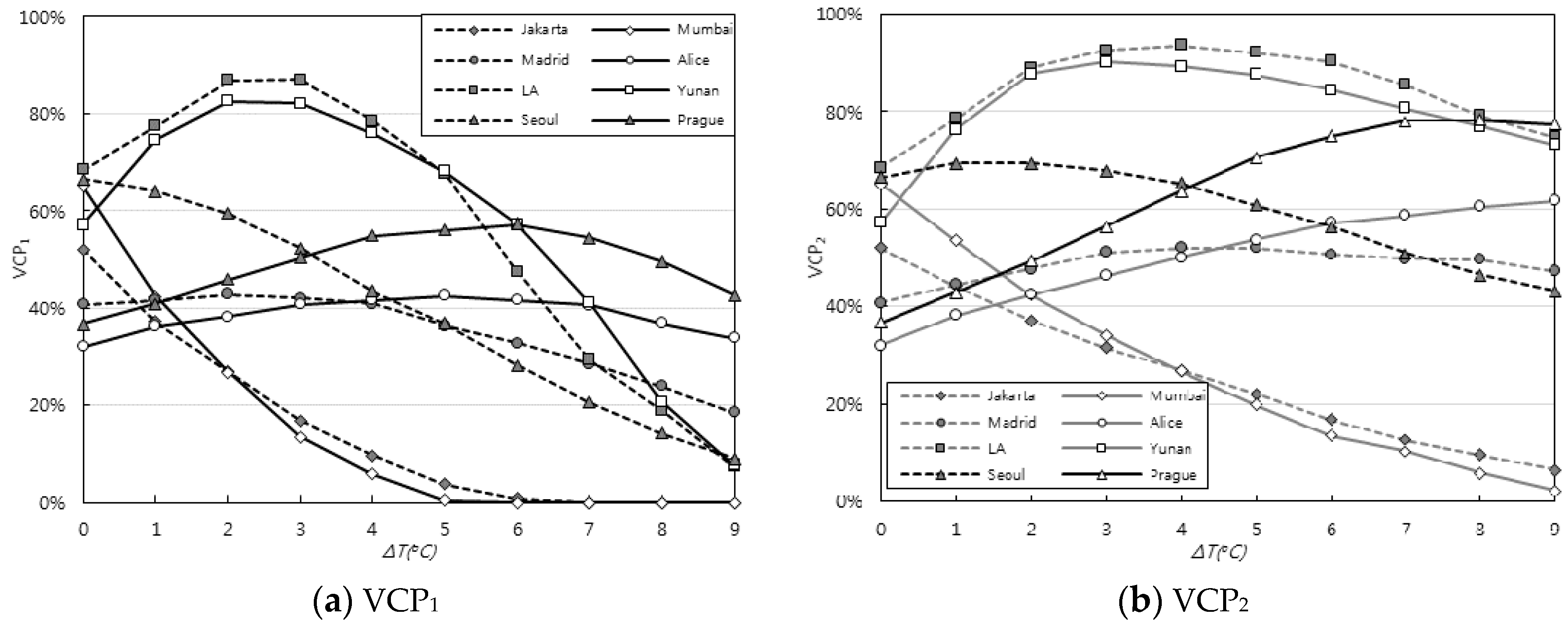
The ventilative cooling potentials, VCP1 and VCP2, for the four representative climates in various temperature shifts are plotted in Figure 5, where ΔT is used as an index of temperature shift. The lower and upper limits were both shifted by ΔT in the calculation of VCP1. For VCP2, the upper limit was only shifted by half of ΔT.
Figure 5.
Variations of VCP1 and VCP2 with respect to ΔT in various cities.
Both VCPs exhibited similar patterns according to the temperature shift, as shown in Figure 5a,b. In the tropical climate, both VCPs began at a moderate level and decreased rapidly with increasing ΔT; the greater the BTD, the lesser the cooling benefits. Thus, buildings with large ΔT in tropical climates cannot extract the advantage of outdoor cooling. However, in the dry climate, both VCPs began at a low value and slowly increased with increasing ΔT. In the temperate climate group, the VCP values remained high over a wide range of ΔT, reaching over 80% when ΔT was between 1 °C and 7 °C. The two cities of the continental climate group presented opposite trends. Seoul began with a moderate VCP and decreased slightly with increasing ΔT, whereas Prague began with a low VCP and increased with increasing ΔT. This was likely caused by their heat levels (third classification scheme in Köppen climate); Seoul is classified as having a “hot summer”, and Prague is classified as having a “cold summer”. Because each city shows its own characteristics of VCP variations according to ΔT, a VCP lookup table can be generated with an index of the temperature shift in all cities so that users can easily determine the cooling potential according to their ΔTbal building design plan [16].
Seoul has an extreme temperature variation between summer and winter. Furthermore, the summer period has a wide temperature distribution, as shown in Figure 6. In the early and late summer months (June and September), VCP2 experienced only slight changes with increasing ΔT and remained above 60%; this pattern is similar to that observed in the dry climate. Meanwhile, in July and August, the months experiencing high summer, both proposed VCPs sharply decreased with increasing ΔT, indicating that similar to tropical climates, outdoor cooling cannot be reliably used for buildings with large balance temperature differences.
Figure 6.
Monthly breakdown of the VCP2 profile in Seoul.
The weekly values of VCP1, VCP2, and energy savings in Seoul at ΔT = 7 °C are plotted in Figure 7a from June to September. The VCP patterns agreed with the calculated energy savings and were high in the early and late summer months and relatively low during the high summer months, as is typical for hot-summer continental climates. In comparison with VCP1, the magnitude of VCP2 was much closer to the energy savings. Additionally, VCP2 had a stronger correlation with the energy savings, as shown in Figure 7b.
Figure 7.
Summary of VCPs and energy savings in Seoul: (a) weekly VCPs and energy savings and (b) correlation between VCPs and energy savings.
Correlations between the calculated energy savings for the eight cities during the 17 weeks of summer with each climate evaluation method are presented in Figure 8. VCP2 was found to have the highest correlation with energy savings for the given building model. In VCP2, outdoor air can be partially used for ventilative cooling as the temperature difference is not sufficiently large to completely cover the cooling load. Assuming that the outdoor temperature is equally distributed in the selected region statistically, as much as half of ΔTbal can be added to the shifted zone for the VCP calculation. No significant correlation was found between energy savings and VCP1. Unlike VCP2, the narrower selection of outdoor temperatures may have omitted the outdoor cooling potential.
Figure 8.
Correlations between VCPs and energy savings: (a) VCP1, (b) VCP2, (c) climatic potential for natural ventilation (CPNV), and (d) VCP tool.
Similarly, a weak correlation was found between CPNV and energy saving, possibly because of the wide boundary conditions of the CPNV evaluation design. CPNV does not account for the building characteristics or ventilation systems and relies only on weather, unlike the VCP tool, which includes these characteristics. Thus, a moderate correlation was found between energy savings and the VCP tool, indicating that the number of hours for which the ventilation rate should be increased correlated with the energy saved because of ventilation.
A summary of the correlation between the proposed VCPs and the energy savings at various temperature shifts ΔT is presented in Figure 9. Although the building simulation was performed with a known ΔT value of the building, it will be useful to how the ventilation strategy (i.e., energy reduced as a result of ventilation) behaves at various ΔT. The correlation between VCP2 and ΔT gradually increased with increasing ΔT until ΔT reached 6 °C; a slight change in the correlation was observed afterward. It is important to accurately evaluate the BTD. Even though the BTD is not evaluated precisely plus minus a few degrees, the correlation between VCP2 and energy savings remains nearly constant, with an R-squared value of over 85%.
Figure 9.
Correlation of VCP1 and VCP2 with energy savings at various ΔT.
4. Conclusions
The two methods proposed herein for evaluating the ventilative cooling potential were assessed in eight cities across four climate zones: tropical, dry, temperate, and continental. Both methods classified the outdoor temperature on an hourly basis based on the temperature shift of the comfort zone. The temperature shift was determined based on a single parameter—the balance temperature difference between the indoor and outdoor temperature—which varies in terms of the envelope design and ventilation operation of the building analyzed. The two representative cities of each climate group exhibited a similar pattern of VCPs according to the temperature shifts.
The VCP distributions with respect to the temperature shift show unique patterns depending on climatic groups. VCPs stay nearly constant over a wide range of temperature shifts in a Mediterranean climate. In a tropical climate, small temperature shifts are preferred for taking full advantage of ventilative cooling. A similar conclusion can be drawn for a continental climate, but annual energy consumption should be addressed, including heat loss in winter. Ventilative cooling is best applicable to a dry semi-arid climate where daily temperature fluctuations are large.
The proposed VCPs were validated by performing an energy simulation on a building to determine the potential for mechanical cooling reduction. The amount of energy saved using outdoor ventilation was found to be in good correlation with the proposed VCPs, particularly VCP2. The proposed VCPs can be used in early building design stages to predict the amount of energy savings by ventilative cooling without the use of a computer-based tool. A look-up table can be provided for various cities with an index of temperature shifts, so that design engineers can optimize the balance temperature difference of the building they design.
Author Contributions
Conceptualization, H.H.; Methodology, H.H. and H.R.; Software, H.R.; Validation, H.H. and H.R.; Formal Analysis, H.H.; Investigation, H.H. and H.R.; Resources, H.R.; Data Curation, H.R.; Writing—Original Draft Preparation, H.R.; Writing—Review & Editing, H.R. and H.H.; Supervision, H.H.; Project Administration, H.H.
Funding
This work was supported by the Basic Science Research Program through the National Research Foundation of Korea (NRF), funded by the Ministry of Education (2016R1D1A1B01009625) and by Global scholarship of Kookmin University.
Conflicts of Interest
The authors declare no conflict of interest.
References
- Kolokotroni, M.; Heiselberg, P. Ventilative Cooling State of the Art Review; Annex 62 Ventilative Cooling: Aalborg, Denmark, 2015. [Google Scholar]
- Artmann, N.; Manz, H.; Heiselberg, P. Climatic potential for passive cooling of buildings by night-time ventilation in Europe. Appl. Energy 2007, 84, 187–201. [Google Scholar] [CrossRef]
- Haase, M.; Amato, A. An investigation of the potential for natural ventilation and building orientation to achieve thermal comfort in warm and humid climates. Sol. Energy 2009, 83, 389–399. [Google Scholar] [CrossRef]
- Yao, R.; Li, B.; Steemers, K.; Short, A. Assessing the natural ventilation cooling potential of office buildings in different climate zones in China. Renew. Energy 2009, 34, 2697–2705. [Google Scholar] [CrossRef]
- Causone, F. Climatic potential for natural ventilation. Arch. Sci. Rev. 2016, 59, 212–228. [Google Scholar] [CrossRef]
- Campaniço, H.; Hollmuller, P.; Soares, P.M.M. Assessing energy savings in cooling demand of buildings using passive cooling systems based on ventilation. Appl. Energy 2014, 134, 426–438. [Google Scholar] [CrossRef]
- Campaniço, H.; Soares, P.M.M.M.; Hollmuller, P.; Cardoso, R.M. Climatic cooling potential and building cooling demand savings: High resolution spatiotemporal analysis of direct ventilation and evaporative cooling for the Iberian Peninsula. Renew. Energy 2016, 85, 766–776. [Google Scholar] [CrossRef]
- Belleri, A.; Avantaggiato, M.; Psomas, T.; Heiselberg, P. Evaluation tool of climate potential for ventilative cooling. Int. J. Vent. 2017, 2044–4044. [Google Scholar] [CrossRef]
- British Standards Institution. PrEN 16798-1. (2016-02-07 under Approval). In Energy Performance of Buildings—Part 1: Indoor Environmental Input Parameters for Design and Assessment of Energy Performance of Buildings Addressing Indoor Air Quality, Thermal Environment, Lighting and Acoustics; British Standards Institution: London, UK, 2016. [Google Scholar]
- ASHRAE. Thermal Environmental Conditions for Human Occupancy. Available online: http://www.aicarr.org/Documents/Editoria_Libri/ASHRAE_PDF/STD55-2004.pdf (accessed on 12 February 2019).
- De Dear, R.J.; Brager, G.S.; Artmann, N. Thermal comfort in naturally ventilated buildings: Revisions to ASHRAE Standard 55. Energy Build. 2002, 34, 549–561. [Google Scholar] [CrossRef]
- Peel, M.C.; Finlayson, B.L.; Mcmahon, T.A. Updated world map of the Köppen-Geiger climate classification. Hydrol. Earth Syst. Sci. Discuss. 2007, 4, 439–473. [Google Scholar] [CrossRef]
- Energyplus, Weather Data. 2016. Available online: https://energyplus.net/weather (accessed on 12 February 2019).
- Deru, M.; Field, K.; Studer, D.; Benne, K.; Griffith, B.; Torcellini, P.; Liu, B.; Halverson, M.; Winiarski, D.; Rosenberg, M.; et al. U.S. Department of Energy Commercial Reference Building Models of the National Building Stock; NREL/TP-5500-46861; NREL: Lakewood, CO, USA, 2011; p. 19. [Google Scholar]
- Maria-Alenjandra, B.M.; Glicksman, L. Coolvent: A multizone airflow and thermal analysis simulator for natural ventilation in building. In Proceedings of the 3rd National Conference of IBPSA-USA, Berkeley, CA, USA, 30 July–1 August 2008. [Google Scholar]
- Rahman, H.; Han, H. Ventilative cooling potential based on climatic condition and building thermal characteristics. In Proceedings of the AIVC Conference, Nottingham, UK, 13–14 September 2017. [Google Scholar]
© 2019 by the authors. Licensee MDPI, Basel, Switzerland. This article is an open access article distributed under the terms and conditions of the Creative Commons Attribution (CC BY) license (http://creativecommons.org/licenses/by/4.0/).








