Experimental Study on B-Spline-Based Modulation Schemes Applied in Multilevel Inverters for Electric Drive Applications
Abstract
:1. Introduction
2. B-Spline Functions
3. B-Spline Based Modulation Schemes for Single-Phase and Three-Phase Multilevel Inverters
3.1. Single-Phase Multilevel Inverters
3.2. Three-Phase Multilevel Inverters
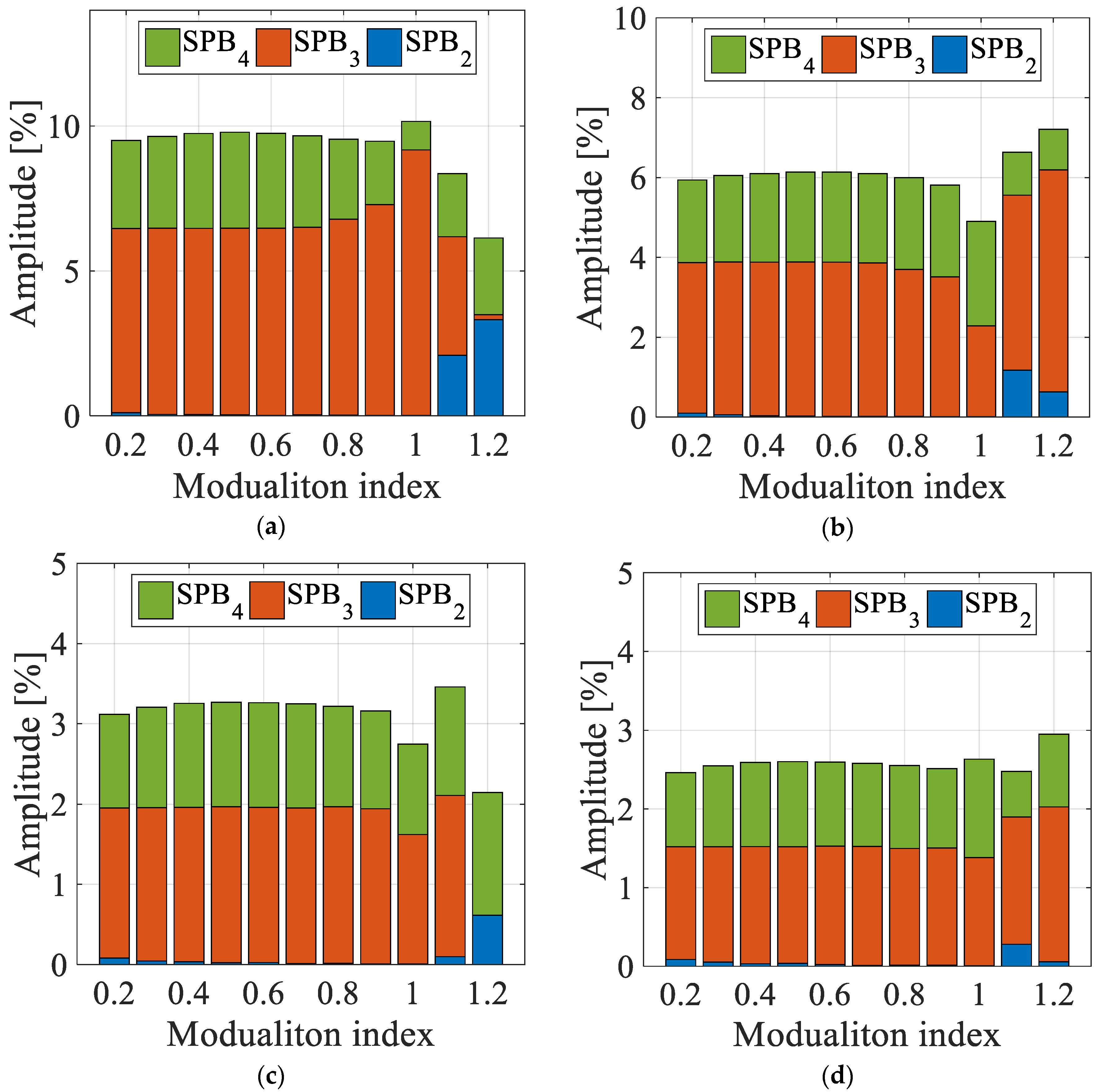
4. Simulation Results and Discussion
4.1. Single-Phase Multilevel Inverters
4.2. Three-Phase Multilevel Inverters
5. Test Bench Equipment and FPGA Algorithm Design
- ➣
- A five-level three-phase power MOSFET-based Cascaded H-Bridge;
- ➣
- Six independent DC sources, each one with a rated voltage equal to 12 V;
- ➣
- A control board, based on a prototype of Field Programmable Gate Array (FPGA) (ALTERA, DigiPowers.r.l, model Cyclone III);
- ➣
- A scope (LeCroyWaveRunner 6Zi Teledyne), which is adopted in order to monitor and acquire in real-time the waveforms of voltage and current;
6. Experimental Results and Discussion
7. Conclusions
Author Contributions
Funding
Conflicts of Interest
References
- De Almeida, A.T.; Ferreira, F.J.T.E.; Quintino, A. Technical and economical considerations on super high-efficiency three-phase motors. In Proceedings of the 48th IEEE Industrial & Commercial Power Systems Conference, Louisville, KY, USA, 20–24 May 2012; pp. 1–13. [Google Scholar] [CrossRef]
- Ferreira, F.J.T.E.; de Almeida, A.T. Reducing Energy Costs in Electric-Motor-Driven Systems: Savings Through Output Power Reduction and Energy Regeneration. IEEE Ind. Appl. Mag. 2018, 24, 84–97. [Google Scholar] [CrossRef]
- De Almeida, P.; Fonseca, F.; Ferreira, F.; Guisse, J.; Blaise, E.; Clair, A.; Diop, A.; Previ, A.; Dominioni, M.; Di Pillo, S.; et al. Improving the Penetration of Energy Efficient Motors and Drives; Technical Report 4.1031/Z96-044; SAVE II Programme; Directorate General of Energy, European Commission: Brussels, Belgium, 2000; Available online: http://publica.fraunhofer.de/dokumente/n-6399.html (accessed on 20 November 2019).
- Ferreira, F.; Baoming, G.; de Almeida, A.T. Reliability and operation of high-efficiency induction motors. In Proceedings of the 51st IEEE Industrial & Commercial Power Systems Technical Conf. (I&CPS’2015), Calgary, AB, Canada, 6–8 May 2015; pp. 1–13. [Google Scholar]
- Caruso, M.; Di Tommaso, A.O.; Miceli, R.; Nevoloso, C.; Spataro, C.; Viola, F. Characterization of the parameters of interior permanent magnet synchronous motors for a loss model algorithm. Meas. J. Int. Meas.Confed. 2017, 106, 196–202. [Google Scholar] [CrossRef]
- Kouro, S.; Malinowski, M.; Gopakumar, K.; Pou, L.; Franquello, L.G.; Wu, B.; Rodriguez, J.; Perez, M.A.; Leon, J.I. Recent Advances and Industrial Applications of Multilevel Converters. IEEE Trans. Ind. Electron. 2010, 57, 2553–2580. [Google Scholar] [CrossRef]
- Rodriguez, J.; Franquelo, L.G.; Kouro, S.; Leon, J.I.; Portillo, C.; Prats, M.A.M.; Perez, M.A. Multilevel Converters: An Enabling Technology for High-Power Applications. Proc. IEEE 2009, 97, 1786–1817. [Google Scholar] [CrossRef]
- Naouar, M.W.; Monmasson, E.; Naassani, A.A.; Slama-Belkhodja, I.; Patin, N. FPGA-Based Current Controllers for AC Machine Drives—A Review. IEEE Trans. Ind. Electron. 2007, 54, 1907–1925. [Google Scholar] [CrossRef]
- Viola, F. Experimental evaluation of the performance of a three-phase five-level cascaded h-bridge inverter by means FPGA-based control board for grid connected applications. Energies 2018, 11, 3298. [Google Scholar] [CrossRef]
- De, S.; Banerjee, D.; Kumar, K.S.; Gopakumar, K.; Ramchand, R.; Patel, C. Multilevel inverters for low-power application. IET Power Electron. 2011, 4, 384–392. [Google Scholar] [CrossRef]
- Ala, G.; Caruso, M.; Miceli, R.; Pellitteri, F.; Schettino, G.; Trapanese, M.; Viola, F. Experimental investigation on the performances of a multilevel inverter using a field programmable gate array-based control system. Energies 2019, 12, 1016. [Google Scholar] [CrossRef]
- Schettino, G.; Benanti, S.; Buccella, C.; Caruso, M.; Castiglia, V.; Cecati, C.; Di Tommaso, A.O.; Miceli, R.; Romano, P.; Viola, F. Simulation and experimental validation of multicarrier PWM techniques for three-phase five-level cascaded H-bridge with FPGA controller. Int. J. Renew. Energy Res. 2017, 7, 1383–1394. [Google Scholar]
- Miceli, R.; Schettino, G.; Viola, F. A novel computational approach for harmonic mitigation in PV systems with single-phase five-level CHBMI. Energies 2018, 11, 2100. [Google Scholar] [CrossRef]
- Marquez, A.; Leon, J.I.; Vazquez, S.; Portillo, R.; Franquello, L.G.; Freire, E.; Kouro, S. Variable-Angle Phase-Shifted PWM for Multilevel Three-Cell Cascaded H-Bridge Converters. IEEE Trans. Ind. Electron. 2017, 64, 3619–3628. [Google Scholar] [CrossRef]
- Grigoletto, F.B.; Pinheiro, H. Generalised pulse width modulation approach for DC capacitor voltage balancing in diode-clamped multilevel converters. IET Power Electron. 2011, 4, 89–100. [Google Scholar] [CrossRef]
- Holmes, G.; Lipo, T.A. Pulse Width Modulaiton for Power Converters: Principle and Practice; IEEE Press: Piscataway, NJ, USA, 2003. [Google Scholar]
- Wells, J.R.; Geng, X.; Chapman, P.L.; Krein, P.T.; Nee, B.M. Modulation-Based Harmonic Elimination. IEEE Trans. Power Electron. 2007, 22, 336–340. [Google Scholar] [CrossRef]
- De Boor, C. Approximation Theory; American Mathematical Society: New Orleans, LA, USA, 1986; Volume 36. [Google Scholar]
- De Boor, C. A Practical Guide to Splines; Springer: New York, NY, USA, 2001; ISBN 0387953663. [Google Scholar]
- Saleh, S.A.; Rahman, M.A. Development and Experimental Testing of a Single-Phase B-Spline-Based SPWM Inverter. In Proceedings of the 2006 IEEE International Symposium on Industrial Electronics, Montreal, QC, Canada, 9–13 July 2006; pp. 815–819. [Google Scholar]
- Saleh, S.A.; Rahman, M.A. Discrete time-based model of the sinusoidal pulse width modulation technique. In Proceedings of the 31st Annual Conference of IEEE Industrial Electronics Society, Raleigh, NC, USA, 6–10 November 2005; p. 6. [Google Scholar]
- Saleh, S.A.; Rahmen, M.A. Experimental testing of a novel control for inverter-fed three-phase induction motor. In Proceedings of the 2006 IEEE Power Engineering Society General Meeting, Montreal, QC, Canada, 18–22 June 2006; p. 5. [Google Scholar] [CrossRef]
- Genduso, R.; Miceli, R.; Rando, C. Algebraic real-time algorithm for B-Spline sinusoidal pulse width modulation in three phase voltage source inverters. In Proceedings of the 2008 IEEE International Symposium on Industrial Electronics, Cambridge, UK, 30 June–2 July 2008; pp. 353–358. [Google Scholar]
- Genduso, R.; Miceli, R.; Rando, C. Implementation and experimental validation of a real-time PWM algorithm based on B-Spline carriers for three phase voltage source inverters. In Proceedings of the 2009 IEEE International Symposium on Industrial Electronics, Seoul, Korea, 5 June–8 July 2009; pp. 1829–1834. [Google Scholar]
- Di Tommaso, O.; Genduso, F.; Miceli, R.; Raciti, A. A reexamination of voltage distortion for classical carrier-based vs B-Spline modulation of three-phase Voltage Sources Inverters. In Proceedings of the 2015 IEEE 24th International Symposium on Industrial Electronics (ISIE), Buzios, Brazil, 3–5 June 2015; pp. 986–991. [Google Scholar]
- Schettino, G.; Castiglia, V.; Genduso, F.; Livreri, P.; Miceli, R.; Romano, P.; Viola, F. Simulation of a single-phase five-level cascaded H-Bridge inverter with multicarrier SPWM B-Spline based modulation techniques. In Proceedings of the 2017 Twelfth International Conference on Ecological Vehicles and Renewable Energies (EVER), Monte Carlo, Monaco, 11–13 April 2017; pp. 1–6. [Google Scholar]
- Castiglia, V.; Livreri, P.; Miceli, R.; Raciti, A.; Schettino, G.; Viola, F. Performances of a three-phase five-level cascaded H-bridge inverter with phase shifted B-spline based modulation techniques. In Proceedings of the 2017 IEEE 6th International Conference on Renewable Energy Research and Applications (ICRERA), San Diego, CA, USA, 5–8 November 2017; pp. 1192–1197. [Google Scholar]
- Cohen, A.; Daubechies, I.; Vial, P. Multiresolution analysis, wavelets and fast algorithms on an interval. Appl. Comput. Harmon. Anal. 1993, 1, 100–115. [Google Scholar]
- Cohen, A.; Daubechies, I.; Vial, P. Wavelets on the interval and fast wavelet transform. Appl. Comput. Harmon. Anal. 1993, 1, 54–81. [Google Scholar] [CrossRef]
- Ala, G.; Francomano, E.; Viola, F. A wavelet operator on the interval in solving Maxwell’s equations. Prog. Electromagn. Res. Lett. 2011, 27, 133–140. [Google Scholar] [CrossRef]
- Barmada, S.; Musolino, A.; Raugi, M. Wavelet-based time-domain solution of multiconductor transmission lines with skin and proximity effect. IEEE Trans. Electromagn. Compat. 2005, 47, 774–780. [Google Scholar] [CrossRef]
- Barmada, S.; Musolino, A.; Raugi, M. Analysis of Integrated circuit systems by an innovative wavelet-based scattering matrix approach. IEEE Trans. Adv. Packag. 2007, 30, 86–96. [Google Scholar] [CrossRef]
- Daubechies, I. Ten Lectures on Wavelets; SIAM: Philadelphia, PA, USA, 1992; p. 12. [Google Scholar]
- Rubinacci, G.; Tamburrino, A.; Ventre, S.; Villone, S. Interpolating wavelets for the solution of Maxwell equations in the time domain. IEEE Trans. Magn. 1998, 34, 2775–2778. [Google Scholar] [CrossRef]
- Carrara, G.; Gardella, S.; Marchesoni, M.; Salutari, R.; Sciuto, G. A new multilevel PWM method: A theoreotical analysis. IEEE Trans. Power Electron. 1992, 7, 497–505. [Google Scholar] [CrossRef]
- McGrath, B.P.; Holmes, D.G. Multicarrier PWM strategies for multilevel inverters. IEEE Trans. Ind. Electron. 2002, 49, 858–867. [Google Scholar] [CrossRef]
- Balamurugan, C.R.; Natarajan, S.P.; Bensraj, R.; Shanthi, B. A Review on Modulation Strategies of Mulilevel Inverter. Indones. J. Electr. Eng. Comput. Sci. 2016, 3, 681–705. [Google Scholar] [CrossRef]

































| Quantity | Symbol | Value |
|---|---|---|
| Reference frequency | f | 50 Hz |
| Switching frequency | fPWM | 10 kHz |
| Frequency modulation index | mf | 200 |
| DC Voltage | VDC | 100 V |
| Voltage level | l |
| Quantity | SPB2 | SPB3 | SPB4 |
|---|---|---|---|
| Modulation index, M | 0.63 | 0.5 | 0.3 |
| Fundamental Amplitude (peak value) | 219 V | 224 V | 214 V |
| THD% | 26.6% | 27.1% | 27% |
| Quantity | Value |
|---|---|
| Sample frequency | 25 MHz |
| Sample number | 500,000 |
| Acquisition time | 20 ms |
© 2019 by the authors. Licensee MDPI, Basel, Switzerland. This article is an open access article distributed under the terms and conditions of the Creative Commons Attribution (CC BY) license (http://creativecommons.org/licenses/by/4.0/).
Share and Cite
Schettino, G.; Ala, G.; Caruso, M.; Castiglia, V.; Pellitteri, F.; Trapanese, M.; Viola, F.; Miceli, R. Experimental Study on B-Spline-Based Modulation Schemes Applied in Multilevel Inverters for Electric Drive Applications. Energies 2019, 12, 4521. https://doi.org/10.3390/en12234521
Schettino G, Ala G, Caruso M, Castiglia V, Pellitteri F, Trapanese M, Viola F, Miceli R. Experimental Study on B-Spline-Based Modulation Schemes Applied in Multilevel Inverters for Electric Drive Applications. Energies. 2019; 12(23):4521. https://doi.org/10.3390/en12234521
Chicago/Turabian StyleSchettino, Giuseppe, Guido Ala, Massimo Caruso, Vincenzo Castiglia, Filippo Pellitteri, Marco Trapanese, Fabio Viola, and Rosario Miceli. 2019. "Experimental Study on B-Spline-Based Modulation Schemes Applied in Multilevel Inverters for Electric Drive Applications" Energies 12, no. 23: 4521. https://doi.org/10.3390/en12234521
APA StyleSchettino, G., Ala, G., Caruso, M., Castiglia, V., Pellitteri, F., Trapanese, M., Viola, F., & Miceli, R. (2019). Experimental Study on B-Spline-Based Modulation Schemes Applied in Multilevel Inverters for Electric Drive Applications. Energies, 12(23), 4521. https://doi.org/10.3390/en12234521

