A Method for Increasing the Operating Limit Capacity of Wind Farms Using Battery Energy Storage Systems with Rate of Change of Frequency
Abstract
:1. Introduction
2. Operation Method of BESS for Frequency Response
2.1. Calculations for the Rated Power of BESS
2.2. BESS Output Control for Frequency Response
2.2.1. BESS Output Using FDC
2.2.2. BESS Output Using ROCOF
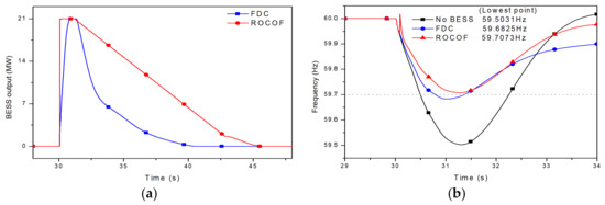
2.2.3. Case Study of BESS Output
3. Wind Turbine Control Based on the Operating Limit Capacity
3.1. Calculations for Operating Limit of Wind Farm
3.1.1. The Technical Limit Capacity of Wind Farms
3.1.2. The Dynamic Limit Capacity of Wind Farms
3.2. Dynamic Model of Wind Farm
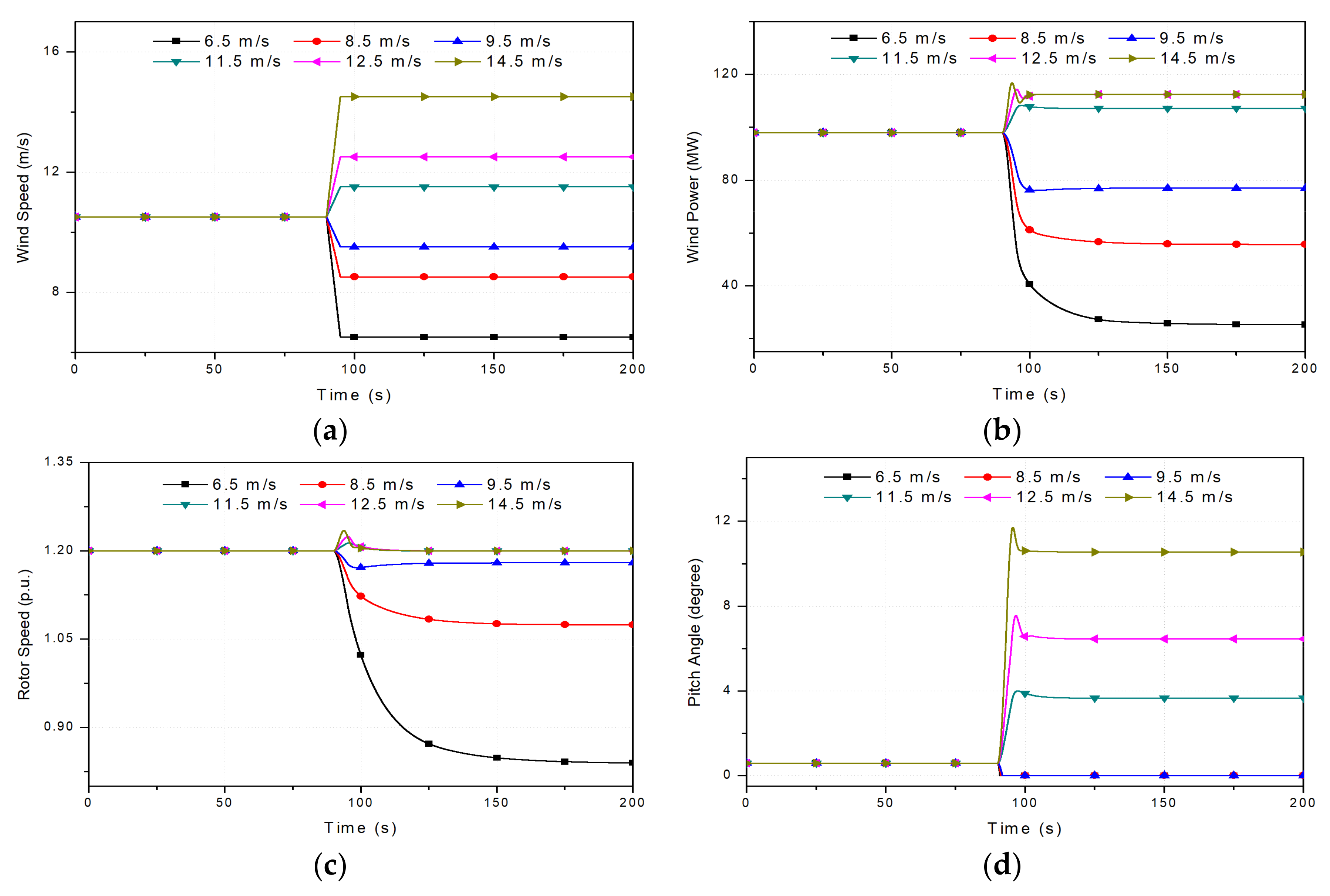
3.2.1. Pitch Angle Control Based on Speed Reference
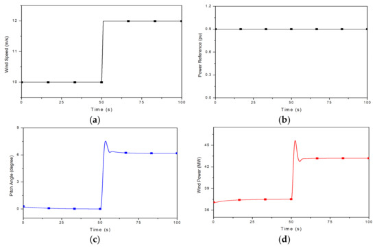
3.2.2. Pitch Angle Control Based on Power Reference
4. Case Study: Wind Farms with BESS in Jeju Island
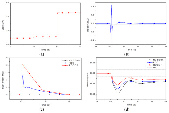
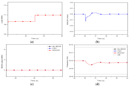
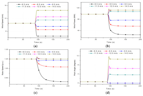
4.1. Output Control of Wind Farm and BESS on Wind Speed Increase
4.2. Output Control of Wind Turbine and BESS on Load Increase
5. Conclusions
Acknowledgments
Author Contributions
Conflicts of Interest
References
- Global Wind Energy Council (GWEC). Global Wind Report 2016; GWEC: Ulaanbaatar, Mongolia, 2017; p. 13. [Google Scholar]
- Korea Power Exchange (KPX). The 8th Basic Plan for Long-Term Electricity Supply and Demand (2017–2031). Available online: https://www.kpx.or.kr/eng/index.do (accessed on 29 December 2017).
- Kim, E.H.; Kim, J.H.; Kim, S.H.; Choi, J.H.; Lee, K.Y.; Kim, H.C. Impact Analysis of Wind Farms in the Jeju Island Power System. IEEE Syst. J. 2015, 6, 134–139. [Google Scholar] [CrossRef]
- Lee, K.Y.; Kim, S.H. Progress in distributed generation in Korea. In Proceedings of the 2007 IEEE Power Engineering Society General Meeting, Tampa, FL, USA, 24–28 June 2007; pp. 1–6. [Google Scholar]
- 100% Renewable Energy Is a Reality Today. Jeju Province, Korea. Available online: www.go100re.net/properties/jeju-province-korea/ (accessed on 3 August 2016).
- Chen, Z. Issues of Connecting Wind Farms into Power Systems. In Transmission and Distribution Conference and Exhibition; Asia and Pacific: Dalian, China, 18 August 2005. [Google Scholar]
- Palsson, M.P.; Toftevaag, T.; Uhlen, K.; Tande, J.O.G. Large-scale Wind Power Integration and Voltage Stability Limit in Regional Networks. In Proceedings of the Power Engineering Society Summer Meeting, Chicago, IL, USA, 21–25 July 2002. [Google Scholar]
- EL-Shimy, M.; Badr, M.A.L.; Rassem, O.M. Impact of Large Scale Wind Power on Power System Stability. In Proceedings of the 12th International Middle-East Power System Conference, MEPCON 2008, Aswan, Egypt, 12–15 March 2008. [Google Scholar]
- Papathanassiou, S.A.; Boulaxis, N.G. Power limitations and energy yield evaluation for wind farms operating in island systems. Renew. Energy 2006, 31, 457–479. [Google Scholar] [CrossRef]
- Park, J.W.; Park, Y.H.; Moon, S.I. Instantaneous Wind Power Penetration in Jeju Island. In Proceedings of the Power and Energy Society General Meeting—Conversion and Delivery of Electrical Energy in the 21st Century, Pittsburgh, PA, USA, 20–24 July 2008. [Google Scholar]
- Energy Storage World Markets Report 2014–2020. Download from Energy Storage World Forum. Available online: http://energystorageforum.com/ (accessed on 8 May 2017).
- Kottick, D.; Blau, M.; Edelstein, D. Battery energy storage for frequency regulation in an island power system. IEEE Trans. Energy Convers. 1993, 8, 455–459. [Google Scholar] [CrossRef]
- Oudalov, A.; Chartouni, D.; Ohler, C. Optimizing a Battery Energy Storage System for Primary Frequency Control. IEEE Trans. Power Syst. 2007, 22, 1259–1266. [Google Scholar] [CrossRef]
- Delille, G.; François, B.; Malarange, G. Dynamic frequency control support: A virtual inertia provided by distributed energy storage to isolated power systems. In Proceedings of the Innovative Smart Grid Technologies Conference Europe, Gothenberg, Sweden, 11–13 October 2010. [Google Scholar]
- Han, Y.; Young, P.M.; Jain, A.; Zimmerle, D. Robust Control for Microgrid Frequency Deviation Reduction with Attached Storage System. IEEE Trans. Smart Grid 2015, 6, 557–565. [Google Scholar] [CrossRef]
- Liu, J.; Wen, J.; Yao, W.; Long, Y. Solution to short-term frequency response of wind farms by using energy storage systems. IET Renew. Power Gener. 2016, 10, 669–678. [Google Scholar] [CrossRef]
- Serban, I.; Marinescu, C. Battery energy storage system for frequency support in microgrids and with enhanced control features for uninterruptible supply of local loads. Int. J. Electr. Power Energy Syst. 2014, 54, 432–441. [Google Scholar] [CrossRef]
- Huang, X.; Jin, X.; Ma, T.; Tong, Y. A voltage and frequency droop control method for microsources. In Proceedings of the International Conference on Electrical Machines and Systems (ICEMS), Beijing, China, 20–23 August 2011. [Google Scholar]
- Ayman, B.A.; José, L.D.G.; Bianchi, F.D.; Olimpo, A.L. Enhancing frequency stability by integrating non-conventional power source through multi-terminal HVDC grid. Int. J. Electr. Power Energy Syst. 2018, 65, 128–136. [Google Scholar] [CrossRef]
- Shuthakini, P.; Joseph, E.T. Energy Storage System Control for Prevention of Transient Under-Frequency Load Shedding. IEEE Trans. Smart Grid 2017, 8, 927–936. [Google Scholar] [CrossRef]
- Knap, V.; Sinha, R.; Swierczynski, M.; Stroe, D.; Chaudhary, S. Grid inertial response with Lithium-ion battery energy storage systems. In Proceedings of the IEEE 23rd International Symposium on Industrial Electronics (ISIE), Istanbul, Turkey, 1–4 June 2014. [Google Scholar]
- Adrees, A.; Milanovic, J.V. Study of frequency response in power system with renewable generation and energy storage. In Proceedings of the Power System Computation Conference (PSCC), Genoa, Italy, 20–24 June 2016. [Google Scholar]
- Zhang, J.; Cheng, M.; Chen, Z.; Fu, X. Pitch angle control for variable speed wind turbines. In Proceedings of the Third International Conference on Electric Utility Deregulation and Restructuring and Power Technologies (DRPT), Nanjing, China, 6–9 April 2008. [Google Scholar]
- Muljadi, E.; Butterfield, C.P. Pitch-controlled variable-speed wind turbine generation. IEEE Trans. Ind. Appl. 2001, 37, 240–246. [Google Scholar] [CrossRef]
- Slootweg, J.G.; Polinder, H.; Kling, W.L. Dynamic modelling of a wind turbine with doubly fed induction generator. In Proceedings of the Power Engineering Society Summer Meeting, Vancouver, BC, Canada, 15–19 July 2001. [Google Scholar]
- Yilmaz, A.S.; Özer, Z. Pitch angle control in wind turbines above the rated wind speed by multi-layer perceptron and radial basis function neural networks. Expert Syst. Appl. 2009, 36, 9767–9775. [Google Scholar] [CrossRef]
- Kazachkov, Y.; Keung, P.K.; Patil, K. PSS/E Wind Modeling Package for GE 1.5/3.6/2.5 MW Wind Turbines, Issue 5.1.0; Siemens Power Technologies International: New York, NY, USA, 2009. [Google Scholar]
- Siemens Energy, Inc. Power Technologies International. Chapter 1—Generator Model Data Sheets. In PSS/E 32.0.5 PSS/E MODEL LIBRARY; Siemens Energy, Inc.: New York, NY, USA, October 2010; pp. 11–58. [Google Scholar]
- Siemens Energy, Inc. Power Technologies International. Chapter 20—Model Writing. In PSS/E 32.0.5 Program Operation Manual; Siemens Energy, Inc.: New York, NY, USA, October 2010; pp. 1353–1378. [Google Scholar]
- Siemens Energy, Inc. Power Technologies International. Chapter 12—Dynamic Simulation Principles. In Program Application Guide; Siemens Energy, Inc.: New York, NY, USA, October 2010; Volume 2, pp. 29–56. [Google Scholar]
- Son, D.H.; Kang, S.H.; Nam, S.R. Dynamic Modeling of Wind Farms in the Jeju Power System. Int. J. Electr. Comput. Energ. Electron. Commun. Eng. 2016, 10, 508–512. [Google Scholar]
- North American Electric Reliability Corporation (NERC). BAL-003-1—Frequency Response and Frequency Bias Setting. Reliability Standards for the Bulk Electric Systems of North America. Available online: https://www.nerc.com/ (accessed on 5 November 2014).
- Erinmez, I.A.; Bickers, D.O.; Wood, G.F.; Hung, W.W. NGC experience with frequency control in England and Wales-provision of frequency response by generators. In Proceedings of the IEEE Power Engineering Society Winter Meeting, New York, NY, USA, 31 January–4 February 1999. [Google Scholar]
- North American Electric Reliability Corporation (NERC). BAL-001-1—Primary Frequency Response in the ERCOT Region. Reliability Standards for the Bulk Electric Systems of North America. Available online: https://www.nerc.com/ (accessed on 5 November 2014).
- Siemens Energy, Inc. Power Technologies International, Chapter 24—Other Models. In Program Application Guide; Siemens Energy, Inc.: New York, NY, USA, October 2010; Volume 2, pp. 551–596. [Google Scholar]
- Clark, K.; Miller, N.W.; Sanchez-Gasca, J.J. Modeling of GE Wind Turbine-Generators for Grid Studies, Version 4.3; General Electric International, Inc.: New York, NY, USA, 2009; pp. 31–35. [Google Scholar]

























| Generators | Inertia Time Constants [MWs/MVA] |
|---|---|
| Jeju GT#1 | 1.30 |
| Jeju GT#2 | 1.30 |
| Jeju TP#2 | 5.24 |
| Jeju TP#3 | 5.24 |
| Jeju DP#1 | 3.02 |
| Jeju DP#2 | 3.02 |
| Hanrim GT#1 | 3.00 |
| Hanrim GT#2 | 3.00 |
| Hanrim ST#1 | 3.00 |
| South Jeju TP#3 | 7.71 |
| South Jeju TP#4 | 7.71 |
| Total | 43.54 |
| Merit Order | Generation Unit | Rate Power | Minimum Power |
|---|---|---|---|
| 1 | HVDC#1 | 150 | 75 |
| 1 | HVDC#2 | 150 | 75 |
| 1 | Jeju TP#2 | 75 | 42 |
| 1 | Jeju TP#3 | 75 | 42 |
| 1 | South Jeju TP#4 | 100 | 50 |
| 2 | South Jeju TP#3 | 100 | 50 |
| 3 | HVDC#5 | 75 | 75 |
| 3 | HVDC#6 | 75 | 75 |
| 4 | Jeju DP#1 | 40 | 26 |
| 5 | Jeju DP#2 | 40 | 26 |
| Dynamic Limit Capacity | ROCOF | FDC |
|---|---|---|
| 96 MW (48 2 MW) | 84 MW (42 2 MW) | |
| 129 MW (64.5 2 MW) | 111 MW (55.5 2 MW) | |
| 342 MW (171 2 MW) | 306 MW (153 2 MW) | |
| 354 MW (177 2 MW) | 321 MW (160.5 2 MW) | |
| 363 MW (181.5 2 MW) | 333 MW (166.5 2 MW) |
© 2018 by the authors. Licensee MDPI, Basel, Switzerland. This article is an open access article distributed under the terms and conditions of the Creative Commons Attribution (CC BY) license (http://creativecommons.org/licenses/by/4.0/).
Share and Cite
Son, D.-H.; Ali, M.; Kang, S.-H.; Heo, J.-H.; Nam, S.-R. A Method for Increasing the Operating Limit Capacity of Wind Farms Using Battery Energy Storage Systems with Rate of Change of Frequency. Energies 2018, 11, 758. https://doi.org/10.3390/en11040758
Son D-H, Ali M, Kang S-H, Heo J-H, Nam S-R. A Method for Increasing the Operating Limit Capacity of Wind Farms Using Battery Energy Storage Systems with Rate of Change of Frequency. Energies. 2018; 11(4):758. https://doi.org/10.3390/en11040758
Chicago/Turabian StyleSon, Dae-Hee, Muhammad Ali, Sang-Hee Kang, Jae-Haeng Heo, and Soon-Ryul Nam. 2018. "A Method for Increasing the Operating Limit Capacity of Wind Farms Using Battery Energy Storage Systems with Rate of Change of Frequency" Energies 11, no. 4: 758. https://doi.org/10.3390/en11040758
APA StyleSon, D.-H., Ali, M., Kang, S.-H., Heo, J.-H., & Nam, S.-R. (2018). A Method for Increasing the Operating Limit Capacity of Wind Farms Using Battery Energy Storage Systems with Rate of Change of Frequency. Energies, 11(4), 758. https://doi.org/10.3390/en11040758

