Textbook Outcomes for Retroperitoneal Sarcoma Resection: A Multi-Centre Review
Abstract
1. Introduction
2. Materials and Methods
2.1. Study Population and Data Acquisition
2.2. Textbook Outcome Definition
2.3. Length-of-Stay Analysis
2.4. Surgical Service Definition
2.5. Statistical Analysis
3. Results
3.1. Study Cohort and Treating Service Characteristics
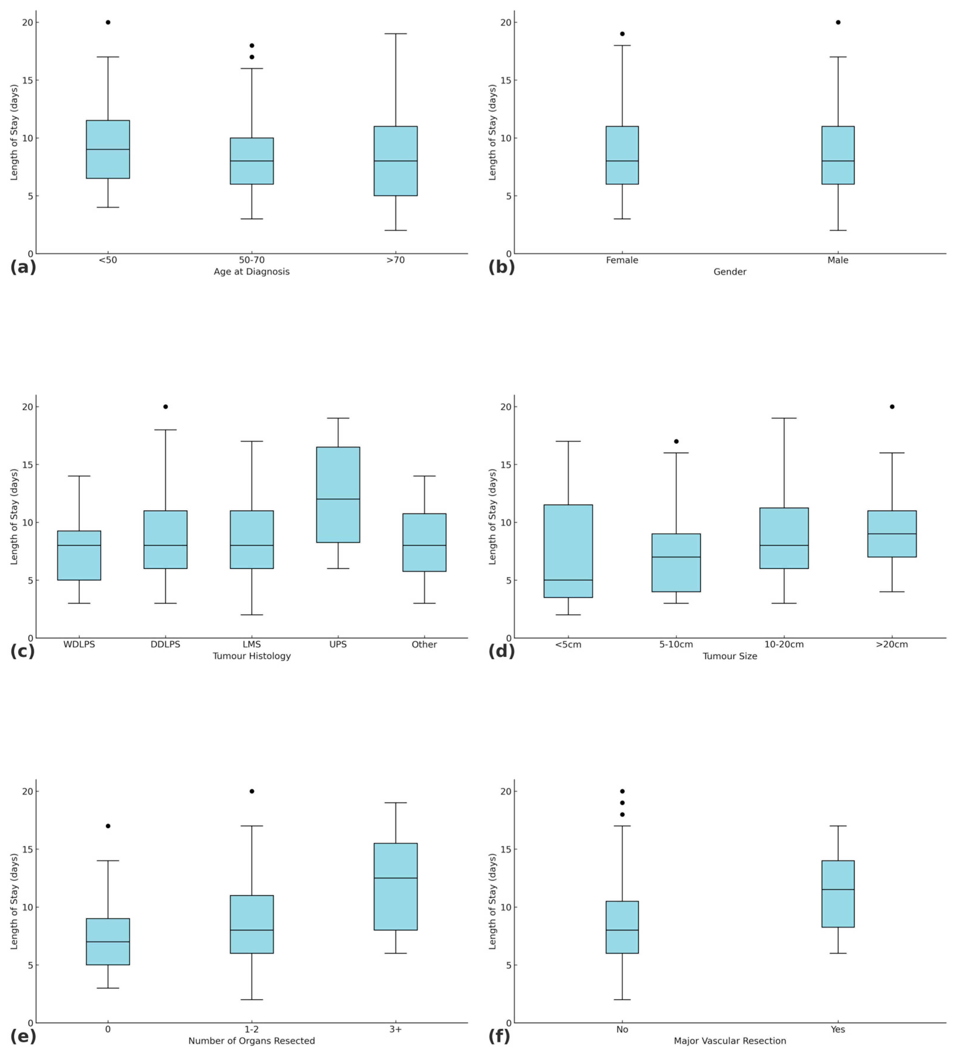
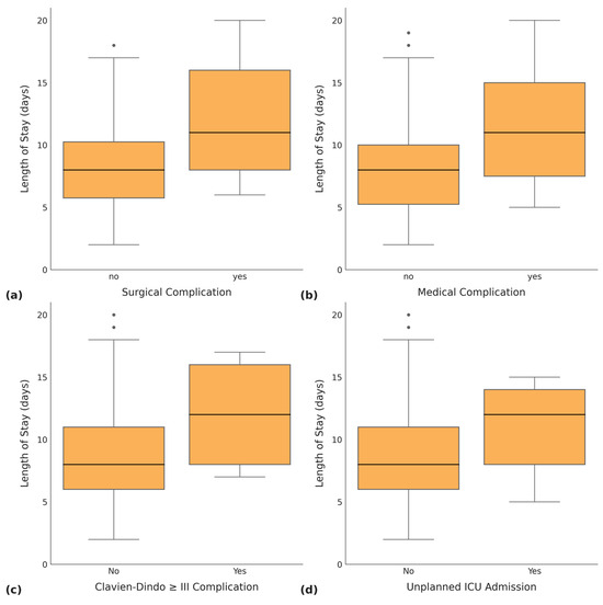
3.2. LOS Analysis
3.3. Factors Associated with TO Achievement
3.4. Univariate and Multivariate Analysis
3.5. Survival Analysis
4. Discussion
5. Conclusions
Author Contributions
Funding
Institutional Review Board Statement
Informed Consent Statement
Data Availability Statement
Conflicts of Interest
Abbreviations
| DDLPS | Dedifferentiated liposarcoma |
| DFS | Disease-free survival |
| HVSC | High-volume sarcoma centre |
| LMS | Leiomyosarcoma |
| LOS | Length of stay |
| LVSC | Low-volume sarcoma centre |
| MDT | Multidisciplinary team meeting |
| OS | Overall survival |
| QOR | Queensland Oncology Repository |
| RPS | Retroperitoneal sarcoma |
| TARPSWG | Transatlantic Australasian Sarcoma Working Group |
| TOs | Textbook outcomes |
| UPS | Undifferentiated pleomorphic sarcoma |
| WDLPS | Well-differentiated liposarcoma |
Appendix A. LOS Analysis



| ≤7 Days | ≤14 Days | ≤21 Days | >21 Days | p Value | |
|---|---|---|---|---|---|
| Variable, n (%) | 57 (39.6) | 62 (43.1) | 14 (9.7) | 11 (7.6) | |
| Age | 0.59 | ||||
| <50 | 8 (14.0) | 12 (19.4) | 3 (21.4) | 0 (0) | |
| 50–70 | 34 (59.6) | 36 (58.1) | 7 (50.0) | 6 (54.5) | |
| >70 | 15 (26.3) | 14 (22.6) | 4 (28.6) | 5 (45.5) | |
| Gender | 0.50 | ||||
| Male | 29 (50.9) | 33 (53.2) | 9 (64.3) | 8 (72.7) | |
| Female | 28 (49.1) | 29 (46.8) | 5 (35.7) | 3 (27.3) | |
| Tumour histology | 0.10 | ||||
| WDLPS | 17 (29.8) | 19 (30.6) | 0 (0) | 2 (18.2) | |
| DDLPS | 25 (43.9) | 24 (38.7) | 7 (50.0) | 4 (36.4) | |
| LMS | 10 (17.5) | 13 (21.0) | 4 (28.6) | 4 (36.4) | |
| UPS | 1 (1.8) | 2 (3.2) | 3 (21.4) | 1 (9.1) | |
| Other | 4 (7.0) | 4 (6.5) | 0 (0) | 0 (0.0) | |
| Tumour size (cm) | 0.08 | ||||
| <5 | 4 (7.3) | 2 (3.3) | 1 (7.1) | 1 (9.1) | |
| 5–10 | 17 (30.9) | 6 (10.0) | 3 (21.4) | 3 (27.3) | |
| 10–20 | 24 (43.6) | 25 (41.7) | 7 (50.0) | 3 (27.3) | |
| >20 | 10 (18.2) | 27 (45.0) | 3 (21.4) | 4 (36.4) | |
| Number of organs resected | <0.001 | ||||
| 0 | 21 (36.8) | 18 (29.0) | 1 (7.1) | 3 (27.3) | |
| 1–2 | 34 (59.6) | 37 (59.7) | 6 (42.9) | 5 (45.5) | |
| 3+ | 2 (3.5) | 7 (11.3) | 7 (50.0) | 3 (27.3) | |
| Major vascular resection | 0.10 | ||||
| Yes | 3 (5.3) | 8 (12.9) | 3 (21.4) | 3 (27.3) | |
| No | 54 (94.7) | 54 (87.1) | 11 (78.6) | 8 (72.7) | |
| Surgical complication * | <0.0001 | ||||
| Yes | 3 (5.3) | 8 (12.9) | 6 (42.9) | 5 (45.5) | |
| No | 54 (94.7) | 54 (87.1) | 8 (57.1) | 6 (54.5) | |
| Medical complication * | <0.0001 | ||||
| Yes | 6 (10.5) | 10 (16.1) | 7 (50.0) | 7 (63.6) | |
| No | 51 (89.5) | 52 (83.9) | 7 (50.0) | 4 (36.4) | |
| Unplanned ICU admission | 0.009 | ||||
| Yes | 1 (1.8) | 3 (4.8) | 1 (7.1) | 3 (27.3) | |
| No | 56 (98.2) | 59 (95.2) | 13 (92.9) | 8 (72.7) | |
| CD ≥ III complication | <0.0001 | ||||
| Yes | 1 (1.8) | 2 (3.2) | 2 (14.3) | 6 (54.5) | |
| No | 56 (98.2) | 60 (96.8) | 12 (85.7) | 5 (45.5) |
References
- Bonvalot, S.; Rivoire, M.; Castaing, M.; Stoeckle, E.; Le Cesne, A.; Blay, J.Y.; Laplanche, A. Primary retroperitoneal sarcomas: A multivariate analysis of surgical factors associated with local control. J. Clin. Oncol. 2009, 27, 31–37. [Google Scholar] [CrossRef]
- Gronchi, A.; Strauss, D.C.; Miceli, R.; Bonvalot, S.; Swallow, C.J.; Hohenberger, P.; Van Coevorden, F.; Rutkowski, P.; Callegaro, D.; Hayes, A.J.; et al. Variability in Patterns of Recurrence After Resection of Primary Retroperitoneal Sarcoma (RPS): A Report on 1007 Patients from the Multi-institutional Collaborative RPS Working Group. Ann. Surg. 2016, 263, 1002–1009. [Google Scholar] [CrossRef]
- Strauss, D.C.; Hayes, A.J.; Thway, K.; Moskovic, E.C.; Fisher, C.; Thomas, J.M. Surgical management of primary retroperitoneal sarcoma. Br. J. Surg. 2010, 97, 698–706. [Google Scholar] [CrossRef] [PubMed]
- Callegaro, D.; Raut, C.P.; Ajayi, T.; Strauss, D.; Bonvalot, S.; Ng, D.; Stoeckle, E.; Fairweather, M.; Rutkowski, P.; van Houdt, W.J.; et al. Preoperative Radiotherapy in Patients with Primary Retroperitoneal Sarcoma: EORTC-62092 Trial (STRASS) Versus Off-trial (STREXIT) Results. Ann. Surg. 2023, 278, 127–134. [Google Scholar] [CrossRef] [PubMed]
- Swallow, C.J.; Strauss, D.C.; Bonvalot, S.; Rutkowski, P.; Desai, A.; Gladdy, R.A.; Gonzalez, R.; Gyorki, D.E.; Fairweather, M.; van Houdt, W.J.; et al. Management of Primary Retroperitoneal Sarcoma (RPS) in the Adult: An Updated Consensus Approach from the Transatlantic Australasian RPS Working Group. Ann. Surg. Oncol. 2021, 28, 7873–7888. [Google Scholar] [CrossRef]
- Kolfschoten, N.E.; Kievit, J.; Gooiker, G.A.; van Leersum, N.J.; Snijders, H.S.; Eddes, E.H.; Tollenaar, R.A.; Wouters, M.W.; Marang-van de Mheen, P.J. Focusing on desired outcomes of care after colon cancer resections; hospital variations in ‘textbook outcome’. Eur. J. Surg. Oncol. 2013, 39, 156–163. [Google Scholar] [CrossRef] [PubMed]
- Busweiler, L.A.D.; Schouwenburg, M.G.; van Berge Henegouwen, M.I.; Kolfschoten, N.E.; de Jong, P.C.; Rozema, T.; Wijnhoven, B.P.L.; van Hillegersberg, R.; Wouters, M.W.J.M.; van Sandick, J.W.; et al. Textbook outcome as a composite measure in oesophagogastric cancer surgery. Br. J. Surg. 2017, 104, 742–750. [Google Scholar] [CrossRef]
- Carbonell-Morote, S.; Yang, H.K.; Lacueva, J.; Rubio-García, J.J.; Alacan-Friedrich, L.; Fierley, L.; Villodre, C.; Ramia, J.M. Textbook outcome in oncological gastric surgery: A systematic review and call for an international consensus. World J. Surg. Oncol. 2023, 21, 288. [Google Scholar] [CrossRef]
- van Roessel, S.; Mackay, T.M.; van Dieren, S.; van der Schelling, G.P.; Nieuwenhuijs, V.B.; Bosscha, K.; van der Harst, E.; van Dam, R.M.; Liem, M.S.L.; Festen, S.; et al. Textbook Outcome: Nationwide Analysis of a Novel Quality Measure in Pancreatic Surgery. Ann. Surg. 2020, 271, 155–162. [Google Scholar] [CrossRef]
- Merath, K.; Chen, Q.; Bagante, F.; Alexandrescu, S.; Marques, H.P.; Aldrighetti, L.; Maithel, S.K.; Pulitano, C.; Weiss, M.J.; Bauer, T.W.; et al. A Multi-institutional International Analysis of Textbook Outcomes Among Patients Undergoing Curative-Intent Resection of Intrahepatic Cholangiocarcinoma. JAMA Surg. 2019, 154, e190571. [Google Scholar] [CrossRef]
- Merath, K.; Chen, Q.; Bagante, F.; Beal, E.; Akgul, O.; Dillhoff, M.; Cloyd, J.M.; Pawlik, T.M. Textbook Outcomes Among Medicare Patients Undergoing Hepatopancreatic Surgery. Ann. Surg. 2020, 271, 1116–1123. [Google Scholar] [CrossRef] [PubMed]
- Sweigert, P.J.; Eguia, E.; Baker, M.S.; Paredes, A.Z.; Tsilimigras, D.I.; Dillhoff, M.; Ejaz, A.; Cloyd, J.; Tsung, A.; Pawlik, T.M. Assessment of textbook oncologic outcomes following pancreaticoduodenectomy for pancreatic adenocarcinoma. J. Surg. Oncol. 2020, 121, 936–944. [Google Scholar] [CrossRef] [PubMed]
- Moris, D.; Cerullo, M.; Nussbaum, D.P.; Blazer, D.G., 3rd. Textbook Outcomes Among Patients Undergoing Retroperitoneal Sarcoma Resection. Anticancer. Res. 2020, 40, 2107–2115. [Google Scholar] [CrossRef]
- Wiseman, J.T.; Ethun, C.G.; Cloyd, J.M.; Shelby, R.; Suarez-Kelly, L.; Tran, T.; Poultsides, G.; Mogal, H.; Clarke, C.; Tseng, J.; et al. Analysis of textbook outcomes among patients undergoing resection of retroperitoneal sarcoma: A multi-institutional analysis of the US Sarcoma Collaborative. J. Surg. Oncol. 2020, 122, 1189–1198. [Google Scholar] [CrossRef]
- Australian Institute of Health and Welfare. Australian Institute of Health and Welfare. Australian hospital peer groups. In Health Services Series No. 66; AIHW: Canberra, Australia, 2015. [Google Scholar]
- Narendra, A.; Baade, P.D.; Aitken, J.F.; Fawcett, J.; Smithers, B.M. Assessment of hospital characteristics associated with improved mortality following complex upper gastrointestinal cancer surgery in Queensland. ANZ J. Surg. 2019, 89, 1404–1409. [Google Scholar] [CrossRef] [PubMed]
- Narendra, A.; Baade, P.D.; Aitken, J.F.; Fawcett, J.; Smithers, B.M. Impact of hospital resection volume and service capability on post-operative mortality following gastrectomy. ANZ J. Surg. 2020, 90, 86–91. [Google Scholar] [CrossRef]
- Narendra, A.; Baade, P.D.; Aitken, J.F.; Fawcett, J.; Leggett, B.; Leggett, C.; Tian, K.; Sklavos, T.; Smithers, B.M. Hospital characteristics associated with better ‘quality of surgery’ and survival following oesophagogastric cancer surgery in Queensland: A population-level study. ANZ J. Surg. 2021, 91, 323–328. [Google Scholar] [CrossRef]
- Kamarajah, S.K.; Evans, R.P.T.; Nepogodiev, D.; Hodson, J.; Bundred, J.R.; Gockel; Gossage, J.A.; Isik, A.; Kidane, B.; Mahendran, H.A.; et al. Textbook outcome following oesophagectomy for cancer: International cohort study. Br. J. Surg. 2022, 109, 439–449. [Google Scholar] [CrossRef]
- Wu, M.Y.; McGregor, R.J.; Scott, J.; Smithers, B.M.; Thomas, J.; Frankel, A.; Barbour, A.; Thomson, I. Textbook outcomes for oesophagectomy: A valid composite measure assessment tool for surgical performance in a specialist unit. Eur. J. Surg. Oncol. 2023, 49, 106897. [Google Scholar] [CrossRef]
- Priego, P.; Cuadrado, M.; Ballestero, A.; Galindo, J.; Lobo, E. Comparison of Laparoscopic Versus Open Gastrectomy for Treatment of Gastric Cancer: Analysis of a Textbook Outcome. J. Laparoendosc. Adv. Surg. Tech. A 2019, 29, 458–464. [Google Scholar] [CrossRef]
- van der Kaaij, R.T.; de Rooij, M.V.; van Coevorden, F.; Voncken, F.E.M.; Snaebjornsson, P.; Boot, H.; van Sandick, J.W. Using textbook outcome as a measure of quality of care in oesophagogastric cancer surgery. Br. J. Surg. 2018, 105, 561–569. [Google Scholar] [CrossRef] [PubMed]
- Benzing, C.; Haiden, L.M.; Krenzien, F.; Mieg, A.; Wolfsberger, A.; Atik, C.F.; Nevermann, N.; Fehrenbach, U.; Schöning, W.; Schmelzle, M.; et al. Textbook outcome after major hepatectomy for perihilar cholangiocarcinoma—Definitions and influencing factors. Langenbecks Arch. Surg. 2022, 407, 1561–1573. [Google Scholar] [CrossRef]
- Brustia, R.; Laurent, A.; Goumard, C.; Langella, S.; Soubrane, O.; Cauchy, F.; Farges, O.; Menahem, B.; Hobeika, C.; Rhaiem, R.; et al. Laparoscopic versus open liver resection for intrahepatic cholangiocarcinoma: Report of an international multicenter cohort study with propensity score matching. Surgery 2022, 171, 1290–1302. [Google Scholar] [CrossRef]
- de Graaff, M.R.; Elfrink, A.K.E.; Buis, C.I.; Swijnenburg, R.-J.; Erdmann, J.I.; Kazemier, G.; Verhoef, C.; Mieog, J.S.D.; Derksen, W.J.M.; van den Boezem, P.B.; et al. Defining Textbook Outcome in liver surgery and assessment of hospital variation: A nationwide population-based study. Eur. J. Surg. Oncol. 2022, 48, 2414–2423. [Google Scholar] [CrossRef]
- MacNeill, A.J.; Gronchi, A.; Miceli, R.; Bonvalot, S.; Swallow, C.J.; Hohenberger, P.; Van Coevorden, F.; Rutkowski, P.; Callegaro, D.; Hayes, A.J.; et al. Postoperative Morbidity After Radical Resection of Primary Retroperitoneal Sarcoma: A Report from the Transatlantic RPS Working Group. Ann. Surg. 2018, 267, 959–964. [Google Scholar] [CrossRef] [PubMed]
- Willburger, J.C.F.; von Strauss, M.; Peterson, C.J.; Glass, T.R.; Kettelhack, C. Incidence, Treatment and Outcome of Patients with Retroperitoneal Soft-Tissue Sarcoma in Switzerland 2005–2015: A Population-Based Analysis. World J. Surg. 2022, 46, 461–468. [Google Scholar] [CrossRef]
- Maurice, M.J.; Yih, J.M.; Ammori, J.B.; Abouassaly, R. Predictors of surgical quality for retroperitoneal sarcoma: Volume matters. J. Surg. Oncol. 2017, 116, 766–774. [Google Scholar] [CrossRef]
- Keung, E.Z.; Chiang, Y.J.; Cormier, J.N.; Torres, K.E.; Hunt, K.K.; Feig, B.W.; Roland, C.L. Treatment at low-volume hospitals is associated with reduced short-term and long-term outcomes for patients with retroperitoneal sarcoma. Cancer 2018, 124, 4495–4503. [Google Scholar] [CrossRef] [PubMed]
- Snow, H.A.; Hitchen, T.X.; Head, J.; Herschtal, A.; Bae, S.; Chander, S.; Chu, J.; Hendry, S.; Ngan, S.Y.; Desai, J.; et al. Treatment of patients with primary retroperitoneal sarcoma: Predictors of outcome from an Australian specialist sarcoma centre. ANZ J. Surg. 2018, 88, 1151–1157. [Google Scholar] [CrossRef]
- Bonvalot, S.; Gaignard, E.; Stoeckle, E.; Meeus, P.; Decanter, G.; Carrere, S.; Honore, C.; Delhorme, J.B.; Fau, M.; Tzanis, D.; et al. Survival Benefit of the Surgical Management of Retroperitoneal Sarcoma in a Reference Center: A Nationwide Study of the French Sarcoma Group from the NetSarc Database. Ann. Surg. Oncol. 2019, 26, 2286–2293. [Google Scholar] [CrossRef]
- Samà, L.; Kumar, S.; Ruspi, L.; Sicoli, F.; D’Amato, V.; Mintemur, Ö.; Renne, S.L.; Quagliuolo, V.L.; Cananzi, F.C.M. Learning curve in retroperitoneal sarcoma surgery. Eur. J. Surg. Oncol. 2024, 50, 108612. [Google Scholar] [CrossRef] [PubMed]
- Ruspi, L.; Cananzi, F.C.M.; Aymerito, F.; Sicoli, F.; Samà, L.; Vanni, E.; Quagliuolo, V. Measuring the impact of complications after surgery for retroperitoneal sarcoma: Is comprehensive complication index better than Clavien-Dindo Classification? Eur. J. Surg. Oncol. 2022, 48, 978–984. [Google Scholar] [CrossRef] [PubMed]





| Textbook Outcome | ||||
|---|---|---|---|---|
| Total | Yes | No | p Value | |
| Variable, n (%) | n = 144 | n = 82 | n = 62 | |
| Age | 0.35 | |||
| <50 | 23 (16.0) | 13 (15.9) | 10 (16.1) | |
| 50–70 | 83 (57.6) | 51 (62.2) | 32 (51.6) | |
| >70 | 38 (26.4) | 18 (22.0) | 20 (32.3) | |
| Gender | 0.13 | |||
| Male | 79 (54.9) | 40 (48.8) | 39 (62.9) | |
| Female | 65 (45.1) | 42 (51.2) | 23 (37.1) | |
| Histology | 0.002 | |||
| WDLPS | 38 (26.4) | 29 (35.4) | 9 (14.5) | |
| DDLPS | 60 (41.7) | 33 (40.2) | 27 (43.5) | |
| LMS | 31 (21.5) | 11 (13.4) | 20 (32.3) | |
| UPS | 7 (4.9) | 2 (2.4) | 5 (8.1) | |
| Other | 8 (5.6) | 7 (8.5) | 1 (1.6) | |
| Tumour size | 0.25 | |||
| <5 cm | 59 (41.0) | 31 (37.8) | 28 (45.2) | |
| 5–10 cm | 28 (19.4) | 14 (17.1) | 14 (22.6) | |
| 10–20 cm | 8 (5.6) | 3 (3.7) | 5 (8.1) | |
| >20 cm | 45 (31.2) | 31 (37.8) | 14 (22.6) | |
| Unknown | 4 (2.8) | 3 (3.7) | 1 (1.6) | |
| Anatomical location | 0.33 | |||
| Right retroperitoneal | 47 (32.6) | 28 (34.1) | 17 (27.4) | |
| Left retroperitoneal | 55 (38.2) | 33 (40.2) | 21 (33.9) | |
| Central | 11 (0.6) | 4 (0.4) | 4 (0.4) | |
| Bilateral | 1 (0.1) | 0 (0) | 0 (0) | |
| Pelvic | 30 (20.8) | 17 (20.7) | 16 (25.8) | |
| Multifocality | ||||
| Yes | 6 (4.2) | 3 (3.7) | 3 (4.8) | >0.99 |
| No | 138 (95.8) | 79 (96.3) | 59 (95.2) | |
| Pre-operative biopsy | 0.61 | |||
| Yes | 77 (53.5) | 42 (51.2) | 35 (56.5) | |
| No | 67 (46.5) | 40 (48.8) | 27 (43.5) | |
| Pre-operative MDT | 0.13 | |||
| Yes | 69 (47.9) | 44 (53.7) | 25 (40.3) | |
| No | 75 (52.1) | 38 (46.3) | 37 (59.7) | |
| Neoadjuvant radiotherapy | >0.99 | |||
| Yes | 10 (6.9) | 6 (7.3) | 4 (6.5) | |
| No | 134 (93.1) | 76 (92.7) | 58 (93.5) | |
| Surgical service | 0.04 | |||
| HVSC | 77 (53.5) | 50 (61.0) | 27 (43.5) | |
| Non-HVSC | 67 (46.5) | 32 (39.0) | 35 (56.5) | <0.05 |
| LVSC | 22 (15.3) | 13 (15.9) | 9 (14.5) | |
| Other | 45 (31.2) | 19 (23.2) | 26 (41.9) | |
| Number of organs resected | 0.042 | |||
| 0 | 42 (29.2) | 24 (29.1) | 19 (30.7) | |
| 1–2 | 83 (57.6) | 52 (63.4) | 30 (48.4) | |
| 3+ | 19 (13.2) | 6 (7.3) | 13 (21) | |
| Major vascular resection | 0.004 | |||
| Yes | 11 (11.8) | 4 (4.9) | 13 (21) | |
| No | 127 (88.2) | 78 (95.1) | 49 (79) | |
| Adjuvant radiotherapy | ||||
| Yes | 11 (7.6) | 6 (7.3) | 5 (8.1) | >0.99 |
| No | 133 (92.4) | 76 (92.7) | 57 (91.9) | |
| Characteristic | Univariate | Multivariate | ||||
|---|---|---|---|---|---|---|
| OR | (95% CI) | p Value | OR | (95% CI) | p Value | |
| Age | ||||||
| <50 | - | - | ||||
| 50–70 | 1.23 | (0.48–3.12) | 0.67 | |||
| >70 | 0.69 | (0.24–1.96) | 0.49 | |||
| Gender | ||||||
| Male | - | - | ||||
| Female | 1.78 | (0.91–3.49) | 0.09 | 2.03 | (0.89–4.66) | 0.09 |
| Tumour histology | ||||||
| WDLPS | - | - | ||||
| DDLPS | 0.38 | (0.15–0.94) | 0.04 | 0.37 | (0.13–1.07) | 0.06 |
| LMS | 0.17 | (0.06–0.49) | 0.001 | 0.32 | (0.08–1.28) | 0.11 |
| UPS | 0.12 | (0.02–0.75) | 0.02 | 0.19 | (0.02–1.49) | 0.11 |
| Other | 2.17 | (0.23–20.10) | 0.49 | 2.65 | (0.24–28.65) | 0.42 |
| Tumour size (cm) | ||||||
| <5 | - | - | ||||
| 5–10 | 2.31 | (0.48–11.12) | 0.02 | 2.25 | (0.34–14.78) | 0.40 |
| 10–20 | 2.21 | (0.51–9.70) | 0.29 | 1.71 | (0.29–9.94) | 0.55 |
| >20 | 4.29 | (0.93–19.68) | 0.06 | 2.96 | (0.47–18.47) | 0.25 |
| Pre-operative biopsy | ||||||
| No | - | - | ||||
| Yes | 0.81 | (0.42–1.57) | 0.53 | |||
| Pre-operative MDT | ||||||
| No | - | - | ||||
| Yes | 1.71 | (0.88–3.34) | 0.11 | |||
| Pre-operative radiotherapy | ||||||
| No | - | - | ||||
| Yes | 1.14 | (0.31–4.24) | 0.84 | |||
| Multi-visceral resection | ||||||
| 0 | - | - | ||||
| 1–2 | 1.37 | (0.65–2.91) | 0.41 | 1.32 | (0.50–3.49) | 0.57 |
| 3+ | 0.37 | (0.12–1.14) | 0.08 | 0.29 | (0.07–1.20) | 0.09 |
| Major vascular resection | ||||||
| No | - | - | ||||
| Yes | 0.19 | (0.06–0.63) | 0.006 | 0.19 | (0.04–0.93) | 0.04 |
| Surgical service | ||||||
| Non-HVSC | - | - | ||||
| HVSC | 2.03 | (1.04–3.96) | 0.04 | 2.64 | (1.18–5.88) | 0.02 |
Disclaimer/Publisher’s Note: The statements, opinions and data contained in all publications are solely those of the individual author(s) and contributor(s) and not of MDPI and/or the editor(s). MDPI and/or the editor(s) disclaim responsibility for any injury to people or property resulting from any ideas, methods, instructions or products referred to in the content. |
© 2025 by the authors. Licensee MDPI, Basel, Switzerland. This article is an open access article distributed under the terms and conditions of the Creative Commons Attribution (CC BY) license (https://creativecommons.org/licenses/by/4.0/).
Share and Cite
Murphy, S.; Allan, C.; Barbour, A.; Donoghue, V.; Smithers, B.M. Textbook Outcomes for Retroperitoneal Sarcoma Resection: A Multi-Centre Review. Curr. Oncol. 2025, 32, 364. https://doi.org/10.3390/curroncol32060364
Murphy S, Allan C, Barbour A, Donoghue V, Smithers BM. Textbook Outcomes for Retroperitoneal Sarcoma Resection: A Multi-Centre Review. Current Oncology. 2025; 32(6):364. https://doi.org/10.3390/curroncol32060364
Chicago/Turabian StyleMurphy, Skyle, Christopher Allan, Andrew Barbour, Victoria Donoghue, and B. Mark Smithers. 2025. "Textbook Outcomes for Retroperitoneal Sarcoma Resection: A Multi-Centre Review" Current Oncology 32, no. 6: 364. https://doi.org/10.3390/curroncol32060364
APA StyleMurphy, S., Allan, C., Barbour, A., Donoghue, V., & Smithers, B. M. (2025). Textbook Outcomes for Retroperitoneal Sarcoma Resection: A Multi-Centre Review. Current Oncology, 32(6), 364. https://doi.org/10.3390/curroncol32060364

